Главная // Актуальные документы // ГОСТ (Государственный стандарт)СПРАВКА
Источник публикации
М.: Стандартинформ, 2017
Примечание к документу
По сведениям, размещенным на Информационном портале Росстандарта по адресу https://uvedns.gostinfo.ru/, данный документ утрачивал силу с 01.06.2024 в связи с изданием Приказа Росстандарта от 18.10.2023 N 1182-ст. Взамен вводился в действие
ГОСТ 33464-2023. По сведениям, размещенным на Информационном портале Росстандарта по адресу https://uvedns.gostinfo.ru/, дата утраты силы данного документа перенесена на 01.01.2028 Приказом Росстандарта от 23.05.2024 N 639-ст.
Текст данного документа приведен с учетом
поправки, опубликованной в "ИУС", N 2, 2020.
Документ
введен в действие с 1 января 2017 года.
Название документа
"ГОСТ 33464-2015. Межгосударственный стандарт. Глобальная навигационная спутниковая система. Система экстренного реагирования при авариях. Устройство/система вызова экстренных оперативных служб. Общие технические требования"
(введен в действие Приказом Росстандарта от 15.12.2016 N 2034-ст)
"ГОСТ 33464-2015. Межгосударственный стандарт. Глобальная навигационная спутниковая система. Система экстренного реагирования при авариях. Устройство/система вызова экстренных оперативных служб. Общие технические требования"
(введен в действие Приказом Росстандарта от 15.12.2016 N 2034-ст)
по техническому регулированию
и метрологии
от 15 декабря 2016 г. N 2034-ст
МЕЖГОСУДАРСТВЕННЫЙ СТАНДАРТ
ГЛОБАЛЬНАЯ НАВИГАЦИОННАЯ СПУТНИКОВАЯ СИСТЕМА
СИСТЕМА ЭКСТРЕННОГО РЕАГИРОВАНИЯ ПРИ АВАРИЯХ
УСТРОЙСТВО/СИСТЕМА ВЫЗОВА ЭКСТРЕННЫХ
ОПЕРАТИВНЫХ СЛУЖБ. ОБЩИЕ ТЕХНИЧЕСКИЕ ТРЕБОВАНИЯ
Global navigation satellite system. Road accident emergency
response system. In-vehicle emergency call device/system.
General technical requirements
ГОСТ 33464-2015
Дата введения
1 января 2017 года
Цели, основные принципы и основной порядок проведения работ по межгосударственной стандартизации установлены в
ГОСТ 1.0-2015 "Межгосударственная система стандартизации. Основные положения" и
ГОСТ 1.2-2015 "Межгосударственная система стандартизации. Стандарты межгосударственные, правила и рекомендации по межгосударственной стандартизации. Правила разработки, принятия, обновления и отмены"
1 РАЗРАБОТАН Некоммерческим партнерством "Содействие развитию и использованию навигационных технологий" и акционерным обществом "Научно-технический центр современных навигационных технологий "Интернавигация" (АО "НТЦ "Интернавигация")
2 ВНЕСЕН Федеральным агентством по техническому регулированию и метрологии
3 Принят Межгосударственным советом по стандартизации, метрологии и сертификации по результатам голосования (протокол от 12 ноября 2015 г. N 82-П)
За принятие проголосовали:
Краткое наименование страны по МК (ИСО 3166) 004-97 | Код страны по МК (ИСО 3166) 004-97 | Сокращенное наименование национального органа по стандартизации |
Армения | AM | Минэкономики Республики Армения |
Казахстан | KZ | Госстандарт Республики Казахстан |
Киргизия | KG | Кыргызстандарт |
Россия | RU | Росстандарт |
Таджикистан | TJ | Таджикстандарт |
4
Приказом Федерального агентства по техническому регулированию и метрологии от 15 декабря 2016 г. N 2034-ст межгосударственный стандарт ГОСТ 33464-2015 введен в действие в качестве национального стандарта Российской Федерации с 1 января 2017 г.
--------------------------------
<*>
Приказом Федерального агентства по техническому регулированию и метрологии от 15 декабря 2016 г. N 2034-ст национальный стандарт
ГОСТ Р 54620-2011 отменен с 1 июня 2017 г.
6 ВВЕДЕН ВПЕРВЫЕ
Информация об изменениях к настоящему стандарту публикуется в ежегодном информационном указателе "Национальные стандарты" (по состоянию на 1 января текущего года), а текст изменений и поправок - в ежемесячном информационном указателе "Национальные стандарты". В случае пересмотра (замены) или отмены настоящего стандарта соответствующее уведомление будет опубликовано в ежемесячном информационном указателе "Национальные стандарты". Соответствующая информация, уведомление и тексты размещаются также в информационной системе общего пользования - на официальном сайте Федерального агентства по техническому регулированию и метрологии в сети Интернет (www.gost.ru)
Система экстренного реагирования при авариях предназначена для снижения тяжести последствий дорожно-транспортных происшествий и иных происшествий на дорогах посредством уменьшения времени доведения информации об указанных происшествиях до экстренных оперативных служб. В Республике Беларусь система экстренного реагирования при авариях называется "ЭРА-РБ", в Республике Казахстан - "ЭВАК", в Российской Федерации - "ЭРА-ГЛОНАСС". Аналогом указанных систем является разрабатываемая общеевропейская система eCall, с которой вышеуказанные системы гармонизированы по основным функциональным свойствам (использование тонального модема как основного механизма передачи данных; унифицированные состав и формат обязательных данных, передаваемых в составе минимального набора данных о дорожно-транспортном происшествии, единообразные правила установления и завершения двустороннего голосового соединения с лицами, находящимися в кабине транспортного средства и др.).
Устройства и системы вызова экстренных оперативных служб, предназначенные для оснащения транспортных средств категорий M и N в соответствии с требованиями технического
регламента Таможенного союза "О безопасности колесных транспортных средств" (ТР ТС 018/2011)
[1], обеспечивают формирование и передачу в систему экстренного реагирования при авариях минимально необходимого набора данных о транспортном средстве при дорожно-транспортном и ином происшествии, а также установление двусторонней голосовой связи с экстренными оперативными службами.
Настоящий стандарт входит в комплекс стандартов "Глобальная навигационная спутниковая система. Система экстренного реагирования при авариях" и является одним из основополагающих стандартов комплекса.
Настоящий стандарт распространяется на устройство и систему вызова экстренных оперативных служб, предназначенные для установки на колесные транспортные средства категорий M и N в соответствии с требованиями, установленными в техническом
регламенте [1].
Настоящий стандарт устанавливает общие технические требования к устройству/системе вызова экстренных оперативных служб, направленные на выполнение требований технического
регламента [1] и связанные с предоставлением базовой услуги системой экстренного реагирования при авариях.
В настоящем стандарте использованы нормативные ссылки на следующие стандарты:
ГОСТ 12.1.044-89 (ИСО 4589-84) Система стандартов безопасности труда. Пожаровзрывоопасность веществ и материалов. Номенклатура показателей и методы их определения
ГОСТ 12.2.007.0-75 Система стандартов безопасности труда. Изделия электротехнические. Общие требования безопасности
ГОСТ 14254-96 (МЭК 529-89) Степени защиты, обеспечиваемые оболочками (Код IP)
ГОСТ 15150-69 Машины, приборы и другие технические изделия. Исполнения для различных климатических районов. Категории, условия эксплуатации, хранения и транспортирования в части воздействия климатических факторов внешней среды
ГОСТ 16019-2001 Аппаратура сухопутной подвижной радиосвязи. Требования по стойкости к воздействию механических и климатических факторов и методы испытаний
ГОСТ 16600-72 Передача речи по трактам радиотелефонной связи. Требования к разборчивости речи и методы артикуляционных измерений
ГОСТ 18725-83 Микросхемы интегральные. Общие технические условия
ГОСТ 28279-89 Совместимость электромагнитная электрооборудования автомобиля и автомобильной бытовой радиоэлектронной аппаратуры. Нормы и методы измерений
ГОСТ 28751-90 Электрооборудование автомобилей. Электромагнитная совместимость. Кондуктивные помехи по цепям питания. Требования и методы испытаний
ГОСТ 29157-91 Совместимость технических средств электромагнитная. Электрооборудование автомобилей. Помехи в контрольных и сигнальных бортовых цепях. Требования и методы испытаний
ГОСТ 33465-2015 Глобальная навигационная спутниковая система. Система экстренного реагирования при авариях. Протокол обмена данными устройства/системы вызова экстренных оперативных служб с инфраструктурой системы экстренного реагирования при авариях
ГОСТ 33466-2015 Глобальная навигационная спутниковая система. Система экстренного реагирования при авариях. Методы испытаний устройства/системы вызова экстренных оперативных служб на соответствие требованиям по электромагнитной совместимости, стойкости к климатическим и механическим воздействиям
ГОСТ 33468-2015 Глобальная навигационная спутниковая система. Система экстренного реагирования при авариях. Методы испытаний устройства/системы вызова экстренных оперативных служб на соответствие требованиям к качеству громкоговорящей связи в кабине транспортного средства
ГОСТ 33469-2015 Глобальная навигационная спутниковая система. Система экстренного реагирования при авариях. Методы испытаний устройства/системы вызова экстренных оперативных служб на соответствие требованиям по определению момента аварии
ГОСТ 33470-2015 Глобальная навигационная спутниковая система. Система экстренного реагирования при авариях. Методы испытаний модулей беспроводной связи устройства/системы вызова экстренных оперативных служб
Примечание - При пользовании настоящим стандартом целесообразно проверить действие ссылочных стандартов в информационной системе общего пользования - на официальном сайте Федерального агентства по техническому регулированию и метрологии в сети Интернет или по ежегодному информационному указателю "Национальные стандарты", который опубликован по состоянию на 1 января текущего года, и по соответствующим ежемесячным информационным указателям, опубликованным в текущем году. Если ссылочный стандарт заменен (изменен), то при пользовании настоящим стандартом следует руководствоваться заменяющим (измененным) стандартом. Если ссылочный стандарт отменен без замены, то положение, в котором дана ссылка на него, применяется в части, не затрагивающей эту ссылку.
3. Термины, определения и сокращения
3.1 Термины и определения
В настоящем стандарте применены следующие термины с соответствующими определениями:
3.1.1 базовая услуга системы: Результат функционирования системы экстренного реагирования при авариях, состоящий в формировании и передаче экстренных сообщений о дорожно-транспортных происшествиях, приеме, обработке и доведении указанных сообщений в единую дежурно-диспетчерскую службу системы-112 и обеспечении установления (коммутации) двухсторонней голосовой связи с лицами, находящимися в транспортном средстве.
3.1.2 дорожно-транспортное происшествие; ДТП: Событие, возникшее в процессе движения по дороге транспортного средства и с его участием, при котором погибли или ранены люди, повреждены транспортные средства, сооружения, грузы либо причинен иной материальный ущерб.
3.1.3 датчик автоматической идентификации события ДТП: Техническое устройство, предназначенное для установления факта ДТП на основе обработки данных, поступающих от входящего в его состав трехосевого датчика ускорения, и предоставляющее информацию во внешние устройства для записи профиля ускорения при ДТП и/или оценки тяжести ДТП.
Примечание - для транспортных средств категорий M1 и N1 датчик автоматической идентификации события ДТП может входить в состав штатной автомобильной системы, требования к которой устанавливаются производителем транспортного средства.
3.1.4 единый номер "112": Единый номер вызова экстренных оперативных служб, установленный в национальной системе и плане нумерации нормативными правовыми актами государств, указанных в
предисловии к настоящему стандарту, как проголосовавших за его принятие <1>.
--------------------------------
<1> В Российской Федерации Российская
система и план нумерации утверждены и введены в действие приказом Министерства информационных технологий и связи Российской Федерации от 17 ноября 2006 г. N 142.
3.1.5 индекс возможного ущерба при ДТП; ASI15: Показатель, характеризующий возможную степень воздействия инерционных перегрузок на лиц, находящихся в транспортном средстве, в результате ДТП.
3.1.6 конфигурируемый параметр: Параметр, влияющий на алгоритм функционирования УСВ, значение которого может изменяться в соответствии с командой, приходящей от оператора системы, или посредством использования диагностического интерфейса, определяемого производителем транспортного средства или производителем УСВ.
3.1.7 минимальный набор данных; МНД: Набор данных, передаваемый УСВ при дорожно-транспортном происшествии и включающий в себя информацию о координатах и параметрах движения аварийного транспортного средства и времени аварии, VIN-коде транспортного средства и другую информацию, необходимую для экстренного реагирования.
3.1.8 оператор системы экстренного реагирования при авариях (оператор системы): Юридическое лицо, осуществляющее деятельность по эксплуатации системы экстренного реагирования при авариях, в том числе по обработке информации, содержащейся в ее базе данных.
3.1.9 оценка тяжести ДТП: Бинарный показатель, передаваемый в составе минимального набора данных и используемый для условной оценки последствий ДТП по причинению возможного ущерба жизни и здоровью людей, находящихся в кабине транспортного средства, в зависимости от принятого уровня вероятности указанного события и/или используемых критериев автоматического срабатывания УСВ.
Примечание - Данный показатель может принимать следующие значения:
"0" - в случае автоматического срабатывания УСВ в результате ДТП, при которых существует вероятность причинения ущерба средней тяжести жизни и здоровью людей, находящихся в кабине транспортного средства. Например, если индекс возможного ущерба при ДТП ASI15 находится в диапазоне значений 0,7 <= ASI15 <= 1,4;
"1" - в случае автоматического срабатывания УСВ в результате ДТП, при которых существует вероятность причинения тяжелого вреда жизни и здоровью людей, находящихся в кабине транспортного средства. Например, если индекс возможного ущерба при ДТП ASI15 > 1,4 или при опрокидывании транспортного средства.
3.1.10 профиль ускорения при ДТП: Массив данных, содержащий записи значений ускорения по направлениям трех осей транспортного средства (продольной, поперечной, вертикальной) в задаваемые периоды времени до, в течение и после ДТП.
3.1.11 система вызова экстренных оперативных служб; СВ: Система, выполняющая функции устройства вызова экстренных оперативных служб, обеспечивающая передачу сообщения о транспортном средстве при дорожно-транспортном и ином происшествиях в автоматическом режиме.
Примечания
1 Система вызова экстренных оперативных служб позволяет осуществлять передачу сообщения о транспортном средстве при дорожно-транспортном и ином происшествиях также и в ручном режиме.
2 Категории транспортных средств, подлежащих оснащению системами вызова экстренных оперативных служб, установлены в
[1].
3.1.12 система экстренного реагирования при авариях: Федеральная государственная территориально распределенная автоматизированная информационная система, обеспечивающая оперативное получение с использованием сигналов глобальной навигационной спутниковой системы ГЛОНАСС совместно с другой действующей ГНСС информации о дорожно-транспортных происшествиях и иных чрезвычайных ситуациях на автомобильных дорогах, обработку, хранение и передачу этой информации экстренным оперативным службам, а также доступ к указанной информации заинтересованных государственных органов, органов местного самоуправления, должностных лиц, юридических и физических лиц.
Примечание - В Республике Беларусь система экстренного реагирования при авариях называется "ЭРА-РБ", в Республике Казахстан - "ЭВАК", в Российской Федерации - "ЭРА-ГЛОНАСС". Аналогом вышеуказанных систем является разрабатываемая общеевропейская система eCall, с которой эти системы гармонизированы по основным функциональным свойствам (использование тонального модема как основного механизма передачи данных; унифицированные состав и формат обязательных данных, передаваемых в составе минимального набора данных о дорожно-транспортном происшествии, единообразные правила установления и завершения двустороннего голосового соединения с лицами, находящимися в кабине транспортного средства и др.).
3.1.13 система-112: Система обеспечения вызова экстренных оперативных служб по единому номеру "112".
3.1.14 тональный модем: Модем, позволяющий осуществлять передачу данных в рамках установленного голосового соединения.
3.1.15 транспортное средство: Наземное механическое устройство на колесном ходу категорий M, N, предназначенное для перевозки людей, грузов или оборудования, установленного на нем, по автомобильным дорогам общего пользования
[1].
3.1.16 узкополосная УСВ: УСВ, работающая с узкополосным речевым сигналом обычного качества (с рабочей полосой частот 0,3 - 3,4 кГц и частотой дискретизации не менее 8 кГц).
3.1.17 устройство вызова экстренных оперативных служб; УВ: устройство, осуществляющее и обеспечивающее определение координат, скорости и направления движения транспортного средства с помощью сигналов не менее двух действующих глобальных навигационных спутниковых систем, передачу сообщения о транспортном средстве при дорожно-транспортном и ином происшествиях в ручном режиме и двустороннюю голосовую связь с экстренными оперативными службами по сетям подвижной радиотелефонной связи.
Примечания
1 Устройство вызова экстренных оперативных служб может осуществлять передачу сообщения о транспортном средстве при дорожно-транспортном и ином происшествиях также и в автоматическом режиме. Типы аварий транспортного средства, определяемые автоматически, а также сроки реализации устройством функции автоматической передачи сообщения о транспортном средстве установлены в
[1].
2 Категории транспортных средств, подлежащих оснащению устройствами вызова экстренных оперативных служб, установлены в
[1].
3.1.18 широкополосная УСВ: УСВ, работающая с широкополосным речевым сигналом повышенного качества (с рабочей полосой частот 0,15 - 7,0 кГц и с частотой дискретизации не менее 16 кГц).
3.1.19 экстренный вызов: действия, предпринимаемые УСВ по осуществлению телефонного вызова на единый номер "112" с установленным признаком экстренного вызова из транспортного средства.
3.1.20 экстренная оперативная служба: Органы управления уполномоченных национальных органов исполнительной власти и их территориальных органов, органов местного самоуправления, а также подчиненные им силы и средства, находящиеся в постоянной готовности к оперативным действиям и обеспечивающие безопасность людей и имущества при возникновении чрезвычайных происшествий и ситуаций.
Примечания
1 Экстренная оперативная служба включает в себя соответствующую дежурно-диспетчерскую службу, принимающую по сокращенному номеру экстренные вызовы населения, и подчиненные ей силы и средства, непосредственно реагирующие на полученные вызовы.
2 Перечень экстренных оперативных служб, вызов которых круглосуточно и бесплатно обязаны обеспечить национальные операторы связи пользователю услугами связи, устанавливаются нормативными правовыми актами государств, указанных в
предисловии к настоящему стандарту, как проголосовавших за его принятие <2>.
--------------------------------
<2> В Российской Федерации
перечень экстренных оперативных служб утвержден постановлением Правительства Российской Федерации от 31 декабря 2004 г. N 894 "Об утверждении перечня экстренных оперативных служб, вызов которых круглосуточно и бесплатно обязан обеспечить оператор связи пользователю услугами связи, и о назначении единого номера вызова экстренных оперативных служб".
3.2 Сокращения
В настоящем стандарте применены следующие сокращения:
АРУ - автоматическая регулировка усиления;
АСН.1 - абстрактная синтаксическая нотация один;
БИП - блок интерфейса пользователя;
ГНСС - глобальная навигационная спутниковая система;
НКА - навигационный космический аппарат;
ПЗ-90.11 - государственная геоцентрическая система координат "Параметры Земли 1990 года";
ПО - программное обеспечение;
ОСШ - отношение сигнал/шум
ТС - транспортное средство;
УСВ - устройство/система вызова экстренных оперативных служб;
AES - симметричный алгоритм блочного шифрования;
CRC-32 - циклический избыточный код;
DES - симметричный алгоритм шифрования;
DTMF - двухтональный многочастотный аналоговый сигнал, используемый для набора телефонного номера, а также для голосового автоответа;
eCall - общеевропейская система экстренного реагирования при авариях;
EDGE - цифровая технология беспроводной передачи данных для мобильной связи, которая функционирует как надстройка над 2G и 2.5G GPRS-сетями;
eUICC - встроенная микропроцессорная карта расширенного стандарта;
GPRS - служба пакетной передачи данных по радиосетям;
GPS - глобальная навигационная спутниковая система Соединенных Штатов Америки;
GSM - глобальный цифровой стандарт для мобильной сотовой связи;
GSM-Milenage - алгоритмы аутентификации и генерации сеансового ключа в сетях подвижной радиотелефонной связи;
FIFO - порядок получения и выдачи данных по принципу "первым пришел - первым обслуживаешься": блок данных, полученный первым, первым обрабатывается/обслуживается/передается дальше на обработку;
HSDPA - высокоскоростная пакетная передача данных от базовой станции к мобильному устройству;
IMEI - международный идентификатор мобильного оборудования;
IO - вход-выход;
IP - протокол Интернет;
LIFO - порядок получения и выдачи данных по принципу "последним пришел - первым обслуживаешься": блок данных, полученный последним, первым обрабатывается/обслуживается/передается дальше на обработку;
LTE - стандарт подвижной радиотелефонной связи;
MD5 - 28-битный алгоритм хеширования;
MMF2 - условное наименование стандартов, определяющих характеристики SIM-карт, выполненных в корпусном исполнении;
OTA - механизм удаленного обновления программного обеспечения "по воздуху";
PIN - личный идентификационный номер;
RLR - показатель громкости приема, эквивалент затухания на прием;
RAIM - автономный контроль целостности обрабатываемой навигационной информации в навигационном приемнике;
SHA-1 - алгоритм криптографического хеширования, версия 1;
SIM - модуль идентификации абонента, SIM-карта;
SLR - показатель громкости передачи, эквивалент затухания на передачу;
SMS - система коротких сообщений;
TCU - блок управления телекоммуникационной системой или блок управления терминалом;
TCLw - взвешенное затухание электроакустического тракта;
TS - техническая спецификация;
UMTS - универсальная мобильная телекоммуникационная система, европейская версия системы сотовой связи третьего поколения;
VIN - идентификационный номер транспортного средства;
WGS-84 - всемирная геодезическая система координат 1984 г;
XOR - функция, исключающая "ИЛИ".
4.1 Требования к УСВ применяют в зависимости от категории ТС и возможного способа установки указанной системы на нем.
4.2 В настоящем стандарте рассматриваются следующие категории ТС
[1]:
4.2.1 Категория M - ТС, имеющие не менее четырех колес и используемые для перевозки пассажиров, включая:
- автомобили легковые, в том числе:
- категория M1 - ТС, используемые для перевозки пассажиров и имеющие, помимо места водителя, не более восьми мест для сидения;
- автобусы, троллейбусы, специализированные пассажирские ТС и их шасси, в том числе:
- категория M2 - ТС, используемые для перевозки пассажиров, имеющие, помимо места водителя, более восьми мест для сидения, максимальная масса которых не превышает 5 т;
- категория M3 - ТС, используемые для перевозки пассажиров, имеющие, помимо места водителя, более восьми мест для сидения, максимальная масса которых превышает 5 т.
4.2.2 Категория N - ТС, используемые для перевозки грузов, - автомобили грузовые и их шасси, в том числе:
- категория N1 - ТС, предназначенные для перевозки грузов, имеющие максимальную массу не более 3,5 т;
- категория N2 - ТС, предназначенные для перевозки грузов, имеющие максимальную массу свыше 3,5 т, но не более 12 т;
- категория N3 - ТС, предназначенные для перевозки грузов, имеющие максимальную массу более 12 т;
4.3 Применяются следующие способы (конфигурации) установки автомобильной системы вызова экстренных оперативных служб на ТС:
- в конфигурации штатного оборудования, при которой установка УСВ производится на сборочной линии производителя ТС;
- в конфигурации дополнительного оборудования, при которой установка УСВ производится на сервисных (установочных) станциях, уполномоченных установленным порядком на производство указанных работ, либо на площадке производителя ТС или дилера производителя ТС после выпуска (изготовления) ТС на основном сборочном производстве.
4.4 Параметры настройки УСВ должны соответствовать приведенным в
приложении А.
5. Состав устройства/системы вызова экстренных оперативных служб
5.1 УСВ должна включать следующие основные компоненты.
5.1.1 Навигационный приемник ГЛОНАСС и других действующих глобальных навигационных спутниковых систем.
5.1.2 Антенна ГНСС.
5.1.3 Коммуникационный модуль (модем) GSM и UMTS.
5.1.4 Микрофон(ы) и динамик(и).
5.1.5 Антенна для коммуникационного модуля GSM и UMTS.
5.1.6 Встроенная неснимаемая универсальная многопрофильная SIM/e UICC микросхема.
5.1.7 Тональный модем.
5.1.8 Датчик автоматической идентификации ДТП (только для транспортных средств категорий M1 и N1).
5.1.9 Если система поддерживает запись профиля ускорения при ДТП и/или оценку тяжести ДТП - необходимые дополнительные компоненты, предназначенные для записи профиля ускорения при ДТП и (или) оценки тяжести ДТП.
Примечание - Допускается использовать информацию, поступающую от штатных автомобильных систем для автоматической идентификации события ДТП, для записи профиля ускорения при ДТП и/или оценки тяжести ДТП.
5.1.10 Блок интерфейса пользователя с кнопками "Экстренный вызов" и "Дополнительные функции".
Примечание - Вместо кнопки "Дополнительные функции" может использоваться иной интерфейс пользователя, удовлетворяющий требованиям
подраздела 8.8.
5.1.11 Индикатор состояния УСВ.
Примечание - Допускается использование штатных автомобильных систем для реализации функциональности кнопок "Экстренный вызов" и "Дополнительные функции" и для отображения состояния УСВ, если гарантируется работоспособность данных систем при механических воздействиях, перечисленных в
13.3.1 и
13.3.2.
5.1.12 Внутренняя энергонезависимая память и оперативная память.
5.1.13 Управляющий микроконтроллер.
Примечание - Управляющий микроконтроллер может быть совмещен с другими модулями (например, с коммуникационным модулем GSM/UMTS или ГНСС приемником).
5.1.14 Интерфейс доступа к диагностическим данным, предназначенный для считывания и очистки содержимого внутренней энергонезависимой памяти устройства.
Для штатных автомобильных систем интерфейс для доступа к диагностическим данным определяет производитель транспортного средства.
Для автомобильных систем, устанавливаемых в конфигурации дополнительного оборудования, интерфейс для доступа к диагностическим данным определяет производитель УСВ.
5.1.15 Источник питания
5.1.16 Резервный источник питания для обеспечения голосовой связи в отсутствие внешнего питания при оказании экстренной помощи в соответствии с требованиями
8.11.
Данное требование не распространяется на УСВ, установленные в конфигурации штатного оборудования, гарантирующие работоспособность УСВ в составе транспортного средства без использования встроенной резервной батареи, при наличии механических воздействий, перечисленных в
13.3.1 и
13.3.2.
5.2 Возможные способы (варианты) конструктивного исполнения УСВ, предусматривающие объединение в одном корпусе (основной блок (TCU), БИП и др.) различных компонентов УСВ, определяются производителем ТС (для штатных УСВ) и/или производителем УСВ (для систем/устройств, исполненных в конфигурации дополнительного оборудования).
5.3 Требования к компонентам УСВ приведены в
разделе 8.
5.4 В конфигурации дополнительного оборудования УСВ должна иметь, по крайней мере, два цифровых выхода ECALL_MODE_PIN и GARAGE_MODE_PIN, рассчитанные на ток до 200 мА (коммутируется на землю) и максимальное напряжение в закрытом состоянии - 36 В.
Примечание - Здесь и далее по тексту имя и значение установочных параметров УСВ - в соответствии с
приложением А.
6. Функции устройства/системы вызова экстренных оперативных служб
6.1 Устройство/система вызова экстренных оперативных служб должно/должна обеспечивать формирование и передачу МНД при наступлении ДТП:
- для транспортных средств категорий M1 и N1 - автоматически (по сигналам от датчиков, входящих в состав данной системы или других систем транспортного средства);
- для транспортных средств категорий M и N - в ручном режиме (при нажатии кнопки "Экстренный вызов").
Примечание - Категории транспортных средств, подлежащих оснащению системами/устройствами вызова экстренных оперативных служб, установлены в
[1].
6.2 Автомобильная система вызова экстренных оперативных служб, установленная на транспортных средствах категорий M1 и N1, должна автоматически определять событие аварии, при котором возникает существенная вероятность угрозы жизни и здоровью людей, находящихся в салоне (кабине) транспортного средства на момент аварии.
6.2.1 Автомобильная система вызова экстренных оперативных служб должна распознавать следующие типы аварий: фронтальное столкновение, боковое столкновение, удар сзади (опциально), опрокидывание.
Примечание - Требование по распознаванию аварии типа "опрокидывание" вступает в действие в сроки, устанавливаемые в
[1].
6.2.2 Для УСВ, устанавливаемых в конфигурации штатного оборудования, механизм определения момента аварии определяется производителем транспортного средства с учетом требований, установленных в
[1] (приложение 3,
подпункт 17.2.1).
6.2.3 Для УСВ, устанавливаемых в конфигурации дополнительного оборудования, в качестве критерия срабатывания системы рекомендуется использовать условие, при котором значение индекса возможного ущерба
ASI15 превышает значения, приведенные в
6.2.4.
Описание метода определения тяжести аварии для транспортных средств категорий M1 и N1 указано в
приложении Б.
Индекс возможного ущерба ASI15 рассчитывается с использованием следующих соотношений:

, (1)

, (2)

, (3)

, (4)

