Главная // Актуальные документы // ГОСТ Р (Государственный стандарт)СПРАВКА
Источник публикации
В данном виде документ опубликован не был.
Первоначальный текст документа опубликован в издании
М.: Стандартинформ, 2013.
Информацию о публикации документов, создающих данную редакцию, см. в справке к этим документам.
Примечание к документу
Документ утратил силу с 1 января 2020 года в связи с изданием
Приказа Росстандарта от 15.12.2016 N 2034-ст (ред. от 25.12.2018). Взамен введен в действие
ГОСТ 33464-2015.
Документ включен в
Перечень стандартов, за исключением пункта 8.1.17 и раздела И.2 приложения И, в результате применения которых на добровольной основе обеспечивается соблюдение требований технического
регламента Таможенного союза "О безопасности колесных транспортных средств" (ТР ТС 018/2011) (
Решение Комиссии Таможенного союза от 09.12.2011 N 877).
Изменение N 1, утв.
Приказом Росстандарта от 22.04.2014 N 394-ст, введено в действие с 1 сентября 2014 года.
Название документа
"ГОСТ Р 54620-2011. Национальный стандарт Российской Федерации. Глобальная навигационная спутниковая система. Система экстренного реагирования при авариях. Автомобильная система/устройство вызова экстренных оперативных служб. Общие технические требования"
(утв. и введен в действие Приказом Росстандарта от 08.12.2011 N 755-ст)
(ред. от 22.04.2014)
"ГОСТ Р 54620-2011. Национальный стандарт Российской Федерации. Глобальная навигационная спутниковая система. Система экстренного реагирования при авариях. Автомобильная система/устройство вызова экстренных оперативных служб. Общие технические требования"
(утв. и введен в действие Приказом Росстандарта от 08.12.2011 N 755-ст)
(ред. от 22.04.2014)
Утвержден и введен в действие
по техническому регулированию
и метрологии
от 8 декабря 2011 г. N 755-ст
НАЦИОНАЛЬНЫЙ СТАНДАРТ РОССИЙСКОЙ ФЕДЕРАЦИИ
ГЛОБАЛЬНАЯ НАВИГАЦИОННАЯ СПУТНИКОВАЯ СИСТЕМА
СИСТЕМА ЭКСТРЕННОГО РЕАГИРОВАНИЯ ПРИ АВАРИЯХ
АВТОМОБИЛЬНАЯ СИСТЕМА/УСТРОЙСТВО ВЫЗОВА ЭКСТРЕННЫХ ОПЕРАТИВНЫХ СЛУЖБ.
ОБЩИЕ ТЕХНИЧЕСКИЕ ТРЕБОВАНИЯ
Global navigation satellite system. Road accident emergency
response system. In-vehicle emergency call system/device.
General technical requirements
ГОСТ Р 54620-2011
| | Список изменяющих документов Росстандарта от 22.04.2014 N 394-ст) | |
Дата введения
1 сентября 2012 года
Цели и принципы стандартизации в Российской Федерации установлены Федеральным
законом от 27 декабря 2002 г. N 184-ФЗ "О техническом регулировании", а правила применения стандартов организаций -
ГОСТ Р 1.0-2012 "Стандартизация в Российской Федерации. Основные положения".
(в ред.
Изменения N 1, утв. Приказом Росстандарта от 22.04.2014 N 394-ст)
1. Разработан Открытым акционерным обществом "Навигационно-информационные системы" (ОАО "НИС") и Некоммерческим партнерством "Содействие развитию и использованию навигационных технологий.
(в ред.
Изменения N 1, утв. Приказом Росстандарта от 22.04.2014 N 394-ст)
2. Внесен Техническим комитетом по стандартизации ТК 363 "Радионавигация".
3. Утвержден и введен в действие
Приказом Федерального агентства по техническому регулированию и метрологии от 8 декабря 2011 г. N 755-ст.
4. В настоящем стандарте учтены основные нормативные положения следующих международных документов:
- Правила ЕЭК ООН, устанавливающие единообразные предписания, касающиеся официального утверждения пассажирских транспортных средств категорий M и N в отношении защиты водителей и пассажиров при различных видах столкновений, а также в отношении электромагнитной совместимости;
- европейские региональные стандарты (EN) по интеллектуальным транспортным системам в области безопасности в экстренных ситуациях применительно к общеевропейской системе eCall;
- Технические требования (TS) Европейского института стандартов электросвязи (European Telecommunications Standards Institute, ETSI) и партнерской Ассоциации групп телекоммуникационных компаний (3rd Generation Partnership Project (3GPP)) к системе и протоколам передачи данных, а также к техническим средствам обеспечения беспроводной связи на основе технологий 3-го поколения применительно к общеевропейской системе eCall.
5. Введен впервые.
Информация об изменениях к настоящему стандарту публикуется в ежегодно издаваемом информационном указателе "Национальные стандарты", а текст изменений и поправок - в ежемесячно издаваемых информационных указателях "Национальные стандарты". В случае пересмотра (замены) или отмены настоящего стандарта соответствующее уведомление будет опубликовано в ежемесячно издаваемом информационном указателе "Национальные стандарты". Соответствующая информация, уведомление и тексты размещаются также в информационной системе общего пользования - на официальном сайте Федерального агентства по техническому регулированию и метрологии в сети Интернет.
Настоящий стандарт является одним из основополагающих в комплексе стандартов "Глобальная навигационная спутниковая система. Система экстренного реагирования при авариях".
Система экстренного реагирования при авариях "ЭРА-ГЛОНАСС" создается в целях снижения тяжести последствий дорожно-транспортных происшествий и иных чрезвычайных ситуаций на дорогах Российской Федерации посредством уменьшения времени реагирования экстренных оперативных служб.
Автомобильная система/устройство вызова экстренных оперативных служб - ключевые структурные элементы системы "ЭРА-ГЛОНАСС", призванные сформировать и передать минимально необходимый набор данных о транспортном средстве при дорожно-транспортном происшествии и обеспечить двустороннюю голосовую связь с экстренными оперативными службами.
(в ред.
Изменения N 1, утв. Приказом Росстандарта от 22.04.2014 N 394-ст)
Настоящий стандарт взаимоувязан со следующими стандартами:
ГОСТ Р 54619-2011 Глобальная навигационная спутниковая система. Система экстренного реагирования при авариях. Протокол обмена данными автомобильной системы/устройства вызова экстренных оперативных служб с инфраструктурой системы экстренного реагирования при авариях;
(в ред.
Изменения N 1, утв. Приказом Росстандарта от 22.04.2014 N 394-ст)
ГОСТ Р 54721-2011 Глобальная навигационная спутниковая система. Система экстренного реагирования при авариях. Общий порядок оказания системой базовой услуги.
Аналогом системы "ЭРА-ГЛОНАСС" является общеевропейская система eCall, с которой система "ЭРА-ГЛОНАСС" гармонизирована в целях обеспечения технологической совместимости по основным функциональным свойствам (использование тонального модема как основного механизма передачи данных; унифицированные состав и формат обязательных данных, передаваемых в составе минимального набора данных; единообразные правила установления и завершения двустороннего голосового соединения с лицами, находящимися в кабине транспортного средства, и др.).
Настоящий стандарт распространяется на автомобильные системы/устройства вызова экстренных оперативных служб, являющиеся структурными элементами системы экстренного реагирования при авариях "ЭРА-ГЛОНАСС" и предназначенные для установки на колесные транспортные средства категорий M и N в соответствии с требованиями, установленными в
[19].
(в ред.
Изменения N 1, утв. Приказом Росстандарта от 22.04.2014 N 394-ст)
Настоящий стандарт устанавливает общие технические требования к автомобильной системе/устройству вызова экстренных оперативных служб, связанные с предоставлением базовой услуги системой экстренного реагирования при авариях "ЭРА-ГЛОНАСС", по ГОСТ Р 54721.
(в ред.
Изменения N 1, утв. Приказом Росстандарта от 22.04.2014 N 394-ст)
В настоящем стандарте использованы нормативные ссылки на следующие стандарты:
ГОСТ Р ИСО/МЭК 8824-1-2001 Информационная технология. Абстрактная синтаксическая нотация версии один (АСН.1). Часть 1. Спецификация основной нотации
ГОСТ Р ИСО/МЭК 8825-93 Информационная технология. Взаимосвязь открытых систем. Спецификация базовых правил кодирования для абстрактно-синтаксической нотации версии один (АСН.1)
ГОСТ Р ИСО/МЭК 8825-2-2003 Информационная технология. Правила кодирования АСН.1. Часть 2. Спецификация правил уплотненного кодирования (PER)
| | ИС МЕГАНОРМ: примечание. Взамен ГОСТ Р 50607-93 Приказом Росстандарта от 29.11.2012 N 1396-ст с 1 января 2013 года введен в действие ГОСТ Р 50607-2012. | |
ГОСТ Р 50607-93 Совместимость технических средств электромагнитная. Электрооборудование автомобилей. Помехи от электростатических разрядов. Требования и методы испытаний
ГОСТ Р 50905-96 Автотранспортные средства. Электронное оснащение. Общие технические требования
ГОСТ Р 52456-2005 Глобальная навигационная спутниковая система и глобальная система позиционирования. Приемник индивидуальный для автомобильного автотранспорта. Технические требования
ГОСТ Р 52928-2010 Система спутниковая навигационная глобальная. Термины и определения
| | ИС МЕГАНОРМ: примечание. ГОСТ Р 54618-2011 утратил силу с 1 января 2020 года в связи с введением в действие ГОСТ 33466-2015 (Приказ Росстандарта от 15.12.2016 N 2036-ст). | |
ГОСТ Р 54618-2011 Глобальная навигационная спутниковая система. Система экстренного реагирования при авариях. Методы испытаний автомобильной системы/устройства вызова экстренных оперативных служб на соответствие требованиям по электромагнитной совместимости, стойкости к климатическим и механическим воздействиям
(в ред.
Изменения N 1, утв. Приказом Росстандарта от 22.04.2014 N 394-ст)
ГОСТ Р 54619-2011 Глобальная навигационная спутниковая система. Система экстренного реагирования при авариях. Протоколы обмена данными автомобильной системы/устройства вызова экстренных оперативных служб с инфраструктурой системы экстренного реагирования при авариях
(в ред.
Изменения N 1, утв. Приказом Росстандарта от 22.04.2014 N 394-ст)
ГОСТ Р 54721-2011 Глобальная навигационная спутниковая система. Система экстренного реагирования при авариях. Общий порядок оказания системой базовой услуги
| | ИС МЕГАНОРМ: примечание. ГОСТ Р 55531-2013 утратил силу с 1 января 2020 года в связи с введением в действие ГОСТ 33468-2015 (Приказ Росстандарта от 15.12.2016 N 2038-ст). | |
ГОСТ Р 55531-2013 Глобальная навигационная спутниковая система. Система экстренного реагирования при авариях. Методы испытаний автомобильной системы вызова экстренных оперативных служб на соответствие требованиям к качеству громкоговорящей связи в кабине транспортного средства
(ссылка введена
Изменением N 1, утв. Приказом Росстандарта от 22.04.2014 N 394-ст)
ГОСТ Р 55532-2013 Глобальная навигационная спутниковая система. Система экстренного реагирования при авариях. Методы испытаний автомобильной системы вызова экстренных оперативных служб на соответствие требованиям по определению момента аварии
(ссылка введена
Изменением N 1, утв. Приказом Росстандарта от 22.04.2014 N 394-ст)
ГОСТ 12.1.044-89 (ИСО 4589-84) Система стандартов безопасности труда. Пожаровзрывоопасность веществ и материалов. Номенклатура показателей и методы их определения
ГОСТ 12.2.007.0-75 Система стандартов безопасности труда. Изделия электротехнические. Требования безопасности
ГОСТ 14254-96 (МЭК 529-89) Степени защиты, обеспечиваемые оболочками (Код IP)
ГОСТ 15150-69 Машины, приборы и другие технические изделия. Исполнения для различных климатических районов. Категории, условия эксплуатации, хранения и транспортирования в части воздействия климатических факторов внешней среды
ГОСТ 16019-2001 Аппаратура сухопутной подвижной радиосвязи. Требования по стойкости к воздействию механических и климатических факторов и методы испытаний
ГОСТ 18725-83 Микросхемы интегральные. Общие технические условия
(ссылка введена
Изменением N 1, утв. Приказом Росстандарта от 22.04.2014 N 394-ст)
ГОСТ 28279-89 Совместимость электромагнитная электрооборудования автомобиля и автомобильной бытовой радиоэлектронной аппаратуры. Нормы и методы измерений
ГОСТ 28751-90 Электрооборудование автомобилей. Электромагнитная совместимость. Кондуктивные помехи по цепям питания. Требования и методы испытаний
ГОСТ 29157-91 Совместимость технических средств электромагнитная. Электрооборудование автомобилей. Помехи в контрольных и сигнальных бортовых цепях. Требования и методы испытаний
ГОСТ 30429-96 Совместимость технических средств электромагнитная. Радиопомехи индустриальные от оборудования и аппаратуры, устанавливаемых совместно со служебными радиоприемными устройствами гражданского назначения. Нормы и методы испытаний
Примечание. При пользовании настоящим стандартом целесообразно проверить действие ссылочных стандартов в информационной системе общего пользования - на официальном сайте Федерального агентства по техническому регулированию и метрологии в сети Интернет или по ежегодно издаваемому информационному указателю "Национальные стандарты", который опубликован по состоянию на 1 января текущего года, и по соответствующим ежемесячно издаваемым информационным указателям, опубликованным в текущем году. Если ссылочный стандарт заменен (изменен), то при пользовании настоящим стандартом следует руководствоваться заменяющим (измененным) стандартом. Если ссылочный стандарт отменен без замены, то положение, в котором дана ссылка на него, применяется в части, не затрагивающей эту ссылку.
3. Термины, определения, обозначения и сокращения
3.1. В настоящем стандарте применены термины по
ГОСТ Р 52928, а также следующие термины с соответствующими определениями:
3.1.1. автомобильная система/устройство вызова экстренных оперативных служб; (АС): Система или устройство, устанавливаемые на колесном транспортном средстве соответствующей категории и предназначенные для определения координат, скорости и направления движения транспортного средства при помощи сигналов глобальной навигационной спутниковой системы ГЛОНАСС совместно с другой действующей ГНСС, передачи сообщения о транспортном средстве при дорожно-транспортном и ином происшествиях в автоматическом (система) или ручном (устройство) режиме и двустороннюю голосовую связь с экстренными оперативными службами по сетям подвижной радиотелефонной связи.
Примечания:
1. Автомобильная система вызова экстренных оперативных служб предназначена для оснащения транспортных средств категории M1, входящих в область применения Правил ЕЭК ООН
[6],
[7], и N1, входящих в область применения Правил ЕЭК ООН
[7].
2. Автомобильное устройство вызова экстренных оперативных служб предназначено для оснащения транспортных средств категории M1, не входящих в область применения Правил ЕЭК ООН
[6],
[7], и N1, не входящих в область применения Правил ЕЭК ООН
[7], а также транспортных средств категории M2, M3, N2 и N3.
3. Сроки оснащения транспортных средств системами/устройствами вызова экстренных оперативных служб устанавливаются в
[19].
4. Автомобильная система вызова экстренных оперативных служб позволяет осуществлять передачу сообщения о транспортном средстве при дорожно-транспортном и ином происшествиях также и в ручном режиме.
5. Автомобильное устройство вызова экстренных оперативных служб может осуществлять передачу сообщения о транспортном средстве при дорожно-транспортном и ином происшествиях также и в автоматическом режиме. Типы аварий транспортного средства, определяемые автоматически, и сроки реализации устройством функции (автоматической передачи сообщения о транспортном средстве) устанавливаются в
[1],
[19].
(п. 3.1.1. в ред.
Изменения N 1, утв. Приказом Росстандарта от 22.04.2014 N 394-ст)
3.1.2. базовая услуга системы "ЭРА-ГЛОНАСС": Результат функционирования системы "ЭРА-ГЛОНАСС", состоящий в формировании и передаче экстренных сообщений о дорожно-транспортных происшествиях, приеме, обработке и доведении указанных сообщений до единой дежурно-диспетчерской службы системы-112 и обеспечении установления (коммутации) двусторонней голосовой связи с лицами, находящимися в транспортном средстве.
3.1.3. дорожно-транспортное происшествие; ДТП: Событие, возникшее в процессе движения по дороге транспортного средства и с его участием, при котором погибли или ранены люди, повреждены транспортные средства, сооружения, грузы либо причинен иной материальный ущерб.
3.1.4. датчик автоматической идентификации события ДТП: Техническое устройство, предназначенное для установления факта ДТП на основе обработки данных, поступающих от входящего в его состав трехосевого датчика ускорения, и предоставляющее информацию во внешние устройства для записи профиля ускорения при ДТП и (или) оценки тяжести ДТП.
Примечание. Для транспортных средств категорий M1 и N1 датчик автоматической идентификации события ДТП может входить в состав штатной автомобильной системы, требования к которой устанавливаются производителем транспортного средства.
(в ред.
Изменения N 1, утв. Приказом Росстандарта от 22.04.2014 N 394-ст)
3.1.5. единый номер "112": Единый номер вызова экстренных оперативных служб, установленный в Российской системе и плане нумерации
[14].
3.1.6. индекс возможного ущерба при ДТП; ASI15: Показатель, характеризующий возможную степень воздействия инерционных перегрузок на лиц, находящихся в транспортном средстве, в результате ДТП.
3.1.7. конфигурируемый параметр: Параметр, влияющий на алгоритм функционирования АС, значение которого может изменяться в соответствии с командой, приходящей от оператора системы, или посредством использования диагностического интерфейса, определяемого производителем транспортного средства или производителем АС.
3.1.8. минимальный набор данных; МНД: Набор данных, передаваемый автомобильной системой вызова экстренных оперативных служб при дорожно-транспортном происшествии и включающий в себя информацию о координатах и параметрах движения аварийного транспортного средства и времени аварии, VIN-коде транспортного средства и другую информацию, необходимую для экстренного реагирования.
3.1.9. оператор системы экстренного реагирования при авариях "ЭРА-ГЛОНАСС" (оператор системы): Юридическое лицо, осуществляющее деятельность по эксплуатации системы "ЭРА-ГЛОНАСС", в том числе по обработке информации, содержащейся в ее базе данных.
3.1.10. оценка тяжести ДТП: Бинарный показатель, используемый для условной оценки последствий ДТП по причинению возможного ущерба жизни и здоровью людей, находящихся в кабине транспортного средства, в зависимости от принятого уровня вероятности указанного события.
Примечание. Данный показатель может принимать следующие значения:
"0" - при низкой вероятности причинения ущерба жизни и здоровью людей, находящихся в кабине транспортного средства, в результате ДТП;
"1" - при высокой вероятности причинения ущерба жизни и здоровью людей, находящихся в кабине транспортного средства, в результате ДТП.
3.1.11. профиль ускорения при ДТП: Массив данных, содержащий записи значений ускорения по направлениям трех осей транспортного средства (продольной, поперечной, вертикальной) в задаваемые периоды времени до, в течение и после ДТП.
3.1.12. система экстренного реагирования при авариях; система "ЭРА-ГЛОНАСС": Федеральная государственная территориально распределенная автоматизированная информационная система, обеспечивающая оперативное получение с использованием сигналов глобальной навигационной спутниковой системы ГЛОНАСС совместно с другой действующей ГНСС информации о дорожно-транспортных происшествиях и при иных чрезвычайных ситуациях на автомобильных дорогах Российской Федерации, обработку, хранение и передачу этой информации экстренным оперативным службам, а также доступ к указанной информации заинтересованных государственных органов, органов местного самоуправления, должностных лиц, юридических и физических лиц.
Примечание. Аналогом системы "ЭРА-ГЛОНАСС" является разрабатываемая общеевропейская система eCall, с которой система "ЭРА-ГЛОНАСС" гармонизирована по основным функциональным свойствам (использование тонального модема как основного механизма передачи данных; унифицированные состав и формат обязательных данных, передаваемых в составе минимального набора данных о дорожно-транспортном происшествии, единообразные правила установления и завершения двустороннего голосового соединения с лицами, находящимися в кабине транспортного средства и др.).
(п. 3.1.12 в ред.
Изменения N 1, утв. Приказом Росстандарта от 22.04.2014 N 394-ст)
3.1.13. система-112: Система обеспечения вызова экстренных оперативных служб по единому номеру "112".
3.1.14. тональный модем: Модем, позволяющий осуществлять передачу данных в рамках установленного голосового соединения.
3.1.15. транспортное средство: Наземное механическое устройство на колесном ходу категорий M, N, предназначенное для перевозки людей, грузов или оборудования, установленного на нем, по автомобильным дорогам общего пользования
[1].
3.1.16. узкополосная АС: АС, работающая с узкополосным речевым сигналом обычного качества (с рабочей полосой частот 0,3 - 3,4 кГц и с частотой дискретизации не менее 8 кГц).
(п. 3.1.16 в ред.
Изменения N 1, утв. Приказом Росстандарта от 22.04.2014 N 394-ст)
3.1.17. широкополосная АС: АС, работающая с широкополосным речевым сигналом повышенного качества (с рабочей полосой частот 0,15 - 7,0 кГц и с частотой дискретизации не менее 16 кГц).
(п. 3.1.17 в ред.
Изменения N 1, утв. Приказом Росстандарта от 22.04.2014 N 394-ст)
3.1.18. экстренный вызов: Действия, предпринимаемые автомобильной системой вызова экстренных оперативных служб по осуществлению телефонного вызова на единый номер "112" с установленным признаком экстренного вызова из транспортного средства.
3.2. В настоящем стандарте применены следующие обозначения и сокращения:
АРУ - автоматическая регулировка усиления;
(абзац введен
Изменением N 1, утв. Приказом Росстандарта от 22.04.2014 N 394-ст)
АСН.1 - абстрактная синтаксическая нотация один;
БИП - блок интерфейса пользователя;
ГНСС - глобальная навигационная спутниковая система;
НКА - навигационный космический аппарат;
ПЗ-90.11 - государственная геоцентрическая система координат "Параметры земли 1990 года";
(в ред.
Изменения N 1, утв. Приказом Росстандарта от 22.04.2014 N 394-ст)
ПО - программное обеспечение;
ТС - транспортное средство;
AES - Advanced Encryption Standard (симметричный алгоритм блочного шифрования);
(абзац введен
Изменением N 1, утв. Приказом Росстандарта от 22.04.2014 N 394-ст)
COMF128 - Алгоритм защиты SIM-карты;
(абзац введен
Изменением N 1, утв. Приказом Росстандарта от 22.04.2014 N 394-ст)
CRC-32 - Cyclic redundancy check (циклический избыточный код);
(абзац введен
Изменением N 1, утв. Приказом Росстандарта от 22.04.2014 N 394-ст)
DES - Data Encryption Standard (симметричный алгоритм шифрования);
(абзац введен
Изменением N 1, утв. Приказом Росстандарта от 22.04.2014 N 394-ст)
DTMF - Dual-Tone Multi-Frequency (двухтональный многочастотный аналоговый сигнал, используемый для набора телефонного номера, а также для голосового автоответа);
eCall - emergency Call (общеевропейская система экстренного реагирования при авариях);
EDGE - Enhanced Data rates for GSM Evolution (цифровая технология беспроводной передачи данных для мобильной связи, которая функционирует как надстройка над 2G и 2,5G GPRS-сетями);
eUICC - embedded Universal Integrated Circuit Card (встроенная микропроцессорная карта расширенного стандарта);
(абзац введен
Изменением N 1, утв. Приказом Росстандарта от 22.04.2014 N 394-ст)
GPRS - General Packet Radio Service (служба пакетной передачи данных по радиосетям);
GPS - Global Positioning System (глобальная навигационная спутниковая система Соединенных Штатов Америки);
GSM - Global System for Mobile communications (глобальный цифровой стандарт для мобильной сотовой связи);
GSM-Milenage - алгоритмы аутентификации и генерации сеансового ключа в сетях подвижной радиотелефонной связи;
(абзац введен
Изменением N 1, утв. Приказом Росстандарта от 22.04.2014 N 394-ст)
FIFO - First In First Out (порядок получения и выдачи данных по принципу "первым пришел - первым обслуживаешься": блок данных, полученный первым, первым обрабатывается/обслуживается/передается дальше на обработку);
HSDPA - High-Speed Downlink Packet Access (высокоскоростная пакетная передача данных от базовой станции к мобильному устройству)
IMEI - international mobile equipment identity (международный идентификатор мобильного оборудования);
IO - input-output (вход-выход);
IP - Internet protocol (Интернет-протокол);
LIFO - Last In First Out (порядок получения и выдачи данных по принципу "последним пришел - первым обслуживаешься": блок данных, полученный последним, первым обрабатывается/обслуживается/ передается дальше на обработку);
LTE - Long Term Evolution (стандарт подвижной радиотелефонной связи);
(абзац введен
Изменением N 1, утв. Приказом Росстандарта от 22.04.2014 N 394-ст)
MD5 - Message Digest 5 (28-битный алгоритм хеширования);
(абзац введен
Изменением N 1, утв. Приказом Росстандарта от 22.04.2014 N 394-ст)
MMF2 - Machine to Machine Form Factor (условное наименование стандартов, определяющих характеристики SIM-карт, выполненных в корпусном исполнении);
OTA - Over The Air (механизм удаленного обновления программного обеспечения "по воздуху");
(абзац введен
Изменением N 1, утв. Приказом Росстандарта от 22.04.2014 N 394-ст)
PIN - Personal Identification Number (личный идентификационный номер),
(абзац введен
Изменением N 1, утв. Приказом Росстандарта от 22.04.2014 N 394-ст)
RLR - Receiving Loudness Rating (показатель громкости приема, эквивалент затухания на прием);
(в ред.
Изменения N 1, утв. Приказом Росстандарта от 22.04.2014 N 394-ст)
RAIM - Receiver Autonomous Integrity Monitoring (автономный контроль целостности обрабатываемой навигационной информации в навигационном приемнике);
SHA-1 - Secure Hash Algorithm-1 (алгоритм криптографического хеширования, версия 1);
(абзац введен
Изменением N 1, утв. Приказом Росстандарта от 22.04.2014 N 394-ст)
SIM - Subscriber Identity Module (модуль идентификации абонента, SIM-карта);
SLR - Sending Loudness Rating (показатель громкости передачи, эквивалент затухания на передачу);
(абзац введен
Изменением N 1, утв. Приказом Росстандарта от 22.04.2014 N 394-ст)
SMS - Short Message System (система коротких сообщений);
TCLw - weighted Terminal Coupling Loss (взвешенное затухание электроакустического тракта);
(в ред.
Изменения N 1, утв. Приказом Росстандарта от 22.04.2014 N 394-ст)
TS - Technical Specification (техническая спецификация);
UMTS - Universal Mobile Telecommunications System (универсальная мобильная телекоммуникационная система, европейская версия системы сотовой связи третьего поколения);
абзац исключен с 1 сентября 2014 года. -
Изменение N 1, утв. Приказом Росстандарта от 22.04.2014 N 394-ст;
VIN - Vehicle Identification Number (идентификационный номер транспортного средства);
WGS-84 - всемирная геодезическая система координат 1984 г.;
XOR - eXclusive OR (функция, исключающая "ИЛИ").
(абзац введен
Изменением N 1, утв. Приказом Росстандарта от 22.04.2014 N 394-ст)
4.1. Требования к АС применяют в зависимости от категории ТС и возможного способа установки указанной системы на нем.
4.2. В настоящем стандарте рассматриваются следующие категории ТС
[1]:
4.2.1. Категория M - ТС, имеющие не менее четырех колес и используемые для перевозки пассажиров, включая:
- автомобили легковые, в том числе:
- категория M1 - ТС, используемые для перевозки пассажиров и
имеющие помимо места водителя не более восьми мест для сидения;
- автобусы, троллейбусы, специализированные пассажирские ТС и их
шасси, в том числе:
- категория M2 - ТС, используемые для перевозки пассажиров, имеющие
помимо места водителя более восьми мест для сидения, максимальная масса
которых не превышает 5 т;
- категория M3 - ТС, используемые для перевозки пассажиров, имеющие
помимо места водителя более восьми мест для сидения, максимальная масса
которых превышает 5 т.
4.2.2. Категория N - ТС, используемые для перевозки грузов, - автомобили грузовые и их шасси, в том числе:
- категория N1 - ТС, предназначенные для перевозки грузов, имеющие максимальную массу не более 3,5 т;
- категория N2 - ТС, предназначенные для перевозки грузов, имеющие максимальную массу свыше 3,5 т, но не более 12 т;
- категория N3 - ТС, предназначенные для перевозки грузов, имеющие максимальную массу более 12 т.
4.3. Применяются следующие способы (конфигурации) установки автомобильной системы вызова экстренных оперативных служб на ТС:
- в конфигурации штатного оборудования, при которой установка АС производится на сборочной линии производителя ТС;
- в конфигурации дополнительного оборудования, при которой установка АС проводится на сервисных (установочных) станциях, уполномоченных установленным порядком на производство указанных работ, либо на площадке производителя ТС или дилера производителя ТС после выпуска (изготовления) ТС на основном сборочном производстве.
4.4. Параметры настройки АС должны соответствовать приведенным в
Приложении А.
5. Состав автомобильной системы/устройства вызова
экстренных оперативных служб
Росстандарта от 22.04.2014 N 394-ст)
5.1. Автомобильная система вызова экстренных оперативных служб должна включать следующие основные компоненты.
5.1.1. Навигационный приемник ГЛОНАСС и других действующих глобальных навигационных спутниковых систем.
(п. 5.1.1 в ред.
Изменения N 1, утв. Приказом Росстандарта от 22.04.2014 N 394-ст)
5.1.2. Антенна ГНСС.
5.1.3. Коммуникационный модуль (модем) GSM и UMTS.
(п. 5.1.3 в ред.
Изменения N 1, утв. Приказом Росстандарта от 22.04.2014 N 394-ст)
5.1.4. Антенна для коммуникационного модуля GSM и UMTS.
(п. 5.1.4 в ред.
Изменения N 1, утв. Приказом Росстандарта от 22.04.2014 N 394-ст)
5.1.5. Встроенная неснимаемая универсальная многопрофильная SIM/e UICC микросхема.
(п. 5.1.5 в ред.
Изменения N 1, утв. Приказом Росстандарта от 22.04.2014 N 394-ст)
5.1.6. Тональный модем.
5.1.7. Датчик автоматической идентификации ДТП (только для транспортных средств категорий M1 и N1).
(в ред.
Изменения N 1, утв. Приказом Росстандарта от 22.04.2014 N 394-ст)
5.1.8. Если система поддерживает запись профиля ускорения при ДТП и (или) оценку тяжести ДТП - необходимые дополнительные компоненты, предназначенные для записи профиля ускорения при ДТП и (или) оценки тяжести ДТП.
Примечание. Допускается использовать информацию, поступающую от штатных автомобильных систем, для автоматической идентификации события ДТП, для записи профиля ускорения при ДТП и (или) оценки тяжести ДТП.
5.1.9. Блок интерфейса пользователя с кнопками "Экстренный вызов" и "Дополнительные функции".
Примечание. Вместо кнопки "Дополнительные функции" может использоваться иной интерфейс пользователя, удовлетворяющий требованиям подраздела
8.8.
(примечание введено
Изменением N 1, утв. Приказом Росстандарта от 22.04.2014 N 394-ст)
5.1.10. Индикатор состояния АС.
Примечание. Допускается использование штатных автомобильных систем для реализации функциональности кнопок "Экстренный вызов" и "Дополнительные функции" и для отображения состояния АС, если гарантируется работоспособность данных систем при механических воздействиях, перечисленных в
13.3.1 и
13.3.2.
5.1.11. Внутренняя энергонезависимая память и оперативная память.
5.1.12. Управляющий микроконтроллер.
Примечание. Управляющий микроконтроллер может быть совмещен с другими модулями (например, с коммуникационным модулем GSM/UMTS или ГНСС приемником).
5.1.13. Интерфейс доступа к диагностическим данным, предназначенный для считывания и очистки содержимого внутренней энергонезависимой памяти устройства.
Для штатных автомобильных систем интерфейс для доступа к диагностическим данным определяет производитель транспортного средства.
Для автомобильных систем, устанавливаемых в конфигурации дополнительного оборудования, интерфейс для доступа к диагностическим данным определяет производитель АС.
5.1.14. Источник питания.
5.1.15. Резервный источник питания для обеспечения голосовой связи в отсутствие внешнего питания при оказании экстренной помощи в соответствии с требованиями
8.11.
Данное требование не распространяется на АС, установленные в конфигурации штатного оборудования, гарантирующие работоспособность АС в составе ТС без использования встроенной резервной батареи, при наличии механических воздействий, перечисленных в
13.3.1 и
13.3.2.
5.2. Требования к компонентам АС приведены в
разделе 8.
5.3. В конфигурации дополнительного оборудования АС должна иметь по крайней мере два цифровых выхода - ECALL_MODE_PIN и GARAGE_MODE_PIN, рассчитанных на ток до 200 мА (коммутируется на землю) и максимальное напряжение в закрытом состоянии 36 В.
Примечание. Здесь и далее по тексту имя и значение установочных параметров АС - в соответствии с
Приложением А.
6. Функции автомобильной системы/устройства вызова
экстренных оперативных служб
Росстандарта от 22.04.2014 N 394-ст)
6.1. Автомобильная система/устройство вызова экстренных оперативных служб должна/должно обеспечивать формирование и передачу МНД при наступлении ДТП:
- для транспортных средств категорий M1 и N1 - автоматически (по сигналам от датчиков, входящих в состав данной системы или других систем транспортного средства);
- для транспортных средств категорий M и N - в ручном режиме (при нажатии кнопки "Экстренный вызов").
Примечание. Категории транспортных средств, подлежащих оснащению системами/устройствами вызова экстренных оперативных служб, установлены в
[19].
(п. 6.1 в ред.
Изменения N 1, утв. Приказом Росстандарта от 22.04.2014 N 394-ст)
6.2. Автомобильная система вызова экстренных оперативных служб, установленная на ТС категорий M1 и N1, должна автоматически определять событие аварии, при котором возникает существенная вероятность угрозы жизни и здоровью людей, находящихся в салоне (кабине) ТС в момент аварии.
(в ред.
Изменения N 1, утв. Приказом Росстандарта от 22.04.2014 N 394-ст)
6.2.1. Автомобильная система вызова экстренных оперативных служб должна распознавать следующие типы аварий: фронтальное столкновение, боковое столкновение, удар сзади (опциально), опрокидывание.
Примечание. Требование по распознаванию аварии типа "опрокидывание" вступает в действие в сроки, устанавливаемые в
[19].
(п. 6.2.1 в ред.
Изменения N 1, утв. Приказом Росстандарта от 22.04.2014 N 394-ст)
6.2.2. Для АС, устанавливаемых в конфигурации штатного оборудования, механизм определения момента аварии определяется производителем ТС.
6.2.3. Для АС, устанавливаемых в конфигурации дополнительного оборудования, в качестве критерия срабатывания системы рекомендуется использовать условие, при котором значение индекса возможного ущерба ASI
15 превышает значение ASI15_TRESHOLD, приведенное в
Приложении А.
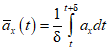
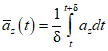
Индекс возможного ущерба ASI15 рассчитывается с использованием следующих соотношений:

