Главная // Актуальные документы // ГОСТ (Государственный стандарт)СПРАВКА
Источник публикации
М.: Стандартинформ, 2015
Примечание к документу
Документ включен в Перечень международных и региональных (межгосударственных) стандартов (
п. п. 172,
174), а в случае их отсутствия - национальных (государственных) стандартов, содержащих правила и методы исследований (испытаний) и измерений, в том числе правила отбора образцов, необходимые для применения и исполнения требований технического
регламента Евразийского экономического союза "О безопасности алкогольной продукции" (ТР ЕАЭС 047/2018) и осуществления оценки соответствия объектов технического регулирования (
Решение Коллегии Евразийской экономической комиссии от 17.05.2022 N 80).
Текст данного документа приведен с учетом
поправки, опубликованной в "ИУС", N 2, 2016.
Документ
введен в действие с 1 января 2016 года.
Название документа
"ГОСТ 18309-2014. Межгосударственный стандарт. Вода. Методы определения фосфорсодержащих веществ"
(введен в действие Приказом Росстандарта от 11.11.2014 N 1538-ст)
"ГОСТ 18309-2014. Межгосударственный стандарт. Вода. Методы определения фосфорсодержащих веществ"
(введен в действие Приказом Росстандарта от 11.11.2014 N 1538-ст)
агентства по техническому
регулированию и метрологии
от 11 ноября 2014 г. N 1538-ст
МЕЖГОСУДАРСТВЕННЫЙ СТАНДАРТ
ВОДА
МЕТОДЫ ОПРЕДЕЛЕНИЯ ФОСФОРСОДЕРЖАЩИХ ВЕЩЕСТВ
Water. Methods for determination
of phosphorus-containing matters
(ISO 6878:2004, NEQ)
ГОСТ 18309-2014
ТН ВЭД 220100000
220110000
Дата введения
1 января 2016 года
Цели, основные принципы и порядок проведения работ по межгосударственной стандартизации установлены
ГОСТ 1.0-92 "Межгосударственная система стандартизации. Основные положения" и
ГОСТ 1.2-2009 "Межгосударственная система стандартизации. Стандарты межгосударственные, правила и рекомендации по межгосударственной стандартизации. Правила разработки, принятия, применения, обновления и отмены".
1. Подготовлен Обществом с ограниченной ответственностью "Протектор" совместно с Закрытым акционерным обществом "Центр исследования и контроля воды".
2. Внесен Федеральным агентством по техническому регулированию и метрологии, Техническим комитетом по стандартизации ТК 343 "Качество воды".
3. Принят Межгосударственным советом по стандартизации, метрологии и сертификации (Протокол от 20.10.2014 N 71-П).
За принятие проголосовали:
Краткое наименование страны по МК (ИСО 3166) 004-97 | Код страны по МК (ИСО 3166) 004-97 | Сокращенное наименование национального органа по стандартизации |
Беларусь | BY | Госстандарт Республики Беларусь |
Казахстан | KZ | Госстандарт Республики Казахстан |
Киргизия | KG | Кыргызстандарт |
Россия | RU | Росстандарт |
4. Настоящий стандарт разработан с учетом основных нормативных положений международного стандарта ISO 6878:2004 Water quality - Spectrometric determination of phosphorus using ammonium molybdate (Качество воды. Спектрометрическое определение фосфора с применением молибдата аммония) в части
разделов 6 и
8.
Степень соответствия - неэквивалентная (NEQ).
5.
Приказом Федерального агентства по техническому регулированию и метрологии от 11 ноября 2014 г. N 1538-ст межгосударственный стандарт ГОСТ 18309-2014 введен в действие в качестве национального стандарта Российской Федерации с 1 января 2016 г.
Информация об изменениях к настоящему стандарту публикуется в ежегодном информационном указателе "Национальные стандарты", а текст изменений и поправок - в ежемесячном информационном указателе "Национальные стандарты". В случае пересмотра (замены) или отмены настоящего стандарта соответствующее уведомление будет опубликовано в ежемесячном информационном указателе "Национальные стандарты". Соответствующая информация, уведомление и тексты размещаются также в информационной системе общего пользования - на официальном сайте Федерального агентства по техническому регулированию и метрологии в сети Интернет.
Настоящий стандарт распространяется на питьевую (в том числе расфасованную в емкости), природную (подземную и поверхностную) и сточную воду и устанавливает следующие фотометрические методы определения соединений фосфора:
- метод определения ортофосфатов и полифосфатов в питьевой и природной воде при массовой концентрации от 0,01 до 0,4 мг/дм3 без разбавления пробы. При необходимости определения более высоких концентраций пробу разбавляют, но не более чем в 100 раз (метод А);
- метод определения ортофосфатов и полифосфатов с использованием аскорбиновой кислоты для подготовки проб во всех типах воды, в том числе сточных, в диапазоне от 0,005 до 0,8 мг/дм3 в пересчете на фосфор без разбавления (метод Б);
- метод определения общего фосфора и фосфора фосфатов в питьевой и природной воде в диапазоне от 0,025 до 1000 мг/дм3 и в сточной воде в диапазоне от 0,1 до 1000 мг/дм3 (метод В);
- метод определения общего фосфора после персульфатного окисления во всех типах воды, в том числе сточных, в диапазоне от 0,005 до 0,8 мг/дм3 в пересчете на фосфор без разбавления (метод Г).
В настоящем стандарте использованы нормативные ссылки на следующие межгосударственные стандарты:
ГОСТ OIML R 76-1-2011 Государственная система обеспечения единства измерений. Весы неавтоматического действия. Часть 1. Метрологические и технические требования. Испытания
ГОСТ ИСО 5725-6-2003 Точность (правильность и прецизионность) методов и результатов измерений. Часть 6. Использование значений точности на практике
ГОСТ 17.1.5.05-85 Охрана природы. Гидросфера. Общие требования к отбору проб поверхностных и морских вод, льда и атмосферных осадков
ГОСТ 83-79 Реактивы. Натрий углекислый. Технические условия
ГОСТ 1770-74 (ISO 1042-83, ISO 4788-80) Посуда мерная лабораторная стеклянная. Цилиндры, мензурки, колбы, пробирки. Общие технические условия
ГОСТ 3765-78 Реактивы. Аммоний молибденовокислый. Технические условия
ГОСТ 4146-74 Реактивы. Калий надсернокислый. Технические условия
ГОСТ 4198-75 Реактивы. Калий фосфорнокислый однозамещенный. Технические условия
ГОСТ 4328-77 Реактивы. Натрия гидроокись. Технические условия
ГОСТ 4517-87 Реактивы. Методы приготовления вспомогательных реактивов и растворов, применяемых при анализе
ГОСТ 4919.1-77 Реактивы и особо чистые вещества. Методы приготовления растворов индикаторов
ГОСТ 5821-78 Реактивы. Кислота сульфаниловая. Технические условия
ГОСТ 10652-73 Реактивы. Соль динатриевая этилендиамин-N,N,N',N'-тетрауксусной кислоты, 2-водная (трилон Б). Технические условия
ГОСТ 14919-83 Электроплиты, электроплитки и жарочные электрошкафы бытовые. Общие технические условия
ГОСТ 18300-87 Спирт этиловый ректификованный технический. Технические условия
ГОСТ 20478-75 Реактивы. Аммоний надсернокислый. Технические условия
ГОСТ 20490-75 Реактивы. Калий марганцовокислый. Технические условия
ГОСТ 25336-82 Посуда и оборудование лабораторные стеклянные. Типы, основные параметры и размеры
ГОСТ 27068-86 Реактивы. Натрий серноватистокислый (натрия тиосульфат) 5-водный. Технические условия
| | ИС МЕГАНОРМ: примечание. В официальном тексте документа, видимо, допущена опечатка: стандарт имеет номер ГОСТ 28311-89, а не ГОСТ 28311-82. | |
ГОСТ 28311-82 Дозаторы медицинские лабораторные. Общие технические требования и методы испытаний
ГОСТ 29169-91 (ИСО 648-77) Посуда лабораторная стеклянная. Пипетки с одной отметкой
ГОСТ 29227-91 (ИСО 835-1-81) Посуда лабораторная стеклянная. Пипетки градуированные. Часть 1. Общие требования
--------------------------------
ГОСТ 32220-2013 Вода питьевая, расфасованная в емкости. Общие технические условия
Примечание. При пользовании настоящим стандартом целесообразно проверить действие ссылочных стандартов в информационной системе общего пользования - на официальном сайте Федерального агентства по техническому регулированию и метрологии в сети Интернет или по ежегодному информационному указателю "Национальные стандарты", который опубликован по состоянию на 1 января текущего года, и по выпускам ежемесячного информационного указателя "Национальные стандарты" за текущий год. Если ссылочный стандарт заменен (изменен), то при пользовании настоящим стандартом следует руководствоваться заменяющим (измененным) стандартом. Если ссылочный стандарт отменен без замены, то положение, в котором дана ссылка на него, применяется в части, не затрагивающей эту ссылку.
Посуду для хранения проб питьевой и природной воды не допускается мыть синтетическими моющими средствами, содержащими ортофосфаты или полифосфаты.
3.2. Анализ проводят как можно быстрее, не позднее 6 ч после отбора пробы. Если анализ в день отбора проб не проведен, пробу консервируют добавлением 3 - 4 см3 хлороформа на 1000 см3 воды и хранят при температуре от 2 °C до 8 °C не более 3 сут. Пробу, отобранную для определения только общего фосфора, допускается хранить при температуре от 2 °C до 8 °C в течение 2 сут без добавления хлороформа. Пробу, отобранную для определения общего фосфора, не фильтруют. Перед проведением анализа пробы энергично взбалтывают.
3.3. Отбор проб питьевой воды, расфасованной в емкости, сроки и условия хранения - по
ГОСТ 32220.
4. Требования к условиям проведения определений
4.1. При подготовке и проведении определений необходимо соблюдать условия, установленные в руководствах по эксплуатации или в паспортах средств измерений и вспомогательного оборудования.
4.2. Измерения объемов воды и растворов проводят при температуре окружающей среды от 15 °C до 25 °C. Допускается готовить растворы других номинальных объемов при условии соблюдения соотношений между объемами растворов и объемами аликвот или массами навесок реагентов, регламентированных в настоящем стандарте.
Растворы следует хранить при комнатной температуре, если условия хранения не оговорены отдельно.
4.3. Лаборатории, проводящие измерения, а также компетентность испытателей должны соответствовать требованиям
ГОСТ ИСО/МЭК 17025.
5. Метод определения ортофосфатов и полифосфатов
в питьевой и природной воде (метод А)