, (5)
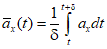
где (t2 - t1) - интервал записи параметров для оценки индекса возможного ущерба, принимаемый равным 15 мс;
ASI(t) - текущее значение индекса возможного ущерба;
ax, ay, az - компоненты ускорения рассматриваемой точки транспортного средства в месте крепления датчика ускорения по направлениям основных осей транспортного средства (продольной - x, поперечной - y, вертикальной - z);

,

,

- компоненты ускорения рассматриваемой точки транспортного средства в месте крепления датчика ускорения по направлениям основных осей транспортного средства, усредненные на промежутке интервала времени

;

,

,

- предельные значения соответствуют уровню, ниже которого риск для человека незначительный. При использовании ремней безопасности предельные значения ускорений обычно принимают равными

;

;

.
6.2.4 Устанавливаются следующие критерии автоматического срабатывания УСВ в зависимости от степени тяжести аварии по причинению возможного ущерба жизни и здоровью людей, находящихся в кабине транспортного средства, при лобовом и боковом столкновениях ТС:
ASI15 < 0,7 - УСВ не должна срабатывать по причине низкой вероятности причинения ущерба жизни и здоровью людей, находящихся в кабине транспортного средства, в результате ДТП;
0,7 <= ASI15 <= 1,4 - диапазон значений ASI15 автоматического срабатывания УСВ, при которых существует вероятность причинения ущерба жизни и здоровью людей средней тяжести;
ASI15 > 1,4 - значения ASI15, при которых существует вероятность причинения тяжелого вреда жизни и здоровью людей, находящихся в кабине транспортного средства, в результате ДТП.
Описание метода определения тяжести аварии для транспортных средств категорий M1 и N1 с использованием УСВ, исполненных в конфигурации дополнительного оборудования, приведено в
приложении Б.
6.3 В состав МНД должна включаться информация о последнем известном местоположении ТС на момент определения события ДТП в соответствии с
приложением В.
6.4 Если в момент генерации МНД отсутствует достоверная информация о последнем известном местоположении ТС на момент определения события ДТП, то признак "нет достоверной информации о местоположении ТС" должен быть включен в состав МНД в соответствии с
приложением В. В данном случае в состав МНД также должна быть включена информация о предполагаемом последнем известном местоположении ТС на момент определения события ДТП. Метод определения предполагаемого последнего известного местоположения ТС определяется производителем УСВ.
6.5 Признак наличия достоверной информации о местоположении ТС должен устанавливаться в соответствии с
приложением В. Признак наличия достоверной информации о местоположении ТС должен устанавливаться как значение "есть достоверная информация о местоположении ТС", если имеется информация о достоверном определении местоположения ТС, соответствующая требованиям, установленным в
приложении В.
6.6 В состав МНД должна включаться информация о направлении движения ТС в соответствии с
приложением В. Указанная информация должна соответствовать реальному направлению движения ТС и не должна зависеть от возможного разброса значений о местоположении ТС, получаемых от приемника ГНСС. Алгоритм фильтрации (сглаживания) данных определяется производителем УСВ и/или производителем ГНСС приемника.
6.7 Для СВ, установленных на транспортных средствах категорий M1 и N1, должна быть реализована возможность отключения процедуры инициализации режима "Экстренный вызов" в автоматическом режиме посредством использования параметра настройки ECALL_NO_AUTOMATIC_TRIGGERING СВ.
6.8 Запись и передача профиля ускорения при ДТП (только для транспортных средств категорий M1 и N1).
6.8.1 Функция записи и передачи профиля ускорения при ДТП должна быть реализована для СВ, устанавливаемых в конфигурации дополнительного оборудования, если СВ не поддерживает функцию оценки степени тяжести ДТП.
6.8.2 Если событие ДТП определено автоматически и в СВ поддерживается передача профиля ускорения при ДТП, то должны осуществляться запись и передача оператору системы профиля ускорения ТС по трем осям в периоды времени, установленные согласно
приложению А до, в течение и после события ДТП.
6.8.3 Если в СВ поддерживается функция записи и передачи профиля ускорения при ДТП, то записываемый массив данных об ускорении при ДТП по трем осям должен содержаться в кольцевом буфере и охватывать интервал времени CRASH_RECORD_TIME (не менее 250 мс) с разрешением CRASH_RECORD_RESOLUTION (не более 5 мс; желательное разрешение - 1 мс) во время ДТП и CRASH_PRE_RECORD_TIME (3,5 с) с разрешением CRASH_PRE_RECORD_RESOLUTION (10 мс) - для предыстории ДТП.
6.8.4 Если в СВ поддерживается функция записи и передачи профиля ускорения при ДТП, то ускорение транспортного средства должно определяться по трем осям в следующих диапазонах с погрешностью не более 10% и разрешением не хуже, чем указано ниже:
- боковое: от минус 24 G до плюс 24 G (максимально допустимое разрешение 0,1 G);
- продольное: от минус 24 G до плюс 24 G (максимально допустимое разрешение 0,1 G);
- вертикальное: от минус 24 G до плюс 24 G (максимально допустимое разрешение 0,1 G).
6.8.5 Если в СВ поддерживается функция записи и передачи профиля ускорения при ДТП и ускорение транспортного средства не может быть измерено с точностью и разрешением, указанными в
6.8.4, то профиль ускорения не должен записываться, что должно отражаться в соответствующем информационном сообщении, которое должно передаваться оператору системы.
6.8.6 Профиль ускорения при ДТП должен передаваться оператору системы посредством пакетной передачи данных и сохраняться в энергонезависимой памяти СВ при невозможности передачи по эфиру. Источником данных для записи профиля ускорения может служить как трехосевой датчик ускорения, подключенный к СВ, так и другой электронный блок (блоки), установленный (установленные) в транспортном средстве, если требования по стойкости к внешним воздействиям, определенные в
13.3.1 и
13.3.2, выполняются для всех составных частей (компонентов) СВ, необходимых для записи и передачи профиля ускорения.
6.8.7 Если в СВ поддерживается функция записи и передачи профиля ускорения при ДТП, то профиль ускорения должен записываться всегда при включенном зажигании и после выключения зажигания в течение конфигурируемого промежутка времени, определяемого параметром настройки IGNITION_OFF_FOLLOW_UP_TIME1.
6.9 Запись и передача траектории движения транспортного средства при ДТП (только для транспортных средств категорий M1 и N1 и только для СВ, устанавливаемых в конфигурации дополнительного оборудования)
6.9.1 При определении события ДТП СВ должна определять и сохранять в кольцевом буфере данные о времени наступления события, географических координатах в системах координат, установленных в
8.1.6, и скорости транспортного средства. Формат указанных данных - в соответствии с
ГОСТ 33465.
6.9.2 Данные о географических координатах должны охватывать интервал времени не менее 10 с после момента определения СВ факта ДТП и 60 с предыстории (до момента определения СВ факта ДТП) с разрешением по оси времени не более 5 с (в том числе последние 10 с предыстории с разрешением по оси времени не более 1 с) и предельной погрешностью определения координат не более указанной в
8.1.7.
6.9.3 Если включено зажигание, то информация о модуле вектора скорости транспортного средства должна сохраняться в кольцевом буфере и охватывать интервал времени 10 с после момента определения СВ факта ДТП и 20 с предыстории (до момента определения СВ факта ДТП) с разрешением по оси времени не более 1 с и предельной погрешностью определения скорости не более указанной в
8.1.7.
Примечание - Для получения информации о векторе скорости может использоваться приемник ГНСС.
6.9.4 В случае автоматического определения момента аварии данные о местоположении и скорости транспортного средства должны передаваться оператору системы посредством пакетной передачи данных и сохраняться в энергонезависимой памяти СВ при невозможности передачи данных по эфиру.
6.10 Запись и передача данных по оценке тяжести ДТП (только для транспортных средств категорий M1 и N1).
6.10.1 Если в СВ поддерживается функция оценки тяжести ДТП, то оценка тяжести ДТП должна передаваться оператору системы как дополнительные данные в составе МНД в соответствии с
приложением В.
6.10.2 Оценка тяжести ДТП может производиться как на стороне автомобильной системы, так и на стороне оператора системы.
6.11 Общие требования по записи и передаче данных (только для транспортных средств категорий M1 и N1)
6.11.1 Профиль ускорения при ДТП (если поддерживается функция записи и передачи профиля ускорения при ДТП) и траектория движения ТС при ДТП (если поддерживается функция записи и передачи траектории движения ТС при ДТП) должны передаваться по запросу оператора, если событие ДТП определено в автоматическом режиме.
6.11.2 Оценка тяжести ДТП (если поддерживается функция определения оценки тяжести ДТП) должна автоматически передаваться оператору системы, если событие ДТП определено в автоматическом режиме.
6.11.3 Если поддерживается функция записи и передачи профиля ускорения при ДТП, событие ДТП определено в автоматическом режиме, а запись профиля ускорения, характеризующего предыдущее событие превышения порога ускорения, еще не закончена, то СВ должна осуществить запись двух профилей ускорения параллельно, если объем памяти СВ, определенный в
6.11.6, позволяет это сделать.
6.11.4 Если событие ДТП определено в автоматическом режиме, запись профиля ускорения, характеризующего предыдущее событие превышения порога ускорения, еще не закончена и память СВ, определенная в
6.11.6, заполнена, то запись профиля ускорения, характеризующего предыдущее событие превышения порога ускорения, должна быть завершена, а запрос на запись нового профиля ускорения должен быть игнорирован и соответствующее информационное сообщение должно быть передано оператору системы.
6.11.5 Если событие ДТП определено в автоматическом режиме, но не удалось осуществить передачу информации, указанной в
6.5,
6.8.3 и
6.9.1, то данная информация должна сохраняться в энергонезависимой памяти СВ в порядке FIFO и передаваться оператору системы при восстановлении возможности передачи информации.
6.11.6 Энергонезависимая память СВ должна позволять сохранять до пяти записей информации, указанной в
6.5,
6.8.3 и
6.9.1.
6.11.7 МНД и информация о ДТП, указанная в
6.8.3 и
6.9.1, должны сохраняться в энергонезависимой памяти СВ.
6.11.8 Энергонезависимая память СВ должна позволять сохранять до 100 наборов информации, содержащих МНД, и до пяти наборов информации, указанной в
6.8.3 и
6.9.1.
6.11.9 При исчерпании энергонезависимой памяти СВ, предназначенной для хранения информации, определенной в
6.11.8, и необходимости сохранения нового набора указанной информации запись нового набора информации в энергонезависимую память СВ должна производиться в порядке FIFO.
6.11.10 Производитель СВ должен обеспечить программно-аппаратные решения для считывания и очистки содержимого энергонезависимой памяти СВ.
Производитель СВ должен обеспечить необходимую степень защиты реализованного в системе механизма для считывания и очистки содержимого энергонезависимой памяти СВ от несанкционированного использования.
6.12 Автомобильная система вызова экстренных оперативных служб, установленная в режиме штатного оборудования, при совершении экстренного вызова должна обеспечивать в салоне (кабине) транспортного средства режим громкой связи, предусматривающий отключение прочих штатно установленных звуковоспроизводящих устройств и систем в транспортном средстве.
6.13 Автомобильная система вызова экстренных оперативных служб, установленная в режиме дополнительного оборудования, при совершении экстренного вызова должна обеспечивать в салоне (кабине) транспортного средства режим громкой связи, предусматривающий отключение прочих штатно установленных звуковоспроизводящих устройств и систем в транспортном средстве, при наличии технической возможности.
6.14 Автомобильная система вызова экстренных оперативных служб должна обеспечивать возможность ввода (с использованием микрофона) и вывода звука в режиме голосового звонка.
6.15 Автомобильная система вызова экстренных оперативных служб должна обеспечивать возможность осуществления дуплексной громкой голосовой связи.
6.16 Устройство/система вызова экстренных оперативных служб должно/должна обеспечивать отображение собственного технического состояния и режима работы при помощи оптического индикатора состояния красного цвета постоянного (немигающего) свечения, видимого в том числе в светлое время суток, размещенного в области прямой видимости с места водителя и сидящего впереди пассажира. При включении зажигания указанный индикатор должен включаться кратковременно (от трех до десяти секунд), а при возникновении (наличии) неисправности в УСВ индикатор должен оставаться включенным в течение всего времени наличия неисправности.
Допускается отсутствие оптического индикатора, удовлетворяющего требованиям, указанным выше, в случае обеспечения возможности подтверждения исправности УСВ при каждом включении зажигания посредством использования другого оптического индикатора, а также выведения на комбинацию приборов текстового сообщения о неисправности устройства, которое сохраняется в течение всего времени наличия неисправности при включенном зажигании.
6.17 Устройство/система вызова экстренных оперативных служб должно/должна обеспечивать самодиагностику.
6.17.1 Автомобильная система вызова экстренных оперативных служб должна запускать функцию самодиагностики при каждом включении зажигания.
6.17.2 Информация о неисправности УСВ, выявленной в результате исполнения функции самодиагностики, должна сообщаться пользователю посредством индикатора (индикаторов) состояния (например: светового индикатора или соответствующей пиктограммы, либо текстового сообщения в области видимости с места водителя автотранспортного средства).
6.17.3 При самодиагностике УСВ должны быть реализованы, если технически возможно, следующие проверки:
- целостность образа программного обеспечения;
- работоспособность интерфейса коммуникационного модуля GSM и UMTS;
- работоспособность приемника ГНСС;
- целостность (достоверность) определяемых приемником ГНСС навигационно-временных параметров (функция RAIM);
- достаточность уровня заряда резервной батареи;
- работоспособность (корректное подключение) внешней антенны ГНСС (если антенна установлена);
- работоспособность (корректное подключение) внешней антенны GSM и UMTS (если антенна установлена);
- работоспособность датчика автоматической идентификации события ДТП (только транспортные средства категорий M1 и N1);
- работоспособность БИП;
- корректность подключения микрофона;
- работоспособность микрофона;
- работоспособность динамика (динамиков).
Примечание - Техническая возможность реализации соответствующей проверки и требования к процедуре самодиагностики определяются: производителем транспортного средства - для штатных УСВ и производителем УСВ - для систем, устанавливаемых в конфигурации дополнительного оборудования.
6.18 Для УСВ, исполненной в конфигурации штатного оборудования, интерфейс взаимодействия УСВ с другими системами ТС определяется производителем ТС.
6.19 Для УСВ, исполненной в конфигурации дополнительного оборудования:
- интерфейс взаимодействия УСВ с системами безопасности и прочими системами ТС согласовывается с производителем ТС;
- может не предусматриваться взаимодействие УСВ с системами транспортного средства (например, используется датчик автоматической идентификации события ДТП (дополнительное оборудование), непосредственно подключенный к УСВ).
7. Основные режимы работы устройства/системы вызова экстренных оперативных служб
7.1.1 Устанавливаемые настоящим стандартом режимы работы УСВ связаны с обеспечением предоставления базовой услуги системой экстренного реагирования при авариях. При этом коммуникационный модуль (модуль связи) УСВ не является зарегистрированным в сети сотового оператора до момента определения события ДТП.
Примечание - Если УСВ поддерживает предоставление дополнительных услуг помимо базовой (например, удаленное управление центральным замком транспортного средства или охранно-поисковые услуги), то дополнительные режимы работы УСВ могут вводиться исходя из указанных требований к ней. При этом схема регистрации коммуникационного модуля УСВ в сети сотового оператора может изменяться.
7.1.2 Для УСВ, устанавливаемой в конфигурации дополнительного оборудования, устанавливаются следующие режимы работы:
- режим "Выключена";
- пассивный режим;
- режим "ЭРА";
- режим "Экстренный вызов";
- режим тестирования;
- режим "Автосервис";
- режим загрузки программного обеспечения.
7.1.3 Диаграмма состояний автомобильной системы вызова экстренных оперативных служб, устанавливаемой в конфигурации дополнительного оборудования, приведена на рисунке 1.
Рисунок 1 - Диаграмма состояний автомобильной системы вызова
экстренных оперативных служб в конфигурации дополнительного
оборудования
Примечание - На рисунке 1 не показан режим загрузки программного обеспечения.
7.1.4 Для УСВ, устанавливаемой в конфигурации штатного оборудования, устанавливаются следующие режимы работы:
- режим "Выключена";
- режим "ЭРА";
- режим "Экстренный вызов";
- режим тестирования;
- режим загрузки программного обеспечения.
7.1.5 Диаграмма состояний автомобильной системы вызова экстренных оперативных служб, устанавливаемой в конфигурации штатного оборудования, приведена на рисунке 2.
Рисунок 2 - Диаграмма состояний автомобильной системы вызова
экстренных оперативных служб в конфигурации штатного
оборудования
Примечание - На рисунке 2 не показан режим загрузки программного обеспечения.
7.2.1 Автомобильная система вызова экстренных оперативных служб должна находиться в режиме "Выключена" при отсутствии внешнего питания и при условии разряда резервной батареи ниже предельно допустимого значения (или при отсутствии подключенной резервной батареи). Предельно допустимое значение разряда резервной батареи определяется производителем транспортного средства или производителем УСВ.
7.2.2 Выход УСВ из режима "Выключена" должен осуществляться при подаче внешнего питания.
7.2.3 Переход УСВ в режим "Выключена" из других состояний осуществляется при разряде резервной батареи ниже предельно допустимого значения, как указано в
8.11, либо при выключении питания (при отсутствии подключенной резервной батареи).
7.3.1 Пассивный режим должен быть реализован в УСВ, устанавливаемых на ТС в конфигурации дополнительного оборудования.
Для УСВ, устанавливаемых в конфигурации штатного оборудования, пассивный режим является необязательным (опциальным).
7.3.2 Пассивный режим предназначен для транспортировки УСВ и проведения ремонтных и установочных работ с системой.
7.3.3 Автомобильная система вызова экстренных оперативных служб находится в пассивном режиме, если не осуществлена ее конфигурация.
Примечание - В настоящем стандарте режим инициализации (конфигурации) УСВ совмещен с пассивным режимом.
7.3.4 При наличии внешнего питания и включении зажигания УСВ должна зарегистрироваться в сети GSM или UMTS по нажатию кнопки "Дополнительные функции" (для УСВ, устанавливаемой в конфигурации дополнительного оборудования) либо посредством использования интерфейса пользователя, реализованного в транспортном средстве (для УСВ, устанавливаемой в конфигурации штатного оборудования) и ожидать прихода команды на осуществление конфигурации со стороны оператора системы. После получения команды на осуществление конфигурации (данная команда может быть получена посредством использования механизма SMS или пакетной передачи данных) УСВ должна:
- осуществить проверку наличия конфигурационных настроек для данного УСВ;
- загрузить конфигурационные настройки для данного УСВ (если они имеются);
- сохранить полученные настройки в энергонезависимой памяти;
- перейти в режим "ЭРА".
7.3.5 Если команда на осуществление конфигурации не получена или полученная команда была игнорирована, то УСВ должна находиться в пассивном режиме до истечения соответствующего (предустановленного) времени или до выключения автомобильного зажигания или отключения внешнего питания.
7.3.6 Если в пассивном режиме обнаружена критическая проблема функционирования УСВ (например, неустраняемый сбой в работе программного обеспечения), то УСВ должна быть перезапущена и снова перейти в пассивный режим.
7.3.7 Если УСВ находится в пассивном режиме, то все остальные функции УСВ (например, поддержка дополнительных услуг) должны быть недоступны.
7.3.8 Метод перехода УСВ из пассивного режима в режим тестирования определяется производителем УСВ.
Методика тестирования УСВ при переходе из пассивного режима в режим тестирования и способ индикации результатов тестирования определяются производителем УСВ.
Спецификация процедуры конфигурации УСВ приведена в
ГОСТ 33465.
Режим "ЭРА" предназначен для отслеживания и регистрации параметров транспортного средства, определения события ДТП в автоматическом режиме (только для транспортных средств категорий M1 и N1) и обеспечения реакции на управляющие воздействия пользователя.
7.5. Режим "Экстренный вызов"
7.5.1 Режим "Экстренный вызов" предназначен для осуществления экстренного вызова со стороны УСВ с целью установления голосового соединения УСВ с оператором системы и передачи ему МНД. После завершения экстренного вызова УСВ остается зарегистрированной в сети оператора системы в течение времени, определяемого параметром установки
(приложение А).
После наступления события аварии время до инициации голосового соединения УСВ с оператором системы не должно превышать 20 с.
При разрыве телефонного соединения УСВ должна устанавливать это соединение повторно с учетом следующих требований:
7.5.1.1 Если разрыв телефонного соединения произошел до того, как УСВ получила подтверждение AL-ACK в соответствии с
ГОСТ 33465, и до того, как истекли 20 с, отведенные на передачу МНД посредством использования тонального модема в соответствии с
таблицей 7, УСВ должна установить повторное телефонное соединение и должна инициировать повторную передачу МНД посредством использования тонального модема.
7.5.1.2 Если разрыв телефонного соединения произошел после того, как УСВ получила подтверждение AL-ACK в соответствии с
ГОСТ 33465, или после того, как истекли 20 с, отведенные на передачу МНД посредством использования тонального модема в соответствии с
таблицей 7, УСВ должна установить повторное телефонное соединение, но не должна инициировать повторную передачу МНД посредством использования тонального модема.
7.5.2 Источники сигнала для инициализации режима "Экстренный вызов" (только транспортные средства категорий M1 и N1)
7.5.2.1 Для СВ, устанавливаемых в конфигурации дополнительного оборудования, источник сигнала для инициализации режима "Экстренный вызов" должен быть настраиваемым и выбираться из нижеперечисленных вариантов (как один или два):
- сигнал от датчика ускорения (CRASH_SIGNAL_INTERNAL);
- сигнал об аварии, поступающий из бортовой системы транспортного средства (CRASH_SIGNAL_EXTERNAL).
7.5.2.2 Для систем, устанавливаемых в конфигурации штатного оборудования, источник сигнала для инициализации режима "Экстренный вызов" определяется производителем транспортного средства.
7.5.3 Общие требования к УСВ по реализации режима "Экстренный вызов"
7.5.3.1 Для СВ, устанавливаемых в конфигурации дополнительного оборудования, экстренный вызов должен быть инициирован автоматически (только для транспортных средств категорий M1 и N1):
- при включенном зажигании, если выполнены условия, определенные в
6.2.3, и значение параметра CRASH_SIGNAL_INTERNAL установлено в TRUE;
- при выключенном зажигании в течение промежутка времени IGNITION_OFF_FOLLOW_UP_TIME2 после выключения зажигания (настраиваемое значение), если выполнены условия, определенные в
6.2.3, и значение параметра настройки CRASH_SIGNAL_INTERNAL установлено в TRUE;
- при поступлении из бортовой системы ТС сигнала об аварии, если зажигание включено и значение параметра настройки CRASH_SIGNAL_EXTERNAL установлено в TRUE.
7.5.3.2 Для СВ, устанавливаемых в конфигурации штатного оборудования (только для транспортных средств категорий M1 и N1), экстренный вызов должен быть инициирован автоматически при включенном зажигании по сигналу об аварии, поступившему из бортовой системы ТС.
7.5.3.3 Для УСВ, устанавливаемых в конфигурации дополнительного оборудования, экстренный вызов должен быть инициирован по нажатию кнопки "Экстренный вызов" (см.
8.8.1.1) в течение интервала времени, превышающего период времени SOS_BUTTON_TIME (настраиваемое значение), независимо от состояния линии зажигания.
7.5.3.4 Для УСВ, установленных в конфигурации штатного оборудования, экстренный вызов должен быть инициирован по нажатию кнопки "Экстренный вызов" при включенном зажигании в течение интервала времени большего, чем значение, установленное производителем ТС.
7.5.3.5 При осуществлении дозвона по единому номеру "112" в режиме "Экстренный вызов" УСВ должна произвести оповещение лиц, находящихся в кабине ТС, об осуществлении дозвона посредством использования индикатора состояния УСВ (см.
8.8.2) и воспроизведения соответствующего звукового сигнала или голосовой подсказки.
7.5.3.6 При осуществлении передачи МНД в режиме "Экстренный вызов" УСВ должна произвести оповещение лиц, находящихся в кабине ТС, о передаче МНД посредством использования индикатора состояния УСВ и воспроизведения соответствующего звукового сигнала или голосовой подсказки.
7.5.3.7 После передачи МНД перед подключением голосового канала УСВ должна произвести оповещение лиц, находящихся в салоне (кабине) ТС, об осуществлении подключения голосового канала посредством воспроизведения соответствующего звукового сигнала или голосовой подсказки.
7.5.3.8 После осуществления подключения голосового канала УСВ должна произвести оповещение лиц, находящихся в салоне (кабине) ТС, о подключении голосового канала посредством использования индикатора состояния УСВ.
7.5.3.9 Громкоговорящая связь в салоне (кабине) ТС для УСВ в режиме "Экстренного вызова" должна удовлетворять требованиям, установленным в
разделе 10, и гарантировать осуществление двусторонней голосовой дуплексной связи с оператором системы во всех характерных ситуациях эксплуатации ТС (включая, но не исчерпывая следующие шумовые сценарии: работа в тишине, работа в акустических шумах окружающего дорожного движения, во время стоянки ТС, во время движения ТС, окна закрыты, окна открыты).
7.5.3.10 Сразу после включения громкоговорящей связи в режиме "Экстренного вызова" в УСВ автоматически должен устанавливаться номинальный уровень громкости на прием, вне зависимости от начального положения внешнего регулятора громкости УСВ или от предыдущего состояния автоматической регулировкой громкости (при их наличии).
Номинальный уровень громкости звука на прием (постоянный - для систем без регулировки громкости и первоначальный - для систем с ручной или автоматической регулировкой громкости), характеризуемый номинальным показателем громкости приема RLRnom, должен обеспечивать осуществление надежной двусторонней голосовой дуплексной связи с оператором системы во всех характерных ситуациях эксплуатации ТС, в том числе при наличии мешающего акустического шума в салоне (кабине) ТС.
Необходимое значение показателя RLRnom определяется производителем УСВ или производителем ТС, исходя из требования обеспечения громкости звука на прием, достаточной для проведения в салоне (кабине) ТС уверенной двухсторонней громкоговорящей связи с акустическим отношением сигнал/шум на прием не менее 6 дБ в условиях "обычной" по шуму ситуации [зависит от категории (типа) ТС и шумового сценария. Если требования к виду и уровню шумов не определены производителем ТС, то минимальный уровень звукового давления фоновых шумов в салоне ТС принимается равным минус 24 дБПа(А)].
Выбранное значение RLRnom должно лежать в пределах от (минус 6 +/- 4) дБ до (2 +/- 4) дБ. Рекомендуемое значение показателя RLRnom составляет (минус 6 +/- 4) дБ.
