Главная // Актуальные документы // ГОСТ Р (Государственный стандарт)СПРАВКА
Источник публикации
М.: ИПК Издательство стандартов, 1996
Примечание к документу
Отдельные положения данного документа включены в
Перечень международных и региональных (межгосударственных) стандартов, а в случае их отсутствия - национальных (государственных) стандартов, содержащих правила и методы исследований (испытаний) и измерений, в том числе правила отбора образцов, необходимые для применения и исполнения требований технического
регламента Евразийского экономического союза "О безопасности продукции, предназначенной для гражданской обороны и защиты от чрезвычайных ситуаций природного и техногенного характера" (ТР ЕАЭС 050/2021) и осуществления оценки соответствия объектов технического регулирования (
Решение Коллегии Евразийской экономической комиссии от 30.05.2023 N 78).
С 01.07.2003 до вступления в силу технических регламентов акты федеральных органов исполнительной власти в сфере технического регулирования носят рекомендательный характер и подлежат обязательному исполнению только в части, соответствующей целям, указанным в
п. 1 ст. 46 Федерального закона от 27.12.2002 N 184-ФЗ.
Документ
введен в действие с 01.01.1997.
Название документа
"ГОСТ Р 50840-95. Государственный стандарт Российской Федерации. Передача речи по трактам связи. Методы оценки качества, разборчивости и узнаваемости"
(принят и введен в действие Постановлением Госстандарта России от 21.11.1995 N 579)
"ГОСТ Р 50840-95. Государственный стандарт Российской Федерации. Передача речи по трактам связи. Методы оценки качества, разборчивости и узнаваемости"
(принят и введен в действие Постановлением Госстандарта России от 21.11.1995 N 579)
Принят и введен в действие
Постановлением Госстандарта России
от 21 ноября 1995 г. N 579
ГОСУДАРСТВЕННЫЙ СТАНДАРТ РОССИЙСКОЙ ФЕДЕРАЦИИ
ПЕРЕДАЧА РЕЧИ ПО ТРАКТАМ СВЯЗИ
МЕТОДЫ ОЦЕНКИ КАЧЕСТВА, РАЗБОРЧИВОСТИ И УЗНАВАЕМОСТИ
Speech transmission over varies communication channels.
Techniques for measurements of speech quality,
intelligibility and voice identification
ГОСТ Р 50840-95
Группа Э50
Дата введения
1 января 1997 года
1 РАЗРАБОТАН Московским Государственным университетом и войсковой частью 93901
ВНЕСЕН Ассоциацией "Гуманитарное знание"
2 ПРИНЯТ И ВВЕДЕН В ДЕЙСТВИЕ Постановлением Госстандарта России от 21.11.95 N 579
3 ВВЕДЕН ВПЕРВЫЕ
Настоящий стандарт регламентирует получение комплексной оценки качества передачи речи, основанной на методах измерения показателей разборчивости и качества речи, а также узнаваемости голоса диктора. Оценки, установленные стандартом, могут быть получены в обычном (ручном) и автоматизированном (машинном) режимах. Комплексная оценка включает в себя значения слоговой разборчивости, показателя заметности искажения качества речи в тракте (аппаратуре) связи по методу парных сравнений относительно контрольного тракта, показателя заметности искажения шести селективных признаков (картавость, гнусавость и др.), а также ряда других оценок. В машинном режиме используется ПЭВМ типа IBM PC/AT, пакет программ "КРЕС" Ассоциации "Гуманитарное знание" Московского Государственного университета, что обеспечивает автоматизацию измерительных процедур (подсчет результатов измерения, лингвистический анализ матриц звуковых ошибок, оформление протоколов измерений и пр.).
Настоящий стандарт распространяется на тракты (аппаратуру) телефонной проводной и радиосвязи, в которых используется аналоговый речевой сигнал, а также на устройства, содержащие преобразователи речевого сигнала в цифровую форму, синтезаторы речи, и устанавливает нормы качества передачи (воспроизведения) речи и методы измерений:
- разборчивости речи методом артикуляционных измерений;
- разборчивости речи методом артикуляционных измерений по таблицам неполных слогов (метод дописывания);
- качества речи методом парных сравнений испытуемого и контрольного трактов;
- качества речи методом оценки величины заметности искажений селективных признаков;
- разборчивости, качества речи и узнаваемости голоса диктора методом парных сравнений;
- фразовой разборчивости в испытуемом тракте при ускоренном в 1,4 - 1,6 раза по сравнению с нормальным темпе произнесения.
В настоящем стандарте использованы ссылки на следующие стандарты:
ГОСТ 7153-85 Аппараты телефонные общего применения. Общие технические условия
ГОСТ 13107-79 Устройства приема и передачи речи. Методы измерения шумов
ГОСТ 15150-69 Машины, приборы и другие технические изделия. Исполнения для различных климатических районов. Категории, условия эксплуатации, хранения и транспортирования в части воздействия климатических факторов внешней среды
ГОСТ 17187-81 Шумомеры. Общие технические требования и методы испытаний
ГОСТ 24863-87 Магнитофоны бытовые. Общие технические условия
В настоящем стандарте применяют следующие термины с соответствующими определениями.
Разборчивость речи - относительное количество (в процентах) правильно принятых элементов (слогов, слов, фраз) артикуляционных таблиц.
Качество речи - величина, характеризующая субъективную оценку звучания речи в испытуемом тракте:
- по сравнению со звучанием в контрольном тракте (принятым за пять баллов);
- по сравнению со звучанием речи в другом тракте (в процентах предпочтения).
Узнаваемость голоса диктора - величина, характеризующая степень сохранения субъективно воспринимаемых индивидуальных признаков голоса диктора в испытуемом тракте.
Селективные признаки - специфические субъективно воспринимаемые характеристики звучания речи:
- картавость - искажение сонорных "л", "р";
- плаксивость - дрожание основного тона;
- гнусавость - звучание речи с излишней назализацией ("произношение в нос");
- механический голос - монотонность речи, потеря естественности звучания речи;
- дребезжание, хрип - неровный, резкий и прерывистый звук;
- помеха - шум и призвуки в речевых паузах.
Нормальный темп речи - чтение вслух печатного текста со скоростью около 4 слогов (8 звуков) в секунду.
Ускоренный темп речи - то же со скоростью около 6 слогов (12 звуков) в секунду.
4.1 При выполнении измерений должны быть применены измерительные системы, испытательное оборудование и средства измерений:
- магнитофоны первой группы сложности по ГОСТ 24863;
- динамические головные телефоны;
- контрольный тракт - телефонный канал с эффективной полосой пропускания частот 300 - 3400 Гц в соответствии с
приложением А и оконечное телефонное оборудование с электроакустическими характеристиками, соответствующими телефонному аппарату класса 0 по
ГОСТ 7153, или телефонный аппарат типа П-171;
4.2 Для выполнения измерений допускается использование дополнительного оборудования:
- ПЭВМ типа IBM PC/AT с устройством ввода-вывода речевой информации с характеристиками для магнитофонов первой группы сложности по ГОСТ 24863;
- пакет программ по оценке КАЧЕСТВА РЕЧЕВОЙ СВЯЗИ ("КРЕС") для автоматизации методов измерений, обработки данных и оформления протоколов;
- набор дискет с речевыми тестами и слоговыми артикуляционными таблицами (приложение к пакету "КРЕС").
5 ОБЩИЕ ТРЕБОВАНИЯ И ПОДГОТОВКА К ИЗМЕРЕНИЯМ
5.1 Измерения должны проводиться в нормальных климатических условиях по
ГОСТ 15150.
5.2 Уровень и форма спектра акустического шума в помещении для испытаний должны быть указаны в технических условиях на испытуемый тракт (аппаратуру) конкретного типа. При отсутствии указаний испытания проводят при уровне шума не более 50 дБ (по шкале А ГОСТ 13107).
5.3 Измерения проводит бригада операторов (дикторы и аудиторы), не имеющих явных дефектов речи и слуха.
Измерения разборчивости речи проводит бригада в возрасте от 18 до 30 лет, в составе которой должно быть не менее трех дикторов (двух мужчин и одной женщины) и трех аудиторов. Состав бригады аудиторов произвольный. Аудиторы могут быть дикторами.
Измерения качества речи и узнаваемости диктора по голосу проводит бригада, в которой должно быть не менее 5 дикторов (трех мужчин и двух женщин) и 15 аудиторов. Состав бригады аудиторов произвольный. Аудиторы могут быть дикторами.
Для проведения государственных испытаний тракта (аппаратуры) рекомендуется формировать новую бригаду аудиторов.
5.4 При использовании ПЭВМ аудиторы должны быть обучены работе на клавиатуре по вводу цифро-буквенной информации со скоростью около 40 знаков в минуту.
5.5 При подготовке к проведению измерений речевой тест (фразы или таблицы) подается на вход испытуемого тракта (аппаратуры) и записывается с выхода тракта на магнитофон или вводится в память ПЭВМ.
Чтение тестового материала осуществляется через штатное абонентское оконечное оборудование испытуемого тракта (аппаратуры) или при его отсутствии через оконечное телефонное оборудование с электроакустическими характеристиками, соответствующими телефонному аппарату класса 0 по
ГОСТ 7153, или через телефонный аппарат типа П-171.
Допускается предварительная запись речевого материала на магнитофоне 1-го класса или его хранение в ПЭВМ.
5.6 Результаты измерений должны быть оформлены протоколом, содержащим:
- объект испытаний;
- цель испытаний;
- материально-техническое обеспечение;
- условия и методику проведения испытаний;
- результаты измерений;
- выводы и рекомендации.
6 ИЗМЕРЕНИЕ РАЗБОРЧИВОСТИ РЕЧИ АРТИКУЛЯЦИОННЫМ МЕТОДОМ
6.1 Измерения проводит бригада операторов в составе, указанном в
5.3, прошедшая специальное обучение (тренировку), путем прослушивания на головные телефоны слоговых артикуляционных таблиц, указанных в
приложении Б.
6.2 Бригаду операторов рекомендуется обучать в два этапа.
6.3 На первом этапе обучения операторы знакомятся со структурой речевого материала, осваивают технику его произношения, а также адаптируются к восприятию речи, искаженной в испытуемом тракте (аппаратуре) в соответствующих акустических условиях.
6.4 Чтение слогов осуществляется диктором ровным голосом, четко, но без подчеркивания отдельных звуков с постоянным уровнем речи, который контролируется шумомером на испытательной фразе "Не видали мы такого невода".
Слоги следует читать в следующем ритме: 1 слог в (3 +/- 0,3) с.
6.5 Диктор должен выдерживать постоянный ритм речи на протяжении чтения всей таблицы.
6.6 Аудитор записывает принятые слоги в бланк, форма которого приведена на
рисунке 1.
Таблица N ____________________ | Дата __________________________ |
Диктор _______________________ | Тип тракта _____________________ |
Аудитор ______________________ | Уровень шума, дБ _______________ |
Чтение таблицы:
(в столбик, в строчку)
1 | | 11 | | 21 | | 31 | | 41 | |
2 | | 12 | | 22 | | 32 | | 42 | |
3 | | 13 | | 23 | | 33 | | 43 | |
4 | | 14 | | 24 | | 34 | | 44 | |
5 | | 15 | | 25 | | 35 | | 45 | |
6 | | 16 | | 26 | | 36 | | 46 | |
7 | | 17 | | 27 | | 37 | | 47 | |
8 | | 18 | | 28 | | 38 | | 48 | |
9 | | 19 | | 29 | | 39 | | 49 | |
10 | | 20 | | 30 | | 40 | | 50 | |
Если аудитор не понял переданного слога, он прочеркивает соответствующую пронумерованную строку в бланке принятых слогов.
6.7 На втором этапе тренировки проводится цикл измерений при использовании испытуемого тракта.
6.8 Цикл измерений включает в себя прием всеми аудиторами от всех дикторов по 5
k таблиц, где
k = 1, 2, 3 .... Пятерки таблиц должны иметь номера 1 - 5, 6 - 10, 11 - 15 и т.д.
Использование при измерении неполной пятерки таблиц не допускается.
Слоговые таблицы с одинаковыми номерами должны использоваться не чаще одного раза в неделю.
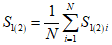
6.9 Для каждого измерения вычисляется среднее значение разборчивости (S) по формуле

, (1)
где Si - результат единичного измерения, % (диктор - таблица - аудитор);
N - число единичных измерений.
Далее выявляют сомнительные значения
Si, которые отбрасывают, и вычисляют новое значение
S.
Методика обработки приведена в приложении В.
6.10 Тренировку считают законченной при достижении бригадой стабильных результатов измерения разборчивости (повторяемость значений средней разборчивости по бригаде в течение 2 - 3 дней).
6.11 Аудиторы, результаты которых имеют систематическое отклонение от средних значений по бригаде более чем на величины, указанные в
таблице 1, подлежат замене или исключению из бригады.
В процентах
Среднее значение разборчивости по бригаде | Отклонение от среднего значения |
91 и более | 5 |
86 - 90 | 6 |
81 - 85 | 7 |
71 - 80 | 8 |
70 и менее | 9 |
6.12 Время работы бригады должно быть не более 4 ч за один день. После приема 5 таблиц делается перерыв 5 - 10 мин. Общее число таблиц за одно измерение до 40.
6.13 При работе в акустических шумах бригада приступает к измерениям спустя 5 - 10 мин после пребывания в условиях шума. Общее число таблиц - 30 (при уровне шума 80 - 100 дБ) и 20 (при уровне шума более 100 дБ).
6.14 Классы качества и нормы разборчивости речи - в соответствии с
таблицей 2.
Класс качества | Характеристика класса качества | Норма слоговой разборчивости речи для трактов с параметрическим компандированием, % | Норма слоговой разборчивости речи для трактов с кодированием волны речевого сигнала, % |
Высший | Понимание передаваемой речи без малейшего напряжения внимания | > 93 | > 80 |
I | Понимание передаваемой речи без затруднений | 86 - 93 | 56 - 80 |
II | Понимание передаваемой речи с напряжением внимания без переспросов и повторений | 76 - 85 | 41 - 55 |
III | Понимание передаваемой речи с некоторым напряжением внимания, редкими переспросами и повторениями | 61 - 75 | 25 - 40 |
IV | Понимание передаваемой речи с большим напряжением, частыми переспросами и повторениями | 45 - 60 | < 25 |
6.15 Метод следует использовать при аттестации тракта (аппаратуры) связи.
7 ИЗМЕРЕНИЕ РАЗБОРЧИВОСТИ РЕЧИ АРТИКУЛЯЦИОННЫМ МЕТОДОМ
ПО ТАБЛИЦАМ НЕПОЛНЫХ СЛОГОВ
7.1 При наличии дополнительного оборудования (ПЭВМ с устройством ввода-вывода речевой информации) измеряют разборчивость методом дописывания неполных слогов, полученных из таблиц
приложения Б. Пример такой формы, полученной из
таблицы Б.1, приведен на
рисунке 2.
Таблица N ____________________ | Дата __________________________ |
Диктор _______________________ | Тип тракта _____________________ |
Аудитор ______________________ | Уровень шума, дБ _______________ |
_ЯК/_АК | МЮ_ | ФСЕ_ | Е_ | _ЁХ/_ОХ |
_ЮЛЬ/_УЛЬ | ЗО_ | РЯ_ | _ТЯЛ | _ЁФ/_ОФ |
__ЮЩ/_УЩ | ПЛИС_ | БЕ_ | _ИПЬ/_ЫПЬ | ТЭ_ |
_ЯТ/_АТ | _ИЦ/_ЫЦ | _ЯТЬ/_АТЬ | _ЕФ/_ЭФ | _РУХ |
_ВУМ | _ЮМ/_УМ | ВЫ_ | _ЯЦ/_АЦ | ФЕ_ |
_ЁСЬ/__ОСЬ | _ИСЬ/__ЫСЬ | _ЮМ/_УМ | _РИТ | ЛЕФ_ |
ПИ_ | _ЮТ/_УТ | ПРЮ_ | _ИСЬ/__ЫСЬ | _ИК/_ЫК |
_ТАЛ | _ИЧ/_ЫЧ | ШЕТ_ | _ЕП/_ЭП | _ЕХ/_ЭХ |
_ЮРЬ/_УРЬ | ВОСТ_ | ТЮ_ | ЗДЕ_ | _ЯСЬ/_АСЬ |
ХА_ | ДЫ__ | ЕФ_ | ТО_ | _ЕХ/_ЭХ |
В слогах таблицы отсутствуют начальные (мягкие/твердые) или конечные согласные.
7.2 Аудиторы прослушивают на головные телефоны таблицы, выводимые из ПЭВМ, и одновременно наблюдают на экране дисплея неполные слоги.
В соответствии со своим слуховым восприятием аудитор вводит в ПЭВМ через клавиатуру недостающий (пропущенный) согласный в соответствующий вариант слога. Методика работы на клавиатуре содержится в пакете программ "КРЕС".
7.3 Скорость следования слогов задается программой ПЭВМ.
При измерении ПЭВМ автоматически составляет пятерки новых таблиц со случайным порядком следования слогов на основе серии из пяти таблиц под номерами 1...5, 6...10 и т.д.
7.5 По данным артикуляционных измерений вычисляют среднюю разборчивость (Q) по формуле

, (2)
где qi - результат единичного измерения, % (диктор - таблица - аудитор);
N - число единичных измерений.
По данным измерений ПЭВМ формирует матрицу ошибок, обрабатывает ее и оформляет протокол измерений.
7.6 Соотношение между разборчивостью слогов
S и средней разборчивостью
Q для трактов с параметрическим компандированием приведено в
таблице 3 и на
рисунке 3.
S | 35 | 40 | 45 | 50 | 55 | 60 | 65 | 70 | 75 |
Q | 61 | 65 | 69 | 73 | 77 | 80 | 83 | 86 | 89 |
S | 80 | 85 | 87,5 | 90 | 92,5 | 95 | 97,5 | 100 | |
Q | 92 | 95 | 96 | 97 | 98 | 99 | 99,5 | 100 | |
7.7 Метод дописывания рекомендуется для оценки трактов в условиях низкой разборчивости, например в шумах.
При этом достигается:
- автоматизация процедур получения, обработки и углубленного анализа данных артикуляционных измерений;
- сокращение времени тренировки бригады аудиторов;
- ускорение получения результатов измерений.
8 ИЗМЕРЕНИЕ КАЧЕСТВА РЕЧИ МЕТОДОМ ПАРНЫХ СРАВНЕНИЙ
С КОНТРОЛЬНЫМ ТРАКТОМ
8.1 Измерение проводят путем прослушивания пар одинаковых фраз длительностью по 2 - 3 с каждая на головные телефоны с выхода испытуемого и контрольного трактов бригадой операторов в составе, указанном в
5.3. Порядок следования испытуемого и контрольного трактов изменяют по случайному закону.
8.2 Аудитор проставляет в бланке, форма которого приведена на
рисунке 4, свои оценки качества речи по пятибалльной шкале с точностью до 0,1, руководствуясь характеристиками речевого сигнала, приведенными в
таблице 4. Одинаковые оценки не допускаются.
Дата __________________________ | Тип тракта _____________________ |
Аудитор ______________________ | Уровень шума, дБ _______________ |
NN фраз | Диктор N 1 | Диктор N 2 | Диктор N 3 | Диктор N 4 | Диктор N 5 |
1 | 2 | 1 | 2 | 1 | 2 | 1 | 2 | 1 | 2 |
1 | | | | | | | | | | |
2 | | | | | | | | | | |
3 | | | | | | | | | | |
4 | | | | | | | | | | |
5 | | | | | | | | | | |
6 | | | | | | | | | | |
7 | | | | | | | | | | |
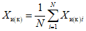
8.3 Обработку полученных результатов проводят путем вычисления средней балльной оценки испытуемого и контрольного трактов (Xи и Xк) по формуле

, (3)
где Xи(к)i - результат единичного измерения (диктор - фраза - аудитор);
N - число единичных измерений.
Далее проводят нормирование оценки испытуемого тракта Xи по формуле