Метод основан на гидролизе полифосфатов, переходящих в ортофосфаты, с образованием фосфорно-молибденового комплекса, окрашенного в синий цвет, и последующем фотометрическом определении полученного окрашенного соединения при длине волны (690 - 720) нм. Отдельно определяют ортофосфаты, первоначально присутствовавшие в пробе, содержание которых вычитают из результата, полученного при определении полифосфатов.
Определению мешают железо при концентрации, превышающей 1 мг/дм3, растворимые силикаты при содержании более 25 мг/дм3 и нитриты. Влияние железа и силикатов устраняется соответствующим разбавлением исследуемой воды. Влияние нитритов при концентрации до 25 мг/дм3 устраняется добавлением к пробе 0,1 г сульфаминовой кислоты NH2SO2OH, которая вносится до добавления к пробе молибденово-кислого аммония.
5.3. Средства измерений, вспомогательное оборудование, реактивы, материалы
Фотометр, спектрофотометр, фотоэлектроколориметр или фотометрический анализатор (далее - прибор), позволяющие измерять оптическую плотность раствора в диапазоне длин волн от 690 до 720 нм при допускаемой абсолютной погрешности измерения спектрального коэффициента пропускания не более +/- 2% в оптических кюветах с толщиной оптического слоя от 20 до 50 мм.
Межгосударственные стандартные образцы (МСО) состава водных растворов фосфат-ионов массовой концентрации 1,0 г/дм3 с допускаемой относительной погрешностью аттестованного значения при доверительной вероятности P = 0,95 не более 2%.
Весы неавтоматического действия по
ГОСТ OIML R 76-1 высокого или специального класса точности с ценой деления (дискретностью отсчета) 0,1 мг, с максимальной нагрузкой 220 и 500 г.
Колбы мерные 2-10-2, 2-50-2, 2-100-2, 2-200-2, 2-250-2, 2-500-2, 2-1000-2 или других типов и исполнений по
ГОСТ 1770.
Пипетки градуированные 1-1-2-1, 1-1-2-5, 1-1-2-10, 1-1-2-25 или других типов и исполнений по
ГОСТ 29227.
Дозаторы пипеточные с метрологическими характеристиками по
ГОСТ 28311 или микропипетки.
Цилиндры мерные 1-50-2, 1-100-2, 1-500-2, 1-1000-2 по
ГОСТ 1770.
Стаканы В-1-50, В-1-1000, В-1-1000-ТС, В-1-2000 ТС по
ГОСТ 25336.
Плитка электрическая с закрытой спиралью по
ГОСТ 14919.
Холодильник бытовой любого типа, обеспечивающий температуру от 2 °C до 8 °C.
Термостат с регулятором температуры, обеспечивающий поддержание температуры не более 150 °C с абсолютной погрешностью не более +/- 2 °C.
Секундомер механический или песочные часы.
Фильтр бумажный "синяя лента".
Калий фосфорнокислый однозамещенный по
ГОСТ 4198, х.ч.
Примечание. В тексте стандарта для приготовления растворов соляной кислоты при расчете объема аликвоты концентрированной соляной кислоты использовано значение массовой доли соляной кислоты, равное 37%, и соответствующее ему значение плотности соляной кислоты, равное 1,19 г/см
3. В случае отклонения значения массовой доли используемой соляной кислоты от указанного значения необходимо выполнить пересчет, например, по ГОСТ 4517,
пункт 2.89.
Примечание. В тексте стандарта для приготовления растворов серной кислоты при расчете объема аликвоты концентрированной серной кислоты использовано значение массовой доли серной кислоты, равное 98%, и соответствующее ему значение плотности серной кислоты, равное 1,84 г/см
3. В случае отклонения значения массовой доли используемой серной кислоты от указанного значения необходимо выполнить пересчет, например, по ГОСТ 4517,
пункт 2.89.
Олово двухлористое, х.ч.
Вода, не уступающая по значениям массовой концентрации веществ, восстанавливающих KMnO
4, и удельной электрической проводимости значениям по
ГОСТ 6709 (далее - дистиллированная вода).
Примечание. Допускается применять другие средства измерений, вспомогательные устройства с метрологическими и техническими характеристиками и реактивы по качеству не ниже указанных в настоящем стандарте.
5.4. Подготовка к проведению измерений
5.4.1. Подготовка посуды
Стеклянную посуду, используемую на стадии получения окрашенного комплекса, следует периодически ополаскивать разбавленным раствором гидроокиси натрия или 10%-ным раствором углекислого натрия, чтобы удалить остатки окрашенного комплекса, который имеет тенденцию к отложению в виде тонкой пленки на стенках посуды.
5.4.2. Приготовление исходного раствора однозамещенного фосфорнокислого калия массовой концентрации 500 мг/дм
3 (в пересчете на ортофосфаты)
В мерную колбу вместимостью 1000 см3, наполовину заполненную дистиллированной водой, вносят 0,7165 г однозамещенного фосфорнокислого калия, предварительно высушенного в термостате в течение 2 ч при температуре 105 °C, и доводят объем раствора до метки дистиллированной водой, затем добавляют 2 см3 хлороформа.
Допускается приготовление раствора из стандартного образца
(5.3), следуя инструкции по приготовлению, разработанной изготовителем.
Срок хранения раствора в емкости из темного стекла при температуре от 2 °C до 8 °C - не более 3 мес.
5.4.3. Приготовление основного раствора однозамещенного фосфорнокислого калия массовой концентрации 5 мг/дм
3 (в пересчете на ортофосфаты)
В мерную колбу вместимостью 500 см
3 вносят 5 см
3 исходного раствора однозамещенного фосфорнокислого калия
(5.4.2) и доводят до метки дистиллированной водой.
Раствор готовят в день использования.
5.4.4. Приготовление рабочего раствора однозамещенного фосфорнокислого калия массовой концентрации 1 мг/дм
3 (в пересчете на ортофосфаты)
В мерную колбу вместимостью 250 см
3 вносят 50 см
3 основного раствора однозамещенного фосфорнокислого калия
(5.4.3) и доводят до метки дистиллированной водой.
Раствор готовят в день использования.
5.4.5. Приготовление кислого раствора молибденовокислого аммония (реактив I)
В термостойкий стакан вместимостью 2000 см3 вносят 600 см3 дистиллированной воды и 25 г молибденовокислого аммония, затем осторожно, охлаждая, добавляют 337 см3 концентрированной 98%-ной серной кислоты. После охлаждения раствор переносят в мерную колбу вместимостью 1000 см3 и доводят до метки дистиллированной водой.
Пользоваться реактивом можно через 48 ч после приготовления.
Срок хранения раствора в емкости из темного стекла с притертой пробкой - не более 1 года.
5.4.6. Приготовление слабокислого раствора молибденовокислого аммония (реактив II)
В колбе вместимостью 500 см3 растворяют 10 г молибденовокислого аммония в 400 см3 дистиллированной воды, затем добавляют 7 см3 концентрированной 98%-ной серной кислоты.
Срок хранения раствора в емкости из полимерных материалов в темном месте - не более 3 мес.
Пользоваться реактивом можно через 48 ч после приготовления.
5.4.7. Приготовление 37%-ного раствора серной кислоты
В термостойкий стакан вместимостью 1000 см3 вносят 600 см3 дистиллированной воды и осторожно небольшими порциями приливают 263 см3 концентрированной 98%-ной серной кислоты, после охлаждения раствор переносят в мерную колбу вместимостью 1000 см3 и доводят до метки дистиллированной водой.
Срок хранения раствора - не более 1 года.
5.4.8. Приготовление 13,6%-ного раствора соляной кислоты
В мерную колбу вместимостью 50 см3 вносят 30 см3 дистиллированной воды, осторожно с помощью мерного цилиндра приливают 16,5 см3 37%-ной соляной кислоты и доводят содержимое колбы до метки дистиллированной водой.
Срок хранения раствора в емкости из полимерных материалов - не более 6 мес.
5.4.9. Приготовление основного раствора двухлористого олова
В колбу вместимостью 50 см
3 вносят 1,95 г кристаллического двухлористого олова, добавляют 50 см
3 13,6%-ной соляной кислоты
(5.4.8) и тщательно перемешивают полученную суспензию в стеклянной емкости.
Суспензию применяют непосредственно после приготовления.
5.4.10. Приготовление рабочего раствора двухлористого олова
В мерную колбу вместимостью 10 см
3 вносят 2,5 см
3 основного раствора двухлористого олова
(5.4.9) и доводят до метки дистиллированной водой.
Раствор готовят в день использования, раствор устойчив не более 4 ч.
5.4.11. Приготовление градуировочных растворов
В мерные колбы вместимостью 50 см
3 каждая вносят пипеткой 0,0; 0,5; 1,0; 2,0; 5,0; 10,0; 20,0 см
3 рабочего раствора фосфорнокислого калия
(5.4.4) и доводят объем раствора до метки дистиллированной водой. Содержание ортофосфатов в градуировочных растворах будет соответственно равно: 0,0; 0,010; 0,020; 0,040; 0,10; 0,20; 0,40 мг/дм
3.
В каждую колбу добавляют пипеткой или дозатором 1 см
3 кислого раствора молибденовокислого аммония (см.
5.4.5, реактив I), перемешивают, через 5 мин микропипеткой (или дозатором) вносят 0,1 см
3 рабочего раствора двухлористого олова
(5.4.10) и снова перемешивают. Приготовленные градуировочные растворы выдерживают 10 - 15 мин, после чего проводят измерения.
Градуировочный раствор, не содержащий фосфорнокислого калия (с массовой концентрацией фосфорнокислого калия, равной нулю), является холостой пробой для градуировки.
5.4.12. Подготовка прибора
Подготовку прибора к работе проводят в соответствии с руководством (инструкцией) по эксплуатации прибора.
5.4.13. Градуировка прибора
5.4.13.1. Измеряют оптическую плотность подготовленных градуировочных растворов и холостой пробы
(5.4.11) три раза при длине волны 690 - 720 нм в оптической кювете с толщиной поглощающего слоя 20 или 30 мм, используя в качестве раствора сравнения дистиллированную воду.
Для каждого градуировочного раствора и холостой пробы рассчитывают среднеарифметическое значение полученных значений оптической плотности.
5.4.13.2. Устанавливают градуировочную характеристику в виде зависимости среднеарифметических значений оптической плотности градуировочных растворов за вычетом среднеарифметического значения оптической плотности холостой пробы от массовой концентрации фосфатов. При этом, если прибор снабжен компьютерной (микропроцессорной) системой сбора и обработки информации, то коэффициент градуировочной характеристики K, [мг/(дм
3·ед. опт. пл.)], устанавливают в соответствии с руководством (инструкцией) по эксплуатации прибора, в противном случае его рассчитывают методом наименьших квадратов по формуле