7.5.3.11 При наличии ручного или автоматического регулятора уровня громкости в режиме "Экстренного вызова" пользователь УСВ или автомобильная система не должны иметь возможности понижения уровня громкости звука на прием ниже минимального уровня, позволяющего осуществлять двухстороннюю громкоговорящую связь с акустическим отношением сигнал/шум на прием не менее 0 дБ в условиях "типовой" по шуму ситуации [зависит от категории (типа) ТС и шумового сценария. Если требования к виду и уровню шумов не определены производителем ТС, то минимальный уровень звукового давления фоновых шумов в салоне ТС принимается равным минус 24 дБПа(
А)].
Минимальный уровень громкости звука на прием определяется производителем УСВ или производителем ТС и характеризуется максимальным показателем громкости приема RLRmax.
Выбранное значение RLRmax должно находиться в пределах от (0 +/- 4) дБ до (8 +/- 4) дБ. Рекомендуемое значение показателя RLRmax составляет (2 +/- 4) дБ.
7.5.3.12 В режиме "Экстренного вызова" использование микрофона для осуществления громкоговорящей связи в салоне (кабине) ТС должно иметь наивысший приоритет, а пользователи УСВ или автомобильная система/устройство не должны иметь возможности отключения микрофона.
При наличии возможности отключения микрофона (функции "mute") в других режимах работы УСВ, микрофон должен подключаться на передачу автоматически сразу после включения режима "Экстренного вызова", вне зависимости от своего начального состояния, а УСВ должна осуществлять принудительное отключение звука во всей остальной звуковоспроизводящей аппаратуре, установленной в салоне (кабине) ТС (кроме аппаратуры спецсвязи).
Рекомендации по подключению УСВ, устанавливаемых в конфигурации дополнительного оборудования, к бортовой аудиосистеме транспортного средства приведены в
приложении Г.
7.5.3.13 По окончании "Экстренного вызова" УСВ должна оставаться зарегистрированной в сети GSM или UMTS в течение времени, определяемого параметром установки NAD_DEREGISTRATION_TIME.
7.5.3.14 Режим "Экстренного вызова" и все функции УСВ, связанные с поддержкой базовой услуги системы экстренного реагирования при авариях, должны быть доступны, если выполнена конфигурация УСВ.
7.5.3.15 Режим "Экстренного вызова" и все функции УСВ, связанные с поддержкой базовой услуги системы экстренного реагирования при авариях (за исключением конфигурирования и настройки), должны быть недоступны, если конфигурация УСВ не выполнена.
7.5.3.16 Из режима "Экстренного вызова" переход в режим "ЭРА" осуществляется при прекращении голосового звонка и в режим "Выключена" - при достижении минимально возможного уровня заряда резервной батареи (если резервная батарея используется).
7.5.3.17 После завершения экстренного вызова УСВ остается зарегистрированной в сети в течение времени, определяемого параметром установки NAD_DEREGISTRATION_TIME.
7.5.3.18 Из режима "Экстренного вызова" невозможен переход в режимы тестирования, "Автосервис" и загрузки программного обеспечения.
7.5.3.19 Пользователь УСВ должен быть оповещен о невозможности выполнить экстренный вызов способом, установленным в
8.9.3.
7.5.3.20 Для УСВ, устанавливаемых в конфигурации дополнительного оборудования, аппаратная линия вывода ECALL_MODE_PIN должна быть активирована автомобильной системой, если она находится в режиме "Экстренного вызова".
Требования к аппаратной линии вывода определены в
5.3.
7.5.3.21 Для УСВ, устанавливаемых в конфигурации дополнительного оборудования, аппаратная линия вывода ECALL_MODE_PIN должна быть сброшена автомобильной системой, если она находится в каком-либо ином режиме, кроме режима "Экстренного вызова".
7.5.3.22 После завершения экстренного вызова УСВ должна автоматически отвечать на входящие звонки в течение не менее 20 мин.
7.5.3.23 Функционирование УСВ в части использования сетей подвижной связи стандартов GSM и UMTS должно удовлетворять требованиям, установленным в ГОСТ 33470 (
приложения Г,
Д и
Е).
7.5.3.24 Значения бит 6 и бит 7 должны быть заданы в элементе "Категории сервиса" (инициализирующее сообщение экстренного вызова) в соответствии с
9.1.2 и
таблицей 6, с учетом способа активации экстренного вызова (ручная или автоматическая).
7.5.3.25 Значение периода времени дозвона при инициировании экстренного вызова должно быть конфигурируемым в соответствии с ECALL_DIAL_DURATION.
7.5.3.26 Число попыток дозвона при автоматическом инициировании экстренного вызова задается параметром настройки ECALL_AUTO_DIAL_ATTEMPTS.
7.5.3.27 Число попыток дозвона при ручном инициировании экстренного вызова задается параметром настройки ECALL_MANUAL_DIAL_ATTEMPTS. При этом значение параметра ECALL_MANUAL_DIAL_ATTEMPTS не может устанавливаться в "0".
7.5.3.28 Если экстренный вызов инициирован вручную и конфигурационный параметр ECALL_MANUAL_CAN_CANCEL установлен в TRUE и еще не установлено соединение с оператором системы, то вызов должен быть прекращен:
- при нажатии на кнопку "Дополнительные функции" (для УСВ, установленной в конфигурации дополнительного оборудования);
- посредством использования соответствующего интерфейса пользователя, реализованного в транспортном средстве (для УСВ, установленной в конфигурации штатного оборудования).
7.5.3.29 В УСВ должна быть обеспечена возможность инициации экстренного вызова оператором системы путем передачи SMS в адрес УСВ в течение промежутка времени, когда она остается зарегистрированной в сети после осуществления инициированного ею экстренного вызова. Признак экстренного вызова (ручной вызов, автоматический вызов) определяется в запросе от оператора системы. Возможность осуществления данного вызова должна предоставляться только после завершения сеанса экстренного вызова, инициированного со стороны УСВ, в течение промежутка времени, когда она остается зарегистрированной в сети, ожидая возможный ответный звонок со стороны оператора системы.
7.5.3.30 После неудачной попытки передать МНД посредством использования тонального модема УСВ должна передавать МНД оператору системы посредством использования механизма SMS на конфигурируемый номер ECALL_SMS_FALLBACK_NUMBER. Передача МНД посредством SMS должна осуществляться немедленно после неудачной попытки передачи МНД посредством тонального модема.
7.5.3.31 При получении соответствующей команды от оператора системы УСВ должна передавать оператору системы текущий МНД посредством использования механизма SMS. При этом получение SMS от оператора системы возможно как во время экстренного вызова, так и после его завершения в течение промежутка времени, когда УСВ остается зарегистрированной в сети.
Текущий МНД должен содержать те же самые данные, что установлены после определения события ДТП либо ручной инициации вызова, но обновленную информацию о местоположении (см.
приложение В, поля МНД "Vehicle Location", "Recent Vehicle Location n-1", "Recent Vehicle Location n-2") и направлении движения (поле МНД "Vehicle Direction") ТС, определенную для состояния ТС на момент получения команды от оператора системы. При этом MessageIdentifier должен быть увеличен на 1 для каждого последующего запроса и сброшен в начальное значение в случае инициации нового вызова из ТС.
УСВ должна передать SMS на конфигурируемый номер ECALL_SMS_FALLBACK_NUMBER. Передача текущего МНД по команде оператора системы должно осуществляться немедленно после получения указанной команды.
7.5.3.32 При разрыве соединения в режиме "Экстренного вызова" УСВ должна устанавливать соединение повторно.
7.5.3.33 После установления голосовой связи с оператором системы (при наличии внешнего питания) в телефонную линию должен генерироваться тон DTMF:
- соответствующий символу "0" - при первом нажатии на кнопку "Экстренный вызов";
- соответствующий символу "1" - при втором нажатии на кнопку "Экстренный вызов";
- соответствующий символу "2" - при третьем нажатии на кнопку "Экстренный вызов".
Длительность тона DTMF должна составлять 1 с.
Последующие нажатия на кнопку "Экстренный вызов" в течение голосового соединения должны игнорироваться.
7.5.3.34 Если в процессе экстренного вызова определено событие отключения автомобильного зажигания, то экстренный вызов должен продолжаться независимо от состояния линии автомобильного зажигания до того момента, как экстренный вызов будет прекращен со стороны оператора системы.
7.5.3.35 Дозвон в режиме "Экстренного вызова" должен начинаться не позже, чем через 1 с после регистрации в сети оператора системы, произошедшей в результате определения события аварии в автоматическом режиме, или подтверждения нажатия кнопки "Экстренный вызов" в ручном режиме.
7.5.4 После наступления события аварии УСВ должна обеспечивать корректное функционирование в соответствии с требованиями
13.2.2 и
13.2.3.
7.6.1 Режим тестирования предназначен для проверки функционирования УСВ.
Примечание - Проверка функционирования УСВ в режиме тестирования может осуществляться при проведении различных испытаний УСВ в процессе производства, при испытаниях по подтверждению соответствия УСВ требованиям
[1] и настоящего стандарта, при проведении технического обслуживания ТС в дилерских центрах производителей ТС, при проведении государственного технического осмотра ТС.
7.6.2 Переход УСВ в режим тестирования должен быть возможен только после выполнения соответствующего действия на включение режима тестирования на стороне транспортного средства, при наличии внешнего питания, при отсутствии перемещения транспортного средства в течение последней минуты и при включенном зажигании.
Производитель транспортного средства может определять дополнительное условие (дополнительные условия) для перехода в режим тестирования для штатных УСВ.
7.6.3 Переход УСВ из режима тестирования в режим "ЭРА" должен осуществляться при завершении сессии тестирования или если определено событие отключения зажигания или внешнего питания.
7.6.4 Обмен сообщениями УСВ в режиме тестирования с оператором системы должен осуществляться посредством использования тонального модема при звонке на номер ECALL_TEST_NUMBER.
7.6.5 Для УСВ, установленной в конфигурации дополнительного оборудования, вход в режим тестирования из режима "ЭРА" должен производиться посредством нажатия кнопки "Дополнительные функции".
7.6.6 Для УСВ, установленной в конфигурации штатного оборудования, вход в режим тестирования из режима "ЭРА" должен производиться посредством использования интерфейса пользователя, реализованного в ТС.
Инструкция по использованию интерфейса пользователя для входа в режим тестирования должна быть представлена в руководстве пользователя ТС.
7.6.7 Если УСВ не используется для предоставления дополнительных телематических услуг помимо услуги реагирования при аварии и УСВ была зарегистрирована в сети посредством нажатия на кнопку "Дополнительные функции" (для УСВ, установленной в режиме дополнительного оборудования) или посредством использования интерфейса пользователя, реализованного в транспортном средстве (для УСВ, установленной в режиме штатного оборудования), и была запущена процедура тестирования, то УСВ должна прекратить регистрацию в сети по завершении процедуры тестирования.
7.6.8 Если УСВ используется для предоставления дополнительных телематических услуг помимо услуги реагирования при аварии и была зарегистрирована в сети посредством нажатия на кнопку "Дополнительные функции" (для УСВ, установленной в режиме дополнительного оборудования) или посредством использования интерфейса пользователя, реализованного в транспортном средстве (для УСВ, установленной в режиме штатного оборудования), и была запущена процедура тестирования, то поведение УСВ в части регистрации в сети по завершении процедуры тестирования определяется:
- производителем УСВ (для УСВ, установленной в режиме дополнительного оборудования);
- производителем ТС (для УСВ, установленной в режиме штатного оборудования).
7.6.9 Если УСВ не используется для предоставления дополнительных телематических услуг помимо услуги реагирования при аварии и УСВ была зарегистрирована в сети посредством нажатия на кнопку "Дополнительные функции" (для УСВ, установленной в режиме дополнительного оборудования) или посредством использования интерфейса пользователя, реализованного в транспортном средстве (для УСВ, установленной в режиме штатного оборудования), то последующая регистрация в сети для указанных вариантов исполнения УСВ возможна не ранее, чем через промежуток времени, заданный в TEST_REGISTRATION_PERIOD.
Если в TEST_REGISTRATION_PERIOD значение установлено в "0", то временных ограничений на последующую регистрацию УСВ в сети не накладывается.
7.6.10 Если УСВ используется для предоставления дополнительных телематических услуг помимо услуги реагирования при аварии и была зарегистрирована в сети посредством нажатия на кнопку "Дополнительные функции" (для УСВ, установленной в режиме дополнительного оборудования) или посредством использования интерфейса пользователя, реализованного в транспортном средстве (для УСВ, установленной в режиме штатного оборудования), то правила последующей регистрации в сети для указанных вариантов исполнения УСВ определяются соответственно производителем УСВ и производителем ТС.
7.6.11 Режим тестирования должен прекращаться автоматически, если транспортное средство при включенном зажигании переместилось на расстояние большее, чем заданное параметром настройки TEST_MODE_END_DISTANCE. При этом точность определения расстояния должна быть не более 45 м.
Если координаты точки, в которой включен режим тестирования, не определены, то режим должен отключаться на заданном удалении от той точки, в которой координаты ТС определены первый раз после включения зажигания.
Примечание - Если в режиме тестирования нет возможности получения данных от ГНСС приемника, то для определения расстояния допускается использовать другие методы определения пройденного расстояния.
7.6.12 В режиме "тестирования" должны быть реализованы следующие тесты:
- тест подсоединения микрофона (микрофонов) и уровня громкости речевых сигналов на передачу. Например, УСВ проигрывает голосовую подсказку номинального уровня с запросом тестировщику, находящемуся на штатном месте водителя, произнести фразу определенной длительности, затем записывает введенный звуковой фрагмент во внутренней памяти, а потом воспроизводит записанный звуковой фрагмент и запрашивает тестировщика нажать на соответствующую кнопку (на кнопки), если звуковой фрагмент воспроизведен корректно и с уровнем громкости, достаточным для разборчивого восприятия речи;
- тест подсоединения динамика (динамиков) и уровня громкости речевых сигналов на прием. Например, УСВ проигрывает голосовую подсказку номинального уровня в левый и правый динамики и запрашивает тестировщика, находящегося на штатном месте водителя, нажать на соответствующую кнопку (на кнопки), если звуковой фрагмент проигран корректно и с уровнем громкости, достаточным для разборчивого восприятия речи оператора в условиях транспортного шума в салоне (кабине) ТС;
- тест выключения/включения зажигания для УСВ, устанавливаемых в конфигурации дополнительного оборудования. Например, УСВ проигрывает голосовую подсказку с запросом тестировщика выключить и включить зажигание транспортного средства либо УСВ принимает решение о корректности функционирования логики определения состояния линии автомобильного зажигания, используя ранее полученные данные об изменении состояния линии автомобильного зажигания (например, если состояние линии автомобильного зажигания изменялось в течение заданного промежутка времени);
- расширенный тест блока интерфейса пользователя. Например, УСВ проигрывает голосовую подсказку, запрашивающую тестировщика нажать соответствующие кнопки в определенной последовательности. Дополнительно УСВ проигрывает голосовую подсказку с запросом тестировщика подтвердить корректную работу индикаторов состояния УСВ;
- тест резервной батареи, если существует техническая возможность тестирования состояния резервной батареи (объем тестирования определяется производителем транспортного средства или производителем УСВ);
- тест работоспособности датчика (механизма) автоматической идентификации события ДТП (только для транспортных средств категорий M1 и N1), являющийся обязательным для указанной категории ТС;
Примечание - Если в качестве источника информации о событии ДТП используется штатная автомобильная система, то допускается использование ранее полученных данных о работоспособности датчика (механизма) автоматической идентификации события ДТП, полученных в течение промежутка времени, прошедшего после включения зажигания (например, данные о работоспособности датчика автоматической идентификации события ДТП, полученные в процессе диагностики штатных автомобильных систем, запускаемом после включения зажигания).
- дополнительные тесты, выполняющиеся в процессе самодиагностики, приведенные в
6.17.3.
7.6.13 После завершения тестирования УСВ данные о результатах тестирования должны быть переданы оператору системы посредством использования тонального модема при звонке на номер ECALL_TEST_NUMBER.
Минимальный набор данных с результатами тестирования УСВ должен быть представлен в формате результатов тестирования в соответствии с
приложением В.
7.6.14 Минимальный набор данных с результатами тестирования УСВ должен передаваться с установленным идентификатором "тестовый звонок" в соответствии с
приложением В.
7.6.15 Выход УСВ из режима тестирования должен осуществляться:
- после передачи МНД с результатами тестирования УСВ оператору системы;
- при отключении внешнего питания;
- при удалении транспортного средства (при включенном зажигании) от точки включения режима тестирования на расстояние большее, чем суммарное расстояние, определяемое конфигурируемым параметром настройки TEST_MODE_END_DISTANCE и величиной утроенной погрешности определения местоположения в плане по
8.1.7.
Примечание - Для штатных УСВ могут устанавливаться дополнительные условия выхода из режима тестирования.
7.6.16 Перед выходом УСВ из режима тестирования она должна довести результаты тестирования тестировщику посредством использования индикатора состояния УСВ или посредством проигрывания соответствующего голосового сообщения.
Отображаемые результаты тестирования должны содержать информацию об успешности либо неуспешности проведенного тестирования, т.е. УСВ исправна/неисправна.
7.7.1 Режим "Автосервис" предназначен для отключения всех функций УСВ на время нахождения транспортного средства в сервисном центре.
7.7.2 Режим "Автосервис" должен быть реализован в УСВ, устанавливаемых в конфигурации дополнительного оборудования, и не является обязательным для штатных автомобильных систем.
7.7.3 При переходе в режим "Автосервис" УСВ должна устанавливать аппаратную линию вывода GARAGE_MODE_PIN.
При выходе из режима "Автосервис" УСВ должна сбрасывать аппаратную линию вывода GARAGE_MODE_PIN.
7.7.4 Все функции УСВ, связанные с предоставлением базовой услуги системы экстренного реагирования при авариях и тестированием УСВ, должны быть отключены, если она находится в режиме "Автосервис".
7.7.5 Выход из режима "Автосервис" должен осуществляться автоматически, если ТС при включенном зажигании переместилось на расстояние большее, чем суммарное расстояние, определяемое параметром настройки GARAGE_MODE_END_DISTANCE (конфигурируемый параметр) и величиной утроенной погрешности определения местоположения в плане по
8.1.7.
Если координаты точки, в которой был включен режим "Автосервис", не определены, то данный режим должен отключаться на заданном удалении от той точки, в которой первый раз определены координаты ТС после включения зажигания.
Точность определения расстояния должна быть не более 45 м.
Примечания
1 Если УСВ находится в режиме "Автосервис", то при выключенном зажигании все модули (компоненты) УСВ находятся в выключенном состоянии.
2 Условия перехода УСВ в режим "Автосервис" определяются производителем УСВ.
3 Выход УСВ из режима "Автосервис" при включенном зажигании осуществляется на основе информации, поступающей от навигационного модуля УСВ.
7.8. Режим загрузки программного обеспечения
7.8.1 Режим загрузки ПО предназначен для обновления ПО УСВ.
7.8.2 Режим загрузки ПО является обязательным.
7.8.3 Для УСВ, устанавливаемых в конфигурации дополнительного оборудования, должен быть поддержан режим загрузки ПО с использованием пакетной передачи данных в соответствии с требованиями
7.8.4 -
7.8.11.
Для УСВ, устанавливаемых в конфигурации штатного оборудования, требования к реализации режима загрузки ПО определяет производитель ТС.
7.8.4 Если УСВ находится в режимах "ЭРА" или "Автосервис", к ней подключено внешнее питание и от оператора системы поступает команда на включение режима загрузки ПО, то УСВ должна осуществить переход в этот режим и установить соединение с оператором системы для пакетной передачи данных.
Команда от оператора системы может быть получена либо после осуществления экстренного вызова, либо после окончания процесса тестирования УСВ в течение промежутка времени, заданного параметром настройки POST_TEST_REGISTRATION_TIME.
7.8.5 Если УСВ не находится в режимах "ЭРА" или "Автосервис", или при отсутствующем внешнем питании она получает от оператора системы команду на включение режима загрузки ПО, то УСВ должна игнорировать полученную команду и оставаться в ранее определенных режимах.
7.8.6 В режиме загрузки ПО функционирование УСВ осуществляется в соответствии с параметрами режима, предшествовавшего включению режима загрузки ПО.
7.8.7 В режиме загрузки программного обеспечения УСВ должна осуществлять загрузку образа ПО в оперативную память УСВ в соответствии с протоколом обмена данными, определенным в
ГОСТ 33465.
7.8.8 Если зажигание выключено после окончания загрузки программного обеспечения, то УСВ должна произвести обновление образа ПО в энергонезависимой памяти с последующим циклом самодиагностики.
7.8.9 Если зажигание включено после окончания загрузки программного обеспечения, то УСВ должна произвести обновление образа ПО в энергонезависимой памяти и осуществить цикл самодиагностики после выключения зажигания.
7.8.10 Должна быть обеспечена целостность образа программного обеспечения в энергонезависимой памяти УСВ и должен быть реализован механизм (механизмы) защиты от нарушения целостности образа ПО в энергонезависимой памяти УСВ в следующих ситуациях:
- при наличии ошибок в канале передачи данных между УСВ и оператором системы;
- при возможном обрыве соединения между УСВ и оператором системы;
- при возможном отключении внешнего питания в процессе операции обновления образа программного обеспечения в энергонезависимой памяти УСВ.
7.8.11 Если УСВ находится в режиме загрузки ПО и осуществляется экстренный вызов, то указанный режим должен быть прерван, а загруженные данные должны быть игнорированы.
Если режим загрузки ПО был прерван ввиду осуществления экстренного вызова, то по его завершении УСВ должна передать соответствующее информационное сообщение оператору системы и перейти в режим "ЭРА".
8. Требования к компонентам устройства/системы вызова экстренных оперативных служб
8.1. Навигационный приемник (навигационный модуль)
8.1.1 Навигационный приемник, входящий в состав УСВ, может быть как встроенным в УСВ, так и внешним по отношению к ней (встроен в другой электронный блок, установленный на транспортном средстве).
8.1.2 Входящий в состав УСВ навигационный модуль должен принимать и обрабатывать с целью определения координат местоположения и составляющих вектора скорости транспортного средства сигналы стандартной точности в диапазоне L1 ГНСС ГЛОНАСС.
8.1.3 Входящий в состав УСВ навигационный модуль должен принимать и обрабатывать с целью определения координат местоположения и составляющих вектора скорости транспортного средства сигналы других ГНСС (например, GPS).
8.1.4 Входящий в состав УСВ навигационный модуль должен принимать и обрабатывать сигналы всех поддерживаемых ГНСС с одинаковыми приоритетами и использовать функцию RAIM для определения тех спутников, информацию с которых нельзя использовать при расчетах навигационных характеристик.
Примечание - При выборе типа навигационного приемника для комплектации УСВ предпочтение должно отдаваться приемникам, в которых учтено планируемое изменение частот и структуры используемых сигналов ГЛОНАСС.
8.1.5 Входящий в состав УСВ приемник ГНСС должен предоставлять возможность определения навигационных параметров с использованием сигналов только навигационной системы ГЛОНАСС.
8.1.6 Входящий в состав УСВ приемник ГНСС должен обеспечивать определение навигационных параметров в системах координат ПЗ-90 и WGS-84.
Примечание - Требование по обеспечению определения навигационных параметров в системе координат ПЗ-90 является факультативным до 1 января 2018 г.
8.1.7 Предельные погрешности (при доверительной вероятности 0,95) должны быть не более:
- плановых координат - 15 м;
- высоты - 15 м;
- вектора скорости - 0,1 м/с.
Указанные требования по точности должны обеспечиваться:
- в диапазоне скоростей от 0 до 250 км/ч;
- в диапазоне линейных ускорений от 0 до 2 G;
- при значениях пространственного геометрического фактора не более 4;
- при отсутствии и при воздействии помех, допустимый уровень которых задается требованиями по ЭМС, приведенными в
13.4.
Примечание - Требование по определению высоты является факультативным.
8.1.8 Минимальный временной интервал обновления навигационных данных должен быть не более 1 с.
8.1.9 Время восстановления слежения за сигналами рабочего созвездия НКА после потери слежения за ними на время до 60 с должно быть не более 5 с после восстановления видимости НКА.
8.1.10 Время до получения приемником ГНСС первого после включения зажигания навигационного решения должно быть не более 60 с.
8.1.11 Входящий в состав УСВ приемник ГНСС должен обеспечивать:
- поиск (обнаружение) сигналов ГНСС при уровне полезного сигнала на антенном входе (на входе антенного усилителя) минус 163 дБВт;
- слежение за сигналами ГНСС и выдачу навигационного решения при уровне полезного сигнала на антенном входе (на входе антенного усилителя) минус 180 дБВт.
8.1.12 Если приемник ГНСС позволяет изменять частоту выдачи навигационных данных, то целевая частота их выдачи должна устанавливаться при помощи параметра настройки GNSS_DATA_RATE, из заданного для этого параметра диапазона значений, в соответствии с
приложением А.
8.1.13 Если приемник ГНСС не позволяет изменять частоту выдачи навигационных данных, то поддерживаемая навигационным приемником частота их выдачи должна находиться в диапазоне значений, заданном для параметра настройки GNSS_DATA_RATE в соответствии с
приложением А.
8.1.14 Для АС, установленных в конфигурации дополнительного оборудования, минимальный угол возвышения (угол отсечки) навигационных космических аппаратов должен устанавливаться при помощи параметра настройки GNSS_MIN_ELEVATION из заданного для этого параметра диапазона значений в соответствии с
приложением А. По умолчанию значение указанного параметра принимается равным 5°.
8.1.15 Должна быть предусмотрена возможность выполнения следующих функций в режиме тестирования приемника ГНСС:
- управление настройками приемника ГНСС с использованием программного обеспечения разработчика приемника;
- выдача навигационно-временной информации в формате NMEA-0183
[2];
- выдача результатов автономного контроля целостности (достоверности) навигационных определений и исключения недостоверных измерений (функция RAIM).
Примечание - Режим тестирования приемника ГНСС применяется при проведении испытаний УСВ на соответствие требованиям в части ГНСС приемника. Методика проведения испытаний УСВ на соответствие требованиям в части приемника ГНСС предполагает использование навигационно-временной информации в формате NMEA-0183.
8.1.16 Для УСВ, установленных в конфигурации дополнительного оборудования, питание приемника ГНСС должно отключаться после выключения зажигания через период времени, определяемый параметром GNSS_POWER_OFF_TIME.
8.2.1 Автомобильная система вызова экстренных оперативных служб должна оснащаться внешней и/или внутренней антенной для приема сигналов ГНСС, обеспечивающей необходимое качество приема сигналов после установки УСВ на транспортное средство.
8.2.2 Для УСВ в конфигурации дополнительного оборудования требования по установке внешних антенн ГНСС определяет производитель УСВ.