. (4)
8.4 Классы и нормы качества - в соответствии с
таблицей 4.
Класс качества | Характеристика класса качества речи | Норма качества, баллы |
Высший | Естественное звучание речи, отдельные малозаметные искажения помехового типа. Искажения типа дребезжание, хрип отсутствуют. Высокая узнаваемость | > 4,5 |
I | Некоторое нарушение естественности и узнаваемости, слабое присутствие одного вида искажений (картавость, гнусавость, дребезжание, хрип и др.) | 3,6 - 4,5 |
II | Заметное нарушение естественности и ухудшение узнаваемости, присутствие нескольких видов искажений (картавость, гнусавость, дребезжание, хрип и др.) | 2,6 - 3,5 |
III | Постоянное присутствие искажений типа картавость, гнусавость, дребезжание, хрип и др. Существенное искажение естественности и ухудшение узнаваемости | 1,7 - 2,5 |
IV | Сильные искажения типа картавость, гнусавость, дребезжание, хрип и др.; механический голос. Наблюдается потеря естественности и узнаваемости | < 1,7 |
Примечания
1 Степень искажения признака - согласно
таблице 5 (норма в баллах не учитывается).
2 Характеристика речи контрольного тракта соответствует высшему классу качества.
3 Оценка высококачественного тракта может превышать 5 баллов.
8.5 При наличии дополнительного оборудования пары фраз и порядок их следования ПЭВМ формирует автоматически.
Оценка качества речи вводится в ПЭВМ через клавиатуру. Методика работы на клавиатуре содержится в пакете программ "КРЕС".
8.6 Метод рекомендуется использовать при аттестации аппаратуры по показателю качества речи.
9 ИЗМЕРЕНИЕ КАЧЕСТВА РЕЧИ МЕТОДОМ ОЦЕНКИ
ПО СЕЛЕКТИВНЫМ ПРИЗНАКАМ
9.1 Измерения проводит бригада в составе, указанном в
5.3, путем прослушивания аудиторами фраз, прошедших через контрольный и испытуемый тракты (аппаратуру). Фразы приведены в
приложении Г.
Фразы для прослушивания передают с интервалом 2 - 3 с. Число прослушиваний каждой фразы не ограничено.
9.2 Аудиторы проводят сравнение звучания фразы, прошедшей через контрольный тракт, и фразы, прошедшей через испытуемый тракт (аппаратуру), и определяют наличие следующих селективных признаков искажения в звучании речи относительно контрольного тракта:
- картавость;
- плаксивость;
- гнусавость;
- механический голос;
- дребезжание, хрип;
- помеха в паузах речи.
Оценку степени искажения признаков (в баллах) на голосе каждого диктора осуществляют в соответствии с
таблицей 5.
Степень искажения признака | Норма, балл |
Отсутствует | 0 |
Присутствует (редко встречается) | 1 |
Выражен сильно (присутствует постоянно) | 2 |
Оценку проставляют в бланке, форма которого приведена на
рисунке 5.
Дата __________________________ | Тип тракта _____________________ |
Аудитор ______________________ | Уровень шума, дБ _______________ |
Наименование признака | Диктор N 1 | Диктор N 2 | Диктор N 3 | Диктор N 4 | Диктор N 5 |
Картавость | | | | | |
Гнусавость | | | | | |
Плаксивость | | | | | |
Механический голос | | | | | |
Дребезжание, хрип | | | | | |
Помеха | | | | | |
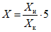
9.3 По данным измерений вычисляют среднее значение X степени искажения каждого из шести селективных признаков по формуле

, (5)
где Xi - результат единичного измерения (аудитор - диктор);
N - число единичных измерений.
9.4 При использовании дополнительного оборудования на экране дисплея ПЭВМ высвечивается перечень селективных признаков.
Аудитор должен набрать на клавиатуре порядковый номер признака искажения и дать оценку в баллах степени его выраженности в соответствии с
таблицей 5. Методика работы на клавиатуре содержится в пакете программ "КРЕС".
9.5 Метод рекомендуется использовать при углубленном анализе факторов искажения речи, а также для установления класса качества речи.
10 ИЗМЕРЕНИЕ РАЗБОРЧИВОСТИ, КАЧЕСТВА РЕЧИ И УЗНАВАЕМОСТИ
ГОЛОСА ДИКТОРА МЕТОДОМ ПАРНЫХ СРАВНЕНИЙ
10.1 Измерения проводят для двух трактов связи (испытуемого и другого, взятого для сравнения).
10.2 При измерении разборчивости речи бригада аудиторов прослушивает по 5 таблиц, переданных поочередно через сравниваемые тракты NN 1 - 5, 6 - 10 и т.д. По данным измерений определяют среднее значение слоговой разборчивости
S и абсолютную ошибку измерений

для каждого тракта связи по формулам:

; (6)

, (7)
где S1(2)i - результат единичного измерения (диктор - таблица - аудитор);
N - число единичных измерений;

- среднее квадратическое отклонение;

- доверительный интервал (при достоверности

и числе единичных измерений больше 30).
При разнице в величине разборчивости для трактов менее половины абсолютной ошибки измерения тракты признают одинаковыми по этому показателю. Сомнительные результаты исключают в соответствии с
приложением В.
10.3 Измерения качества речи проводит бригада операторов в составе, указанном в
5.3, путем прослушивания фраз, прошедших через сравниваемые тракты. Фразы приведены в
приложении Г.
Очередность следования трактов в каждой паре изменяют по случайному закону.
Аудитор отмечает на бланке, приведенном в
разделе 8, или вводит в ПЭВМ нажатием на клавиатуре соответствующей клавиши фразу, представленную в паре, которой он отдает предпочтение по качеству звучания по критерию "где больше нравится".
10.4 По окончании измерений определяют величину предпочтения одного тракта перед другим (P), характеризующую заметность в различии трактов по качеству речи, по формуле

, (8)
где Pi - число случаев предпочтения качества речи одного тракта перед другим;
N - число единичных измерений.
При нулевой степени заметности тракты оценивают как одинаковые. Нормы заметности приведены в
таблице 6.
Степень заметности | Характеристика | Норма заметности (%) |
0 | Незаметно | < 57,5 |
1 | Едва заметно | 58 - 65 |
2 | Заметно | 66 - 75 |
3 | Сильно заметно | > 75 |
10.5 Измерение узнаваемости голоса диктора проводит бригада операторов в составе, указанном в
5.3, путем прослушивания фраз диктора, прошедших через контрольный тракт, и фраз, прошедших через сравниваемые тракты. Фразы приведены в
приложении Г.
10.6 Аудитору предъявляют на прослушивание каждую фразу на голосе диктора три раза в следующей последовательности: фраза, прошедшая через контрольный тракт, и далее фразы, переданные через каждый из двух сравниваемых трактов в случайном порядке.
Аудитор на основании сравнения звучания фразы, прошедшей через контрольный тракт, и фраз, прошедших через сравниваемые тракты, отмечает на бланке, приведенном в
разделе 8, или вводит в ПЭВМ путем нажатия на клавиатуре соответствующей клавиши фразу, представленную в паре, наиболее близкую к естественной по сохранению признаков узнаваемости голоса диктора.
По окончании измерений по
формуле (8) определяют величину предпочтения одного из сравниваемых трактов (
P) по узнаваемости голоса диктора.
Степень заметности различия трактов приведена в
таблице 6.
10.7 Метод рекомендуется применять при сравнении испытуемого тракта с каким-либо другим.
11 ИЗМЕРЕНИЕ ФРАЗОВОЙ РАЗБОРЧИВОСТИ ПРИ УСКОРЕННОМ ТЕМПЕ
ПРОИЗНЕСЕНИЯ
11.1 Измерение проводят путем передачи по испытуемому тракту таблиц, состоящих из коротких (3 - 4 слова) фраз с фиксацией их правильного приема. В приеме таблиц участвует пара операторов: аудитор и контролер. Аудитор произносит вслух принятую фразу, а контролер фиксирует в отпечатанной таблице правильность ее приема. При этом измерения осуществляют при нормальном и ускоренном темпе произнесения двух таблиц фраз с участием бригады в составе не менее 3 дикторов и 4 - 5 пар операторов.
11.2 Перед испытаниями бригада тренировку не проводит.
При ускоренном темпе среднее время произнесения фраз должно быть в 1,4 - 1,6 раза меньше, чем при нормальном темпе. Длительность паузы между фразами 5 - 6 с.
11.3 Прослушивание осуществляют в следующем порядке. Сначала аудитор прослушивает таблицу фраз, прочитанную в нормальном темпе, затем другую таблицу, прочитанную тем же диктором в ускоренном темпе.
11.4 Обработка результатов состоит в вычислении среднего значения разборчивости для ускоренного и нормального темпа произнесения фраз по формуле

, (9)
где jу(н)i - результат единичного измерения (аудитор - фраза - диктор);
N - число единичных измерений.
Показатель снижения фразовой разборчивости