, (1)
где Ci - массовая концентрация фосфатов в i-ом градуировочном растворе, мг/дм3;
Ai - среднеарифметическое значение оптической плотности i-го градуировочного раствора за вычетом среднеарифметического значения оптической плотности для холостой пробы, ед. опт. пл.;
l - число градуировочных растворов.
Примечание. В случае, если компьютерная (микропроцессорная) система сбора и обработки информации прибора рассчитывает угловой коэффициент b, то коэффициент градуировочной характеристики K устанавливают равным 1/b.
5.4.13.3. Контроль приемлемости градуировочной характеристики
Контроль приемлемости градуировочной характеристики с использованием компьютерной (микропроцессорной) системы сбора и обработки информации проводят в соответствии с руководством (инструкцией) по эксплуатации прибора.
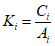
Если прибор не имеет программного обеспечения, предусматривающего проведение автоматизированной градуировки, то полученную градуировочную характеристику контролируют, рассчитывая для каждого градуировочного раствора значение коэффициента градуировочной характеристики Ki по формуле

, (2)
где Ci - массовая концентрация фосфатов в i-м градуировочном растворе, мг/дм3;
Ai - среднеарифметическое значение оптической плотности i-го градуировочного раствора за вычетом среднеарифметического значения оптической плотности холостой пробы, ед. опт. пл.
Результаты контроля признают удовлетворительными, если выполняется условие

, (3)
где K
i - значение коэффициента градуировочной характеристики i-го градуировочного раствора, рассчитанного по
формуле (2);
K - значение коэффициента градуировочной характеристики, рассчитанного по
формуле (1) при градуировке прибора;
N - норматив контроля приемлемости градуировочной характеристики, равный 12%.
Если
условие (3) не выполняется, то установление градуировочной характеристики повторяют. Построение градуировочной характеристики проводят не реже 1 раза в год, а также после ремонта прибора.
5.4.13.4. Контроль стабильности градуировочной характеристики
Стабильность градуировочной характеристики контролируют с каждой серией проб, а также при замене реактивов. Для контроля используют два или три градуировочных раствора по
5.4.11.
Проводят измерение контрольных градуировочных растворов по
5.4.13.1.
Градуировочную характеристику считают стабильной при выполнении условия

, (4)
где Xгр - массовая концентрации фосфатов в градуировочном растворе, полученная при контрольном измерении, мг/дм3;
C - массовая концентрация фосфатов в градуировочном растворе по процедуре приготовления, мг/дм3;
Kгр - норматив контроля стабильности градуировочной характеристики, равный 15%.
Если
условие (4) не выполняется, то проводят повторное измерение для этого градуировочного раствора (свежеприготовленного). Если градуировочная характеристика вновь нестабильна, выясняют причины нестабильности, устраняют их и повторяют контроль с использованием не менее двух других свежеприготовленных градуировочных растворов. При повторном обнаружении нестабильности устанавливают новую градуировочную характеристику.
5.5. Проведение измерений
5.5.1. Подготовка пробы для определения ортофосфатов
В мерные колбы вместимостью 50 см
3 вносят 50 см
3 анализируемой воды (без разбавления можно определить не более 0,4 мг/дм
3 PO
43-), профильтрованной через плотный бумажный фильтр "синяя лента", вносят 1,0 см
3 кислого раствора молибденовокислого аммония (
5.4.5, реактив I), перемешивают и через 5 мин микропипеткой (или дозатором) вносят 0,1 см
3 рабочего раствора двухлористого олова
(5.4.10) и снова перемешивают. Одновременно готовят 2 параллельные пробы. Подготовленные анализируемые пробы воды выдерживают от 10 до 15 мин, после чего проводят измерения по
5.5.3.
5.5.2. Подготовка пробы для определения полифосфатов
К 100 см
3 пробы анализируемой воды, профильтрованной через плотный бумажный фильтр "синяя лента" (или к меньшему объему, доведенному до 100 см
3 дистиллированной водой), добавляют 2 см
3 37%-ного раствора серной кислоты
(5.4.7) и кипятят на электрической плитке в течение 30 мин. Объем пробы исследуемой воды поддерживают в пределах от 50 до 90 см
3 добавлением дистиллированной воды.
После охлаждения пробу исследуемой воды количественно переносят в мерную колбу вместимостью 100 см
3 и доводят объем до метки дистиллированной водой, затем из колбы отбирают 50 см
3 пробы и добавляют 1 см
3 слабокислого раствора молибденовокислого аммония (
5.4.6, реактив II), перемешивают и через 5 мин микропипеткой (или дозатором) вносят 0,1 см
3 рабочего раствора двухлористого олова
(5.4.10) и снова перемешивают. Одновременно готовят 2 параллельные пробы. Подготовленные анализируемые пробы воды выдерживают от 10 до 15 мин, после чего проводят измерения по 5.5.3.
5.5.3. Измерение оптической плотности
Измеряют оптическую плотность аликвоты подготовленной пробы исследуемой воды (
5.5.1 и/или
5.5.2), как при построении градуировочной характеристики
(5.4.13.1) с последующим расчетом массовой концентрации ортофосфатов и полифосфатов (5.6). В качестве холостой пробы используют дистиллированную воду, подготовленную аналогично пробе исследуемой воды (
5.5.1 и/или
5.5.2).
5.6. Обработка результатов измерений
5.6.1. При наличии компьютерной (микропроцессорной) системы сбора и обработки информации порядок обработки результатов определяется руководством (инструкцией) по эксплуатации.
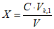
5.6.2. При отсутствии компьютерной (микропроцессорной) системы сбора и обработки информации массовую концентрацию ортофосфатов в пробе анализируемой воды X, мг/дм
3, рассчитывают по формуле

, (5)
где C - значение массовой концентрации ортофосфатов в пробе, найденное по градуировочной характеристике
(5.4.13), мг/дм
3;
Vk,1 - приведение объема анализируемой воды к 50 см3 (здесь принимает значение 50 см3);
V - объем анализируемой воды, взятый для определения, см3.
5.6.3. Массовую концентрацию полифосфатов в пробе анализируемой воды X
1, мг/дм
3, рассчитывают по формуле