Для УСВ в конфигурации штатного оборудования требования по установке внешних антенн ГНСС определяет производитель транспортного средства.
8.3. Коммуникационный модуль (модем) GSM/UMTS
8.3.1 Коммуникационный модуль должен работать в двух диапазонах GSM 900 (P-GSM и E-GSM) и 1800 с поддержкой пакетной передачи данных и обеспечивать процедуру передачи управления при переходе из одного диапазона в другой.
8.3.2 Коммуникационный модуль GSM 900/1800 должен удовлетворять требованиям, установленным в
ГОСТ 33470.
8.3.3 Коммуникационный модуль должен работать в двух диапазонах UMTS 900 и UMTS 2000 с поддержкой пакетной передачи данных и обеспечивать процедуру передачи управления при переходе из одного диапазона в другой.
8.3.4 Коммуникационный модуль UMTS 900/2000 должен удовлетворять требованиям, установленным в
ГОСТ 33470.
8.4. Антенна для коммуникационного модуля GSM и UMTS
8.4.1 Антенна для коммутационного модуля GSM/UMTS, установленная на транспортное средство, должна обеспечивать устойчивую связь по сетям подвижной радиотелефонной связи стандартов GSM 900, GSM 1800, UMTS 900 и UMTS 2000 в любом положении транспортного средства.
Примечание - Антенна GSM/UMTS может быть внешней и (или) внутренней по отношению к УСВ.
8.4.2 По крайней мере, одна антенна (встроенная или внешняя), предназначенная для обеспечения обмена данными между УСВ и оператором системы, должна сохранять работоспособность после наступления события аварии в соответствии с требованиями, определенными в
13.3.2 и
13.3.3.
8.4.3 Для УСВ в конфигурации дополнительного оборудования требования по установке внешних антенн GSM и UMTS определяет производитель УСВ.
8.4.4 Для УСВ в конфигурации штатного оборудования требования по установке внешних антенн GSM и UMTS определяет производитель ТС.
8.5. Встроенная SIM микросхема
8.5.1 Карта SIM/eUICC должна быть изготовлена в форм-факторе MFF2 в соответствии с
[3] и удовлетворять требованиям ГОСТ 18725.
8.5.2 Карта SIM/eUICC должна поддерживать работу в сетях подвижной радиотелефонной связи стандартов GSM 900/GSM 1800/UMTS.
8.5.3 Гарантированный срок службы карты SIM/eUICC должен быть не менее 10 лет (с возможностью доступа к сохраненным данным на карте в течение вышеуказанного срока).
8.5.4 Карта SIM/eUICC должна сохранять работоспособность в интервале температур окружающей среды от минус 40 °C до плюс 105 °C.
8.5.5 Число циклов записи и чтения на отказ должно быть не менее 500000 на логический сектор.
8.5.6 Карта SIM/eUICC не должна содержать в своем составе программных и аппаратных средств (счетчиков, алгоритмов, сценариев), искусственно ограничивающих срок службы карты SIM/eUICC.
8.5.7 Общий объем памяти на карте SIM/eUICC должен быть не менее 64 КБ.
8.5.8 Карта SIM/eUICC должна быть рассчитана на напряжение питания постоянным током в диапазоне напряжений от 1,62 до 3,3 В в соответствии с требованиями
[3].
8.5.9 Карта SIM/eUICC должна быть с инициированным профилем оператора системы, необходимого для начала работы с системой экстренного реагирования при авариях, а также иметь достаточный объем свободного пространства на внутренней перезаписываемой памяти карты для обеспечения записи одного или более дополнительных профилей операторов подвижной радиотелефонной связи.
8.5.10 Карта SIM/eUICC должна обеспечивать возможность поддержки следующих функций удаленного обновления программного обеспечения:
- OTA загрузка данных профиля;
- OTA инициализация и активация профиля;
- OTA управление (переключение) профилей операторов.
8.5.11 Время, необходимое для переключения с профиля оператора системы на профиль оператора подвижной радиотелефонной связи и в обратном порядке, не должно превышать 3 с.
Примечание - Данное требование учитывает время переключения для SIM/eUICC карты УСВ.
8.5.12 На карте SIM/eUICC должен быть деактивирован запрос ввода PIN-кода.
8.5.13 Карта SIM/eUICC должна поддерживать следующие алгоритмы:
- аутентификации (GSM-Milenage, Milenage; XOR; AES);
- криптографические (CRC-32; DES, 3DES; MD5; SHA-1).
8.5.14 Карта SIM/eUICC в профиле оператора системы не должна содержать критериев приоритизации сетей операторов подвижной радиотелефонной связи, позволяющих в одностороннем порядке переключать пользователя в сети подвижной радиотелефонной связи.
8.6.1 Тональный модем должен обеспечивать передачу МНД в рамках установленного голосового соединения между УСВ и оператором системы.
8.6.2 Тональный модем должен соответствовать требованиям, приведенным в
[4].
8.7. Датчик автоматической идентификации события ДТП (только транспортные средства категорий M1 и N1)
8.7.1 Для СВ, устанавливаемых в конфигурации дополнительного оборудования, если датчик автоматической идентификации события ДТП не установлен внутри блока СВ, крепление его к элементам транспортного средства должно обеспечивать измерение датчиком ускорений до 24 G.
Датчик должен оставаться в закрепленном состоянии и сохранять работоспособность при ускорении в точке его крепления до 75 G продолжительностью от 1 до 5 мс.
Рекомендации по месту установки датчика автоматической идентификации события ДТП на транспортных средствах категорий M1 и N1 приведены в
приложении Д.
8.7.2 Для СВ, устанавливаемых в конфигурации дополнительного оборудования, если датчик автоматической идентификации события ДТП установлен внутри блока СВ, то блок СВ должен поставляться с механизмами крепления, обеспечивающими измерение датчиком ускорений до 24 G.
Блок СВ должен оставаться в закрепленном состоянии и сохранять работоспособность при ускорении в точке крепления блока до 75 G продолжительностью от 1 до 5 мс.
8.7.3 Для СВ, устанавливаемых в конфигурации дополнительного оборудования, если после установки СВ требуется автоматическая или ручная настройка (калибровка) датчика автоматической идентификации события ДТП, то процедура проведения данной настройки (калибровки) должна быть включена в перечень работ по установке и настройке СВ.
8.7.4 Для СВ, устанавливаемых в конфигурации дополнительного оборудования, если существуют ограничения по ориентации СВ или датчика автоматической идентификации события ДТП в транспортном средстве, то данные ограничения должны быть отражены в документации на СВ и указаны в руководстве по установке СВ.
8.7.5 Для СВ, устанавливаемых в конфигурации дополнительного оборудования, процедура проверки корректной установки датчика автоматической идентификации события ДТП и работоспособности СВ должна быть разработана поставщиком СВ и указана в руководстве по ее установке. При необходимости поставщик СВ должен предоставить механизм (механизмы), использующийся для проверки корректной установки датчика автоматической идентификации события ДТП.
8.7.6 При включенном зажигании СВ должна производить постоянное тестирование корректности функционирования датчика автоматической идентификации события ДТП в процессе эксплуатации и сообщать о неисправности датчика, если неисправность обнаружена.
8.7.6.1 Для систем, устанавливаемых в конфигурации штатного оборудования, требования к тестированию датчика автоматической идентификации события ДТП определяются производителем ТС.
8.7.6.2 Для систем, устанавливаемых в конфигурации дополнительного оборудования, требования к тестированию датчика автоматической идентификации события ДТП определяются производителем СВ.
8.8. Блок интерфейса пользователя
8.8.1 Кнопки управления УСВ
8.8.1.1 Блок интерфейса пользователя должен иметь кнопку "Экстренный вызов".
8.8.1.2 В УСВ, устанавливаемой в конфигурации дополнительного оборудования, БИП должен иметь кнопку "Дополнительные функции".
Примечание - Могут использоваться кнопки, изображенные на сенсорном экране, установленном в транспортном средстве, если работоспособность данных кнопок сохраняется при условиях, определенных в
13.3.
8.8.1.3 В УСВ, устанавливаемой в конфигурации штатного оборудования, органы управления устройствами, реализованные в транспортном средстве, должны предоставлять возможность запуска режима тестирования.
8.8.1.4 Если УСВ находится в режиме "ЭРА", то при нажатии на кнопку "Экстренный вызов" должен производиться экстренный вызов с признаком ручной активации, как определено в
7.5.3.29.
8.8.1.5 Если УСВ, устанавливаемая в конфигурации дополнительного оборудования, находится в режиме "ЭРА", то при нажатии на кнопку "Дополнительные функции" должен осуществляться запуск режима тестирования, как определено в
7.6.
8.8.1.6 Если УСВ, устанавливаемая в конфигурации штатного оборудования, находится в режиме "ЭРА" и посредством использования интерфейса пользователя, реализованного в ТС, выбрана команда на запуск режима тестирования, то указанный режим должен запускаться в соответствии с
7.6.
8.8.1.7 Если УСВ, устанавливаемая в конфигурации дополнительного оборудования, находится в режиме "Экстренный вызов" (автоматическая активация), то нажатие на кнопку "Дополнительные функции" должно игнорироваться.
8.8.1.8 Если УСВ, устанавливаемая в конфигурации штатного оборудования, находится в режиме "ЭРА", произведена ручная активация экстренного вызова, но соединение с оператором системы еще не осуществлено, то интерфейс пользователя, реализованный в ТС, должен предоставлять возможность прекращения экстренного вызова.
8.8.1.9 Если УСВ находится в режимах "Выключена" или "Автосервис", то нажатие на кнопку "Экстренный вызов" должно игнорироваться.
8.8.1.10 Если УСВ находится в режимах "Выключена" или "Автосервис", то реакция УСВ на нажатие кнопки "Дополнительные функции" определяется:
- производителем УСВ (для УСВ, устанавливаемой в конфигурации дополнительного оборудования);
- производителем транспортного средства (для УСВ, устанавливаемой в конфигурации штатного оборудования).
8.8.1.11 Если УСВ, устанавливаемая в конфигурации дополнительного оборудования, находится в режиме тестирования, то реакция УСВ на нажатие кнопки "Дополнительные функции" определяется производителем УСВ.
8.8.1.12 Если УСВ, устанавливаемая в конфигурации дополнительного оборудования, находится в пассивном режиме, то нажатие на кнопку "Экстренный вызов" должно игнорироваться.
8.8.1.13 Кнопка "Экстренный вызов" должна иметь защиту от непреднамеренного нажатия.
Для УСВ, устанавливаемых в конфигурации дополнительного оборудования, конструктивный механизм защиты от непреднамеренного нажатия для кнопки "Экстренный вызов" и интерфейс взаимодействия между УСВ и БИП определяются производителем УСВ.
Для УСВ, устанавливаемых в конфигурации штатного оборудования, конструктивный механизм защиты от непреднамеренного нажатия для кнопки "Экстренный вызов" и интерфейс взаимодействия между УСВ и БИП определяются производителем ТС.
8.8.1.14 Кнопка "Экстренный вызов" должна оставаться в закрепленном состоянии и сохранять работоспособность при проведении испытаний, проводимых на соответствие требованиям, установленным в
13.3.2.
8.8.1.15 Кнопка "Экстренный вызов" должна устанавливаться в месте, которое находится в зоне прямой видимости с места водителя и сидящего впереди пассажира - мужчин 50-перцентильного уровня репрезентативности (если конструкция транспортного средства предусматривает нахождение сидящего впереди пассажира рядом с местом водителя) и обеспечивает возможность досягаемости ими кнопки вызова без отсоединения ремней безопасности.
8.8.1.16 Если кнопка "Экстренный вызов" реализована как кнопка на сенсорном экране, то доступ к данной кнопке должен производиться посредством не более чем одного перехода между экранами при условии выполнения требований, установленных в
8.11.3.
8.8.1.17 Кнопка вызова экстренных оперативных служб должна быть обеспечена подсветкой.
8.8.2 Блок интерфейса пользователя должен иметь индикатор (индикаторы) для визуального отображения состояния УСВ.
Примечание - Допускается использование штатных автомобильных систем отображения информации для отображения индикации состояния УСВ, если гарантируется работоспособность данных систем при наличии механических воздействий, перечисленных в
13.3.
8.8.3 Рекомендации по исполнению и размещению блока интерфейса пользователя в салоне транспортного средства для УСВ, устанавливаемых в конфигурации дополнительного оборудования, приведены в
приложении Е.
Рекомендации для подключения блока интерфейса пользователя к основному разъему УСВ приведены в
приложении Ж.
8.9. Оптический индикатор состояния устройства/системы вызова экстренных оперативных служб
8.9.1 Оптический индикатор состояния УСВ должен оставаться в закрепленном состоянии и сохранять работоспособность при испытаниях, проводимых на соответствие требованиям, установленным в
13.3.2.
8.9.2 Автомобильная система вызова экстренных оперативных служб должна обеспечивать отображение собственного технического состояния и режима работы при помощи оптического индикатора состояния красного цвета постоянного (немигающего) свечения, видимого в том числе в светлое время суток, размещенного в области прямой видимости с места водителя и сидящего впереди пассажира, а также удовлетворяющего критериям, установленным
пунктом 8.8.1.16. При включении зажигания указанный индикатор должен включаться кратковременно (от 3 до 10 с), а при возникновении (наличии) неисправности в УСВ индикатор должен оставаться включенным в течение всего времени наличия неисправности.
Примечание - Допускается отсутствие оптического индикатора, удовлетворяющего указанным выше требованиям, в случае обеспечения возможности подтверждения исправности УСВ при каждом включении зажигания посредством использования другого оптического индикатора, а также выведения на комбинацию приборов текстового сообщения о неисправности устройства, которое сохраняется в течение всего времени наличия неисправности при включенном зажигании.
8.9.3 При помощи оптического индикатора (индикаторов) состояния: должны отображаться следующие состояния УСВ:
- неисправность;
- экстренный вызов невозможен (данное состояние отображается только при попытке осуществить экстренный вызов);
- установление соединения в режиме "Экстренный вызов";
- передача МНД в режиме "Экстренный вызов";
- голосовое соединение в режиме "Экстренный вызов";
- режим тестирования;
- режим "Автосервис" (только для систем, устанавливаемых в конфигурации дополнительного оборудования).
8.9.4 Для УСВ, устанавливаемых в конфигурации штатного оборудования, реализация оптического индикатора (индикаторов) состояний и интерфейс между оптическим индикатором (индикаторами) состояний и УСВ определяются производителем ТС.
8.9.5 Для УСВ, устанавливаемых в конфигурации дополнительного оборудования, реализация оптического индикатора (индикаторов) состояний и интерфейс между оптическим индикатором (индикаторами) состояний и системой определяются производителем УСВ.
8.10. Внутренняя энергонезависимая и оперативная память
8.10.1 Автомобильная система вызова экстренных оперативных служб должна иметь внутреннюю энергонезависимую память для хранения сообщений, содержащих МНД.
8.10.2 Внутренняя память должна предусматривать возможность хранения не менее 100 сообщений, содержащих МНД.
8.10.3 Перед инициацией экстренного вызова и отправкой МНД посредством использования тонального модема УСВ должна сохранить сообщение с соответствующим МНД во внутренней энергонезависимой памяти УСВ.
8.10.4 Сообщение должно удаляться из внутренней памяти УСВ после получения подтверждения успешного приема сообщения со стороны оператора в случае отправки с использованием тонального модема либо успешной отправки SMS-сообщения, содержащего МНД, а также в случае отмены экстренного вызова, инициированного вручную, в соответствии с
7.5.3.28.
8.10.5 Если сообщение не может быть передано оператору системы, то пересылка данного сообщения должна быть приостановлена на промежуток времени INT_MEM_TRANSMIT_INTERVAL.
8.10.6 Если пересылка сообщения была приостановлена в соответствии с требованиями, изложенными в
8.10.5, и истек промежуток времени INT_MEM_TRANSMIT_INTERVAL, то должна быть осуществлена следующая попытка посылки данного сообщения посредством использования механизма SMS.
8.10.7 Если число попыток посылки сообщения превысило значение, заданное в параметре настройки INT_MEM_TRANSMIT_ATTEMPTS, то попытки посылки сообщения должны быть прекращены.
8.10.8 Содержимое внутренней памяти должно сохраняться при выключении УСВ.
8.10.9 В УСВ должна быть реализована возможность считывания и очистки содержимого внутренней энергонезависимой памяти посредством использования диагностического интерфейса. Интерфейс обмена данными для считывания и очистки содержимого внутренней энергонезависимой памяти УСВ посредством использования диагностического интерфейса определяется:
- производителем УСВ - для систем, исполненных в конфигурации дополнительного оборудования;
- производителем ТС - для систем, исполненных в конфигурации штатного оборудования.
8.11. Резервная батарея и источник питания
8.11.1 В УСВ, установленной в конфигурации дополнительного оборудования, должна использоваться резервная батарея как источник питания при отсутствии внешнего (бортового) питания.
8.11.2 Если использование штатной аккумуляторной батареи транспортного средства не гарантирует работоспособность УСВ при проведении испытаний на соответствие требованиям, указанным в
13.3, то УСВ, исполненная в конфигурации штатного оборудования, должна использовать резервную батарею как источник питания при отсутствии внешнего питания.
Примечание - При установке УСВ в конфигурации штатного оборудования при потере питания от штатной аккумуляторной батареи переход на питание от резервной батареи допускается производить не во всех случаях, а только в случае определения момента аварии.
8.11.3 Для УСВ, установленных в конфигурации дополнительного оборудования, а также для предусматривающих использование резервной батареи штатных систем после определения события ДТП резервная батарея должна обеспечивать регистрацию УСВ в сети, передачу сообщений, предусмотренных режимом "Экстренный вызов", 1 ч работы УСВ в режиме ожидания обратного вызова, а также 10 мин работы в режиме голосовой связи при громкости звука, определенной в
7.5.3.9.
Проверка на соответствие вышеизложенным требованиям должна выполняться после зарядки резервной батареи в течение 24 ч. Заряд резервной батареи и тест, проверяющий продолжительность работы системы при использовании резервной батареи, должны производиться при нормальной температуре окружающей среды (20 +/- 5) °C. При проведении данного теста требование по подаче питания на внешние датчики (например, на внешний датчик автоматической идентификации события ДТП) не предъявляется.
Резервная батарея должна обеспечивать функционирование УСВ как источник питания при отсутствии внешнего питания при температуре от минус 20 °C до 85 °C. Срок службы резервной батареи в предусмотренных условиях эксплуатации ТС должен составлять не менее 3 лет и должен быть определен в руководстве пользователя УСВ.
8.11.4 При условии наличия внешнего питания если достигнут минимально возможный уровень заряда резервной батареи, то УСВ должна сообщить пользователю при помощи оптического индикатора состояний УСВ или проигрывания звукового тона/голосовой подсказки о том, что достигнут минимально возможный уровень заряда резервной батареи.
8.11.5 Встроенный источник питания УСВ должен обеспечить включение УСВ при разряженной резервной батарее при появлении внешнего питания.
8.11.6 Для УСВ, установленных в конфигурации дополнительного оборудования, использующих аккумуляторную резервную батарею, заряд этой батареи должен производиться в любом из режимов работы УСВ при включенном зажигании.
8.11.7 Для УСВ, установленных в конфигурации штатного оборудования, использующих аккумуляторную резервную батарею, правила ее заряда определяются производителем ТС.
8.11.8 Если используется аккумуляторная резервная батарея, то условия ее заряда должны устанавливаться производителем УСВ или производителем ТС таким образом, чтобы избежать преждевременной разрядки штатного аккумулятора.
8.11.9 Срок службы резервной батареи и рекомендованные действия по замене батареи должны быть представлены в документации на УСВ.
Примечание - Предполагается, что авторизованный сервисный центр должен производить замену батареи с истекшим сроком службы для штатных автомобильных систем.
8.11.10 Если используется резервная батарея без возможности подзарядки, то процедура замены батареи с истекшим сроком службы на новую батарею должна быть представлена в документации на УСВ. Также должно быть обеспечено визуальное или звуковое предупреждение о необходимости замены батареи.
Примечание - Допускается использовать общую индикацию неисправности УСВ в случае необходимости замены батареи.
9. Требования к интерфейсам и форматам передачи данных
9.1. Общие требования по передаче данных
9.1.1 Передача МНД в режиме "Экстренный вызов" между УСВ и оператором системы должна осуществляться в голосовом канале посредством тонального модема. В случае сбоя при передаче МНД в голосовом канале УСВ должна обеспечить поддержку резервного канала передачи данных при помощи механизма SMS.
9.1.2 При передаче данных в режиме "Экстренного вызова" УСВ должна устанавливать значения бит 6 и бит 7 в элементе "Категории сервиса" (инициализирующее сообщение экстренного вызова - автоматическое либо ручное срабатывание) в соответствии с рисунком 3 и значением битов, представленных в
таблице 4.
Остальные биты в элементе "Категории сервиса" должны быть установлены в "0".
Номер бита | 8 | 7 | 6 | 5 | 4 | 3 | 2 | 1 |
Байт 1 | | Идентификатор информационного элемента |
Байт 2 | Длина элемента "Категории сервиса" |
Байт 3 | 0 | Значение элемента "Категории сервиса" |
| резерв |
Рисунок 3 - Элемент "Категории сервиса"
| | ИС МЕГАНОРМ: примечание. Нумерация таблиц дана в соответствии с официальным текстом документа. | |
Таблица 4
Значения бит в элементе "Категория сервиса"
Номер бита | Интерпретация |
1 | Полиция (милиция) |
2 | Медицинская служба помощи |
3 | Пожарная служба |
4 | Морская служба помощи |
5 | Горная служба помощи |
6 | Ручной вызов |
7 | Автоматический вызов |
8 | Резервный (по умолчанию 0) |
9.1.3 Минимальный набор данных, передаваемый посредством тонального модема, должен иметь структуру, описанную в
приложении В.
9.1.4 При передаче МНД посредством тонального модема УСВ должна соответствовать требованиям, установленным в
[4].
9.1.5 Требования к составу и формату данных и команд, передаваемых между УСВ и оператором системы, представлены в таблице 5.
Таблица 5
Требования к составу и формату данных и команд
Данные, команда | Передающая сторона | Принимающая сторона | Механизм передачи данных | Примечание |
МНД с данными о ДТП | УСВ | Оператор системы | Тональный модем | Основной механизм передачи данных об аварии в системе экстренного реагирования при авариях |
Команда на передачу МНД с данными о ДТП посредством использования тонального модема | Оператор системы | УСВ | Тональный модем |
Команда на передачу МНД с данными от ДТП посредством использования SMS | Оператор системы | УСВ | SMS | Резервный механизм передачи данных в системе экстренного реагирования при авариях. Передача МНД при помощи SMS осуществляется автоматически со стороны УСВ при неудачной попытке передать МНД посредством использования тонального модема и по запросу от оператора системы <1> |
МНД с данными о ДТП | УСВ | Оператор системы | SMS |
Профиль ускорения при ДТП <2>, оценка тяжести ДТП <3>, траектория движения ТС при ДТП | УСВ | Оператор системы | Пакетная передача данных | Формат и правила передачи данных/команд - в соответствии с ГОСТ 33465 |
Параметры конфигурации АС <4> | Оператор системы | УСВ | Пакетная передача данных, SMS |
Обновленные версии программного обеспечения <5> | Оператор системы | УСВ | Пакетная передача данных | Формат и правила передачи данных/команд - в соответствии с ГОСТ 33465 |
Команда на осуществление повторного экстренного вызова | Оператор системы | УСВ | SMS |
МНД с результатами тестирования УСВ | УСВ | Оператор системы | Тональный модем | |
Команда на осуществление дерегистрации в сети | Оператор системы | УСВ | SMS | Формат и правила передачи данных/команд - в соответствии с ГОСТ 33465 |
<1> Признаком сбоя при передаче данных в голосовом канале посредством использования тонального модема является отсутствие на стороне УСВ подтверждения о корректном приеме данных в течение 20 с после начала передачи данных. <2> Передача профиля ускорения при ДТП является обязательной для систем, устанавливаемых в конфигурации дополнительного оборудования, если система не предоставляет информацию об оценке тяжести ДТП. Передача профиля ускорения при ДТП не является обязательной для штатных автомобильных систем. <3> Передача информации об оценке тяжести ДТП для штатных автомобильных систем производится только при наличии технической возможности. <4> Функция удаленного управления конфигурацией УСВ не является обязательной для штатных автомобильных систем. Функция удаленного управления конфигурацией может быть поддержана по согласованию производителя транспортного средства с оператором системы. <5> Реализация режима обновления программного обеспечения не является обязательной для штатных автомобильных систем. Режим обновления программного обеспечения может быть поддержан по согласованию производителя транспортного средства с оператором системы. |
9.1.6 В случае ошибки при передаче данных в голосовом канале посредством использования тонального модема УСВ должна обеспечить голосовую связь с экстренными оперативными службами и отправку данных посредством использования механизма SMS параллельно с осуществлением голосовой связи.
9.1.7 Отправка SMS в случае, определенном в
9.1.5, должна производиться однократно. Критерием успешности отправки SMS является отсутствие на стороне УСВ информации об ошибке (ошибках), возникшей при отправке SMS.
9.1.8 При наличии на стороне УСВ информации об ошибке (ошибках) при отправке SMS в случае, определенном в
9.1.5, сообщение, содержащее МНД, должно быть сохранено во внутренней памяти УСВ в соответствии с
8.10.
9.2. Состав сообщений между устройством/системой вызова экстренных оперативных служб и оператором системы
9.2.1 Обмен сообщениями между УСВ и оператором системы осуществляется по следующим направлениям:
- от УСВ к оператору системы - для передачи телематических сообщений (например, информации о профиле ускорения при ДТП, если в УСВ поддерживается указанная функция);
- от оператора системы к УСВ:
1) для передачи команд управления (например, запрос на осуществление повторного "Экстренного вызова");
2) для передачи конфигурационных параметров УСВ;
3) для передачи данных, предназначенных для обновления программного обеспечения, если в УСВ поддерживается функция обновления программного обеспечения посредством использования пакетного соединения.
Протокол передачи сообщений между УСВ и оператором системы должен соответствовать
ГОСТ 33465.
9.2.2 Для систем, исполненных в конфигурации дополнительного оборудования, должна обеспечиваться возможность изменения настроек по инициативе оператора системы посредством использования механизмов SMS или пакетной передачи данных в течение промежутков времени, когда система остается зарегистрированной в сети после осуществления экстренного вызова и после передачи результатов тестирования.
Для систем, исполненных в конфигурации штатного оборудования, требования к удаленному управлению конфигурацией определяются производителем ТС.
9.3. Режимы регистрации устройства/системы вызова экстренных оперативных служб в сети оператора системы
9.3.1 Если УСВ поддерживает только предоставление базовой услуги, то регистрация УСВ в сети оператора системы в режимах "ЭРА" и "Пассивный" (см.
раздел 7) должна соответствовать режиму "только экстренный вызов" ("eCall only mobile station"), как установлено в
[5] (подраздел 10.7)]:
- при включенном зажигании;
- при выключенном зажигании в течение промежутка времени IGNITION_OFF_FOLLOW_UP_TIME2 после выключения зажигания (для УСВ, устанавливаемой в конфигурации дополнительного оборудования).
9.3.2 Если УСВ поддерживает предоставление базовой услуги и дополнительных услуг, то поведение УСВ в части регистрации в сети определяется:
- производителем УСВ (для УСВ, устанавливаемой в конфигурации дополнительного оборудования);
- производителем ТС (для УСВ, устанавливаемой в конфигурации штатного оборудования).