вычисляют по формуле

, (10)
где Jн - разборчивость фраз при нормальном темпе произнесения;
Jу - то же, при ускоренном темпе.
11.5 Метод рекомендуется применять при углубленном анализе факторов искажения речи в тракте связи.
(обязательное)
ЭЛЕКТРИЧЕСКИЕ ПАРАМЕТРЫ КОНТРОЛЬНОГО ТРАКТА
А.1 Контрольный тракт должен состоять из включенных последовательно полосового фильтра и усилителя нижних частот.
А.2 Номинальная величина входного и выходного сопротивления контрольного тракта в полосе частот 300 - 3400 Гц должна быть равна (600 +/- 60) Ом.
А.3 Затухание контрольного тракта должно быть:
- в полосе частот 300 - 3400 | - (0 +/- 0,5) дБ; |
- на частотах 150 и 4500 Гц | - (35 +/- 5,0) дБ; |
- на частотах ниже 100 Гц | - более 45 дБ; |
- на частотах выше 5500 Гц | - более 60 дБ. |
А.4 Уровень собственных шумов контрольного тракта должен быть не более минус 55 дБ.
А.5 Амплитудная характеристика контрольного тракта должна быть линейной с отклонением не более +/- 1 дБ в диапазоне от минус 45 до плюс 20 дБ.
А.6 Нелинейные искажения должны быть не более:
2% при выходном уровне 0 дБ;
7% при выходном уровне плюс 20 дБ.
(обязательное)
АРТИКУЛЯЦИОННЫЕ ТАБЛИЦЫ СЛОГОВЫЕ
┌─────────────────────────────────────────────────────────────────────────┐
│ г ь д з ь │
│НЯК ПУЛЬ БУЩ МЯТ СВУМ СОСЬ ПИЦ ЧТАЛ ДЮРЬ ХАЧ │
│ │
│ б жь з з д ь з │
│МЮФ ЗОШ ПЛИСЬ РЫЦ ДУМ НЫСЬ ЛУТ СИЧ ВОСТЬ ДЫС │
│ │
│в яд з эд д в │
│ФСЕН РЯЙ БЁР ЧАТЬ ВЫС ГУМ ПРЮХ ШЕТЬ ТЮТ ЁФЬ │
│ │
│ г б в д ыз б с з │
│ЁК СТЯЛ ТЫПЬ ГЕФ БАЦ ТРИТ ШИСЬ ДЕП ЗДЕС ТОРЬ │
│ │
│ ёв в г в г сч о з │
│ВОХ ЖОФ ТЭФ ТРУХ ФЕК ЛЕФЬ ВИК ЩЁХ КАСЬ ЗЕХ │
└─────────────────────────────────────────────────────────────────────────┘
Таблица Б.2
┌─────────────────────────────────────────────────────────────────────────┐
│ д з д │
│ЛИР НЁТ ТРЕН РАСЬ СКУМ ЦАТЬ ДЯН СТОЦ ПРЫЛ КРОМ │
│ │
│ ь в │
│ДУЧ СВАР ПОРЬ НАР ЗУНЬ СУЛ ПЯФ ЗОЛЬ СЕЛЬ ХИЛ │
│ │
│ з в д з д │
│ЧТЕЛ ЛАСЬ ХУФ ПЕСТЬ ВЫЙ КАСТЬ РЁТЬ РЯС ФЫЛ РУТ │
│ │
│ з жь д жь з ь з з │
│ЖАСЬ КЕШ ПЫЦ ГУТЬ МЕШ БЯС ТУЩ ДЕС СЫХ ЯС │
│ │
│ в з ов в эб в б ё │
│ЛЁНЬ МАФ ЗЮС ЧЁФ БУФ ШЕП ДЛАФ ТЁР НЕПЬ ШОЛЬ │
└─────────────────────────────────────────────────────────────────────────┘
Таблица Б.3
┌─────────────────────────────────────────────────────────────────────────┐
│ жь и б ё б в в з │
│РОН НЯШ ЦЫЙ РЕПЬ ШОХ ГИПЬ СЁЙ ФСОФ ТАС ЛЕР │
│ │
│в з сч я з в в з │
│ФСЕС ЧУМЬ ЩАЛ КРЫС ВЯФ ФАЙ РИР САМЬ РУФЬ ДАС │
│ │
│ б ь ь д │
│ЮЦ ПЕЛ ТРЯПЬ ТЁЩ МЫЛ ЗАХ НОСТЬ ДЁЧ ТАЦ ПРИТ │
│ │
│ ь ь з б з в │
│ЛОЧ ДЫСТ ПУЧ ХАС НИП ШТИСЬ ТУМ ВЯЙ НЫФ МЯМ │
│ │
│ ь ыг з д в │
│КУЙ ЗИЧ ЖИК ГОМ ПРАС БОТЬ ШАРЬ НУНЬ ДЛИН ВАФЬ │
└─────────────────────────────────────────────────────────────────────────┘
Таблица Б.4
┌─────────────────────────────────────────────────────────────────────────┐
│ в ь э │
│ЗУФЬ СТЫЧ ЖЕН ЕР НЯРЬ ЗНУН ГАНЬ КОС СЫМ ЛОЦ │
│ │
│ в ч д б ы ь ь сч д │
│БЮН ХОЛЬ ДЯФ НЕНЬ ШТОТЬ ЛЮПЬ ПРОЦ ШИЧ ПЯЩ ЩЕТЬ │
│ │
│ ь г д д з в г д │
│ЦУЧ КИК МОТЬ ДРЕТЬ РЮХ ЧЕСЬ МИФЬ ТРАР ЗЯК НОТЬ │
│ │
│ г ь д г з д с б │
│ПЛЫК ФУЧ ЧТЭТ ВАК ЛЕН ТУХ ВУР ЗОС ХЕТ ЗДАП │
│ │
│ в д ь з │
│СЁФ КАТЬ ДОР ПОН ТЯЧ СУСЬ БАН ВЁНЬ ТИСТЬ РУЛ │
└─────────────────────────────────────────────────────────────────────────┘
Таблица Б.5
┌─────────────────────────────────────────────────────────────────────────┐
│ г ь з г в б з │
│РЁК НИЩ ЗНОМ РЫС ГЕК ТАНЬ ВУФ ТРЁП МЁХ ПАСЬ │
│ │
│ з д з в в │
│ЗЫРЬ ЧТУЙ БЫС ТЕТ СКЕС МОФЬ ЛЯМ ГОФ СЯХ РОЦ │
│ │
│ г з з д ы │
│ФОК ШУСЬ ХУЛ ШТАЙ МИС ДВАТ ТРЮЛЬ НУЦ РЕЛЬ ШИЙ │
│ │
│ г сч ю в жь │
│ДАМЬ ПЮМ КАЦ БЁК ЧИНЬ ЩУРЬ ЛУФ ФИШ СУЗНЬ ПРЕНЬ│
│ │
│ з з │
│СТАР БАНЬ ВЮР НАХ БЕМ САХ ДЕСЬ ЖУС ЦОЙ ЛОРЬ │
└─────────────────────────────────────────────────────────────────────────┘
Таблица Б.6
┌─────────────────────────────────────────────────────────────────────────┐
│ в г з д в з б з │
│БЮФ ТРОК ГОЦ ЧТАС КАР НЮТЬ ЧИФ ЕС ТРЕПЬ РИСЬ │
│ │
│ ь д б з г ь д в эд │
│НОЩ БУТЬ ХУП ФЫР СИСЬ ТЫК ДАЩ ДЮТЬ БАФ ЦЕТЬ │
│ │
│ э жь ы в з ь │
│ВИЙ ШЕШ ЗНАР ТЯЛ ШИНЬ РУФЬ БЁС ПРИЧ РОН ПАЦ │
│ │
│ д з г з з │
│СТОТЬ ЛИС СЭК ДВИЙ МАМ НУР ЛЫК ЖАСЬ СЫРЬ ШТОСЬ│
│ │
│ си з з ь б ь │
│ФЕРЬ ЩИСЬ МЯНЬ ЗУСЬ РИЙ ВАЧ СКИР ЧУПЬ пяч ТЁСТЬ│
└─────────────────────────────────────────────────────────────────────────┘
Таблица Б.7
┌─────────────────────────────────────────────────────────────────────────┐
│ б в г │
│НОЛ КЕХ БАМЬ НИМ ЧТУП ТОФЬ НИТ ФОЛЬ ДЁК ШТАМ │
│ │
│ б г б в з │
│ЧИП ПЛАК ХЕП СОФЬ ЛЁР ЗОХ ДАЛ САСТ РЯХ МЕСЬ │
│ │
│ жь ёд ь д в │
│ЛОНЬ ЦОМ ЗИЛЬ ТРУШ ЗОЙ ПРЫЛЬ ЖОТЬ МЫЧ КАТ ПОФЬ │
│ │
│ г в жь с з ь │
│ДРАК ХАФЬ СТАМ РЫЦ СЁМ ТЕШ ЗДОС БЯЦ ЗНУХ ВУЩ │
│ │
│ з з жь в сч б │
│ПЕСЬ ЮС ГОНЬ ВЕШ ШУНЬ САР ВЫФЬ ЩИПЬ НЯН ЛЯЛЬ │
└─────────────────────────────────────────────────────────────────────────┘
Таблица Б.8
┌─────────────────────────────────────────────────────────────────────────┐
│ жь б ь ё з в │
│НУШ ВОП ЛЯЩ ТРИР ШОМ КАЦ ТОФ РАСЬ ФСОХ ЗАМЬ │
│ │
│ д з з з з д │
│ПРАР МЁЦ ДЭТ НАС РЫС ВЁЛЬ КРУС ПУЛ НЕСЬ НОНТ │
│ │
│ д в в │
│ТИМ ДЛЕМ ЖУРЬ ЁЛ БЮРЬ ШТУТ НЯФ СЭМ РЁЛ ШУФЬ │
│ │
│ од з в д э ь г б б │
│ЧЁТЬ ДЕСЬ ФСЯЛ ТЫТЬ ЦЕЧ РЯК ГОП ВОСТ ТУРЬ ГЕП │
│ │
│ г сч я в б з з │
│СЮЙ ХАНЬ ЗЁК ЩАР ПРИФ ЛАЛ БЫПЬ ФУСЬ МОД ПИС │
└─────────────────────────────────────────────────────────────────────────┘
Таблица Б.9
┌─────────────────────────────────────────────────────────────────────────┐
│ д жь ь в з г д │
│БОРЬ ПЮЙ ФИТ БЫШ ТОЧ ЧЕФ СТЯС ЗЕК ТРАТ ПАНЬ │
│ │
│ б ь з б жь б в │
│ПЛИП ЛАД ГЕЧ КУСЬ РЯЛЬ САТЬ ДОПЬ СВАШ ДЯП НЫФЬ │
│ │
│ жь в з д з с д в жь з │
│ХОШ ФСИСЬ ШАТ ТРЯН ЗЭС ЧТЫР ЗДЯТ ДУФЬ ВУШ ТАСЬ │
│ │
│ д в ь ы ь д д э │
│НЕТЬ МЯФ СЕЧ ЖИЙ ДЯНТ ПОХ ВЫЩ ЛЕТЬ ТЮТЬ ШЕМ │
│ │
│ д в сч б │
│СУМЬ ДИЛ ПРЮТ ВЯФЬ РЭЛ ЩЕП МЮХ ГАМЬ БЯН ЁХ │
└─────────────────────────────────────────────────────────────────────────┘
Таблица Б.10
┌─────────────────────────────────────────────────────────────────────────┐
│ жь э жь яз д ь │
│МАШ ЖЕМ КИН ТРЕЙ СУХ ТАЛ ПРОШ ЧАСЬ КРАТЬ ЛЁЩ │
│ │
│ в в д жь │
│ЯФ СКАХ ЦУФ ГАЦ ВЕТЬ ХИН ЗЯЛ ЛЫШ ПЕМ ЗОЛ │
│ │
│ г ь ь │
│РУК НЁМЬ КАСТ ПУР ПЮЗНЬ ТЁЧ ФАН РЕНЬ ШАЧ НАЛ │
│ │
│ д жь б д г б │
│ХОТЬ САШ ДИПЬ ВУЛЬ НИТ ЗЫЛ ШУК ПЫРЬ РЮП ЧТЕХ │
│ │
│ г ь з жь б з │
│СВЕН ДУК МИЧ БАСЬ СЯШ ДЛАН ЛЮП СТУХ ДЯХ ПЭС │
└─────────────────────────────────────────────────────────────────────────┘
Таблица Б.11
┌─────────────────────────────────────────────────────────────────────────┐
│ б б в д д з │
│ШУЛ ВУПЬ ЛАХ ГИП ФСЮЛ ЁМ КУНТ ЧЕТЬ ТОСЬ МИРЬ │
│ │
│ в ыв з сч ю │
│ЗЕЙ ЧТЫН НЮЦ СЫФ ЖИФ РЕТ ВЮС НЯНЬ ЩУР ТУЛ │
│ │
│ э б с жь д д д │
│ДАМ БЮЛ ШЕН ТРЕР СЮПЬ ЗДИШ ФЕЛЬ ПЛИТ КОТЬ ЮТЬ │
│ │
│ в жь д з │
│СВОД РЯФ БЫНЬ ЗАШ ВЫТ ГУЛЬ МЯХ БУС ДЮМ НАМ │
│ │
│ д жь ь ь │
│ПИТ ЛЁМ ПРЯШ ХОЙ РАЧ ТИЛ ДОР ПУЩ СТЕР ТРУМ │
└─────────────────────────────────────────────────────────────────────────┘
Таблица Б.12
┌─────────────────────────────────────────────────────────────────────────┐
│ д ь б з │
│ЗЯЙ ДЛЕТ СУРЬ ПАЦ ЛУЩ ТРЮП МАРЬ ЧТИС ДЁЦ НЕСТ │
│ │
│ в в ёз б з ь д │
│НИФ ВАФ ЖОС РЕПЬ ГОС ФАЧ ТЁТ ДЫЛЬ СВЕМ КАР │
│ │
│ б жь ыз в жь д ь │
│СТУП ПЯЛЬ ХЕШ ВАСТ ШИСЬ ЛЮФЬ КРОШ НАТЬ ЗАРЬ ЛИЧ │
│ │
│ з жь г оз жь ь з │
│НЕМ КИН ПРЮС ЮШ ЗУК ПЫМЬ ЧЁСЬ РИШ ЦОЧ СЯС │
│ │
│ д д б б г д д д │
│БЁНЬ РУТ БАТЬ МЁПЬ СКОЛ ХУПЬ СЫК ТЫТ БЯТЬ ШАТ │
└─────────────────────────────────────────────────────────────────────────┘
Таблица Б.13
┌─────────────────────────────────────────────────────────────────────────┐
│ д б з │
│ЗАЛЬ ФИЦ ГЕТЬ РАПЬ НЫЦ ДЕН ВАЙ ЛИР СИТ НУС │
│ │
│ ы в жь д б в ь │
│ШИНЬ ЧТАФ БУШ ПРЁТ СОПЬ ГАН ШТЕФ БЯЛЬ ЗНАН ДАЩ │
│ │
│ д б з жь сч яд з │
│СЕЛ МУТ НЯП ФУЛ ДВАС СКИШ БОН ЩАТЬ ПУЛ СТЫС │
│ │
│ д ь э яв │
│ТЁСТ ТЫЦ ТРОХ ЛОМЬ РОР КАТ ЖАМ ТРИЧ ЦЕР ЧАФ │
│ │
│ ь г в д в │
│МЮН ПЕХ ЮЧ РЯЦ ТЕК ШУФЬ ВЁТЬ ХАХ ДЕФ РЁН │
└─────────────────────────────────────────────────────────────────────────┘
Таблица Б.14
┌─────────────────────────────────────────────────────────────────────────┐
│ б д з в з │
│ПЛАП ФОЦ ПАНЬ ЧТУТЬ БЫМЬ ВУСЬ ЛЁХ ПЯЗНЬ САФ ЗНУСЬ│
│ │
│ ё в с г г │
│ШОН ЖАФ ЗДОЛ ЛОК КЕЦ ДРОН КУН НИК ТЕН МЮЛЬ │
│ │
│ з ь ю │
│ДУЛ ВЕЛЬ ТЫХ ЗИЛ ПРУСЬ ЗЫХ СОЩ ЧУН ТРЫХ СЕН │
│ │
│ ь б д б г │
│ВОХ СТАЧ БИМ ХАП НУТ ДЕМЬ ГУЦ ХИЦ НЁП РУК │
│ │
│ б сч ь в г б б │
│МОП НЫЛ ЩИЧ ПЁФЬ РЕЙ ЦУХ ШТЕК ЯПЬ ЗУРЬ ЛЕПЬ │
└─────────────────────────────────────────────────────────────────────────┘
Таблица Б.15
┌─────────────────────────────────────────────────────────────────────────┐
│ б б ь ь сч ь │
│ВЯП ДУЦ ПЁПЬ ШТУМ САЛ РИЩ КАЧ ЩИН ДЛОХ РОЧ │
│ │
│ в г в в д г в │
│ДИСТ НЕФЬ ЛЫЦ РЮК ФСИХ ДЯЛ МЫРЬ ФСАТ ВЫК ТУФЬ │
│ │
│ г д э з в │
│НУК БУЛ ТРЯТ ШЕМЬ ЗОН МЕС ФОК БЕР ХОФ ПРИЦ │
│ │
│ б г з в д э жь│
│ТЫП КРАК НОН СИС РУНЬ ТИЙ САЗНЬ ЕФ ДЯТ ШЕШ │
│ │
│ ь еб д в │
│ГАЧ ФЭП ЧИМЬ ЖУР ЛЯТЬ ПРОМ ГЕЙ ПОФЬ ЗЁЙ ЦОН │
└─────────────────────────────────────────────────────────────────────────┘
Таблица Б.16
┌─────────────────────────────────────────────────────────────────────────┐
│ ыб жь жь б сч яб с г │
│ЖИП ПЁШ ГЕХ ДЫШ ШАНЬ БЮПЬ НЕХ БЫРЬ ЩАП ЗДЕК │
│ │
│ б д ь │
│СТЯМ ВОПЬ КАЛЬ ЛОР ВЫМ СВОХ ЗУМ ФИТЬ ДЕН ТУЩ │
│ │
│ жь г жь д з г │
│ЧЁШ ПЛИК ТРЯШ СЫНТ ТЫС ЕНЬ ТИН РЁЛЬ ЧТУК ЗЯНЬ │
│ │
│ б г жь эб ь │
│ЮПЬ ХОМ НЭР МЯХ ТРЫК ВЯШ ДЕП ЗОН ЛЁЧ СОЙ │
│ │
│ б ёб в в │
│РЫМ БАН ГУП ШОП НЯЦ ПЫР ФСЕЛ ПРИЙ СЮФ ЛУФЬ │
└─────────────────────────────────────────────────────────────────────────┘
Таблица Б.17
┌─────────────────────────────────────────────────────────────────────────┐
│ б з в б б в │
│СИРЬ ГАП ЗНУС ПЫЙ СТОХ ДОФ ТЁПЬ ВАЗНЬ РЕП БЮФЬ │
│ │
│ д г сч эз │
│ДЯМ СКЕТ ЛЯД БАХ СЭК ПРЯН ЩЕР РАД КАРЬ ЦЕСЬ │
│ │
│ з в ы д д │
│ХУН ГИС ТОНЬ РЕФ ШИМ НОТ ЧТАЛЬ ДЯТЬ ПЮХ ТРЯХ │
│ │
│ б э ь д б │
│ЕР ФЕП ШТОХ СЭТ ТРАХ ЖЕЦ ЛОХ МЮЩ ДВЕТЬ НЯПЬ │
│ │
│ эз з в б юв б г д │
│ШЕС МУРЬ БОСЬ НУФЬ ВАП ЧУФЬ ЗАПЬ ФЫМ ВЁК РУТЬ │
└─────────────────────────────────────────────────────────────────────────┘
Таблица Б.18
┌─────────────────────────────────────────────────────────────────────────┐
│ з г б в б д в д │
│СОХ МИСЬ ДУР ХОК МАПЬ ФСЕП ЛЮМ ВУТЬ ФСОТЬ БЁРЬ │
│ │
│ д ь б г з сч о ь │
│ТЕТЬ КРОЧ ТЭП ШТИК ПЕЗНЬ НЫС ПУСТ РЫХ ЩЁЧ ВИЦ │
│ │
│ з б з ё б │
│ГЕЛЬ КАС ДЛАХ ЗЫС ДЮП ПЕСЬ ШОМ ПРЕЙ ТАПЬ ПРАЙ │
│ │
│ жь з д │
│ЖУНЬ ДЕХ ЧИХ ШУРЬ ЦАЦ ЯХ ЗИНЬ БУШ РЁСЬ СЯТЬ │
│ │
│ з ь ь в з ь │
│ТРЯСЬ ПАЩ НАЧ КОФ ЛУСЬ РОРЬ ФУХ НЁР ГУЧ РЮЙ │
└─────────────────────────────────────────────────────────────────────────┘
Таблица Б.19
┌─────────────────────────────────────────────────────────────────────────┐