, (1)

, (2)

, (3)

, (4)

, (5)
где (t2 - t1) - интервал записи параметров для оценки индекса возможного ущерба, принимаемый равным 15 мс;
ASI(t) - текущее значение индекса возможного ущерба;
ax, ay, az - компоненты ускорения рассматриваемой точки ТС в месте крепления датчика ускорения по направлениям основных осей транспортного средства (продольной x, поперечной y, вертикальной z);

,

,

- компоненты ускорения рассматриваемой точки ТС в месте крепления датчика ускорения по направлениям основных осей транспортного средства, усредненные на промежутке интервала времени

;

,

,

- предельные значения соответствуют уровню, ниже которого риск для человека незначительный. При использовании ремней безопасности предельные значения ускорений обычно принимают равными

;

;

.
(в ред.
Изменения N 1, утв. Приказом Росстандарта от 22.04.2014 N 394-ст)
6.3. В состав МНД должна включаться информация о последнем известном местоположении ТС на момент определения события ДТП в соответствии с
Приложением В.
6.4. Если в момент генерации МНД отсутствует достоверная информация о последнем известном местоположении ТС на момент определения события ДТП, то признак "нет достоверной информации о местоположении ТС" должен быть включен в состав МНД в соответствии с
Приложением В. В данном случае в состав МНД также должна быть включена информация о предполагаемом последнем известном местоположении ТС на момент определения события ДТП. Метод определения предполагаемого последнего известного местоположения ТС определяется производителем АС.
6.5. Признак наличия достоверной информации о местоположении ТС должен устанавливаться в соответствии с
Приложением В. Признак наличия достоверной информации о местоположении ТС должен устанавливаться в значение "есть достоверная информация о местоположении ТС", если имеется информация о достоверном определении местоположения ТС, соответствующая требованиям, установленным в
Приложении В.
6.6. В состав МНД должна включаться информация о направлении движения ТС в соответствии с
Приложением В. Указанная информация должна соответствовать реальному направлению движения ТС и не должна зависеть от возможного разброса значений о местоположении ТС, получаемых от приемника ГНСС. Алгоритм фильтрации (сглаживания) данных определяется производителем АС и (или) производителем ГНСС приемника.
6.7. Для АС, установленных на транспортных средствах категорий M1 и N1, должна быть реализована возможность отключения процедуры инициализации режима "Экстренный вызов" в автоматическом режиме посредством использования параметра настройки ECALL_NO_AUTOMATIC_TRIGGERING АС.
(в ред.
Изменения N 1, утв. Приказом Росстандарта от 22.04.2014 N 394-ст)
6.8. Запись и передача профиля ускорения при ДТП (только для транспортных средств категорий M1 и N1)
(в ред.
Изменения N 1, утв. Приказом Росстандарта от 22.04.2014 N 394-ст)
6.8.1. Функция записи и передачи профиля ускорения при ДТП должна быть реализована для АС, устанавливаемых в конфигурации дополнительного оборудования, если АС не поддерживает функцию оценки степени тяжести ДТП.
6.8.2. Если событие ДТП определено автоматически и в АС поддерживается передача профиля ускорения при ДТП, то должны осуществляться запись и передача оператору системы профиля ускорения ТС по трем осям в периоды времени, установленные согласно
Приложению А до, в течение и после события ДТП.
6.8.3. Если в АС поддерживается функция записи и передачи профиля ускорения при ДТП, то записываемый массив данных об ускорении при ДТП по трем осям должен содержаться в кольцевом буфере и охватывать интервал времени CRASH_RECORD_TIME (не менее 250 мс) с разрешением CRASH_RECORD_RESOLUTION (не более 5 мс; желательное разрешение - 1 мс) во время ДТП и CRASH_PRE_RECORD_TIME (3,5 с) с разрешением CRASH_PRE_RECORD_RESOLUTION (10 мс) - для предыстории ДТП.
(в ред.
Изменения N 1, утв. Приказом Росстандарта от 22.04.2014 N 394-ст)
6.8.4. Если в АС поддерживается функция записи и передачи профиля ускорения при ДТП, то ускорение транспортного средства должно определяться по трем осям в следующих диапазонах с погрешностью не более 10% и разрешением не хуже, чем указано ниже:
- боковое: от минус 24G до плюс 24G (максимально допустимое разрешение 0,1G);
- продольное: от минус 24G до плюс 24G (максимально допустимое разрешение 0,1G);
- вертикальное: от минус 24G до плюс 24G (максимально допустимое разрешение 0,1G).
(п. 6.8.4 в ред.
Изменения N 1, утв. Приказом Росстандарта от 22.04.2014 N 394-ст)
6.8.5. Если в АС поддерживается функция записи и передачи профиля ускорения при ДТП и ускорение транспортного средства не может быть измерено с точностью и разрешением, указанными в
6.8.4, то профиль ускорения не должен записываться, что должно отражаться в соответствующем информационном сообщении, которое должно передаваться оператору системы.
6.8.6. Профиль ускорения при ДТП должен передаваться оператору системы посредством пакетной передачи данных и сохраняться в энергонезависимой памяти АС при невозможности передачи по эфиру. Источником данных для записи профиля ускорения может служить как трехосевой датчик ускорения, подключенный к АС, так и другой электронный блок (блоки), установленный (установленные) в ТС, если требования по стойкости к внешним воздействиям, определенные в
13.3.1 и
13.3.2, выполняются для всех составных частей (компонентов) АС, необходимых для записи и передачи профиля ускорения.
6.8.7. Если в АС поддерживается функция записи и передачи профиля ускорения при ДТП, то профиль ускорения должен записываться всегда при включенном зажигании и после выключения зажигания в течение конфигурируемого промежутка времени, определяемого параметром настройки IGNITION_OFF_FOLLOW_UP_TIME1.
6.9. Запись и передача траектории движения ТС при ДТП (только для ТС категорий M1 и N1 и только для АС, устанавливаемых в конфигурации дополнительного оборудования)
(в ред.
Изменения N 1, утв. Приказом Росстандарта от 22.04.2014 N 394-ст)
6.9.1. При определении события ДТП АС должна определять и сохранять в кольцевом буфере данные о времени наступления события, географических координатах в системах координат, установленных в
8.1.6, и скорости транспортного средства. Формат указанных данных - в соответствии с
ГОСТ Р 54619.
6.9.2. Данные о географических координатах должны охватывать интервал времени не менее 10 с после момента определения АС факта ДТП и 60 с предыстории (до момента определения АС факта ДТП) с разрешением по оси времени не более 5 с (в том числе последние 10 с предыстории с разрешением по оси времени не более 1 с) и предельной погрешностью определения координат не более указанной в
8.1.7.
(п. 6.9.2 в ред.
Изменения N 1, утв. Приказом Росстандарта от 22.04.2014 N 394-ст)
6.9.3. Если включено зажигание, то информация о модуле вектора скорости транспортного средства должна сохраняться в кольцевом буфере и охватывать интервал времени 10 с после момента определения АС факта ДТП и 20 с предыстории (до момента определения АС факта ДТП) с разрешением по оси времени не более 1 с и предельной погрешностью определения скорости не более указанной в
8.1.7.
Примечание. Для получения информации о векторе скорости может использоваться приемник ГНСС.
6.9.4. В случае автоматического определения момента аварии данные о местоположении и скорости транспортного средства должны передаваться оператору системы посредством пакетной передачи данных и сохраняться в энергонезависимой памяти АС при невозможности передачи данных по эфиру.
6.10. Запись и передача данных по оценке тяжести ДТП (только для транспортных средств категорий M1 и N1)
(в ред.
Изменения N 1, утв. Приказом Росстандарта от 22.04.2014 N 394-ст)
6.10.1. Если в АС поддерживается функция оценки тяжести ДТП, то оценка тяжести ДТП должна передаваться оператору системы как дополнительные данные в составе МНД в соответствии с
Приложением В.
6.10.2. Оценка тяжести ДТП может производиться как на стороне автомобильной системы, так и на стороне оператора системы.
6.11. Общие требования по записи и передаче данных (только для транспортных средств категорий M1 и N1)
(в ред.
Изменения N 1, утв. Приказом Росстандарта от 22.04.2014 N 394-ст)
6.11.1. Профиль ускорения при ДТП (если поддерживается функция записи и передачи профиля ускорения при ДТП) и траектория движения ТС при ДТП (если поддерживается функция записи и передачи траектории движения ТС при ДТП) должны передаваться по запросу оператора, если событие ДТП определено в автоматическом режиме.
6.11.2. Оценка тяжести ДТП (если поддерживается функция определения оценки тяжести ДТП) должна автоматически передаваться оператору системы, если событие ДТП определено в автоматическом режиме.
6.11.3. Если поддерживается функция записи и передачи профиля ускорения при ДТП, событие ДТП определено в автоматическом режиме, а запись профиля ускорения, характеризующего предыдущее событие превышения порога ускорения, еще не закончена, то АС должна осуществить запись двух профилей ускорения параллельно, если объем памяти АС, определенный в
6.11.6, позволяет это сделать.
6.11.4. Если событие ДТП определено в автоматическом режиме, запись профиля ускорения, характеризующего предыдущее событие превышения порога ускорения, еще не закончена, и память АС, определенная в
6.11.6, заполнена, то запись профиля ускорения, характеризующего предыдущее событие превышения порога ускорения, должна быть завершена, а запрос на запись нового профиля ускорения должен быть игнорирован и соответствующее информационное сообщение должно быть передано оператору системы.
6.11.5. Если событие ДТП определено в автоматическом режиме, но не удалось осуществить передачу информации, указанной в
6.5,
6.8.3 и
6.9.1, то данная информация должна сохраняться в энергонезависимой памяти АС в порядке FIFO и передаваться оператору системы при восстановлении возможности передачи информации.
6.11.6. Энергонезависимая память АС должна позволять сохранять до пяти записей информации, указанной в
6.5,
6.8.3 и
6.9.1.
6.11.7. МНД и информация о ДТП, указанная в
6.5,
6.8.3 и
6.9.1, должны сохраняться в энергонезависимой памяти АС.
(п. 6.11.7 в ред.
Изменения N 1, утв. Приказом Росстандарта от 22.04.2014 N 394-ст)
6.11.8. Энергонезависимая память АС должна позволять сохранять до 100 наборов информации, содержащих МНД, и до 5 наборов информации, указанной в 6.11.7.
(п. 6.11.8 в ред.
Изменения N 1, утв. Приказом Росстандарта от 22.04.2014 N 394-ст)
6.11.9. При исчерпании энергонезависимой памяти АС, предназначенной для хранения информации, определенной в 6.11.8, и необходимости сохранения нового набора указанной информации, запись нового набора информации в энергонезависимую память АС должна производиться в порядке FIFO.
(п. 6.11.9 в ред.
Изменения N 1, утв. Приказом Росстандарта от 22.04.2014 N 394-ст)
6.11.10. Производитель АС должен обеспечить программно-аппаратные решения для считывания и очистки содержимого энергонезависимой памяти АС.
Производитель АС должен обеспечить необходимую степень защиты реализованного в системе механизма для считывания и очистки содержимого энергонезависимой памяти АС от несанкционированного использования.
6.12. АС, установленная в режиме штатного оборудования, при совершении экстренного вызова должна обеспечивать в салоне (кабине) транспортного средства режим громкой связи, предусматривающий отключение прочих штатно установленных звуковоспроизводящих устройств и систем в транспортном средстве.
6.13. АС, установленная в режиме дополнительного оборудования, при совершении экстренного вызова должна обеспечивать в салоне (кабине) транспортного средства режим громкой связи, предусматривающий отключение прочих штатно установленных звуковоспроизводящих устройств и систем в транспортном средстве, при наличии технической возможности.
6.14. АС должна обеспечивать возможность ввода (с использованием микрофона) и вывода звука в режиме голосового звонка.
6.15. АС должна обеспечивать возможность осуществления дуплексной громкой голосовой связи.
(в ред.
Изменения N 1, утв. Приказом Росстандарта от 22.04.2014 N 394-ст)
6.16. Автомобильная система/устройство вызова экстренных оперативных служб должна/должно обеспечивать отображение собственного технического состояния и режима работы при помощи оптического индикатора состояния красного цвета постоянного (немигающего) свечения, видимого в том числе в светлое время суток, размещенного в области прямой видимости с места водителя и сидящего впереди пассажира. При включении зажигания указанный индикатор должен включаться кратковременно (от трех до десяти секунд), а при возникновении (наличии) неисправности в АС индикатор должен оставаться включенным в течение всего времени наличия неисправности.
Допускается отсутствие оптического индикатора, удовлетворяющего требованиям, указанным выше, в случае обеспечения возможности подтверждения исправности АС при каждом включении зажигания посредством использования другого оптического индикатора, а также выведения на комбинацию приборов текстового сообщения о неисправности устройства, которое сохраняется в течение всего времени наличия неисправности при включенном зажигании.
(п. 6.16 в ред.
Изменения N 1, утв. Приказом Росстандарта от 22.04.2014 N 394-ст)
6.17. Автомобильная система/устройство вызова экстренных оперативных служб должна/должно обеспечивать самодиагностику.
(п. 6.17 в ред.
Изменения N 1, утв. Приказом Росстандарта от 22.04.2014 N 394-ст)
6.17.1. АС должна запускать функцию самодиагностики при каждом включении зажигания.
6.17.2, 6.17.3. Исключены с 1 сентября 2014 года. -
Изменение N 1, утв. Приказом Росстандарта от 22.04.2014 N 394-ст.
6.17.4. Информация о неисправности АС, выявленной в результате исполнения функции самодиагностики, должна сообщаться пользователю посредством индикатора (индикаторов) состояния (например, светового индикатора или соответствующей пиктограммы либо текстового сообщения в области видимости с места водителя автотранспортного средства).
6.17.5. Исключен с 1 сентября 2014 года. -
Изменение N 1, утв. Приказом Росстандарта от 22.04.2014 N 394-ст.
6.17.6. При самодиагностике АС должны быть реализованы, если технически возможно, следующие проверки:
- целостность образа программного обеспечения;
- работоспособность интерфейса коммуникационного модуля GSM и UMTS;
- работоспособность приемника ГНСС;
- целостность (достоверность) определяемых приемником ГНСС навигационно-временных параметров (функция RAIM);
- достаточность уровня заряда резервной батареи;
(в ред.
Изменения N 1, утв. Приказом Росстандарта от 22.04.2014 N 394-ст)
- работоспособность (корректное подключение) внешней антенны ГНСС (если антенна установлена);
- работоспособность (корректное подключение) внешней антенны GSM и UMTS (если антенна установлена);
- работоспособность датчика автоматической идентификации события ДТП (только транспортные средства категорий M1 и N1);
(в ред.
Изменения N 1, утв. Приказом Росстандарта от 22.04.2014 N 394-ст)
- работоспособность БИП;
- корректность подключения микрофона;
- работоспособность микрофона;
- работоспособность динамика (динамиков).
Примечание. Техническая возможность реализации соответствующей проверки и требования к процедуре самодиагностики определяются: производителем транспортного средства - для штатных автомобильных систем и производителем АС - для систем, устанавливаемых в конфигурации дополнительного оборудования.
6.18. Для АС, исполненной в конфигурации штатного оборудования, интерфейс взаимодействия АС с другими системами ТС определяется производителем ТС.
6.19. Для АС, исполненной в конфигурации дополнительного оборудования:
- интерфейс взаимодействия АС с системами безопасности и прочими системами ТС согласовывается с производителем ТС;
- может не предусматриваться взаимодействие АС с системами транспортного средства [например, используется датчик автоматической идентификации события ДТП (дополнительное оборудование), непосредственно подключенный к АС].
7. Основные режимы работы автомобильной системы/устройства
вызова оперативных экстренных служб
Росстандарта от 22.04.2014 N 394-ст)
7.1. Виды режимов работы
7.1.1. Устанавливаемые настоящим стандартом режимы работы АС связаны с обеспечением предоставления базовой услуги системой экстренного реагирования при авариях "ЭРА-ГЛОНАСС" в соответствии с ГОСТ Р 54721. При этом коммуникационный модуль (модуль связи) АС не является зарегистрированным в сети сотового оператора до момента определения события ДТП.
(в ред.
Изменения N 1, утв. Приказом Росстандарта от 22.04.2014 N 394-ст)
Примечание. Если АС поддерживает предоставление дополнительных услуг помимо базовой (например, удаленное управление центральным замком транспортного средства или охранно-поисковые услуги), то дополнительные режимы работы АС могут вводиться исходя из указанных требований к ней. При этом схема регистрации коммуникационного модуля АС в сети сотового оператора может изменяться.
7.1.2. Для АС, устанавливаемой в конфигурации дополнительного оборудования, устанавливаются следующие режимы работы:
- режим "Выключена";
- пассивный режим;
- режим "ЭРА";
- режим "Экстренный вызов";
- режим тестирования;
- режим "Автосервис";
- режим загрузки программного обеспечения.
7.1.3. Диаграмма состояний АС, устанавливаемой в конфигурации дополнительного оборудования, приведена на
рисунке 1.
Рисунок 1. Диаграмма состояний автомобильной системы вызова
экстренных оперативных служб в конфигурации дополнительного
оборудования
Примечание. На рисунке 1 не показан режим загрузки программного обеспечения.
7.1.4. Для АС, устанавливаемой в конфигурации штатного оборудования, устанавливаются следующие режимы работы:
- режим "Выключена";
- режим "ЭРА";
- режим "Экстренный вызов";
- режим тестирования;
- режим загрузки программного обеспечения.
7.1.5. Диаграмма состояний автомобильной системы вызова экстренных оперативных служб, устанавливаемой в конфигурации штатного оборудования, приведена на
рисунке 2.
Рисунок 2. Диаграмма состояний автомобильной системы вызова
экстренных оперативных служб в конфигурации штатного
оборудования
Примечание. На рисунке 2 не показан режим загрузки программного обеспечения.
7.2. Режим "Выключена"
7.2.1. Автомобильная система вызова экстренных оперативных служб должна находиться в режиме "Выключена" при отсутствии внешнего питания и при условии разряда резервной батареи ниже предельно допустимого значения (или при отсутствии подключенной резервной батареи). Предельно допустимое значение разряда резервной батареи определяется производителем транспортного средства или производителем АС.
7.2.2. Выход АС из режима "Выключена" должен осуществляться при подаче внешнего питания.
7.2.3. Переход АС в режим "Выключена" из других состояний осуществляется при разряде резервной батареи ниже предельно допустимого значения, как указано в
8.11, либо при выключении питания (при отсутствии подключенной резервной батареи).
7.3. Пассивный режим
7.3.1. Пассивный режим должен быть реализован в АС, устанавливаемых на ТС в конфигурации дополнительного оборудования.
Для АС, устанавливаемых в конфигурации штатного оборудования, пассивный режим является необязательным (опциальным).
7.3.2. Пассивный режим предназначен для транспортировки АС и проведения ремонтных и установочных работ с системой.
7.3.3. Автомобильная система вызова экстренных оперативных служб находится в пассивном режиме, если не осуществлена ее конфигурация.
Примечание. В настоящем стандарте режим инициализации (конфигурации) АС совмещен с пассивным режимом.
(п. 7.3.3 в ред.
Изменения N 1, утв. Приказом Росстандарта от 22.04.2014 N 394-ст)
7.3.4. Абзац исключен с 1 сентября 2014 года. -
Изменение N 1, утв. Приказом Росстандарта от 22.04.2014 N 394-ст.
При наличии внешнего питания и включении зажигания АС должна зарегистрироваться в сети GSM или UMTS по нажатию кнопки "Дополнительные функции" (для АС, устанавливаемой в конфигурации дополнительного оборудования) либо посредством использования интерфейса пользователя, реализованного в транспортном средстве (для АС, устанавливаемой в конфигурации штатного оборудования), и ожидать прихода команды на осуществление конфигурации со стороны оператора системы. После получения команды на осуществление конфигурации (данная команда может быть получена посредством использования механизма SMS или пакетной передачи данных) АС должна:
- осуществить проверку наличия конфигурационных настроек для данной АС;
- загрузить конфигурационные настройки для данной АС (если они имеются);
- сохранить полученные настройки в энергонезависимой памяти;
- перейти в режим "ЭРА".
7.3.5. Если команда на осуществление конфигурации не получена или полученная команда была игнорирована, то АС должна находиться в пассивном режиме до истечения соответствующего (предустановленного) времени или до выключения автомобильного зажигания или отключения внешнего питания.
7.3.6. Если в пассивном режиме обнаружена критическая проблема функционирования АС (например, неустраняемый сбой в работе программного обеспечения), то АС должна быть перезапущена и снова перейти в пассивный режим.
7.3.7. Если АС находится в пассивном режиме, то все остальные функции АС (например, поддержка дополнительных услуг) должны быть недоступны.
7.3.8. Метод перехода АС из пассивного режима в режим тестирования определяется производителем АС.
Методика тестирования АС при переходе из пассивного режима в режим тестирования и способ индикации результатов тестирования определяются производителем АС.
Спецификация процедуры конфигурации АС приведена в
ГОСТ Р 54619.
7.4. Режим "ЭРА"
Режим "ЭРА" предназначен для отслеживания и регистрации параметров транспортного средства, определения события ДТП в автоматическом режиме (только для транспортных средств категорий M1 и N1) и обеспечения реакции на управляющие воздействия пользователя.
(в ред.
Изменения N 1, утв. Приказом Росстандарта от 22.04.2014 N 394-ст)
7.5. Режим "Экстренный вызов"
7.5.1. Режим "Экстренный вызов" предназначен для осуществления экстренного вызова со стороны АС с целью установления голосового соединения АС с оператором системы и передачи ему МНД. После завершения экстренного вызова АС остается зарегистрированной в сети оператора системы в течение времени, определяемого параметром установки
(Приложение А).
После наступления события аварии время до инициации голосового соединения АС с оператором системы не должно превышать 20 с.
При разрыве телефонного соединения АС должна устанавливать это соединение повторно с учетом следующих требований:
(п. 7.5.1 в ред.
Изменения N 1, утв. Приказом Росстандарта от 22.04.2014 N 394-ст)
7.5.1.1. Если разрыв телефонного соединения произошел до того, как АС получила подтверждение AL-ACK в соответствии с
ГОСТ Р 54619 и до того, как истекли 20 с, отведенные на передачу МНД посредством использования тонального модема в соответствии с
таблицей 7, АС должна установить повторное телефонное соединение и должна инициировать повторную передачу МНД посредством использования тонального модема.
(в ред.
Изменения N 1, утв. Приказом Росстандарта от 22.04.2014 N 394-ст)
7.5.1.2. Если разрыв телефонного соединения произошел после того, как АС получила подтверждение AL-ACK в соответствии с
ГОСТ Р 54619 или после того, как истекли 20 с, отведенные на передачу МНД посредством использования тонального модема в соответствии с
таблицей 7, АС должна установить повторное телефонное соединение, но не должна инициировать повторную передачу МНД посредством использования тонального модема.
(в ред.
Изменения N 1, утв. Приказом Росстандарта от 22.04.2014 N 394-ст)
7.5.2. Источники сигнала для инициализации режима "Экстренный вызов" (только транспортные средства категорий M1 и N1)
(в ред.
Изменения N 1, утв. Приказом Росстандарта от 22.04.2014 N 394-ст)
7.5.2.1. Для АС, устанавливаемых в конфигурации дополнительного оборудования, источник сигнала для инициализации режима "Экстренный вызов" должен быть настраиваемым и выбираться из нижеперечисленных вариантов (как один или два):
- сигнал от датчика ускорения (CRASH_SIGNAL_INTERNAL);
- сигнал об аварии, поступающий из бортовой системы транспортного средства (CRASH_SIGNAL_EXTERNAL).
7.5.2.2. Для систем, устанавливаемых в конфигурации штатного оборудования, источник сигнала для инициализации режима "Экстренный вызов" определяется производителем транспортного средства.
7.5.3. Общие требования к АС по реализации режима "Экстренный вызов"
7.5.3.1. Для АС, устанавливаемых в конфигурации дополнительного оборудования, экстренный вызов должен быть инициирован автоматически (только для транспортных средств категорий M1 и N1):
(в ред.
Изменения N 1, утв. Приказом Росстандарта от 22.04.2014 N 394-ст)
- при включенном зажигании, если выполнены условия, определенные в
6.2.3, и значение параметра CRASH_SIGNAL_INTERNAL установлено в TRUE;
- при выключенном зажигании в течение промежутка времени IGNITION_OFF_FOLLOW_UP_TIME2 после выключения зажигания (настраиваемое значение), если выполнены условия, определенные в
6.2.3, и значение параметра настройки CRASH_SIGNAL_INTERNAL установлено в TRUE;
- при поступлении из бортовой системы ТС сигнала об аварии, если зажигание включено и значение параметра настройки CRASH_SIGNAL_EXTERNAL установлено в TRUE.
7.5.3.2. Для АС, устанавливаемых в конфигурации штатного оборудования (только для транспортных средств категорий M1 и N1), экстренный вызов должен быть инициирован автоматически при включенном зажигании по сигналу об аварии, поступившему из бортовой системы ТС.
(в ред.
Изменения N 1, утв. Приказом Росстандарта от 22.04.2014 N 394-ст)
7.5.3.3. Для АС, устанавливаемых в конфигурации дополнительного оборудования, экстренный вызов должен быть инициирован по нажатию кнопки "Экстренный вызов" (см.
8.8.1.1) в течение интервала времени, превышающего период времени SOS_BUTTON_TIME (настраиваемое значение), независимо от состояния линии зажигания.
7.5.3.4. Для АС, установленных в конфигурации штатного оборудования, экстренный вызов должен быть инициирован по нажатию кнопки "Экстренный вызов" при включенном зажигании в течение интервала времени большего, чем значение, установленное производителем ТС.
(п. 7.5.3.4 в ред.
Изменения N 1, утв. Приказом Росстандарта от 22.04.2014 N 394-ст)
7.5.3.5. При осуществлении дозвона по единому номеру 112 в режиме "Экстренный вызов" АС должна произвести оповещение лиц, находящихся в кабине ТС, об осуществлении дозвона посредством использования индикатора состояния АС (см.
8.8.2) и воспроизведения соответствующего звукового сигнала или голосовой подсказки.
7.5.3.6. При осуществлении передачи МНД в режиме "Экстренный вызов" АС должна произвести оповещение лиц, находящихся в кабине ТС, о передаче МНД посредством использования индикатора состояния АС и воспроизведения соответствующего звукового сигнала или голосовой подсказки.
7.5.3.7. После передачи МНД перед подключением голосового канала АС должна произвести оповещение лиц, находящихся в салоне (кабине) ТС, об осуществлении подключения голосового канала посредством воспроизведения соответствующего звукового сигнала или голосовой подсказки.
7.5.3.8. После осуществления подключения голосового канала АС должна произвести оповещение лиц, находящихся в салоне (кабине) ТС, о подключении голосового канала посредством использования индикатора состояния АС.
7.5.3.9. Громкоговорящая связь в салоне (кабине) ТС для АС в режиме "Экстренный вызов" должна удовлетворять требованиям, установленным в
разделе 10, и гарантировать осуществление двусторонней голосовой дуплексной связи с оператором системы во всех характерных ситуациях эксплуатации ТС (включая, но не исчерпывая следующие шумовые сценарии: работа в тишине, работа в акустических шумах окружающего дорожного движения: во время стоянки ТС, во время движения ТС, окна закрыты, окна открыты).
(п. 7.5.3.9 в ред.
Изменения N 1, утв. Приказом Росстандарта от 22.04.2014 N 394-ст)
7.5.3.10. Сразу после включения громкоговорящей связи в режиме "Экстренный вызов" в АС автоматически должен устанавливаться номинальный уровень громкости на прием, вне зависимости от начального положения внешнего регулятора громкости АС или от предыдущего состояния автоматической регулировки громкости (при их наличии).
Номинальный уровень громкости звука на прием (постоянный - для систем без регулировки громкости и первоначальный - для систем с ручной или автоматической регулировкой громкости), характеризуемый номинальным показателем громкости приема RLRnom, должен обеспечивать осуществление надежной двусторонней голосовой дуплексной связи с оператором системы во всех характерных ситуациях эксплуатации ТС, в том числе при наличии мешающего акустического шума в салоне (кабине) ТС.