, (6)
где C
1 - значение массовой концентрации ортофосфатов, найденное по градуировочной характеристике
(5.4.13), мг/дм
3;
Vk,2 - приведение объема анализируемой воды к 100 см3 (здесь принимает значение 100 см3);
V - объем анализируемой воды, взятый для определения, см3;
X - значение массовой концентрации ортофосфатов в пробе анализируемой воды, найденное по
5.6.2, мг/дм
3.
5.6.4. При необходимости представления результата в пересчете на массовую концентрацию фосфора результат, полученный по
формуле (5) или
(6), умножают на коэффициент 0,326.
5.6.5. За результат измерений содержания ортофосфатов (по
5.6.2) и/или полифосфатов (по
5.6.3) принимают среднеарифметическое значение результатов параллельных определений X
1 и X
2 в двух аликвотах пробы воды при выполнении условия
200|X
1 - X
2| <= r(X
1 + X
2), (7)
где r - значение предела повторяемости по
таблице 1, %.
При невыполнении
условия (7) используют методы проверки приемлемости результатов параллельных определений и установления окончательного результата измерений согласно ГОСТ ИСО 5725-6
(подраздел 5.2) или рекомендации
[1].
Примечание. При получении результатов измерений в двух лабораториях за результат измерений принимают среднеарифметическое значение результатов измерений, полученных в двух лабораториях, X1лаб и X2лаб при выполнении условия

, (8)
где R - значение предела воспроизводимости по
таблице 1, %.
При невыполнении
условия (8) для проверки приемлемости в условиях воспроизводимости каждая лаборатория должна выполнить процедуры согласно ГОСТ ИСО 5725-6 (
пункты 5.2.2,
5.3.2.2) или рекомендации
[1].
5.7. Метрологические характеристики
Метод настоящего стандарта обеспечивает получение результатов измерения с метрологическими характеристиками, не превышающими значений, приведенных в таблице 1, при доверительной вероятности P = 0,95.
Диапазон измерений массовой концентрации орто- и полифосфатов, мг/дм3 | Предел повторяемости (относительное значение допускаемого расхождения между двумя результатами параллельных определений, полученными в условиях повторяемости при P = 0,95), r, % | Предел воспроизводимости (относительное значение допускаемого расхождения между двумя результатами определений, полученными в условиях воспроизводимости при P = 0,95), R, % | Показатель точности (границы относительной погрешности <*> при вероятности P = 0,95),  , % |
От 0,010 до 0,10 включ. | 40 | 56 | 40 |
Св. 0,10 до 0,40 включ. | 30 | 42 | 30 |
Св. 0,40 до 10.0 включ. | 24 | 34 | 24 |
Св. 10,0 до 40 включ. | 20 | 28 | 20 |
<*> Установленные численные значения границ относительной погрешности соответствуют численным значениям расширенной неопределенности (в относительных единицах) U отн при коэффициенте охвата k = 2. |
5.8. Контроль качества результатов измерений
Контроль качества результатов измерений в лаборатории предусматривает проведение контроля стабильности результатов измерений с учетом требований ГОСТ ИСО 5725-6
(раздел 6) или рекомендаций
[2].
5.9. Оформление результатов измерений
Результаты измерений регистрируют в протоколе испытаний, который оформляют в соответствии с требованиями
ГОСТ ИСО/МЭК 17025. При этом протокол испытаний должен содержать ссылку на настоящий стандарт с указанием метода измерений.
Результаты измерений массовой концентрации орто- и/или полифосфатов

, мг/дм
3, представляют в виде

, (9)
где

- результат измерений, мг/дм
3;

- абсолютная погрешность измерений массовой концентрации орто- и/или полифосфатов, мг/дм
3, рассчитываемая по формуле

, (10)
где

- относительная погрешность измерения массовой концентрации орто- и/или полифосфатов по
таблице 1, %;
U - расширенная неопределенность при коэффициенте охвата k = 2, мг/дм3, рассчитываемая по формуле

, (11)
где U
отн - расширенная неопределенность (в процентах) при коэффициенте охвата k = 2 по
таблице 1.
Допускается результат измерений представлять в виде

, (12)
при условии

, где

- значение показателя точности измерений (границы абсолютной погрешности измерений при P = 0,95), установленное при реализации настоящего метода в лаборатории и обеспечиваемое контролем стабильности результатов измерений;