│ жь в од ь д │
│МОНЬ СИШ ЖАН СВАМ КИФ ШЁТ ВАЧ ЛЕТ БУН ТРИЦ │
│ │
│ я эб б з │
│ЧАЛ ТИЗНЬ ШЕП ЗЁН ДЕХ НАП КРИС ХУХ ПЁРЬ ЗЭН │
│ │
│ жь г ь д жь │
│СТУШ ЯМ РАНЬ ПОМЬ РЮХ СКАК НЮЩ ТИЦ ЛЫТ ГАШ │
│ │
│ з жь д б │
│КЕРЬ НИХ ЧТЕЙ СЫСЬ ТАШ РИМЬ ЗОЦ ДЕНТ МИЛЬ ЛИП │
│ │
│ б ид б з ь г │
│БЕП ЦЫТ ПОПЬ ФАЛ ПРУХ ДОЛЬ БЮС СУЧ ДЛЮК ХИНЬ │
└─────────────────────────────────────────────────────────────────────────┘
Таблица Б.20
┌─────────────────────────────────────────────────────────────────────────┐
│ д и с д з │
│ТЯЦ СОЙ НУН МЁТЬ ЦЫМ ЗДАН ТУНЬ ЁТЬ НИН ХАСЬ │
│ │
│ з б з д ё ь б б │
│ПЛОС ПАПЬ ПОК ЗАСЬ БЕТ ЖОЙ ЛАЧ ВУЛЬ СТАП ХЕПЬ │
│ │
│ в ь в │
│РЮН КИФ НЯСТЬ СЮЦ ШТАР ЗУЧ РУМ НЕНЬ ДЁФЬ ПРОР │
│ │
│ в г сч з д д │
│БУФЬ ЗНАМ ДАХ ЧТЭК ЛЯЙ ВЫХ ЩИС ДРЕТ ГОТЬ ПЯН │
│ │
│ ь ь б б в з ы │
│ВИЧ ФУЩ ЛЁЛЬ МЫП КУПЬ ЧЕМЬ ТРОФ САС ШИХ ЗЕМЬ │
└─────────────────────────────────────────────────────────────────────────┘
Таблица Б.21
┌─────────────────────────────────────────────────────────────────────────┐
│ з з жь б д │
│ДИСЬ ЛЫЙ ТРАСЬ ЧЁН ГАШ НЁП БУХ ДАРЬ РЕТЬ КАХ │
│ │
│ д д з в в г д с д │
│ПЯНТ ЗУТЬ МЮР СЮСЬ ПЛЕФ ТАЙ МЯН ФСЁК КУЧ ЗДЯТЬ│
│ │
│ д г г д │
│ВУТЬ СТЕК ЗИК ЧТЫНЬ ТЮЦ НЕМЬ ПЫР РУТ ФЕХ ТЫЛЬ │
│ │
│ ь д б д з в │
│НАЩ ПИТ БЁЙ ЯП ДОТЬ БЫЙ ПРЯСЬ ВОФ СВАЛ ЛЮЛ │
│ │
│ з б эд о сч ю д з │
│ГИСЬ ХОП СУР ШЕТ ВИН ШЁЛ ЩУЛЬ ЖУТ ЁС ТРЁН │
└─────────────────────────────────────────────────────────────────────────┘
Таблица Б.22
┌─────────────────────────────────────────────────────────────────────────┐
│ в д г в ё │
│ВЕЛЬ ФСОТ ЕЦ ПРАЛЬ ЗОК ДАФ ПУЙ ШОР ФЫЛЬ ТУСТЬ│
│ │
│ з жь ь в жь б │
│ЖАС ГЕШ ТРЕЧ СЫЙ ДЮФ ШТАЦ ЗЕШ НАР РУМ СЯП │
│ │
│ в в б в б з сч │
│МЕФ БАНЬ ГУФ ТУП КРУЙ ХОМЬ ФСЯП ВОЦ НЕС ЩИЛ │
│ │
│ з г жь жь │
│ШУСЬ ПЁЛЬ МЫМ ДЯХ ЛОЛ РИК ТОЦ ВАШ ПРЕШ РОР │
│ │
│ г ь жь д д д д │
│ДЛАЙ ЦАК СЭТЬ ЛИЩ БЯШ ЧИТЬ РЯТЬ СОНТ ТЁР НОТЬ │
└─────────────────────────────────────────────────────────────────────────┘
Таблица Б.23
┌─────────────────────────────────────────────────────────────────────────┐
│ б жь сч ы ь │
│ГАП ШТИШ ДЫХ СИМ ЩАХ ЕМ НУЗНЬ ЖИМ МЁЧ ГЕНЬ │
│ │
│ ь б в з │
│БЫЧ ТАФ ВЯР ДЁЛ ПРЮЙ ЛЁНЬ ШАПЬ СКЕЛ БОФ ТРУСЬ│
│ │
│ б д б д жь д │
│СОП РЮН ХАТ ЧЁП ЛУН ЧТАТЬ ФИМ РУШ ДИРЬ ЗАТЬ │
│ │
│ в з б в з ь д жь д │
│ТРЮФ НИЛЬ СТУСЬ РАПЬ КАФ ЦЫСЬ ПУЩ НЫТ ФУШ ТЕТ │
│ │
│ д б ё з в з │
│ПЕМ ВАТЬ РИП ДВИХ ШОХ ТАРЬ НЭС МАФ ЗНЁС БЕЛ │
└─────────────────────────────────────────────────────────────────────────┘
Таблица Б.24
┌─────────────────────────────────────────────────────────────────────────┐
│ жь з жь б жь жь з б │
│ТОХ КУЗНЬ ЛЁШ СВОС ПЯШ ДЛЕП СОШ ПРУШ МЯСЬ ЛАП │
│ │
│ ь д ь юз б │
│ЯЧ МОТЬ НУХ ГУН СТЫХ ТЯЩ ЧУСЬ БЯПЬ ЗУМ ТРЯЙ │
│ │
│ в з б з в │
│НИФ СЁР ЧТИСЬ ДУПЬ ЦАЛЬ КИСЬ СКУФ ФУЦ КРАЛ НЯНЬ │
│ │
│ д в жь з з з │
│ТИСТ ЗАН ПАТЬ ЛЕФЬ РАШ ПОС БЕМЬ ДЕС ЗЮХ ХЕСЬ │
│ │
│ ё жь ы б д з жь │
│ЖОЦ РЯШ ХАЛЬ ШИЙ МОС ВАП СЫТЬ ШАРЬ РЁСЬ БАШ │
└─────────────────────────────────────────────────────────────────────────┘
Таблица Б.25
┌─────────────────────────────────────────────────────────────────────────┐
│ з г з │
│ЛАСЬ БЮР ВАСТЬ РЫЛЬ ЦОК БЫС ПИН ДРЕН ТЭР КИР │
│ │
│ б в д сч г д д я │
│НУП ПЛАХ НЮЦ СЕФЬ ПРОТ ЩЕК СТОР КЕТ ЗНАТ ЧАМЬ │
│ │
│ жь эб б г ы б з │
│МИЦ СОШ ЖЕПЬ ТРАПЬ ФАК ЛИРЬ ШИЦ ХИР ЗЮП ШТЫСЬ│
│ │
│с г з д з в б ь │
│ЗДОК ЮН ГОСЬ НЯТЬ ВЁСЬ ЧТУФЬ ДЯП ПАМ ТИЧ ВЫР │
│ │
│ ь д ь │
│ДЫН РЁЛ ЛЯМЬ ВОМ ЗЫЛЬ КАЧ ЗОР МУЦ САТЬ ХУЩ │
└─────────────────────────────────────────────────────────────────────────┘
Таблица Б.26
┌─────────────────────────────────────────────────────────────────────────┐
│ д г в д б в д з б сч ю │
│ПИНТ ВЯК НОФ НЕТЬ МЯП ШУФ ГИТЬ ТРЕС ВУП ЩУН │
│ │
│ ь в в │
│ЗЯРЬ ТУЛ ЁХ СЯЧ РЁРЬ ТЮРЬ КОФЬ ДАЛ ГОМЬ ПРЯФ │
│ │
│ в с г з з жь ь │
│ЛУЛ НЯФ ЗДИК БИХ ШАСЬ БЫСЬ ЖАЙ ТОРЬ ДИШ ХАЩ │
│ │
│ ь жь б д в г │
│САЧ ЧЕШ ЛОПЬ ЯРЬ ТРЫЛ ЧТУНЬ ЛЁТЬ КАФ СВЕЛ ФИК │
│ │
│ г в з в в г │
│ВОМЬ СТИК ПУФ ПЛЕС БУХ МЁЙ ФСИЙ ЗУЛ ДОФЬ ПЮК │
└─────────────────────────────────────────────────────────────────────────┘
Таблица Б.27
┌─────────────────────────────────────────────────────────────────────────┐
│ г з ь в я в │
│МУК ПЕЦ СТАС ТЫХ РЯЧ СВОР ЗЫФЬ ДЁСТ ЧАХ ДИФЬ │
│ │
│ б г д з б з │
│САПЬ ЛЯЛ ГУК РЕТ ШАЦ БЁСЬ НУП ЮХ НЕСЬ ЗОНЬ │
│ │
│ жь г б д в │
│РЫЛ СКИН ЛЁШ ВАМЬ ПРАК ФАП ЗЁТ СУФЬ БЯНЬ ЧТЕР │
│ │
│ б ь з д ь │
│ХИЗНЬ ДОПЬ ЦУН ПЫЧ ЗЭЛ ХИС КРЕТ МИЧ ШУЙ ЛАН │
│ │
│ эб д ь в жь з │
│ЖЕП ТЁН СЮМ ТРЯТЬ ПОЦ КЕЩ БОФ НЮШ ДЛИС ХОНЬ │
└─────────────────────────────────────────────────────────────────────────┘
Таблица Б.28
┌─────────────────────────────────────────────────────────────────────────┐
│ жь эз б в з г │
│ПЛАШ ЧИЛЬ ЦЕС ЗАП ВИФ ТАХ ЛИС ТЯМ МАЛЬ НИК │
│ │
│ в э ь д б д д │
│ЮФЬ ШЕЧ ВУТ МЯР ШТОМ ЛЁР КАПЬ СОТ ДРОТ СЁЦ │
│ │
│ д ь г в │
│РЫТ ЗИР СТОЧ КУТ ХЕК СЫНЬ ЗНЕХ ВЫФ БЫЙ ХАМЬ │
│ │
│ в г в ь с д │
│ЖУФ ДУК ФОНЬ КИЛ БЯМ ТРАФ НЫЧ ГАЙ ЗДАТ НЕМ │
│ │
│ в сч юз д г ь в б │
│ПЁН ЛАФ ЩУСЬ СИНТ ЗОК ДЁЩ РИФЬ ЧТАП ПОЛЬ ПРУЦ │
└─────────────────────────────────────────────────────────────────────────┘
Таблица Б.29
┌─────────────────────────────────────────────────────────────────────────┐
│ з сч о в ы ё │
│ШТАС ЁЛ ЩЁР ЛЫЛЬ РЮЙ СКАФ ШИН ДВАН ЖОР СТЫЙ │
│ │
│ в ь юг б з │
│БЕФЬ ТАН ЧТЫРЬ НАЙ ДОШ ПУХ ТЮЛ ЧУК ДЯПЬ МОС │
│ │
│ жь з д жь │
│РЁШ ПРЮЛ ГАСЬ ТРОТЬ ВАЦ ЛЮЛЬ ВЁНТ ФЫРЬ ЗНОН БАШ │
│ │
│ б г б ь ь д б жь │
│РИП ПАК ШУПЬ ВЕР ДЮЧ МЁШ ЦУТЬ СЕП ФЕШ ЗОЙ │
│ │
│ з б жь б │
│КОС ГЕП ПИРЬ НЁЛЬ ТРИШ РОЛ СОМЬ РАРЬ ХОПЬ БУНЬ │
└─────────────────────────────────────────────────────────────────────────┘
Таблица Б.30
┌─────────────────────────────────────────────────────────────────────────┐
│ жь в ы д │
│СУМ НИЗНЬ ВЁШ НЯН ФСЮХ РЕЛ ЖИМЬ ПРЁН СЮЛЬ ГУТ │
│ │
│ б з э в д б д ь │
│ДАЦ РОПЬ КАН ХУСЬ ШЕЛЬ ФУФ ДИТ ЗЕП ДЛАТ ЛЯЧ │
│ │
│ з д з з в │
│ТЭК МАЦ ПРОС ТЫНТ ПУСЬ ЗАР ЕСЬ ВЫЛЬ РУРЬ ФСАН │
│ │
│ д ёб сч юг жь │
│ДЁМЬ НЫТ ЛАМ ШОПЬ ТЫР ЩУК ТРЮР БЯМЬ ШТЕЙ ГЕШ │
│ │
│ з б з ёв д ь │
│ТИСЬ ПЯЦ БАП РЮС ЧОФЬ КРОН ДУЙ МЮТЬ НАРЬ ТУЧ │
└─────────────────────────────────────────────────────────────────────────┘
Таблица Б.31
┌─────────────────────────────────────────────────────────────────────────┐
│ в з б з з │
│ПУФЬ СТАСЬ ЗЯП ТУХ РЮС НЫЙ САЙ НЕЦ ЛЫЛ СВЯС │
│ │
│ жь б ы з жь │
│НЯЙ РИНЬ ФЫШ ТРЁП ШИХ ЧТЕС ЦОШ МЫХ САСТЬ РАРЬ │
│ │
│ ь д з жь я │
│ЖАЧ СОНЬ КИТЬ БЕЛ СЁСЬ ПЮШ ЧАРЬ ЛЕЙ ПОМЬ ЯЛ │
│ │
│ б ь жь │
│СКОХ ТЫЛЬ ТЯП ХИЩ ПРУН ВАЛЬ ДЮЦ КРАШ ХОН ЗЫНЬ │
│ │
│ д в д б сч д д д │
│МИТЬ ЗУФ ДЛЕТЬ БЮНЬ ДАПЬ БЫМ ЩИТЬ РИТ ЛЮЦ ПЮНТ │
└─────────────────────────────────────────────────────────────────────────┘
Таблица Б.32
┌─────────────────────────────────────────────────────────────────────────┐
│ г з с д ь в ь │
│ЗНИК ЛЯС ЗОРЬ ЛИХ ЗДИТЬ ВЕХ СОЧ ЦАХ СИФЬ ГАЩ │
│ │
│ д жь б б д в │
│НЯТЬ МУМ СТЫЛ БОШ ТУПЬ ЧТУН ХОП ВОНТ ПРЫТ ХИФЬ │
│ │
│ г ы в г д в сч яз │
│РОЛ ПЁК ШИМЬ ТЮН НАФЬ БЮК ДЕТЬ ЁФ КАЛЬ ЩАС │
│ │
│ з з жь б с жь │
│НИНЬ САСЬ ЛАР ДРОХ МЁС ФАШ ЗИП МАЗ РЯШ ПЛАЙ │
│ │
│ в д з ё ь в з д в │
│ВУФЬ ТРОТ КЕС ЧОЧ ДОФ ПАЛ ШТАСЬ ВАХ ЖАТ ЗАФЬ │
└─────────────────────────────────────────────────────────────────────────┘
Таблица Б.33
┌─────────────────────────────────────────────────────────────────────────┐
│ з б з в ь │
│ШАНЬ ЗНОС БОЛ ТЭК СКИЛ МЯЛЬ СТАПЬ СЕС БЫФ РЮЧ │
│ │
│ жь д з ь г г ёб в │
│КУР МАШ ТИНТ ПОСЬ НАЩ ХАК ДЯР ПРИК ШОПЬ ТАФЬ │
│ │
│ б в г д д ь │
│ВЫЦ СУПЬ ЛЁФ РУЛ ДЕК ЧТЫТЬ РЕТЬ ГУЧ ШТИХ ТРАЦ │
│ │
│ сч │
│ТРЯЛ ДЫНЬ ЗУН ДВАХ ЛОЙ ЖУЛЬ ЩЕН ПЯМЬ НЁРЬ ФИР │
│ │
│ ь жь б б в э │
│ФОХ ВЯЧ БЁШ НОП ЕНЬ РОПЬ ГИЛЬ ЧЕФЬ ЦЕМ ТЕЦ │
└─────────────────────────────────────────────────────────────────────────┘
Таблица Б.34
┌─────────────────────────────────────────────────────────────────────────┐
│ б ыв б г б │
│КОП ПЁР ЖИФЬ ГУП ТАЙ КРУЦ ЛЕК ПУР ЧИПЬ ВУЦ │
│ │
│ жь эз з в в │
│ЕШ КУС МАН ДИХ ЛУМ ШЕС ЦЫС ШТЫМ РЯФЬ ФСАЛ │
│ │
│ ь ь ь в з д ь з сч оз │
│РЫЛ НЯЧ БУЧ ТЁЧ ФСЯС ПУЛ РЁТ ХУЧ ГЕС ЩЁСЬ │
│ │
│ д д ь │
│ДИНТ РУРЬ КОСТ НАН СЫТ ТОЦ ЗЕН ДЁН ПРЕХ БЯЧ │
│ │
│ жь з сч юз в ь г │
│МЕНЬ ПРАШ СЕЦ ДЛАСЬ ЩУС ДАФЬ ТРЕЩ ФУК ЗАНЬ ВЁЛ │
└─────────────────────────────────────────────────────────────────────────┘
Таблица Б.35
┌─────────────────────────────────────────────────────────────────────────┐
│ ь в в з д с │
│ЛОН ПЛЕХ ГИЧ МЯФ КОФ ТИЛ ДЫС ФЕТЬ СТЕХ ЗДАЦ │
│ │
│ д з сч оз в ь ь б │
│ПРЯМЬ РЫТ НУСЬ ЩЁС ВЕФЬ ДАРЬ СУЩ НОЗНЬ НИЧ БЯП │
│ │
│ жь б жь в з б жь в │
│ТОХ ЯШ СИР БУП ШУШ ТРЁФ ПЫС ГАПЬ РЕШ МЮФЬ │
│ │
│ б д з ёд б ю ь │
│БАПЬ ЛИМ СВОТЬ КАХ ДИСЬ ШОТЬ ТРЫП ЧУНЬ БУР ПЁЧ │
│ │
│ д эз б ь ь в │
│ЗЁР ХАТ ЮР ЖЕСЬ ЧТАНЬ НЕП ВОЧ ТАРЬ ЗОЧ ФСИЛ │
└─────────────────────────────────────────────────────────────────────────┘
Таблица Б.36
┌─────────────────────────────────────────────────────────────────────────┐
│ в д с д │
│ВОЦ ЦАФ ВИСТЬ КЕЙ ПЕНТ ЗОМЬ МИЗ НЕЛЬ САТЬ ЛАЦ │
│ │
│ д жь б з │
│СКАЛ ПЫМ ТОТЬ ГАХ МОШ БЁН ФАХ РЮР БЕПЬ ЧИСЬ │
│ │
│ ы ь з г з д │
│ШИЛЬ ЕЧ КРЕЛ СЕС ХУМ ДЛИК ЛЁСЬ СТАХ ТЕТЬ СОНЬ │
│ │
│ ь з д жь ь д │
│РИХ НЁМ ЗАЧ ТРЁСЬ БУЛЬ ПЯТ ДАШ ЖАЩ МИТ ШУР │
│ │
│ б д з в г д б д │
│ЛЯП СВАТЬ РОС ДИЦ НАФЬ ХЕЛЬ ПРУК ЗИТЬ ЧТЕП ПОТЬ │
└─────────────────────────────────────────────────────────────────────────┘
Таблица Б.37
┌─────────────────────────────────────────────────────────────────────────┐
│ з э в з сч я з г в │
│ШОСЬ СТЫР ЖЕХ ТОФ ЗЕС ЩАН ГУС БЫЦ ПЕК ФОФ │
│ │
│ б в з в г в з │
│ЧТАПЬ МЯФЬ ЛЕЛ ВАСЬ НЯФЬ ЗАК ПАФ ЧЕР ХИСЬ ВЯНЬ │
│ │
│ ь з б д з б │
│ВУЩ ЛИЛЬ ЗДОЙ КЕЛ ТРЫС ДОП СЯНТ ЛУС ЗУР НЫПЬ │
│ │
│ б жь б в д з з │
│ЮПЬ ЦЫШ МЫЙ ТЁП ХОМ ПРАФ БИТ ЗНОР НИСЬ ПЛАСЬ│
│ │
│ д з б з г б ь │
│ДЕЛ РИТЬ СЁН ДРАС СЫП ТУСЬ КАР РЫК ШТЕП СОЧ │
└─────────────────────────────────────────────────────────────────────────┘
Таблица Б.38
┌─────────────────────────────────────────────────────────────────────────┐
│ │
│ВОМ ХУЦ ЖАМЬ ГИР ФЫЦ ЛЮРЬ СУР РЫН ШАМ ТЕР │
│ │
│ д г б д б │
│ДЯР ЗНИТ ГОР ДАК СТУН ВИПЬ ДВЯТ ЛАН ЧТУР СИП │
│ │
│ д з д ь в з │
│ФЕТ БОСЬ ШТЫЛ НЮТ ПУМ НЫЧ РАФЬ ЧУРЬ БУСЬ КУНЬ │
│ │
│ в сч д ё ь │
│ЦУРЬ МАФЬ ТАР ДЮХ ЩЕТ ЗУЦ ПРЕЛ ШОНЬ РЯЧ ТРИЛ │
│ │
│ з д ь з ь │
│ТАЗНЬ ЁСЬ ПЕР СКЕТЬ БЫНЬ ТРУЙ ТОЩ МЮСЬ НАН РЁЧ │
└─────────────────────────────────────────────────────────────────────────┘
Таблица Б.39
┌─────────────────────────────────────────────────────────────────────────┐
│ б г в г сч о │
│ЛЕЦ НОПЬ ХАЛЬ РУК ВЕМ ТЯФЬ МЫК РАН ЩЁЛ ЗУЙ │
│ │
│ жь в з б б │
│ЗЁШ ФСУЛ КАС ЯЦ ПРЫП БАМ РЁП ГАЛЬ РЫЙ НЯМЬ │
│ │
│ г з г │