Необходимое значение показателя RLRnom определяется производителем АС или производителем ТС, исходя из требования обеспечения громкости звука на прием, достаточной для проведения в салоне (кабине) ТС уверенной двусторонней громкоговорящей связи с акустическим отношением сигнал/шум (ОСШ) на прием не менее 6 дБ в условиях "обычной" по шуму ситуации [зависит от категории (типа) ТС и шумового сценария. Если требования к виду и уровню шумов не определены производителем ТС, то минимальный уровень звукового давления фоновых шумов в салоне ТС принимается равным минус 24 дБПа (А)].
Выбранное значение RLRnom должно лежать в пределах от (минус 6 +/- 4) дБ до (2 +/- 4) дБ. Рекомендуемое значение показателя RLRnom составляет (минус 6 +/- 4) дБ.
(п. 7.5.3.10 в ред.
Изменения N 1, утв. Приказом Росстандарта от 22.04.2014 N 394-ст)
7.5.3.11. При наличии ручного или автоматического регулятора уровня громкости в режиме "Экстренный вызов" пользователь АС или автомобильная система не должны иметь возможности понижения уровня громкости звука на прием ниже минимального уровня, позволяющего осуществлять двустороннюю громкоговорящую связь с акустическим отношением сигнал/шум на прием не менее 0 дБ в условиях "типовой" по шуму ситуации [зависит от категории (типа) ТС и шумового сценария. Если требования к виду и уровню шумов не определены производителем ТС, то минимальный уровень звукового давления фоновых шумов в салоне ТС принимается равным минус 24 дБПа (А)].
Минимальный уровень громкости звука на прием определяется производителем АС или производителем ТС и характеризуется максимальным показателем громкости приема RLRmax.
Выбранное значение RLRmax должно находиться в пределах от (0 +/- 4) дБ до (8 +/- 4) дБ. Рекомендуемое значение показателя RLRmax составляет (2 +/- 4) дБ.
(п. 7.5.3.11 в ред.
Изменения N 1, утв. Приказом Росстандарта от 22.04.2014 N 394-ст)
7.5.3.12. В режиме "Экстренный вызов" использование микрофона для осуществления громкоговорящей связи в салоне (кабине) ТС должно иметь наивысший приоритет, а пользователи АС или автомобильная система не должны иметь возможности отключения микрофона.
При наличии возможности отключения микрофона (функции "mute") в других режимах работы АС микрофон должен подключаться на передачу автоматически сразу после включения режима "Экстренный вызов", вне зависимости от своего начального состояния, а АС должна осуществлять принудительное отключение звука во всей остальной звуковоспроизводящей аппаратуре, установленной в салоне (кабине) ТС (кроме аппаратуры спецсвязи).
(п. 7.5.3.12 в ред.
Изменения N 1, утв. Приказом Росстандарта от 22.04.2014 N 394-ст)
7.5.3.13. По окончании "Экстренного вызова" АС должна оставаться зарегистрированной в сети GSM или UMTS в течение времени, определяемого параметром установки NAD_DEREGISTRATION_TIME.
7.5.3.14. Режим "Экстренный вызов" и все функции АС, связанные с поддержкой базовой услуги системы "ЭРА-ГЛОНАСС", должны быть доступны, если выполнена конфигурация АС.
(п. 7.5.3.14 в ред.
Изменения N 1, утв. Приказом Росстандарта от 22.04.2014 N 394-ст)
7.5.3.15. Режим "Экстренный вызов" и все функции АС, связанные с поддержкой базовой услуги системы "ЭРА-ГЛОНАСС" (за исключением конфигурирования и настройки), должны быть недоступны, если конфигурация АС не выполнена.
(п. 7.5.3.15 в ред.
Изменения N 1, утв. Приказом Росстандарта от 22.04.2014 N 394-ст)
7.5.3.16. Из режима "Экстренного вызова" переход в режим "ЭРА" осуществляется при прекращении голосового звонка и в режим "Выключена" - при достижении минимально возможного уровня заряда резервной батареи (если резервная батарея используется).
7.5.3.17. После завершения экстренного вызова АС остается зарегистрированной в сети в течение времени, определяемого параметром установки NAD_DEREGISTRATION_TIME.
7.5.3.18. Из режима "Экстренного вызова" невозможен переход в режимы тестирования, "Автосервис" и загрузки программного обеспечения.
7.5.3.19 - 7.5.3.23. Исключены с 1 сентября 2014 года. -
Изменение N 1, утв. Приказом Росстандарта от 22.04.2014 N 394-ст.
7.5.3.24. Пользователь АС должен быть оповещен о невозможности выполнить экстренный вызов способом, установленным в
8.9.3.
7.5.3.25. Для АС, устанавливаемых в конфигурации дополнительного оборудования, аппаратная линия вывода ECALL_MODE_PIN должна быть активирована автомобильной системой, если она находится в режиме "Экстренного вызова".
Требования к аппаратной линии вывода определены в
5.3.
7.5.3.26. Для АС, устанавливаемых в конфигурации дополнительного оборудования, аппаратная линия вывода ECALL_MODE_PIN должна быть сброшена автомобильной системой, если она находится в каком-либо ином режиме, кроме режима "Экстренного вызова".
7.5.3.27. После завершения экстренного вызова АС должна автоматически отвечать на входящие звонки в течение не менее 20 мин.
(п. 7.5.3.27 в ред.
Изменения N 1, утв. Приказом Росстандарта от 22.04.2014 N 394-ст)
7.5.3.28. Функционирование АС в части использования сетей подвижной связи стандартов GSM и UMTS должно удовлетворять требованиям
[11],
[12].
7.5.3.29. Значения бит 6 и бит 7 должны быть заданы в элементе "Категории сервиса" (инициализирующее сообщение экстренного вызова) в соответствии с
9.1.2 и
таблицей 6 с учетом способа активации экстренного вызова (ручная или автоматическая).
7.5.3.30. Значение периода времени дозвона при инициировании экстренного вызова должно быть конфигурируемым в соответствии с ECALL_DIAL_DURATION.
7.5.3.31. Число попыток дозвона при автоматическом инициировании экстренного вызова задается параметром настройки ECALL_AUTO_DIAL_ATTEMPTS.
7.5.3.32. Число попыток дозвона при ручном инициировании экстренного вызова задается параметром настройки ECALL_MANUAL_DIAL_ATTEMPTS. При этом значение параметра ECALL_MANUAL_DIAL_ATTEMPTS не может устанавливаться в "0".
7.5.3.33. Если экстренный вызов инициирован вручную и конфигурационный параметр ECALL_MANUAL_CAN_CANCEL установлен в TRUE и еще не установлено соединение с оператором системы, то вызов должен быть прекращен:
- при нажатии на кнопку "Дополнительные функции" (для АС, установленной в конфигурации дополнительного оборудования);
- посредством использования соответствующего интерфейса пользователя, реализованного в транспортном средстве (для АС, установленной в конфигурации штатного оборудования).
7.5.3.34. В АС должна быть обеспечена возможность инициации экстренного вызова оператором системы путем передачи SMS в адрес АС в течение промежутка времени, когда она остается зарегистрированной в сети после осуществления инициированного ею экстренного вызова. Признак экстренного вызова (ручной вызов, автоматический вызов) определяется в запросе от оператора системы. Возможность осуществления данного вызова должна предоставляться только после завершения сеанса экстренного вызова, инициированного со стороны АС, в течение промежутка времени, когда она остается зарегистрированной в сети, ожидая возможный ответный звонок со стороны оператора системы.
7.5.3.35. После неудачной попытки передать МНД посредством использования тонального модема АС должна передавать МНД оператору системы посредством использования механизма SMS на конфигурируемый номер ECALL_SMS_FALLBACK_NUMBER.
7.5.3.36. При получении соответствующей команды от оператора системы АС должна передавать оператору системы текущий МНД посредством использования механизма SMS. При этом получение SMS от оператора системы возможно как во время экстренного вызова, так и после его завершения в течение промежутка времени, когда АС остается зарегистрированной в сети.
Текущий МНД должен содержать те же самые данные, что установлены после определения события ДТП либо ручной инициации вызова, но обновленную информацию о местоположении (см.
Приложение В, поля МНД "Vehicle Location", "Recent Vehicle Location n - 1", "Recent Vehicle Location n - 2") и направлении движения (поле МНД "Vehicle Direction") ТС, определенную для состояния ТС на момент получения команды от оператора системы. При этом Message Identifier должен быть увеличен на 1 для каждого последующего запроса и сброшен в начальное значение в случае инициации нового вызова из ТС.
АС должна передать SMS на конфигурируемый номер ECALL_SMS_FALLBACK_NUMBER. Возможность осуществления данной посылки должна предоставляться только после завершения экстренного вызова, инициированного со стороны АС, в течение промежутка времени, когда она остается зарегистрированной в сети, ожидая возможный ответный звонок со стороны оператора системы.
(п. 7.5.3.36 в ред.
Изменения N 1, утв. Приказом Росстандарта от 22.04.2014 N 394-ст)
7.5.3.37. При разрыве соединения в режиме "Экстренного вызова" АС должна устанавливать соединение повторно.
7.5.3.38. После установления голосовой связи с оператором системы (при наличии внешнего питания) в телефонную линию должен генерироваться тон DTMF:
- соответствующий символу "0" - при первом нажатии на кнопку "Экстренный вызов";
- соответствующий символу "1" - при втором нажатии на кнопку "Экстренный вызов";
- соответствующий символу "2" - при третьем нажатии на кнопку "Экстренный вызов".
Длительность тона DTMF должна составлять 1 с.
(абзац введен
Изменением N 1, утв. Приказом Росстандарта от 22.04.2014 N 394-ст)
Последующие нажатия на кнопку "Экстренный вызов" в течение голосового соединения должны игнорироваться.
7.5.3.39. Если в процессе экстренного вызова определено событие отключения автомобильного зажигания, то экстренный вызов должен продолжаться независимо от состояния линии автомобильного зажигания до того момента, как экстренный вызов прекращен со стороны оператора системы.
7.5.3.40. Дозвон в режиме "Экстренный вызов" должен начинаться не позже, чем через 1 с после регистрации в сети оператора системы "ЭРА-ГЛОНАСС", произошедшей в результате определения события аварии в автоматическом режиме или подтверждения нажатия кнопки "Экстренный вызов" в ручном режиме.
(п. 7.5.3.40 в ред.
Изменения N 1, утв. Приказом Росстандарта от 22.04.2014 N 394-ст)
7.5.4. После наступления события аварии АС должна обеспечивать корректное функционирование в соответствии с требованиями
13.2.2 и
13.2.3.
7.6.1. Режим тестирования предназначен для проверки функционирования АС.
Примечание. Проверка функционирования АС в режиме тестирования может осуществляться при проведении различных испытаний АС в процессе производства, при испытаниях по подтверждению соответствия АС требованиям
[19] и настоящего стандарта, при проведении технического обслуживания ТС в дилерских центрах производителей ТС, при проведении государственного технического осмотра ТС.
(п. 7.6.1 в ред.
Изменения N 1, утв. Приказом Росстандарта от 22.04.2014 N 394-ст)
7.6.2. Переход АС в режим тестирования должен быть возможен только после выполнения соответствующего действия на включение режима тестирования на стороне транспортного средства при наличии внешнего питания, при отсутствии перемещения транспортного средства в течение последней минуты и при включенном зажигании.
Производитель транспортного средства может определять дополнительное условие (дополнительные условия) для перехода в режим тестирования для штатных АС.
7.6.3. Переход АС из режима тестирования в режим "ЭРА" должен осуществляться при завершении сессии тестирования или если определено событие отключения зажигания или внешнего питания.
7.6.4. Обмен сообщениями АС в режиме тестирования с оператором системы должен осуществляться посредством использования тонального модема при звонке на номер ECALL_TEST_NUMBER.
7.6.5. Для АС, установленной в конфигурации дополнительного оборудования, вход в режим тестирования из режима "ЭРА" должен производиться посредством нажатия кнопки "Дополнительные функции".
7.6.6. Для АС, установленной в конфигурации штатного оборудования, вход в режим тестирования из режима "ЭРА" должен производиться посредством использования интерфейса пользователя, реализованного в ТС.
Инструкция по использованию интерфейса пользователя для входа в режим тестирования должна быть представлена в руководстве пользователя ТС.
7.6.7. Если АС не используется для предоставления дополнительных телематических услуг помимо услуги реагирования при аварии и АС была зарегистрирована в сети посредством нажатия на кнопку "Дополнительные функции" (для АС, установленной в режиме дополнительного оборудования) или посредством использования интерфейса пользователя, реализованного в транспортном средстве (для АС, установленной в режиме штатного оборудования), и была запущена процедура тестирования, то АС должна прекратить регистрацию в сети по завершении процедуры тестирования.
7.6.8. Если АС используется для предоставления дополнительных телематических услуг помимо услуги реагирования при аварии и была зарегистрирована в сети посредством нажатия на кнопку "Дополнительные функции" (для АС, установленной в режиме дополнительного оборудования) или посредством использования интерфейса пользователя, реализованного в транспортном средстве (для АС, установленной в режиме штатного оборудования), и была запущена процедура тестирования, то поведение АС в части регистрации в сети по завершении процедуры тестирования определяется:
- производителем АС (для АС, установленной в режиме дополнительного оборудования);
- производителем ТС (для АС, установленной в режиме штатного оборудования).
7.6.9. Если АС не используется для предоставления дополнительных телематических услуг помимо услуги реагирования при аварии и АС была зарегистрирована в сети посредством нажатия на кнопку "Дополнительные функции" (для АС, установленной в режиме дополнительного оборудования) или посредством использования интерфейса пользователя, реализованного в транспортном средстве (для АС, установленной в режиме штатного оборудования), то последующая регистрация в сети для указанных вариантов исполнения АС возможна не ранее чем через промежуток времени, заданный в TEST_REGISTRATION_PERIOD.
Если в TEST_REGISTRATION_PERIOD значение установлено в "0", то временных ограничений на последующую регистрацию АС в сети не накладывается.
7.6.10. Если АС используется для предоставления дополнительных телематических услуг помимо услуги реагирования при аварии и была зарегистрирована в сети посредством нажатия на кнопку "Дополнительные функции" (для АС, установленной в режиме дополнительного оборудования) или посредством использования интерфейса пользователя, реализованного в транспортном средстве (для АС, установленной в режиме штатного оборудования), то правила последующей регистрации в сети для указанных вариантов исполнения АС определяются соответственно производителем АС и производителем ТС.
7.6.11. Режим тестирования должен прекращаться автоматически, если транспортное средство при включенном зажигании переместилось на расстояние большее, чем заданное параметром настройки TEST_MODE_END_DISTANCE. При этом точность определения расстояния должна быть не более 45 м.
Если координаты точки, в которой включен режим тестирования, не определены, то режим должен отключаться на заданном удалении от той точки, в которой координаты ТС определены первый раз после включения зажигания.
Примечание. Если в режиме тестирования нет возможности получения данных от ГНСС приемника, то для определения расстояния допускается использовать другие методы определения пройденного расстояния.
7.6.12. В режиме тестирования должны быть реализованы следующие тесты:
- тест подсоединения микрофона (микрофонов) и уровня громкости речевых сигналов на передачу. Например, АС проигрывает голосовую подсказку номинального уровня с запросом тестировщику, находящемуся на штатном месте водителя, произнести фразу определенной длительности, затем записывает введенный звуковой фрагмент во внутренней памяти, а потом воспроизводит записанный звуковой фрагмент и запрашивает тестировщика нажать на соответствующую кнопку (на кнопки), если звуковой фрагмент воспроизведен корректно, и с уровнем громкости, достаточным для разборчивого восприятия речи;
(в ред.
Изменения N 1, утв. Приказом Росстандарта от 22.04.2014 N 394-ст)
- тест подсоединения динамика (динамиков) и уровня громкости речевых сигналов на прием. Например, АС проигрывает голосовую подсказку номинального уровня в левый и правый динамики и запрашивает тестировщика, находящегося на штатном месте водителя, нажать на соответствующую кнопку (на кнопки), если звуковой фрагмент проигран корректно, и с уровнем громкости, достаточным для разборчивого восприятия речи оператора в условиях транспортного шума в салоне (кабине) ТС;
(в ред.
Изменения N 1, утв. Приказом Росстандарта от 22.04.2014 N 394-ст)
- тест выключения/включения зажигания для АС, устанавливаемых в конфигурации дополнительного оборудования. Например, АС проигрывает голосовую подсказку с запросом тестировщика выключить и включить зажигание транспортного средства либо АС принимает решение о корректности функционирования логики определения состояния линии автомобильного зажигания, используя ранее полученные данные об изменении состояния линии автомобильного зажигания (например, если состояние линии автомобильного зажигания изменялось в течение заданного промежутка времени);
- расширенный тест блока интерфейса пользователя. Например, АС проигрывает голосовую подсказку, запрашивающую тестировщика нажать соответствующие кнопки в определенной последовательности. Дополнительно АС проигрывает голосовую подсказку с запросом тестировщика подтвердить корректную работу индикаторов состояния АС;
- тест резервной батареи, если существует техническая возможность тестирования состояния резервной батареи (объем тестирования определяется производителем транспортного средства или производителем АС);
(в ред.
Изменения N 1, утв. Приказом Росстандарта от 22.04.2014 N 394-ст)
- тест работоспособности датчика (механизма) автоматической идентификации события ДТП (только для транспортных средств категорий M1 и N1), являющийся обязательным для указанной категории ТС.
(в ред.
Изменения N 1, утв. Приказом Росстандарта от 22.04.2014 N 394-ст)
Примечание. Если в качестве источника информации о событии ДТП используется штатная автомобильная система, то допускается использование ранее полученных данных о работоспособности датчика (механизма) автоматической идентификации события ДТП, полученных в течение промежутка времени, прошедшего после включения зажигания (например, данные о работоспособности датчика автоматической идентификации события ДТП, полученные в процессе диагностики штатных автомобильных систем, запускаемом после включения зажигания);
- дополнительные тесты, выполняющиеся в процессе самодиагностики, приведенные в
6.17.6.
7.6.13. После завершения тестирования АС данные о результатах тестирования должны быть переданы оператору системы посредством использования тонального модема при звонке на номер ECALL_TEST_NUMBER.
Минимальный набор данных с результатами тестирования АС должен быть представлен в формате результатов тестирования в соответствии с
Приложением В.
7.6.14. Минимальный набор данных с результатами тестирования АС должен передаваться с установленным идентификатором "тестовый звонок" в соответствии с
Приложением В.
7.6.15. Выход АС из режима тестирования должен осуществляться:
- после передачи МНД с результатами тестирования АС оператору системы;
- при отключении внешнего питания;
- при удалении транспортного средства (при включенном зажигании) от точки включения режима тестирования на расстояние большее, чем суммарное расстояние, определяемое конфигурируемым параметром настройки TEST_MODE_END_DISTANCE и величиной утроенной погрешности определения местоположения в плане по
8.1.7.
(в ред.
Изменения N 1, утв. Приказом Росстандарта от 22.04.2014 N 394-ст)
Примечание. Для штатных АС могут устанавливаться дополнительные условия выхода из режима тестирования.
7.6.16. Перед выходом АС из режима тестирования она должна довести результаты тестирования тестировщику посредством использования индикатора состояния АС или посредством проигрывания соответствующего голосового сообщения.
Отображаемые результаты тестирования должны содержать информацию об успешности либо неуспешности проведенного тестирования, т.е. АС исправна/неисправна.
(абзац введен
Изменением N 1, утв. Приказом Росстандарта от 22.04.2014 N 394-ст)
7.7. Режим "Автосервис"
7.7.1. Режим "Автосервис" предназначен для отключения всех функций АС на время нахождения транспортного средства в сервисном центре.
7.7.2. Режим "Автосервис" должен быть реализован в АС, устанавливаемых в конфигурации дополнительного оборудования, и не является обязательным для штатных автомобильных систем.
7.7.3. При переходе в режим "Автосервис" АС должна устанавливать аппаратную линию вывода GARAGE_MODE_PIN.
При выходе из режима "Автосервис" АС должна сбрасывать аппаратную линию вывода GARAGE_MODE_PIN.
7.7.4. Все функции АС, связанные с предоставлением базовой услуги "ЭРА-ГЛОНАСС" и тестированием АС, должны быть отключены, если она находится в режиме "Автосервис".
7.7.5. Выход из режима "Автосервис" должен осуществляться автоматически, если ТС при включенном зажигании переместилось на расстояние большее, чем суммарное расстояние, определяемое параметром настройки GARAGE_MODE_END_DISTANCE (конфигурируемый параметр) и величиной утроенной погрешности определения местоположения в плане по
8.1.7.
(в ред.
Изменения N 1, утв. Приказом Росстандарта от 22.04.2014 N 394-ст)
Если координаты точки, в которой был включен режим "Автосервис", не определены, то данный режим должен отключаться на заданном удалении от той точки, в которой первый раз определены координаты ТС после включения зажигания.
Точность определения расстояния должна быть не более 45 м.
Примечания
1. Если АС находится в режиме "Автосервис", то при выключенном зажигании все модули (компоненты) АС находятся в выключенном состоянии.
2. Условия перехода АС в режим "Автосервис" определяются производителем АС.
3. Выход АС из режима "Автосервис" при включенном зажигании осуществляется на основе информации, поступающей от навигационного модуля АС.
7.8. Режим загрузки программного обеспечения
7.8.1. Режим загрузки ПО предназначен для обновления ПО АС.
(п. 7.8.1 в ред.
Изменения N 1, утв. Приказом Росстандарта от 22.04.2014 N 394-ст)
7.8.2. Режим загрузки ПО является обязательным.
(п. 7.8.2 в ред.
Изменения N 1, утв. Приказом Росстандарта от 22.04.2014 N 394-ст)
7.8.3. Для АС, устанавливаемых в конфигурации дополнительного оборудования, должен быть поддержан режим загрузки ПО с использованием пакетной передачи данных в соответствии с требованиями 7.8.4 -
7.8.11.
Для АС, устанавливаемых в конфигурации штатного оборудования, требования к реализации режима загрузки ПО определяет производитель ТС.
(п. 7.8.3 в ред.
Изменения N 1, утв. Приказом Росстандарта от 22.04.2014 N 394-ст)
7.8.4. Если АС находится в режимах "ЭРА" или "Автосервис", к ней подключено внешнее питание и от оператора системы поступает команда на включение режима загрузки ПО, то АС должна осуществить переход в этот режим и установить соединение с оператором системы для пакетной передачи данных.
Команда от оператора системы может быть получена либо после осуществления экстренного вызова, либо после окончания процесса тестирования АС в течение промежутка времени, заданного параметром настройки POST_TEST_REGISTRATION_TIME.
(в ред.
Изменения N 1, утв. Приказом Росстандарта от 22.04.2014 N 394-ст)
7.8.5. Если АС не находится в режимах "ЭРА" или "Автосервис" или при отсутствующем внешнем питании она получает от оператора системы команду на включение режима загрузки ПО, то АС должна игнорировать полученную команду и оставаться в ранее определенных режимах.
7.8.6. В режиме загрузки ПО функционирование АС осуществляется в соответствии с параметрами режима, предшествовавшего включению режима загрузки ПО.
7.8.7. В режиме загрузки программного обеспечения АС должна осуществлять загрузку образа ПО в оперативную память АС в соответствии с протоколом обмена данными, определенным в
ГОСТ Р 54619.
7.8.8. Если зажигание выключено после окончания загрузки ПО, то АС должна произвести обновление образа ПО в энергонезависимой памяти с последующим циклом самодиагностики.
7.8.9. Если зажигание включено после окончания загрузки ПО, то АС должна произвести обновление образа ПО в энергонезависимой памяти и осуществить цикл самодиагностики после выключения зажигания.
7.8.10. Должна быть обеспечена целостность образа ПО в энергонезависимой памяти АС, и должен быть реализован механизм (механизмы) защиты от нарушения целостности образа ПО в энергонезависимой памяти АС в следующих ситуациях:
- при наличии ошибок в канале передачи данных между АС и оператором системы;
- при возможном обрыве соединения между АС и оператором системы;
- при возможном отключении внешнего питания в процессе операции обновления образа ПО в энергонезависимой памяти АС.
7.8.11. Если АС находится в режиме загрузки ПО и осуществляется экстренный вызов, то указанный режим должен быть прерван, а загруженные данные должны быть игнорированы.
Если режим загрузки ПО был прерван ввиду осуществления экстренного вызова, то по его завершении АС должна передать соответствующее информационное сообщение оператору системы и перейти в режим "ЭРА".
8. Требования к компонентам автомобильной системы/устройства
вызова экстренных оперативных служб
Росстандарта от 22.04.2014 N 394-ст)
8.1. Навигационный приемник (навигационный модуль)
8.1.1. Навигационный приемник, входящий в состав АС, может быть как встроенным в АС, так и внешним по отношению к ней (встроен в другой электронный блок, установленный на транспортном средстве).
8.1.2. Входящий в состав АС навигационный модуль должен принимать и обрабатывать с целью определения координат местоположения и составляющих вектора скорости транспортного средства сигналы стандартной точности в диапазоне L1 ГНСС ГЛОНАСС.
8.1.3. Входящий в состав АС навигационный модуль может принимать и обрабатывать с целью определения координат местоположения и составляющих вектора скорости транспортного средства сигналы других ГНСС (например, GPS).
8.1.4. Входящий в состав АС навигационный модуль должен принимать и обрабатывать сигналы всех поддерживаемых ГНСС с одинаковыми приоритетами и использовать функцию RAIM для определения тех спутников, информацию с которых нельзя использовать при расчетах навигационных характеристик.
Примечание. При выборе типа навигационного приемника для комплектации АС предпочтение должно отдаваться приемникам, в которых учтено планируемое изменение частот и структуры используемых сигналов ГЛОНАСС.
8.1.5. Входящий в состав АС приемник ГНСС должен предоставлять возможность определения навигационных параметров с использованием сигналов только навигационной системы ГЛОНАСС.
8.1.6. Входящий в состав АС приемник ГНСС должен обеспечивать определение навигационных параметров в системах координат ПЗ-90.11 и WGS-84. Использование системы координат ПЗ-90.11 является предпочтительным.
(п. 8.1.6 в ред.
Изменения N 1, утв. Приказом Росстандарта от 22.04.2014 N 394-ст)
8.1.7. Предельные погрешности (при доверительной вероятности 0,95) должны быть не более:
- плановых координат - 15 м;
- высоты - 20 м;
- вектора скорости - 0,1 м/с.
Указанные требования по точности должны обеспечиваться:
- в диапазоне скоростей от 0 до 250 км/ч;
- в диапазоне линейных ускорений от 0 до 2G;
- при наличии краткосрочных вертикальных ускорений от 0 до 5G;
- при значениях пространственного геометрического фактора не более 4;
- при отсутствии и при воздействии помех, допустимый уровень которых задается требованиями по ЭМС, приведенными в
13.3.
8.1.8. Минимальный временной интервал обновления навигационных данных должен быть не более 1 с.
(в ред.
Изменения N 1, утв. Приказом Росстандарта от 22.04.2014 N 394-ст)
8.1.9. Время восстановления слежения за сигналами рабочего созвездия НКА после потери слежения за ними на время до 60 с должно быть не более 5 с после восстановления видимости НКА.
8.1.10. Время до получения приемником ГНСС первого после включения зажигания навигационного решения должно быть не более 60 с.
8.1.11. Входящий в состав АС приемник ГНСС должен обеспечивать:
- поиск (обнаружение) сигналов ГНСС при уровне полезного сигнала на антенном входе (на входе антенного усилителя) минус 163 дБВт;