, (13)
при условии U
лаб < U, где U
лаб - значение расширенной неопределенности, установленное при реализации настоящего метода в лаборатории с учетом руководства
[3] или рекомендаций
[4] и обеспечиваемое контролем стабильности результатов измерений в лаборатории.
Числовое значение результата измерений должно оканчиваться цифрой того же разряда, что и значение характеристики погрешности, выраженное в миллиграммах на кубический дециметр и содержащее не более двух значащих цифр.
6. Метод определения ортофосфатов и полифосфатов
с использованием аскорбиновой кислоты для подготовки проб
(метод Б)
6.1. Средства измерений, вспомогательное оборудование, реактивы, материалы - по
5.3 со следующими уточнениями.
Спектрофотометр, позволяющий измерять оптическую плотность раствора в диапазоне длин волн от 700 до 880 нм, снабженный кюветами, имеющими толщину оптического слоя от 10 до 50 мм и, при необходимости, 100 мм.
Примечание. Наибольшая чувствительность достигается при длине волны 880 нм, однако, если допустимо уменьшение чувствительности (при определении высоких концентраций фосфатов), то оптическая плотность может быть измерена при 700 нм. Предел обнаружения данного метода будет ниже, если использовать спектрометр с кюветой, имеющей толщину оптического слоя 100 мм.
Автоклав, поддерживающий температуру от 115 °C до 120 °C.
Фильтр мембранный с диаметром пор 0,45 мкм.
Кислота аскорбиновая, фармакопейная.
Тиосульфат натрия (натрий серноватистокислый 5-водный) по
ГОСТ 27068, ч.д.а. или х.ч.
Калий антимонил-виннокислый [(KSbO)C4H4O6·1/2H2O].
Универсальная индикаторная бумага для измерения pH.
6.2. Подготовка к проведению измерений - по
5.4 со следующими уточнениями.
6.2.1. Подготовка посуды
Перед использованием всю стеклянную посуду ополаскивают раствором соляной кислоты
(6.2.13) и несколько раз дистиллированной водой.
6.2.2. Приготовление раствора серной кислоты молярной концентрации 9 моль/дм
3
В стакан вместимостью 2000 см
3 мерным цилиндром вносят 500 см
3 дистиллированной воды и осторожно мерным цилиндром приливают при постоянном помешивании 500 см
3 серной кислоты по
5.3. Раствор перемешивают и остужают до комнатной температуры.
Срок хранения раствора - не более 1 года.
6.2.3. Приготовление раствора серной кислоты молярной концентрации 4,5 моль/дм
3
В стакан вместимостью 2000 см
3 мерным цилиндром вносят 500 см
3 дистиллированной воды и осторожно мерным цилиндром приливают при постоянном помешивании 500 см
3 раствора серной кислоты по
6.2.2. Раствор перемешивают и остужают до комнатной температуры.
Срок хранения раствора - не более 1 года.
6.2.4. Приготовление раствора серной кислоты молярной концентрации 2 моль/дм
3
В стакан вместимостью 1000 см
3 мерным цилиндром вносят 300 см
3 дистиллированной воды, осторожно приливают мерным цилиндром при постоянном помешивании и охлаждении 110 см
3 серной кислоты молярной концентрации 9 моль/дм
3 (см.
6.2.2), переносят в мерную колбу вместимостью 500 см
3, доводят до метки дистиллированной водой и хорошо перемешивают.
Срок хранения раствора - не более 6 мес.
6.2.5. Приготовление раствора гидроокиси натрия молярной концентрации 2 моль/дм
3
В стакан из термостойкого стекла вносят от 200 до 300 см3 дистиллированной воды, добавляют при перемешивании 80 г гидроокиси натрия, охлаждают, переносят в мерную колбу вместимостью 1000 см3 и доводят до метки дистиллированной водой.
Срок хранения раствора в емкости из полимерных материалов - не более 2 мес.
6.2.6. Приготовление раствора аскорбиновой кислоты массовой концентрации 100 г/дм
3
В конической колбе вместимостью 150 или 250 см3 растворяют 10 г аскорбиновой кислоты в 100 см3 дистиллированной воды.
Срок хранения раствора в емкости из темного стекла при температуре от 2 °C до 8 °C - не более 14 сут.
Раствор можно использовать до тех пор, пока он остается бесцветным.
6.2.7. Приготовление кислого раствора молибдата (раствор I)
Раствор готовят в следующей последовательности:
- растворяют 13,0 г молибденовокислого аммония в 100 см3 дистиллированной воды;
- растворяют 0,35 г антимонил-виннокислого калия в 100 см3 дистиллированной воды;
- при постоянном помешивании добавляют приготовленный раствор молибденовокислого аммония к 300 см
3 серной кислоты молярной концентрации 9 моль/дм
3 (см.
6.2.2), затем добавляют приготовленный раствор антимонил-виннокислого калия и хорошо перемешивают.
Срок хранения раствора в емкости из темного стекла при температуре от 2 °C до 8 °C - не более 2 мес.
6.2.8. Приготовление слабокислого раствора молибдата (раствор II)
В колбу вместимостью 500 см
3 мерным цилиндром вносят 70 см
3 дистиллированной воды, осторожно приливают порциями 230 см
3 серной кислоты молярной концентрации 9 моль/дм
3 (6.2.2), охлаждают, затем добавляют при постоянном помешивании приготовленные растворы молибденовокислого аммония и антимонил-виннокислого калия, приготовленные аналогично
6.2.7 в тех же объемах, и хорошо перемешивают.
Приготовленный реактив используют в том случае, когда пробы исследуемой воды подкислены из расчета 1 см
3 серной кислоты молярной концентрации 4,5 моль/дм
3 (6.2.3) на 100 см
3 пробы.
Срок хранения раствора в емкости из темного стекла при температуре от 2 °C до 8 °C - не более 2 мес.
6.2.9. Приготовление раствора для устранения мешающих влияний
Смешивают две части (по объему) серной кислоты молярной концентрации 9 моль/дм
3 (см.
6.2.2) и одну часть (по объему) аскорбиновой кислоты
(6.2.6). Например, в колбу вместимостью 500 см
3 мерным цилиндром вносят 200 см
3 серной кислоты молярной концентрации 9 моль/дм
3 (6.2.2) и 100 см
3 аскорбиновой кислоты
(6.2.6).
Срок хранения приготовленного реактива в емкости из темного стекла при температуре от 2 °C до 8 °C - не более 1 мес.
6.2.10. Приготовление раствора тиосульфата натрия массовой концентрации 12 г/дм
3
В коническую колбу вместимостью 100 см3 мерным цилиндром вносят 100 см3 дистиллированной воды, добавляют 1,2 г тиосульфата натрия. Добавляют примерно 50 мг безводного карбоната натрия в качестве консерванта.
Срок хранения приготовленного реактива в емкости из темного стекла - не более 3 мес.
6.2.11. Приготовление исходного раствора ортофосфата массовой концентрации 50 мг/дм
3 (в пересчете на фосфор)
В мерную колбу вместимостью 1000 см
3 мерным цилиндром вносят 800 см
3 дистиллированной воды, добавляют 0,2197 г однозамещенного фосфорнокислого калия, предварительно высушенного до постоянной массы при 105 °C, затем градуированной пипеткой добавляют 10,0 см
3 серной кислоты молярной концентрации 4,5 моль/дм
3 (6.2.3) и доводят до метки дистиллированной водой.
Срок хранения раствора в емкости из темного стекла с притертой пробкой при температуре от 2 °C до 8 °C - не более 7 сут.
6.2.12. Приготовление основного раствора ортофосфата массовой концентрации 2 мг/дм
3 (в пересчете на фосфор)
В мерную колбу вместимостью 500 см
3 градуированной пипеткой вносят 20 см
3 исходного раствора ортофосфата (см.
6.2.11) и доводят до метки дистиллированной водой.
Раствор готовят в день использования.
6.2.13. Приготовление раствора соляной кислоты молярной концентрации 2,5 моль/дм
3
В мерную колбу вместимостью 1000 см3 мерным цилиндром вносят 500 см3 дистиллированной воды, добавляют 200 см3 концентрированной соляной кислоты, перемешивают, охлаждают до комнатной температуры и доводят до метки дистиллированной водой.
Срок хранения раствора - не более 6 мес.
6.2.14. Приготовление градуировочных растворов
6.2.14.1. В серию мерных колб вместимостью 50 см
3 каждая градуированной пипеткой вносят 0,0; 1,0; 2,0; 3,0; 4,0; 5,0; 6,0; 7,0; 8,0; 9,0 и 10,0 см
3 основного раствора ортофосфата
(6.2.12) и разбавляют дистиллированной водой так, чтобы массовая концентрация ортофосфатов в полученных градуировочных растворах в пересчете на фосфор составила от 0,04 мг/дм
3 до 0,4 мг/дм
3. Серию градуировочных растворов для концентраций другого диапазона готовят с учетом
Приложения А, используя кювету соответствующего объема.
6.2.14.2. Затем в каждую колбу добавляют, помешивая, 1 см
3 раствора аскорбиновой кислоты
(6.2.6), затем 2 см
3 раствора кислого молибдата (раствор I)
(6.2.7), доводят до метки дистиллированной водой и хорошо перемешивают.
6.2.14.3. Приготовленные градуировочные растворы выдерживают от 10 до 30 мин, после чего проводят измерения.
Примечание. Для определения полифосфатов градуировочные растворы готовят согласно
6.2.14.1 - 6.2.14.3, добавляя по
6.2.14.2 вместо раствора I
(6.2.7) аналогичный объем раствора II
(6.2.8).
6.2.15. Подготовка прибора - аналогично
5.4.12.
6.2.16. Градуировка прибора - аналогично
5.4.13 с использованием градуировочных растворов по
6.2.14.
6.2.17. Подготовка пробы анализируемой воды
6.2.17.1. Пробу фильтруют через мембранный фильтр с порами диаметром 0,45 мкм, отбрасывая первые 10 см
3 фильтрата пробы, а остальные собирают в чистую сухую стеклянную емкость для немедленного определения ортофосфата (в пересчете на фосфор).
Примечание. Если проба хранилась в холодильнике, ее перед фильтрованием доводят до комнатной температуры.
6.2.17.2. Если значение pH фильтрата пробы находится за пределами диапазона от 3 до 10 (по универсальной индикаторной бумаге), ее доводят до указанного значения добавлением раствора гидроокиси натрия по
6.2.5 или раствора серной кислоты по
6.2.4.
6.2.17.3. Для определения полифосфатов (в пересчете на фосфор) процедуру по
6.2.17.2 не проводят. Вместо этого подготовленную по
6.2.17.1 пробу подкисляют раствором серной кислоты по
6.2.3 из расчета 1 см
3 кислоты на каждые 100 см
3 пробы так, чтобы довести значение pH до 1. Подкисленный фильтрат хранят в прохладном и темном месте, например в холодильнике.
6.3. Проведение измерений
6.3.1. Объем анализируемой пробы выбирают в зависимости от предполагаемых концентраций фосфатов согласно
Приложению А. Для измерения оптической плотности подготовленной пробы необходимо выбрать кюветы с соответствующей толщиной оптического слоя.
6.3.2. Подготовка пробы для определения ортофосфатов
Для анализа пробы воды пипеткой с одной отметкой переносят анализируемый объем
(6.3.1) отфильтрованной пробы в мерную колбу вместимостью 50 см
3 и при необходимости разбавляют дистиллированной водой до 40 см
3. Затем в колбу добавляют, помешивая, 1 см
3 раствора аскорбиновой кислоты
(6.2.6) и 2 см
3 раствора кислого молибдата (раствор I)
(6.2.7), доводят до метки дистиллированной водой и хорошо перемешивают.
Подготовленную к анализу аликвоту пробы выдерживают от 10 до 30 мин, после чего проводят измерения оптической плотности по
6.3.4.
Примечания.
1. Если в исследуемой пробе содержится арсенат, он должен быть восстановлен до арсенита добавлением тиосульфата натрия следующим способом: в мерную колбу вместимостью 50 см
3 пипеткой вносят максимум 40 см
3 исследуемой пробы, добавляют 1 см
3 раствора аскорбиновой кислоты
(6.2.6) и 1 см
3 раствора тиосульфата натрия
(6.2.10), содержимое перемешивают и оставляют на 10 мин, затем добавляют 2 см
3 раствора II молибдата (см.
6.2.8) и доводят до метки дистиллированной водой.
Приведенным способом может быть устранено мешающее влияние до 2 мг/дм3 арсената в пересчете на мышьяк.
В случае обработки аликвоты пробы тиосульфатом натрия (из-за мешающего влияния мышьяка), в виду возможности ослабления окрашивания, измерения проводят не позднее чем через 10 мин.
2. Если исследуемая проба воды мутная и/или окрашенная, то добавляют 3 см
3 раствора, приготовленного по
6.2.9. Значение оптической плотности этого раствора следует вычитать из измеренного значения оптической плотности по
6.3.4.
6.3.3. Подготовка пробы для определения полифосфатов
В коническую колбу вместимостью 50 см
3 в соответствии с ожидаемой концентрацией фосфата в пробе исследуемой воды пипеткой вносят максимально 40 см
3 пробы анализируемой воды по
6.2.17. Если необходимо, доводят объем пробы дистиллированной водой до 40 см
3. Подкисляют серной кислотой молярной концентрации 4,5 моль/дм
3 (6.2.3) до значения pH менее 1 и осторожно кипятят в течение 30 мин. Доводят объем дистиллированной водой до 25 см
3. Охлаждают, количественно переносят в мерную колбу вместимостью 50 см
3 и разбавляют дистиллированной водой приблизительно до 40 см
3.
Примечание. Аналогично минерализуют подкисленный фильтрат в закрытой емкости в течение 30 мин в автоклаве при температуре от 115 °C до 120 °C и нормальном давлении.
Затем в колбу добавляют, встряхивая, 1 см
3 раствора аскорбиновой кислоты
(6.2.6) и 2 см
3 раствора II слабокислого молибдата
(6.2.8) и доводят до метки дистиллированной водой.
6.3.4. Измерение оптической плотности
Измеряют оптическую плотность аликвоты пробы анализируемой воды в кювете с толщиной оптического слоя 10 мм при длине волны 880 нм. В качестве холостой пробы используют 50 см
3 дистиллированной воды, подготовленной аналогично пробе исследуемой воды (см.
6.3.2 и
6.3.3).
Примечание. При этом, если допустимо уменьшение чувствительности (при определении высоких концентраций фосфатов), то измерения проводят при длине волны 700 нм. Оптическая плотность, измеренная при длине волны 700 нм, меньше плотности, измеренной при длине волны 880 нм, приблизительно на 30%.
6.4. Обработка результатов измерений - по
5.6 с учетом следующих уточнений.
6.4.1. При отсутствии компьютерной (микропроцессорной) системы сбора и обработки информации массовую концентрацию орто- или полифосфатов в пересчете на фосфор в пробе анализируемой воды X
P, мг/дм
3, рассчитывают по формуле