│СЫЙ РЕК ЖУМ БИЛЬ ДЁНЬ ШТЕС ДОЦ ПРЯК ТАМЬ ГЕЛ │
│ │
│ д в яб в в д ыв │
│НУСТ ЛЫРЬ ДАНТ ФСИМ ЧАП ВОФЬ СЮРЬ ТЫФЬ КРОТЬ ШИФ │
│ │
│ ь э о б г з │
│ДЯЩ ЦЕЛ НУМ ШЁМЬ ФУМ ПЫПЬ ДЛОК МЁСЬ ПИХ ТРЯЛЬ│
└─────────────────────────────────────────────────────────────────────────┘
Таблица Б.40
┌─────────────────────────────────────────────────────────────────────────┐
│ з эб з з б │
│ТРОЛЬ ВЯС СВЫМ ТЮР ШЕПЬ ТРЁХ КЭС ЕН СТЕСЬ ГОП │
│ │
│ з ё з д в сч ь б д в │
│ДЭС ЧОХ ДИС НУТ ФСЯН ВЫРЬ ЩЕЧ МЕПЬ БАТ СЯФЬ │
│ │
│ з ыб г с в │
│ЛУЛЬ БОСЬ МЯЛ САЙ ЖИПЬ ХОК ПАМЬ ЗДЯН ДЫФЬ ПРИН │
│ │
│ в д в жь │
│ГЕФЬ ХЕСТЬ НИЙ ФИРЬ ЛИТ ТАФ ПЛИН ВЭШ РИЛ ШАН │
│ │
│ ь в з ь в жь │
│ЗЫЩ ВЕФ ЯМ ЧТЫС РУЧ НЕН ЗЯФ ТЫМ КОШ ПЮН │
└─────────────────────────────────────────────────────────────────────────┘
Таблица Б.41
┌─────────────────────────────────────────────────────────────────────────┐
│ ь з о │
│СКУН ГОЙ КРУХ ЗЫР ФОЧ КЕМ ПОСЬ ЧЁЙ ТРЮЙ ЗЕНЬ │
│ │
│ ь з в иб ь │
│ВАХ БОМЬ САЩ НЁСЬ СТУМ ЛИЛ ХОФЬ ШЫПЬ НИЧ СВИНЬ│
│ │
│ з эд жь д з жь │
│ТЫСЬ ЖЕТ ДЕРЬ ШАШ ЁЛЬ СУЦ ДЛЮТ НАСЬ РОХ ПИШ │
│ │
│ б б г з г │
│ЦОП ДАП БИЙ ХИСТ РЮК ЧТЕСЬ ПЫХ ЛЁРЬ БЮМЬ ЗАК │
│ │
│ б в д д │
│МЯЛЬ ПЁСТ МОСТЬ РЁПЬ ЛАХ КОР ТЕПЬ ПРОФ СЁТЬ ХИТ │
└─────────────────────────────────────────────────────────────────────────┘
Таблица Б.42
┌─────────────────────────────────────────────────────────────────────────┐
│ с д г б б б б б │
│ДЯН ЗДОТ НЁК ДЫП ЗЯР СТЫП ЗАП ПУН ХИПЬ ТУП │
│ │
│ в в з │
│БОМЬ МЯФЬ ДРОЙ КАФ СЫС ПЕРЬ ТРОЛ СЭМ ЗУНЬ ЛЕХ │
│ │
│ з и я ь б сч жь │
│ТЯС НОХ ЦЫР ВЕЦ ПРАН ХАЦ ФЫЙ ЧАЩ ЛЯП ЩИШ │
│ │
│ в ёз д з ыв з з │
│ВИЗНЬ ЛЫФ шОС ЗНУТЬ ЗЭМ ЕСЬ ЖИФ ШТУСЬ МЫН ПЛОСЬ│
│ │
│ г д в жь в в │
│СЁМЬ ГУНЬ БЫР НЯК РЕТ ВЫФ БЕН КИШ ЧТЫФ РУФ │
└─────────────────────────────────────────────────────────────────────────┘
Таблица Б.43
┌─────────────────────────────────────────────────────────────────────────┐
│ в сч з ь г │
│ПУФЬ ЧТАН ЩИМ ПЁЛ ДЮС НЕХ РАЧ ВЁН ФУЛЬ ДВЕК │
│ │
│ з в │
│ГЕЦ НЭС СТАФЬ МУХ ШТАЛ СЯСТ ШАЙ СКЕР ТОЙ ЛЕЛЬ │
│ │
│ д в д в о ь б │
│ТЁТ ГОФЬ ЯХ ЛОТЬ РЯФ ХАР ЧЁМ БЫЩ ПРИП РЁМ │
│ │
│ г д б з жь з д жь г │
│ЦУК МИТ СИТЬ ЗНАП СЕС ДЕШ ТРАС ДАТ РЫШ БЯК │
│ │
│ г в в з в │
│ТРЕЛ НОК ЖАФЬ ШУЛ ЗУФЬ КАРЬ ФИЛ ВУСЬ БАФЬ СУН │
└─────────────────────────────────────────────────────────────────────────┘
Таблица Б.44
┌─────────────────────────────────────────────────────────────────────────┐
│ б з ь │
│ХОЛ ТАР НИП ГУХ РАЛЬ КАСЬ ТОЗНЬ НУР ГЕНЬ БОЩ │
│ │
│ б з д э жь з д б о жь│
│МЁРЬ ДЛОП ТЫСЬ ДИТ ЦЕШ ДЫРЬ МАС ЛИТ БУП ЖЁШ │
│ │
│ э д в сч я │
│ФАЦ ШЕН БЁЛ ШТОТ РУЙ ЁЦ СОФЬ ЩАНЬ ПРЕМ ТИМЬ │
│ │
│ з з ь в в жь ь│
│ЛУС ДЁЛЬ ТРИСЬ ВЕЧ ФСАФ НИСТЬ ШУХ РИН ЗОШ КРАЧ │
│ │
│ в г г б в г б │
│ПРЫЙ СЮФЬ ПОК ТАН ЧИЦ ПЯК ЗИПЬ ФСЯЙ НАК РЮП │
└─────────────────────────────────────────────────────────────────────────┘
Таблица Б.45
┌─────────────────────────────────────────────────────────────────────────┐
│ д з д ю б з │
│ ДУНТ ПОСЬ БЯТЬ ВАМ МЮНЬ САРЬ ЧУХ НЕПЬ ЗЁС ХУРЬ │
│ │
│сч яв с г жь з в д з б ь │
│ ЩАФ ЗДЯК НУШ ЗОС ПЛЁХ ФСИТ ЛЮС ТРЯНЬ МЕП ФЕЧ │
│ │
│ з ь г в жь жь д │
│ ДОСЬ ПАЛЬ ТРУЧ ЖАК ДЯФ ВИШ ЧТУМ КАШ ПРЯЙ СТЕТ │
│ │
│ в з д д эб │
│ РЫФЬ ГИСЬ ШАТЬ РЕЦ ЗУМ ГАР ТЁХ БУТЬ ШЕПЬ НЯРЬ │
│ │
│ б ь ь ь │
│ ЛУП ЯЛ ДУН СВАЧ ПЕН ТЫЙ ВЫЛ СЮЧ ТАЩ БОРЬ │
└─────────────────────────────────────────────────────────────────────────┘
Таблица Б.46
┌─────────────────────────────────────────────────────────────────────────┐
│ д яг ь з жь │
│ДЛЁТ ЧАК КЕЗНЬ ЗОЛЬ ПЫЩ РИХ КРАС ЗИХ ЛЯШ НУЛ │
│ │
│ ь д з б з д г │
│НЕЧ ХУТ ЛЫСЬ ТРЕП РЮСЬ НАТ МУЙ ЦОР САР ТЁК │
│ │
│ з ь ь │
│МЯС НЯЦ БЕЧ ГАЙ КИР ДЕЩ СЮЛ ФУНЬ ПРЫМ СОМЬ │
│ │
│ з ё ь д в │
│ЗАХ ТОСТЬ ДУСЬ ШОЛЬ ПАЧ ЧТИХ ШУТЬ ПЁЙ ХИФ ТАЛ │
│ │
│ ыз д ь д ь г │
│ЖИСЬ БОТ ЯЩ БАРЬ СКУТ ЛЁМЬ РОЧ СТОНЬ ВУК СВЕХ │
└─────────────────────────────────────────────────────────────────────────┘
Таблица Б.47
┌─────────────────────────────────────────────────────────────────────────┐
│ з з д э в сч в │
│ТЯРЬ СКЕН ЗНАСЬ ГЕСЬ ХАТЬ ШЕЙ РОФЬ ШТОХ БЭЛ ЩИФ │
│ │
│ в б д з д │
│БЫФЬ РЁМ ФЕЙ ДОХ РОП СУТ ДЕЙ СЮС ПЕТ БЯР │
│ │
│ з э жь з б з д ь │
│ЧТУС ЖЕШ ГАСЬ ПЫП ДИС КОЦ ДВАР ВЕТ СЕСТ ЛАЩ │
│ │
│ д б б ь │
│ЁР СЫТЬ ЧИРЬ ЗОПЬ ТРИХ РЕЛЬ НОП МИЙ ТОЧ ПРИХ │
│ │
│ з б б з ь д з │
│МЭС ШУП НЁПЬ СТЫСЬ ЛЁЧ ТРАТЬ ВУХ ФОРЬ НУСЬ ЦЫЛ │
└─────────────────────────────────────────────────────────────────────────┘
Таблица Б.48
┌─────────────────────────────────────────────────────────────────────────┐
│ д г ёг д ь б в │
│ПРАТ ЦОЛ ЗЮК ЖОК ШТУТЬ ХЕНЬ ПИЩ ХАПЬ БЁФ НИН │
│ │
│ з д з жь в сч э б с д │
│ДЮСЬ ЗНУТ МОС МИШ ВИФЬ ПЫХ ДРАЛ ЩЕЙ СИП ЗДОТЬ│
│ │
│ ег в з в д з в │
│ЗЭК ПОФ ЧЕЛЬ ВАРЬ ЛЮН РУС ЛОФЬ НЕНТ ТАСЬ КЕФ │
│ │
│ жь д з д │
│БОШ КАМ ПЛАМ ДОНЬ РЁТЬ ТИН СУРЬ ГОМЬ ЗУС ЛЕТ │
│ │
│ в з д б в │
│НЮФ ВЫН ШАМЬ СТУР МАЛ ЧТЫСЬ ФАТЬ ЕХ ТРУПЬ САФ │
└─────────────────────────────────────────────────────────────────────────┘
Таблица Б.49
┌─────────────────────────────────────────────────────────────────────────┐
│ ь з б в в б б д б │
│МАХ ЗЯЧ ДЛУС ЗЭП ЖУН ФСИФ ВЁП НЫП ВЯНТ СОП │
│ │
│ в д в г в г │
│ПУЗНЬ РЫФ МЁЛ ПРЮТЬ РАР КИФ ШТАН СЕК КУФЬ ФЫК │
│ │
│ б б сч о д б в в д жь│
│ДЕР ЛИПЬ БУП ЩЁЦ ГУТ ТОП ДЯФЬ ФСАТЬ РЯН ТРЁШ │
│ │
│ з б б ь д б в сч │
│ВОСЬ ПРАПЬ ЯНЬ ГЕПЬ КРУН ШУЩ ЛУТЬ ПАП ТЮФ ЩЕМ │
│ │
│ б з в в в д │
│ЦАЙ ТУПЬ ПЮС ДЫФ БЯРЬ ХАФЬ ЧИЙ РЕФ НАТЬ НИХ │
└─────────────────────────────────────────────────────────────────────────┘
Таблица Б.50
┌─────────────────────────────────────────────────────────────────────────┐
│ г ь з г в в жь│
│БОМ ТЫК СТЕМ ЛЯР БУЧ ШАС НАМ СВОК ЗЕФЬ ФСЮШ │
│ │
│ г жь эд д ь б г │
│ГУК НЕШ ШЕТЬ ПЛЁТ ДАЦ РЫЧ ТРОЙ НЯПЬ СЫК ДОЙ │
│ │
│ в с о з │
│ПУРЬ БЯМЬ ТОФЬ ЮМ ЗДЯЙ ЕЛ ВЫЦ ЧЁМЬ ДЯНЬ ХОС │
│ │
│ в б з г жь сч яз │
│ДОЗНЬ ПЭР МЮЦ ГИФ ПРЕП ТРЯС ПЯР ВОК ТЁШ ЩАСЬ │
│ │
│ в б б в ь │
│ЗЫФ ЧТАРЬ РЯП МЯП СЁЛЬ ЛУФ ФИЩ ЖАНЬ ВЯЙ КОЙ │
└─────────────────────────────────────────────────────────────────────────┘
Таблица Б.51
┌─────────────────────────────────────────────────────────────────────────┐
│ б ь ыд ь жь д │
│НИПЬ ЮЧ ШИТ КЕНЬ СВАХ ПУЧ СЫРЬ ПОШ ТУЙ ВАНТ │
│ │
│ д д г б в д │
│ЗЯТ КРАТ ХЕК ЖАЦ ЛЕП СКОФ ФИТЬ БЯЛЬ МОН РОНЬ │
│ │
│ жь з д ь ь б │
│ПЕШ НАЛЬ СТОСЬ РЕХ ФЫТЬ ЛОРЬ ДЯЧ ТРИЦ ВЫШ ХАПЬ │
│ │
│ з б з ь д │
│ПРОСЬ БЮЦ МИП ДЛЕН ГОМ ТИС ПАЗНЬ ДЫЧ ЛЯТ ЗУЛЬ │
│ │
│ эд ь б я в д в │
│ЦЕТ НЕЩ СЮХ ЗОПЬ ШУЦ ЧАЛЬ СОФ РЮТЬ ЧТЕФ БЫЦ │
└─────────────────────────────────────────────────────────────────────────┘
Таблица Б.52
┌──────────────────────────────────────────────────────────────────────────┐
│ б ь в з з │
│НЫХ МАП ПЛУЙ КИЧ ЛЁФЬ НЯЛ ЗЕРЬ ШТЫС ПЯХ ВИС │
│ │
│ ь д з г │
│ПРАЛ ВОЛЬ РИЧ ЖАЛ НЁТЬ ТЫФ ЧТАСЬ БОН КУК ЛЫНЬ │
│ │
│ ид з г сч з г з │
│ЦЫТЬ ЗНАС ДЕК ЩЕРЬ ХИН ДРАСЬ ЛИН ФЭК ФУС ЗЫЙ │
│ │
│ жь д в б │
│ТИЙ МЯШ СИЛ КОНТ СУМЬ ГАФ РУЦ ДУН ТРАЙ СЭП │
│ │
│ э з в ь з в с з │
│ЧЕН БЁЦ ВАС ШАМ СТУФ ХОЩ ЗОХ ПАСЬ ЁФ ЗДЯСЬ │
└──────────────────────────────────────────────────────────────────────────┘
Таблица Б.53
┌─────────────────────────────────────────────────────────────────────────┐
│ ы ь д ь г з ыв г │
│ФАР ЖИЧ ЛЕТЬ БЯЧ ФЕР ЗНОК ДЯЛЬ НУС ШИФЬ СТАК │
│ │
│ д б д э д з │
│ДВЯТЬ РИЛ ТЕП ГУРЬ СКИЙ ХУТЬ ШЕР ЦАТ КУРЬ ДЁСЬ │
│ │
│ г г ь ь д │
│МЁН ШТОК МУР НОНЬ ПЫК ВЕЦ НАСТЬ ВУЧ ЕЩ ТУТЬ │
│ │
│ б з в сч з д │
│БЫП ЗУСЬ ТРЯФ БАЙ ПИНЬ ТАР ЩЕСЬ РАЛ ТРЫТЬ САР │
│ │
│ д з б в з г з ю ь │
│ТЕТ РЫНЬ ДОС ЧТУПЬ ЛАФЬ СЕСЬ РЯР ПРЮК НЯС ЧУЧ │
└─────────────────────────────────────────────────────────────────────────┘
Таблица Б.54
┌─────────────────────────────────────────────────────────────────────────┐
│ ь б д б д эв д з │
│ ДИМ ШТАЧ СЁП ЗИТ БЕМЬ ВЫП ПРЯТ ЖЕФ ТЯТЬ ХОС │
│ │
│ в д ь б б д о б д │
│ ФСЫТ ПЮЛ ГИЩ МЫПЬ ДЛАП ДАТ ШЁНЬ ДЯСТЬ ФОП ТЁНТ │
│ │
│сч я з в з д в жь │
│ ЩАМ РЕС НЫЛ КРУФ ЛОС РОТЬ КУФ ГОШ ЗАМЬ СУХ │
│ │
│ жь г б в з │
│ РУШ ЛЁК ТРЮРЬ ВЕН ДЯРЬ МЮЛ РОП ТЫНЬ ФСИС ТАМЬ │
│ │
│ д в з в ь и з ы в │
│ НАТ ПАФЬ ЯС ЧИФЬ НЕЙ ПРУЧ ЦЫХ БУС ШИЛЬ РЁФЬ │
└─────────────────────────────────────────────────────────────────────────┘
Таблица Б.55
┌─────────────────────────────────────────────────────────────────────────┐
│ б з г д г │
│ЛАПЬ ТРЕСЬ ДЫК ЮР ВОТЬ НУК ДЮЙ ЕР ВЯЛЬ СОСТ │
│ │
│ в в ог з сч ог │
│ТРУФЬ КОЛЬ ФИФ ЧЁК БУЛ ПЛЕСЬ ЩЕК МЕЙ ХУНЬ ЖУЛ │
│ │
│ д в жь б в з в ь ь │
│ТЁТ БАФ МЯЙ НИШ ЧТЫПЬ ГАФ ТЮСЬ ФСЯМ СЮЩ ЗЁЧ │
│ │
│ ь с з з б д жь │
│ГАЛ ЛЮЧ ЗДОСЬ ВУЙ ЗАСЬ ГЕЙ ДАП ТОТЬ ПУЛЬ САШ │
│ │
│ оз д б з г │
│ШЁСЬ РЕН ШУР СТЯТ ЕП РОХ СВЫЛ ПЕС ПРЁК БЮЙ │
└─────────────────────────────────────────────────────────────────────────┘
Таблица Б.56
┌─────────────────────────────────────────────────────────────────────────┐
│ в з в ь з │
│ПЕФЬ ТАХ ЛЁСЬ СВОФ ЗЁЛЬ ТЮЧ ЗОНЬ ХОСЬ ПЫН ПРОН │
│ │
│ жь з д яв д │
│ЛЯР ВОРЬ ПАМ КИХ ТРЕШ БОНЬ ДЛЕСЬ МЭТ ЧАФЬ РЮТ │
│ │
│ э в в б э ь жь б в │
│ШЕНЬ СТОФ НУРЬ ЗАФ ФУПЬ ЧТИЛ ЖЕШ ДЁШ ЯП ГАФЬ │
│ │
│ д ё в з │
│ЛОН БЯТ ПУСТ ШОЙ СОРЬ ЦУЛ СЫЛЬ ХЕФЬ СКОСЬ БИН │
│ │
│ б з б б в │
│КРАР НИРЬ РЁП ДЫСЬ НЮП РЭП РУФ НУСТЬ МИЛ СЁРЬ │
└─────────────────────────────────────────────────────────────────────────┘
Таблица Б.57
┌─────────────────────────────────────────────────────────────────────────┐
│ г г з д б │
│ГОРЬ ЧТЫЛЬ САЛЬ ЛЕЦ МОК СТАК ТОС ЛЮТЬ ЦАП ШТЕМ │
│ │
│ з ь г д д б с д │
│ЗАС БЯЩ ЗНЮК РИТЬ НАЛ КУТЬ ПЯП ЗДАЛ ВЕНЬ ЛАТЬ │
│ │
│ э б з б з │
│ШЕЦ ДУМ ВИП ПЛУС КЕПЬ НЯМ ДРЕЙ ХИРЬ РОС ЖУЦ │
│ │
│ г д д г жь д │
│ТРУК ЧЕТ ФЫТ ЗИМЬ ВЁСТ ПОК БЫШ ВУЦ ПРУТЬ НЕЛ │
│ │
│ жь г в з сч юв з в ь б │
│МИШ ПЭК ЗОФЬ СУС ДИЛЬ ЩУФ ТЁСЬ ЕФ ХОЧ СЯПЬ │
└─────────────────────────────────────────────────────────────────────────┘
Таблица Б.58
┌─────────────────────────────────────────────────────────────────────────┐
│ з з в г д │
│БЯЛ ДИЙ ТЫР ТРЮСЬ ДАС ТИФЬ СИН ЛЕК ЗНОТЬ ГЕР │
│ │
│ г г в д з │
│ЧТЫК ФАРЬ МЁК ВИЛ ТРЫФ ДЮТ РОМЬ НЫЦ ЛУСЬ МАХ │
│ │
│ в ь з г в д д б ю │
│СЫФЬ ЦОХ СТУЧ НАС НЁК ШАФЬ БУТ ШТЕТЬ ВАПЬ ЧУЛЬ │
│ │
│ б з ь з жь │
│ЖАП ПРЁСЬ ХАЛ ЁЩ БАЛЬ ДВЕС ФИЙ РАН ЗУШ СЕЗНЬ│
│ │
│ сч ыз жь з д ь │
│ТУР ЩИЦ КОР РЯД ШИС ПИЙ СКЕШ ПОС ФИТ РИЧ │
└─────────────────────────────────────────────────────────────────────────┘
Таблица Б.59
┌─────────────────────────────────────────────────────────────────────────┐
│ з в з в г ь з │
│МЯРЬ ДУС ПЮФ РЕС ФСАК РЫР ШАЧ ФОСЬ ТАН ПУЙ │
│ │
│ жь сч од │
│КЕСТ ВАШ ЩЁТЬ ЦАН ЗЕЛЬ ТУЗНЬ ЧИМ РЮЛ ДОРЬ НОМ │
│ │
│ в ь з в з д в в │
│САФЬ ПРЫЧ МАС БИФЬ ЮС МАЛ ДЛАМ ГУЙ НЯТ ФСЯФ │
│ │
│ ь ы жь в ь б │
│ЛЫШ ВЁР ШТУН ЗАМ ЖИРЬ ХУН РАШ ТУФЬ ПРЯЧ БЫПЬ │