- слежение за сигналами ГНСС и выдачу навигационного решения при уровне полезного сигнала на антенном входе (на входе антенного усилителя) минус 188 дБВт.
8.1.12. Если приемник ГНСС позволяет изменять частоту выдачи навигационных данных, то целевая частота их выдачи должна устанавливаться при помощи параметра настройки GNSS_DATA_RATE из заданного для этого параметра диапазона значений в соответствии с
Приложением А.
8.1.13. Если приемник ГНСС не позволяет изменять частоту выдачи навигационных данных, то поддерживаемая навигационным приемником частота их выдачи должна находиться в диапазоне значений, заданном для параметра настройки GNSS_DATA_RATE в соответствии с
Приложением А.
8.1.14. Минимальный угол возвышения (угол отсечки) навигационных космических аппаратов должен устанавливаться при помощи параметра настройки GNSS_MIN_ELEVATION из заданного для этого параметра диапазона значений в соответствии с
Приложением А. По умолчанию значение указанного параметра принимается равным 5 градусам.
8.1.15. Должна быть предусмотрена возможность выполнения следующих функций в режиме тестирования приемника ГНСС:
- управление настройками приемника ГНСС с использованием программного обеспечения разработчика приемника;
- выдача навигационно-временной информации в формате NMEA-0183
[5];
- выдача результатов автономного контроля целостности (достоверности) навигационных определений и исключения недостоверных измерений (функция RAIM).
Примечание. Режим тестирования приемника ГНСС применяется при проведении испытаний АС на соответствие требованиям в части ГНСС приемника. Методика проведения испытаний АС на соответствие требованиям в части приемника ГНСС предполагает использование навигационно-временной информации в формате NMEA-0183.
8.1.16. Для АС, установленных в конфигурации дополнительного оборудования, питание приемника ГНСС должно отключаться после выключения зажигания через период времени, определяемый параметром GNSS_POWER_OFF_TIME.
8.1.17. Навигационный модуль должен обеспечивать выполнение требований назначения при уровне полезных сигналов, равном минус 161 дБВт, и воздействии гармонических помех с уровнями мощности на антенном входе, равными пороговым значениям, указанными:
- в таблице 1 - при работе по сигналам ГЛОНАСС стандартной точности;
Таблица 1
Пороговые значения гармонических помех при работе
по сигналам ГЛОНАСС стандартной точности
Частота, МГц | Пороговые значения уровня помех, дБВт |
F < 1540 | Минус 15 |
1540 < F <= 1562 | От минус 15 до минус 50 |
1562 < F <= 1583 | От минус 50 до минус 90 |
1583 < F <= 1593 | От минус 90 до минус 140 |
1593 < F <= 1609 | Минус 140 |
1609 < F <= 1613 | От минус 140 до минус 80 |
1613 < F <= 1626 | От минус 80 до минус 60 |
1626 < F <= 1670 | От минус 60 до минус 15 |
F > 1670 | Минус 15 |
Таблица 2
Пороговые значения гармонических помех при работе
по сигналам GPS
Частота, МГц | Пороговые значения уровня помех, дБВт |
F < 1525 | Минус 15 |
1525 < F <= 1565 | От минус 50 до минус 140 |
1565 < F <= 1585 | Минус 140 |
1585 < F <= 1610 | От минус 140 до минус 60 |
1610 < F <= 1626 | От минус 60 до минус 50 |
1626 < F <= 1670 | От минус 50 до минус 15 |
F > 1670 | Минус 15 |
8.1.18. Навигационный модуль должен обеспечивать слежение за сигналами ГНСС ГЛОНАСС и GPS при воздействии импульсных помех на антенном входе, формируемых в полосе частот принимаемых сигналов ГНСС ГЛОНАСС и GPS, с параметрами, указанными в таблице 3, при уровне мощности полезного сигнала минус 161 дБВт.
Таблица 3
Параметры импульсных помех
Наименование параметра | Значение |
Пороговое значение помехи (пиковая мощность импульса), дБВт | Минус 10 |
Длительность импульса, мс | <= 1 |
Скважность | >= 10 |
8.2. Антенна ГНСС
8.2.1. Автомобильная система вызова экстренных оперативных служб должна оснащаться внешней и (или) внутренней антенной для приема сигналов ГНСС, обеспечивающей необходимое качество приема сигналов после установки АС на транспортное средство.
8.2.2. Для АС в конфигурации дополнительного оборудования требования по установке внешних антенн ГНСС определяет производитель АС.
Для АС в конфигурации штатного оборудования требования по установке внешних антенн ГНСС определяет производитель транспортного средства.
8.3. Коммуникационный модуль (модем) GSM/UMTS
8.3.1. Коммуникационный модуль должен работать в двух диапазонах GSM900 (P-GSM и E-GSM) и 1800 с поддержкой пакетной передачи данных и обеспечивать процедуру передачи управления при переходе из одного диапазона в другой.
(п. 8.3.1 в ред.
Изменения N 1, утв. Приказом Росстандарта от 22.04.2014 N 394-ст)
8.3.2. Коммуникационный модуль GSM900/1800 должен удовлетворять требованиям, установленным в
[10].
8.3.3. Коммуникационный модуль должен работать в двух диапазонах UMTS900 и UMTS2000 с поддержкой пакетной передачи данных и обеспечивать процедуру передачи управления при переходе из одного диапазона в другой.
8.3.4. Коммуникационный модуль UMTS900/2000 должен удовлетворять требованиям, установленным в
[11] и
[12].
8.4. Антенна для коммуникационного модуля GSM и UMTS
(в ред.
Изменения N 1, утв. Приказом Росстандарта от 22.04.2014 N 394-ст)
8.4.1. Антенна для коммутационного модуля GSM/UMTS, установленная на транспортное средство, должна обеспечивать устойчивую связь по сетям подвижной радиотелефонной связи стандартов GSM 900, GSM 1800, UMTS 900 и UMTS 2000 в любом положении транспортного средства.
Примечание. Антенна GSM/UMTS может быть внешней и (или) внутренней по отношению к АС.
(п. 8.4.1 в ред.
Изменения N 1, утв. Приказом Росстандарта от 22.04.2014 N 394-ст)
8.4.2. По крайней мере одна антенна (встроенная или внешняя), предназначенная для обеспечения обмена данными между АС и оператором системы, должна сохранять работоспособность после наступления события аварии в соответствии с требованиями, определенными в
13.3.2 и
13.3.3.
8.4.3. Для АС в конфигурации дополнительного оборудования требования по установке внешних антенн GSM и UMTS определяет производитель АС.
8.4.4. Для АС в конфигурации штатного оборудования требования по установке внешних антенн GSM и UMTS определяет производитель ТС.
8.5. Встроенная SIM микросхема
8.5.1. Карта SIM/eUICC должна быть изготовлена в форм-факторе MFF2 в соответствии с
[17] и удовлетворять требованиям ГОСТ 18725.
8.5.2. Карта SIM/eUICC должна поддерживать работу в сетях подвижной радиотелефонной связи стандартов GSM-900/GSM-1800/UMTS.
8.5.3. Гарантированный срок службы карты SIM/eUICC должен быть не менее 10 лет (с возможностью доступа к сохраненным данным на карте в течение вышеуказанного срока).
8.5.4. Карта SIM/eUICC должна сохранять работоспособность в интервале температур окружающей среды от минус 40 °C до плюс 105 °C.
8.5.5. Число циклов записи и чтения на отказ должно быть не менее 500000 на логический сектор.
8.5.6. Карта SIM/eUICC не должна содержать в своем составе программных и аппаратных средств (счетчиков, алгоритмов, сценариев), искусственно ограничивающих срок службы карты SIM/eUICC.
8.5.7. Общий объем памяти на карте SIM/eUICC должен быть не менее 64 КБ.
8.5.8. Карта SIM/eUICC должна быть рассчитана на напряжение питания постоянным током в диапазоне напряжений от 1,62 до 3,3 В в соответствии с требованиями
[17].
8.5.9. Карта SIM/eUICC должна быть с инициированным профилем оператора системы, необходимым для начала работы с системой "ЭРА-ГЛОНАСС", а также иметь достаточный объем свободного пространства на внутренней перезаписываемой памяти карты для обеспечения записи одного или более дополнительных профилей операторов подвижной радиотелефонной связи.
8.5.10. Карта SIM/eUICC должна обеспечивать возможность поддержки следующих функций удаленного обновления программного обеспечения:
- ОТА загрузка данных профиля;
- ОТА инициализация и активация профиля;
- ОТА управление (переключение) профилей операторов.
8.5.11. Время, необходимое для переключения с профиля оператора системы на профиль оператора подвижной радиотелефонной связи и в обратном порядке, не должно превышать 3 с.
Примечание. Данное требование учитывает время переключения для SIM/eUICC карты АС.
8.5.12. На карте SIM/eUICC должен быть деактивирован запрос ввода PIN-кода.
8.5.13. Карта SIM/eUICC должна поддерживать следующие алгоритмы:
- аутентификации (COMP128 VI, V2 и V3; GSM-Milenage, Milenage; XOR; AES);
- криптографические (CRC-32; DES, 3DES; MD5; SHA-1).
8.5.14. Карта SIM/eUICC в профиле оператора системы не должна содержать критериев приоритизации сетей операторов подвижной радиотелефонной связи, позволяющих в одностороннем порядке переключать пользователя в сети подвижной радиотелефонной связи.
(подраздел 8.5 в ред.
Изменения N 1, утв. Приказом Росстандарта от 22.04.2014 N 394-ст)
8.6. Тональный модем
8.6.1. Тональный модем должен обеспечивать передачу МНД в рамках установленного голосового соединения между АС и оператором системы.
8.6.2. Тональный модем должен соответствовать требованиям, приведенным в
[2].
8.7. Датчик автоматической идентификации события ДТП (только транспортные средства категорий M1 и N1)
(в ред.
Изменения N 1, утв. Приказом Росстандарта от 22.04.2014 N 394-ст)
8.7.1. Для АС, устанавливаемых в конфигурации дополнительного оборудования, если датчик автоматической идентификации события ДТП не установлен внутри блока АС, крепление его к элементам транспортного средства должно обеспечивать измерение датчиком ускорений до 24G.
Датчик должен оставаться в закрепленном состоянии и сохранять работоспособность при ускорении в точке его крепления до 75G продолжительностью от 1 до 5 мс.
8.7.2. Для АС, устанавливаемых в конфигурации дополнительного оборудования, если датчик автоматической идентификации события ДТП установлен внутри блока АС, то блок АС должен поставляться с механизмом (механизмами) крепления, обеспечивающими измерение датчиком ускорений до 24G.
8.7.2.1. Блок АС должен оставаться в закрепленном состоянии и сохранять работоспособность при ускорении в точке крепления блока до 75G продолжительностью от 1 до 5 мс.
(в ред.
Изменения N 1, утв. Приказом Росстандарта от 22.04.2014 N 394-ст)
8.7.2.2. Исключен с 1 сентября 2014 года. -
Изменение N 1, утв. Приказом Росстандарта от 22.04.2014 N 394-ст.
8.7.3. Для АС, устанавливаемых в конфигурации дополнительного оборудования, если после установки АС требуется автоматическая или ручная настройка (калибровка) датчика автоматической идентификации события ДТП, то процедура проведения данной настройки (калибровки) должна быть включена в перечень работ по установке и настройке АС.
8.7.4. Для АС, устанавливаемых в конфигурации дополнительного оборудования, если существуют ограничения по ориентации АС или датчика автоматической идентификации события ДТП в транспортном средстве, то данные ограничения должны быть отражены в документации на АС и указаны в руководстве по установке АС.
8.7.5. Для АС, устанавливаемых в конфигурации дополнительного оборудования, процедура проверки корректной установки датчика автоматической идентификации события ДТП и работоспособности АС должна быть разработана поставщиком АС и указана в руководстве по ее установке. При необходимости поставщик АС должен предоставить механизм (механизмы), использующиеся для проверки корректной установки датчика автоматической идентификации события ДТП.
8.7.6. При включенном зажигании АС должна производить постоянное тестирование корректности функционирования датчика автоматической идентификации события ДТП в процессе эксплуатации и сообщать о неисправности датчика, если неисправность обнаружена.
8.7.6.1. Для систем, устанавливаемых в конфигурации штатного оборудования, требования к тестированию датчика автоматической идентификации события ДТП определяются производителем ТС.
8.7.6.2. Для систем, устанавливаемых в конфигурации дополнительного оборудования, требования к тестированию датчика автоматической идентификации события ДТП определяются производителем АС.
8.8. Блок интерфейса пользователя
8.8.1. Кнопки управления АС
8.8.1.1. Блок интерфейса пользователя должен иметь кнопку "Экстренный вызов".
8.8.1.2. В АС, устанавливаемой в конфигурации дополнительного оборудования, БИП должен иметь кнопку "Дополнительные функции".
Примечание. Могут использоваться кнопки, изображенные на сенсорном экране, установленном в транспортном средстве, если работоспособность данных кнопок сохраняется при условиях, определенных в
13.3.
8.8.1.3. В АС, устанавливаемой в конфигурации штатного оборудования, органы управления устройствами, реализованные в транспортном средстве, должны предоставлять возможность запуска режима тестирования.
8.8.1.4. Если АС находится в режиме "ЭРА", то при нажатии на кнопку "Экстренный вызов" должен производиться экстренный вызов с признаком ручной активации, как определено в
7.5.3.29.
8.8.1.5. Если АС, устанавливаемая в конфигурации дополнительного оборудования, находится в режиме "ЭРА", то при нажатии на кнопку "Дополнительные функции" должен осуществляться запуск режима тестирования, как определено в
7.6.
8.8.1.6. Если АС, устанавливаемая в конфигурации штатного оборудования, находится в режиме "ЭРА" и посредством использования интерфейса пользователя, реализованного в ТС, выбрана команда на запуск режима тестирования, то указанный режим должен запускаться в соответствии с
7.6.
8.8.1.7. Если АС, устанавливаемая в конфигурации дополнительного оборудования, находится в режиме "Экстренный вызов" (автоматическая активация), то нажатие на кнопку "Дополнительные функции" должно игнорироваться.
8.8.1.8. Если АС, устанавливаемая в конфигурации штатного оборудования, находится в режиме "ЭРА", произведена ручная активация экстренного вызова, но соединение с оператором системы еще не осуществлено, то интерфейс пользователя, реализованный в ТС, должен предоставлять возможность прекращения экстренного вызова.
8.8.1.9. Если АС находится в режимах "Выключена" или "Автосервис", то нажатие на кнопку "Экстренный вызов" должно игнорироваться.
8.8.1.10. Если АС находится в режимах "Выключена" или "Автосервис", то реакция АС на нажатие кнопки "Дополнительные функции" определяется:
- производителем АС (для АС, устанавливаемой в конфигурации дополнительного оборудования);
- производителем транспортного средства (для АС, устанавливаемой в конфигурации штатного оборудования).
8.8.1.11. Если АС находится в режиме "Тестирование", то нажатие на кнопку "Экстренный вызов" должно приводить к тестовому звонку на выделенный номер, как определено в
7.6.4 и
7.6.13.
(в ред.
Изменения N 1, утв. Приказом Росстандарта от 22.04.2014 N 394-ст)
8.8.1.12. Если АС, устанавливаемая в конфигурации дополнительного оборудования, находится в режиме "Тестирование", то реакция АС на нажатие кнопки "Дополнительные функции" определяется производителем АС.
8.8.1.13. Если АС, устанавливаемая в конфигурации дополнительного оборудования, находится в пассивном режиме, то нажатие на кнопку "Экстренный вызов" должно игнорироваться.
8.8.1.14. Кнопка "Экстренный вызов" должна иметь защиту от непреднамеренного нажатия.
Для АС, устанавливаемых в конфигурации дополнительного оборудования, конструктивный механизм защиты от непреднамеренного нажатия для кнопки "Экстренный вызов" и интерфейс взаимодействия между АС и БИП определяются производителем АС.
Для АС, устанавливаемых в конфигурации штатного оборудования, конструктивный механизм защиты от непреднамеренного нажатия для кнопки "Экстренный вызов" и интерфейс взаимодействия между АС и БИП определяются производителем ТС.
(п. 8.8.1.14 в ред.
Изменения N 1, утв. Приказом Росстандарта от 22.04.2014 N 394-ст)
8.8.1.15. Кнопка "Экстренный вызов" должна оставаться в закрепленном состоянии и сохранять работоспособность при проведении испытаний, проводимых на соответствие требованиям, установленным в
13.3.2.
8.8.1.16. Кнопка "Экстренный вызов" должна устанавливаться в месте, которое находится в зоне прямой видимости с места водителя и сидящего впереди пассажира - мужчин 50-перцентильного уровня репрезентативности (если конструкция транспортного средства предусматривает нахождение сидящего впереди пассажира рядом с местом водителя) и обеспечивает возможность досягаемости ими кнопки вызова без отсоединения ремней безопасности.
(п. 8.8.1.16 в ред.
Изменения N 1, утв. Приказом Росстандарта от 22.04.2014 N 394-ст)
8.8.1.17. Исключен с 1 сентября 2014 года. -
Изменение N 1, утв. Приказом Росстандарта от 22.04.2014 N 394-ст.
8.8.1.18. Если кнопка "Экстренный вызов" реализована как кнопка на сенсорном экране, то доступ к данной кнопке должен производиться посредством не более чем одного перехода между экранами при условии выполнения требований, установленных в
8.11.3.
(п. 8.8.1.18 в ред.
Изменения N 1, утв. Приказом Росстандарта от 22.04.2014 N 394-ст)
8.8.1.19. Кнопка вызова экстренных оперативных служб должна быть обеспечена подсветкой.
(п. 8.8.1.19 введен
Изменением N 1, утв. Приказом Росстандарта от 22.04.2014 N 394-ст)
8.8.2. Блок интерфейса пользователя должен иметь индикатор (индикаторы) для визуального отображения состояния АС.
Примечание. Допускается использование штатных автомобильных систем отображения информации для отображения индикации состояния АС, если гарантируется работоспособность данных систем при наличии механических воздействий, перечисленных в
13.3.
8.9. Оптические индикаторы состояния автомобильной системы/устройства вызова экстренных оперативных служб
(в ред.
Изменения N 1, утв. Приказом Росстандарта от 22.04.2014 N 394-ст)
8.9.1. Оптический индикатор состояния АС должен оставаться в закрепленном состоянии и сохранять работоспособность при испытаниях, проводимых на соответствие требованиям, установленным в
13.3.2.
(в ред.
Изменения N 1, утв. Приказом Росстандарта от 22.04.2014 N 394-ст)
8.9.2. Автомобильная система вызова экстренных оперативных служб должна обеспечивать отображение собственного технического состояния и режима работы при помощи оптического индикатора состояния красного цвета постоянного (немигающего) свечения, видимого, в том числе, в светлое время суток, размещенного в области прямой видимости с места водителя и сидящего впереди пассажира, а также удовлетворяющего критериям, установленным пунктом
8.8.1.16. При включении зажигания указанный индикатор должен включаться кратковременно (от 3 до 10 с), а при возникновении (наличии) неисправности в АС индикатор должен оставаться включенным в течение всего времени наличия неисправности.
Примечание. Допускается отсутствие оптического индикатора, удовлетворяющего указанным выше требованиям, в случае обеспечения возможности подтверждения исправности АС при каждом включении зажигания посредством использования другого оптического индикатора, а также выведения на комбинацию приборов текстового сообщения о неисправности устройства, которое сохраняется в течение всего времени наличия неисправности при включенном зажигании.
(п. 8.9.2 в ред.
Изменения N 1, утв. Приказом Росстандарта от 22.04.2014 N 394-ст)
8.9.3. При помощи оптического индикатора (индикаторов) состояния должны отображаться следующие состояния АС:
- неисправность;
- экстренный вызов невозможен (данное состояние отображается только при попытке осуществить экстренный вызов);
- установление соединения в режиме "Экстренный вызов";
- передача МНД в режиме "Экстренный вызов";
- голосовое соединение в режиме "Экстренный вызов";
- режим тестирования;
- режим "Автосервис" (только для систем, устанавливаемых в конфигурации дополнительного оборудования).
(п. 8.9.3 в ред.
Изменения N 1, утв. Приказом Росстандарта от 22.04.2014 N 394-ст)
8.9.4. Для АС, устанавливаемых в конфигурации штатного оборудования, реализация оптического индикатора (индикаторов) состояний и интерфейс между оптическим индикатором (индикаторами) состояний и АС определяются производителем ТС.
(в ред.
Изменения N 1, утв. Приказом Росстандарта от 22.04.2014 N 394-ст)
8.9.5. Для АС, устанавливаемых в конфигурации дополнительного оборудования, реализация оптического индикатора (индикаторов) состояний и интерфейс между оптическим индикатором (индикаторами) состояний и системой определяется производителем АС.
(в ред.
Изменения N 1, утв. Приказом Росстандарта от 22.04.2014 N 394-ст)
8.10. Внутренняя энергонезависимая и оперативная память
8.10.1. Автомобильная система вызова экстренных оперативных служб должна иметь внутреннюю энергозависимую память для хранения сообщений, содержащих МНД.
(п. 8.10.1 в ред.
Изменения N 1, утв. Приказом Росстандарта от 22.04.2014 N 394-ст)
8.10.2. Внутренняя память должна предусматривать возможность хранения не менее 100 сообщений, содержащих МНД.
(п. 8.10.2 в ред.
Изменения N 1, утв. Приказом Росстандарта от 22.04.2014 N 394-ст)
8.10.3 - 8.10.3, таблица 5. Исключены с 1 сентября 2014 года. -
Изменение N 1, утв. Приказом Росстандарта от 22.04.2014 N 394-ст.
8.10.9. Перед инициацией экстренного вызова и отправкой МНД посредством использования тонального модема АС должна сохранить сообщение с соответствующим МНД во внутреннюю энергонезависимую память АС.
(п. 8.10.9 в ред.
Изменения N 1, утв. Приказом Росстандарта от 22.04.2014 N 394-ст)
8.10.10 - 8.10.15. Исключены с 1 сентября 2014 года. -
Изменение N 1, утв. Приказом Росстандарта от 22.04.2014 N 394-ст.
8.10.16. Сообщение должно удаляться из внутренней памяти АС после получения подтверждения успешного приема сообщения со стороны оператора (в случае отправки с использованием тонального модема) либо успешной отправки SMS-сообщения, содержащего МНД.
(п. 8.10.16 в ред.
Изменения N 1, утв. Приказом Росстандарта от 22.04.2014 N 394-ст)
8.10.17. Исключен с 1 сентября 2014 года. -
Изменение N 1, утв. Приказом Росстандарта от 22.04.2014 N 394-ст.
8.10.18. Если сообщение не может быть передано оператору системы, то пересылка данного сообщения должна быть приостановлена на промежуток времени INT_MEM_TRANSMIT_INTERVAL.
(п. 8.10.18 в ред.
Изменения N 1, утв. Приказом Росстандарта от 22.04.2014 N 394-ст)
8.10.19. Если пересылка сообщения была приостановлена в соответствии с требованиями, изложенными в 8.10.18, и истек промежуток времени INT_MEM_TRANSMIT_INTERVAL, то должна быть осуществлена следующая попытка посылки данного сообщения посредством использования механизма SMS.
(п. 8.10.19 в ред.
Изменения N 1, утв. Приказом Росстандарта от 22.04.2014 N 394-ст)
8.10.20. Если число попыток посылки сообщения превысило значение, заданное в параметре настройки INT_MEM_TRANSMIT_ATTEMPTS, то попытки посылки сообщения должны быть прекращены.
(в ред.
Изменения N 1, утв. Приказом Росстандарта от 22.04.2014 N 394-ст)
8.10.21. Содержимое внутренней памяти должно сохраняться при выключении АС.
8.10.22. В АС должна быть реализована возможность считывания и очистки содержимого внутренней энергонезависимой памяти посредством использования диагностического интерфейса. Интерфейс обмена данными для считывания и очистки содержимого внутренней энергонезависимой памяти АС посредством использования диагностического интерфейса определяется:
(в ред.
Изменения N 1, утв. Приказом Росстандарта от 22.04.2014 N 394-ст)
- производителем АС - для систем, исполненных в конфигурации дополнительного оборудования;
- производителем ТС - для систем, исполненных в конфигурации штатного оборудования.
8.11. Резервная батарея и источник питания
8.11.1. В АС, установленной в конфигурации дополнительного оборудования, должна использоваться резервная батарея как источник питания при отсутствии внешнего (бортового) питания.
8.11.2. Если использование штатной аккумуляторной батареи ТС не гарантирует работоспособность АС при проведении испытаний на соответствие требованиям, указанным в
13.3, то АС, исполненная в конфигурации штатного оборудования, должна использовать резервную батарею как источник питания при отсутствии внешнего питания.
Примечание. При установке АС в конфигурации штатного оборудования при потере питания от штатной аккумуляторной батареи переход на питание от резервной батареи допускается производить не во всех случаях, а только в случае определения момента аварии.
8.11.3. Для АС, установленных в конфигурации дополнительного оборудования, а также для предусматривающих использование резервной батареи штатных систем, после определения события ДТП резервная батарея должна обеспечивать регистрацию АС в сети, передачу сообщений, предусмотренных режимом "Экстренный вызов", 1 ч работы АС в режиме ожидания обратного вызова, а также 10 мин работы в режиме голосовой связи при громкости звука, определенной в
7.5.3.9.
Проверка на соответствие вышеизложенным требованиям должна выполняться после зарядки резервной батареи в течение 24 ч. Заряд резервной батареи и тест, проверяющий продолжительность работы системы при использовании резервной батареи, должны производиться при постоянной температуре окружающей среды 20 °C. При проведении данного теста требований по подаче питания на внешние датчики (например, на внешний датчик автоматической идентификации события ДТП) не предъявляется.
Резервная батарея должна обеспечивать функционирование АС как источник питания при отсутствии внешнего питания при температуре от минус 20 °C до плюс 85 °C. Срок службы резервной батареи в предусмотренных условиях эксплуатации ТС должен составлять не менее 3 лет и должен быть определен в руководстве пользователя АС.
(п. 8.11.3 в ред.
Изменения N 1, утв. Приказом Росстандарта от 22.04.2014 N 394-ст)
8.11.4. При условии наличия внешнего питания, если достигнут минимально возможный уровень заряда резервной батареи, АС должна сообщить пользователю при помощи оптического индикатора состояний АС или проигрывания звукового тона/голосовой подсказки о том, что достигнут минимально возможный уровень заряда резервной батареи.
(п. 8.11.4 в ред.
Изменения N 1, утв. Приказом Росстандарта от 22.04.2014 N 394-ст)
8.11.5. Встроенный источник питания АС должен обеспечить включение АС при разряженной резервной батарее при появлении внешнего питания.
8.11.6. Для АС, установленных в конфигурации дополнительного оборудования, использующих аккумуляторную резервную батарею, заряд этой батареи должен производиться в любом из режимов работы АС при включенном зажигании.
8.11.7. Для АС, установленных в конфигурации штатного оборудования, использующих аккумуляторную резервную батарею, правила ее заряда определяются производителем ТС.
8.11.8. Если используется аккумуляторная резервная батарея, то условия ее заряда должны устанавливаться производителем АС или производителем ТС таким образом, чтобы избежать преждевременной разрядки штатного аккумулятора.
(п. 8.11.8 в ред.
Изменения N 1, утв. Приказом Росстандарта от 22.04.2014 N 394-ст)
8.11.9. Срок службы резервной батареи и рекомендованные действия по замене батареи должны быть представлены в документации на АС.
Примечание. Предполагается, что авторизованный сервисный центр должен производить замену батареи с истекшим сроком службы для штатных автомобильных систем.
8.11.10. Если используется резервная батарея без возможности подзарядки, то процедура замены батареи с истекшим сроком службы на новую батарею должна быть представлена в документации на АС. Также должно быть обеспечено визуальное или звуковое предупреждение о необходимости замены батареи.
Примечание. Допускается использовать общую индикацию неисправности АС в случае необходимости замены батареи.
(примечание введено
Изменением N 1, утв. Приказом Росстандарта от 22.04.2014 N 394-ст)
9. Требования к интерфейсам и форматам передачи данных
9.1. Общие требования по передаче данных
9.1.1. Передача МНД в режиме "Экстренный вызов" между АС и оператором системы "ЭРА-ГЛОНАСС" должна осуществляться в голосовом канале посредством тонального модема. В случае сбоя при передаче МНД в голосовом канале АС должна обеспечить поддержку резервного канала передачи данных при помощи механизма SMS.
(п. 9.1.1 в ред.
Изменения N 1, утв. Приказом Росстандарта от 22.04.2014 N 394-ст)
9.1.2. При передаче данных в режиме "Экстренного вызова" АС должна устанавливать значения бит 6 и бит 7 в элементе "Категории сервиса" (инициализирующее сообщение экстренного вызова - автоматическое либо ручное срабатывание) в соответствии с рисунком 4 и значением битов, представленных в
таблице 6.
Номер бита | 8 | 7 | 6 | 5 | 4 | 3 | 2 | 1 |
Байт 1 | | Идентификатор информационного элемента |
Байт 2 | Длина элемента "Категории сервиса" |
Байт 3 | 0 | Значение элемента "Категории сервиса" |
| резерв |
Рисунок 4. Элемент "Категории сервиса"
Таблица 6
Значения битов в элементе "Категория сервиса"
Номер бита | Интерпретация |
1 | Полиция |
2 | Медицинская служба помощи |
3 | Пожарная служба |
4 | Морская служба помощи |
5 | Горная служба помощи |