9.3.3 Если УСВ поддерживает предоставление базовой услуги и дополнительных услуг, и в каких-либо условиях требования предоставления дополнительных услуг не предписывают осуществлять регистрацию в сети, то режим регистрации УСВ в сети оператора системы в этих условиях должен соответствовать требованиям
9.3.1.
9.3.4 Независимо от состояния регистрации в сети, предшествовавшего режиму "Экстренный вызов" (см.
раздел 7), при переходе в режим "Экстренный вызов" УСВ должна немедленно осуществить регистрацию в сети оператора системы.
9.3.5 По окончании "Экстренного вызова" УСВ должна оставаться зарегистрированной в сети оператора системы до истечения времени, определяемого параметром установки NAD_DEREGISTRATION_TIME, либо до получения команды на прекращение регистрации.
10. Требования к качеству громкоговорящей связи в кабине транспортного средства
10.1 Громкоговорящая связь после установки и настройки УСВ в салоне (кабине) ТС должна соответствовать минимальному типу производительности для дуплексной связи, указанному в таблице 6, и удовлетворять минимальным требованиям, приведенным в
приложении И.
Таблица 6
Минимальная производительность для дуплексной связи
Тип УСВ | Используемые динамики и микрофон | Уровень громкости приема | Минимальный тип производительности УСВ для дуплексной связи |
УСВ в конфигурации штатного оборудования | Определяет производитель ТС | Номинальный уровень громкости приема RLR = RLRnom | 2b |
УСВ в конфигурации дополнительного оборудования | Встроенные (передние) динамики ТС, микрофон определяет производитель УСВ | Номинальный уровень громкости приема RLR = RLRnom | 2b |
Дополнительно устанавливаемый динамик и микрофон определяет производитель УСВ | Номинальный уровень громкости приема RLR = RLRnom | 2b |
Примечание - Номинальный уровень показателя громкости приема RLRnom определяется производителем УСВ или ТС согласно 7.5.3.10 и должен находиться в пределах от (минус 6 +/- 4) до (2 +/- 4) дБ. Рекомендуемое значение RLRnom составляет (минус 6 +/- 4) дБ. |
Рекомендации по выбору электроакустических элементов транспортного средства, обеспечивающих требуемое качество звука, приведены в
приложении К.
10.2 Необходимость использования в УСВ алгоритмов автоматического регулирования уровня громкости на прием (передачу) определяется производителем УСВ (для автомобильных систем, исполненных в конфигурации дополнительного оборудования) или производителем ТС (для УСВ, исполненных в конфигурации штатного оборудования).
Если в УСВ реализуются алгоритмы АРУ на прием (передачу), то для обеспечения требуемого качества громкоговорящей связи указанные алгоритмы должны удовлетворять минимально необходимым требованиям, установленным в
приложении Л.
11. Требования к электропитанию и энергопотреблению
11.1 Питание УСВ должно осуществляться от бортовой системы питания транспортного средства с номинальным напряжением 12 или 24 В или должна быть реализована одновременная поддержка 12 и 24 В.
УСВ должна сохранять работоспособность при изменении рабочего напряжения питания (среднего значения) от минус 10% до плюс 25% номинального значения.
11.2 УСВ должна сохранять работоспособность после воздействия номинального напряжения питания обратной полярности в течение 5 мин.
11.3 УСВ должна обеспечивать защиту внешних электрических цепей от короткого замыкания на полюсы источника напряжения питания.
11.4 Потребление тока (пиковое значение) для УСВ, исполненной в конфигурации дополнительного оборудования, при напряжении питания 12 В (24 В) в зависимости от режима работы УСВ не должно превышать следующих значений:
11.4.1 Режим "Экстренный вызов" при использовании GSM сети - не более 1500 мА при 12 В (1200 мА при 24 В) при использовании внешнего динамика 8 Ом, 5 Вт (без учета тока заряда резервной батареи).
Примечание - Характеристики внешнего динамика (8 Ом, 5 Вт) представлены для справки в целях определения условий, при которых должно быть гарантировано заявленное потребление тока. Характеристики динамика, используемого в изделии, могут отличаться от заявленных.
11.4.2 В режиме "ЭРА" в течение конфигурируемого промежутка времени, определяемого параметром настройки IGNITION_OFF_FOLLOW_UP_TIME1, после выключения зажигания (датчик автоматической идентификации события ДТП включен - только транспортные средства категорий M1 и N1, ГНСС приемник выключен, GSM и UMTS модуль выключен) потребление тока должно быть не более 1 мА.
11.4.3 В режиме "ЭРА" по прошествии конфигурируемого промежутка времени, определяемого параметром настройки IGNITION_OFF_FOLLOW_UP_TIME1, после выключения зажигания (датчик автоматической идентификации события ДТП выключен - только транспортные средства категорий M1 и N1, ГНСС приемник выключен, GSM и UMTS модуль выключен) потребление тока должно быть не более 100 мкА.
11.5 Требования по энергопотреблению для УСВ, исполненной в конфигурации штатного оборудования, определяется производителем ТС.
12. Схема подключения устройства/системы вызова экстренных оперативных служб к аудиосистеме транспортного средства
12.1 Схема подключения УСВ, исполненной в конфигурации дополнительного оборудования, к аудиосистеме транспортного средства определяется производителем УСВ и при необходимости согласовывается с производителем транспортного средства.
Рекомендуемая схема (пример) подключения УСВ к аудиосистеме транспортного средства приведена в
приложении Г.
12.2 Схема подключения УСВ, исполненной в конфигурации штатного оборудования, к аудиосистеме транспортного средства определяется производителем транспортного средства.
13. Требования по стойкости к воздействию условий эксплуатации
13.1. Общие требования по стойкости к воздействию условий эксплуатации
Устройство/система должно/должна соответствовать требованиям по стойкости к воздействию условий эксплуатации, изложенным в
13.2 -
13.4, а также требованиям, изложенным в
[1] (приложение 10,
пункт 118).
13.2. Требования по стойкости к климатическим воздействиям
13.2.1 УСВ должна обеспечивать номинальные значения параметров при нормальных значениях климатических факторов внешней среды:
- температура окружающего воздуха (25 +/- 10) °C;
- относительная влажность от 45% до 80%;
- атмосферное давление от 84,0 до 106,7 кПа (от 630 до 800 мм рт. ст.).
13.2.2 УСВ должна соответствовать условиям эксплуатации для климатического исполнения У или ХЛ по
ГОСТ 15150 при минимальной рабочей температуре минус 40 °C.
13.2.3 Степень защиты УСВ от проникновения посторонних тел (пыли) и воды (по
ГОСТ 14254) должна быть не ниже:
- IP 40 - для компонентов УСВ, располагаемых в кабине (салоне) ТС;
- IP 64 - для компонентов УСВ, исполненных в виде внешних устройств, подключаемых к основному блоку УСВ и располагаемых вне кабины (салона) ТС;
- IP 67 - для внешнего датчика ДТП, устанавливаемого вне кабины (салона) ТС (для СВ, исполненных в конфигурации дополнительного оборудования и устанавливаемых на ТС категорий M1 и N1).
13.2.4 В соответствии с ГОСТ 16019 (подраздел 4.1) УСВ относится к группе B4.
13.2.5 В соответствии с требованиями
[1] (приложение 10,
пункт 118) УСВ должна быть работоспособной при эксплуатации в следующем температурном диапазоне окружающей среды:
- минимальная рабочая температура - минус 40 °C;
- максимальная рабочая температура - плюс 85 °C.
Для резервной батареи допускается минимальная рабочая температура не выше минус 20 °C.
13.2.6 Если в УСВ используется резервный источник питания, то для него допускается минимальная рабочая температура не выше минус 20 °C.
13.2.7 УСВ должна выдерживать воздействие влажной тепловой среды в течение 4 сут при температуре (40 +/- 2) °C и относительной влажности (95 +/- 3)%.
13.2.8 Лакокрасочные покрытия УСВ по внешнему виду должны соответствовать требованиям конструкторских документов, а наружные детали должны быть стойкими к воздействию топливно-смазочных материалов.
13.2.9 Окружающая среда при эксплуатации УСВ должна быть невзрывоопасной, не содержащей токопроводящей пыли, агрессивных газов и паров в концентрациях, разрушающих электронные изделия и электроизоляцию.
13.2.10 Требования и параметры испытаний УСВ к воздействию климатических факторов приведены в таблице 7.
Таблица 7
Воздействующие климатические факторы
Воздействующий фактор | Параметр испытания | Воздействующий фактор |
Значение | Допустимое отклонение |
Устойчивость при пониженной температуре для исполнения по степени жесткости 1 | Рабочая температура, °C | -40 | +/- 3 |
Время выдержки при температуре, ч | 2 | - |
Прочность при пониженной температуре для исполнения по степени жесткости 1 | Предельная температура, °C | -40 | +/- 3 |
Время выдержки при температуре, ч | 2 | - |
Устойчивость при повышенной температуре для исполнения по степени жесткости 2 | Рабочая температура, °C | +85 | +/- 3 |
Время выдержки при температуре, ч | 3 | - |
Прочность при повышенной температуре для исполнения по степени жесткости 2 | Рабочая температура, °C, | +85 | +/- 3 |
Время выдержки при температуре, ч | 3 | - |
Прочность при изменении температуры для исполнения по степени жесткости 2 | Диапазон температур, °C | От -40 до +85 | +/- 3 |
Прочность при изменении температуры для исполнения по степени жесткости 2 | Время выдержки в камере при каждом значении температуры, ч | 3 | - |
Число циклов | 3 | - |
Прочность и устойчивость к влажности при повышенной температуре в постоянном режиме для исполнения по степени жесткости 2 | Относительная влажность, % | 93 | +/- 3 |
Температура, °C | +40 | +/- 2 |
Длительность воздействия, ч | 96 | - |
13.3. Требования по стойкости к механическим воздействиям
13.3.1 Устройство/система должно/должна быть работоспособным/работоспособной и не иметь повреждений и поломок после действия вибрационных и ударных нагрузок, указанных в таблице 8.
Таблица 8
Вибрационные и ударные нагрузки
Оцениваемое свойство УСВ | Параметр испытания | Воздействующий фактор |
Значение | Допустимое отклонение |
Устойчивость при воздействии синусоидальной вибрации | Диапазон частот, Гц | 10 - 70 | +/- 1 |
Амплитуда ускорения, м/с2 (g) | 39,2 (4) | +/- 2 (0,2) |
Длительность воздействия в каждом из трех направлений, мин | 30 | - |
Прочность при воздействии синусоидальной вибрации | Диапазон частот, Гц | 10 - 70 | +/- 1 |
Амплитуда ускорения, м/с2 (g) | 39,2 (4) | +/- 2 (0,2) |
Длительность воздействия в каждом из трех направлений, мин | 160 | - |
Устойчивость при воздействии механических ударов многократного действия | Пиковое ударное ускорение, м/с2 (g) | 98 (10) | +/- 20% |
Длительность удара, мс | 10 | - |
Число ударов в каждом из трех направлений | 333 | - |
Прочность при воздействии механических ударов многократного действия | Пиковое ударное ускорение, м/с2 (g) | 98 (10) | +/- 20% |
Длительность удара, мс | 10 | - |
Число ударов в каждом из трех направлений | 3333 | - |
Прочность к механическим ударам при транспортировании | Пиковое ударное ускорение, м/с2 (g) | 250 (25) | +/- 20% |
Длительность удара, мс | 6 | - |
Число ударов в каждом из трех направлений | 4000 | - |
Устойчивость к одиночному механическому удару <1> | Одиночный удар, g | 75 | - |
Длительность удара, мс | 1 - 5 | - |
<1> Испытания проводят для автомобильных систем вызова экстренных оперативных служб, исполненных в конфигурации дополнительного оборудования. |
13.3.2 В соответствии с требованиями, установленными в
[1] (приложение 3,
пункт 17.2), автомобильная система вызова экстренных оперативных служб должна обеспечивать:
а) передачу МНД автоматически при срабатывании подушки (подушек) безопасности или по сигналу датчика (датчиков) других компонентов системы пассивной безопасности либо других систем транспортного средства, определяющего (определяющих) уровень замедления транспортного средства при проведении испытаний, предусмотренных Правилами ЕЭК ООН
[6] и
[7] (для транспортных средств, на которые распространяются действия указанных Правил. Для транспортных средств категории N1 вместо испытаний по Правилам ЕЭК ООН
[6] проводятся испытания по Правилам ЕЭК ООН
[8]);
б) сохранение работоспособности, включая двустороннюю голосовую связь с экстренными оперативными службами, после проведения испытаний, указанных в
перечислении а).
13.3.3 УСВ должна оставаться в закрепленном состоянии и сохранять работоспособность при нагрузках, возникающих при проведении динамических испытаний в соответствии с Правилами ЕЭК ООН
[9] и характеризуемых параметрами в соответствии с
[9] (добавление к приложению 9).
13.3.4 Производитель транспортного средства (для штатных УСВ) и производитель УСВ (для УСВ, устанавливаемых в конфигурации дополнительного оборудования) должны принять все меры для обеспечения работоспособности звукового канала УСВ после ДТП. Объем данных работ определяется производителем транспортного средства и производителем УСВ соответственно. В случае повреждения элементов УСВ, ответственных за обеспечение работоспособности звукового канала (например, динамик и микрофон), УСВ должна обеспечивать корректное исполнение всех остальных функций, за исключением обеспечения двусторонней голосовой связи между салоном транспортного средства и оператором системы.
13.3.5 Испытания устройства/системы вызова экстренных оперативных служб на соответствие требованиям, установленным в
таблице 7, осуществляются в соответствии с
ГОСТ 33466.
13.3.6 Испытания автомобильной системы вызова экстренных оперативных служб на соответствие требованиям, установленным в
13.3.2, проводятся при испытаниях транспортного средства, оснащенного указанной системой вызова экстренных оперативных служб, на соответствие требованиям
[1] (приложение 3,
пункт 17) и осуществляются по ГОСТ 33469 (
подраздел 6.6 и
раздел 7).
13.3.7 Испытания УСВ на соответствие требованиям, установленным в
13.3.3, осуществляются по ГОСТ 33466
(пункт 7.2.8).
13.4. Требования по электромагнитной совместимости
13.4.1 УСВ должна быть устойчива к воздействию кондуктивных помех по цепям питания в соответствии с ГОСТ 28751. При этом степень жесткости испытательных импульсов и функциональное состояние УСВ должны соответствовать приведенным в таблице 9.
Таблица 9
Степень жесткости испытательных импульсов и функциональное
состояние системы
Испытательный импульс | Степень жесткости | Функциональное состояние УСВ |
1 | IV | A |
2 |
3a |
3b |
4 |
13.4.2 Степень эмиссии и уровни напряжений помех всех видов, создаваемых УСВ по ГОСТ 28751 для бортовых сетей питания с напряжением 12(24) В, не должны превышать следующих значений:
- степень эмиссии: I;
- пиковое значение напряжения для помех вида 1 - минус 15(35) В;
- пиковое значение напряжения для помех вида 2 - 15(15) В;
- пиковое значение напряжения для помех вида 3 - от минус 15(25) В до 15(25) В.
13.4.3 УСВ должна быть устойчива к воздействию кондуктивных помех в контрольных и сигнальных бортовых цепях в соответствии с ГОСТ 29157. Требуемые степень жесткости испытательных импульсов и функциональное состояние УСВ приведены в таблице 10.
Таблица 10
Степень жесткости испытательных импульсов и функциональное
состояние системы
Испытательный импульс | Степень жесткости | Функциональное состояние УСВ |
1 | IV | A |
2 |
3a |
3b |
13.4.4 УСВ должна быть устойчива к воздействию помех от электростатического разряда (контактного и воздушного) в соответствии с
[10] со следующими характеристиками:
- контактный разряд с испытательными напряжениями +/- 4; +/- 6; +/- 7; +/- 8 кВ;
- воздушный разряд с испытательными напряжениями +/- 4; +/- 8; +/- 14; +/- 15 кВ.
13.4.5 Напряжение радиопомех на разъемах питания УСВ не должно превышать значений контрольных пределов, установленных
[11] (пункт 6.2) для группы устройств класса 3.
13.4.6 Контрольные пределы узкополосных электромагнитных помех, производимых УСВ в диапазоне частот от 30 до 1000 МГц, не должны превышать пределов, установленных в
[12] (подраздел 6.6).
13.4.7 УСВ должна быть устойчива к воздействию электромагнитного излучения в диапазоне частот от 20 до 2000 МГц с напряженностью поля в зависимости от метода испытаний, установленного в
[12] (подраздел 6.7).
13.4.8 Испытания устройства/системы вызова экстренных оперативных служб на соответствие требованиям
13.4.1 -
13.4.7 осуществляются в соответствии с ГОСТ 33466
(раздел 5).
14. Требования по надежности
Надежность УСВ должна характеризоваться следующими показателями:
- базовые элементы УСВ должны обеспечивать возможность круглосуточного режима работы;
- время наработки на отказ УСВ должно быть не менее 10000 ч;
- гарантийный срок эксплуатации УСВ должен быть не менее трех лет;
- срок службы УСВ должен быть не менее семи лет, кроме резервной батареи;
- гарантийный срок хранения должен быть не менее одного года при условии, что хранение осуществляется в отапливаемых помещениях в штатной упаковке при отсутствии агрессивных веществ и паров.
15. Конструктивные требования
15.1 Конструкция и габаритно-установочные размеры УСВ, включая внешние компоненты, должны быть согласованы с предприятиями - изготовителями автотранспортных средств.
15.2 На корпусе УСВ должны быть нанесены:
- название и/или условное (торговое) наименование электронного блока;
- заводской номер по системе нумерации предприятия-изготовителя;
- год изготовления;
- знак обращения на рынке.
Примечание - Информация о маркировке соединителей должна быть приведена в документации для УСВ, указанной в
20.2.
16. Требования по эргономике и технической эстетике
Требования по эргономике и технической эстетике определяются:
- производителем транспортного средства - для УСВ, исполненной в конфигурации штатного оборудования;
- производителем УСВ - для УСВ, исполненной в конфигурации дополнительного оборудования.
17. Требования по безопасности и экологической чистоте
17.1 УСВ и входящие в ее состав компоненты должны быть безопасными при хранении, транспортировании и эксплуатации и отвечать санитарно-гигиеническим нормам.
17.2 При эксплуатации УСВ должна быть обеспечена безопасность водителя от поражения электрическим током (класс защиты III) в соответствии с
ГОСТ 12.2.007.0.
17.3 При изготовлении УСВ не допускается применение легковоспламеняющихся, выделяющих вредные вещества при горении материалов в соответствии с требованиями противопожарной безопасности в соответствии с
ГОСТ 12.1.044.
18.1 Маркировка УСВ должна соответствовать требованиям, указанным в
разделе 15, быть четко видимой и соответствовать требованиям сборочного чертежа УСВ в части состава, места и способа нанесения.
18.2 Маркировка УСВ должна быть устойчивой в течение всего срока службы, механически прочной и не должна стираться.
Упаковка должна соответствовать требованиям конструкторской документации на УСВ.
20. Требования к комплекту поставки и документации
20.1.1 Комплект поставки для УСВ в конфигурации дополнительного оборудования должен включать следующие компоненты:
- УСВ и механизм (механизмы) крепления УСВ;
- блок интерфейса пользователя УСВ и механизм (механизмы) крепления БИП;
- антенну ГНСС и кабель для подключения к основному блоку УСВ (если УСВ не оснащена внутренней антенной ГНСС);
- антенну для коммуникационного модуля GSM/UMTS с кабелем для подключения к основному блоку УСВ (если УСВ не оснащена внутренней антенной GSM/UMTS);
- кабель соединения УСВ и БИП;
- датчик автоматической идентификации события ДТП с кабелем подключения и механизм (механизмы) крепления датчика ускорения (если датчик ускорения не установлен внутри корпуса СВ) - только для транспортных средств категорий M1 и N1;
Примечание - Если для определения события ДТП не используется штатная система транспортного средства, такая, как блок управления подушками безопасности.
- микрофон (набор микрофонов) с кабелем подключения и механизм (механизмы) крепления микрофона (набора микрофонов);
- кабель (кабели) соединения УСВ и электронной системы транспортного средства (адаптер к конкретному транспортному средству);
- резервная батарея;
- динамик громкой связи, механизм (механизмы) крепления динамика громкой связи и кабель соединения динамика громкой связи (опциально).
20.1.2 Допускается любая комбинация составляющих компонент УСВ в одном корпусе (например, основной блок и дополнительный динамик, объединенные в один корпус).
20.1.3 Комплект поставки УСВ для конфигурации штатного оборудования определяется производителем транспортного средства.
20.2.1 Документация для УСВ в конфигурации дополнительного оборудования должна включать следующие документы:
- руководство по установке;
- руководство по настройке и тестированию;
- руководство пользователя УСВ;
- краткую брошюру по использованию УСВ;
- паспорт УСВ.
20.2.2 Состав документации для УСВ в конфигурации штатного оборудования определяется производителем транспортного средства.
21.1 Кнопка "Экстренный вызов" и оптический индикатор состояния устройства/системы вызова экстренных оперативных служб должны содержать изображение пиктограммы "Экстренный вызов". Изображение пиктограммы "Экстренный вызов", выполненное в соответствии с
[13], представлено на рисунке 4. Оптический индикатор состояния УСВ может конструктивно совмещаться с кнопкой "Экстренный вызов".
Рисунок 4 - Изображение пиктограммы "Экстренный вызов"
21.2 Кнопка "Дополнительные функции" должна содержать изображение пиктограммы "Дополнительные функции", которое представлено на рисунке 5.
Рисунок 5 - Изображение пиктограммы "Дополнительные функции"
21.3 Для УСВ, устанавливаемых в конфигурации дополнительного оборудования, главный блок УСВ, руководство пользователя УСВ и краткая брошюра по использованию УСВ должны содержать изображение пиктограммы "ЭРА-ГЛОНАСС", которое представлено на рисунке 6.
Рисунок 6 - Изображение пиктограммы системы
экстренного реагирования при авариях
(обязательное)
ПАРАМЕТРЫ НАСТРОЙКИ УСТРОЙСТВА/СИСТЕМЫ ВЫЗОВА ЭКСТРЕННЫХ
ОПЕРАТИВНЫХ СЛУЖБ
Параметры настройки УСВ, которые должны поддерживаться при ее применении по назначению, приведены в таблице А.1
Таблица А.1
Имя параметра | Единица измерения | Тип параметра/интервал параметра <1> | Начальное значение параметра | Описание параметра | Применимость требования <2> | Возможность изменения настроек УСВ <3> |
Радио mute |
RADIO_MUTE_DELAY | Миллисекунды | INT | 0 | Задержка между установкой сигнала "радио mute" и началом проигрывания звука | ДО | Да |
RADIO_UNMUTE_DELAY | Миллисекунды | INT | 0 | Задержка между снятием сигнала "радио mute" и окончанием проигрывания звука | ДО | Да |
Установки общего назначения |
CALL_AUTO_ANSWER_TIME | Минуты | INT | 20 | Промежуток времени после завершения экстренного вызова, в течение которого УСВ автоматически отвечает на входящие звонки | ДО, ШО | Да |
POST_TEST_REGISTRATION_TIME | Секунды | INT | 120 | Промежуток времени, в течение которого УСВ остается зарегистрированной в сети после передачи результатов тестирования оператору системы | ДО, ШО | Да |
TEST_MODE_END_DISTANCE | Метры | INT | 300 | Дистанция, на которой режим тестирования выключается автоматически | ДО, ШО | Да |
GARAGE_MODE_END_DISTANCE | Метры | INT | 300 | Дистанция, на которой режим "Автосервис" выключается автоматически | ДО | Да |
ECALL_TEST_NUMBER | - | STRING | | Телефонный номер для тестовых звонков eCall. Определяется оператором национальной системы реагирования на аварии | ДО, ШО | Да |
GARAGE_MODE_PIN | - | ENUM {NONE, PIN_1 - PIN_8} | NONE | Линия, сигнализирующая, что система находится в режиме "Автосервис": - NONE - нет сигнализации режима; - PIN_X - PIN_X - линия активна, когда система в данном режиме | ДО | Да |
INT_MEM_TRANSMIT_INTERVAL | Минуты | INT | 60 | Промежуток времени между попытками передачи сообщения, содержащегося во внутренней памяти УСВ. Значение не может быть установлено в "0" | ДО, ШО | Да |
INT_MEM_TRANSMIT_ATTEMPTS | - | INT | 10 | Число повторных попыток передачи сообщения, содержащегося во внутренней памяти УСВ. Значение, установленное в "0", означает, что повторных попыток передачи сообщения не производится | ДО, ШО | Да |
Конфигурация и конфигурационные данные услуг |
Базовая услуга системы экстренного реагирования при авариях |
CRASH_SIGNAL_INTERNAL | - | BOOLEAN | TRUE | Только транспортные средства категорий M1 и N1 - для определения события аварии используется встроенный измеритель ускорения | ДО | Да |
CRASH_SIGNAL_EXTERNAL | - | BOOLEAN | FALSE | Только транспортные средства категорий M1 и N1 - для определения факта ДТП используется внешний датчик в транспортном средстве | ДО | Да |
ASI15_TRESHOLD | - | REAL | 0,7 | Только транспортные средства категорий M1 и N1 - порог срабатывания датчика автоматической идентификации события ДТП | ДО | Да |
ECALL_MODE_PIN | | ENUM {NONE, PIN_1 .. PIN_8} | NONE | Линия, сигнализирующая, что система находится в режиме eCall: - NONE - нет сигнализации режима - PIN_X - PIN_X линия активная, когда система в данном режиме | ДО | Да |
SOS_BUTTON_TIME | Миллисекунды | INT | 200 | Время нажатия на кнопку "Экстренный вызов" для активации режима "Экстренный вызов" | ДО | Да |
CCFT | Минуты | INT | 60 | Длительность счетчика автоматического прекращения звонка (60 м) | ДО, ШО | Да |
MSD_MAX_TRANSMISSION_TIME | Секунды | INT | 20 | Максимальная длительность передачи MSD (20 с) | ДО, ШО | Да |
NAD_DEREGISTRATION_TIME | Минуты | INT/больше/равно 720 | 120 | Время, после которого коммуникационный модуль GSM и UMTS прекращает регистрацию в сети | ДО, ШО | Да |
ECALL_NO_AUTOMATIC_TRIGGERING | - | BOOLEAN | FALSE | Параметр используется для отмены функции автоматической инициации экстренного вызова | ДО, ШО | Да |
ECALL_DIAL_DIRATION | Минуты | INT | 5 | Общая продолжительность дозвона при инициации экстренного вызова | ДО, ШО | Да |
ECALL_AUTO_DIAL_ATTEMPTS | - | INT | 10 | Только транспортные средства категорий M1 и N1 - число попыток дозвона при автоматически инициированном экстренном вызове. Не может быть установлено в "0" | ДО, ШО | Да |
ECALL_MANUAL_DIAL_ATTEMPTS | - | INT | 10 | Число попыток дозвона при экстренном вызове, инициированном вручную. Значение не может устанавливаться в "0" | ДО, ШО | Да |
ECALL_MANUAL_CAN_CANCEL | - | BOOLEAN | TRUE | TRUE - экстренный вызов, инициированный вручную, может быть прекращен со стороны пользователя | ДО, ШО | Да |
ECALL_SMS_FALLBACK_NUMBER | - | STRING | | Номер, по которому УСВ посылает SMS с МНД при ошибке передачи МНД посредством in-band модема и по запросу от оператора системы. Определяется оператором национальной системы реагирования на аварии | ДО, ШО | Да |
Режим тестирования |
TEST_REGISTRATION_PERIOD | Минуты | INT | 5 | Если УСВ была зарегистрирована в сети посредством нажатия на кнопку "Дополнительные функции", то последующая регистрация УСВ в сети при нажатии на кнопку "Дополнительные функции" возможна не ранее чем через данный промежуток времени. Если значение установлено в "0", то ограничений на последующую регистрацию УСВ в сети не накладывается | ДО, ШО | Да |
Запись профиля ускорения при ДТП |
IGNITION_OFF_FOLLOW_UP_TIME1 | Минуты | INT | 120 | Промежуток времени, в течение которого осуществляется запись профиля ускорения при ДТП при выключенном зажигании | ДО | Да |
IGNITION_OFF_FOLLOW_UP_TIME2 | Минуты | INT | 240 | Промежуток времени, в течение которого осуществляется определение события аварии при выключенном зажигании | ДО | Да |
CRASH_RECORD_TIME | Миллисекунды | INT / 0 - 250 | 250 | Время записи информации о профиле ускорения при ДТП | ДО | Да |
CRASH_RECORD_RESOLUTION | Миллисекунды | INT / 1 - 5 | 1 | Дискретность записи профиля ускорения при ДТП | ДО | Да |
CRASH_PRE_RECORD_TIME | Миллисекунды | INT / 0 - 20000 | 3500 | Время записи информации о профиле ускорения до того, как событие ДТП наступило | ДО | Да |
CRASH_PRE_RECORD_RESOLUTION | Миллисекунды | INT / 5 - 100 | 5 | Продолжительность одного отсчета при записи профиля ускорения до того, как событие ДТП наступило | ДО | Да |
Прочие параметры |
GNSS_POWER_OFF_TIME | Миллисекунды | INT | 500 | Промежуток времени, через который отключается питание приемника ГНСС после выключения зажигания | ДО | Да |
GNSS_DATA_RATE | Герцы | INT / 1, 2, 5, 10 | 1 | Темп выдачи данных приемником ГНСС | ДО, ШО | Да |
GNSS_MIN_ELEVATION | Градусы | INT / 5 - 15 | 5 | Минимальное значение угла возвышения (угла отсечки) навигационных космических аппаратов | ДО | Да |
Параметры транспортного средства |
VIN | - | STRING | Определяется на этапе конфигурации УСВ | VIN определяется в соответствии с [1] | ДО, ШО | Нет |