│ │
│ в ь б │
│ГИЛ ДЯФЬ ЛИЛЬ ТРЁЛ ШУЙ ТЯЛЬ НУЩ КРЫЛ КАПЬ СЕХ │
└─────────────────────────────────────────────────────────────────────────┘
Таблица Б.60
┌─────────────────────────────────────────────────────────────────────────┐
│ д б с ь э б │
│ДАМЬ ГИХ БЭТ ЁНЬ ДЕПЬ ЗДИХ РАЩ ШЕЛЬ ВУЛ ТРИПЬ│
│ │
│ б оз д д б │
│ПРЮП БАМЬ ЧЁС ВЯТЬ РУТ ЮЛ МЯПЬ ДАСТ РЁНЬ ТЫЦ │
│ │
│ г б д з в │
│ТЕК ТРОЦ ШУП НЁЦ СТЯН ПЁТ НЕС БЁМЬ ЗЯМ ЛИФЬ │
│ │
│ ь д ь сч ю в д │
│СЫРЬ ВЫЧ СВАЙ СЮТЬ МЮЧ ФЕН ЧТАХ ЩУЛ ФСЕХ ДЫТ │
│ │
│ ё д г в в г │
│ЖОЛ ПАТЬ ЗУЛ ПЛЕК КОФЬ НУЙ ЛАМЬ ХАФ ТУЛЬ ГАК │
└─────────────────────────────────────────────────────────────────────────┘
Таблица Б.61
┌─────────────────────────────────────────────────────────────────────────┐
│ б б б г з б ь │
│ТАПЬ ЛИП ДЯЛ ЖАПЬ ПЭК НИЦ ФАСЬ ТИПЬ МАЩ СВУХ │
│ │
│ г з д з │
│СУЛ ЕК ТЮСЬ ХЕН ЧЕЦ РЫХ ЗУЦ САХ ЗОТ ЛОС │
│ │
│ ь жь з г из │
│РЕМ СЁСТ КЕЧ ЛЁЦ СКАН ПУШ СЕСЬ ДЛЁК ШЫС ЗЯН │
│ │
│ ь з д д ь │
│НЯЧ ШАЛ СТОМ ХУС ГАР БЯЛ КИНТ ВОТЬ НАХ ДЯЧ │
│ │
│ в д ь з б │
│ТРИМ БУФ РИТ ПРАЧ БИНЬ КРАС МЁР ПЯМ ЧТИП ЦУМ │
└─────────────────────────────────────────────────────────────────────────┘
Таблица Б.62
┌──────────────────────────────────────────────────────────────────────────┐
│ ь я ь б з в з │
│РИЛЬ ЗАЧ ЧАЧ ШАП ПРЫСЬ КАМЬ ЛЁМ НЕФЬ ПЛАС НЯР │
│ │
│с в д з в в │
│ЗДОН СЫФЬ ЗНЕН ХИЛЬ ТЯР ДРАН НЭТ СТУС РЫФЬ ЛАФ │
│ │
│ э в ь │
│ВУМ КИМ СЯЦ ЦЕЙ ЗОМЬ ЕФЬ ДЕМ ПЮЩ ВЯЛ ПОР │
│ │
│ ь г д г з ь сч оз │
│ТУЧ СОРЬ ДАК ЧТЫТ ЛЕР ХУК ВАС ЗЁМ БУЩ ЩЁС │
│ │
│ з в б о ь │
│МЕН ШТИС МЫФЬ БЁП ЖЁН ПОЛЬ ТРАЧ ГОЙ ФЫНЬ ВЯЗНЬ│
└──────────────────────────────────────────────────────────────────────────┘
Таблица Б.63
┌─────────────────────────────────────────────────────────────────────────┐
│ б ь жь ь д д ё в │
│ВЕПЬ КОЧ ХАШ БЫЩ НОТ РУХ ПЁНТ ШОЙ ПЫФЬ СЁНЬ │
│ │
│ э в в в б в │
│ШЕЛ ТЭФ ДЕМЬ ШТЫН БИФ МЯЦ ВУФЬ ДЮНЬ НЕП ГУФЬ │
│ │
│ з б жь г ы жь │
│ЯН ЧТУСЬ ФУП ГИШ ПРЕК ЖИНЬ РИД ТРЫМ РАЛЬ ПЕШ │
│ │
│ д и ь з сч ю │
│ЛУТЬ ЦЫЧ БАЦ ТОНЬ НЫСЬ МУНЬ ФИХ РЕЦ ЩУМ ТРЁЦ │
│ │
│ в з │
│СТЫФ ЛЯЙ СКЕХ ЧИР ДОЦ ЗНОХ СУСЬ ТЁЛ ДВАЛ ЗУЙ │
└─────────────────────────────────────────────────────────────────────────┘
Таблица Б.64
┌─────────────────────────────────────────────────────────────────────────┐
│ д д в г б ё д з │
│БУНЬ МАН ДЛУТ БЯТ ФСУК ЛЫП ЗИН ШОР ДЯТ ВИСЬ │
│ │
│ д б ю э д з в │
│ШТАТЬ СИЙ РЫПЬ ЧУЛ ЖЕР ТАНТ ЦОС ГИН НУНЬ ФСЯХ │
│ │
│ в з б в б сч юд │
│ХАРЬ ДЕФЬ ТУН КАС НАП ДУФ ПРУМ РЕП ФОР ЩУТЬ │
│ │
│ в │
│ПЁХ КРУМ РАХ ПРИЛ ВЫХ ТЕРЬ ПУНЬ ДОСТЬ КУХ ЛЯФ │
│ │
│ ь в ь г │
│ГОР СЫЛЬ ЕЩ ЗУР РИЙ ШАФЬ ТАЧ МЯК ТРЮХ НЁРЬ │
└─────────────────────────────────────────────────────────────────────────┘
Таблица Б.65
┌─────────────────────────────────────────────────────────────────────────┐
│ э ь ь │
│ТРИЙ ШЕЦ БУН НУЩ ВЁЧ МЮМ ЁНЬ КОЦ ЛУЛ ГУНЬ │
│ │
│ г жь з б жь │
│ШУН ВОК ЗЕМ ТЮШ СЮР ТРОСЬ ДОП ФСЕШ ВЫН СТЕЛ │
│ │
│ д жь в б з │
│БОТЬ НИСТ САМЬ ПРЯМ КИР ДЫШ ЖУФЬ ТАП РЁС ЮЛ │
│ │
│ о з з сч ь з │
│ЧЁРЬ ГЕСЬ РУН ФЕМ СВАСЬ ПАЛ ЩЕЦ НИНЬ ПЛЕЧ ЛЕСЬ │
│ │
│ с з б б │
│ЗАР НЯЙ ЗДЯС ТЫРЬ ПЁП БЕРЬ ЧТАР ХОЦ МИПЬ ДЁХ │
└─────────────────────────────────────────────────────────────────────────┘
Таблица Б.66
┌─────────────────────────────────────────────────────────────────────────┐
│ жь в ыв г │
│ФОШ КИЗНЬ ЗАЦ ТЫЙ ДЁФ ПРАЦ РЯНЬ ЧТИМ ШИФЬ СЁК │
│ │
│ г в з б жь д │
│ДОСТ ТЯК СУФ МИХ ГУС НИПЬ ПУЦ БЕШ ЁМ ВЫТ │
│ │
│ ёд з б з │
│КИРЬ ШОТ ТРИН РЁС НАЙ ЛЯНЬ РЫП САЦ ЛЕХ ДЛЕС │
│ │
│ в эг д г з │
│БЁФЬ ЗУХ ЦЕК СТУТ ПАРЬ ЧИК КРАМ МАС СВУЛ ХАРЬ │
│ │
│ жь в з з ь д з б │
│ЖУШ ПЕФ ЗЯСЬ ТУН ДОСЬ БАРЬ ХЕЩ СКАТЬ НЯС ЛЫПЬ │
└─────────────────────────────────────────────────────────────────────────┘
Таблица Б.67
┌─────────────────────────────────────────────────────────────────────────┐
│ б б з │
│ РЭП САНЬ ЗЕР ЛЮР ПЛУП СТОРЬ КЕСЬ ДУР НЯЛ РИНЬ │
│ │
│ з ь б г в б с │
│ ДРЕС НУЧ ПЯРЬ НЯСТ ШУПЬ ЛУР ХУК ШТАФ ТРОП ЗДЕХ │
│ │
│ жь Ю ь ь з в │
│ ТИНЬ ЦАШ ЧУЦ ВОЧ СЫМ ВЁХ ДЕЧ ХИС СЯХ МЁФЬ │
│ │
│сч ю оз в ь ь │
│ ЩУХ ЗНОЛ КОР ГАЦ ТАЛЬ ФУРЬ ЖЁСЬ БЫФЬ БЮЧ ЗОЩ │
│ │
│ в ь з з жь з д з б г │
│ МОФ ЁЧ ПРЫС КОСЬ НИШ ПЫСЬ ЧТУТ ЛИСЬ ЗУПЬ ВАК │
└─────────────────────────────────────────────────────────────────────────┘
Таблица Б.68
┌─────────────────────────────────────────────────────────────────────────┐
│ д э д в б в г б │
│ ДВИТЬ СЫЦ ЖЕЛ ГЕЦ ЗНЕТЬ КАФЬ НУПЬ ЦОФ МЫК РУП │
│ │
│сч ю в жь жь д ы │
│ ЩУЙ ПРЯЛ ДОФЬ ТРАШ ТЁРЬ РЮЛ СТЫШ БАТЬ РЕРЬ ШИМ │
│ │
│ ь ь б │
│ ФОЛ ХАЧ ВЕНЬ ЛИЙ СКИМ ТЫЩ БОЦ НЕР ЧТЫМ СЕПЬ │
│ │
│ б з д ь│
│ ВУРЬ ЗОМ ШТЫР ЯПЬ ГАМЬ ЗЭМ ЛЫС ПОМ ДЯТЬ ТРЁЧ │
│ │
│ з ь э д в ы з б │
│ НОЙ ПЮСЬ ФИЧ ШЕР БЮТЬ РАФ ЦИРЬ ТАСТ МЯСЬ ДЕП │
└─────────────────────────────────────────────────────────────────────────┘
Таблица Б.69
┌─────────────────────────────────────────────────────────────────────────┐
│ в в б в з ь │
│СЁФЬ ПИМ НЫФЬ ПЁЗНЬ ЗАПЬ ФСАЙ ПРЕСЬ РЯМ ПРУЛ ЛОЩ │
│ │
│ з д б ь │
│КАНЬ СОСЬ ТЮХ БУРЬ СИТ НЕЙ РИП МУЧ ШУР БИЛ │
│ │
│ б ь сч ов д г я жь ив │
│ДЫП КРУЛ НАРЬ ПОЩ ФАМ ЩЁФ МЕТ ДЛАК ЧАШ ЦЫФ │
│ │
│ з д в з д в д д │
│РОСЬ ТАТ ФСЁЛ ХУС СЕНТ ГЕЛ ВАФ ТЫТЬ ДЮР ШТИТ │
│ │
│ д жь д б в │
│ТРЁТ ВЯМ ДЕЦ ЮШ ШАН ЖАТ ЛЁПЬ ГОФ ЗЁЦ РЫРЬ │
└─────────────────────────────────────────────────────────────────────────┘
Таблица Б.70
┌─────────────────────────────────────────────────────────────────────────┐
│с з жь ёб ь д в │
│ЗДАС НЕШ ШОП ТРЫНЬ ГОЧ ЛАТЬ ПРИМ ПУН ЛЕН КАФ │
│ │
│ эг з д б в б з │
│ШЕК ПЛИС ТУРЬ КОТЬ ВУПЬ ФСЕМ БУПЬ СТЕЙ ЗОСЬ ДУЦ │
│ │
│ з б в ь д │
│ЗИСЬ МЮПЬ ЧТАФ СУЛЬ РАМЬ ПЕЩ ТРИЛЬ ХОХ ВЁСТ ЕТ │
│ │
│ в д в г │
│ФЕЛ РИН БОЛ МЯН ВЫЛ ТОФ СИТ ТЕЙ ДАФ СВАК │
│ │
│ о д сч б б д │
│БЯЦ ЧЁЛЬ ГИР ВИРЬ ЮТЬ НОЦ ЩЕПЬ ЖУПЬ НЁТ ДЯМ │
└─────────────────────────────────────────────────────────────────────────┘
Таблица Б.71
┌─────────────────────────────────────────────────────────────────────────┐
│ б ы в б │
│ШАП ДЕЙ ШИР ПИЛ ТЭН ЗУРЬ СИФ НЕЛ МОП СИСТ │
│ │
│ д б д ь в │
│КЕТЬ ПОПЬ ДЛОТ БЫЧ МЁФ ДАСТЬ ЕЦ СКОЙ ЗЁХ НУЦ │
│ │
│ в з б в │
│ТУЦ ЛЯФЬ ПУР ХОНЬ ДУС ЖАМ ПРОП ФАФЬ РОНЬ САЛЬ │
│ │
│ жь г в г жь з │
│БЯШ КРОК БЕФ РЕЛ ЧТИК ГУЛЬ НЯШ ЗАРЬ ЛЕСЬ ВОРЬ │
│ │
│ д ь в ь ь │
│СТАТ ЛЫХ РЮЩ ТРЁМ СЫФ ЦАМ ТЁЛЬ ХИЧ СВОМ ЧИЩ │
└─────────────────────────────────────────────────────────────────────────┘
Таблица Б.72
┌─────────────────────────────────────────────────────────────────────────┐
│ з ыз д жь з д з │
│ЧТАС ЖИС НЯТ ДРАШ СЫЛ ТИС ШТУЛ ЗОТЬ СУС ВЯРЬ │
│ │
│ з ь г в з г жь │
│ГОСЬ ЛЮЩ ЗДАК ХЕФ ЗНЕС ПОК ЛОЛЬ НУЙ ВАШ СТУЙ │
│ │
│ э з жь о д б б д ь │
│ШЕХ ПЛУСЬ ХОШ ЧЁНЬ РОТЬ ЮЙ РИПЬ ПЯПЬ ТРЫТ ВУЧ │
│ │
│ д жь в д сч эв з │
│НЁЦ ДЯЛЬ ЗОТ ДАХ ТАШ ПРУФ КАТЬ ЩЕФ КИС ФЫХ │
│ │
│ б д з ь д з │
│ЛИПЬ ЦОТ МАР ТУС МЯМ БЁЧ БУМЬ ТАСТЬ СИТЬ ЗЯС │
└─────────────────────────────────────────────────────────────────────────┘
Таблица Б.73
┌─────────────────────────────────────────────────────────────────────────┐
│ в ё жь б д з з жь │
│ВИМ БАФЬ ШОШ РИЦ РЫПЬ ТРУЛ МЫТ ФИСЬ ЁСЬ ЛУШ │
│ │
│ ь з з г д з │
│НЕЩ СТЫМ КАС ТЯЙ ПРЯЦ ДЯС СКИХ ЗУК ТРЮТЬ ДВАСЬ│
│ │
│ б б б г │
│РАЛ ПОР МЮП СОПЬ ХУП НОМЬ ПЫК ЧТЫЙ БЯМ ЛЮЙ │
│ │
│ д з б сч з эг │
│ЗНОТ РЁЙ ЦУСЬ ШТЕН ДЕРЬ БЫП ЩИЙ ФУМЬ ЧИС ШЕК │
│ │
│ ь з б д в жь │
│НУРЬ ТУН КЕСТЬ ГАЧ СЯСЬ ДОЛЬ ВЫП ПЮТ ГЕФ ЖАШ │
└─────────────────────────────────────────────────────────────────────────┘
Таблица Б.74
┌─────────────────────────────────────────────────────────────────────────┐
│ з д в жь д │
│РОЦ БЯНЬ ВЁС БУТ САФЬ ДЯШ ТРЯМ ГУЦ ПАСТ ДЕТЬ │
│ │
│в в жь жь з д в з │
│ФСЕФ ТОШ ТЭЛ ЛЁЦ ПРЫШ ПРЁС ФОТЬ ЯМЬ РЯЙ ФСАСЬ│
│ │
│ жь эв жь д ь д │
│ЗИРЬ ТЮМЬ ПЫМЬ КРУШ НЯМ ЖЕФЬ ЦУШ ДЛИТ ШАЩ ХОТЬ │
│ │
│ б сч я в д з д в жь │
│НЫП ЗИНЬ ЩАРЬ ЛАФЬ СЕР НАТ ГИС МИТЬ ДЫФ ЗАШ │
│ │
│ д яб б в ь з д │
│ПЁМ ВУЛ ШТЕТ РЮМ ЧАПЬ КАП РАФ ШУЧ МУСЬ ВЕНТ │
└─────────────────────────────────────────────────────────────────────────┘
Таблица Б.75
┌─────────────────────────────────────────────────────────────────────────┐
│ г д ь сч яг │
│СВЕК РЕХ ЕМ СИЙ БОНЬ ФСЯТЬ ЖУЛ ЯЧ ЛАМ ЩАК │
│ │
│ б в д │
│ДЫЦ ПАПЬ ВАНЬ ТЫРЬ СТЕФ ТЕЛ НЕСТЬ ДУТ ЧЕРЬ НИЛЬ │
│ │
│ б д з │
│КАМ ТРЕЦ ЛЁП ЗАЛЬ ГАН ВЮТ НАЛЬ БИСЬ ХАНЬ ПРЮН │
│ │
│ д с з жь д в б б з │
│ШУЛЬ МЯТ ЗДИСЬ СЯШ ПЁТЬ ШАФ ТОП ДЕПЬ ПЛЕЛ ФЕС │
│ │
│ з жь в ь б ь │
│БАМ ГЕЛЬ НЁС ЧТЫЛ ВЫШ ДИР ТАФ ТРОЧ РЭП МЕЩ │
└─────────────────────────────────────────────────────────────────────────┘
Таблица Б.76
┌─────────────────────────────────────────────────────────────────────────┐
│ ы д д ь │
│ЧИРЬ СКОМ ШИЛ ЗАНЬ СЁХ НЁТЬ ПУНТ КИЩ ДЯЙ ЗЫН │
│ │
│ з д з з │
│БЕХ ТАС СВЫТ МЫСЬ НИР ПУЦ РАМ ЛИЛ ПЕН ДЛЮС │
│ │
│ д од д д │
│ТРЮТ СЫНЬ РЯЛ ЖЁТ ФУЙ ПРАМ ГОТЬ СТАЦ СОТ ДАН │
│ │
│ э д эв б в з │
│ШЕЙ ВУТ ЦЕФ ЧТЕМ НАПЬ ТЁФ ЮМ ХЕС НЯЗНЬ ЛУЦ │
│ │
│ б д д з жь з │
│БЯП ЗИЦ БЫМ ХАТЬ КРОЛ РИТ ЛЯС ПЕРЬ ТЫШ МЯС │
└─────────────────────────────────────────────────────────────────────────┘
Таблица Б.77
┌─────────────────────────────────────────────────────────────────────────┐
│ в г ь в жь жь │
│СУФ ЕК ПОЧ ЗАФЬ РУНЬ ЛАШ ВЯХ БЮШ ПЮРЬ ПРАН │
│ │
│ жь г д д ь │
│ТРЫШ ЗЮЦ ХИК ТОНТ ЛИХ ДРАТ НИЦ ЗОЧ ШТИН ВАЦ │
│ │
│ б г в в д │
│КАЙ ПЛОЙ МАП ДЮК МЕФЬ ЛЮФ РЕЙ ШУТЬ ТУЦ ТИХ │
│ │
│ б с в │
│СУЛЬ ЦАР НЕРЬ ВУМ СТЫРЬ ФЭП ЗДАФ КЕН НОРЬ ТЭР │
│ │
│ ь в сч яд д г жь б │
│ХАЩ ТУФ ЗНАХ ЩАТ ДУМЬ БЭТ ГОК ЧТАШ ЖУП СЮН │
└─────────────────────────────────────────────────────────────────────────┘
Таблица Б.78
┌─────────────────────────────────────────────────────────────────────────┐
│ в в д з ёв д б │
│БОФЬ ПОМ ЕФЬ ВЫСТ ФЕНЬ ПРИТЬ ЦОСЬ ШОФЬ ТРУТЬ ВЁП │
│ │
│ д б в │
│ЛЯН ЧТУХ ЗИНЬ РЯМ НАЦ СЯТ НЮПЬ СТУНЬ ФОФЬ ЗУН │
│ │
│ ь в б в б │
│БАЩ ГИЛ НУФ ТЕПЬ КОЙ ПИФ ГАПЬ ЛЕМ САНЬ ДЁР │
│ │
│ д б ёб з в б сч б б │
│СКИТЬ БЯР РЫП ЧОПЬ ШАС ТУМ ЗНОФ МУПЬ ЩИП ВОПЬ │
│ │
│ в г ь │
│ДЫЙ РОФЬ ШТАХ ХОЛЬ ТРЕХ ДЕЛЬ РИК ЖУЧ ЛУРЬ ДВЯХ │
└─────────────────────────────────────────────────────────────────────────┘
Таблица Б.79
┌─────────────────────────────────────────────────────────────────────────┐
│ б з жь з в │
│ТАП НЫР ХАС ЛЕШ КИСТ МОМ НЯСЬ ДОРЬ ВЫФЬ ЁР │
│ │
│ з д ь жь д ь │
│ШУНЬ ПЯС НЭТ ФЫЧ СЫШ ЛАЛЬ РУЦ ТЯТ КРУЧ ВЯЦ │
│ │
│ д ь з з д д │
│ГЕРЬ ШТЫТ ПОЩ КУР ЧЕС РИСЬ СЁНТ МЮРЬ СЁЛ ТЫТ │
│ │
│в в сч в д д ь │
│ФСЕХ ЗОРЬ ДЛОЙ ТРЯЦ БЫФ ЩИХ ГУН ФСЭТ РАТ ДЯЧ │
│ │
│ жь д б э з эв ыб д │
│ЗЯШ КУТ БИЦ РЮПЬ ЖЕЛЬ ПРЯС ШЕФЬ ЦИП ДИНЬ ПРОТЬ│
└─────────────────────────────────────────────────────────────────────────┘
Таблица Б.80
┌─────────────────────────────────────────────────────────────────────────┐