6 | Ручной вызов |
7 | Автоматический вызов |
8 | Резервный (по умолчанию 0) |
Остальные биты в элементе "Категории сервиса" должны быть установлены в "0".
9.1.3. Минимальный набор данных, передаваемый посредством тонального модема, должен иметь структуру, описанную в
Приложении В.
9.1.4. При передаче МНД посредством тонального модема АС должна соответствовать требованиям, установленным в
[2].
9.1.5. Требования к составу и формату данных и команд, передаваемых между АС и оператором системы, представлены в таблице 7.
Таблица 7
Требования к составу и формату данных и команд
Данные и команды | Передающая сторона | Принимающая сторона | Механизм передачи данных | Примечание |
МНД с данными о ДТП | АС | Оператор системы | Тональный модем | Основной механизм передачи данных об аварии в системе "ЭРА-ГЛОНАСС". |
Команда на передачу МНД с данными о ДТП посредством использования тонального модема | Оператор системы | АС | Тональный модем |
Команда на передачу МНД с данными о ДТП посредством использования SMS | Оператор системы | АС | SMS | Резервный механизм передачи данных в системе "ЭРА- ГЛОНАСС". Передача МНД при помощи SMS осуществляется автоматически со стороны АС при неудачной попытке передать МНД посредством использования тонального модема и по запросу от оператора системы <4> |
МНД с данными о ДТП | АС | Оператор системы | SMS |
Профиль ускорения при ДТП <1>, оценка тяжести ДТП <2>, траектория движения ТС при ДТП | АС | Оператор системы | Пакетная передача данных | Формат и правила передачи данных/команд - в соответствии с ГОСТ Р 54619 |
Параметры конфигурации АС <5> | Оператор системы | АС | Пакетная передача данных, SMS |
Обновленные версии программного обеспечения <3> | Оператор системы | АС | Пакетная передача данных |
Команда на осуществление повторного экстренного вызова | Оператор системы | АС | SMS |
(в ред. Изменения N 1, утв. Приказом Росстандарта от 22.04.2014 N 394-ст) |
МНД с результатами тестирования АС | АС | Оператор системы | Тональный модем | |
Команда на осуществление дерегистрации в сети | Оператор системы | АС | SMS | Формат и правила передачи данных/команд - в соответствии с ГОСТ Р 54619 |
(позиция введена Изменением N 1, утв. Приказом Росстандарта от 22.04.2014 N 394-ст) |
<1> Передача профиля ускорения при ДТП является обязательной для систем, устанавливаемых в конфигурации дополнительного оборудования, если система не предоставляет информацию об оценке тяжести ДТП. Передача профиля ускорения при ДТП не является обязательной для штатных автомобильных систем. <2> Передача информации об оценке тяжести ДТП для штатных автомобильных систем производится только при наличии технической возможности. <3> Реализация режима обновления программного обеспечения не является обязательной для штатных автомобильных систем. Режим обновления программного обеспечения может быть поддержан по согласованию производителя транспортного средства с оператором системы. <4> Признаком сбоя при передаче данных в голосовом канале посредством использования тонального модема является отсутствие на стороне АС подтверждения о корректном приеме данных в течение 20 с после начала передачи данных. <5> Функция удаленного управления конфигурацией АС не является обязательной для штатных автомобильных систем. Функция удаленного управления конфигурацией может быть поддержана по согласованию производителя транспортного средства с оператором системы. |
(сноска введена Изменением N 1, утв. Приказом Росстандарта от 22.04.2014 N 394-ст) |
9.1.6. В случае ошибки при передаче данных в голосовом канале посредством использования тонального модема АС должна обеспечить голосовую связь с экстренными оперативными службами и отправку данных посредством использования механизма SMS параллельно с осуществлением голосовой связи.
9.1.7. Отправка SMS в случае, определенном в
9.1.5, должна производиться однократно. Критерием успешности отправки SMS является отсутствие на стороне АС информации об ошибке (ошибках), возникших при отправке SMS.
9.1.8. При наличии на стороне АС информации об ошибке (ошибках) при отправке SMS в случае, определенном в
9.1.5, сообщение, содержащее МНД, должно быть сохранено во внутренней памяти АС в соответствии с
8.10.
9.2. Состав сообщений между автомобильной системой/устройством вызова экстренных оперативных служб и оператором системы
(в ред.
Изменения N 1, утв. Приказом Росстандарта от 22.04.2014 N 394-ст)
9.2.1. Обмен сообщениями между АС и оператором системы осуществляется по следующим направлениям:
- от АС к оператору системы - для передачи телематических сообщений (например, информации о профиле ускорения при ДТП, если в АС поддерживается указанная функция);
- от оператора системы к АС:
1) для передачи команд управления (например, запроса на осуществление повторного "Экстренного вызова");
2) для передачи конфигурационных параметров АС;
3) для передачи данных, предназначенных для обновления программного обеспечения, если в АС поддерживается функция обновления программного обеспечения посредством использования пакетного соединения.
Протокол передачи сообщений между АС и оператором системы должен соответствовать
ГОСТ Р 54619.
9.2.2. Исключен с 1 сентября 2014 года. -
Изменение N 1, утв. Приказом Росстандарта от 22.04.2014 N 394-ст.
9.2.2.1 - 9.2.2.7. Исключены с 1 сентября 2014 года. -
Изменение N 1, утв. Приказом Росстандарта от 22.04.2014 N 394-ст.
9.2.3. Для систем, исполненных в конфигурации дополнительного оборудования, должна обеспечиваться возможность изменения настроек по инициативе оператора системы посредством использования механизмов SMS или пакетной передачи данных в течение промежутков времени, когда система остается зарегистрированной в сети после осуществления экстренного вызова и после передачи результатов тестирования.
Для систем, исполненных в конфигурации штатного оборудования, требования к удаленному управлению конфигурацией определяются производителем ТС.
(п. 9.2.3 в ред.
Изменения N 1, утв. Приказом Росстандарта от 22.04.2014 N 394-ст)
9.3. Режимы регистрации автомобильной системы/устройства вызова экстренных оперативных служб в сети оператора системы
9.3.1. Если АС поддерживает только предоставление базовой услуги по ГОСТ Р 54721, то регистрация АС в сети оператора системы в режимах "ЭРА" и "пассивный" (см.
раздел 7) должна соответствовать режиму "только экстренный вызов" ("eCall only mobile station"), как установлено в [
20 (подраздел 10.7)]:
- при включенном зажигании;
- при выключенном зажигании в течение промежутка времени IGNITION_OFF_FOLLOW_UP_TIME2 после выключения зажигания (для АС, устанавливаемой в конфигурации дополнительного оборудования).
9.3.2. Если АС поддерживает предоставление базовой услуги по ГОСТ Р 54721 и дополнительных услуг, то поведение АС в части регистрации в сети определяется:
- производителем АС (для АС, устанавливаемой в конфигурации дополнительного оборудования);
- производителем ТС (для АС, устанавливаемой в конфигурации штатного оборудования).
9.3.3. Если АС поддерживает предоставление базовой услуги по ГОСТ Р 54721 и дополнительных услуг, и в каких-либо условиях требования предоставления дополнительных услуг не предписывают осуществлять регистрацию в сети, то режим регистрации АС в сети оператора системы в этих условиях должен соответствовать требованиям 9.3.1.
9.3.4. Независимо от состояния регистрации в сети, предшествовавшего режиму "Экстренный вызов" (см. раздел 7), при переходе в режим "Экстренный вызов" АС должна немедленно осуществить регистрацию в сети оператора системы.
9.3.5. По окончании "Экстренного вызова" АС должна оставаться зарегистрированной в сети оператора системы до истечения времени, определяемого параметром установки NAD_DEREGISTRATION_TIME, либо до получения команды на прекращение регистрации.
(подраздел 9.3 в ред.
Изменения N 1, утв. Приказом Росстандарта от 22.04.2014 N 394-ст)
10. Требования к качеству громкоговорящей связи в кабине
транспортного средства
Росстандарта от 22.04.2014 N 394-ст)
10.1. Громкоговорящая связь после установки и настройки АС в салоне (кабине) ТС должна соответствовать минимальному типу производительности для дуплексной связи, указанному в таблице 8, и удовлетворять минимальным требованиям, приведенным в
Приложении И.
Таблица 8
Минимальная производительность для дуплексной связи
Тип АС | Используемые динамики и микрофон | Уровень громкости приема | Минимальный тип производительности АС для дуплексной связи |
АС в конфигурации штатного оборудования | Определяет производитель ТС | Номинальный уровень громкости приема, RLR = RLRnom | 2a |
Максимальный уровень громкости приема, RLR = RLRmin | 2b |
АС в конфигурации дополнительного оборудования | Встроенные (передние) динамики ТС, микрофон определяет производитель АС | Номинальный уровень громкости приема, RLR = RLRnorn | 2a |
Максимальный уровень громкости приема, RLR = RLRmin | 2b |
Дополнительно устанавливаемые динамик и микрофон определяет производитель АС | Номинальный уровень громкости приема, RLR = RLRnom | 2a |
Максимальный уровень громкости приема, RLR = RLRmin | 2b |
Примечания 1. Номинальный уровень показателя громкости приема RLR nom определяется производителем АС или ТС согласно 7.5.3.10 и должен находиться в пределах от (минус 6 +/- 4) дБ до (2 +/- 4) дБ. Рекомендуемое значение RLR nom составляет (минус 6 +/- 4) дБ. 2. Минимальный уровень показателя громкости приема RLR min определяется производителем АС или ТС согласно И.4 (Приложение И) и должен находиться в пределах от (минус 18 +/- 4) дБ до (минус 10 +/- 4) дБ. Рекомендуемое значение RLR min составляет (минус 13 +/- 4) дБ. 3. Для АС, исполненных в конфигурации штатного оборудования, устанавливаемых в ТС, проходящие одобрение типа до 1 января 2017 г., допускается использование минимального типа производительности для дуплексной связи 2b при номинальном уровне громкости на прием. |
Рекомендации по выбору электроакустических элементов транспортного средства, обеспечивающих требуемое качество звука, приведены в
Приложении К.
10.3. Необходимость использования в АС алгоритмов автоматического регулирования уровня громкости на прием (передачу) определяется производителем АС (для автомобильных систем, исполненных в конфигурации дополнительного оборудования) или производителем ТС (для АС, исполненных в конфигурации штатного оборудования).
Если в АС реализуются алгоритмы АРУ на прием (передачу), то для обеспечения требуемого качества громкоговорящей связи указанные алгоритмы должны удовлетворять минимально необходимым требованиям, установленным в
Приложении Л.
11. Требования к электропитанию и энергопотреблению
11.1. Питание АС должно осуществляться от бортовой системы питания транспортного средства с номинальным напряжением 12 В или 24 В, или должна быть реализована одновременная поддержка 12 В и 24 В в соответствии с
ГОСТ Р 52230.
АС должна сохранять работоспособность при изменении рабочего напряжения питания (среднего значения) от минус 10% до плюс 25% номинального значения.
11.2. АС должна сохранять работоспособность после воздействия номинального напряжения питания обратной полярности в течение 5 мин.
11.3. АС должна обеспечивать защиту внешних электрических цепей от короткого замыкания на полюсы источника напряжения питания.
11.4. Потребление тока (пиковое значение) для АС, исполненной в конфигурации дополнительного оборудования, при напряжении питания 12 В (24 В) в зависимости от режима работы АС не должно превышать следующих значений:
11.4.1. Режим "Экстренный вызов" при использовании GSM сети - не более 1500 мА при 12 В (1200 мА при 24 В) при использовании внешнего динамика 8 Ом, 5 ватт (без учета тока заряда резервной батареи).
Примечание. Характеристики внешнего динамика (8 Ом, 5 ватт) представлены для справки в целях определения условий, при которых должно быть гарантировано заявленное потребление тока. Характеристики динамика, используемого в изделии, могут отличаться от заявленных.
11.4.2. В режиме "ЭРА" при выключенном зажигании после завершения экстренного вызова в ожидании ответного звонка со стороны оператора системы (датчик автоматической идентификации события ДТП включен - только транспортные средства категорий M1 и N1, ГНСС приемник выключен, GSM и UMTS модуль включен, АС зарегистрирована в сети, но передача данных и голоса не производится) потребление тока должно быть не более 10 мА.
(в ред.
Изменения N 1, утв. Приказом Росстандарта от 22.04.2014 N 394-ст)
11.4.3. В режиме "ЭРА" в течение конфигурируемого промежутка времени, определяемого параметром настройки IGNITION_OFF_FOLLOW_UP_TIME1, после выключения зажигания (датчик автоматической идентификации события ДТП включен - только транспортные средства категорий M1 и N1, ГНСС приемник выключен, GSM и UMTS модуль выключен) потребление тока должно быть не более 1 мА.
(в ред.
Изменения N 1, утв. Приказом Росстандарта от 22.04.2014 N 394-ст)
11.4.4. В режиме "ЭРА" по прошествии конфигурируемого промежутка времени, определяемого параметром настройки IGNITION_OFF_FOLLOW_UP_TIME1, после выключения зажигания (датчик автоматической идентификации события ДТП выключен - только транспортные средства категорий M1 и N1, ГНСС приемник выключен, GSM и UMTS модуль выключен) потребление тока должно быть не более 100 мкА.
(в ред.
Изменения N 1, утв. Приказом Росстандарта от 22.04.2014 N 394-ст)
11.5. Требования по энергопотреблению для АС, исполненной в конфигурации штатного оборудования, определяется производителем ТС.
12. Схема подключения автомобильной системы/устройства вызова
экстренных оперативных служб к аудиосистеме
транспортного средства
Росстандарта от 22.04.2014 N 394-ст)
12.1. Схема подключения АС, исполненной в конфигурации дополнительного оборудования, к аудиосистеме транспортного средства определяется производителем АС и при необходимости согласовывается с производителем транспортного средства.
Рекомендуемая схема (пример) подключения АС к аудиосистеме транспортного средства приведена в
Приложении Г.
12.2. Схема подключения АС, исполненной в конфигурации штатного оборудования, к аудиосистеме транспортного средства определяется производителем транспортного средства.
13. Требования по стойкости к воздействию условий
эксплуатации
13.1. Общие требования по стойкости к воздействию условий эксплуатации
13.1.1. Автомобильная система/устройство должна/должно соответствовать требованиям по стойкости к воздействию условий эксплуатации, изложенным в
13.2 -
13.4, а также требованиям, изложенным в [
19 (Приложение 10, пункт 118)].
(п. 13.1.1 в ред.
Изменения N 1, утв. Приказом Росстандарта от 22.04.2014 N 394-ст)
13.1.2, 13.1.3. Исключены с 1 сентября 2014 года. -
Изменение N 1, утв. Приказом Росстандарта от 22.04.2014 N 394-ст.
13.2. Требования по стойкости к климатическим воздействиям
13.2.1. АС должна обеспечивать номинальные значения параметров при нормальных значениях климатических факторов внешней среды по
ГОСТ Р 52230 (подраздел 4.2):
- температура окружающего воздуха (25 +/- 10) °C;
- относительная влажность от 45% до 80%;
- атмосферное давление от 84,0 до 106,7 кПа (от 630 до 800 мм рт. ст.).
13.2.2. АС должна соответствовать условиям эксплуатации для климатического исполнения У или ХЛ по ГОСТ Р 52230
(подраздел 4.7),
ГОСТ 15150 при минимальной рабочей температуре минус 40 °C.
13.2.3. Степень защиты АС от проникновения посторонних тел и воды должна соответствовать IP52 по
ГОСТ 14254.
Только для транспортных средств категорий M1 и N1: если АС, устанавливаемая в конфигурации дополнительного оборудования, использует внешний датчик ДТП, то степень защиты внешнего датчика ДТП от проникновения посторонних тел и воды должна соответствовать IP67 по
ГОСТ 14254.
(в ред.
Изменения N 1, утв. Приказом Росстандарта от 22.04.2014 N 394-ст)
В соответствии с
ГОСТ Р 52230 и ГОСТ 16019 (подраздел 4.1) АС относится к группе В4.
13.2.5. В соответствии с требованиями ГОСТ Р 52230
(подраздел 4.12) АС должна быть устойчивой и прочной при эксплуатации в следующем температурном диапазоне окружающей среды:
- минимальная рабочая температура - минус 40 °C;
- максимальная рабочая температура - плюс 85 °C.
Если в АС используется резервная батарея, то требования рабочего температурного диапазона также распространяются на батарею. Если используется заряжаемая аккумуляторная батарея, то питание от батареи и зарядка батареи могут не производиться при "очень низкой" и "очень высокой" температурах. Значение параметров "очень низкая температура" и "очень высокая температура" определяет производитель ТС или производитель АС.
13.2.6. В соответствии с требованиями ГОСТ Р 52230
(подраздел 4.14) АС должна функционировать при снижении атмосферного давления до 61 кПа (457,5 мм рт. ст.), что соответствует давлению на высоте 4000 м над уровнем моря.
АС, предназначенная для применения на грузовых транспортных средствах для работы на высоте до 4650 м над уровнем моря, должна функционировать при снижении атмосферного давления до 57 кПа (427,5 мм рт. ст.).
13.2.7. АС должна выдерживать воздействие влажной тепловой среды в соответствии с ГОСТ Р 52230
(подраздел 4.13) в течение 4 сут при температуре (40 +/- 2) °C и относительной влажности (95 +/- 3)%.
13.2.8. Лакокрасочные покрытия АС по внешнему виду должны соответствовать требованиям конструкторских документов, а наружные детали должны быть стойкими к воздействию топливно-смазочных материалов.
13.2.9. Окружающая среда при эксплуатации АС должна быть невзрывоопасной, не содержащей токопроводящей пыли, агрессивных газов и паров в концентрациях, разрушающих электронные изделия и электроизоляцию.
| | ИС МЕГАНОРМ: примечание. В официальном тексте документа, видимо, допущена опечатка: в ГОСТ Р 52230-2004 подраздел 8.4 отсутствует. | |
13.2.10. АС в упаковочной таре должна быть прочной при перевозке ее транспортом всех видов, кроме самолетов с негерметичными отсеками, на любое расстояние согласно требованиям ГОСТ Р 52230 (
подразделы 4.2, 8.4).
13.2.11. Требования и параметры испытаний АС по
ГОСТ Р 52230 и ГОСТ 16019 к воздействию климатических факторов приведены в таблице 11.
Таблица 11
Воздействующие климатические факторы
Воздействующий фактор | Параметры испытаний | Воздействующий фактор |
Значение | Допустимые отклонения |
Устойчивость при пониженной температуре для исполнения по степени жесткости 2 (IP52) | Рабочая температура, °C | Минус 40 | +/- 3 |
Время выдержки при температуре, ч | 3 | - |
Прочность при пониженной температуре для исполнения по степени жесткости 2 (IP52) | Предельная температура, °C | Минус 40 | +/- 3 |
Время выдержки при температуре, ч | 3 | - |
Устойчивость при повышенной температуре для исполнения по степени жесткости 2 (IP52) | Рабочая температура, °C | Плюс 85 | +/- 3 |
Время выдержки при температуре, ч | 3 | - |
Прочность при повышенной температуре для исполнения по степени жесткости 2 (IP52) | Рабочая температура, °C | Плюс 85 | +/- 3 |
Время выдержки при температуре, ч | 3 | - |
Прочность при изменении температуры для исполнения по степени жесткости 2 (IP52) | Диапазон температур, °C | От минус 40 до плюс 85 | +/- 3 |
Время выдержки в камере при каждом значении температуры, ч | 3 | - |
Число циклов | 3 | - |
Прочность при пониженной температуре для исполнения по степени жесткости 2 (IP52) | Предельная температура, °C | Минус 40 | +/- 3 |
Время выдержки при температуре, ч | 3 | - |
Прочность и устойчивость к влажности при повышенной температуре в постоянном режиме для исполнения по степени жесткости 2 (IP52) | Относительная влажность, % | 95 | +/- 3 |
Температура, °C | Плюс 40 | +/- 3 |
Длительность воздействия, ч | 144 | - |
| | ИС МЕГАНОРМ: примечание. ГОСТ Р 54618-2011 утратил силу с 1 января 2020 года в связи с введением в действие ГОСТ 33466-2015 (Приказ Росстандарта от 15.12.2016 N 2036-ст). | |
13.2.12. Испытания АС на соответствие требованиям
13.2.1 -
13.2.11 осуществляются в соответствии с ГОСТ Р 54618.
(п. 13.2.12 введен
Изменением N 1, утв. Приказом Росстандарта от 22.04.2014 N 394-ст)
13.3. Требования по стойкости к механическим воздействиям
13.3.1. В соответствии с требованиями ГОСТ Р 52230
(подраздел 4.20) и ГОСТ 16019 автомобильная система/устройство должна/должно быть работоспособной/работоспособным и не иметь повреждений и поломок после действия вибрационных и ударных нагрузок, указанных в таблице 12.
(в ред.
Изменения N 1, утв. Приказом Росстандарта от 22.04.2014 N 394-ст)
Таблица 12
Вибрационные и ударные нагрузки
Оцениваемое свойство АС | Параметры испытаний | Воздействующий фактор |
Значение | Допустимые отклонения |
Устойчивость при воздействии синусоидальной вибрации | Диапазон частот, Гц | 10 - 70 | +/- 1 |
Амплитуда ускорения, м/с2 (g) | 39,2 (4) | +/- 2 (0,2) |
Длительность воздействия в каждом из трех направлений, мин | 30 | - |
Прочность при воздействии синусоидальной вибрации | Диапазон частот, Гц | 50 | +/- 1 |
Амплитуда ускорения, м/с2 (g) | 49 (5) | +/- 2 (0,2) |
Длительность воздействия в каждом из трех направлений | По 2 ч 40 мин | - |
Устойчивость при воздействии механических ударов многократного действия | Пиковое ударное ускорение, м/с2 (g) | 98 (10) | +/- 20% |
Длительность удара, мс | 10 | - |
Число ударов в каждом из трех направлений | 333 | - |
Прочность при воздействии механических ударов многократного действия | Пиковое ударное ускорение, м/с2 (g) | 98 (10) | +/- 20% |
Длительность удара, мс | 10 | - |
Число ударов в каждом из трех направлений | 3333 | - |
Прочность к механическим ударам при транспортировании | Пиковое ударное ускорение, м/с2 (g) | 250 (25) | +/- 20% |
Длительность удара, мс | 6 | - |
Число ударов в каждом из трех направлений | 4000 | - |
Устойчивость к одиночному механическому удару <*> | Одиночный удар, g | 75 | - |
Длительность удара, мс | 1 - 5 | - |
(в ред. Изменения N 1, утв. Приказом Росстандарта от 22.04.2014 N 394-ст) |
<*> Испытания проводят для автомобильных систем вызова экстренных оперативных служб, исполненных в конфигурации дополнительного оборудования. |
(сноска введена Изменением N 1, утв. Приказом Росстандарта от 22.04.2014 N 394-ст) |
13.3.2. В соответствии с требованиями, установленными в
[19], автомобильная система вызова экстренных оперативных служб должна обеспечивать:
а) передачу МНД автоматически при срабатывании подушки (подушек) безопасности или по сигналу датчика (датчиков) других компонентов системы пассивной безопасности либо других систем транспортного средства, определяющего (определяющих) уровень замедления транспортного средства при проведении испытаний, предусмотренных Правилами ЕЭК ООН
[6] и
[7] (для транспортных средств, на которые распространяются действия указанных Правил. Для транспортных средств категории N1 вместо испытаний по Правилам ЕЭК ООН
[6] проводятся испытания по Правилам ЕЭК ООН
[21]);
б) сохранение работоспособности, включая двустороннюю голосовую связь с экстренными оперативными службами, после проведения испытаний, указанных в 13.3.2, перечисление а).
(п. 13.3.2 в ред.
Изменения N 1, утв. Приказом Росстандарта от 22.04.2014 N 394-ст)
13.3.2а. Автомобильное устройство вызова экстренных оперативных служб должно оставаться в закрепленном состоянии и сохранять работоспособность при нагрузках, возникающих при проведении динамических испытаний в соответствии с Правилами ЕЭК ООН
[18] и характеризуемых параметрами в соответствии с [
18 (добавление к Приложению 9)].
(п. 13.3.2а введен
Изменением N 1, утв. Приказом Росстандарта от 22.04.2014 N 394-ст)
13.3.3. Производитель транспортного средства (для штатных АС) и производитель АС (для АС, устанавливаемых в конфигурации дополнительного оборудования) должны предпринять все меры для обеспечения работоспособности звукового канала АС после ДТП. Объем данных работ определяется производителем транспортного средства и производителем АС соответственно. В случае повреждения элементов АС, ответственных за обеспечение работоспособности звукового канала (например, динамика и микрофона), АС должна обеспечивать корректное исполнение всех остальных функций, за исключением обеспечения двусторонней голосовой связи между салоном ТС и оператором системы.
(в ред.
Изменения N 1, утв. Приказом Росстандарта от 22.04.2014 N 394-ст)
| | ИС МЕГАНОРМ: примечание. ГОСТ Р 54618-2011 утратил силу с 1 января 2020 года в связи с введением в действие ГОСТ 33466-2015 (Приказ Росстандарта от 15.12.2016 N 2036-ст). | |
13.3.4. Испытания автомобильной системы/устройства вызова экстренных оперативных служб на соответствие требованиям, установленным в
таблице 12, осуществляются в соответствии с ГОСТ Р 54618 (раздел 7).
(п. 13.3.4 введен
Изменением N 1, утв. Приказом Росстандарта от 22.04.2014 N 394-ст)
13.3.5. Испытания автомобильной системы/устройства вызова экстренных оперативных служб на соответствие требованиям, установленным в
13.3.2, осуществляются в соответствии с ГОСТ Р 55532 (подраздел 6.6).
(п. 13.3.5 введен
Изменением N 1, утв. Приказом Росстандарта от 22.04.2014 N 394-ст)
13.3.6. Испытания автомобильного устройства вызова экстренных оперативных служб на соответствие требованиям, установленным в
13.3.2а, осуществляются в соответствии с ГОСТ Р 54618 (пункт 7.2.8).
(п. 13.3.6 введен
Изменением N 1, утв. Приказом Росстандарта от 22.04.2014 N 394-ст)
13.4. Требования по электромагнитной совместимости
13.4.1. АС должна быть устойчива к воздействию кондуктивных помех по цепям питания в соответствии с ГОСТ 28751. При этом степень жесткости испытательных импульсов и функциональное состояние АС должны соответствовать приведенным в таблице 13.
Таблица 13
Степень жесткости испытательных импульсов и функциональное
состояние системы
Испытательный импульс | Степень жесткости | Функциональное состояние АС |
1 | IV | А |
2 |
3a |
3b |
4 |
5 |
6 |
7 |
Примечание. Указанные требования распространяются на АС, исполненные в конфигурации дополнительного оборудования, а также на штатные АС, установленные на ТС, в электрических системах которых используются электромеханические регуляторы. |
13.4.2. Степень эмиссии и уровни напряжений помех всех видов, создаваемых АС по ГОСТ 28751 для бортовых сетей питания с напряжением 12 (24) В, не должны превышать следующих значений:
- степень эмиссии: I;
- пиковое значение напряжения для помех вида 1 - минус 15 (35) В;
- пиковое значение напряжения для помех вида 2 - 15 (15) В;
- пиковое значение напряжения для помех вида 3 - от минус 15 (25) В до 15 (25) В.
(в ред.
Изменения N 1, утв. Приказом Росстандарта от 22.04.2014 N 394-ст)
13.4.3. АС должна быть устойчива к воздействию кондуктивных помех в контрольных и сигнальных бортовых цепях в соответствии с ГОСТ 29157. Требуемые степень жесткости испытательных импульсов и функциональное состояние АС приведены в таблице 14.
Таблица 14
Степень жесткости испытательных импульсов и функциональное
состояние системы
Испытательный импульс | Степень жесткости | Функциональное состояние АС |
1 | IV | А |
2 |
3a |
3b |
| | ИС МЕГАНОРМ: примечание. Взамен ГОСТ Р 50607-93 Приказом Росстандарта от 29.11.2012 N 1396-ст с 1 января 2013 года введен в действие ГОСТ Р 50607-2012. | |
13.4.4. АС должна быть устойчива к воздействию помех от электростатического разряда (контактного и воздушного) в соответствии с ГОСТ Р 50607 (подраздел 4.1) со следующими характеристиками:
- контактный разряд с испытательными напряжениями +/- 4; +/- 6; +/- 7; +/- 8 кВ;
- воздушный разряд с испытательными напряжениями +/- 4; +/- 8; +/- 14; +/- 15 кВ.
13.4.5. Напряжение радиопомех на разъемах питания АС не должно превышать значений контрольных пределов, установленных ГОСТ 28279 (раздел 2) и ГОСТ 30429 (раздел 2) для группы устройств 1.1.1.
13.4.6. Контрольные пределы узкополосных и широкополосных электромагнитных помех, производимых АС в диапазоне частот от 30 до 1000 МГц, не должны превышать пределов, установленных в [
9, (подразделы 6.5 и 6.6)].
13.4.7. АС должна быть устойчива к воздействию электромагнитного излучения в диапазоне частот от 20 до 2000 МГц с напряженностью поля в зависимости от метода испытаний, установленного в [
9, (подраздел 6.7)].
| | ИС МЕГАНОРМ: примечание. ГОСТ Р 54618-2011 утратил силу с 1 января 2020 года в связи с введением в действие ГОСТ 33466-2015 (Приказ Росстандарта от 15.12.2016 N 2036-ст). | |
13.4.8. Испытания автомобильной системы/устройства вызова экстренных оперативных служб на соответствие требованиям
13.4.1 - 13.4.7 осуществляются в соответствии с ГОСТ Р 54618 (раздел 5).
(п. 13.4.8 введен
Изменением N 1, утв. Приказом Росстандарта от 22.04.2014 N 394-ст)
14. Требования по частотной избирательности