VEHICLE_TYPE | - | INT | - | Категория транспортного средства Bit 4-0: 00001 - пассажирский (категория M1) 00010 - автобус (категория M2) 00011 - автобус (категория M3) 00100 - легкая грузовая машина (категория N1) 00101 - тяжелая грузовая машина (категория N2) 00110 - тяжелая грузовая машина (категория N3) 00111 - мотоцикл (категория L1e) 01000 - мотоцикл (категория L2e) 01001 - мотоцикл (категория L3e) 01010 - мотоцикл (категория L4e) 01011 - мотоцикл (категория L5e) 01100 - мотоцикл (категория L6e) 01101 - мотоцикл (категория L7e) | ДО, ШО | Нет |
VEHICLE_PROPULSION_STORAGE_TYPE | - | INT | - | Тип энергоносителя Если все биты "0", то тип не задан Bit 7: не используется Bit 6: не используется Bit 5: 1 - водород Bit 4: 1 - электричество (более 42 В и 100 А.ч) Bit 3: 1 - жидкий пропан (LPG) Bit 2: 1 - сжиженный природный газ (CNG) Bit 1: 1 - дизель Bit 0: 1 - бензин | ДО, ШО | Нет |
<1> Диапазоны (интервалы) изменения параметров в зависимости от типа параметра: - INT: 0 - 65535; - BOOLEAN: TRUE, FALSE; - STRING: 255 символов. - "ДО" - соответствующий параметр является обязательным только для УСВ, устанавливаемых на ТС в конфигурации дополнительного оборудования; - "ДО, ШО" - соответствующий параметр является обязательным как для систем, устанавливаемых в конфигурации дополнительного оборудования, так и для систем, устанавливаемых в конфигурации штатного оборудования. - "Да" - установленное начальное значение параметра УСВ может изменяться после начальной установки УСВ; - "Нет" - установленные начальные значения не подлежат изменению в процессе применения УСВ. |
(рекомендуемое)
ОПИСАНИЕ МЕТОДА ОПРЕДЕЛЕНИЯ ТЯЖЕСТИ АВАРИИ ДЛЯ ТРАНСПОРТНЫХ
СРЕДСТВ КАТЕГОРИЙ M1 И N1
Для определения тяжести аварии в случае использования СВ, устанавливаемой в конфигурации дополнительного оборудования, рекомендуется использовать следующую последовательность действий.
Б.1 Вести непрерывную запись ускорений (
ax,
ay,
az) (см.
6.2.3), поступающих с трехосевого датчика ускорения в каждом из трех направлений (
x,
y,
z), связанных с системой координат транспортного средства. Запись текущих значений ускорений (
ax,
ay,
az) выполняется с частотой 100 Гц.
Б.2 Определить событие ДТП посредством использования данных, поступающих от трехосевого датчика ускорения, установленного в ТС.
Б.3 Определить максимальную амплитуду ускорений за период времени, характерный для событий, происходящих во время аварии (150 мс), используя ASI15 значения.
Б.4 Выполнить сравнение полученного значения
ASI с предельным значением
ASI15_TRESHOLD, приведенным в
приложении А. Предельное значение
ASI, равное значению
ASI15_TRESHOLD, определяет срабатывание СВ по определению момента аварии ДТП. Значения
ASI, равные или превышающие
ASI15_TRESHOLD, свидетельствуют о событии ДТП, потенциально приводящем к существенной вероятности угрозы жизни и здоровью людей, находящихся в кабине транспортного средства. Значения
ASI, меньшие
ASI15_TRESHOLD, свидетельствуют о событии ДТП, потенциально не приводящем к существенной вероятности опасности жизни и здоровью людей, находящихся в кабине транспортного средства.
Запись измерений датчика ускорения рекомендуется ввести в два массива данных параллельно и хранить не менее 150 мс. Длительность каждой записи - 150 мс. Вторая запись должна быть смещена по времени относительно первой на 75 мс. Каждая из компонент ускорений должна быть обработана фильтром CFC60. Резервирование записи показаний датчика ускорения выполняется для точного определения пика ускорения и, соответственно, пиковых значений ASI15.
Методы определения события аварии и тяжести аварии в случае использования СВ, устанавливаемой в конфигурации штатного оборудования, определяются производителем ТС.
(обязательное)
В.1 Представление данных
В.1.1 Минимальный набор данных должен быть представлен в абстрактной синтаксической нотации один в соответствии с
[14] -
[22] с использованием уплотненного кодирования без выравнивания.
В.1.2 Местоположение и типы отдельных элементов данных в общей структуре данных определяются в соответствии с
[14] -
[22] с учетом информации, приведенной в
В.3.
В.1.3 Последовательность данных должна соответствовать требованиям, установленным в
В.2.
В.2 Версия минимального набора данных
В.2.1 С целью обеспечения обратной совместимости настоящее приложение определяет версии минимального набора данных 1 и 2. Для УСВ, проходящих оценку соответствия до 1 января 2018 г., допускается использование обеих версий по усмотрению изготовителя УСВ. Для УСВ, проходящих оценку соответствия начиная с 1 января 2018 г., использование версии 2 является обязательным.
В.3 Минимальный набор данных
В.3.1 Содержание минимального набора данных со стандартными данными, идентичными с eCall, приведено в таблице В.1 (совпадает для версий 1 и 2).
Таблица В.1
Содержание минимального набора данных
со стандартными данными
Номер блока данных | Имя блока данных | Тип (диапазон) | | Описание блока данных |
1 | ID | INTEGER (1...255) | M | Версия формата данных МНД. Последующие версии должны быть совместимы с предыдущими версиями. Системы, получающие МНД, должны поддерживать все стандартизованные версии МНД |
2 | Message Identifier | INTEGER (1...255) | M | Идентификатор сообщения начинается с "1" для каждой новой сессии экстренного вызова и должен инкрементироваться при каждой повторной посылке МНД |
3 | Control | - | M | Контрольные данные |
Automatic Activation | BOOLEAN | M | Вид активации: true - автоматический вызов; false - ручной вызов |
Test Call | BOOLEAN | M | Тип вызова: true - тестовый вызов; false - экстренный вызов |
Position Can Be Trusted | BOOLEAN | M | Достоверность определения местоположения (координат) ТС: true - местоположение (координаты) ТС определено с погрешностью не более +/- 150 м при доверительной вероятности 95%; false - в противном случае |
| Vehicle Type | ENUM | M | Категория ТС (правила кодирования категории ТС определены в В.3): - пассажирский (категория M1); - автобус (категория M2); - автобус (категория M3); - легкий грузовик (категория N1); - грузовой автомобиль (категория N2); - грузовой автомобиль (категория N3); - мотоцикл (категория L1e); - мотоцикл (категория L2e); - мотоцикл (категория L3e); - мотоцикл (категория L4e); - мотоцикл (категория L5e); - мотоцикл (категория L6e); - мотоцикл (категория L7e) |
4 | VIN | STRING(17) | M | Идентификационный номер ТС в соответствии с [23] |
5 | Vehicle Propulsion Storage Type | - | M | Тип топлива (источника энергии) ТС. Для каждого типа топлива (источника энергии) применяется следующее кодирование: false - данный тип топлива (источник энергии) не представлен; true - данный тип топлива (источник энергии) представлен |
Gasoline Tank Present | BOOLEAN | M | Бензин |
Diesel Tank Present | BOOLEAN | M | Дизельное топливо |
Compressed Natural Gas | BOOLEAN | M | Сжатый газ |
Liquid Propane Gas | BOOLEAN | M | Сжиженный газ (пропан) |
Electric Energy Storage | BOOLEAN | M | Электрическая энергия (более чем 42 В и 100 А/ч) |
Hydrogen Storage | BOOLEAN | M | Водород |
6 | Time Stamp | INTEGER (0..232 - 1) | M | Временная отметка события ДТП - число в секундах, прошедшее с 01 января 1970 г. UTC. Если возникла ошибка при определении времени события ДТП, то данное значение необходимо установить в "0" |
7 | Vehicle Location | - | M | Местоположение ТС Общие правила и рекомендации: - если значения широты и долготы одновременно равны нулю, то местоположение ТС должно быть интерпретировано как неизвестное; - если приемник не смог достоверно распознать широту или долготу, то рекомендуется интерпретировать значения обеих координат как неизвестные |
Position Latitude | INTEGER (-231...231 - 1) | M | Значение широты местоположения ТС, определенное навигационным приемником, в угловых миллисекундах (от - 324000000 до 324000000). Наибольшее значение: 90°00'00,000" = 90·60·60,000" = 324000,000" = 324 000 000 угловых миллисекунд = 0x134FD900. Наименьшее значение: -90°00'00,000" = -90·60·60,000" = -324000,000" = -324 000 000 угловых миллисекунд = 0xECB02700. Пример: 48°18'1,20" N = (48·3600 + 18·60 + 1,20)" = 173881,200" = 173881200 = 0x0A5D3770. Если широта неизвестна или если возникла ошибка при определении широты, то необходимо данное значение установить равным последнему достоверно определенному значению широты. В случае, если отсутствует последнее достоверно определенное значение широты, то данное значение необходимо установить в 0x7FFFFFFF. В обоих случаях значение параметра Position Can Be Trusted необходимо установить в false |
| Position Longitude | INTEGER (-231...231 - 1) | M | Значение долготы местоположения ТС, определенное навигационным приемником, в угловых миллисекундах (от -648000000 до 648000000). Наибольшее значение: 180°00'00,000" = 180·60·60,000" = 648000,000" = 648 000 000 угловых миллисекунд = 0x269FB200. Наименьшее значение: -180°00'00,000" = -180·60·60,000" = -648000,000" = -648 000 000 угловых миллисекунд = 0xD9604E00. Пример: 11°37'2,52" E = (11·3600 + 37·60 + 2,52)" = 41822,520" = 41822520 = 0x027E2938. Если долгота неизвестна или если возникла ошибка при определении долготы, то необходимо данное значение установить равным последнему достоверно определенному значению долготы. В случае, если отсутствует последнее достоверно определенное значение долготы, то данное значение необходимо установить в 0x7FFFFFFF. В обоих случаях значение параметра Position Can Be Trusted необходимо установить в false |
8 | Vehicle Direction | INTEGER (0...255) | M | Направление движения (курс) ТС, отсчитываемое от направления на магнитный полюс по ходу часовой стрелки с дискретностью 2° (от 0° до 358°). Если направление движения неизвестно или если возникла ошибка при определении направления движения, то данное значение необходимо установить в 0xFF |
9 | Recent Vehicle Location N1 | - | O | Местоположение ТС на момент времени n - 1 |
Latitude Delta | INTEGER (-512...511) | O | Отклонение по широте ("плюс" - для направления на север и "минус" - для направления на юг) по отношению к значению широты в блоке данных номер 7). Выражается в условных единицах, 1 единица = 0,1", что соответствует ~= 3 м |
Longitude Delta | INTEGER (-512...511) | O | Отклонение по долготе ("плюс" - для направления на восток и "минус" - для направления на запад) по отношению к значению долготы в блоке данных номер 7). Выражается в условных единицах, 1 единица = 0,1", что соответствует ~= 3 м |
10 | Recent Vehicle Location N2 | - | O | Местоположение ТС на момент времени n - 2 |
Latitude Delta | INTEGER (-512...511) | O | Отклонение по широте ("плюс" - для направления на север и "минус" - для направления на юг) по отношению к значению широты на момент времени n - 1 в блоке данных номер 9). Выражается в условных единицах, 1 единица = 0,1", что соответствует ~= 3 м |
Longitude Delta | INTEGER (-512...511) | O | Отклонение по долготе ("плюс" - для направления на восток и "минус" - для направления на запад) по отношению к значению долготы на момент времени n - 1 в блоке данных номер 9). Выражается в условных единицах, 1 единица = 0,1", что соответствует ~= 3 м |
11 | Number Of Passengers | INTEGER (0...255) | O | Число пассажиров |
12 | Optional Additional Data | - | O | Опциональные дополнительные данные |
oid | RELATIVE-OID | O | Идентификатор объекта, который определяет формат и назначение данных, следующих за данным идентификатором. Уникальность идентификатора обеспечивается специальной международной организацией по стандартизации. Тип элемента определяется в соответствии с [ 14 - 22] |
data | OCTET STRING | O | Дополнительные данные, представленные в соответствии с форматом, определенным в идентификаторе объекта "oid" |
Примечание - В графе "Статус" используются следующие обозначения: - M (mandatory) - обязательный блок данных. Должен передаваться всегда; - O (optional) - необязательный блок данных. Может не передаваться, и его присутствие определяется другими параметрами, входящими в пакет. |
В.4 АСН.1 представление МНД со стандартными данными, идентичными с eCall (уплотненное кодирование), версия 1
MSDASN1Module
DEFINITIONS
AUTOMATIC TAGS ::=
BEGIN
-- версия спецификации МНД
CurrentId::= INTEGER (1)
-- ECallMessage является информационным элементом верхнего
-- уровня и поддерживает только один тип сообщения (msd)
-- Элементы:
-- id: формат данных МНД устанавливается в 1
-- msd: МНД, передающихся со стороны УСВ, исключая ID
ECallMessage ::= SEQUENCE {
id INTEGER(0 .. 255),
msd MSDMessage
}
-- Сообщение, передающееся со стороны УСВ (исключая ID)
-- Элементы:
-- msdStructure: Главная структура МНД
-- optionalAdditionalData: Дополнительные данные
-- Расширяемо в следующих версиях на этом уровне
MSDMessage ::= SEQUENCE {
msdStructure MSDStructure,
optionalAdditionalData AdditionalData OPTIONAL,
...
}
-- Главная структура МНД, за исключением дополнительных данных
-- Элементы:
-- messageIdentifier: Идентификатор сообщения
-- control: см. ControlType
-- vehicleIdentificationNumber: см. VIN
-- vehiclePropulsionStorageType: см.
--VehiclePropulsionStorageType
-- timestamp: метка времени
-- vehicleLocation: см. VehicleLocation
-- vehicleDirection: Направление движения
-- recentVehicleLocationN1: отклонение от текущего положения
-- см. VehicleLocationDelta
-- recentVehicleLocationN2: отклонение от
-- recentVehicleLocationN1 см. VehicleLocationDelta
-- numberOfPassengers: минимально известное число
--пристегнутых ремней безопасности
MSDStructure ::= SEQUENCE {
messageIdentifier INTEGER(0 .. 255),
control ControlType,
vehicleIdentificationNumber VIN,
vehiclePropulsionStorageType VehiclePropulsionStorageType,
timestamp INTEGER(0 .. 4294967295),
vehicleLocation VehicleLocation,
vehicleDirection INTEGER(0 .. 255),
recentVehicleLocationN1 VehicleLocationDelta OPTIONAL,
recentVehicleLocationN2 VehicleLocationDelta OPTIONAL,
numberOfPassengers INTEGER(0 .. 255) OPTIONAL,
...
}
-- ControlType состоит из следующих элементов:
-- automaticActivation: true, false
-- testCall: true, false
-- positionCanBeTrusted: true, false
-- vehicleType: CM. VehicleType
ControlType ::= SEQUENCE {
automaticActivation BOOLEAN,
testCall BOOLEAN,
positionCanBeTrusted BOOLEAN,
vehicleType VehicleType
}
-- Определение типа транспортного средства
VehicleType ::= ENUMERATED{
passengerVehicleClassM1 (1),
busesAndCoachesClassM2 (2),
busesAndCoachesClassM3 (3),
lightCommercialVehiclesClassN1 (4),
heavyDutyVehiclesClassN2 (5),
heavyDutyVehiclesClassN3 (6),
motorcyclesClassL1e (7),
motorcyclesClassL2e (8),
motorcyclesClassL3e (9),
motorcyclesClassL4e (10),
motorcyclesClassL5e (11),
motorcyclesClassL6e (12),
motorcyclesClassL7e (13),
...
}
-- VIN
VIN ::= SEQUENCE {
Isowmi PrintableString (SIZE(3))
(FROM("A".."H"|"J".."N"|"P"|"R".."Z"|"0".."9")),
Isovds PrintableString (SIZE (6))
(FROM("A".."H"|"J".."N"|"P"|"R".."Z"|"0".."9")),
isovisModelyear PrintableString (SIZE(1))
(FROM("A".."H"|"J".."N"|"P"|"R".."Z"|"0".."9")),
isovisSeqPlant PrintableString (SIZE(7))
(FROM("A".."H"|"J".."N"|"P"|"R".."Z"|"0".."9"))
}
-- VehiclePropulsionStorageType:
-- Тип топлива (источника энергии) транспортного средства
VehiclePropulsionStorageType ::= SEQUENCE {
gasolineTankPresent BOOLEAN DEFAULT FALSE,
dieselTankPresent BOOLEAN DEFAULT FALSE,
compressedNaturalGas BOOLEAN DEFAULT FALSE,
liquidPropaneGas BOOLEAN DEFAULT FALSE,
electricEnergyStorage BOOLEAN DEFAULT FALSE,
hydrogenStorage BOOLEAN DEFAULT FALSE,
...
}
-- VehicleLocation:
-- Текущее местоположение транспортного средства
-- Элементы:
-- Широта - отведены 32 бита (4 октета)
-- Долгота - отведены 32 бита (4 октета)
VehicleLocation ::= SEQUENCE {
positionLatitude INTEGER(-2147483648..2147483647),
positionLongitude INTEGER(-2147483648..2147483647)
}
-- VehicleLocationDelta:
-- Местоположение транспортного средства перед определением
-- события ДТП
VehicleLocationDelta ::= SEQUENCE {
latitudeDelta INTEGER (-512..511),
longitudeDelta INTEGER (-512..511)
}
-- AdditionalData:
-- Дополнительные данные, закодированные как отдельное
-- определение
-- Элементы:
-- oid: идентификатор объекта, который определяет формат
-- и назначение данных
-- data: дополнительные данные в соответствии с форматом,
-- определенным oid
AdditionalData ::= SEQUENCE {
oid RELATIVE-OID,
data OCTET STRING
}
END
В.5 АСН.1 представление МНД со стандартными данными, идентичными с eCall (уплотненное кодирование), версия 2
MSDASN1Module_V2
DEFINITIONS
AUTOMATIC TAGS ::=
BEGIN
-- версия спецификации МНД
CurrentId::= INTEGER (2)
-- ECallMessage является информационным элементом верхнего
-- уровня и поддерживает только один тип сообщения (msd)
-- Элементы:
-- id: формат данных МНД устанавливается в 1
-- msd: МНД, передающихся со стороны УСВ, исключая ID
ECallMessage ::= SEQUENCE {
msdVersion INTEGER(0 .. 255),
msd OCTET STRING (CONTAINING MSDMessage)
}
-- Сообщение, передающееся со стороны УСВ (исключая ID)
-- Элементы:
-- msdStructure: Главная структура МНД
-- optionalAdditionalData: Дополнительные данные
-- Расширяемо в следующих версиях на этом уровне
MSDMessage ::= SEQUENCE {
msdStructure MSDStructure,
optionalAdditionalData AdditionalData OPTIONAL,
...
}
-- Главная структура МНД, за исключением дополнительных данных
-- Элементы:
-- messageIdentifier: Идентификатор сообщения
-- control: см. ControlType
-- vehicleIdentificationNumber: см. VIN
-- vehiclePropulsionStorageType: см.
-- VehiclePropulsionStorageType
-- timestamp: метка времени
-- vehicleLocation: см. VehicleLocation
-- vehicleDirection: Направление движения
-- recentVehicleLocationN1: отклонение от текущего положения
-- см. VehicleLocationDelta
-- recentVehicleLocationN2: отклонение от
-- recentVehicleLocationN1 см. VehicleLocationDelta
-- numberOfPassengers: минимально известное число
-- пристегнутых ремней безопасности
MSDStructure ::= SEQUENCE {
messageIdentifier INTEGER(0 .. 255),
control ControlType,
vehicleIdentificationNumber VIN,
vehiclePropulsionStorageType VehiclePropulsionStorageType,
timestamp INTEGER(0 .. 4294967295),
vehicleLocation VehicleLocation,
vehicleDirection INTEGER(0 .. 255),
recentVehicleLocationN1 VehicleLocationDelta OPTIONAL,
recentVehicleLocationN2 VehicleLocationDelta OPTIONAL,
numberOfPassengers INTEGER(0 .. 255) OPTIONAL,
...
}
-- ControlType состоит из следующих элементов:
-- automaticActivation: true, false
-- testCall: true, false
-- positionCanBeTrusted: true, false
-- vehicleType: см. VehicleType
ControlType ::= SEQUENCE {
automaticActivation BOOLEAN,
testCall BOOLEAN,
positionCanBeTrusted BOOLEAN,
vehicleType VehicleType
}
-- Определение типа транспортного средства
VehicleType ::= ENUMERATED {
passengerVehicleClassM1 (1),
busesAndCoachesClassM2 (2),
busesAndCoachesClassM3 (3),
lightCommercialVehiclesClassN1 (4),
heavyDutyVehiclesClassN2 (5),
heavyDutyVehiclesClassN3 (6),
motorcyclesClassL1e (7),
motorcyclesClassL2e (8),
motorcyclesClassL3e (9),
motorcyclesClassL4e (10),
motorcyclesClassL5e (11),
motorcyclesClassL6e (12),
motorcyclesClassL7e (13),
...
}
-- Идентификационный номер транспортного средства (VIN)
VIN ::= SEQUENCE {
isowmi PrintableString (SIZE (3))
(FROM("A".."H"|"J".."N"|"P"|"R".."Z"|"0".."9")),
isovds PrintableString (SIZE (6))
(FROM("A".."H"|"J".."N"|"P"|"R".."Z"|"0".."9")),
isovisModelyear PrintableString (SIZE(1))
(FROM("A".."H"|"J".."N"|"P"|"R".."Z"|"0".."9")),
isovisSeqPlant PrintableString (SIZE(7))
(FROM("A".."H"|"J".."N"|"P"|"R".."Z"|"0".."9"))
}
-- VehiclePropulsionStorageType:
-- Тип топлива (источника энергии) транспортного средства
VehiclePropulsionStorageType ::= SEQUENCE {
gasolineTankPresent BOOLEAN DEFAULT FALSE,
dieselTankPresent BOOLEAN DEFAULT FALSE,
compressedNaturalGas BOOLEAN DEFAULT FALSE,
liquidPropaneGas BOOLEAN DEFAULT FALSE,
electricEnergyStorage BOOLEAN DEFAULT FALSE,
hydrogenStorage BOOLEAN DEFAULT FALSE,
otherStorage BOOLEAN DEFAULT FALSE,
...
}
-- VehicleLocation:
-- Текущее местоположение транспортного средства
-- Элементы:
-- Широта - отведены 32 бита (4 октета)
-- Долгота - отведены 32 бита (4 октета)
VehicleLocation ::= SEQUENCE {
positionLatitude INTEGER(-2147483648..2147483647),
positionLongitude INTEGER(-2147483648..2147483647)
}
-- VehicleLocationDelta:
-- Местоположение транспортного средства перед определением
-- события ДТП
VehicleLocationDelta ::= SEQUENCE {
latitudeDelta INTEGER (-512..511),
longitudeDelta INTEGER (-512..511)
}
-- AdditionalData:
-- Дополнительные данные, закодированные как отдельное
-- определение
-- Элементы:
-- oid: идентификатор объекта, который определяет формат
-- и назначение данных
-- data: дополнительные данные в соответствии с форматом,
-- определенным oid
AdditionalData ::= SEQUENCE {
oid RELATIVE-OID,
data OCTET STRING
}
END
В.6 Содержание блока дополнительных данных МНД, введенных для системы экстренного реагирования при авариях и не стандартизированных в eCall (оценка тяжести ДТП), версия 1
В.6.1 Дополнительные данные, введенные в состав МНД в системе экстренного реагирования при авариях, должны располагаться во втором элементе блока данных номер 12 - Optional additional data при значении первого элемента блока данных номер 12, равного 1.4.1.
В.6.2 Содержание дополнительных данных представлено в таблице В.2.
Таблица В.2
Содержание блока дополнительных данных МНД, введенных
для системы экстренного реагирования при авариях, версия 1
Номер блока данных | Имя блока данных | Тип (диапазон) | | Описание блока данных |
12-1 | Crash Severity ASI15 | INTEGER (0...2047) | O | Оценка степени тяжести аварии на основе значения индекса ASI15, умноженного на 100. В случае невозможности определения и передачи индекса ASI15 на стороне УСВ передается значение 0 для низкой степени тяжести аварии и значение 2047 для высокой степени тяжести аварии |
12-2 | Diagnostic Result | - | O | Результаты тестирования УСВ |
Mic Connection Failure | BOOLEAN | O | Некорректное подключение микрофона |
Mic Failure | BOOLEAN | O | Неработоспособность микрофона |
Right Speaker Failure | BOOLEAN | O | Неисправность правого динамика |
Left Speaker Failure | BOOLEAN | O | Неисправность левого динамика |
Speakers Failure | BOOLEAN | O | Неисправность динамиков |
Ignition Line Failure | BOOLEAN | O | Неисправность при определении состояния линии зажигания |
Uim Failure | BOOLEAN | O | Неисправность БИП |
Status Indicator Failure | BOOLEAN | O | Неисправность индикатора состояния |
Battery Failure | BOOLEAN | O | Неисправность резервной батареи |
Battery Voltage Low | BOOLEAN | O | Разряд резервной батареи ниже допустимого уровня |
Crash Sensor Failure | BOOLEAN | O | Неисправность датчика автоматической идентификации события ДТП |
Firmware Image Corruption | BOOLEAN | O | Нарушение целостности образа программного обеспечения |
Comm. Module Interface Failure | BOOLEAN | O | Неработоспособность интерфейса коммуникационного модуля GSM и UMTS |
Gnss Receiver Failure | BOOLEAN | O | Неработоспособность приемника ГНСС |
| Raim Problem | BOOLEAN | O | Отсутствие целостности (достоверности) определяемых приемником ГНСС навигационно-временных параметров (функция RAIM) |
Gnss Antenna Failure | BOOLEAN | O | Неработоспособность (некорректное подключение) внешней антенны ГНСС |
Comm. Module Failure | BOOLEAN | O | Неработоспособность (некорректное подключение) внешней антенны GSM и UMTS |
Events Memory Overflow | BOOLEAN | O | Переполнение внутренней памяти событий |
Crash Profile Memory Overflow | BOOLEAN | O | Переполнение памяти для записи профилей ускорения |
Other Critical Failires | BOOLEAN | O | Другие критические ошибки |
Other Not Critical Failures | BOOLEAN | O | Другие некритические ошибки |
12-3 | Crash Info | - | O | Вид ДТП (тип аварии) |
Crash Front | BOOLEAN | O | Удар спереди |
Crash Left | BOOLEAN | O | Удар слева |
Crash Right | BOOLEAN | O | Удар справа |
Crash Rear | BOOLEAN | O | Удар сзади |
Crash Rollover | BOOLEAN | O | Опрокидывание |
Crash Side | BOOLEAN | O | Удар сбоку |
Crash Front Or Side | BOOLEAN | O | Удар спереди или сбоку |
Crash Another Type | BOOLEAN | O | Другой тип происшествия |
Примечание - В графе "Статус" обозначение "O" (optional) означает необязательный блок данных. Может не передаваться, и его присутствие определяется другими параметрами, входящими в пакет |
В.7 АСН.1 представление второго элемента блока дополнительных данных, введенных для системы "ЭРА-ГЛОНАСС" (уплотненное кодирование), версия 1
ERAOADASN1Module
DEFINITIONS
AUTOMATIC TAGS ::=
BEGIN
-- версия формата блока дополнительных данных "ЭРА-ГЛОНАСС"
-- Расширяет optionalAdditionalData.OID, выделенный CEN для
-- ЭРА-ГЛОНАСС. Последующие версии формата должны быть
-- обратно совместимыми с предыдущими.
ERADataFormatId::= INTEGER (1)
-- Блок дополнительных данных "ЭРА-ГЛОНАСС"
-- crashSeverityASI15 - значение индекса ASI15,
-- умноженное на 100
-- diagnosticResult - см. DiagnosticResult
-- crashInfo - см. CrashInfo.
-- Расширяемый.
ERAAdditionalData ::= SEQUENCE {
crashSeverityASI15 INTEGER(0..2047) OPTIONAL,
diagnosticResult DiagnosticResult OPTIONAL,
crashInfo CrashInfo OPTIONAL,
...
}
-- Блок данных, характеризующих состояние УСВ
DiagnosticResult ::= SEQUENCE {
micConnectionFailure BOOLEAN OPTIONAL,
micFailure BOOLEAN OPTIONAL,
rightSpeakerFailure BOOLEAN OPTIONAL,
leftSpeakerFailure BOOLEAN OPTIONAL,
speakersFailure BOOLEAN OPTIONAL,
ignitionLineFailure BOOLEAN OPTIONAL,
uimFailure BOOLEAN OPTIONAL,
statusIndicatorFailure BOOLEAN OPTIONAL,
batteryFailure BOOLEAN OPTIONAL,
batteryVoltageLow BOOLEAN OPTIONAL,
crashSensorFailure BOOLEAN OPTIONAL,
firmwareImageCorruption BOOLEAN OPTIONAL,
commModuleInterfaceFailure BOOLEAN OPTIONAL,
gnssReceiverFailure BOOLEAN OPTIONAL,
raimProblem BOOLEAN OPTIONAL,
gnssAntennaFailure BOOLEAN OPTIONAL,
commModuleFailure BOOLEAN OPTIONAL,
eventsMemoryOverflow BOOLEAN OPTIONAL,
crashProfileMemoryOverflow BOOLEAN OPTIONAL,
otherCriticalFailures BOOLEAN OPTIONAL,
otherNotCriticalFailures BOOLEAN OPTIONAL
}
-- Блок данных, классифицирующий ДТП
CrashInfo ::= SEQUENCE {
crashFront BOOLEAN OPTIONAL,
crashLeft BOOLEAN OPTIONAL,
crashRight BOOLEAN OPTIONAL,
crashRear BOOLEAN OPTIONAL,
crashRollover BOOLEAN OPTIONAL,
crashSide BOOLEAN OPTIONAL,
crashFrontOrSide BOOLEAN OPTIONAL,
crashAnotherType BOOLEAN OPTIONAL
}
END.
В.8 Содержание блока дополнительных данных МНД, введенных для системы экстренного реагирования при авариях и не стандартизированных в eCall (оценка тяжести ДТП), версия 2
В.8.1 Дополнительные данные, введенные в состав МНД в системе экстренного реагирования при авариях, должны располагаться во втором элементе блока данных номер 12 - Optional additional data при значении первого элемента блока данных номер 12, равного 1.4.2.
В.8.2 Содержание дополнительных данных представлено в таблице В.3.
Таблица В.3
Содержание блока дополнительных данных МНД, введенных
для системы экстренного реагирования при авариях, версия 2
Номер блока данных | Имя блока данных | Тип (диапазон) | | Описание блока данных |
12-1 | Crash Severity ASI15 | INTEGER (0...2047) | O | Оценка степени тяжести аварии на основе значения индекса ASI15, умноженного на 100. В случае невозможности определения и передачи индекса ASI15 на стороне УСВ, передается значение 0 для низкой степени тяжести аварии и значение 2047 для высокой степени тяжести аварии |
12-2 | Diagnostic Result | - | O | Результаты тестирования УСВ |
| Mic Connection Failure | BOOLEAN | O | Некорректное подключение микрофона |
| Mic Failure | BOOLEAN | O | Неработоспособность микрофона |
| Right Speaker Failure | BOOLEAN | O | Неисправность правого динамика |
| Left Speaker Failure | BOOLEAN | O | Неисправность левого динамика |
| Speakers Failure | BOOLEAN | O | Неисправность динамиков |
| Ignition Line Failure | BOOLEAN | O | Неисправность при определении состояния линии зажигания |
| Uim Failure | BOOLEAN | O | Неисправность БИП |
| Status Indicator Failure | BOOLEAN | O | Неисправность индикатора состояния |
| Battery Failure | BOOLEAN | O | Неисправность резервной батареи |
| Battery Voltage Low | BOOLEAN | O | Разряд резервной батареи ниже допустимого уровня |
| Crash Sensor Failure | BOOLEAN | O | Неисправность датчика автоматической идентификации события ДТП |
| Firmware Image Corruption | BOOLEAN | O | Нарушение целостности образа программного обеспечения |