│ в з жь д д г ь│
│КОФ ДЫСЬ НУМЬ МЁШ ДУЗНЬ НОТ ЕЙ ЛЁТЬ НЕК ТРЮЧ │
│ │
│ в ь в ь в б я б │
│САЦ ТЫФ ПРЕЧ ФИФЬ ТАЧ ГУФЬ БАПЬ ЧАР ПЛЕП ХУЛ │
│ │
│ ё з д сч я ь │
│ШОМ БУЦ ДЯС ТРАМ НЯЛЬ СЯЦ ДЫТЬ ЩАЦ ЛЫЧ ГИЦ │
│ │
│в д в д д │
│ФСЮТ ВЁМ ЗУФ ПЫТ ЗЕЦ БЁТ РЫЙ РЁНЬ ВАН ВЫЛЬ │
│ │
│ з ь г с з в э │
│МЯНЬ СТЕС ПОР ШАЩ ЯН ЧТАК ЗДИС СВАФ ЖЕЙ ТЯХ │
└─────────────────────────────────────────────────────────────────────────┘
Таблица Б.81
┌─────────────────────────────────────────────────────────────────────────┐
│ в в жь о ыг э │
│ДИРЬ ХАЦ ЛЁФ СТАЛ ПИФЬ БИШ ЧЁР ЦИК ШЕНЬ ПРЫН │
│ │
│ б жь б д д в жь │
│КРОЦ ТИЛЬ НЭР СЫП ШАШ ПЫП ДЭНТ БЁТЬ ЗАФ ХИШ │
│ │
│ жь э б з з │
│ЕХ ЧТЕШ ГОНЬ ЖЕРЬ СЕП СКАМ ЗУС ДЛЕЙ НЁНЬ РЯСЬ │
│ │
│ з д б г г ь │
│БЭЛ ФЫСЬ СЭЦ ДУТ ЛЫР ВОП РЁК МЮК КУСТЬ ТОЩ │
│ │
│ г г в ь д б │
│МАНЬ КЕК ТРЯК ЗИФ ПАЧ НЯХ СВЕТЬ РОП КАР ЛЮХ │
└─────────────────────────────────────────────────────────────────────────┘
Таблица Б.82
┌─────────────────────────────────────────────────────────────────────────┐
│ сч в з б в │
│ШТЫЙ ЩИР МЫФ ГУР ТЮНЬ ЗЕСЬ ЧТАМ БУПЬ ХОФ ТЫМ │
│ │
│ з б д │
│ДЁС ТЯСТЬ СИНЬ ЛУХ ПЫЙ РЫЛЬ БЯПЬ СТОТ КЕЛЬ ДОНЬ │
│ │
│ д в б в ь ь в │
│ВЭТ РЁХ ПРУЙ НЯФЬ ЛЕП ЗНАФ ЖУХ САЧ ЦУШ ВЮФ │
│ │
│ з б ыб жь │
│ФУН ЗАС ХИП ПЛАР ШИПЬ ЛИЦ ЗОНЬ ЯШ ДРАЙ НЕМЬ │
│ │
│ в д с з б б ь в │
│ТОР ВЫРЬ СУФЬ ЧИТ ЗДАСЬ ПЕП МИПЬ КОЧ НУФЬ ТРАЛЬ│
└─────────────────────────────────────────────────────────────────────────┘
Таблица Б.83
┌─────────────────────────────────────────────────────────────────────────┐
│ в сч яб б д б в │
│ЗОФЬ ДЕЛ ЩАПЬ СТУЦ БАП НИТ ЧЕПЬ ХОР МЕНЬ СКЕФ │
│ │
│ д ё жь б з ь з │
│ЧТЫХ ФИЛЬ БУЦ ДЭТ ЖОЛЬ ТЕШ РЯП ШТЕСЬ РЫЧ СЁС │
│ │
│ эв ь з з з │
│НИРЬ СУМ ВОЗНЬ ШЕФЬ НАЧ ДВИСЬ ПУРЬ КОСЬ ТРЁС РАР │
│ │
│ г ь в з д в │
│ШАМЬ ЗНУК ГЕЩ ЕЛ ВОФЬ РЕН ТРЫСЬ ФОТ ГАФЬ ЛОЦ │
│ │
│ в з з г з │
│ТОФ ЦАСЬ ЛИН ДЯРЬ ПРЮМ ПЯСЬ МОК НОСЬ БЕЦ ВЁРЬ │
└─────────────────────────────────────────────────────────────────────────┘
Таблица Б.84
┌─────────────────────────────────────────────────────────────────────────┐
│ д в б эг сч в з з б │
│ДЫТЬ ФСАХ НАПЬ ШЕК ЩИРЬ ФАФ НОСТ ЛЯСЬ РУС ТЯПЬ │
│ │
│ в ё д │
│ПУР НЁН ТРИНЬ ТЫФЬ ШОЦ МУН ВАТЬ КРИХ ТАЛЬ РЮМ │
│ │
│ д жь б в з │
│ВЯТ ПЮР ХОЙ ДЛАР ПРЯХ ГАЛ ЗУШ ЖАП ФСЕС КУЦ │
│ │
│ д жь б з б ь д │
│ПРАТЬ МЯЙ ГИШ ПАП БЫСЬ ШТЕР САПЬ ЮН РАЩ ПАНТ │
│ │
│ юз д в д б жь д │
│ЧУС ЦОТЬ БЯФЬ РИР ЗЮР ДИТЬ НУН СЕП ДЯШ ЛУТ │
└─────────────────────────────────────────────────────────────────────────┘
Таблица Б.85
┌─────────────────────────────────────────────────────────────────────────┐
│ в я б в г б │
│БОФЬ МЕМ ЧАНЬ ФЕЦ ЛАПЬ НЮФ ПЛЁК ХАП ГИНЬ МЯЦ │
│ │
│с д ы сч з з ь │
│ЗДИН ДОХ СЭТ ЖИН ЩЕС СИСТЬ ЗАМ ТУСЬ ПРЁР БАЩ │
│ │
│ г з │
│ПЕК СТЯСЬ НЕЛЬ БЮХ ЧТУЛЬ ШУЛЬ ТИМ ДЯЙ ВЫМ ЗЯХ │
│ │
│ в г д в ь з в в д │
│РЫФ ЁРЬ ТРИК ШАТЬ СОФ ДАЧ НЫС СВАЦ ПОФ ФСЁТЬ│
│ │
│ жь жь г в ь д г │
│ЯНЬ СЮШ ВИЛЬ ТРОШ КАМЬ ВОК РЮФЬ ГОЧ ТАТ ЛЁК │
└─────────────────────────────────────────────────────────────────────────┘
Таблица Б.86
┌─────────────────────────────────────────────────────────────────────────┐
│ г з в жь в г │
│МЕК ТЮСЬ МЫНЬ СОЦ КРАФ СЕШ ПАФЬ РЕК ЛЯН СТУЛЬ│
│ │
│ д з ы в │
│ПРОЛ НЯХ РЮТ ЗАЦ ЁС НАЗНЬ ШИР ПЯЛ ВУФ ЖАЙ │
│ │
│ ь ь з б │
│ЦАЧ ТРЕНЬ БАЙ ХЕЧ БЯН СЫСЬ ДАПЬ СОСТЬ НЕЦ ДИР │
│ │
│ д в з э з │
│ГУМ ЗЯЦ ЧТЕТЬ БИРЬ СЫФ ХАР ДЛЁС ШЕЛ СВАС НАНЬ │
│ │
│ в ь жь з ь д б │
│КИФЬ ЧИЧ ФОШ СКАЙ КУС ЗОЩ ЛАР ПЫТЬ ЛЁП РЫМ │
└─────────────────────────────────────────────────────────────────────────┘
Таблица Б.87
┌─────────────────────────────────────────────────────────────────────────┐
│ о ь з в ь ыв д │
│ВУР ЖЁЧ МОС ДИФ ТУЙ ДРАХ ТЫЧ ШИФ БУРЬ ПЛАТЬ│
│ │
│ б д в сч в │
│НЁПЬ ЧТАТ НИФЬ ЩЕХ ВАЛЬ ЗИФЬ ЗОНЬ КАН ПРЫХ ЯЦ │
│ │
│ жь з д в жь │
│ЗНАШ ВИР ТЕР САС ТУСТ ПЕХ ЗАЙ ХИТ СЯФ РУШ │
│ │
│ в в жь б │
│ЦОФ ЛЮНЬ ШТИМ КЕР БЯФЬ НЫШ ТРУНЬ ЗОМ ЛЫН ФАПЬ │
│ │
│ д жь в ь с │
│ЛИЙ ГУТЬ МЯШ СТАФ РЕЩ ПУНЬ ДЫЛ ЗДАР ЧЕМ ХОЦ │
└─────────────────────────────────────────────────────────────────────────┘
Таблица Б.88
┌─────────────────────────────────────────────────────────────────────────┐
│ в эг г в з │
│ШУХ ТЯФ ЛЕМ СТЫН ДЕР ПРИНЬ ЖЕК ВЫК НУФ БАСЬ │
│ │
│ б жь б з д б │
│ТРАНЬ ДЯПЬ ФУР КОШ ЮП БОЦ МЮС ГЕТЬ ЦУП НЫР │
│ │
│ в б д о з │
│СОЛ ЧТУФ СЮП ФИНЬ ВЫНТ ГАНЬ РЫМЬ ЧЁЛ РУН СКЕСЬ│
│ │
│ г в в жь сч о │
│ПАК НИМ ТРИФ ХОЛ ПЯЙ МУФЬ ДВАЙ РЮШ ШТЕХ ЩЁЙ │
│ │
│ д в з б д в │
│ДЫМЬ ЛОТЬ РЯХ ШАЙ ВЁФЬ ЗОСЬ БЮП ЗНУЛ СЭТЬ ТАФЬ │
└─────────────────────────────────────────────────────────────────────────┘
Таблица Б.89
┌─────────────────────────────────────────────────────────────────────────┐
│ жь в д в д э │
│НЕН ДЮШ РЕФЬ ЗЮТ ФСЁТ МАРЬ ШЕХ НОР ТЫНЬ ДЕЗНЬ│
│ │
│ з в д в д жь │
│ПРУС НАФ ТУТЬ ЖАФ БЫН ЛУЙ ДИТЬ ПРЁХ ПОЦ ХУШ │
│ │
│ яг сч об │
│БЯР ТРЮН ЦАЛ СИЦ ЧАК ПЫСТ ЕН ДИН ЩЁП РАЦ │
│ │
│ з г б ь б д о ь │
│ФОС ГЕК КОП ШТЕЛ ТАР СУЧ РОРЬ ТЁП КРУТ ШЁЧ │
│ │
│ з з в б з │
│ЛИСЬ ВЭС ФСУХ ЗУПЬ ГОЦ РЮЛЬ ДЛОС ВЯН МЯЛ ПЁНЬ │
└─────────────────────────────────────────────────────────────────────────┘
Таблица Б.90
┌─────────────────────────────────────────────────────────────────────────┐
│ д жь д в с д б жь в з │
│ ЗЕТЬ ХАШ СТЕТЬ ШАФ ЗДЕТ ТЫП НЮШ ХЕСТ ПЁФ БЕСЬ │
│ │
│ з б в б │
│ ШУН ТОСЬ ЛУПЬ ТРЫЦ ПУФ РЁР ВЕП ТИЦ ТРЯР НУМЬ │
│ │
│ з г о ь з д б в эз │
│ ПРЮСЬ МИНЬ СЭК ЧЁЩ ЯМЬ ВЫС СВУТ НЯП ЛЕФЬ ЖЕС │
│ │
│сч я д б д в д б │
│ ЩАЙ ПЛЕМ ДОТЬ МЁП БЫХ ДЁМ СИТЬ ДАФ СЁТЬ ЧТЫП │
│ │
│ г в в ь в ь д б │
│ ГОК ФЕФЬ ВАФЬ КУЧ ФСЕР БОМ ЕЧ ЗУХ РУТЬ ГИП │
└─────────────────────────────────────────────────────────────────────────┘
Таблица Б.91
┌─────────────────────────────────────────────────────────────────────────┐
│ б ы з з жь │
│ТЁЛ СУПЬ ШИН ПРОХ БЮМ ГАЛЬ ФЫС МОРЬ СВОСЬ ДЫШ │
│ │
│ д г в в д з в │
│СИХ РАТ ДЛЕК КЕФЬ РЁЙ ЯФ ХАНТ ТЫС РИЛЬ КЭФ │
│ │
│ д жь ь д жь д г э б │
│КРУТЬ НЫШ ЗУЧ ЛЯТ ПОШ СКОТЬ МЕК ПЮЛЬ ШЕМ ДИПЬ │
│ │
│ з г ь в │
│БЫН ТРЮЛ НЯСЬ БИК ВОЛЬ ЗИМ ЛИЧ СТАЙ ХУФЬ ЛОХ │
│ │
│ з в ь ы жь д │
│ПУСЬ ЗАЙ ЧИФ СОЛ ПЮСТ НИЩ ХЕЛ ЦОРЬ ЖИШ ЧТЕТ │
└─────────────────────────────────────────────────────────────────────────┘
Таблица Б.92
┌─────────────────────────────────────────────────────────────────────────┐
│ д д б з жь з б │
│СОЦ НИНТ ФУТЬ КИП САСЬ ЛЮШ СТОС НЯЛЬ КУЛ НЫПЬ │
│ │
│ г з д д г в │
│ПРЫК БУЛЬ НИР ГОС ТЭТ ЗНЁТ ДЯК ХИЙ ВОФ ШТОН │
│ │
│ д об с б з г │
│ЛЫТЬ ЧЁП ЗДАХ ДУЛЬ ВЮП МЮЙ ЛИРЬ ТРАСЬ ШУК ТАР │
│ │
│ жь г г ь сч юд о ь з │
│РИШ СКОК ЁК ЧТАМЬ ПИЧ ЦОЛЬ ЩУТ ЖЁЩ ТЯСЬ ЗОЦ │
│ │
│ з д ь │
│ЗЯЛЬ РЫНЬ ХОСЬ ВЫЙ ДРОТЬ МАР ПОЧ ЗУЛЬ ПЛОМ БЁЛЬ │
└─────────────────────────────────────────────────────────────────────────┘
Таблица Б.93
┌─────────────────────────────────────────────────────────────────────────┐
│ г з д г з ь и │
│ДЫК ФАЛЬ ЧТУЦ РАХ ЮСЬ ШОТЬ ДЯК ТРЮС ПЕЩ ЦЫН │
│ │
│ д ь б д │
│ПЮСТЬ РУЙ БАХ ЛОНЬ ДЁРЬ НИЙ ЗНЕТ НУЧ ВЯПЬ КУТ │
│ │
│ д ы │
│ЛЕЛ ДВАМ ПОТЬ ГУЙ ЗАН СКЕМ БЕНЬ ТУЛЬ ШИЛ ТРАН │
│ │
│ з ь з ы ь з б │
│ХУСЬ РЯН ЧЕЧ СТАРЬ БОС ЖИЛЬ СУЩ ФЕСЬ ПРЯП ВУХ │
│ │
│ ь з в сч я жь в жь б │
│МАЧ ТИСЬ НЫФ ЩАЛЬ ШТЕШ ТЭН ГИФЬ РЕМ МЮШ СЁПЬ │
└─────────────────────────────────────────────────────────────────────────┘
Таблица Б.94
┌─────────────────────────────────────────────────────────────────────────┐
│ сч юз д в з │
│НЁЙ ХАЛ РЁТ ЩУС КРАЦ СЫТ РУХ ТОЙ ВЫР ФСЯСЬ│
│ │
│ в г д в жь д │
│ВУСТ РАФЬ НАНЬ МЯК ВИХ ПОН ТЯНТ БЯФ ГОШ НОТ │
│ │
│ в з д о жь в │
│ПЯФЬ ШТУС ДЁТ ФОМ ШЁН ПРЮШ ЗЁЛ НУМ ТАЛ МУФ │
│ │
│ з г ь з в б д жь з │
│ЕС ЖАК БОЩ ДЛАС СЯФ ЛЕПЬ ЦУТ ЛАШ ТРИС ЗОЛ │
│ │
│ б юд б б э ь в з │
│КАП ЧУТ ПРАП ГИНЬ ТЮП ДЯЦ ШЕЧ ФСАМ ДОЙ РЯС │
└─────────────────────────────────────────────────────────────────────────┘
Таблица Б.95
┌─────────────────────────────────────────────────────────────────────────┐
│ д з я д в д │
│НУТ ЮРЬ ВАСЬ ТРУЦ ЧАМ ЗОТЬ ЖАХ ЗЕЛ СТЯФ РИТ │
│ │
│ в ь с д жь сч о │
│СВЯХ ШУФ ЛЁХ МЯЩ ЗДИТ РЫШ ДЮЛЬ ВЁЙ БЯЙ ЩЁМ │
│ │
│ д ь ь д з жь в г │
│ДЫТ ТРЕМ СУЩ РЕНЬ ХОЧ САНТ МЁМ БУСЬ СЕШ ФСИК │
│ │
│ б в в д │
│ГУРЬ ФИП ПЛЕЦ ВУЙ ТАР ЁФЬ ГЕХ ЧТЫФЬ ЛУРЬ БАТ │
│ │
│ з г в з │
│ТЁЦ ШАСЬ НЕК ПЫФ ДАМ ПЕЛЬ ПРИСЬ ТУНЬ КОЛЬ НЁХ │
└─────────────────────────────────────────────────────────────────────────┘
Таблица Б.96
┌─────────────────────────────────────────────────────────────────────────┐
│ д б ыд б │
│ЛЯРЬ ЗЫМ ТИРЬ НУНТ ХИП САРЬ ШИТ ХОН ДЛИП ЧИЛ │
│ │
│ жь б э б │
│СТОШ РЮНЬ КЕП СОХ ЧТЕН ДЮЛ ЖЕНЬ РИП ЦУР ЗЮЛ │
│ │
│ в д ь д б │
│ФУФЬ СВЁТ НЮЧ ШАЛ ПЕТ КРОХ ГУПЬ СОЗНЬ БЮЛЬ СКОР │
│ │
│ д д б в з г в │
│ЗАТЬ МУЛЬ ТРЕТ РУП ЁЦ БУФЬ ДОС РЁЛЬ НОК НИФЬ │
│ │
│ в ь д │
│ПУМ БИР ПАМЬ ЛИФЬ ВАЩ ЛОР ПРОЙ ТАНЬ СЮТ МЯР │
└─────────────────────────────────────────────────────────────────────────┘
Таблица Б.97
┌─────────────────────────────────────────────────────────────────────────┐
│ з я б д з │
│БЫР ЗНОСЬ ЧАЦ ПЫПЬ ЕТ ВИНЬ ТАСЬ ХЕЦ ФОЙ ШТЫХ │
│ │
│ д д з з ь в з │
│ЧТАТ КАЙ СТЭТ ЖУСЬ ДРОС ТЯН ВЫЧ ПРЫФ ДАСЬ МЫЦ │
│ │
│ б д б жь з з сч б │
│ЛАП СЕТ ХОПЬ ТАЦ ЛЕШ ЗОР ДЯСЬ ШУС ЩЕЛ НУПЬ │
│ │
│ г з з в з │
│СЭЛ ВУК ЛЮСЬ НЯР ЦАС БЁМ ЗУМ НЕФ ТЕЗНЬ РОСЬ │
│ │
│ г жь д с ь ь │
│МИЛЬ ГАК ЗИШ ПЛАТ РИРЬ ЗДАМ ТРЫЧ САЩ КИЦ ПЯНЬ │
└─────────────────────────────────────────────────────────────────────────┘
Таблица Б.98
┌─────────────────────────────────────────────────────────────────────────┐
│ д жь в д в жь эд ь │
│ МИН СЁТ ГАХ ТЫШ КУФ ГЕТ ХАФ ВУШ ЖЕТЬ РУЩ │
│ │
│ з з г б жь │
│ ПЕС РЕР БОС ЛЁЛ БЫХ ШТАК СЭЛ МЫР ТРЯП ДОШ │
│ │
│ г в д в б жь │
│ ДВАК НАФ ПРЕН СТУТЬ ФЕФ НОПЬ РАМ ЧЕНЬ ПУШ ТЯНЬ │
│ │
│сч б сч я э з в │
│ ЩИЛЬ ЛУП ЩАЦ ЦЕН ДЯСЬ ЮХ ВЕФ ТРАМ ФАНЬ ЧТУЛЬ│
│ │
│ в з б в │
│ РЮФ СКЕЙ ЗЫСЬ НЕРЬ ЗНОП ШУЦ ДЕСТ КАФЬ ДЕМ БЕН │
└─────────────────────────────────────────────────────────────────────────┘
Таблица Б.99
┌─────────────────────────────────────────────────────────────────────────┐
│ г г ю в з │
│ ГИК ТЕЛЬ ЕЙ ВЕЛ ХАК ЧУЙ РАМЬ ПРЕФ ДЯЦ НИСЬ │
│ │
│ з д в жь и з в з │
│ ЦУС КАНЬ ДЛАТЬ ФСЯШ БУМЬ ДЫР ШЫЦ ВОСЬ ЛЫФЬ ТОС │
│ │
│ б в з в з в б г │
│ КРИН МЁЛЬ НОЦ ДИП ФСАС ПАФ КОС БЯФ ТРИП РЫК │
│ │
│ в ь г д з │
│ РЁХ ГОРЬ ЛИМ ПЮФЬ ЗЭЩ СЯК ВУНТ СЫС ФЫН ШТИЛ │
│ │
│сч яжь б эд з б ов г │
│ ЩАШ ПРУП ШЕТ МАМ ДЁЗНЬ НАСЬ ТЫПЬ ЖЁФЬ РЯК ЗИЙ │
└─────────────────────────────────────────────────────────────────────────┘
Таблица Б.100
┌─────────────────────────────────────────────────────────────────────────┐
│ б д з г г жь│
│ВАПЬ ЗУТЬ СВОН ЖАС НАК СУН ТРЁК МИМ ДУМЬ ПРИШ │
│ │
│ з ь в ь │
│ЁЛЬ ХАСЬ ТЫЧ КУФ ЛЁЙ ТУХ ВЫЩ ГЕР СИЛЬ ТЁМ │