приемных устройств
Раздел 14 исключен с 1 сентября 2014 года. -
Изменение N 1, утв. Приказом Росстандарта от 22.04.2014 N 394-ст.
15. Требования по надежности
15.1. АС должна соответствовать требованиям
ГОСТ Р 50905 по надежности.
15.2. Надежность АС должна характеризоваться следующими показателями:
- базовые элементы АС должны обеспечивать возможность круглосуточного режима работы;
- время наработки на отказ АС должно быть не менее 10000 ч;
- гарантийный срок эксплуатации АС должен быть не менее 3 лет;
- срок службы АС должен быть не менее 7 лет, кроме резервной батареи;
- гарантийный срок хранения должен быть не менее 1 года при условии, что хранение осуществляется в отапливаемых помещениях в штатной упаковке в отсутствие агрессивных веществ и паров.
16. Конструктивные требования
16.1. Конструкция и габаритно-установочные размеры АС, включая внешние компоненты, должны быть согласованы с предприятиями - изготовителями автотранспортных средств.
16.2. На корпусе АС должны быть нанесены:
- название и/или условное (торговое) наименование электронного блока;
- заводской номер по системе нумерации предприятия-изготовителя;
- год изготовления;
- знак обращения на рынке.
Примечание. Информация о маркировке соединителей должна быть приведена в документации для АС, указанной в
21.2.
(п. 16.2 в ред.
Изменения N 1, утв. Приказом Росстандарта от 22.04.2014 N 394-ст)
17. Требования по эргономике и технической эстетике
Требования по эргономике и технической эстетике определяются:
- производителем ТС - для АС, исполненной в конфигурации штатного оборудования;
- производителем АС - для АС, исполненной в конфигурации дополнительного оборудования.
18. Требования по безопасности и экологической чистоте
18.1. АС и входящие в ее состав компоненты должны быть безопасными при хранении, транспортировании и эксплуатации и отвечать санитарно-гигиеническим нормам.
18.2. При эксплуатации АС должна быть обеспечена безопасность водителя от поражения электрическим током защитой класса III в соответствии с
ГОСТ 12.2.007.0.
18.3. При изготовлении АС не допускается применение легковоспламеняющихся, выделяющих вредные вещества при горении материалов в соответствии с требованиями противопожарной безопасности в соответствии с
ГОСТ 12.1.044.
19.1. Маркировка АС должна соответствовать требованиям, указанным в
разделе 16, быть четко видимой и соответствовать требованиям сборочного чертежа АС в части состава, места и способа нанесения.
19.2. Маркировка АС должна быть устойчивой в течение всего срока службы, механически прочной и не должна стираться.
Упаковка должна соответствовать требованиям конструкторской документации на АС.
21. Требования к комплекту поставки и документации
21.1. Комплект поставки
21.1.1. Комплект поставки для АС в конфигурации дополнительного оборудования должен включать в себя следующие компоненты:
- АС и механизм (механизмы) крепления АС;
- блок интерфейса пользователя АС и механизм (механизмы) крепления БИП;
- кабель соединения АС и БИП;
- датчик автоматической идентификации события ДТП с кабелем подключения и механизм (механизмы) крепления датчика ускорения (если датчик ускорения не установлен внутри корпуса АС) - только для транспортных средств категорий M1 и N1.
(в ред.
Изменения N 1, утв. Приказом Росстандарта от 22.04.2014 N 394-ст)
Примечание. Если для определения события ДТП не используется штатная система транспортного средства, такая как блок управления подушками безопасности;
- микрофон (набор микрофонов) с кабелем подключения и механизм (механизмы) крепления микрофона (набора микрофонов);
- кабель (кабели) соединения АС и электронной системы ТС (адаптер к конкретному ТС);
- резервная батарея;
- динамик громкой связи, механизм (механизмы) крепления динамика громкой связи и кабель соединения динамика громкой связи (опциально).
21.1.2. Допускается любая комбинация составляющих компонент АС в одном корпусе (например, основной блок и дополнительный динамик, объединенные в один корпус).
21.1.3. Комплект поставки АС для конфигурации штатного оборудования определяется производителем ТС.
21.2.1. Документация для АС в конфигурации дополнительного оборудования должна включать в себя следующие документы:
- руководство по установке;
- руководство по настройке и тестированию;
- руководство пользователя АС;
- краткую брошюру по использованию АС;
- паспорт АС.
21.2.2. Состав документации для АС в конфигурации штатного оборудования определяется производителем ТС.
Росстандарта от 22.04.2014 N 394-ст)
22.1. Кнопка "Экстренный вызов" и оптический индикатор состояния автомобильной системы/устройства вызова экстренных оперативных служб должны содержать изображение пиктограммы "Экстренный вызов". Изображение пиктограммы "Экстренный вызов", выполненное в соответствии с
[13], представлено на рисунке 5. Оптический индикатор состояния АС может конструктивно совмещаться с кнопкой "Экстренный вызов".
Рисунок 5. Изображение пиктограммы "Экстренный вызов"
22.2. Кнопка "Дополнительные функции" должна содержать изображение пиктограммы "Дополнительные функции", которое представлено на рисунке 6.
Рисунок 6. Изображение пиктограммы "Дополнительные функции"
22.3. Для АС, устанавливаемых в конфигурации дополнительного оборудования, главный блок АС, руководство пользователя АС и краткая брошюра по использованию АС должны содержать изображение пиктограммы "ЭРА-ГЛОНАСС", которое представлено на рисунке 7.
Рисунок 7. Изображение пиктограммы "ЭРА-ГЛОНАСС"
(обязательное)
ПАРАМЕТРЫ НАСТРОЙКИ АВТОМОБИЛЬНОЙ СИСТЕМЫ/УСТРОЙСТВА ВЫЗОВА
ЭКСТРЕННЫХ ОПЕРАТИВНЫХ СЛУЖБ
Росстандарта от 22.04.2014 N 394-ст)
Параметры настройки АС, которые должны поддерживаться при ее применении по назначению, приведены в таблице А.1.
Таблица А.1
Имя параметра | Единица измерения | Тип параметра/интервал параметра <2> | Начальное значение параметра | Описание параметра | Применимость требования <1> | Возможность изменения настроек АС <4> |
Радио mute |
RADIO_MUTE_DELAY | Миллисекунды | INT | 0 | Задержка между установкой сигнала "радио mute" и началом проигрывания звука | ДО | Да |
RADIO_UNMUTE_DELAY | Миллисекунды | INT | 0 | Задержка между снятием сигнала "радио mute" и окончанием проигрывания звука | ДО | Да |
Установки общего назначения |
Позиция исключена с 1 сентября 2014 года. - Изменение N 1, утв. Приказом Росстандарта от 22.04.2014 N 394-ст. |
Позиция исключена с 1 сентября 2014 года. - Изменение N 1, утв. Приказом Росстандарта от 22.04.2014 N 394-ст. |
CALL_ AUTO_ANSWER_ TIME | Минуты | INT | 20 | Промежуток времени после завершения экстренного вызова, в течение которого АС автоматически отвечает на входящие звонки | ДО, ШО | Да |
Позиция исключена с 1 сентября 2014 года. - Изменение N 1, утв. Приказом Росстандарта от 22.04.2014 N 394-ст. |
POST_TEST_REGISTRATION_TIME | Секунды | INT | 120 | Промежуток времени, в течение которого АС остается зарегистрированной в сети после передачи результатов тестирования оператору системы | ДО, ШО | Да |
(в ред. Изменения N 1, утв. Приказом Росстандарта от 22.04.2014 N 394-ст) |
TEST_MODE_END_DISTANCE | Метры | INT | 300 | Дистанция, на которой режим тестирования выключается автоматически | ДО, ШО | Да |
GARAGE_MODE_END_DISTANCE | Метры | INT | 300 | Дистанция, на которой режим "автосервис" выключается автоматически | ДО | Да |
ECALL_TEST_NUMBER | - | STRING | 112 | Телефонный номер для тестовых звонков eCall | ДО, ШО | Да |
GARAGE_MODE_PIN | - | ENUM {NONE, PIN_1 - PIN_8} | NONE | Линия, сигнализирующая, что система находится в режиме "Автосервис": - NONE - нет сигнализации режима; - PIN_X - PIN_X - линия активна, когда система в данном режиме | ДО | Да |
INT_MEM_TRANSMIT_INTERVAL | Минуты | INT | 60 | Промежуток времени между попытками передачи сообщения, содержащегося во внутренней памяти АС. Значение не может быть установлено в "0" | ДО, ШО | Да |
INT_MEM_TRANSMIT_ATTEMPTS | - | INT | 10 | Число повторных попыток передачи сообщения, содержащегося во внутренней памяти АС. Значение, установленное в "0", означает, что повторных попыток передачи сообщения не производится | ДО, ШО | Да |
Конфигурация и конфигурационные данные услуг |
Базовая услуга "ЭРА-ГЛОНАСС" (услуга eCall) |
Позиция исключена с 1 сентября 2014 года. - Изменение N 1, утв. Приказом Росстандарта от 22.04.2014 N 394-ст. |
CRASH_SIGNAL_INTERNAL | - | BOOLEAN | TRUE | Только транспортные средства категорий M1 и N1 - для определения события аварии используется встроенный измеритель ускорения | ДО | Да |
(в ред. Изменения N 1, утв. Приказом Росстандарта от 22.04.2014 N 394-ст) |
CRASH_SIGNAL_EXTERNAL | - | BOOLEAN | FALSE | Только транспортные средства категорий M1 и N1 - для определения факта ДТП используется внешний датчик в транспортном средстве | ДО | Да |
(в ред. Изменения N 1, утв. Приказом Росстандарта от 22.04.2014 N 394-ст) |
ASI15_TRESHOLD | - | REAL | 1.8 | Только транспортные средства категории M1 и N1 - порог срабатывания датчика автоматической идентификации события ДТП | ДО | Да |
(в ред. Изменения N 1, утв. Приказом Росстандарта от 22.04.2014 N 394-ст) |
ECALL_MODE_PIN | - | ENUM {NONE, PIN_1..PIN_8} | NONE | Линия, сигнализирующая, что система находится в режиме eCall: - NONE - нет сигнализации режима; - PIN_X - PIN_X - линия активная, когда система в данном режиме | ДО | Да |
SOS_BUTTON_TIME | Миллисекунды | INT | 200 | Время нажатия на кнопку "Экстренный вызов" для активации режима "Экстренный вызов" | ДО | Да |
CCFT | Минуты | INT | 60 | Длительность счетчика автоматического прекращения звонка (60 м) | ДО, ШО | Да |
Позиция исключена с 1 сентября 2014 года. - Изменение N 1, утв. Приказом Росстандарта от 22.04.2014 N 394-ст. |
Позиция исключена с 1 сентября 2014 года. - Изменение N 1, утв. Приказом Росстандарта от 22.04.2014 N 394-ст. |
Позиция исключена с 1 сентября 2014 года. - Изменение N 1, утв. Приказом Росстандарта от 22.04.2014 N 394-ст. |
MSD_MAX_TRANSMISSION_TIME | Секунды | INT | 20 | Максимальная длительность передачи MSD (20 с) | ДО, ШО | Да |
NAD_DEREGISTRATION_TIME | Часы | INT/больше/равно 720 | 2 | Время, после которого коммуникационный модуль GSM и UMTS прекращает регистрацию в сети | ДО, ШО | Да |
(в ред. Изменения N 1, утв. Приказом Росстандарта от 22.04.2014 N 394-ст) |
ECALL_DIAL_DIRATION | Минуты | INT | 5 | Общая продолжительность дозвона при инициации экстренного вызова | ДО, ШО | Да |
ECALL_AUTO_DIAL_ATTEMPTS | - | INT | 10 | Только транспортные средства категорий M1 и N1 - число попыток дозвона при автоматически инициированном экстренном вызове. Не может быть установлено в "0" | ДО, ШО | Да |
(в ред. Изменения N 1, утв. Приказом Росстандарта от 22.04.2014 N 394-ст) |
ECALL_MANUAL_DIAL_ATTEMPTS | - | INT | 10 | Число попыток дозвона при экстренном вызове, инициированном вручную. Значение не может устанавливаться в "0" | ДО, ШО | Да |
ECALL_MANUAL_CAN_CANCEL | - | BOOLEAN | TRUE | TRUE - экстренный вызов, инициированный вручную, может быть прекращен со стороны пользователя | ДО, ШО | Да |
ECALL_SMS_FALLBACK_NUMBER | - | STRING | 112 | Номер, по которому АС посылает SMS с МНД по запросу от оператора системы | ДО, ШО | Да |
ECALL_NO_AUTOMATIC_TRIGGERING | - | BOOLEAN | FALSE | Параметр используется для отмены функции автоматической инициации экстренного вызова | ДО, ШО | Да |
(позиция введена Изменением N 1, утв. Приказом Росстандарта от 22.04.2014 N 394-ст) |
Пакетная передача данных |
Раздел исключен с 1 сентября 2014 года. - Изменение N 1, утв. Приказом Росстандарта от 22.04.2014 N 394-ст. |
Режим тестирования |
TEST_REGISTRATION_PERIOD | Минуты | INT | 5 | Если АС была зарегистрирована в сети посредством нажатия на кнопку "Дополнительные функции", то последующая регистрация АС в сети при нажатии на кнопку "Дополнительные функции" возможна не ранее, чем через данный промежуток времени. Если значение установлено в "0", то ограничений на последующую регистрацию АС в сети не накладывается | ДО, ШО | Да |
Запись профиля ускорения при ДТП |
IGNITION_OFF_FOLLOW_UP_TIME1 | Минуты | INT | 120 | Промежуток времени, в течение которого осуществляется запись профиля ускорения при ДТП при выключенном зажигании | ДО | Да |
IGNITION_OFF_FOLLOW_UP_TIME2 | Минуты | INT | 240 | Промежуток времени, в течение которого осуществляется определение события аварии при выключенном зажигании | ДО | Да |
CRASH_RECORD_TIME | Миллисекунды | INT/0 - 250 | 250 | Время записи информации о профиле ускорения при ДТП | ДО | Да |
CRASH_RECORD_RESOLUTION | Миллисекунды | INT/1 - 5 | 1 | Дискретность записи профиля ускорения при ДТП | ДО | Да |
CRASH_PRE_RECORD_TIME | Миллисекунды | INT/0-20000 | 3500 | Время записи информации о профиле ускорения до того, как событие ДТП наступило | ДО | Да |
(в ред. Изменения N 1, утв. Приказом Росстандарта от 22.04.2014 N 394-ст) |
CRASH_PRE_RECORD_RESOLUTION | Миллисекунды | INT/5 - 100 | 5 | Продолжительность одного отсчета при записи профиля ускорения до того, как событие ДТП наступило | ДО | Да |
Прочие параметры |
GNSS_POWER_OFF_TIME | Миллисекунды | INT | 500 | Промежуток времени, через который отключается питание приемника ГНСС после выключения зажигания | ДО | Да |
(в ред. Изменения N 1, утв. Приказом Росстандарта от 22.04.2014 N 394-ст) |
GNSS_DATA_RATE | Герцы | INT/1, 2, 5, 10 | 1 | Темп выдачи данных приемником ГНСС | ДО, ШО | Нет |
GNSS_MIN_ELEVATION | Градусы | INT/5 - 15 | 5 | Минимальное значение угла возвышения (угла отсечки) навигационных космических аппаратов | ДО, ШО | Нет |
(в ред. Изменения N 1, утв. Приказом Росстандарта от 22.04.2014 N 394-ст) |
Параметры транспортного средства |
VIN | - | STRING | Определяется на этапе конфигурации АС | VIN определяется в соответствии с [1] | ДО, ШО | Нет |
VEHICLE_TYPE | - | INT | - | Категория транспортного средства Bit 4-0: 00001 - пассажирский (категория M1) 00010 - автобус (категория M2) 00011 - автобус (категория M3) 00100 - легкая грузовая машина (категория N1) 00101 - тяжелая грузовая машина категория N2) 00110 - тяжелая грузовая машина (категория N3) 00111 - мотоцикл (категория L1e) 01000 - мотоцикл (категория L2e) 01001 - мотоцикл (категория L3e) 01010 - мотоцикл (категория L4e) 01011 - мотоцикл (категория L5e) 01100 - мотоцикл (категория L6e) 01101 - мотоцикл (категория L7e) | ДО, ШО | Нет |
VEHICLE_PROPULSION_STORAGE_TYPE | - | INT | - | Тип энергоносителя Если все биты "0", то тип не задан Bit 7: не используется Bit 6: не используется Bit 5: 1 - водород Bit 4: 1 - электричество (более 42 В и 100 А·ч) Bit 3: 1 - жидкий пропан (LPG) Bit 2: 1 - сжиженный природный газ (CNG) Bit 1: 1 - дизель Bit 0: 1 - бензин | ДО, ШО | Нет |
Параметры устройства (АС) |
Раздел исключен с 1 сентября 2014 года. - Изменение N 1, утв. Приказом Росстандарта от 22.04.2014 N 394-ст. |
<1> Значение "ДО" в этой графе означает, что соответствующий параметр является обязательным только для АС, устанавливаемых на ТС в конфигурации дополнительного оборудования. Значение "ДО, ШО" в этой графе означает, что соответствующий параметр является обязательным как для систем, устанавливаемых в конфигурации дополнительного оборудования, так и для систем, устанавливаемых в конфигурации штатного оборудования. <2> Диапазоны (интервалы) изменения параметров в зависимости от типа параметра: - INT: 0 - 65535; - BOOLEAN: TRUE, FALSE; - STRING: 255 символов. <4> Значение "Да" в этой графе означает, что установленное начальное значение параметра АС может изменяться после начальной установки АС, а значение "Нет" - что установленные начальные значения не подлежат изменению в процессе применения АС. |
(рекомендуемое)
ОПИСАНИЕ МЕТОДА ОПРЕДЕЛЕНИЯ ТЯЖЕСТИ АВАРИИ ДЛЯ ТРАНСПОРТНЫХ
СРЕДСТВ КАТЕГОРИЙ M1 и N1
Росстандарта от 22.04.2014 N 394-ст)
Для определения тяжести аварии в случае использования АС, устанавливаемой в конфигурации дополнительного оборудования, рекомендуется использовать такую последовательность действий.
Б.1. Вести непрерывную запись ускорений (a
x, a
y, a
z) (см.
6.2.3) поступающих с трехосевого датчика ускорения в каждом из трех направлений (x, y, z), связанных с системой координат транспортного средства. Запись текущих значений ускорений (a
x, a
y, a
z) выполняется с частотой 100 Гц.
(в ред.
Изменения N 1, утв. Приказом Росстандарта от 22.04.2014 N 394-ст)
Б.2. Определить событие ДТП посредством использования данных, поступающих от трехосевого датчика ускорения, установленного в ТС.
Б.3. Определить максимальную амплитуду ускорений за период времени, характерный для событий, происходящих во время аварии (150 мс), используя ASI15 значения.
Б.4. Выполнить сравнение полученного значения ASI с предельным значением ASI15_TRESHOLD, приведенным в
Приложении А. Предельное значение ASI, равное значению ASI15_TRESHOLD, определяет срабатывание АС по определению момента аварии ДТП. Значения ASI, равные или превышающие ASI15_TRESHOLD, свидетельствуют о событии ДТП, потенциально приводящем к существенной вероятности угрозы жизни и здоровью людей, находящихся в кабине ТС. Значения ASI, меньшие ASI15_TRESHOLD, свидетельствуют о событии ДТП, потенциально не приводящем к существенной вероятности опасности жизни и здоровью людей, находящихся в кабине ТС.
Запись измерений датчика ускорения рекомендуется вести в два массива данных параллельно и хранить не менее 150 мс. Длительность каждой записи - 150 мс. Вторая запись должна быть смещена по времени относительно первой на 75 мс. Каждая из компонент ускорений должна быть обработана фильтром CFC60. Резервирование записи показаний датчика ускорения выполняется для точного определения пика ускорения и, соответственно, пиковых значений ASI15.
Методы определения события аварии и тяжести аварии в случае использования АС, устанавливаемой в конфигурации штатного оборудования, определяются производителем ТС.
(обязательное)
Росстандарта от 22.04.2014 N 394-ст)
В.1. Представление данных
В.1.1. Минимальный набор данных должен быть представлен в абстрактной синтаксической нотации один в соответствии с
ГОСТ Р ИСО/МЭК 8824-1 и ГОСТ Р ИСО/МЭК 8825-2 с использованием уплотненного кодирования без выравнивания.
В.1.2. Местоположение и типы отдельных элементов данных в общей структуре данных определяются в соответствии с
ГОСТ Р ИСО/МЭК 8824-1 и ГОСТ Р ИСО/МЭК 8825 с учетом информации, приведенной в
В.3.
В.1.3. Последовательность данных должна соответствовать требованиям, установленным в В.2.
В.2. Минимальный набор данных
В.2.1. Содержание минимального набора данных со стандартными данными, идентичными с eCall, приведено в таблице В.1.
Таблица В.1
Содержание минимального набора данных со стандартными
данными
Номер блока данных | Имя блока данных | Тип (диапазон) | Статус | Описание блока данных |
1 | ID | INTEGER (1...255) | M | Версия формата данных МНД. Последующие версии должны быть совместимы с предыдущими версиями. Системы, получающие МНД, должны поддерживать все стандартизованные версии МНД |
2 | Message Identifier | INTEGER (1...255) | M | Идентификатор сообщения начинается с "1" для каждой новой сессии экстренного вызова и должен инкрементироваться при каждой повторной посылке МНД |
3 | Control | - | M | Контрольные данные |
Automatic Activation | BOOLEAN | M | Вид активации: true - автоматический вызов; false - ручной вызов |
Test Call | BOOLEAN | M | Тип вызова: true - тестовый вызов; false - экстренный вызов |
Position Can Be Trusted | BOOLEAN | M | Достоверность определения местоположения (координат) ТС: true - местоположение (координаты) ТС определено с погрешностью не более +/- 150 м при доверительной вероятности 95%; false - в противном случае |
Vehicle Type | ENUM | M | Категория ТС (правила кодирования категории ТС определены в В.3): - пассажирский (категория M1); - автобус (категория M2); - автобус(категория M3); - легкий грузовик (категория N1); - грузовой автомобиль (категория N2); - грузовой автомобиль (категория N3); - мотоцикл (категория L1e); - мотоцикл (категория L2e); - мотоцикл (категория L3e); - мотоцикл (категория L4e); - мотоцикл (категория L5e); - мотоцикл (категория L6e); - мотоцикл (категория L7e) |
4 | VIN | STRING (17) | M | Идентификационный номер ТС в соответствии с [22] |
5 | Vehicle Propulsion Storage Type | - | M | Тип топлива (источника энергии) ТС. Для каждого типа топлива (источника энергии) применяется следующее кодирование: false - данный тип топлива (источник энергии) не представлен; true - данный тип топлива (источник энергии) представлен |
Gasoline Tank Present | BOOLEAN | M | Бензин |
Diesel Tank Present | BOOLEAN | M | Дизельное топливо |
Compressed Natural Gas | BOOLEAN | M | Сжатый газ |
Liquid Propane Gas | BOOLEAN | M | Сжиженный газ (пропан) |
Electric Energy Storage | BOOLEAN | M | Электрическая энергия (более чем 42 В и 100 А/ч) |
Hydrogen Storage | BOOLEAN | M | Водород |
6 | Time Stamp | INTEGER (0..232 - 1) | M | Временная отметка события ДТП - число в секундах, прошедшее с 01 января 1970 г. UTC. Если возникла ошибка при определении времени события ДТП, то данное значение необходимо установить в "0" |
7 | Vehicle Location | - | M | Местоположение ТС |
Position Latitude | INTEGER (-231...231 - 1) | M | Значение широты местоположения ТС, определенное навигационным приемником, в угловых миллисекундах (от -324000000 до 324000000). Наибольшее значение: 90°00'00,000'' = 90 x 60 x 60,000'' = 324000,000'' = 324000000 угловых миллисекунд = 0x134FD900. Наименьшее значение: -90°00'00,000'' = -90 x 60 x 60,000" = -324000,000'' = -324000000 угловых миллисекунд = 0xECB02700. Пример. 48°18'1,20''N = {(48 x 3600) + (18 x 60) + 1,20}'' = 173881,200'' = 173881200 = 0x0A5D3770. Если широта неизвестна или если возникла ошибка при определении широты, то необходимо данное значение установить равным последнему достоверно определенному значению широты. В случае если отсутствует последнее достоверно определенное значение широты, данное значение необходимо установить в 0x7FFFFFFF. В обоих случаях значение параметра Position Can Be Trusted необходимо установить в false. |
Position Longitude | INTEGER (-231...231 - 1) | M | Значение долготы местоположения ТС, определенное навигационным приемником, в угловых миллисекундах (от -648000000 до 648000000). Наибольшее значение: 180°00'00,000'' = 180 x 60 x 60,000'' = 648000,000'' = 648000000 угловых миллисекунд = 0x269FB200. Наименьшее значение: -180°00'00,000'' = -180 x 60 x 60,000" = -648000,000'' = -648000000 угловых миллисекунд = 0xD9604E00. Пример. 11°37'2,52''E = {(11 x 3600) + (37 x 60) + 2,52}'' = 41822,520'' = 41822520 = 0x027E2938. Если долгота неизвестна или если возникла ошибка при определении долготы, то необходимо данное значение установить равным последнему достоверно определенному значению долготы. В случае если отсутствует последнее достоверно определенное значение долготы, то данное значение необходимо установить в 0x7FFFFFFF. В обоих случаях значение параметра Position Can Be Trusted необходимо установить в false |
8 | Vehicle Direction | INTEGER (0...255) | M | Направление движения (курс) ТС, отсчитываемое от направления на магнитный полюс по ходу часовой стрелки с дискретностью 2° (от 0° до 358°). Если направление движения неизвестно или если возникла ошибка при определении направления движения, то данное значение необходимо установить в 0xFF |
9 | Recent Vehicle Location N1 | - | O | Местоположение ТС на момент времени n - 1 |
Latitude Delta | INTEGER (-512...511) | O | Отклонение по широте ("плюс" - для направления на север и "минус" - для направления на юг) по отношению к значению широты в блоке данных номер 7). Выражается в условных единицах, 1 единица = 0,1'', что соответствует ~ 3 м |
Longitude Delta | INTEGER (-512...511) | O | Отклонение по долготе ("плюс" - для направления на восток и "минус" - для направления на запад) по отношению к значению долготы в блоке данных номер 7). Выражается в условных единицах, 1 единица = 0,1'', что соответствует ~ 3 м |
10 | Recent Vehicle Location N2 | - | O | Местоположение ТС на момент времени n - 2 |
Latitude Delta | INTEGER (-512...511) | O | Отклонение по широте ("плюс" - для направления на север и "минус" - для направления на юг) по отношению к значению широты на момент времени n - 1 в блоке данных номер 9). Выражается в условных единицах, 1 единица = 0,1'', что соответствует ~ 3 м |
Longitude Delta | INTEGER (-512...511) | O | Отклонение по долготе ("плюс" - для направления на восток и "минус" - для направления на запад) по отношению к значению долготы на момент времени n - 1 в блоке данных номер 9). Выражается в условных единицах, 1 единица = 0,1'', что соответствует ~ 3 м |
11 | Number Of Passengers | INTEGER (0...255) | O | Число пассажиров. Данный параметр должен быть установлен в значение 0xFF или не представлен, если число пассажиров не может быть определено |
12 | Optional Additional Data | - | O | Опциональные дополнительные данные |
oid | RELATIVE-OID | O | Идентификатор объекта, который определяет формат и назначение данных, следующих за данным идентификатором. Уникальность идентификатора обеспечивается специальной международной организацией по стандартизации. Тип элемента определяется в соответствии с ГОСТ Р ИСО/МЭК 8824-1 и ГОСТ Р ИСО/МЭК 8825 |
data | OCTET STRING | O | Дополнительные данные, представленные в соответствии с форматом, определенным в идентификаторе объекта "oid" |
Примечание. В графе "Статус" используются следующие обозначения: - M (mandatory) - обязательный блок данных. Должен передаваться всегда; - O (optional) - необязательный блок данных. Может не передаваться, и его присутствие определяется другими параметрами, входящими в пакет. |
В.3. АСН.1 представление МНД со стандартными данными, идентичными eCall (уплотненное кодирование)
MSDASN1Module
DEFINITIONS
AUTOMATIC TAGS :: =
BEGIN
- - версия спецификации МНД
CurrentId :: = INTEGER (1)
- - ECallMessage является информационным элементом верхнего
- - уровня и поддерживает только один тип сообщения (msd)
- - Элементы:
- - id: формат данных МНД устанавливается в 1
- - msd: МНД, передающихся со стороны АС, исключая ID
ECallMessage :: = SEQUENCE {
id INTEGER (0..255),
msd MSDMessage
}
- - Сообщение, передающееся со стороны АС (исключая ID)
- - Элементы:
- - msdStructure: Главная структура МНД
- - optionalAdditionalData: Дополнительные данные
- - Расширяемо в следующих версиях на этом уровне
MSDMessage :: = SEQUENCE {
msdStructure MSDStructure,
optionalAdditionalData AdditionalData OPTIONAL,
...
}
- - Главная структура МНД, за исключением дополнительных данных
- - Элементы:
- - messageIdentifier: Идентификатор сообщения
- - control: см. ControlType
- - vehicleIdentificationNumber: см. VIN
- - vehiclePropulsionStorageType: см.
- - VehiclePropulsionStorageType
- - timestamp: метка времени
- - vehicleLocation: см. VehicleLocation
- - vehicleDirection: Направление движения
- - recentVehicleLocationN1: отклонение от текущего положения
- - см. VehicleLocationDelta
- - recentVehicleLocationN2: отклонение от
- - recentVehicleLocationN1 см. VehicleLocationDelta
- - numberOfPassengers: минимально известное число
- - пристегнутых ремней безопасности
MSDStructure :: = SEQUENCE {
messageIdentifier INTEGER (0..255),
control ControlType,
vehicleIdentificationNumber VIN,
vehiclePropulsionStorageType VehiclePropulsionStorageType,
timestamp INTEGER (0..4294967295),
vehicleLocation VehicleLocation,
vehicleDirection INTEGER (0..255),
recentVehicleLocationN1 VehicleLocationDelta OPTIONAL,
recentVehicleLocationN2 VehicleLocationDelta OPTIONAL,
numberOfPassengers INTEGER (0..255) OPTIONAL,
...
}
- - ControlType состоит из следующих элементов:
- - automaticActivation: true, false
- - testCall: true, false
- - positionCanBeTrusted: true, false
- - vehicleType: см. VehicleType
ControlType :: = SEQUENCE {
automaticActivation BOOLEAN,
testCall BOOLEAN,
positionCanBeTrusted BOOLEAN,
vehicleType VehicleType
}
- - Определение типа транспортного средства
VehicleType :: = ENUMERATED {
passengerVehicleClassM1 (1),
busesAndCoachesClassM2 (2),
busesAndCoachesClassM3 (3),
lightCommercialVehiclesClassN1 (4),
heavyDutyVehiclesClassN2 (5),
heavyDutyVehiclesClassN3 (6),
motorcyclesClassL1e (7),
motorcyclesClassL2e (8),
motorcyclesClassL3e (9),
motorcyclesClassL4e (10),
motorcyclesClassL5e (11),
motorcyclesClassL6e (12),
motorcyclesClassL7e (13),
...
}
- - VIN
VIN :: = SEQUENCE {
isowmi PrintableString (SIZE (3))
(FROM ("A".."H"|"J".."N"|"P"|"R".."Z"|"0".."9")),
isovds PrintableString (SIZE (6))
(FROM ("A".."H"|"J".."N"|"P"|"R".."Z"|"0".."9")),
isovisModelyear PrintableString (SIZE (1))