| Comm. Module Interface Failure | BOOLEAN | O | Неработоспособность интерфейса коммуникационного модуля GSM и UMTS |
| Gnss Receiver Failure | BOOLEAN | O | Неработоспособность приемника ГНСС |
| Raim Problem | BOOLEAN | O | Отсутствие целостности (достоверности) определяемых приемником ГНСС навигационно-временных параметров (функция RAIM) |
| Gnss Antenna Failure | BOOLEAN | O | Неработоспособность (некорректное подключение) внешней антенны ГНСС |
Comm. Module Failure | BOOLEAN | O | Неработоспособность (некорректное подключение) внешней антенны GSM и UMTS |
Events Memory Overflow | BOOLEAN | O | Переполнение внутренней памяти событий |
Crash Profile Memory Overflow | BOOLEAN | O | Переполнение памяти для записи профилей ускорения |
Other Critical Failures | BOOLEAN | O | Другие критические ошибки |
Other Not Critical Failures | BOOLEAN | O | Другие некритические ошибки |
12-3 | Crash Info | - | O | Вид ДТП (тип аварии) |
Crash Front | BOOLEAN | O | Удар спереди |
Crash Left | BOOLEAN | O | Удар слева |
Crash Right | BOOLEAN | O | Удар справа |
Crash Rear | BOOLEAN | O | Удар сзади |
Crash Rollover | BOOLEAN | O | Опрокидывание |
Crash Side | BOOLEAN | O | Удар сбоку |
Crash Front Or Side | BOOLEAN | O | Удар спереди или сбоку |
Crash Another Type | BOOLEAN | O | Другой тип происшествия |
12-4 | Coordinate System Type | ENUM | O | Тип использованной системы координат (правила кодирования определены в В.9): - WGS-84; - PZ-90 |
Примечание - В графе "Статус" обозначение "O" (optional) означает необязательный блок данных. Может не передаваться, и его присутствие определяется другими параметрами, входящими в пакет |
В.9 АСН.1 представление второго элемента блока дополнительных данных, введенных для системы "ЭРА-ГЛОНАСС" (уплотненное кодирование), версия 2
ERAOADASN1Module_V2
DEFINITIONS
AUTOMATIC TAGS ::=
BEGIN
-- версия формата блока дополнительных данных "ЭРА-ГЛОНАСС"
-- Расширяет optionalAdditionalData.OID, выделенный CEN для
-- ЭРА-ГЛОНАСС. Последующие версии формата должны быть
-- обратно совместимыми с предыдущими.
ERADataFormatId::= INTEGER (2)
-- Блок дополнительных данных "ЭРА-ГЛОНАСС"
-- crashSeverityASI15 - значение индекса ASI15,
-- умноженное на 100
-- diagnosticResult - см. DiagnosticResult
-- crashInfo - см. CrashInfo.
-- coordinateSystemType - см. CoordinateSystemType
-- Расширяемый.
ERAAdditionalData ::= SEQUENCE {
crashSeverityASI15 INTEGER(0..2047) OPTIONAL,
diagnosticResult DiagnosticResult OPTIONAL,
crashInfo CrashInfo OPTIONAL,
coordinateSystemType CoordinateSystemType DEFAULT wgs84,
...
}
-- Блок данных, характеризующих состояние УСВ
DiagnosticResult ::= SEQUENCE {
micConnectionFailure BOOLEAN OPTIONAL,
micFailure BOOLEAN OPTIONAL,
rightSpeakerFailure BOOLEAN OPTIONAL,
leftSpeakerFailure BOOLEAN OPTIONAL,
speakersFailure BOOLEAN OPTIONAL,
ignitionLineFailure BOOLEAN OPTIONAL,
uimFailure BOOLEAN OPTIONAL,
statusIndicatorFailure BOOLEAN OPTIONAL,
batteryFailure BOOLEAN OPTIONAL,
batteryVoltageLow BOOLEAN OPTIONAL,
crashSensorFailure BOOLEAN OPTIONAL,
firmwareImageCorruption BOOLEAN OPTIONAL,
commModuleInterfaceFailure BOOLEAN OPTIONAL,
gnssReceiverFailure BOOLEAN OPTIONAL,
raimProblem BOOLEAN OPTIONAL,
gnssAntennaFailure BOOLEAN OPTIONAL,
commModuleFailure BOOLEAN OPTIONAL,
eventsMemoryOverflow BOOLEAN OPTIONAL,
crashProfileMemoryOverflow BOOLEAN OPTIONAL,
otherCriticalFailures BOOLEAN OPTIONAL,
otherNotCriticalFailures BOOLEAN OPTIONAL
}
-- Блок данных, классифицирующий ДТП
CrashInfo ::= SEQUENCE {
crashFront BOOLEAN OPTIONAL,
crashLeft BOOLEAN OPTIONAL,
crashRight BOOLEAN OPTIONAL,
crashRear BOOLEAN OPTIONAL,
crashRollover BOOLEAN OPTIONAL,
crashSide BOOLEAN OPTIONAL,
crashFrontOrSide BOOLEAN OPTIONAL,
crashAnotherType BOOLEAN OPTIONAL
}
-- Тип используемой системы координат
CoordinateSystemType ::= ENUMERATED {
wgs84 (1),
pz90 (2)
}
END
(рекомендуемое)
ПОДКЛЮЧЕНИЯ УСТРОЙСТВА/СИСТЕМЫ ВЫЗОВА ЭКСТРЕННЫХ ОПЕРАТИВНЫХ
СЛУЖБ, ИСПОЛНЕННОЙ В КОНФИГУРАЦИИ ДОПОЛНИТЕЛЬНОГО
ОБОРУДОВАНИЯ, К АУДИОСИСТЕМЕ ТРАНСПОРТНОГО СРЕДСТВА
Г.1 Рекомендуемая схема (пример) подключения УСВ, исполненной в конфигурации дополнительного оборудования, к аудиосистеме транспортного средства представлена на рисунке Г.1.
Рисунок Г.1 - Пример подключения УСВ к аудиосистеме
транспортного средства
Г.2 Аудиовыход УСВ (два передних динамика) подключается к бортовой аудиосистеме транспортного средства.
Г.3 Если в транспортном средстве установлена магнитола, то аудиовыход магнитолы (два передних динамика) подключается к аудиовходу УСВ для осуществления коммутации сигналов внутри УСВ.
Г.4 Линия mute (запретить звук) подключается к магнитоле.
Г.5 Следующие интерфейсы являются опциональными:
- вход для второго микрофона;
- OEM датчик аварии (блок управления подушками безопасности);
- проводной диагностический интерфейс;
- интерфейс расширения RS485.
Г.6 Рекомендации по подключению УСВ к бортовой аудиосистеме транспортного средства в зависимости от конструктивного исполнения последней приведены в таблице Г.1.
Таблица Г.1
Возможный вариант конструктивного исполнения аудиосистемы транспортного средства | Рекомендации по подключению УСВ |
Транспортное средство с магнитолой со стерео- и аудиовыходом, аудиосистемой и доступом к разъему подключения магнитолы к аудиосистеме транспортного средства | 1 Подсоединить магнитолу к УСВ. 2 Подсоединить УСВ к аудиосистеме. 3 Подсоединить линию "запретить звук" к магнитоле |
Транспортное средство с магнитолой со стерео- и аудиовыходом, аудиосистемой без прямого доступа к разъему подключения магнитолы к аудиосистеме транспортного средства | 1 Разъединить провода, соединяющие магнитолу с передними динамиками транспортного средства. 2 Подсоединить магнитолу к УСВ. 3 Подсоединить УСВ к аудио системе. 4 Подсоединить линию "запретить звук" к магнитоле |
Транспортное средство с магнитолой без стерео- и аудиовыхода, аудиосистемой и доступом к разъему подключения магнитолы к аудиосистеме транспортного средства | 1 Подсоединить магнитолу к УСВ. 2 Подсоединить УСВ к аудиосистеме. 3 Подсоединить линию "запретить звук" к магнитоле |
Транспортное средство с магнитолой без стерео- и аудиовыхода, аудиосистемой без прямого доступа к разъему подключения магнитолы к аудиосистеме транспортного средства | Подсоединить линию "запретить звук" к магнитоле, установить дополнительный динамик и подключить дополнительный динамик к усиленному выходу звука УСВ |
Транспортное средство без магнитолы, с аудиосистемой и доступом к разъему подключения магнитолы к аудиосистеме транспортного средства | 1 Подсоединить магнитолу к УСВ. 2 Подсоединить УСВ к аудиосистеме. 3 Подсоединить линию "запретить звук" к магнитоле |
Транспортное средство без магнитолы и аудиосистемы | Установить дополнительный динамик и подключить дополнительный динамик к усиленному выходу звука УСВ |
(рекомендуемое)
ПО МЕСТУ УСТАНОВКИ ДАТЧИКА АВТОМАТИЧЕСКОЙ ИДЕНТИФИКАЦИИ
СОБЫТИЯ ДТП (ТОЛЬКО ДЛЯ ТРАНСПОРТНЫХ СРЕДСТВ
КАТЕГОРИЙ M1 И N1)
Д.1 Для УСВ, устанавливаемой в конфигурации дополнительного оборудования, датчик автоматической идентификации события ДТП рекомендуется устанавливать вдоль продольной оси транспортного средства (y = 0) на наиболее усиленное место панели пола, вдали от деформируемых деталей кузова транспортного средства.
Данное расположение обеспечивает применение одинаковых критериев при ударе в правую и левую стороны транспортного средства, что значительно упрощает настройку УСВ.
Рекомендуемые места установки датчика представлены на рисунке Д.1 (точки A, B, C, D, E, F, O).
O - точка центра масс транспортного средства,
расстояния OF и OC должны быть не более 70 мм;
расстояния AF, BC, CD и EF должны быть не более 40 мм
Рисунок Д.1 - Рекомендуемое расположение датчика
определения события ДТП
При выборе места установки датчика автоматической идентификации события ДТП рекомендуется обеспечивать достаточное пространство вокруг датчика, чтобы значительные деформации кузовных элементов не повредили датчик и не оказали негативное влияние на его работоспособность.
Д.2 Для УСВ, устанавливаемых в конфигурации штатного оборудования, место установки датчика автоматической идентификации события ДТП определяет производитель транспортного средства.
(рекомендуемое)
ПО ИСПОЛНЕНИЮ И МЕСТОПОЛОЖЕНИЮ БЛОКА ИНТЕРФЕЙСА
ПОЛЬЗОВАТЕЛЯ В САЛОНЕ ТРАНСПОРТНОГО СРЕДСТВА
(ТОЛЬКО ДЛЯ АВТОМОБИЛЬНЫХ СИСТЕМ, УСТАНАВЛИВАЕМЫХ
В КОНФИГУРАЦИИ ДОПОЛНИТЕЛЬНОГО ОБОРУДОВАНИЯ)
Е.1 Габаритные размеры БИП должны быть по возможности минимизированы в целях облегчения установки устройства в салоне транспортного средства.
Е.2 БИП рекомендуется изготавливать из материалов, по фактуре и цвету максимально идентичных фактуре и цвету материалов, использующихся при изготовлении передних панелей транспортных средств. При необходимости может создаваться несколько вариантов БИП с использованием материалов различной фактуры и цвета.
Е.3 Не рекомендуется размещать в БИП динамик (динамики), а также электронные блоки, входящие в состав УСВ, т.к. это увеличивает габаритные размеры БИП и затрудняет его установку в салоне транспортного средства.
Е.4 Крепление БИП на передней панели транспортного средства должно обеспечивать безопасность лиц, находящихся в транспортном средстве при наступлении события ДТП.
Е.5 Кнопки "Экстренный вызов" и "Дополнительные функции" рекомендуется размещать таким образом, чтобы нажатие на кнопки обеспечивалось в плоскости, перпендикулярной к плоскости крепления БИП в транспортном средстве.
(рекомендуемое)
РАЗЪЕМЫ ДЛЯ ПОДКЛЮЧЕНИЯ УСТРОЙСТВА/СИСТЕМЫ ВЫЗОВА ЭКСТРЕННЫХ
ОПЕРАТИВНЫХ СЛУЖБ, УСТАНАВЛИВАЕМОЙ В КОНФИГУРАЦИИ
ДОПОЛНИТЕЛЬНОГО ОБОРУДОВАНИЯ, К БОРТОВОЙ СЕТИ
ТРАНСПОРТНОГО СРЕДСТВА. СОСТАВ СИГНАЛОВ
Ж.1 Основной разъем для подключения УСВ, устанавливаемой в конфигурации дополнительного оборудования, к бортовой сети транспортного средства
Ж.1.1 Состав сигналов, рекомендуемый к реализации в разъеме для подключения УСВ к бортовой сети транспортного средства, приведен в таблице Ж.1.
Номер контакта | Наименование сигнала | Направление сигнала (относительно УСВ) | Назначение сигнала | |
1 | Ground | Вход | "Земля" | Да |
2 | Vin+ | Вход | Питание 12 В или 24 В | Да |
| CAN L1 | Вход-выход | CAN 1 (от 1,5 до 2,5 В) | |
| uim_4 | Вход-выход | БИП - сигнал 4 (например, "земля" для индикатора состояния) | Нет |
5 | uim_3 | Вход-выход | БИП - сигнал 3 (например, индикатор состояния) | Нет |
6 | uim_2 | Вход-выход | БИП - сигнал 2 (например, кнопка "Дополнительные функции") | Нет |
| uim_1 | Вход-выход | БИП - сигнал 1 (например, кнопка "Экстренный вызов") | Нет |
8 | ground | Выход | Возвратная "земля" БИП | Нет |
| J1850- | Вход-выход | | Нет |
| gpio_1 | Вход-выход | Универсальный вход/выход 1 <5> | Нет |
11 | l_line | Вход-выход | | Нет |
| k_line | Вход-выход | | Нет |
| CAN H1 | Вход-выход | CAN 1 (от 2,5 до 3,5 В) | |
14 | CAN H2 | Вход-выход | CAN 2 (от 2,5 до 3,5 В), OBDII или FMS | Нет |
| Umic+ | Выход | Питание микрофона | Нет |
16 | mic + | Вход | Микрофон | Нет |
17 | mic - | Вход | Микрофон | Нет |
| Umic- | Выход | Питание микрофона | Нет |
| J1850+ | Вход-выход | | Нет |
20 | gpio_2 | Вход-выход | Универсальный вход/выход 2 | Нет |
21 | Ucan/rs485+ | Выход | Питание автономных интеллектуальных датчиков | Нет |
22 | USB d+ | Вход-выход | Линия данных USB | Нет |
23 | gpio_3 | Вход-выход | Универсальный вход/выход 3 | Нет |
24 | Vbat+ | Вход-выход | Внешняя батарея резервного питания | Нет |
25 | CAN L2 | Вход-выход | CAN 2 (от 1,5 до 2,5 В), OBDII или FMS | Нет |
26 | Uacc+ | Выход | Питание датчика ускорения | Нет |
27 | ACC_1 | Вход-выход | Датчик ускорения - сигнал 1 | Нет |
28 | ACC_2 | Вход-выход | Датчик ускорения - сигнал 2 | Нет |
29 | ACC_3 | Вход-выход | Датчик ускорения - сигнал 3 | Нет |
30 | Uacc- | Выход | Питание датчика ускорения | Нет |
31 | Ucan/rs485- | Выход | Питание автономных интеллектуальных датчиков | Нет |
32 | USB d- | Вход-выход | Линия данных USB | Нет |
33 | gpio_4 | Вход-выход | Универсальный вход/выход 4 | Нет |
34 | Vbat- | Вход-выход | Внешняя батарея резервного питания | Нет |
| signal_gnd | Вход | "Земля" для сигналов J1850 (OBDII) <4> | Нет |
| radio_mute | Выход | | |
37 | ecall_mode | Выход | Индикатор "Экстренный вызов" | Нет |
| ignition | Вход | Состояние линии зажигания <3> | |
39 | Ground | Вход | Земля | Нет |
40 | NC | | Не используется | Нет |
<1> В графе "Статус сигнала" указывается "Да", если реализация сигнала в разъеме является обязательной, и "Нет", если реализация сигнала не является обязательной. <2> В соответствии с 6.12 и 6.13 возможность отключения в салоне ТС прочих, штатно установленных звуковоспроизводящих устройств для обеспечения режима громкой связи при осуществлении экстренного вызова является обязательной функцией УСВ. Для реализации указанной функции УСВ используется либо сигнал 36 (radio_mute), либо сигналы 3 и 13 (CAN L, CAN H). <3> В соответствии с 7.3.4, 7.5.3, 7.6.2, 7.7.5, 7.8.8 проверка состояния линии зажигания ТС является обязательной процедурой при реализации установленных в разделе 7 режимов работы УСВ. Для реализации указанной процедуры используется либо сигнал 38 (ignition), либо сигналы 3 и 13 (CAN L1, CAN H1). <4> Если контакт 12 присутствует в разъеме, то используется протокол в соответствии с [24]. <5> Контакт 10 (gpio_1) рекомендуется использовать для подключения сигнала об аварии, если такой сигнал реализован в транспортном средстве. |
Разъем устанавливается на стороне транспортного средства. Разъем содержит сигналы, которые обязательно должны быть реализованы (обязательные сигналы), а также сигналы, которые могут использоваться (не обязательные сигналы) при подключении УСВ к системам транспортного средства.
Информация о признаке обязательности сигнала при реализации приведена в
таблице Ж.1.
Для обеспечения возможности использования разъема для подключения микрофона в нем предусмотрены соответствующие сигналы (
контакты 15 -
18).
Для обеспечения возможности использования разъема для подключения БИП, физический интерфейс подключения которого к бортовой сети транспортного средства не регламентируется настоящим стандартом, в разъеме зарезервировано четыре сигнала (
контакты 4 -
7).
Состав реализованных сигналов и тип USB (USB host, USB device) определяет производитель транспортного средства.
Ж.1.2 Разъем подключения УСВ к бортовой сети ТС может быть установлен производителем транспортного средства на сборочной линии для обеспечения возможности последующего подключения УСВ, устанавливаемой на ТС в конфигурации дополнительного оборудования.
Ж.1.3 Разъемы, рекомендуемые к установке на транспортном средстве для обеспечения подключения УСВ, приведены в таблице Ж.2.
Таблица Ж.2
Категория ТС | Основной разъем для подключения УСВ | Разъем для подключения антенны ГНСС | Разъем для подключения антенны GSM/UMTS |
M1/N1 | | FAKRA C | FAKRA D |
M2/M3/N2/N3 | |
<1> Предполагается разъем 953122-1 серии MQS Tyco. <2> Предполагается разъем 5-1718321-3 серии AMP MCP Tyco. |
Ж.2 Разъемы для подключения внешних устройств к УСВ
Ж.2.1 Подключение внешних устройств с использованием шины RS 485
Ж.2.1.1 Состав сигналов, применяемых при использовании шины RS 485, приведен в таблице Ж.3.
Таблица Ж.3
Номер контакта | Наименование сигнала | Назначение сигнала | Направление сигнала |
1 | VBAS | Питание 5 В | Выход |
2 | А | Линия данных | Вход-выход |
3 | В | Линия данных | Вход-выход |
4 | GND | "Земля" | Выход |
Ж.2.1.2 Рекомендуемый к применению четырехпроводной разъем USCAR 347930040, серии Mini50, производства Molex представлен на рисунке Ж.1.
USCAR 347930040
Рисунок Ж.1 - Рекомендуемый разъем
для подключения к шине RS485
Ж.2.1.3 Интерфейс подключения к шине RS 485 должен поддерживать:
а) протокол Modbus RTU для связи с устройствами и реализовывать роль мастера в соответствии со следующими спецификациями:
1) Modbus application protocol specification. V1.1b,
2) Modbus over Serial Line. Specification and Implementation Guide V1.02.
б) следующие настройки конфигурации:
- RS485_BAUD_RATE,
- RS485_STOP_BITS,
- RS485_PARITY;
в) посылку и прием сообщений со всеми стандартными кодами функций, определенных в Modbus спецификации, в том числе поддерживать посылку сообщений типов 1:1 и 1:N;
г) до 32 подключенных периферийных устройств, включая диагностический интерфейс, если диагностический интерфейс подключен к порту RS 485.
(обязательное)
К УСТРОЙСТВУ/СИСТЕМЕ ВЫЗОВА ЭКСТРЕННЫХ ОПЕРАТИВНЫХ СЛУЖБ
ПО ОБЕСПЕЧЕНИЮ ТРЕБУЕМОГО КАЧЕСТВА ГРОМКОГОВОРЯЩЕЙ СВЯЗИ
В КАБИНЕ ТРАНСПОРТНОГО СРЕДСТВА
И.1 Общие положения
Приведенные в настоящем приложении требования:
- распространяются (если не оговорено особо) на узкополосные и широкополосные УСВ;
- учитывают основные требования международных рекомендаций
[26],
[27];
- включают минимальные требования к параметрам каналов приема/передачи и рабочим характеристикам алгоритмов цифровой обработки звуковых сигналов (эхокомпенсаторов и других алгоритмов).
И.2 Задержка обработки сигнала в УСВ
И.2.1 Задержка обработки сигнала в громкоговорящей УСВ в направлении приема TR должна быть не более 50 мс без учета времени кодирования и декодирования сигналов либо не более 122 мс для системы связи GSM и 143 мс - для системы связи UMTS с учетом времени кодирования и декодирования сигналов.
И.2.2 Задержка обработки сигнала в громкоговорящей УСВ в направлении передачи TS должна быть не более 50 мс без учета времени кодирования и декодирования сигналов либо не более 122 мс для системы связи GSM и 143 мс - для системы связи UMTS с учетом времени кодирования и декодирования сигналов.
И.2.3 Суммарная задержка обработки сигнала в громкоговорящей УСВ в направлении приема и передачи (TR + TS) должна быть не более 70 мс без учета времени кодирования и декодирования сигналов либо не более 214 мс для системы связи GSM и 256 мс - для системы связи UMTS с учетом времени кодирования и декодирования сигналов.
Примечание - Измеряется только дополнительная задержка, вносимая алгоритмами обработки звуковых сигналов в УСВ (АРУ, АЭК, шумоподавление и т.д.), исключая задержку распространения сигналов в каналах оператора связи.
И.3 Показатель громкости передачи
И.3.1 Показатель громкости передачи SLR, измеренный для УСВ, установленной в салоне (кабине) ТС, должен быть равен (13 +/- 4) дБ для водителя и ближайших пассажиров.
И.3.2 Дополнительная ручная регулировка усиления УСВ на передачу не предусматривается. Необходимость использования в УСВ автоматической регулировки усиления (АРУ) на передачу для выравнивания показателя громкости для пассажиров, находящихся на различном расстоянии от микрофона УСВ, определяется производителем УСВ (для автомобильных систем, исполненных в конфигурации дополнительного оборудования) или производителем ТС (для штатных УСВ).
Если в УСВ реализуются алгоритмы АРУ на передачу, то для обеспечения требуемого качества громкоговорящей связи указанные алгоритмы должны удовлетворять минимально необходимым требованиям, установленным в
приложении Л.
Примечание - При наличии АРУ адаптивный характер изменения его усиления на тестовых сигналах может помешать измерениям. В этом случае допускается проведение измерений при отключенной АРУ с фиксацией усиления на уровнях Kmax, Knom, Kmin, определяемых изготовителем ТС (для УСВ в конфигурации штатного оборудования) или УСВ (для УСВ в конфигурации дополнительного оборудования).
И.4 Показатели громкости приема
И.4.1 Номинальный показатель громкости приема
RLRnom, измеренный для УСВ, установленной в салоне (кабине) ТС, должен быть равен значению, определенному производителем УСВ или ТС, согласно требованиям
7.5.3.10.
Если в УСВ предусмотрена ручная регулировка уровня громкости на прием, то выбранный номинальный показатель громкости приема RLRnom, соответствующий номинальной громкости УСВ, должен достигаться при среднем отмеченном положении регулятора громкости.
И.4.2 Максимальный показатель громкости приема
RLRmax, соответствующий минимальной громкости УСВ, должен достигаться при крайнем (левом) положении регулятора громкости. Необходимое значение показателя
RLRmax определяется производителем УСВ или производителем ТС согласно требованиям
7.5.3.11.
И.4.3 Минимальный показатель громкости приема RLRmin, соответствующий максимальной громкости УСВ, должен достигаться при крайнем (правом) положении регулятора громкости. Необходимое значение показателя RLRmin определяется производителем УСВ или производителем ТС исходя из требования обеспечения громкости звука на прием достаточной для проведения в салоне (кабине) ТС уверенной двухсторонней громкоговорящей связи с акустическим отношением сигнал/шум на прием не менее 6 дБ в условиях "наихудшей" по шуму ситуации (зависит от типа ТС и шумового сценария). Если требования к виду и уровню шумов не определены производителем ТС, то уровень звукового давления фоновых шумов в салоне ТС принимается равным минус 14 дБПа(А).
Выбранное значение RLRmin должно быть в пределах от (минус 10 +/- 4) дБ до (минус 18 +/- 4) дБ. Рекомендуемое значение показателя RLRmin составляет (минус 13 +/- 4) дБ.
И.4.4 Необходимость использования в УСВ автоматической регулировки усиления (АРУ) на прием определяется производителем УСВ (для автомобильных систем, исполненных в конфигурации дополнительного оборудования) или производителем ТС (для штатных УСВ).
Если в УСВ реализуются алгоритмы АРУ на прием, то для обеспечения требуемого качества громкоговорящей связи указанные алгоритмы должны удовлетворять минимально необходимым требованиям, установленным в
приложении Л.
Примечание - При наличии АРУ адаптивный характер изменения его усиления на тестовых сигналах может помешать измерениям. В этом случае допускается проведение измерений при отключенной АРУ с фиксацией усиления на уровнях Kmax, Knom, Kmin, определяемых производителем ТС (для УСВ в конфигурации штатного оборудования) или производителем УСВ (для УСВ в конфигурации дополнительного оборудования).
И.5 Частотная характеристика чувствительности передающей части УСВ
И.5.1 Требования к относительным допускам на АЧХ для узкополосных УСВ в направлении передачи приведены в таблице И.1, а для широкополосных - в
таблице И.2. Для промежуточных частот используется линейная интерполяция в двойном логарифмическом масштабе.
Примечание - Амплитудно-частотные характеристики (АЧХ) чувствительности УСВ в направлении передачи измеряются для УСВ, установленной в салоне (кабине) ТС, от акустического входа УСВ до электрического выхода речевого кодека на стороне оператора.
Таблица И.1
Частотная характеристика чувствительности на передачу
для узкополосных УСВ
Частота, Гц | Верхний предел, дБ | Нижний предел, дБ |
200 | 0 | |
250 | 0 | |
315 | 0 | -14 |
400 | 0 | -13 |
500 | 0 | -12 |
630 | 0 | -11 |
800 | 0 | -10 |
1000 | 0 | -8 |
1300 | 2 | -8 |
1600 | 3 | -8 |
2000 | 4 | -8 |
2500 | 4 | -8 |
3100 | 4 | -8 |
4000 | 0 | |
Таблица И.2
Частотная характеристика чувствительности на передачу
для широкополосных УСВ
Частота, Гц | Верхний предел, дБ | Нижний предел, дБ |
100 | 4 | |
125 | 4 | -10 |
200 | 4 | -4 |
1000 | 4 | -4 |
5000 | 8,5 | -4 |
6300 | 9 | -7 |
8000 | 9 | |
И.5.2 Идеальная АЧХ на передачу должна быть плоской в диапазоне от 200 Гц до 4 кГц для узкополосных и от 100 Гц до 7 кГц - для широкополосных УСВ. Однако, особенно в присутствии мешающих акустических шумов, более предпочтительной может оказаться АЧХ, осуществляющая дополнительное частотное взвешивание, например завал АЧХ в сторону НЧ и небольшой подъем на ВЧ (в пределах указанных допусков).
Допускается коррекция АЧХ на передачу цифровыми методами (при помощи эквалайзера).
И.6 Частотная характеристика чувствительности приемной части УСВ
И.6.1 Требования к относительным допускам на АЧХ для узкополосных УСВ в направлении приема приведены в таблице И.3, а для широкополосных УСВ - в
таблице И.4. Для промежуточных частот необходимо использовать линейную интерполяцию в двойном логарифмическом масштабе.
Примечание - Амплитудно-частотные характеристики (АЧХ) чувствительности УСВ в направлении приема измеряются для УСВ, установленной в салоне (кабине) ТС, от электрического входа речевого кодека на стороне оператора до акустического выхода УСВ.
Таблица И.3
Частотная характеристика чувствительности на прием
для узкополосных УСВ
Частота, Гц | Верхний предел, дБ | Нижний предел, дБ |
200 | 0 | |
250 | 0 | |
315 | 0 | |
400 | 0 | -15 |
630 | 0 | -12 |
3100 | 0 | -12 |
4000 | 0 | |
Таблица И.4
Частотная характеристика чувствительности на прием
для широкополосных УСВ
Частота, Гц | Верхний предел, дБ | Нижний предел, дБ |
125 | 8 | |
200 | 8 | -12 |
250 | 8 | -9 |
315 | 7 | -6 |
400 | 6 | -6 |
5000 | 6 | -6 |
6300 | 6 | -9 |
8000 | 6 | |
И.6.2 Допускается коррекция АЧХ на прием цифровыми методами (при помощи эквалайзера).
И.7 Уровень шума в канале передачи
И.7.1 Максимально допустимый уровень собственных шумов УСВ в канале передачи в тишине при отсутствии речи ближнего абонента, измеренный на электрическом выходе речевого кодека на стороне оператора, должен быть не более минус 64 дБм0(Р) для узкополосных систем и не более минус 64 дБм0(А) для широкополосных систем при включенном шумопонижении в канале передачи либо не более минус 58 дБм0(Р) для узкополосных систем и не более минус 58 дБм0(А) для широкополосных систем при выключенном шумопонижении в канале передачи.
И.7.2 Отдельные спектральные пики в частотной области не должны превышать среднюю огибающую спектра собственного шума более чем на 10 дБ.
И.8 Уровень шума в канале приема
И.8.1 Максимально допустимый уровень собственных шумов УСВ в канале приема при отсутствии речи оператора, измеренный в тишине на акустическом выходе УСВ при номинальном показателе громкости приема RLRnom, должен быть не более величины, определяемой выражением минус (51 + RLRnom) дБПа(А).
И.8.2 Отдельные спектральные пики в частотной области не должны превышать среднюю огибающую спектра собственного шума более чем на 10 дБ.
И.9 Подавление внеполосных сигналов в канале передачи
Для входного внеполосного акустического сигнала номинального уровня в виде белого Гауссова шума в диапазоне частот от 4,6 до 8 кГц для узкополосных УСВ и в диапазоне частот от 8 до 16 кГц для широкополосных УСВ электрический уровень помех на выходе кодека, измеренный в основном диапазоне частот от 300 Гц до 3,4 кГц для узкополосных УСВ и в диапазоне частот от (100) 200 Гц до 7 кГц для широкополосных УСВ, должен быть либо ниже уровня шумов канала передачи, либо по меньшей мере на 35 дБ ниже выходного уровня внутриполосного тестового сигнала номинального уровня.
Примечание - Измерение проводится для УСВ, установленной в салоне (кабине) ТС, от акустического входа УСВ до электрического выхода речевого кодека на стороне оператора.
И.10 Уровень внеполосных сигналов в канале приема
Для входного электрического сигнала в виде искусственного голоса на рабочей полосе частот от 300 Гц до 3,4 кГц для узкополосных УСВ и от 100 Гц до 7 кГц для широкополосных УСВ, подаваемого с уровнем минус 12 дБм0, акустический уровень внеполосных помех на выходе УСВ в диапазоне частот от 4,6 до 8 кГц для узкополосных УСВ и от 8,6 до 16 кГц для широкополосных УСВ должен быть либо ниже уровня шумов канала приема в этом диапазоне частот, либо по меньшей мере на 45 дБ ниже выходного уровня основного сигнала, измеренного в рабочей полосе частот от 300 Гц до 3,4 кГц для узкополосных УСВ и от 100 Гц до 7 кГц для широкополосных УСВ.
Примечание - Измерение проводится для УСВ, установленной в салоне (кабине) ТС, от электрического входа речевого кодека на стороне оператора до акустического выхода УСВ.
И.11 Искажения сигнала в направлении передачи
Суммарные гармонические искажения синусоидальных сигналов номинального уровня в направлении передачи не должны превышать 3% для каждой из тестовых частот:
- 300, 500 и 1000 Гц - для узкополосных УСВ;
- 300, 500, 1000, 2000 и 3000 Гц - для широкополосных УСВ.
Примечание - Измерение проводится для УСВ, установленной в салоне (кабине) ТС, от акустического входа УСВ до электрического выхода речевого кодека на стороне оператора.
И.12 Искажения сигнала в направлении приема