, (14)
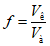
где A - измеренное значение оптической плотности пробы анализируемой воды за вычетом измеренного значения оптической плотности холостой пробы, ед. опт. пл.;
f - коэффициент разбавления пробы анализируемой воды, при этом если пробу не разбавляли, то f принимают равным 1, если разбавляли, то f рассчитывают по формуле
| | ИС МЕГАНОРМ: примечание. Формула дана в соответствии с официальным текстом документа. | |

, (15)
где Vк - вместимость мерной колбы, использованной при разбавлении пробы анализируемой воды, см3;
Vа - объем аликвоты пробы анализируемой воды, взятый для разбавления, см3;
b - угловой коэффициент градуировочной характеристики, (дм
3·ед. опт. пл.)/мг, равный 1/K, где K - коэффициент градуировочной характеристики, вычисленный по
формуле (1) (5.4.13.2).
6.4.2. При необходимости представления результата в пересчете на массовую концентрацию фосфат-иона результат, полученный по
формуле (14), умножают на коэффициент 3,07.
6.5. Метрологические характеристики
Метод обеспечивает получение результатов измерения с метрологическими характеристиками, не превышающими значений, приведенных в таблице 2, при доверительной вероятности P = 0,95.
Диапазон измерений массовой концентрации орто- и полифосфатов (в пересчете на фосфор), мг/дм3 | Предел повторяемости (относительное значение допускаемого расхождения между двумя результатами параллельных определений, полученными в условиях повторяемости при P = 0,95), r, % | Предел воспроизводимости (относительное значение допускаемого расхождения между двумя результатами определений, полученными в условиях воспроизводимости при P = 0,95), R, % | Показатель точности (границы относительной погрешности <*> при вероятности P = 0,95),  , % |
От 0,005 до 0,06 включ. | 60 | 84 | 60 |
Св. 0,06 до 0,4 включ. | 45 | 63 | 45 |
Св. 0,4 до 0,8 включ. | 36 | 50 | 36 |
<*> Установленные численные значения границ относительной погрешности соответствуют численным значениям расширенной неопределенности (в относительных единицах) U отн при коэффициенте охвата k = 2. |
6.6. Контроль качества результатов измерений - по
5.8.
6.7. Оформление результатов измерений - по
5.9 с учетом данных
таблицы 2.
7. Метод определения общего фосфора и фосфора фосфатов
в питьевой, природной и сточной воде (метод В)
7.1. Сущность метода
Метод измерений содержания общего фосфора и фосфора фосфатов заключается во взаимодействии ионов ортофосфатов с ионами молибдата в присутствии сурьмы как катализатора с образованием комплекса фосфорно-молибденовой гетерополикислоты и его восстановлении аскорбиновой кислотой с последующим фотометрическим определением полученного окрашенного соединения. Для определения общего фосфора пробы подвергают предварительной минерализации всех фосфорсодержащих веществ надсернокислым аммонием в среде серной кислоты. Оптическую плотность образовавшегося соединения измеряют при длине волны 690 нм.
7.2. Мешающие влияния
Сильнокислые или сильнощелочные пробы предварительно нейтрализуют до значения pH, равного от 4 до 11 (контроль по индикаторной бумаге).
Определению мешают сульфиды и сероводород в концентрациях, превышающих 2 мг/дм3, которые обнаруживают по характерному запаху. Их мешающее влияние устраняют пропусканием газообразного азота через подкисленную пробу или добавлением нескольких кристаллов марганцевокислого калия. После встряхивания в течение 1 - 2 мин раствор должен оставаться слабо-розовым.
Незначительное влияние кремния при концентрации свыше 5 мг/дм3 устраняется ходом проведения аналитических процедур.
Допускается концентрация фторида в исходной пробе воды до 70 мг/дм3. Концентрации выше 200 мг/дм3 препятствуют образованию окрашивания.
Если известно, что сточная вода содержит нитриты в концентрациях (в пересчете на азот) выше 3,3 мг/дм3, что характерно для сточных вод после биологической очистки, то для устранения их мешающего влияния применяют небольшой избыток сульфаминовой кислоты. Влияние нитритов при массовой концентрации до 33 мг/дм3 устраняется добавлением к пробе 100 мг сульфаминовой кислоты (NH2SO2OH), которую вносят до добавления к пробе молибденовокислого аммония.
Соединения хрома (III) и (VI), железа, меди и ванадия в концентрациях до 10 мг/дм3 не оказывают заметного мешающего влияния.
Арсенаты оказывают мешающее влияние, но обычно в водах арсенаты отсутствуют или находятся в количествах, значительно меньших, чем фосфаты, и содержанием их можно пренебречь. При необходимости данное влияние может быть устранено восстановлением арсената до арсенита тиосульфатом натрия.
Мешающее влияние выше перечисленных соединений в основном устраняется фильтрованием пробы перед началом выполнения анализа и/или ее разбавлением.
7.3. Средства измерений, вспомогательное оборудование, реактивы, материалы - по
разделу 5.3 со следующими уточнениями:
Емкости (флаконы) из боросиликатного стекла, допускающие автоклавирование, вместимостью не менее 50 см3 с крышками и прокладками из полимерных материалов.
Автоклав-стерилизатор, обеспечивающий давление (0,20 +/- 0,02) МПа и температуру (132 +/- 2) °C, или электроплитка с закрытой спиралью по
ГОСТ 14919, или деструкционная установка.
Калий антимонил-виннокислый [(KSbO)C4H4O6·1/2H2O] с содержанием основного вещества не менее 98%.
Тиосульфат натрия (натрий серноватистокислый 5-водный) по
ГОСТ 27068, ч.д.а. или х.ч.
Фенолфталеин (индикатор), спиртовой раствор с массовой долей 0,1%, приготовленный по
ГОСТ 4919.1 с использованием спирта по ГОСТ 17300.
7.4. Подготовка к проведению измерений - по
5.4 со следующими уточнениями:
7.4.1. Приготовление раствора серной кислоты с массовой долей 38% для минерализации
В мерную колбу вместимостью 1000 см3, наполовину заполненную дистиллированной водой, осторожно, при перемешивании, мерным цилиндром приливают 278 см3 концентрированной серной кислоты. После охлаждения объем раствора доводят дистиллированной водой до 1000 см3.
Срок хранения - не более 1 года.
7.4.2. Приготовление раствора серной кислоты с массовой долей 23%
В мерную колбу вместимостью 1000 см3, наполовину заполненную дистиллированной водой, осторожно, при перемешивании, мерным цилиндром приливают 153 см3 концентрированной серной кислоты. После охлаждения объем раствора доводят дистиллированной водой до 1000 см3.
Срок хранения - не более 1 года.
7.4.3. Приготовление раствора серной кислоты молярной концентрации 0,5 моль/дм
3
В мерную колбу вместимостью 1000 см3, наполовину заполненную дистиллированной водой, осторожно, при перемешивании, мерным цилиндром приливают 28 см3 концентрированной серной кислоты. После охлаждения объем раствора доводят дистиллированной водой до 1000 см3.
Срок хранения - не более 6 мес.
7.4.4. Приготовление раствора молибденовокислого аммония с массовой долей 3%
Для приготовления 100 см3 раствора 3 г молибденовокислого аммония растворяют в 97 см3 горячей дистиллированной воды.
Раствор хранят в емкости из полимерных материалов при температуре от 2 °C до 8 °C в темноте. Срок хранения раствора - 3 мес. (если выпадет осадок молибдата, то реактив не применяют).
Пользоваться раствором можно не ранее чем через 2 сут после приготовления.
7.4.5. Приготовление раствора аскорбиновой кислоты с массовой долей 2,2%
Для приготовления 100 см3 раствора 2,2 г аскорбиновой кислоты растворяют в 97,8 см3 дистиллированной воды.
Раствор хранят при температуре от 2 °C до 8 °C. Срок хранения - не более трех недель.
7.4.6. Приготовление раствора антимонил-виннокислого калия с массовой долей 0,068%
Для приготовления 500 см3 раствора 0,34 г антимонил-виннокислого калия помещают в колбу вместимостью 500 см3 и доводят до метки дистиллированной водой.
Срок хранения - не более трех недель.
7.4.7. Приготовление смешанного реактива
Смешивают 5 частей раствора серной кислоты с массовой долей 23%
(7.4.2) с 2 частями раствора молибденовокислого аммония
(7.4.4), 2 частями раствора аскорбиновой кислоты