(FROM ("A".."H"|"J".."N"|"P"|"R".."Z"|"0".."9")),
isovisSeqPlant PrintableString (SIZE (7))
(FROM ("A".."H"|"J".."N"|"P"|"R".."Z"|"0".."9"))
}
- - VehiclePropulsionStorageType:
- - Тип топлива (источника энергии) транспортного средства
VehiclePropulsionStorageType:: = SEQUENCE {
gasolineTankPresent BOOLEAN DEFAULT FALSE,
dieselTankPresent BOOLEAN DEFAULT FALSE,
compressedNaturalGas BOOLEAN DEFAULT FALSE,
liquidPropaneGas BOOLEAN DEFAULT FALSE,
electricEnergyStorage BOOLEAN DEFAULT FALSE,
hydrogenStorage BOOLEAN DEFAULT FALSE,
...
}
- - VehicleLocation:
- - Текущее местоположение транспортного средства
- - Элементы:
- - Широта - отведены 32 бита (4 октета)
- - Долгота - отведены 32 бита (4 октета)
VehicleLocation :: = SEQUENCE {
positionLatitude INTEGER (-2147483648..2147483647),
positionLongitude INTEGER (-2147483648..2147483647)
}
- - VehicleLocationDelta:
- - Местоположение транспортного средства перед определением
- - события ДТП
VehicleLocationDelta :: = SEQUENCE {
latitudeDelta INTEGER (-512..511),
longitudeDelta INTEGER (-512..511)
}
- - AdditionalData:
- - Дополнительные данные, закодированные как отдельное
- - определение
- - Элементы:
- - oid: идентификатор объекта, который определяет формат
- - и назначение данных
- - data: дополнительные данные в соответствии с форматом,
- - определенным oid
AdditionalData :: = SEQUENCE {
oid RELATIVE-OID,
data OCTET STRING
}
END
В.4. Содержание блока дополнительных данных МНД, введенных для системы "ЭРА-ГЛОНАСС" и не стандартизированных в eCall (оценка тяжести ДТП)
В.4.1. Дополнительные данные, введенные в состав МНД в системе "ЭРА-ГЛОНАСС", должны располагаться во втором элементе блока данных номер 12 - Optional additional data при значении первого элемента блока данных номер 12, равного "1.4.1".
В.4.2. Содержание дополнительных данных представлено в таблице В.2.
Таблица В.2
Содержание блока дополнительных данных МНД, введенных
для системы "ЭРА-ГЛОНАСС"
Номер блока данных | Имя блока данных | Тип (диапазон) | Статус | Описание блока данных |
12-1 | Crash Severity ASI15 | INTEGER (0...2047) | O | Оценка степени тяжести аварии на основе значения индекса ASI15, умноженного на 100. В случае невозможности определения и передачи индекса ASI15 на стороне АС, передается значение 0 для низкой степени тяжести аварии и значение 2047 для высокой степени тяжести аварии |
12-2 | Diagnostic Result | - | O | Результаты тестирования АС |
Mic Connection Failure | BOOLEAN | O | Некорректное подключение микрофона |
Mic Failure | BOOLEAN | O | Неработоспособность микрофона |
Right Speaker Failure | BOOLEAN | O | Неисправность правого динамика |
Left Speaker Failure | BOOLEAN | O | Неисправность левого динамика |
Speakers Failure | BOOLEAN | O | Неисправность динамиков |
Ignition Line Failure | BOOLEAN | O | Неисправность при определении состояния линии зажигания |
Uim Failure | BOOLEAN | O | Неисправность БИП |
Status Indicator Failure | BOOLEAN | O | Неисправность индикатора состояния |
Battery Failure | BOOLEAN | O | Неисправность резервной батареи |
Battery Voltage Low | BOOLEAN | O | Разряд резервной батареи ниже допустимого уровня |
Crash Sensor Failure | BOOLEAN | O | Неисправность датчика автоматической идентификации события ДТП |
Firmware Image Corruption | BOOLEAN | O | Нарушение целостности образа программного обеспечения |
Comm. Module Interface Failure | BOOLEAN | O | Неработоспособность интерфейса коммуникационного модуля GSM и UMTS |
Gnss Receiver Failure | BOOLEAN | O | Неработоспособность приемника ГНСС |
Raim Problem | BOOLEAN | O | Отсутствие целостности (достоверности) определяемых приемником ГНСС навигационно-временных параметров (функция RAIM) |
Gnss Antenna Failure | BOOLEAN | O | Неработоспособность (некорректное подключение) внешней антенны ГНСС |
Comm. Module Failure | BOOLEAN | O | Неработоспособность (некорректное подключение) внешней антенны GSM и UMTS |
Events Memory Overflow | BOOLEAN | O | Переполнение внутренней памяти событий |
Crash Profile Memory Overflow | BOOLEAN | O | Переполнение памяти для записи профилей ускорения |
Other Critical Failures | BOOLEAN | O | Другие критические ошибки |
Other Not Critical Failures | BOOLEAN | O | Другие некритические ошибки |
12-3 | Crash Info | - | O | Вид ДТП |
Crash Front | BOOLEAN | O | Удар спереди |
Crash Left | BOOLEAN | O | Удар слева |
Crash Right | BOOLEAN | O | Удар справа |
Crash Rear | BOOLEAN | O | Удар сзади |
Crash Rollover | BOOLEAN | O | Опрокидывание |
Crash Side | BOOLEAN | O | Удар сбоку |
Crash Front Or Side | BOOLEAN | O | Удар спереди или сбоку |
Crash Another Type | BOOLEAN | O | Другой тип происшествия |
Примечание. В графе "Статус" обозначение "O" (optional) означает необязательный блок данных. Может не передаваться, и его присутствие определяется другими параметрами, входящими в пакет. |
В.5. АСН.1 представление второго элемента блока дополнительных данных, введенных для системы "ЭРА-ГЛОНАСС" (уплотненное кодирование)
ERAOADASNIModule
DEFINITIONS
AUTOMATIC TAGS :: =
BEGIN
- - версия формата блока дополнительных данных "ЭРА-ГЛОНАСС"
- - Расширяет optionalAdditionalData.OID, выделенный CEN для
- - ЭРА-ГЛОНАСС. Последующие версии формата должны быть
- - обратно совместимыми с предыдущими.
ERADataFormatId :: = INTEGER (1)
- - Блок дополнительных данных "ЭРА-ГЛОНАСС"
- - crashSeverityASI15 - значение индекса ASI15,
- - умноженное на 100
- - diagnosticResult - см. DiagnosticResult
- - crashInfo - см. CrashInfo.
- - Расширяемый.
ERAAdditionalData :: = SEQUENCE {
crashSeverityASI15 INTEGER (0..2047) OPTIONAL,
diagnosticResult DiagnosticResult OPTIONAL,
crashInfo CrashInfo OPTIONAL,
...
}
- - Блок данных, характеризующих состояние АС
DiagnosticResult :: = SEQUENCE {
micConnectionFailure BOOLEAN OPTIONAL,
micFailure BOOLEAN OPTIONAL,
rightSpeakerFailure BOOLEAN OPTIONAL,
leftSpeakerFailure BOOLEAN OPTIONAL,
speakersFailure BOOLEAN OPTIONAL,
ignitionLineFailure BOOLEAN OPTIONAL,
uimFailure BOOLEAN OPTIONAL,
statusIndicatorFailure BOOLEAN OPTIONAL,
batteryFailure BOOLEAN OPTIONAL,
batteryVoltageLow BOOLEAN OPTIONAL,
crashSensorFailure BOOLEAN OPTIONAL,
firmwareImageCorruption BOOLEAN OPTIONAL,
commModuleInterfaceFailure BOOLEAN OPTIONAL,
gnssReceiverFailure BOOLEAN OPTIONAL,
raimProblem BOOLEAN OPTIONAL,
gnssAntennaFailure BOOLEAN OPTIONAL,
commModuleFailure BOOLEAN OPTIONAL,
eventsMemoryOverflow BOOLEAN OPTIONAL,
crashProfileMemoryOverflow BOOLEAN OPTIONAL,
otherCriticalFailures BOOLEAN OPTIONAL,
otherNotCriticalFailures BOOLEAN OPTIONAL
}
- - Блок данных, классифицирующий ДТП
CrashInfo :: = SEQUENCE {
crashFront BOOLEAN OPTIONAL,
crashLeft BOOLEAN OPTIONAL,
crashRight BOOLEAN OPTIONAL,
crashRear BOOLEAN OPTIONAL,
crashRollover BOOLEAN OPTIONAL,
crashSide BOOLEAN OPTIONAL,
crashFrontOrSide BOOLEAN OPTIONAL,
crashAnotherType BOOLEAN OPTIONAL
}
END.
(рекомендуемое)
СХЕМА ПОДКЛЮЧЕНИЯ АВТОМОБИЛЬНОЙ СИСТЕМЫ/УСТРОЙСТВА ВЫЗОВА
ЭКСТРЕННЫХ ОПЕРАТИВНЫХ СЛУЖБ, ИСПОЛНЕННОЙ В КОНФИГУРАЦИИ
ДОПОЛНИТЕЛЬНОГО ОБОРУДОВАНИЯ, К АУДИОСИСТЕМЕ
ТРАНСПОРТНОГО СРЕДСТВА
Росстандарта от 22.04.2014 N 394-ст)
Г.1. Рекомендуемая схема (пример) подключения АС, исполненной в конфигурации дополнительного оборудования, к аудиосистеме транспортного средства представлена на
рисунке Г.1
Рисунок Г.1. Пример подключения АС к аудиосистеме
транспортного средства
Г.2. Аудиовыход АС (2 передних динамика) подключается к бортовой аудиосистеме транспортного средства.
Г.3. Если в транспортном средстве установлена магнитола, то аудиовыход магнитолы (2 передних динамика) подключается к аудиовходу АС для осуществления коммутации сигналов внутри АС.
Г.4. Линия mute (запретить звук) подключается к магнитоле.
Г.5. Следующие интерфейсы являются опциональными:
- вход для второго микрофона;
- OEM датчик аварии (блок управления подушками безопасности);
- проводной диагностический интерфейс;
- интерфейс расширения RS 485.
Г.6. Рекомендации по подключению АС к бортовой аудиосистеме транспортного средства в зависимости от конструктивного исполнения последней приведены в таблице Г.1.
Таблица Г.1
Возможный вариант конструктивного исполнения аудиосистемы транспортного средства | Рекомендации по подключению АС |
Транспортное средство с магнитолой со стерео- и аудиовыходом, аудиосистемой и доступом к разъему подключения магнитолы к аудиосистеме транспортного средства | 1. Подсоединить магнитолу к АС. 2. Подсоединить АС к аудиосистеме. 3. Подсоединить линию "запретить звук" к магнитоле |
Транспортное средство с магнитолой со стерео- и аудиовыходом, аудиосистемой без прямого доступа к разъему подключения магнитолы к аудиосистеме транспортного средства | 1. Разъединить провода, соединяющие магнитолу с передними динамиками транспортного средства. 2. Подсоединить магнитолу к АС. 3. Подсоединить АС к аудиосистеме. 4. Подсоединить линию "запретить звук" к магнитоле |
Транспортное средство с магнитолой без стерео- и аудиовыхода, аудиосистемой и доступом к разъему подключения магнитолы к аудиосистеме транспортного средства | 1. Подсоединить магнитолу к АС. 2. Подсоединить АС к аудиосистеме. 3. Подсоединить линию "запретить звук" к магнитоле |
Транспортное средство с магнитолой без стерео- и аудиовыхода, аудиосистемой без прямого доступа к разъему подключения магнитолы к аудиосистеме транспортного средства | Подсоединить линию "запретить звук" к магнитоле, установить дополнительный динамик и подключить дополнительный динамик к усиленному выходу звука АС |
Транспортное средство без магнитолы, с аудиосистемой и доступом к разъему подключения магнитолы к аудиосистеме транспортного средства | 1. Подсоединить магнитолу к АС. 2. Подсоединить АС к аудиосистеме. 3. Подсоединить линию "запретить звук" к магнитоле |
Транспортное средство без магнитолы и без аудиосистемы | Установить дополнительный динамик и подключить дополнительный динамик к усиленному выходу звука АС |
(рекомендуемое)
РЕКОМЕНДАЦИИ ПО МЕСТУ УСТАНОВКИ ДАТЧИКА АВТОМАТИЧЕСКОЙ
ИДЕНТИФИКАЦИИ СОБЫТИЯ ДТП (ТОЛЬКО ДЛЯ ТРАНСПОРТНЫХ СРЕДСТВ
КАТЕГОРИЙ M1 и N1)
Росстандарта от 22.04.2014 N 394-ст)
Д.1. Для АС, устанавливаемой в конфигурации дополнительного оборудования, датчик автоматической идентификации события ДТП рекомендуется устанавливать вдоль продольной оси транспортного средства (y = 0) на наиболее усиленное место панели пола, вдали от деформируемых деталей кузова транспортного средства.
Данное расположение обеспечивает применение одинаковых критериев при ударе в правую и левую стороны транспортного средства, что значительно упрощает настройку АС.
Рекомендуемые места установки датчика представлены на рисунке Д.1 (точки A, B, C).
Рисунок Д.1. Рекомендуемое расположение датчика определения
события ДТП
При выборе места установки датчика автоматической идентификации события ДТП рекомендуется обеспечивать достаточное пространство вокруг датчика, чтобы значительные деформации кузовных элементов не повредили датчик и не оказали негативного влияния на его работоспособность.
Д.2. Для АС, устанавливаемых в конфигурации штатного оборудования, место установки датчика автоматической идентификации события ДТП определяет производитель транспортного средства.
(рекомендуемое)
РЕКОМЕНДАЦИИ ПО ИСПОЛНЕНИЮ И МЕСТОПОЛОЖЕНИЮ БЛОКА
ИНТЕРФЕЙСА ПОЛЬЗОВАТЕЛЯ В САЛОНЕ ТРАНСПОРТНОГО СРЕДСТВА
(ТОЛЬКО ДЛЯ АВТОМОБИЛЬНЫХ СИСТЕМ, УСТАНАВЛИВАЕМЫХ
В КОНФИГУРАЦИИ ДОПОЛНИТЕЛЬНОГО ОБОРУДОВАНИЯ)
Е.1. Габаритные размеры БИП должны быть по возможности минимизированы в целях облегчения установки устройства в салоне транспортного средства.
Е.2. БИП рекомендуется изготавливать из материалов, по фактуре и цвету максимально идентичных фактуре и цвету материалов, использующихся при изготовлении передних панелей транспортных средств. При необходимости может создаваться несколько вариантов БИП с использованием материалов различной фактуры и цвета.
Е.3. Не рекомендуется размещать в БИП динамик (динамики), а также электронные блоки, входящие в состав АС, т.к. это увеличивает габаритные размеры БИП и затрудняет его установку в салоне транспортного средства.
Е.4. Крепление БИП на передней панели транспортного средства должно обеспечивать безопасность лиц, находящихся в транспортном средстве при наступлении события ДТП.
Е.5. Кнопки "Экстренный вызов" и "Дополнительные функции" рекомендуется размещать таким образом, чтобы нажатие на кнопки обеспечивалось в плоскости, перпендикулярной плоскости крепления БИП в транспортном средстве.
(рекомендуемое)
РАЗЪЕМЫ ДЛЯ ПОДКЛЮЧЕНИЯ АВТОМОБИЛЬНОЙ СИСТЕМЫ/УСТРОЙСТВА
ВЫЗОВА ЭКСТРЕННЫХ ОПЕРАТИВНЫХ СЛУЖБ, УСТАНАВЛИВАЕМОЙ
В КОНФИГУРАЦИИ ДОПОЛНИТЕЛЬНОГО ОБОРУДОВАНИЯ, К БОРТОВОЙ
СЕТИ ТРАНСПОРТНОГО СРЕДСТВА. СОСТАВ СИГНАЛОВ
Росстандарта от 22.04.2014 N 394-ст)
Ж.1. Основной разъем для подключения АС, устанавливаемой в конфигурации дополнительного оборудования, к бортовой сети транспортного средства
Ж.1.1. Состав сигналов, рекомендуемый к реализации в разъеме для подключения АС к бортовой сети ТС, приведен в таблице Ж.1.
Номер контакта | Название сигнала | Направление сигнала (относительно АС) | Назначение сигнала | |
1 | Ground | Вход | "Земля" | Да |
2 | Vin+ | Вход | Питание 12 В или 24 В | Да |
3 | CAN L1 | Вход-выход | CAN 1 (от 1,5 до 2,5 В) | |
4 | uim_4 | Вход-выход | БИП - сигнал 4 (например, "земля" для индикатора состояния) | Нет |
5 | uim_3 | Вход-выход | БИП - сигнал 3 (например, индикатор состояния) | Нет |
6 | uim_2 | Вход-выход | БИП - сигнал 2 (например, кнопка "Дополнительные функции") | Нет |
7 | uim_1 | Вход-выход | БИП - сигнал 1 (например, кнопка "Экстренный вызов") | Нет |
8 | ground | Выход | Возвратная "земля" БИП | Нет |
9 | J1850- | Вход-выход | | Нет |
10 | gpio_1 | Вход-выход | Универсальный вход/выход 1 <4> | Нет |
11 | l_line | Вход-выход | | Нет |
12 | k_line | Вход-выход | | Нет |
13 | CAN H1 | Вход-выход | CAN 1 (от 2,5 до 3,5 В) | |
14 | CAN H2 | Вход-выход | CAN 2 (от 2,5 до 3,5 В), OBDII или FMS | Нет |
15 | Umic+ | Выход | Питание микрофона | Нет |
16 | mic + | Вход | Микрофон | Нет |
17 | mic - | Вход | Микрофон | Нет |
18 | Umic- | Выход | Питание микрофона | Нет |
19 | J1850+ | Вход-выход | | Нет |
20 | gpio_2 | Вход-выход | Универсальный вход/выход 2 | Нет |
21 | Ucan/rs485+ | Выход | Питание автономных интеллектуальных датчиков | Нет |
22 | USB d+ | Вход-выход | Линия данных USB | Нет |
23 | gpio_3 | Вход-выход | Универсальный вход/выход 3 | Нет |
24 | Vbat+ | Вход-выход | Внешняя батарея резервного питания | Нет |
25 | CAN L2 | Вход-выход | CAN 2 (от 1,5 до 2,5 В), OBDII или FMS | Нет |
26 | Uacc+ | Выход | Питание датчика ускорения | Нет |
27 | ACC_1 | Вход-выход | Датчик ускорения - сигнал 1 | Нет |
28 | ACC_2 | Вход-выход | Датчик ускорения - сигнал 2 | Нет |
29 | ACC_3 | Вход-выход | Датчик ускорения - сигнал 3 | Нет |
30 | Uacc- | Выход | Питание датчика ускорения | Нет |
31 | Ucan/rs485- | Выход | Питание автономных интеллектуальных датчиков | Нет |
32 | USB d- | Вход-выход | Линия данных USB | Нет |
33 | gpio_4 | Вход-выход | Универсальный вход/выход 4 | Нет |
34 | Vbat- | Вход-выход | Внешняя батарея резервного питания | Нет |
35 | signal_gnd | Вход | "Земля" для сигналов J1850 (OBDII) <3> | Нет |
36 | radio_mute | Выход | | |
37 | ecall_mode | Выход | Индикатор "Экстренный вызов" | Нет |
38 | gnition | Вход | Состояние линии зажигания <5> | |
39 | Ground | Вход | Земля | Нет |
40 | NC | | Не используется | Нет |
<1> В графе "Статус сигнала" указывается "Да", если реализация сигнала в разъеме является обязательной, и "Нет", если реализация сигнала не является обязательной. <2> В соответствии с 6.12 и 6.13 возможность отключения в салоне ТС прочих штатно установленных звуковоспроизводящих устройств для обеспечения режима громкой связи при осуществлении экстренного вызова является обязательной функцией АС. Для реализации указанной функции АС используется либо сигнал 36 (radio_mute), либо сигналы 3 и 13 (CAN L, CAN H). <3> Если контакт 12 присутствует в разъеме, то используется протокол в соответствии с [15]. Если контакт 12 отсутствует в разъеме, то используется протокол J1850 VPW (контакты 19 и 35) или J1850 PWM (контакты 9, 19 и 35) в соответствии с [16]. <4> Контакт 10 (gpio_1) рекомендуется использовать для подключения сигнала об аварии, если такой сигнал реализован в транспортном средстве. <5> В соответствии с 7.3.4, 7.5.3, 7.6.2, 7.7.5, 7.8.8 проверка состояния линии зажигания ТС является обязательной процедурой при реализации установленных в разделе 7 режимов работы АС. Для реализации указанной процедуры используется либо сигнал 38 (ignition), либо сигналы 3 и 13 (CAN L1, CAN H1). |
Разъем устанавливается на стороне транспортного средства. Разъем содержит сигналы, которые обязательно должны быть реализованы (обязательные сигналы), а также сигналы, которые могут использоваться (необязательные сигналы) при подключении АС к системам ТС.
Информация о признаке обязательности сигнала при реализации приведена в
таблице Ж.1.
Для обеспечения возможности использования разъема для подключения микрофона в нем предусмотрены соответствующие сигналы (контакты 15 - 18).
Для обеспечения возможности использования разъема для подключения БИП, физический интерфейс подключения которого к бортовой сети ТС не регламентируется настоящим стандартом, в разъеме зарезервировано четыре сигнала (контакты 4 - 7).
Состав реализованных сигналов и тип USB (USB host, USB device) определяет производитель ТС.
Ж.1.2. Разъем подключения АС к бортовой сети ТС может быть установлен производителем транспортного средства на сборочной линии для обеспечения возможности последующего подключения АС, устанавливаемой на ТС в конфигурации дополнительного оборудования.
Ж.1.3. Разъемы, рекомендуемые к установке на транспортном средстве для обеспечения подключения АС, приведены в таблице Ж.2.
Таблица Ж.2
Категория ТС | Основной разъем для подключения АС | Разъем для подключения антенны ГНСС | Разъем для подключения антенны GSM/UMTS |
M1/N1 | | FAKRA C | FAKRA D |
M2/M3/N2/N3 | |
<1> Предполагается разъем 953122-1 серии MQS Tyco. <2> Предполагается разъем 5-1718321-3 серии AMP MCP Tyco. |
Ж.2. Разъемы для подключения внешних устройств к АС
Ж.2.1. Подключение внешних устройств с использованием шины RS 485
Ж.2.1.1. Состав сигналов, применяемых при использовании шины RS 485, приведен в таблице Ж.3.
Таблица Ж.3
Номер контакта | Название сигнала | Назначение сигнала | Направление сигнала |
1 | VBAS | Питание 5 В | Выход |
2 | A | Линия данных | Вход-выход |
3 | B | Линия данных | Вход-выход |
4 | GND | "Земля" | Выход |
Ж.2.1.2. Рекомендуемый к применению четырехпроводной разъем USCAR 347930040 серии Mini50 производства Molex представлен на рисунке Ж.1.
Рисунок Ж.1. Рекомендуемый разъем для подключения
к шине RS 485
Ж.2.1.3. Интерфейс подключения к шине RS 485 должен поддерживать:
а) протокол МодБus RTU для связи с устройствами и реализовывать роль мастера в соответствии со следующими спецификациями:
1) МодБus application protocol specification. V1.1b;
2) МодБus over Serial Line. Specification and Implementation Guide V1.02;
б) следующие настройки конфигурации:
- RS485_BAUD_RATE;
- RS485_STOP_BITS;
- RS485_PARITY;
в) посылку и прием сообщений со всеми стандартными кодами функций, определенных в МодБus спецификации, в том числе поддерживать посылку сообщений типа 1:1 и типа 1:N;
г) до 32 подключенных периферийных устройств, включая диагностический интерфейс, если диагностический интерфейс подключен к порту RS 485.
(обязательное)
ОСНОВНЫЕ ТРЕБОВАНИЯ К АВТОМОБИЛЬНОЙ СИСТЕМЕ/УСТРОЙСТВУ
ВЫЗОВА ЭКСТРЕННЫХ ОПЕРАТИВНЫХ СЛУЖБ ПО ОБЕСПЕЧЕНИЮ
ТРЕБУЕМОГО КАЧЕСТВА ГРОМКОГОВОРЯЩЕЙ СВЯЗИ В КАБИНЕ
ТРАНСПОРТНОГО СРЕДСТВА
Росстандарта от 22.04.2014 N 394-ст)
И.1. Общие положения
Приведенные в настоящем Приложении требования:
- распространяются (если не оговорено особо) на узкополосные и широкополосные АС;
- учитывают основные требования международных рекомендаций
[3],
[4];
- включают минимальные требования к параметрам каналов приема/передачи и к рабочим характеристикам алгоритмов цифровой обработки звуковых сигналов (эхокомпенсаторов и других алгоритмов).
И.2. Задержка обработки сигнала в АС
И.2.1. Задержка обработки сигнала в громкоговорящей АС в направлении приема TR должна быть не более 50 мс.
И.2.2. Задержка обработки сигнала в громкоговорящей АС в направлении передачи TS должна быть не более 50 мс.
И.2.3. Суммарная задержка обработки сигнала в громкоговорящей АС в направлении приема и передачи (TR + TS) должна быть не более 70 мс.
Примечание. Измеряется только дополнительная задержка, вносимая алгоритмами обработки звуковых сигналов в АС (АРУ, АЭК, шумоподавление и т.д.), исключая стандартную задержку сигналов в телефонной части АС, связанную с процессами кодирования и декодирования сигналов, а также задержку распространения сигналов в каналах оператора связи.
И.3. Показатель громкости передачи
И.3.1. Показатель громкости передачи SLR, измеренный для АС, установленной в салоне (кабине) ТС, должен быть равен (13 +/- 4) дБ для водителя и ближайших пассажиров.
И.3.2. Дополнительная ручная регулировка усиления АС на передачу не предусматривается. Необходимость использования в АС автоматической регулировки усиления (АРУ) на передачу для выравнивания показателя громкости для пассажиров, находящихся на различном расстоянии от микрофона АС, определяется производителем АС (для автомобильных систем, исполненных в конфигурации дополнительного оборудования) или производителем ТС (для штатных АС).
Если в АС реализуются алгоритмы АРУ на передачу, то для обеспечения требуемого качества громкоговорящей связи указанные алгоритмы должны удовлетворять минимально необходимым требованиям, установленным в
Приложении Л.
И.4. Показатели громкости приема
И.4.1. Номинальный показатель громкости приема RLR
nom, измеренный для АС, установленной в салоне (кабине) ТС, должен быть равен значению, определенному производителем АС или ТС, согласно требованиям
7.5.3.10 настоящего стандарта. Если в АС предусмотрена ручная регулировка уровня громкости на прием, то выбранный номинальный показатель громкости приема RLR
nom, соответствующий номинальной громкости АС, должен достигаться при среднем отмеченном положении регулятора громкости.
И.4.2. Максимальный показатель громкости приема RLR
max, соответствующий минимальной громкости АС, должен достигаться при крайнем (левом) положении регулятора громкости. Необходимое значение показателя RLR
max определяется производителем АС или производителем ТС согласно требованиям
7.5.3.11.
И.4.3. Минимальный показатель громкости приема RLRmin, соответствующий максимальной громкости АС, должен достигаться при крайнем (правом) положении регулятора громкости. Необходимое значение показателя RLRmin определяется производителем АС или производителем ТС исходя из требования обеспечения громкости звука на прием, достаточной для проведения в салоне (кабине) ТС уверенной двухсторонней громкоговорящей связи с акустическим отношением сигнал/шум на прием не менее 6 дБ в условиях "наихудшей" по шуму ситуации (зависит от типа ТС и шумового сценария). Если требования к виду и уровню шумов не определены производителем ТС, то уровень звукового давления фоновых шумов в салоне ТС принимается равным минус 14 дБПа(А).
Выбранное значение RLRmin должно быть в пределах от (минус 10 +/- 4) дБ до (минус 18 +/- 4) дБ. Рекомендуемое значение показателя RLRmin составляет (минус 13 +/- 4) дБ.
И.4.4. Необходимость использования в АС автоматической регулировки усиления (АРУ) на прием определяется производителем АС (для автомобильных систем, исполненных в конфигурации дополнительного оборудования) или производителем ТС (для штатных АС).
Если в АС реализуются алгоритмы АРУ на прием, то для обеспечения требуемого качества громкоговорящей связи указанные алгоритмы должны удовлетворять минимально необходимым требованиям, установленным в
Приложении Л.
И.5. Частотная характеристика чувствительности передающей части АС
И.5.1. Требования к относительным допускам на АЧХ для узкополосных АС в направлении передачи приведены в таблице И.1, а для широкополосных - в
таблице И.2. Для промежуточных частот используется линейная интерполяция в двойном логарифмическом масштабе.
Примечание. Амплитудно-частотные характеристики (АЧХ) чувствительности АС в направлении передачи измеряются для АС, установленной в салоне (кабине) ТС, от акустического входа АС до электрического выхода речевого кодека на стороне оператора.
Таблица И.1
Частотная характеристика чувствительности на передачу
для узкополосных АС
Частота, Гц | Верхний предел, дБ | Нижний предел, дБ |
200 | 0 | |
250 | 0 | |
315 | 0 | -14 |
400 | 0 | -13 |
500 | 0 | -12 |
630 | 0 | -11 |
800 | 0 | -10 |
1000 | 0 | -8 |
1300 | 2 | -8 |
1600 | 3 | -8 |
2000 | 4 | -8 |
2500 | 4 | -8 |
3100 | 4 | -8 |
4000 | 0 | |
Таблица И.2
Частотная характеристика чувствительности на передачу
для широкополосных АС
Частота, Гц | Верхний предел, дБ | Нижний предел, дБ |
100 | 4 | |
125 | 4 | -10 |
200 | 4 | -4 |
1000 | 4 | -4 |
5000 | 8,5 | -4 |
6300 | 9 | -7 |
8000 | 9 | |
И.5.2. Идеальная АЧХ на передачу должна быть плоской в диапазоне от 200 Гц до 4 кГц для узкополосных и от 100 Гц до 7 кГц для широкополосных АС. Однако, особенно в присутствии мешающих акустических шумов, более предпочтительной может оказаться АЧХ, осуществляющая дополнительное частотное взвешивание, например завал АЧХ в сторону НЧ и небольшой подъем на ВЧ (в пределах указанных допусков).
Допускается коррекция АЧХ на передачу цифровыми методами (при помощи эквалайзера).
И.6. Частотная характеристика чувствительности приемной части АС
И.6.1. Требования к относительным допускам на АЧХ для узкополосных АС в направлении приема приведены в таблице И.3, а для широкополосных АС - в
таблице И.4. Для промежуточных частот необходимо использовать линейную интерполяцию в двойном логарифмическом масштабе.
Примечание. Амплитудно-частотные характеристики (АЧХ) чувствительности АС в направлении приема измеряются для АС, установленной в салоне (кабине) ТС, от электрического входа речевого кодека на стороне оператора до акустического выхода АС.
Таблица И.3
Частотная характеристика чувствительности на прием
для узкополосных АС
Частота, Гц | Верхний предел, дБ | Нижний предел, дБ |
200 | 0 | |
250 | 0 | |
315 | 0 | -15 |
400 | 0 | -12 |
3100 | 0 | -12 |
4000 | 0 | |
Таблица И.4
Частотная характеристика чувствительности на прием
для широкополосных АС
Частота, Гц | Верхний предел, дБ | Нижний предел, дБ |
125 | 8 | |
200 | 8 | -12 |
250 | 8 | -9 |
315 | 7 | -6 |
400 | 6 | -6 |
5000 | 6 | -6 |
6300 | 6 | -9 |
8000 | 6 | |
И.6.2. Допускается коррекция АЧХ на прием цифровыми методами (при помощи эквалайзера).
И.7. Уровень шума в канале передачи
И.7.1. Максимально допустимый уровень собственных шумов АС в канале передачи в тишине при отсутствии речи ближнего абонента, измеренный на электрическом выходе речевого кодека на стороне оператора, должен быть не более минус 64 дБм0 (А).
И.7.2. Отдельные спектральные пики в частотной области не должны превышать средней огибающей спектра собственного шума более чем на 10 дБ.
И.8. Уровень шума в канале приема
И.8.1. Максимально допустимый уровень собственных шумов АС в канале приема при отсутствии речи оператора, измеренный в тишине на акустическом выходе АС при номинальном показателе громкости приема RLRnom, должен быть не более величины, определяемой выражением минус (51 + RLRnom) дБПа (А).
И.8.2. Отдельные спектральные пики в частотной области не должны превышать средней огибающей спектра собственного шума более чем на 10 дБ.
И.9. Подавление внеполосных сигналов в канале передачи
Для входного внеполосного акустического сигнала номинального уровня в виде белого Гауссова шума, ограниченного в полосе частот от 4,6 до 8 кГц для узкополосных АС и в полосе частот от 8 до 16 кГц для широкополосных АС, электрический уровень помех на выходе кодека, измеренный в основной полосе частот от 300 Гц до 3,4 кГц для узкополосных АС и в полосе частот от (100) 200 Гц до 7 кГц для широкополосных АС, должен быть либо ниже уровня шумов канала передачи, либо быть, по меньшей мере, на 35 дБ ниже выходного уровня внутриполосного тестового сигнала номинального уровня.
Примечание. Измерение проводится для АС, установленной в салоне (кабине) ТС, от акустического входа АС до электрического выхода речевого кодека на стороне оператора.
И.10. Уровень внеполосных сигналов в канале приема