Суммарные гармонические искажения синусоидальных сигналов номинального уровня в направлении приема не должны превышать 3% при номинальном, минимальном и максимальном положениях регулятора уровня громкости УСВ для каждой из тестовых частот:
- 300, 500 и 1000 Гц - для узкополосных УСВ;
- 300, 500, 1000, 2000 и 3000 Гц - для широкополосных УСВ.
Примечание - Измерение проводится для УСВ, установленной в салоне (кабине) ТС, от электрического входа речевого кодека на стороне оператора до акустического выхода УСВ.
И.13 Взвешенное затухание электроакустического тракта
При подаче псевдошумового тестового сигнала максимального уровня в канал приема взвешенное переходное затухание электроакустического тракта TCLW для эхосигнала в канале передачи в условиях отсутствия внешних акустических шумов в салоне ТС спустя время, необходимое для полной настройки коэффициентов акустического эхокомпенсатора (АЭК), должно быть не менее 46 дБ (рекомендуется не менее 50 дБ) при номинальном положении регулятора громкости (RLR = RLRnom) и не менее 40 дБ - при положении регулятора, соответствующем максимальной громкости (RLR = RLRmin). Эти значения TCLW должны достигаться в широком диапазоне возможных акустических условий внутри ТС (разное число пассажиров, окна открыты, окна закрыты).
Примечание - Измерение проводится для УСВ, установленной в салоне (кабине) ТС, от электрического входа до электрического выхода речевого кодека на стороне оператора.
И.14 Стабильность ослабления эхосигналов от времени
При подачах комбинированного тестового сигнала и тестового сигнала искусственного голоса номинального уровня в канал приема УСВ ослабление эхосигналов в канале передачи УСВ в течение длительного времени измерения не должно снижаться более чем на 6 дБ от своего максимального значения при условии, что эхотракт внутри ТС стабилен.
Примечания:
1 Измерение проводится для УСВ, установленной в салоне (кабине) ТС, от электрического входа до электрического выхода речевого кодека на стороне оператора.
2 Допускается контролировать уровень, а не затухание эхосигналов, если характер тестовых сигналов не позволяет измерить затухание.
И.15 Зависимость ослабления эхосигналов от частоты
И.15.1 При подаче комбинированного тестового сигнала номинального уровня в канал приема УСВ зависимость ослабления эхосигналов в канале передачи УСВ от частоты должна быть ниже пределов, приведенных в таблице И.5 для узкополосных и в
таблице И.6 - для широкополосных УСВ.
Примечание - Измерение проводится для УСВ, установленной в салоне (кабине) ТС, от электрического входа до электрического выхода речевого кодека на стороне оператора.
Таблица И.5
Зависимость подавления эхосигналов от частоты
в узкополосных УСВ
Частота, Гц | Верхний предел, дБ |
100 | -20 |
200 | -30 |
300 | -38 |
800 | -34 |
1500 | -33 |
2600 | -24 |
4000 | -24 |
Таблица И.6
Зависимость подавления эхосигналов от частоты
в широкополосных УСВ
Частота, Гц | Верхний предел, дБ |
100 | -41 |
1300 | -41 |
3450 | -46 |
5200 | -46 |
7500 | -37 |
8000 | -37 |
И.15.2 Значения затухания для промежуточных частот могут быть линейно интерполированы при использовании логарифмической шкалы частот и линейной шкалы ослабления в децибелах.
И.16 Скорость начального схождения АЭК при отсутствии акустических шумов
И.16.1 При подаче комбинированного тестового сигнала номинального уровня в канал приема УСВ зависимость ослабления для эхосигналов в канале передачи УСВ от времени, прошедшего с момента начального включения АЭК с положением регулятора громкости, соответствующим номинальному уровню, должна лежать ниже границ, приведенных на
рисунке И.1а.
И.16.2 При подаче тестового сигнала искусственного голоса номинального уровня в канал приема УСВ зависимость уровня эхосигнала в канале передачи УСВ от времени, прошедшего с момента начального включения АЭК с положением регулятора громкости, соответствующим номинальному уровню, должна лежать ниже границ, приведенных на
рисунке И.1б.
Примечание - Измерение проводится для УСВ, установленной в салоне (кабине) ТС, от электрического входа до электрического выхода речевого кодека на стороне оператора.
Рисунок И.1 - Зависимость степени подавления эхосигналов L
и уровня эхосигналов U от времени
И.16.3 Особенное внимание необходимо уделить поведению УСВ в момент включения АЭК (момент установления соединения с оператором связи). Система должна оставаться устойчивой при любом положении регулятора громкости, то есть обеспечивать переходное затухание электроакустического тракта не менее 6 дБ во всем рабочем диапазоне частот в любой момент времени, а переходной процесс не должен сопровождаться резкими скачками громкости, всплесками шума или возбуждением тональных сигналов.
И.17 Начальное схождение АЭК при наличии шума
При подаче комбинированного тестового сигнала и тестового сигнала искусственного голоса номинального уровня в канал приема УСВ зависимость отношения L остаточного уровня эхосигналов к уровню шума паузы в канале передачи УСВ от времени, прошедшего с момента включения АЭК с регулятором громкости, выставленным на максимум, должна лежать ниже границ, приведенных на рисунке И.2.
Примечание - Измерение проводится для УСВ, установленной в салоне (кабине) ТС, от электрического входа до электрического выхода речевого кодека на стороне оператора при наличии шумов различного уровня в кабине ТС.
Отношение остаточного уровня эхосигналов к уровню шума паузы
Рисунок И.2 - Зависимость отношения остаточного уровня
эхосигналов к уровню шума паузы от времени
[26]
И.18 Зависимость ослабления эхосигналов при изменениях эхотракта
После настройки АЭК должен обладать способностью адаптироваться и сохранять достаточное подавление эхосигналов при постоянных изменениях эхотракта внутри ТС (например, из-за перемещения пассажиров). Ухудшение подавления эхосигналов должно быть не более 6 дБ для сигнала с уровнем минус 25 дБм0 и не более 15 дБ для сигнала с уровнем минус 16 дБм0 от максимального значения, наблюдаемого в процессе тестирования для эхотракта с постоянными параметрами.
И.19 Активация канала в направлении передачи
Процесс активации (включения) канала в направлении передачи описывается при помощи двух параметров: минимального времени включения Tr,S,min и минимального акустического уровня активации LS,min.
Уровень LS,min, измеренный для активных участков речевого сигнала, должен быть не более минус 20 дБПа. Время включения Tr,S,min для входного сигнала с минимальным уровнем активации должно быть не более 50 мс.
И.20 Активация канала в направлении приема
Процесс активации канала в направлении приема описывается при помощи двух параметров - минимального времени включения Tr,R,min и минимального электрического уровня активации LR,min. Уровень LR,min, измеренный для активных участков тестового сигнала, должен быть не более минус 35,7 дБм0. Время включения Tr,R,min для входного сигнала с минимальным уровнем активации должно быть не более 50 мс.
И.21 Затухание в канале передачи в режиме полудуплекса
При попеременном разговоре абонентов (в режиме полудуплекса) значение затухания AH,S, вносимого УСВ в канал передачи, если в этот момент активен канал приема, должно быть не более 20 дБ, а время выключения затухания (переключения направления разговора с приема на передачу) Tr,S для сигналов с номинальным уровнем должно быть не более 50 мс. Рекомендуется достигать затухания менее 13 дБ за время не более 15 мс.
И.22 Затухание в канале приема в режиме полудуплекса
При попеременном разговоре абонентов (в режиме полудуплекса) значение затухания AH,R, вносимого УСВ в канал приема, если в этот момент активен канал передачи, должно быть не более 15 дБ, а время выключения затухания (переключения направления разговора с передачи на прием) Tr,R для сигналов с номинальным уровнем должно быть не более 50 мс. Рекомендуется достигать затухания менее 9 дБ за время не более 15 мс.
И.23 Затухание в каналах передачи и приема в режиме дуплекса
И.23.1 При одновременном разговоре абонентов (в режиме дуплекса) максимально допустимые значения затухания AH,S,dt, вносимого УСВ в канал передачи, и затухания AH,R,dt, вносимого УСВ в канал приема, зависят от типа производительности УСВ для дуплексной связи и должны соответствовать значениям, приведенным в таблице И.7.
Примечание - Значение AH,S,dt определяет заметность скачков громкости в канале передачи при переходах от однонаправленной передачи к двойному разговору и обратно. Значение AH,R,dt определяет заметность скачков громкости в канале приема при переходах от однонаправленного приема к двойному разговору и обратно.
Таблица И.7
Параметры типа производительности УСВ для дуплексной связи
Параметр | Тип производительности |
1 | 2a | 2b | 2c | 3 |
Полный дуплекс | Частичный дуплекс | Только полудуплекс |
AH,S,dt, дБ | <= 3 | <= 6 | <= 9 | <= 12 | > 12 |
AH,R,dt, дБ | <= 3 | <= 5 | <= 8 | <= 10 | > 10 |
ELdt, дБ | >= 27 | >= 23 | >= 17 | >= 11 | < 11 |
И.23.2 Требования должны выполняться как при номинальных уровнях сигналов приема и передачи, так и при дисбалансе этих уровней, как указано ниже. Необходимо проверить две комбинации уровней сигналов:
- номинальные уровни сигналов на прием и передачу;
- уровень сигнала на передачу выше на 6 дБ, уровень сигнала на прием ниже на 6 дБ.
И.24 Ослабление эхосигналов в режиме дуплекса
При одновременном разговоре абонентов (в режиме дуплекса) минимально допустимые значения ослабления эхосигналов
ELdt зависят от типа производительности УСВ для дуплексной связи и должны соответствовать значениям, приведенным в
таблице И.7.
Примечание - Измерение проводится для УСВ, установленной в салоне (кабине) ТС, от электрического входа до электрического выхода речевого кодека на стороне оператора.
И.25 Качество речи в канале передачи и приема
И.25.1 Экспертная оценка качества речи громкоговорящей связи УСВ, установленной в салоне ТС, проводится в каналах передачи и приема. В режиме одностороннего разговора в условиях тишины качество речи громкоговорящей связи УСВ по пятибалльной шкале классов качества и норм разборчивости речи, установленных в ГОСТ 16600 (таблица 1), должно соответствовать классу качества не ниже первого, а при наличии мешающего акустического шума - не ниже второго.
И.25.2 Дополнительные субъективные оценки качества связи проводятся в соответствии с ГОСТ 16600 в режиме двухстороннего разговора между водителем и оператором системы в нормальном и ускоренном темпах речи, в режимах попеременного и одновременного разговора как в тишине, так и в условиях фоновых акустических шумов в салоне ТС заданного уровня для обычной и наихудшей шумовой ситуации, определенных в
7.5.3.10 и
И.4.
И.25.3 Основными оцениваемыми признаками являются: хорошая словесная разборчивость речи, отсутствие каких-либо артефактов звучания, отсутствие повышенного напряжения внимания, понимание передаваемой речи без затруднений, переспросов и повторений.
По пятибалльным шкалам оценки указанных признаков средний балл для узкополосных УСВ должен быть не ниже 3,0, а для широкополосных УСВ - не ниже 3,6 при работе в тишине и при обычном уровне шума (зависит от типа ТС и шумового сценария).
Если требования к виду и уровню шумов не определены производителем ТС, то минимальный уровень звукового давления фоновых шумов в салоне ТС принимается равным минус 24 дБПа(А).
И.26 Работа канала передачи в акустических шумах
Для речевого сигнала в салоне ТС номинального уровня в условиях фоновых акустических шумов в салоне ТС заданного уровня для обычной и наихудшей шумовых ситуаций, определенных в
7.5.3.10 и
И.4, ОСШ на выходе канала передачи должно быть не ниже 6 дБ для положения в кресле водителя и сидящего (сидящих) рядом с водителем пассажира(ов). Рекомендуемое значение ОСШ - не ниже 12 дБ.
Выполнение данного требования может включать в себя выбор оптимального места расположения микрофона УСВ, его направленных свойств, применение в УСВ дополнительных алгоритмов (АРУ на передачу и шумопонижения).
Примечание - Измерение проводится для УСВ, установленной в салоне (кабине) ТС, от акустического входа УСВ до электрического выхода речевого кодека на стороне оператора.
И.27 Работа канала приема в акустических шумах
Для речевого сигнала в канале приема номинального уровня акустическое ОСШ в салоне ТС должно быть не ниже 0 дБ при минимальном и не ниже 6 дБ при номинальном уровне громкости для положения в кресле водителя и сидящего (сидящих) рядом с водителем пассажира(ов) в условиях фоновых акустических шумов в салоне ТС заданного уровня для обычной шумовой ситуации, определенной в
7.5.3.10, а также не ниже 6 дБ при максимальном уровне громкости в условиях наихудшей шумовой ситуации, определенной в
И.4.
Выполнение данного требования может включать в себя выбор оптимальных значений для показателей RLRmin, RLRnorm, RLRmax, места расположения динамика УСВ, его направленных свойств, применение в УСВ дополнительных алгоритмов (АРУ на прием).
Примечание - Измерение проводится для УСВ, установленной в салоне (кабине) ТС, от электрического входа речевого кодека на стороне оператора до акустического выхода УСВ.
И.28 Качество фонового шума в канале передачи
И.28.1 Первоначальный импульс фонового шума в канале передачи после установления соединения не должен превышать средний уровень шума более чем на 12 дБ при измерении в полосе частот от 300 Гц до 3,4 кГц для узкополосных и в полосе от 150 Гц до 7,0 кГц - для широкополосных УСВ.
Примечание - Измерения проводятся в условиях фоновых акустических шумов в салоне ТС заданного уровня для обычной и наихудшей шумовых ситуаций, определенных в
7.5.3.10 и
И.4.
И.28.2 Уровень фонового шума в канале передачи до, во время и после активности речи в канале передачи не должен изменяться более чем на 10 дБ (в процессе включения и выключения речи водителя ТС в канале передачи).
И.28.3 Уровень фонового шума в канале передачи до, во время и после активности речи в канале приема не должен изменяться более чем на 10 дБ (в процессе включения и выключения речи оператора в канале приема).
И.28.4 Если УСВ вместо передачи реального фонового шума во время молчания абонентов в салоне ТС генерирует в канал передачи искусственный комфортный шум паузы, то:
1) уровень комфортного шума паузы не должен отличаться от уровня оригинального переданного фонового шума паузы более чем на плюс 2 дБ и минус 5 дБ. Уровень шума оценивается с частотным взвешиванием по кривой А;
2) разница спектров комфортного шума паузы и оригинального переданного шума паузы должна лежать в пределах допусков, приведенных в таблице И.8. Промежуточные значения частот могут быть получены линейной интерполяцией с использованием логарифмической шкалы частот и линейной шкалы для уровней, выраженных в децибелах;
3) эффекты включения и выключения комфортного шума паузы не должны обрезать начало и окончания слов в канале передачи и ухудшать разборчивость речи.
Таблица И.8
Допуски на спектр комфортного шума паузы
Частота, Гц | Верхний предел, дБ | Нижний предел, дБ |
200 | 12 | -12 |
800 | 12 | -12 |
801 | 10 | -10 |
2000 | 10 | -10 |
2001 | 6 | -6 |
4000 | 6 | -6 |
| | |
<1> Только для широкополосных УСВ. |
И.29 Характеристики электроакустических элементов
И.29.1 Частотная характеристика микрофона УСВ, измеренная в условиях свободного звукового поля, должна лежать в пределах допусков, указанных в таблице И.9 для узкополосных УСВ и в
таблице И.10 - для широкополосных УСВ.
Таблица И.9
Частотная характеристика микрофонов для узкополосных УСВ
Частота, Гц | Верхний предел, дБ | Нижний предел, дБ |
200 | 0 | |
250 | 0 | |
315 | 0 | -14 |
400 | 0 | -13 |
500 | 0 | -12 |
630 | 0 | -11 |
800 | 0 | -10 |
1000 | 0 | -8 |
1300 | 2 | -8 |
1600 | 3 | -8 |
2000 | 4 | -8 |
2500 | 4 | -8 |
3100 | 4 | -8 |
4000 | 4 | |
Таблица И.10
Частотная характеристика микрофонов для широкополосных УСВ
Частота, Гц | Верхний предел, дБ | Нижний предел, дБ |
100 | 0 | |
125 | 0 | |
200 | 0 | -14 |
315 | 0 | -13 |
400 | 0 | -12 |
500 | 0 | -11 |
630 | 0 | -10 |
1000 | 0 | -8 |
1300 | 2 | -8 |
1600 | 3 | -8 |
2000 | 4 | -8 |
3100 | 4 | -8 |
4000 | 4 | -8 |
8000 | 4 | |
И.29.2 Перегрузочная способность микрофона по звуковому давлению должна быть не менее 15 дБ относительно номинального уровня речевого сигнала в контрольной точке рта (MRP) минус 4,7 дБПа при расстоянии до микрофона, равном 0,5 м. Уменьшение чувствительности микрофона для максимального уровня должно быть менее 0,1 дБ.
И.29.3 Максимальный уровень звукового давления, ограниченный искажениями микрофона, равными 3% для тестового сигнала с частотой 1 кГц, должен быть не менее 12 дБПа в точке MRP при расстоянии до микрофона, равном 0,5 м.
И.29.4 Полный коэффициент гармонических искажений микрофона для тестовых синусоидальных сигналов частотами 300 Гц, 500 Гц и 1 кГц с уровнем звукового давления 0 дБПа в точке MRP при расстоянии до микрофона, равном 0,5 м, должен быть не более 1% (рекомендуемое значение - не более 0,1%).
И.29.5 Собственный шум микрофона при чувствительности 300 мВ/Па должен быть не более минус 72 дБВ(А) (допустимо не более минус 66 дБВ(А) при условии, что шум микрофона не ухудшает показатели уровня шума УСВ на передачу).
Примечание - В случае, если микрофон входит в комплект УСВ, представляемый на сертификацию, требования данного раздела не являются обязательными.
(рекомендуемое)
ПО ВЫБОРУ ЭЛЕКТРОАКУСТИЧЕСКИХ ЭЛЕМЕНТОВ ДЛЯ ОБЕСПЕЧЕНИЯ
ТРЕБУЕМОГО КАЧЕСТВА ЗВУКА В КАБИНЕ (САЛОНЕ)
ТРАНСПОРТНОГО СРЕДСТВА
К.1 Основные факторы, влияющие на качество громкоговорящей связи в салоне ТС, - высокий уровень окружающих фоновых шумов и необходимость подавления акустических эхосигналов. В этой ситуации на достижение требуемых параметров качества работы УСВ непосредственное влияние оказывают электроакустические характеристики внешних устройств, подключаемых к УСВ, таких как микрофоны и динамики.
К.2 Для достижения требуемого коэффициента гармоник в канале приема и заявленного класса дуплексной связи (см.
приложение И) рекомендуется использовать динамики с высокой чувствительностью, низким уровнем гармонических искажений и дополнительных призвуков в рабочем диапазоне частот при любом уровне громкости УСВ.
К.3 Для осуществления взаимозаменяемости различных микрофонов рекомендуется унифицировать номинальную чувствительность микрофонов для УСВ на уровне 300 мВ/Па +/- 3 дБ на частоте 1 кГц, а номинальную чувствительность микрофонного входа УСВ - на уровне 10 мВ (эффективный уровень напряжения) с возможностью внутренней регулировки усиления перед АЦП в диапазоне +/- 12 дБ при настройке УСВ в салоне ТС так, чтобы номинальный уровень акустического речевого сигнала в кресле водителя, равный минус 4,7 дБПа (на входе микрофона УСВ - около минус 28,7 дБПа), соответствовал цифровому уровню АЦП, равному минус 22 dBov, и электрическому уровню в канале передачи, равному минус 16 дБм0.
Примечание - В соответствии с ГОСТ 33468
(приложение Д) обозначение "dBov" означает эффективный уровень цифрового сигнала в децибелах по отношению к максимально возможной для данной разрядной сетки амплитуде (началу ограничения) цифрового сигнала.
К.4 Рекомендуется использовать направленные микрофоны, дающие в условиях фоновых акустических шумов выигрыш в ОСШ не менее 3 дБ по сравнению с ненаправленным широкополосным микрофоном за счет своих направленных свойств (после учета влияния различия в частотных характеристиках сравниваемых микрофонов). Для достижения необходимого подавления акустического шума рекомендуемое отношение фронт/тыл для микрофона должно быть не менее 10 дБ.
Примечание - Конечный выигрыш в ОСШ зависит от места крепления и ориентации микрофона в салоне ТС. При нерациональном выборе места и ориентации остронаправленный микрофон может иметь худшие результаты по сравнению со слабонаправленным.
(рекомендуемое)
К АЛГОРИТМАМ АВТОМАТИЧЕСКОЙ РЕГУЛИРОВКИ УСИЛЕНИЯ
ГРОМКОСТИ ЗВУКА
Л.1 Алгоритмы автоматической регулировки усиления громкости звука на передачу предназначены для компенсации низкого уровня звука, который может возникать в случае ДТП (например, если водитель говорит в направлении, отличающемся от диаграммы направленности микрофона).
Л.1.1 Дополнительное усиление, вносимое АРУ на передачу, должно быть не более 12 дБ и не менее минус 6 дБ.
Л.1.2 Алгоритм управления АРУ должен реагировать только на речь водителя и пассажиров, находящихся в салоне ТС, исключая ложное срабатывание на фоновый шум или речь оператора в канале приема.
Л.1.3 Рост усиления громкости звука на 6 дБ должен достигаться не более чем за 200 мс. Не должно быть ошибочного усиления при отсутствии речевого сигнала (при наличии только фонового шума).
Л.1.4 При реализации алгоритмов АРУ на передачу их использование не должно приводить к повышенному уровню передачи для окружающих шумов, эхосигналов, самовозбуждению системы, блокировке канала на передачу импульсными помехами высокого уровня или речью из канала приема, а также вызывать несоответствие заявленному минимальному типу производительности для дуплексной связи.
Примечания
1 Тесты должны проводиться в присутствии шумов при соотношении сигнал/шум меньше 15 дБ.
2 Алгоритм АРУ должен иметь возможность отключения при настройке УСВ или при тестировании УСВ.
Л.2 Алгоритмы автоматической регулировки усиления громкости звука на прием предназначены для обеспечения требуемого качества звука в соответствии с изменением уровня фонового акустического шума в салоне (кабине) транспортного средства. При этом должно быть обеспечено комфортное восприятие входящего голосового сигнала с акустическим ОСШ не менее 6 дБ в условиях различных шумовых ситуаций (зависит от типа ТС и текущего шумового сценария).
Л.2.1 Диапазон регулировки громкости звука должен лежать в пределах от RLRmin до RLRmax.
Л.2.2 Алгоритм управления АРУ должен реагировать только на окружающий фоновый шум, исключая ложное срабатывание на речь водителя и пассажиров, находящихся в салоне ТС.
Л.2.3 Изменение усиления АРУ на 6 дБ должно осуществляться не позднее чем через 2 с после соответствующего изменения уровня окружающего шума.
Л.2.4 При наличии АРУ на прием ее использование не должно приводить к повышенному уровню передачи для эхосигналов, самовозбуждению системы, блокировке каналов на прием/передачу вследствие переходных процессов, а также вызывать несоответствие заявленному минимальному типу производительности для дуплексной связи.
Примечание - Алгоритм АРУ должен иметь возможность отключения при настройке или для тестирования УСВ.
| Технический регламент Таможенного союза о безопасности колесных транспортных средств ТР ТС (018/2011), утвержденный Решением Комиссии Таможенного союза от 9 декабря 2011 г. N 877 (в ред. решения Совета Евразийской экономической комиссии от 30.01.2013 N 6) |
| ETSI TS 126 267 (3GPP TS 26.267) | Группа технических спецификаций услуги и системные аспекты; передача данных при экстренном вызове (eCall); тональный модем; общее описание, издание 8 (Technical Specification Group Services and System Aspects; eCall Data Transfer; In-band modem solution; General description, Release 8) |
| ETSI TS 102 671 | Смарт-карты; микропроцессорная карта расширенного стандарта для передачи данных в системе "машина - машина"; физические и логические характеристики; (версия 9.0.0) (Smart Cards; Machine to Machine UICC; Physical and logical characteristics; (V9.0.0) |
| ETSI TS 126 267 (3GPP TS 26.267) | Группа технических спецификаций услуги и системные аспекты; передача данных при экстренном вызове (eCall); тональный модем; общее описание, издание 8 (Technical Specification Group Services and System Aspects; eCall Data Transfer; In-band modem solution; General description, Release 8) |
| ETSI TS 122 101 | Универсальная система мобильной связи (UMTS); LTE; Аспекты предоставления услуги; основные принципы услуг; (Universal Mobile Telecommunications System (UMTS); LTE; Service aspects; Service principles) |
| Правила ЕЭК ООН N 94-01 | Единообразные предписания, касающиеся официального утверждения пассажирских транспортных средств в отношении защиты водителя и пассажиров при фронтальном столкновении, включая дополнения 1 - 3 |
| Правила ЕЭК ООН N 95-02 | Единообразные предписания, касающиеся официального утверждения пассажирских транспортных средств в отношении защиты водителя и пассажиров в случае бокового столкновения, включая дополнение 1 |
| Правила ЕЭК ООН N 12 | Единообразные предписания, касающиеся официального утверждения транспортных средств в отношении защиты водителя от удара о систему рулевого управления |
| Правила ЕЭК ООН N 17 | Единообразные предписания, касающиеся официального утверждения транспортных средств в отношении прочности сидений, их креплений и подголовников |
| | Транспорт дорожный. Методы испытания на электропомехи от электростатических разрядов |
| (CISPR 25:2008) | Транспортные средства, моторные лодки и двигатели внутреннего сгорания. Характеристики радиопомех. Нормы и методы измерений для защиты радиоприемных устройств, размещенных на подвижных средствах (Vehicles, boats and internal combustion engines - Radio disturbance characteristics - Limits and methods of measurement for protection of on-board receivers), включая Поправку 1:2009 |
| Правила ЕЭК ООН N 10 | Единообразные предписания, касающиеся официального утверждения транспортных средств в отношении электромагнитной совместимости |
| ИСО 2575:2010/Amd.1:2011 | Транспорт дорожный. Символы для органов управления, индикаторов и сигнализирующих устройств. Изменение N 1 (Road vehicles - Symbols for controls, indicators and tell-tales. Amendment 1) |
| ИСО/МЭК 8824-1-2008 | Информационные технологии. Нотация абстрактного синтаксиса один (ASN.1). Часть 1. Спецификация базовой нотации |
[15] | ИСО/МЭК 8824-1-2008/Исп. 1-2012 | Информационные технологии. Нотация абстрактного синтаксиса версии 1 (ASN.1). Часть 1. Спецификация базовой нотации. Техническая поправка 1 |
[16] | ИСО/МЭК 8824-1-2008/Исп. 2-2014 | Информационные технологии. Нотация абстрактного синтаксиса один (ASN.1). Часть 1. Спецификация базовой нотации. Техническая поправка 2 |
[17] | ИСО/МЭК 8825-1-2008 | Информационные технологии. Правила кодирования ASN.1. Часть 1. Спецификация основных (BER), канонических (CER) и различительных правил кодирования (DER) |
[18] | ИСО/МЭК 8825-1-2008/Исп. 1-2012 | Информационные технологии. Правила кодирования ASN.1. Часть 1. Спецификация основных (BER), канонических (CER) и различительных правил кодирования (DER). Техническая поправка 1 |
[19] | ИСО/МЭК 8825-1-2008/Исп. 2-2014 | Информационные технологии. Правила кодирования ASN.1. Часть 1. Спецификация основных (BER), канонических (CER) и различительных правил кодирования (DER). Техническая поправка 2 |
[20] | ИСО/МЭК 8825-2-2008 | Информационные технологии. Правила кодирования ASN.1. Часть 2. Спецификация правил уплотненного кодирования (PER) |
[21] | ИСО/МЭК 8825-2-2008/Исп. 1-2012 | Информационные технологии. Правила кодирования ASN.1. Часть 2. Спецификация правил уплотненного кодирования (PER). Техническая поправка 1 |
| ИСО/МЭК 8825-2-2008/Исп. 2-2012 | Информационные технологии. Правила кодирования ASN.1. Часть 2. Спецификация правил уплотненного кодирования (PER). Техническая поправка 2 |
| ИСО 3779-2009 | Транспорт дорожный. Идентификационный номер автомобилей (VIN). Содержание и структура (Roadvehicles. Vehicle identification number (VIN). Content and structure) |
| ИСО 9141-2 | Транспорт дорожный. Диагностические системы. Часть 2. Требования CARB для обмена цифровой информацией (CARB requirements for interchange of digital information) |
| SAE J1850 | Интерфейс передачи данных сети, класс Б (Class B Data Communications Network Interface) |
| ITU-T P.1100 | Узкополосная громкая голосовая связь в транспортных средствах |
| ITU-T P.1110 | Широкополосная громкая голосовая связь в транспортных средствах |
--------------------------------
<*> В Российской Федерации действует
ГОСТ Р 50607-2012 "Совместимость технических средств электромагнитная. Транспорт дорожный. Методы испытаний для электрических помех от электростатических разрядов".
<**> В Российской Федерации действует
ГОСТ Р 51318.25-2012 "Совместимость технических средств электромагнитная. Транспортные средства, моторные лодки и устройства с двигателями внутреннего сгорания. Характеристики индустриальных радиопомех. Нормы и методы измерений для защиты радиоприемных устройств, размещенных на подвижных средствах".