(7.4.5) и 1 частью раствора антимонил-виннокислого калия
(7.4.6).
Смешанный раствор готовят непосредственно перед использованием.
7.4.8. Приготовление раствора гидроокиси натрия с массовой долей 8%
80 г гидроокиси натрия растворяют в 920 см3 дистиллированной воды. Раствор хранят в посуде из полимерных материалов не более 6 мес.
7.4.9. Приготовление растворов для устранения мешающих влияний
При необходимости для устранения мешающих влияний соединений мышьяка или нитрит-иона готовят следующие растворы:
7.4.9.1. Приготовление раствора серноватистокислого натрия массовой концентрации 12 г/дм
3
Для приготовления 100 см3 раствора 1,2 г серноватистокислого натрия растворяют в мерной колбе вместимостью 100 см3 в дистиллированной воде. Срок хранения раствора в емкости из темного стекла - не более 3 мес.
7.4.9.2. Приготовление раствора сульфаминовой кислоты с массовой долей 10%
10 г сульфаминовой кислоты растворяют в 90 см3 дистиллированной воды. Срок хранения раствора - не более 6 мес.
7.4.10. Приготовление рабочего градуировочного раствора с номинальной массовой концентрацией фосфора 2,5 мг/дм
3
Рабочий градуировочный раствор готовят из стандартного образца (СО) состава растворов фосфат-ионов
(5.3) с номинальной массовой концентрацией фосфат-иона, например, равной 0,1 г/дм
3, следующим образом.
Для приготовления 100 см3 рабочего раствора с массовой концентрацией фосфора 2,5 мг/дм3 в мерную колбу номинальной вместимостью 100 см3 градуированной пипеткой вносят 7,7 см3 раствора СО номинальной массовой концентрации фосфат-ионов, равной 0,1 г/дм3, и доводят объем раствора в колбе дистиллированной водой до метки.
7.4.11. Приготовление градуировочных растворов
Для приготовления градуировочных растворов в мерные колбы вместимостью 50 см
3 каждая с внесенными в каждую колбу примерно 20 см
3 дистиллированной воды градуированной пипеткой добавляют 0,0; 0,5; 1,0; 2,0; 4,0; 6,0; 8,0 см
3 рабочего градуировочного раствора
(7.4.10), прибавляют по 5 см
3 смешанного реактива
(7.4.7), перемешивают и доводят объем раствора в каждой колбе дистиллированной водой до метки. Получают растворы с массовой концентрацией фосфора 0,0; 0,025; 0,05; 0,1; 0,2; 0,3; 0,4 мг/дм
3. Градуировочный раствор с массовой концентрацией фосфора, равной нулю, является холостой пробой для градуировки.
Градуировочные растворы готовят в день использования.
7.4.12. Градуировка прибора
7.4.12.1. Спустя 15 мин после приготовления градуировочных растворов по
7.4.11 измеряют оптическую плотность растворов на спектрофотометре или фотоэлектроколориметре при длине волны, равной (690 +/- 20) нм, в кювете с толщиной оптического слоя 25; 30 или 50 мм относительно дистиллированной воды.
Измерение оптической плотности повторяют не менее двух раз и рассчитывают среднеарифметическое значение оптической плотности для каждого градуировочного раствора.
Устанавливают градуировочную характеристику в виде зависимости оптической плотности от массовой концентрации фосфора в градуировочных растворах.
Рассчитывают коэффициент градуировочной характеристики аналогично
5.4.13.2, используя
формулу (1).
7.4.12.2. Контроль приемлемости градуировочной характеристики проводят аналогично
5.4.13.3.
7.4.12.3. Контроль стабильности градуировочной характеристики - аналогично
5.4.13.4.
7.5. Проведение измерений
7.5.1. Для определения общего фосфора в термостойкую колбу или стакан помещают аликвоту анализируемой пробы.
Примечание. При использовании автоклава аликвоту пробы помещают в емкость (флакон) из боросиликатного стекла по
7.3, при использовании деструкционной установки аликвоту пробы помещают в пробирку установки.
Далее в колбу добавляют дистиллированную воду так, чтобы общий объем аликвоты пробы и дистиллированной воды составил примерно 50 см
3 в колбе, стакане или пробирке установки (или примерно 30 см
3 в емкости (флаконе) из боросиликатного стекла), а содержание фосфора составило от 0,025 до 0,4 мг/дм
3. Прибавляют 1 см
3 раствора серной кислоты с массовой долей 38%
(7.4.1) и 0,4 г надсернокислого аммония. Раствор кипятят до тех пор, пока в колбе, стакане или пробирке установки не останется примерно 10 см
3 раствора.
Примечание. При использовании автоклава емкости (флаконы) из боросиликатного стекла помещают в автоклав и выдерживают при температуре 132 °C и давлении 0,2 МПа в течение 30 мин.
После охлаждения в пробу прибавляют одну-две капли раствора фенолфталеина и раствор гидроокиси натрия по
7.4.8 до появления слабо-розовой окраски. Затем раствор обесцвечивают прибавлением раствора серной кислоты по
7.4.3.
7.5.2. Реакционную смесь по
7.5.1 фильтруют в мерную колбу вместимостью 50 см
3, ополаскивая реакционную колбу или стакан (емкость (флакон) при использовании автоклава) и фильтр небольшим количеством дистиллированной воды, затем добавляют 5 см
3 смешанного реактива
(7.4.7) и доводят объем раствора в колбе до метки дистиллированной водой.
Примечание. При необходимости устранения мешающего влияния арсенатов за 10 мин до добавления смешанного реактива добавляют 1 см
3 раствора серноватистокислого натрия по
7.4.9.1. Измерение оптической плотности по 7.5.3 такой пробы следует провести не более чем через 10 мин.
7.5.3. Через 15 мин измеряют оптическую плотность окрашенного раствора при длине волны (690 +/- 20) нм.
7.5.4. Определение фосфора фосфатов проводят по
7.5.2 и
7.5.3, поместив в мерную колбу аликвоту профильтрованной пробы, в зависимости от предполагаемого содержания фосфатов.
7.7. Метрологические характеристики
Настоящий метод обеспечивает получение результатов измерения с метрологическими характеристиками, не превышающими значений, приведенных в таблице 3, при доверительной вероятности P = 0,95.
Диапазон измерений массовой концентрации общего фосфора и фосфора фосфатов, мг/дм3 | Предел повторяемости (относительное значение расхождения между двумя результатами параллельных определений, полученными в условиях повторяемости при P = 0,95), r, % | Предел воспроизводимости (относительное значение расхождения между двумя результатами определений, полученными в условиях воспроизводимости при P = 0,95), R, % | Показатель точности (границы относительной погрешности <*> при вероятности P = 0,95),  , % |
В питьевой и природной воде |
От 0,025 до 0,10 включ. | 40 | 56 | 40 |
Св. 0,10 до 0,4 включ. | 30 | 42 | 30 |
Св. 0,4 до 10 включ. | 24 | 34 | 24 |
Св. 10 до 1000 включ. | 20 | 28 | 20 |
В сточной воде |
От 0,10 до 0,4 включ. | 30 | 42 | 30 |
Св. 0,4 до 10 включ. | 24 | 34 | 24 |
Св. 10 до 1000 включ. | 20 | 28 | 20 |
<*> Установленные численные значения границ относительной погрешности соответствуют численным значениям расширенной неопределенности (в относительных единицах) U отн при коэффициенте охвата k = 2. |
7.8. Контроль качества результатов измерений - по
5.8.
7.9. Оформление результатов измерений - по
5.9 с учетом данных
таблицы 3.
8. Метод определения общего фосфора
после персульфатного окисления (метод Г)
8.1. Сущность метода
Сущность настоящего метода состоит в переводе в ортофосфат большинства соединений органически связанного фосфора путем персульфатного окисления. При необходимости более интенсивной обработки применяют смесь азотной и серной кислот.
8.2. Средства измерений, вспомогательное оборудование, реактивы, материалы - по
разделу 5.3 с учетом
6.1 (в части требований к спектрофотометру),
7.3 и следующего уточнения.
Калий надсернокислый (калия персульфат) по
ГОСТ 4146, х.ч.
8.3. Подготовка к проведению измерений - по
5.4 со следующими уточнениями.
8.3.1. Подготовка посуды
Перед использованием посуду моют, добавляя примерно 50 см
3 дистиллированной воды и 2 см
3 концентрированной серной кислоты, помещают в автоклав
(6.1) на 30 мин, поддерживая температуру от 115 °C до 120 °C, охлаждают и ополаскивают дистиллированной водой.
Процедуру повторяют несколько раз, посуду хранят отдельно от других наборов посуды.
8.3.2. Приготовление раствора персульфата калия