Для входного электрического сигнала в виде искусственного голоса, ограниченного в рабочей полосе частот от 300 Гц до 3,4 кГц для узкополосных АС и от 100 Гц до 7 кГц для широкополосных АС, подаваемого с уровнем минус 12 дБм0, акустический уровень внеполосных помех на выходе АС, измеряемый в полосе частот от 4,6 до 8 кГц для узкополосных АС и от 8,6 до 16 кГц для широкополосных АС, должен быть либо ниже уровня шумов канала приема в этом диапазоне частот, либо быть, по меньшей мере, на 45 дБ ниже выходного уровня основного сигнала, измеренного в рабочей полосе частот от 300 Гц до 3,4 кГц для узкополосных АС и от 100 Гц до 7 кГц для широкополосных АС.
Примечание. Измерение проводится для АС, установленной в салоне (кабине) ТС, от электрического входа речевого кодека на стороне оператора до акустического выхода АС.
И.11. Искажения сигнала в направлении передачи
Суммарные гармонические искажения синусоидальных сигналов номинального уровня в направлении передачи не должны превышать 3% для каждой из тестовых частот:
- 300, 500 и 1000 Гц - для узкополосных АС;
- 300, 500, 1000, 2000 и 3000 Гц - для широкополосных АС.
Примечание. Измерение проводится для АС, установленной в салоне (кабине) ТС, от акустического входа АС до электрического выхода речевого кодека на стороне оператора.
И.12. Искажения сигнала в направлении приема
Суммарные гармонические искажения синусоидальных сигналов номинального уровня в направлении приема не должны превышать 3% при номинальном, минимальном и максимальном положениях регулятора уровня громкости АС для каждой из тестовых частот:
- 300, 500 и 1000 Гц - для узкополосных АС;
- 300, 500,1000, 2000 и 3000 Гц - для широкополосных АС.
Примечание. Измерение проводится для АС, установленной в салоне (кабине) ТС, от электрического входа речевого кодека на стороне оператора до акустического выхода АС.
И.13. Взвешенное затухание электроакустического тракта
При подаче псевдошумового тестового сигнала максимального уровня в канал приема взвешенное переходное затухание электроакустического тракта TCLW для эхосигнала в канале передачи, в условиях отсутствия внешних акустических шумов в салоне ТС, спустя время, необходимое для полной настройки коэффициентов акустического эхокомпенсатора (АЭК), должно быть не менее 50 дБ при номинальном положении регулятора громкости (RLR = RLRnom) и не менее 40 дБ для максимальной громкости (RLR = RLRmin). Эти значения TCLW должны достигаться в широком диапазоне возможных акустических условий внутри ТС (разное число пассажиров, окна открыты, окна закрыты).
Примечание. Измерение проводится для АС, установленной в салоне (кабине) ТС, от электрического входа до электрического выхода речевого кодека на стороне оператора.
И.14. Стабильность ослабления эхосигналов от времени
При подаче комбинированного тестового сигнала и тестового сигнала искусственного голоса номинального уровня в канал приема АС ослабление эхосигналов в канале передачи АС в течение длительного времени измерения не должно снижаться более чем на 6 дБ от своего максимального значения при условии, что эхотракт внутри ТС стабилен.
Примечание. Измерение проводится для АС, установленной в салоне (кабине) ТС, от электрического входа до электрического выхода речевого кодека на стороне оператора.
И.15. Зависимость ослабления эхосигналов от частоты
И.15.1. При подаче комбинированного тестового сигнала номинального уровня в канал приема АС зависимость ослабления эхосигналов в канале передачи АС от частоты должна быть ниже пределов, приведенных в таблице И.5 для узкополосных и в
таблице И.6 - для широкополосных АС.
Примечание. Измерение проводится для АС, установленной в салоне (кабине) ТС, от электрического входа до электрического выхода речевого кодека на стороне оператора.
Таблица И.5
Зависимость подавления эхосигналов от частоты
в узкополосных АС
Частота, Гц | Верхний предел, дБ |
100 | -20 |
200 | -30 |
300 | -38 |
800 | -34 |
1500 | -33 |
2600 | -24 |
4000 | -24 |
Таблица И.6
Зависимость подавления эхосигналов от частоты
в широкополосных АС
Частота, Гц | Верхний предел, дБ |
100 | -41 |
1300 | -41 |
3450 | -46 |
5200 | -46 |
7500 | -37 |
8000 | -37 |
И.15.2. Значения затухания для промежуточных частот могут быть линейно интерполированы при использовании логарифмической шкалы частот и линейной шкалы ослабления в децибелах.
И.16. Скорость начального схождения АЭК при отсутствии акустических шумов
И.16.1. При подаче комбинированного тестового сигнала и тестового сигнала искусственного голоса номинального уровня в канал приема АС зависимость ослабления ERL для эхосигналов в канале передачи АС от времени, прошедшего с момента начального включения АЭК с регулятором громкости, выставленным на максимум, должна лежать выше границ, приведенных на рисунке И.1.
Примечание. Измерение проводится для АС, установленной в салоне (кабине) ТС, от электрического входа до электрического выхода речевого кодека на стороне оператора.
Степень подавления эхосигналов
Рисунок И.1. Зависимость степени подавления эхосигналов
И.16.2. Особенное внимание необходимо уделить поведению АС в момент включения АЭК (момент установления соединения с оператором связи). Система должна оставаться устойчивой при любом положении регулятора громкости, то есть обеспечивать переходное затухание электроакустического тракта не менее 6 дБ во всем рабочем диапазоне частот в любой момент времени, а переходной процесс не должен сопровождаться резкими скачками громкости, всплесками шума или возбуждением тональных сигналов.
И.17. Начальное схождение АЭК при наличии шума
При подаче комбинированного тестового сигнала и тестового сигнала искусственного голоса номинального уровня в канал приема АС зависимость отношения L остаточного уровня эхосигналов к уровню шума паузы в канале передачи АС от времени, прошедшего с момента включения АЭК с регулятором громкости, выставленным на максимум, должна лежать ниже границ, приведенных на рисунке И.2.
Примечание. Измерение проводится для АС, установленной в салоне (кабине) ТС, от электрического входа до электрического выхода речевого кодека на стороне оператора при наличии шумов различного уровня в кабине ТС.
Отношение остаточного уровня эхосигналов к уровню
шума паузы
Рисунок И.2. Зависимость отношения остаточного уровня
эхосигналов к уровню шума паузы от времени
[3]
И.18. Зависимость ослабления эхосигналов при изменениях эхотракта
После настройки АЭК должен обладать способностью адаптироваться и сохранять достаточное подавление эхосигналов при постоянных изменениях эхотракта внутри ТС (например, из-за перемещения пассажиров). Ухудшение величины подавления эхосигналов должно быть не более 6 дБ от максимального значения, наблюдаемого в процессе тестирования для эхотракта с постоянными параметрами.
И.19. Активация канала в направлении передачи
Процесс активации (включения) канала в направлении передачи описывается при помощи двух параметров - минимального времени включения Tr,S,min и минимального акустического уровня активации LS,min.
Уровень LS,min, измеренный для активных участков речевого сигнала, должен быть не более минус 20 дБПа. Время включения Tr,S,min для входного сигнала с минимальным уровнем активации должно быть не более 50 мс.
И.20. Активация канала в направлении приема
Процесс активации канала в направлении приема описывается при помощи двух параметров минимального времени включения Tr,R,min и минимального электрического уровня активации LR,min. Уровень LR,min, измеренный для активных участков тестового сигнала, должен быть не более минус 35,7 дБм0. Время включения Tr,R,min для входного сигнала с минимальным уровнем активации должно быть не более 50 мс.
И.21. Затухание в канале передачи в режиме полудуплекса
При попеременном разговоре абонентов (в режиме полудуплекса) величина затухания AH,S, вносимого АС в канал передачи, если в этот момент активен канал приема, должна быть не более 20 дБ, а время выключения затухания (переключения направления разговора с приема на передачу) Tr,S для сигналов с номинальным уровнем должно быть не более 50 мс. Рекомендуется достигать затухания менее 13 дБ за время не более 15 мс.
И.22. Затухание в канале приема в режиме полудуплекса
При попеременном разговоре абонентов (в режиме полудуплекса) величина затухания AH,R, вносимого АС в канал приема, если в этот момент активен канал передачи, должна быть не более 15 дБ, а время выключения затухания (переключения направления разговора с передачи на прием) Tr,R для сигналов с номинальным уровнем должно быть не более 50 мс. Рекомендуется достигать затухания менее 9 дБ за время не более 15 мс.
И.23. Затухание в каналах передачи и приема в режиме дуплекса
И.23.1. При одновременном разговоре абонентов (в режиме дуплекса) максимально допустимые величины затухания AH,S,dt, вносимого АС в канал передачи, и затухания AH,R,dt, вносимого АС в канал приема, зависят от типа производительности АС для дуплексной связи и должны соответствовать значениям, приведенным в таблице И.7.
Примечание. Величина AH,S,dt определяет заметность скачков громкости в канале передачи при переходах от однонаправленной передачи к двойному разговору и обратно. Величина AH,R,dt определяет заметность скачков громкости в канале приема при переходах от однонаправленного приема к двойному разговору и обратно.
Таблица И.7
Параметры типа производительности АС для дуплексной связи
Параметр | Тип производительности |
1 | 2a | 2b | 2c | 3 |
Полный дуплекс | Частичный дуплекс | Только полудуплекс |
AH,S,dt, дБ | <= 3 | <= 6 | <= 9 | <= 12 | > 12 |
AH,R,dt, дБ | <= 3 | <= 5 | <= 8 | <= 10 | > 10 |
ELdt, дБ | >= 27 | >= 23 | >= 17 | >= 11 | < 11 |
И.23.2. Требования должны выполняться как при номинальном, так и при максимальном положении регулятора громкости АС, а также как при номинальных уровнях сигналов приема и передачи, так и при дисбалансе этих уровней на величину +/- 6 дБ; например, когда уровень приема возрастает на 6 дБ, а уровень передачи падает на 6 дБ, и наоборот.
И.24. Ослабление эхосигналов в режиме дуплекса
При одновременном разговоре абонентов (в режиме дуплекса) минимально допустимые величины ослабления эхосигналов EL
dt зависят от типа производительности АС для дуплексной связи и должны соответствовать значениям, приведенным в
таблице И.7.
Примечание. Измерение проводится для АС, установленной в салоне (кабине) ТС, от электрического входа до электрического выхода речевого кодека на стороне оператора.
И.25. Качество речи в канале передачи и приема
И.25.1. Экспертная оценка качества речи громкоговорящей связи АС, установленной в салоне ТС, проводится в каналах передачи и приема. В режиме одностороннего разговора в условиях тишины качество речи громкоговорящей связи АС по пятибалльной шкале классов качества и норм разборчивости речи, установленных в ГОСТ Р 51061 (таблица 1) и в
ГОСТ Р 50840, должно соответствовать классу качества не ниже первого, а при наличии мешающего акустического шума - не ниже второго.
И.25.2. Дополнительные субъективные оценки качества связи проводятся в соответствии с ГОСТ Р 51061,
ГОСТ Р 50840 в режиме двухстороннего разговора между "водителем" и "оператором" системы в нормальном и ускоренном темпе речи, в режимах попеременного и одновременного разговора как в тишине, так и в условиях фоновых акустических шумов в салоне ТС заданного уровня для "обычной" и "наихудшей" шумовых ситуаций, определенных в
7.5.3.10 и
И.4.
И.25.3. Основными оцениваемыми признаками являются: хорошая словесная разборчивость речи, узнаваемость голоса дикторов, естественность звучания голоса, отсутствие каких-либо артефактов звучания, отсутствие повышенного напряжения внимания, понимание передаваемой речи без затруднений, переспросов и повторений.
По пятибалльным шкалам оценки указанных признаков средний балл для узкополосных АС должен быть не ниже 3,0, а для широкополосных АС - не ниже 3,6 при работе в тишине и при "обычном" уровне шума (зависит от типа ТС и шумового сценария).
Если требования к виду и уровню шумов не определены производителем ТС, то минимальный уровень звукового давления фоновых шумов в салоне ТС принимается равным минус 24 дБПа (А).
И.26. Работа канала передачи в акустических шумах
Для речевого сигнала в салоне ТС номинального уровня в условиях фоновых акустических шумов в салоне ТС заданного уровня для "обычной" и "наихудшей" шумовых ситуаций, определенных в пунктах
7.5.3.10 и
И.4 настоящего стандарта, ОСШ на выходе канала передачи должно быть не ниже 6 дБ для положения в кресле водителя и сидящего (сидящих) рядом с водителем пассажира (пассажиров). Рекомендуемое значение ОСШ - не ниже 12 дБ.
Выполнение данного требования может включать в себя выбор оптимального места расположения микрофона АС, его направленных свойств, применение в АС дополнительных алгоритмов (АРУ на передачу и шумопонижения).
Примечание. Измерение проводится для АС, установленной в салоне (кабине) ТС, от акустического входа АС до электрического выхода речевого кодека на стороне оператора.
И.27. Работа канала приема в акустических шумах
Для речевого сигнала в канале приема номинального уровня акустическое ОСШ в салоне ТС должно быть не ниже 0 дБ при минимальном и не ниже 6 дБ при номинальном уровне громкости для положения в кресле водителя и сидящего (сидящих) рядом с водителем пассажира (пассажиров) в условиях фоновых акустических шумов в салоне ТС заданного уровня для "обычной" шумовой ситуации, определенной в
7.5.3.10, а также не ниже 6 дБ при максимальном уровне громкости в условиях "наихудшей" шумовой ситуации, определенной в
И.4.
Выполнение данного требования может включать в себя выбор оптимальных значений для показателей RLRmin, RLRnom, RLRmax, места расположения динамика АС, его направленных свойств, применение в АС дополнительных алгоритмов (АРУ на прием).
Примечание. Измерение проводится для АС, установленной в салоне (кабине) ТС, от электрического входа речевого кодека на стороне оператора до акустического выхода АС.
И.28. Качество фонового шума в канале передачи
И.28.1. Первоначальный импульс фонового шума в канале передачи после установления соединения не должен превышать среднего уровня шума более чем на 12 дБ при измерении в полосе частот от 300 Гц до 3,4 кГц для узкополосных и в полосе от 150 Гц до 7,0 кГц для широкополосных АС.
Примечание. Измерения проводятся в условиях фоновых акустических шумов в салоне ТС заданного уровня для "обычной" и "наихудшей" шумовых ситуаций, определенных в пунктах
7.5.3.10 и
И.4 настоящего стандарта.
И.28.2. Уровень фонового шума в канале передачи до, во время и после активности речи в канале передачи не должен изменяться более чем на 10 дБ (в процессе включения и выключения речи водителя ТС в канале передачи).
И.28.3. Уровень фонового шума в канале передачи до, во время и после активности речи в канале приема не должен изменяться более чем на 10 дБ (в процессе включения и выключения речи оператора в канале приема).
И.28.4. Если АС вместо передачи реального фонового шума во время молчания абонентов в салоне ТС генерирует в канал передачи искусственный "комфортный шум" паузы, тогда:
1) уровень "комфортного шума" паузы не должен отличаться от уровня оригинального переданного фонового шума паузы более чем на плюс 2 дБ и минус 5 дБ. Уровень шума оценивается с частотным взвешиванием по кривой "А";
2) разница спектров "комфортного шума" паузы и оригинального переданного шума паузы должна лежать в пределах допусков, приведенных в таблице И.8. Промежуточные значения частот могут быть получены линейной интерполяцией с использованием логарифмической шкалы частот и линейной шкалы для уровней, выраженных в децибелах;
3) эффекты включения и выключения "комфортного шума" паузы не должны обрезать начало и окончания слов в канале передачи и ухудшать разборчивость речи.
Таблица И.8
Допуски на спектр "комфортного шума" паузы
Частота, Гц | Верхний предел, дБ | Нижний предел, дБ |
200 | 12 | -12 |
800 | 12 | -12 |
801 | 10 | -10 |
2000 | 10 | -10 |
2001 | 6 | -6 |
4000 | 6 | -6 |
8000 <*> | 6 <*> | -6 <*> |
<*> Только для широкополосных АС. |
И.29. Характеристики электроакустических элементов
И.29.1. Частотная характеристика микрофона АС, измеренная в условиях свободного звукового поля, должна лежать в пределах допусков, указанных в таблице И.9 для узкополосных АС и в
таблице И.10 - для широкополосных АС.
Таблица И.9
Частотная характеристика микрофонов для узкополосных АС
Частота, Гц | Верхний предел, дБ | Нижний предел, дБ |
200 | 0 | |
250 | 0 | |
315 | 0 | -14 |
400 | 0 | -13 |
500 | 0 | -12 |
630 | 0 | -11 |
800 | 0 | -10 |
1000 | 0 | -8 |
1300 | 2 | -8 |
1600 | 3 | -8 |
2000 | 4 | -8 |
2500 | 4 | -8 |
3100 | 4 | -8 |
4000 | 4 | |
Таблица И.10
Частотная характеристика микрофонов для широкополосных АС
Частота, Гц | Верхний предел, дБ | Нижний предел, дБ |
100 | 0 | |
125 | 0 | |
200 | 0 | -14 |
315 | 0 | -13 |
400 | 0 | -12 |
500 | 0 | -11 |
630 | 0 | -10 |
1000 | 0 | -8 |
1300 | 2 | -8 |
1600 | 3 | -8 |
2000 | 4 | -8 |
3100 | 4 | -8 |
4000 | 4 | -8 |
8000 | 4 | |
И.29.2. Перегрузочная способность микрофона по звуковому давлению должна быть не менее 15 дБ относительно номинального уровня речевого сигнала в контрольной точке рта (MRP) минус 4,7 дБПа при расстоянии до микрофона, равном 0,5 м. Уменьшение чувствительности микрофона для максимального уровня должно быть менее 0,1 дБ.
И.29.3. Максимальный уровень звукового давления, ограниченный искажениями микрофона, равными 3% для тестового сигнала с частотой 1 кГц, должен быть не менее 12 дБПа в точке MRP при расстоянии до микрофона, равном 0,5 м.
И.29.4. Полный коэффициент гармонических искажений микрофона для тестовых синусоидальных сигналов частотами 300 Гц, 500 Гц и 1 кГц с уровнем звукового давления 0 дБПа в точке MRP при расстоянии до микрофона, равном 0,5 м, должен быть не более 1% (рекомендуемое значение - не более 0,1%).
И.29.5. Собственный шум микрофона при чувствительности 300 мВ/Па должен быть не более минус 72 дБВ (А) (допустимо - не более минус 66 дБВ (А) при условии, что шум микрофона не ухудшает показателей уровня шума АС на передачу).
(рекомендуемое)
РЕКОМЕНДАЦИИ ПО ВЫБОРУ ЭЛЕКТРОАКУСТИЧЕСКИХ ЭЛЕМЕНТОВ
ДЛЯ ОБЕСПЕЧЕНИЯ ТРЕБУЕМОГО КАЧЕСТВА ЗВУКА В КАБИНЕ (САЛОНЕ)
ТРАНСПОРТНОГО СРЕДСТВА
Росстандарта от 22.04.2014 N 394-ст)
К.1. Основными факторами, влияющими на качество громкоговорящей связи в салоне ТС, являются высокий уровень окружающих фоновых шумов и необходимость подавления акустических эхосигналов. В этой ситуации на достижение требуемых параметров качества работы АС непосредственное влияние оказывают электроакустические характеристики внешних устройств, подключаемых к АС, таких как микрофоны и динамики.
К.2. Для достижения требуемого коэффициента гармоник в канале приема и заявленного класса дуплексной связи (см.
Приложение И) рекомендуется использовать динамики с высокой чувствительностью, низким уровнем гармонических искажений и дополнительных призвуков в рабочем диапазоне частот при любом уровне громкости АС.
К.3. Для осуществления взаимозаменяемости различных микрофонов рекомендуется унифицировать номинальную чувствительность микрофонов для АС на уровне 300 мВ/Па +/- 3 дБ на частоте 1 кГц, а номинальную чувствительность микрофонного входа АС - на уровне 10 мВ (эффективный уровень напряжения) с возможностью внутренней регулировки усиления перед АЦП в диапазоне +/- 12 дБ при настройке АС в салоне ТС так, чтобы номинальный уровень акустического речевого сигнала в кресле водителя, равный минус 4,7 дБПа (на входе микрофона АС - около минус 28,7 дБПа), соответствовал цифровому уровню АЦП, равному минус 22 dBov, и электрическому уровню в канале передачи, равному минус 16 дБм0.
| | ИС МЕГАНОРМ: примечание. ГОСТ Р 55531-2013 утратил силу с 1 января 2020 года в связи с введением в действие ГОСТ 33468-2015 (Приказ Росстандарта от 15.12.2016 N 2038-ст). | |
Примечание. В соответствии с ГОСТ Р 55531 (Приложение Д) обозначение "dBov" означает эффективный уровень цифрового сигнала в децибелах по отношению к максимально возможной для данной разрядной сетки амплитуде (началу ограничения) цифрового сигнала.
К.4. Рекомендуется использовать направленные микрофоны, дающие в условиях фоновых акустических шумов выигрыш в ОСШ не менее 3 дБ по сравнению с ненаправленным широкополосным микрофоном за счет своих направленных свойств (после учета влияния различия в частотных характеристиках сравниваемых микрофонов). Для достижения необходимого подавления акустического шума рекомендуемое отношение фронт/тыл для микрофона должно быть не менее 10 дБ.
Примечание. Конечный выигрыш в ОСШ зависит от места крепления и ориентации микрофона в салоне ТС. При нерациональном выборе места и ориентации остронаправленный микрофон может иметь худшие результаты по сравнению со слабонаправленным.
(рекомендуемое)
МИНИМАЛЬНЫЕ ТРЕБОВАНИЯ К АЛГОРИТМАМ АВТОМАТИЧЕСКОЙ
РЕГУЛИРОВКИ УСИЛЕНИЯ ГРОМКОСТИ ЗВУКА
Росстандарта от 22.04.2014 N 394-ст)
Л.1. Алгоритмы автоматической регулировки усиления громкости звука на передачу предназначены для компенсации низкого уровня звука, который может возникать в случае ДТП (например, если водитель говорит в направлении, отличающемся от диаграммы направленности микрофона).
Л.1.1. Дополнительное усиление, вносимое АРУ на передачу, должно быть не более 12 дБ и не менее минус 6 дБ.
Л.1.2. Алгоритм управления АРУ должен реагировать только на речь водителя и пассажиров, находящихся в салоне ТС, исключая ложное срабатывание на фоновый шум или речь оператора в канале приема.
Л.1.3. Рост усиления громкости звука на 6 дБ должен достигаться не более чем за 200 мс. Не должно быть ошибочного усиления при отсутствии речевого сигнала (при наличии только фонового шума).
Л.1.4. При реализации алгоритмов АРУ на передачу их использование не должно приводить к повышенному уровню передачи для окружающих шумов, эхосигналов, самовозбуждению системы, блокировке канала на передачу импульсными помехами высокого уровня или речью из канала приема, а также вызывать несоответствие заявленному минимальному типу производительности для дуплексной связи.
Примечания
1. Тесты должны проводиться в присутствии шумов при соотношении сигнал/шум меньше 15 дБ.
2. Алгоритм АРУ должен иметь возможность отключения при настройке АС или при тестировании АС.
Л.2. Алгоритмы автоматической регулировки усиления громкости звука на прием предназначены для обеспечения требуемого качества звука в соответствии с изменением уровня фонового акустического шума в салоне (кабине) транспортного средства. При этом должно быть обеспечено комфортное восприятие входящего голосового сигнала с акустическим ОСШ не менее 6 дБ в условиях различных шумовых ситуаций (зависит от типа ТС и текущего шумового сценария).
Л.2.1. Диапазон регулировки громкости звука должен лежать в пределах от RLRmin до RLRmax.
Л.2.2. Алгоритм управления АРУ должен реагировать только на окружающий фоновый шум, исключая ложное срабатывание на речь водителя и пассажиров, находящихся в салоне ТС.
Л.2.3. Изменение усиления АРУ на 6 дБ должно осуществляться не позднее чем через 2 с после соответствующего изменения уровня окружающего шума.
Л.2.4. При наличии АРУ на прием ее использование не должно приводить к повышенному уровню передачи для эхосигналов, самовозбуждению системы, блокировке каналов на прием/передачу вследствие переходных процессов, а также вызывать несоответствие заявленному минимальному типу производительности для дуплексной связи.
Примечание. Алгоритм АРУ должен иметь возможность отключения при настройке или для тестирования АС.
| Технический регламент о безопасности колесных транспортных средств (утвержден Постановлением Правительства Российской Федерации от 10 сентября 2009 года N 720) |
| ETSI TS 126 267 (3GPP TS 26.267) | Группа технических спецификаций услуги и системные аспекты; передача данных при экстренном вызове (eCall); тональный модем; общее описание, издание 8 (Technical Specification Group Services and System Aspects; eCall Data Transfer; In-band modem solution; General description, Release 8) |
| ITU-T P.1100 | Узкополосная громкая голосовая связь в транспортных средствах |
| ITU-T P.1110 | Широкополосная громкая голосовая связь в транспортных средствах |
| МЭК 61162 | Аппаратура и системы морской навигации и радиосвязи. Цифровые интерфейсы (Maritime navigation and radio communication equipment and systems - Digital interfaces) |
| Правила ЕЭК ООН N 94-01 | Единообразные предписания, касающиеся официального утверждения пассажирских транспортных средств в отношении защиты водителя и пассажиров при фронтальном столкновении, включая дополнения 1 - 3 |
| Правила ЕЭК ООН N 95-02 | Единообразные предписания, касающиеся официального утверждения пассажирских транспортных средств в отношении защиты водителя и пассажиров в случае бокового столкновения, включая дополнение 1 |
[8] | Правила ЕЭК ООН N 66-01 | Единообразные предписания, касающиеся официального утверждения крупногабаритных пассажирских транспортных средств в отношении прочности верхней части кузова |
| Правила ЕЭК ООН N 10 | Единообразные предписания, касающиеся официального утверждения транспортных средств в отношении электромагнитной совместимости. |
| Правила применения абонентских станций (абонентских радиостанций) сетей подвижной радиотелефонной связи стандарта GSM-900/1800 (утверждены Приказом Министерства информационных технологий и связи Российской Федерации от 19 февраля 2008 г. N 21) |
| Правила применения абонентских терминалов систем подвижной радиотелефонной связи стандарта UMTS с частотным дуплексным разносом и частотно-кодовым разделением радиоканалов, работающих в диапазоне частот 2000 МГц (утверждены Приказом Министерства информационных технологий и связи Российской Федерации от 27 августа 2007 г. N 100) |
| Правила применения абонентских терминалов сетей подвижной радиотелефонной связи стандарта UMTS с частотным дуплексным разносом и частотно-кодовым разделением радиоканалов, работающих в диапазоне частот 900 МГц (утверждены Приказом Министерства информационных технологий и связи Российской Федерации от 13 октября 2011 г. N 257) |
| ИСО 2575:2010/Amd. 1:2011 | Транспорт дорожный. Символы для органов управления, индикаторов и сигнализирующих устройств. Изменение N 1 (Road vehicles - Symbols for controls, indicators and tell-tales. Amendment 1) |
| Российская система и план нумерации (утверждены Приказом Министерства информационных технологий и связи Российской Федерации от 17 ноября 2006 г. N 142) |
| ИСО 9141-2 | Транспорт дорожный. Диагностические системы. Часть 2. Требования CARB для обмена цифровой информацией (CARB requirements for interchange of digital information) |
| SAE J1850 | Интерфейс передачи данных сети, класс Б (Class B Data Communications Network Interface) |
| ETSI TS 102671 | Смарт-карты: микропроцессорная карта расширенного стандарта для передачи данных в системе "машина-машина"; физические и логические характеристики; (версия 9.0.0) (Smart Cards; Machine to Machine UICC; Physical and logical characteristics; (V 9.0.0) |
(позиция введена Изменением N 1, утв. Приказом Росстандарта от 22.04.2014 N 394-ст) |
| Правила ЕЭК ООН N 17 | Единообразные предписания, касающиеся официального утверждения транспортных средств в отношении прочности сидений, их креплений и подголовников |
(позиция введена Изменением N 1, утв. Приказом Росстандарта от 22.04.2014 N 394-ст) |
| Технический регламент Таможенного союза о безопасности колесных транспортных средств ТР ТС (018/2011), утвержденный Решением Комиссии Таможенного союза от 9 декабря 2011 г. N 877 (в ред. решения Совета Евразийской экономической комиссии от 30.01.2013 N 6) |
(позиция введена Изменением N 1, утв. Приказом Росстандарта от 22.04.2014 N 394-ст) |
| ETSI TS 122101 | Универсальная система мобильной связи (UMTS); LTE; Аспекты предоставления услуги; основные принципы услуг; (Universal Mobile Telecommunications System (UMTS); LTE; Service aspects; Service principles) |
(позиция введена Изменением N 1, утв. Приказом Росстандарта от 22.04.2014 N 394-ст) |
| Правила ЕЭК ООН N 12 | Единообразные предписания, касающиеся официального утверждения транспортных средств в отношении защиты водителя от удара о систему рулевого управления |
(позиция введена Изменением N 1, утв. Приказом Росстандарта от 22.04.2014 N 394-ст) |
| ИСО 3779-2009 | Транспорт дорожный. Идентификационный номер автомобилей (VIN). Содержание и структура (Road vehicles. Vehicle identification number (VIN). Content and structure). |
(позиция введена Изменением N 1, утв. Приказом Росстандарта от 22.04.2014 N 394-ст) |