В конической колбе вместимостью 100 см3 растворяют (5,0 +/- 0,1) г персульфата калия в 100 см3 дистиллированной воды, перемешивают до растворения.
Срок хранения пересыщенного раствора в емкости из боросиликатного стекла
(7.3) в темном месте (защищенном от попадания прямого солнечного света) - не более 14 сут.
8.3.3. Приготовление раствора ортофосфата массовой концентрации 0,5 мг/дм
3 (в пересчете на фосфор)
В мерную колбу вместимостью 500 см
3 градуированной пипеткой вносят 5,0 см
3 исходного раствора ортофосфата
(6.2.11) и доводят до метки дистиллированной водой.
Раствор готовят в день использования.
8.3.4. Приготовление градуировочных растворов
Градуировочные растворы готовят следующим образом: в серию мерных колб вместимостью 50 см
3 каждая пипеткой вносят 1,0; 2,0; 3,0; 4,0; 5,0; 6,0; 7,0; 8,0; 9,0 и 10,0 см
3 раствора ортофосфата
(8.3.3) и доводят объем дистиллированной водой до 40 см
3. Полученные растворы далее готовят по
8.3.7.1, начиная со слов "Добавляют 4 см
3 раствора персульфата калия (см.
8.3.2)".
Затем в каждую колбу добавляют, встряхивая, 1 см
3 раствора аскорбиновой кислоты
(6.2.6), через 30 с - 2 см
3 раствора II слабокислого молибдата
(6.2.8) и доводят до метки дистиллированной водой.
8.3.5. Подготовка прибора - аналогично
5.4.12.
8.3.6. Градуировка прибора - аналогично
5.4.13 с использованием градуировочных растворов по
8.3.4 и проведением измерений оптической плотности при длине волны 880 нм в кювете с толщиной оптического слоя 10 мм.
Объем аликвоты градуировочного раствора - от 5 до 10 см3.
8.3.7. Проведение измерений
8.3.7.1. К 100 см
3 пробы исследуемой воды добавляют 1 см
3 серной кислоты до достижения значения pH примерно 1 (контроль по универсальной индикаторной бумаге).
До анализа пробу следует хранить в темном, прохладном месте.
В коническую колбу вместимостью 100 см
3 пипеткой вносят 40 см
3 пробы исследуемой воды, если необходимо, доводят объем дистиллированной водой до 40 см
3. Добавляют 4 см
3 раствора персульфата калия
(8.3.2) и осторожно кипятят в течение 30 мин, периодически добавляя дистиллированную воду так, чтобы объем оставался от 25 до 35 см
3. Охлаждают, доводят pH до значения от 3 до 10 добавлением раствора гидроокиси натрия
(6.2.5) или серной кислоты
(6.2.4), переносят в мерную колбу вместимостью 50 см
3 и разбавляют дистиллированной водой примерно до 40 см
3.
Допускается минерализацию проводить в автоклаве в течение 30 мин при температуре от 115 °C до 120 °C.
Примечание. Обычно соединения фосфора можно минерализовать за 30 мин, но для гидролиза некоторых полифосфорных кислот необходимо 90 мин.
8.3.7.2. Для окисления пробы в присутствии большого количества органического вещества использование персульфата бывает недостаточно. В этом случае проводят окисление смесью азотной и серной кислот (см.
Приложение Б).
8.3.7.3. Если известно или предполагают, что в пробе присутствует мышьяк, то его мешающее влияние уменьшают обработкой пробы раствором тиосульфата натрия
(6.2.10) сразу после минерализации, например по
6.3.2. В случае минерализации морской воды в автоклаве свободный хлор должен быть удален путем подогрева прежде, чем арсенат восстановится тиосульфатом.
8.3.7.4. Проведение измерений - в условиях, как при проведении градуировки прибора по
8.3.6.
8.4. Обработка результатов измерений - по
6.4.
8.5. Метрологические характеристики
Метод обеспечивает получение результатов измерения с метрологическими характеристиками, не превышающими значений, приведенных в таблице 4, при доверительной вероятности P = 0,95.
Диапазон измерений массовой концентрации общего фосфора (в пересчете на фосфор), мг/дм3 | Предел повторяемости (относительное значение допускаемого расхождения между двумя результатами параллельных определений, полученными в условиях повторяемости при P = 0,95), r, % | Предел воспроизводимости (относительное значение допускаемого расхождения между двумя результатами определений, полученными в условиях воспроизводимости при P = 0,95), R, % | Показатель точности (границы относительной погрешности <*> при вероятности P = 0,95),  , % |
От 0,005 до 0,06 включ. | 60 | 84 | 60 |
Св. 0,06 до 0,4 включ. | 45 | 63 | 45 |
Св. 0,4 до 0,8 включ. | 36 | 50 | 36 |
<*> Установленные численные значения границ относительной погрешности соответствуют численным значениям расширенной неопределенности (в относительных единицах) U отн при коэффициенте охвата k = 2. |
8.6. Контроль качества результатов измерений - по
5.8.
8.7. Оформление результатов измерений - по
5.9 с учетом данных
таблицы 4.
(рекомендуемое)
ВЫБОР ОБЪЕМА АНАЛИЗИРУЕМОЙ ПРОБЫ ДЛЯ МЕТОДА Б
А.1. Максимальный объем анализируемой аликвоты должен быть 40,0 см3. Этот объем применяют для измерения оптической плотности окрашенного комплекса для определения массовых концентраций ортофосфата до 0,8 мг/дм3 при использовании кювет с толщиной оптического слоя 10 мм.
Меньший объем аликвоты может быть взят для измерений более высоких массовых концентраций фосфата, как указано в таблице А.1. Низкие концентрации фосфатов целесообразно измерять в кюветах с оптическим слоем от 40 до 50 мм.
Таблица А.1
Анализируемый объем пробы
Массовая концентрация ортофосфатов, мг/дм3 | Объем анализируемой порции пробы воды, см3 | Толщина оптического слоя кюветы, мм |
0,0 - 0,8 | 40,0 | 10 |
0,0 - 1,6 | 20,0 | 10 |
0,0 - 3,2 | 10,0 | 10 |
0,0 - 6,4 | 5,0 | 10 |
0,0 - 0,2 | 40,0 | 40 или 50 |
(обязательное)
МИНЕРАЛИЗАЦИЯ ПРОБЫ ВОДЫ СМЕСЬЮ АЗОТНОЙ И СЕРНОЙ КИСЛОТ
Б.1. Приготовление раствора гидроксида натрия массовой концентрации 320 г/дм
3
В мерную колбу вместимостью 200 см3 вносят 150 см3 дистиллированной воды и растворяют в ней 64 г гидроокиси натрия, охлаждают и доводят до метки дистиллированной водой.
Срок хранения раствора в полиэтиленовой емкости - не более 1 года.
Б.2. Минерализация пробы исследуемой воды
Процедуру минерализации следует проводить в вытяжном шкафу следующим образом: в колбу Кьельдаля вместимостью 200 см3 пипеткой вносят 40 см3 пробы исследуемой воды, осторожно добавляют 2 см3 концентрированной серной кислоты и перемешивают. Добавляют несколько капилляров (или стеклянных шариков, или кусочков пористого фарфора) и осторожно подогревают до появления белого дыма.
После охлаждения осторожно добавляют по каплям 0,5 см3 концентрированной азотной кислоты при постоянном помешивании, подогревают, пока не перестанут выделяться коричневые пары. После охлаждения продолжают при постоянном помешивании добавлять по каплям азотную кислоту до образования прозрачного и бесцветного раствора. Затем осторожно добавляют 10 см3 дистиллированной воды при постоянном помешивании, подогревая до появления белого дыма.
После охлаждения добавляют 20 см
3 дистиллированной воды, постоянно перемешивая. Осторожно охлаждая, добавляют раствор гидроокиси натрия
(Б.1) и, перемешивая, доводят pH пробы до 3 - 10.
После охлаждения пробу количественно переносят в мерную колбу вместимостью 50 см3. Колбу Кьельдаля ополаскивают небольшим количеством дистиллированной воды, которую добавляют в мерную колбу.
| Рекомендация | Государственная система обеспечения единства измерений. Методики количественного химического анализа. Процедуры проверки приемлемости результатов анализа |
| Рекомендации по межгосударственной стандартизации | Государственная система обеспечения единства измерений. Внутренний контроль качества результатов количественного химического анализа |
| Руководство ЕВРОХИМ/СИТАК | "Количественное описание неопределенности в аналитических измерениях". 2-е издание, 2000, пер. с англ. - СПб., ВНИИМ им. Д.И. Менделеева, 2002 г. |
| Рекомендации по стандартизации | Государственная система обеспечения единства измерений. Статистические методы. Руководство по использованию оценок повторяемости, воспроизводимости и правильности при оценке неопределенности измерений |
--------------------------------
<1> Действуют в Российской Федерации.