│ │
│ з в з │
│ПЫМ ТРУНЬ ПЁСЬ ЧТАЙ ГАФ ЛЫМ КОС ПЛЕЙ ДАН ЯРЬ │
│ │
│ з сч г ь д г б с │
│СТИС ЩИК РЯЛ БЫРЬ ЗЕЧ ВЁТ БЯК РЫН ШАПЬ ЗДЕЙ │
│ │
│ о д б з о в д │
│ЧЁЦ БАЛЬ НИТ МЯПЬ ХАЗНЬ ФИС ШЁЛ НЯМЬ ФСЕТ ДЕЛЬ │
└─────────────────────────────────────────────────────────────────────────┘
Таблица Б.101
┌─────────────────────────────────────────────────────────────────────────┐
│ д б з в д │
│ВЮР ЛИР ПРИТ ТЫПЬ СЯХ СОСЬ РУФЬ СУЗНЬ РУТ ДОР │
│ │
│ д г в ы ь д │
│МОТЬ ФОК ВЫЙ ЗНУН ВУФ ШИЧ РИР СТАР ЦАТЬ ВЯЙ │
│ │
│ сч я сч о г з з б │
│НАХ СТЯЛ ЩАЛ ЛОРЬ ЩЁХ КИК ЗЮС ВОСТЬ РЫС ГИПЬ │
│ │
│ г ыг яд жь д │
│ФАЙ РЁК ЖИК ЧАТЬ ФИШ СЫМ ДВАТ БАЦ БАН САХ │
│ │
│ ь з ь в д в │
│ТРУХ ДУЧ МИС ПУЧ МЁХ МОФЬ НУЦ ЧТЭТ СТОЦ ПЯФ │
└─────────────────────────────────────────────────────────────────────────┘
Таблица Б.102
┌─────────────────────────────────────────────────────────────────────────┐
│ в д ё жь з │
│ХУФ ХЕТ РЫЦ НОСТЬ ШОЛЬ ЗОШ ПРЮХ НАР ЧУМЬ КАСЬ │
│ │
│ з ов в ь │
│ЧТАЛ РЯС РУЛ КАСТЬ ПОРЬ ЧЁФ МЮФ ФЫЛ ХАЧ БЁР │
│ │
│ ь г з з ь д │
│ЮЦ МЯМ БЕМ ЦУЧ ДЛИН НЯК ЗОС ЯС ТЯЧ ШТОТЬ│
│ │
│ б з з г в ь ё б │
│ТРАР РЕПЬ ЧЕСЬ ДАС ВАК ФСЕН БУЩ ШОХ ДЕП ВЁНЬ │
│ │
│ з ь в г з д │
│ЖУС ХОЛЬ ЛЯМ ТАНЬ ТЁЩ ЁФЬ КАЦ ЗЯК ШУСЬ ТРИТ │
└─────────────────────────────────────────────────────────────────────────┘
Таблица Б.103
┌─────────────────────────────────────────────────────────────────────────┐
│ б в б б │
│ПЕЛ ТОРЬ ЛЮПЬ ТИСТЬ БУФ ДЮРЬ ЧТЕЛ ТРЯПЬ ДЯН НИП │
│ │
│ д з з д д в │
│ДРЕТЬ КРОМ ТАС ПРАС ТЕТ ПРОЦ ГУТЬ ТЭФ РЯЙ ТАЦ │
│ │
│ в жь г з з ь д │
│ЗУФЬ ПУЛЬ МЕШ ФЕК ЦЫЙ ПЕСТЬ ХАС ЖАСЬ ФУЧ НОТЬ │
│ │
│ з з сч ю з │
│СЕЛЬ ВУР ТРЕН ДЕСЬ КРЫС СКУМ ТРЮЛЬ ЩУРЬ ЛЕР ДЕС │
│ │
│ эб в э з с б сч д в │
│ЛЁНЬ ШЕП ВАФЬ ЖЕН ПИЦ НЫСЬ ЗДАП ЩЕТЬ ДЛАФ ЗЫРЬ │
└─────────────────────────────────────────────────────────────────────────┘
Таблица Б.104
┌─────────────────────────────────────────────────────────────────────────┐
│ ь ь д │
│ТУЩ ШАРЬ НИЩ ЗОЛЬ ШТАЙ БЮН СЁЙ РОН СВАР ЛУТ │
│ │
│ в г з │
│ГЕФ ВОХ ГЕК ПАСЬ ПРЫЛ ГУМ ПЮМ НЯРЬ ХУЛ ТУХ │
│ │
│ в з в з з ь │
│МАФ СУСЬ БАНЬ ПРЕНЬ НЕНЬ ФСЕС ЧТУЙ БЫС НУНЬ ДЁЧ │
│ │
│ з жь ь г д │
│ДЫС ГАНЬ НЯШ ЛОЦ СИЧ ЁК МЯТ ТУМ САМЬ ЗУНЬ │
│ │
│ ь д з з в в г в в │
│ЗИЧ РЁТЬ ЛАСЬ ПЛИСЬ ФСОФ РОЦ ХИЛ ВИК СЁФ МИФЬ │
└─────────────────────────────────────────────────────────────────────────┘
Таблица Б.105
┌─────────────────────────────────────────────────────────────────────────┐
│ з в ы в г │
│СКЕС ЦОЙ МЫЛ ДЯФ ШИЙ ДЫСТ СЫХ ЛЕН ВЯФ БЁК │
│ │
│ ь д эд с з ыз ь │
│СВУМ ЗАХ СТЫЧ НЁТ ШЕТЬ ТЁР ЗДЕС ШИСЬ ЛОЧ РЮХ │
│ │
│ з г д в д │
│ШТИСЬ КОС СУЛ ПЛЫК ТЮТ ЧИНЬ ГОФ КАТЬ ДАМЬ ПОН │
│ │
│ з ёв з в в б │
│ВЫС ЖОФ ГОМ БЯС НЫФ КУЙ ЗЕХ ЛЕФЬ ТРЕП РЕЛЬ │
│ │
│ жь з б в д ь │
│ЗНОМ ЕР КЕШ ПЫЦ РАСЬ НЕПЬ ЛУФ ДУМ БОТЬ ПЯЩ │
└─────────────────────────────────────────────────────────────────────────┘
Таблица Б.106
┌─────────────────────────────────────────────────────────────────────────┐
│ ь в д з б в д │
│МИЧ НОЛ ШУФЬ СЭК ПЕМ НЮТЬ НЕСЬ РЮП ПОФЬ ПРЮТ │
│ │
│ д г в жь жь з в │
│ШАТ РУК ЗОЙ ЧЕФ ПРОШ СВАШ КРУС СВЕН ТОФЬ ВОСТ │
│ │
│ з з ед з б в з в │
│БАСЬ ЛИС ДЭТ ПЭС ЧУПЬ ФСИСЬ ГОНЬ БАФ ТРЕЙ КАЦ │
│ │
│ жь г д ь │
│ВЁЛЬ МАШ ЗЁК ТЯЛ ПЫРЬ ТРАТ ТЁЧ МАМ МЮХ ДЛАН │
│ │
│ з б в д ь │
│ЗУСЬ ЧИП ПЮЗНЬ ФСЯЛ КРАТЬ ХИН РЕНЬ СЕЧ ФОЛЬ ДАЛ │
└─────────────────────────────────────────────────────────────────────────┘
Таблица Б.107
┌─────────────────────────────────────────────────────────────────────────┐
│ д в д з в ь │
│ЗИЛЬ ТЮТЬ ФЫР НЯФ ЛЯЛЬ БУТЬ БЁС СОФЬ МЁЦ ПЯЧ │
│ │
│ з ь б жь ь д з │
│ЕС МЫЧ ЁХ ПРЫЛЬ ХЕП ВЕШ НОЩ КАТ ТИСЬ ЗНАР │
│ │
│ б жь жь в д ь │
│ТИМ ГЕП СЯШ ХОШ МОЦ БЮФ ЛЕТЬ ВУЩ РЭЛ РЯЛЬ │
│ │
│ в д ы з │
│ДУФЬ ТРИР ЧТЫР НОНТ ЖИЙ ВИЙ ГОЦ ШОМ ЖАСЬ ГАМЬ │
│ │
│ б жь │
│СТУХ ЛАЦ ЗЯЛ ТАЛ ЁЛ ПАЦ ДИПЬ ВУШ НЁМЬ НУР │
└─────────────────────────────────────────────────────────────────────────┘
Таблица Б.108
┌─────────────────────────────────────────────────────────────────────────┐
│ ч з б э ь │
│ДЛЕМ ШТОСЬ САТЬ БЯН ШУНЬ ТРЕПЬ ЛОНЬ ЖУРЬ НИТ ЦЕЧ │
│ │
│ в в б э жь │
│ТРЯН ШТАМ ФСОХ ПРИФ ГАЦ ДОПЬ РЫЦ МЯНЬ ШЕШ РЁЛ │
│ │
│ г ь жь д г в з │
│БОРЬ ТРОК СЁМ РИЙ ЛЯЩ ТРУШ ТЫТЬ ДРАК МЯФ ТАСЬ │
│ │
│ ь б з б │
│РЯХ ВЫЩ БАМЬ ЛЮП НАС ЧТУП ФАН ЗЫЛ ЗАМЬ БЯЦ │
│ │
│ з з д в г э в в в │
│ПЕСЬ САР ПИС ФИТ ЧИФ ТЫК ШЕМ НЫФЬ ВЫФЬ ЯФ │
└─────────────────────────────────────────────────────────────────────────┘
Таблица Б.109
┌─────────────────────────────────────────────────────────────────────────┐
│с з б э б жь г ь │
│ЗДОС БЫПЬ ЖЕМ САСТ ПУР ПЛИП ТОФ НУШ ПЛАК ДАЩ │
│ │
│ ь г в жь ь │
│ДВИЙ ФЕРЬ СУХ ЛЁЩ ДЁК РУФЬ САШ ТОЧ КАСТ ПОХ │
│ │
│ з сч б г з в з │
│ЮС ЩЕП ДУК ЧТЕХ КУСЬ ПРАР СКАХ ЦУФ ФУСЬ СЭМ │
│ │
│ эд з б д д з б │
│ЦЕТЬ СТЯС ВОП ПАНЬ ДЮТЬ СТОТЬ ЧТАС ГОП ПУЛ ЛЁР │
│ │
│ ёд б з з с д │
│ХАНЬ ЖОТЬ ЦОМ ХУП РАСЬ ЗОЛ МЕСЬ СКИР СУМЬ ЗДЯТ │
└─────────────────────────────────────────────────────────────────────────┘
Таблица Б.110
┌─────────────────────────────────────────────────────────────────────────┐
│ д ь з з │
│ВЕТЬ ДЯХ БЮРЬ ГЕЧ НАЛ ДЕСЬ ЗНУХ ДЯНТ РЫС ВУЛЬ │
│ │
│ д ь сч б г од з │
│КАР ШТУТ ПЮЙ КЕХ ПРИЧ ЩИПЬ СЫРЬ ЛЫК ЧЁТЬ ЗЭС │
│ │
│ г г д д жь д в │
│РЯК ЗЕК ЗОХ НЕТЬ РОН НИТ ЛЫШ ДИЛ ХОТЬ ВЯФЬ │
│ │
│ ы з сч я жь ь яз ь │
│ШИНЬ ЩИСЬ ЩАР ТЕШ ТУРЬ СЮЙ ТЁСТЬ ВАЧ ЧАСЬ ШАЧ │
│ │
│ жь в г з б │
│КИН БЫШ ХАФЬ СТАМ НИМ НЯН ШУК СИСЬ ЛАЛ ДЯП │
└─────────────────────────────────────────────────────────────────────────┘
Таблица Б.111
┌─────────────────────────────────────────────────────────────────────────┐
│ з г д ь сч ь │
│ЧИМЬ ЗЯЙ СТЫС БЫНЬ ВЫК ЁМ ЗНАН ДЯТ ЛИЧ ЩИЧ │
│ │
│ г ыз з ь г в ь б ь│
│ТЫХ НУК ШИСЬ ВУСЬ КАЧ НИК ШТЕФ ГАЧ ТРЮП ТРИЧ │
│ │
│ в жь ь д сч ю │
│ЖУР РЯФ БУШ ЦОН ПУЩ ВЕЛЬ БАТЬ ЩУР ШТУМ ДЕН │
│ │
│ б ь в в з д г │
│ГАН ВЯП ЮЧ ТРЕР ЕФ САФ МЕС ВЫТ ШТЕК ПРОМ │
│ │
│ в з д │
│ХОЙ НИФ ЗОН ТРОХ ДЛОХ ДЯЛ БЕР БИМ ЧТИС ТЁТ │
└─────────────────────────────────────────────────────────────────────────┘
Таблица Б.112
┌─────────────────────────────────────────────────────────────────────────┐
│ жь б в д б в │
│ХЕШ НЁП СЫФ БОН ШАТ ЧТЫН ФЕЛЬ РЕПЬ ЧТАФ СТЕР │
│ │
│ д д б в ёз б э │
│ЧЕТЬ НАТЬ ЛЕПЬ ЛЮФЬ ЖОС МЁПЬ ЗЕЙ ЗАРЬ МИРЬ ШЕН │
│ │
│ яв д в з │
│СЕЛ ЧАФ ЛЯТЬ ДУЛ ДЕФ ШУЛ ХИЦ СЯС РЕЙ КЕЦ │
│ │
│ ю б ь б з б │
│ЧУН РАПЬ ЗЫХ ДАЩ ХАП ДАМ ЛАХ НЫЦ БУС ЯПЬ │
│ │
│ в в ь д │
│ПОФЬ ЖАФ МЫРЬ РИЩ ФУЛ ЮТЬ НОН ТРЫХ БУЛ ГУЛЬ │
└─────────────────────────────────────────────────────────────────────────┘
Таблица Б.113
┌─────────────────────────────────────────────────────────────────────────┐
│ д з б б │
│МУТ НАМ ДРОН ЗУРЬ СКОЛ ТОСЬ СТУП НЯП МАРЬ РОР │
│ │
│ г г жь жь │
│ЗИЛ НЕСТ СИТ ТЕК РЮК КУН ЮШ ПРЯШ БЮЛ ПУЛ │
│ │
│ б б г ь д ь │
│ПЛАП ВУПЬ ЗУК РАЧ ГЕТЬ ВАСТ ЛОМЬ НЕМ СТАЧ СЕН │
│ │
│ д ь з жь │
│СВЕМ ГУЦ СУРЬ ГЕЙ ПРЁТ ЛУЩ ФОК ТИЙ НУС РИШ │
│ │
│ б д г г │
│БЁНЬ ХУПЬ РЁН ПАНЬ КУНТ РЕТ РУК МЮЛЬ СЫК ДИСТ │
└─────────────────────────────────────────────────────────────────────────┘
Таблица Б.114
┌─────────────────────────────────────────────────────────────────────────┐
│ оз д э ё в з │
│ЧЁСЬ ВЁТЬ ДУЦ ДЫЛЬ ШЕМЬ ШОН ВАЙ ЗАЛЬ ВАФ ВЮС │
│ │
│ жь д ь с жь г д │
│ЗАШ ПИТ САЛ РОЧ ДЁЦ ЗДИШ КРАК БЫМЬ ТРЯТ ДЕМЬ │
│ │
│ д еб э жь г ы в сч яд │
│РУТ ЦУХ ФЭП ШЕШ ЛОК ШИНЬ НЕФЬ ЛЫЦ ХАХ ЩАТЬ │
│ │
│ з б з │
│ТУЛ ЛЁХ ФИЦ ЗНУСЬ НЯНЬ СВОЛ ГИП ЖАМ БЯЛЬ ГОС │
│ │
│ жь в б ь │
│ПЕХ КРОШ ПЯЛЬ НЮЦ ЛИР ТУФЬ КАР ДОР МОП СОЩ │
└─────────────────────────────────────────────────────────────────────────┘
Таблица Б.115
┌─────────────────────────────────────────────────────────────────────────┐
│в з с ь б з │
│ФСИХ ЗЁЙ ДВАС ЗДОЛ ПРИЦ ТЫЦ ЦОЧ НУТ СОПЬ СИС │
│ │
│в жь д д д з │
│ФСЮЛ СКИШ ФОЦ ДЛЕТ ПЛИТ ТЫТ ДЮМ МЯХ ТЁСТ ПРУСЬ│
│ │
│ д ь д в д б в │
│КАТ ПЯЗНЬ ФАЧ ВОХ КОТЬ РУНЬ ФСАТ НЫЛ ТЫП ПЁФЬ │
│ │
│ б э сч в │
│СЮПЬ ЛЁМ РЯЦ ПЫМЬ ЦЕР МЮН ТРУМ ТИЛ ЩИН ХОФ │
│ │
│ б д з д ыв в │
│ПЁПЬ ЧТУТЬ КИН ПРЮС ПАЦ БЯТЬ САЗНЬ ЖИФ ШУФЬ ТЕН │
└─────────────────────────────────────────────────────────────────────────┘
Таблица Б.116
┌─────────────────────────────────────────────────────────────────────────┐
│ е б б сч о ь д б │
│ЛЁЛЬ СИРЬ ПРАЙ НЭР СТАП БЮПЬ ЩЁЧ ГОТЬ ТРЯХ ПОПЬ │
│ │
│ ы од ь в жь │
│РАНЬ РЮН ШИМ ШЁТ ТУНЬ ХУХ ПУСТ ВИЧ ДОФ БУШ │
│ │
│ б б з д в б │
│МЫП ХОМ ТЭП ЗЕМЬ ПРИЙ ЯМ БОСЬ ДЕН МЁТЬ ФСЕП │
│ │
│ з ь д д ь г з │
│НЫС ТЯЦ НАЧ СЫНТ ДРЕТ БУН ЗУЧ ТРЫК БЮС ЧЕМЬ │
│ │
│ ёб ё сч │
│ШОП ДЯМ ШТАР ЧИХ НИН ЖОЙ НЕНЬ ЧТЕЙ ВАЗНЬ ЩЕР │
└─────────────────────────────────────────────────────────────────────────┘
Таблица Б.117
┌─────────────────────────────────────────────────────────────────────────┐
│ ё д б ь │
│ТОНЬ МИЛЬ ЛОР ШОМ РУТЬ ВОПЬ ТИН БАХ КРОЧ СЮФ │
│ │
│ д д в с г жь│
│БЫРЬ ДЯТЬ ХИНЬ НОТ ЛЯЦ НУФЬ СТЯМ ПЮХ ЗДЕК ТРЯШ │
│ │
│ д б жь ь ыб д б │
│ГЕЛЬ СЯТЬ КУПЬ СТУШ ГУЧ ЖИП ДЕНТ НЯПЬ ПРУХ ДЕХ │
│ │
│ г г з жь б ь │
│ТИЦ ХОК СКАК ВИЦ СЫСЬ ЧЁШ ГЕХ МАПЬ ЗОН СУЧ │
│ │
│ з ь с з д в жь │
│САС ТИЗНЬ ЛАЧ ЗДАН ЗЫС ЗЯНЬ ДАХ ЛЫТ КИФ ВЯШ │
└─────────────────────────────────────────────────────────────────────────┘
Таблица Б.118
┌─────────────────────────────────────────────────────────────────────────┐
│ б г б сч яб б │
│КАС СОЙ НАП ДЛЮК ВАП ЩАП ХУН ДЛАХ ТЁПЬ ЦАЦ │
│ │
│ в в д з з з б г б │
│ПОМЬ БЮФЬ ФСОТЬ ЛУСЬ ЗАСЬ КРИС СЭТ ГУП ПЛИК ТАПЬ │
│ │
│ жь в жь │
│МОНЬ ПЁШ ТРАХ НЯЦ ДУР РЕФ ШУРЬ ЕР НИХ ГАШ │
│ │
│ з в г ь │
│КАРЬ ЗОЦ ЗНУС ТРОФ ШТИК СТОХ РУМ ВЫХ БЁРЬ МЮЩ │
│ │
│ эз юв б е б з │
│ШЕС ЧУФЬ РЮЙ ЖАН НЕХ СВОХ ЛИП ЗЭН ЗАПЬ ПЛОС │
└─────────────────────────────────────────────────────────────────────────┘
Таблица Б.119
┌─────────────────────────────────────────────────────────────────────────┐
│ я д │
│ЛОХ ФУХ СОЙ РАЦ СЮЦ ЧАЛ ЛЮМ СОХ СКЕТ ЗУМ │
│ │
│ з б в │
│МЯХ РЫМ ЦЫМ ХАСЬ РЕП ЕНЬ ЗНАМ КИФ НЯСТЬ РИМЬ │
│ │
│ ь д б │
│МУРЬ ДОЛЬ ФУЩ ПЯН ЗЁН ТЕТЬ ПАПЬ ПОК НЁР ПРЕЙ │
│ │
│ ь ь з д б жь г │
│ТУЩ ВАЧ МИСЬ ТРИЦ ФИТЬ ЮПЬ ДЫШ ЗИНЬ РЫХ СЭК │
│ │
│ ь з д б эз в б ь │
│ПАЩ ЧТАЛЬ ГИС КАЛЬ ВУТЬ ХЕПЬ ЦЕСЬ ФСЕЛ БЕП НЮЩ │
└─────────────────────────────────────────────────────────────────────────┘
Таблица Б.120
┌─────────────────────────────────────────────────────────────────────────┐
│ д ы б эб д жь г │
│БЕТ ШИХ ДЮП ШЕП ПРОР ДЕХ ДВЕТЬ ТАШ ПЕЗНЬ ЧТЭК │
│ │
│ з жь б ь б │
│ШАНЬ ПЕСЬ СИШ ГАП РЁЛЬ ФЫМ ЛЁЧ ДЕП ЖУНЬ РЮХ │
│ │
│ д г ид в │
│ЯХ ЛЕТ ПРЯН КЕРЬ ЧТУК ЛЯЙ ВУЛЬ ЦЫТ БУФЬ ФАЛ │
│ │
│ з в э з з в д в │
│ТЫС БАН КОФ ЖЕЦ РЁСЬ ТРЯСЬ ЛУФЬ ПЫР ЁТЬ ДЁФЬ │
│ │
│ б г сч з │
│НУН СВАМ ФЕП ШТОХ ПЫЙ ВЁК ЩИС ВЫМ РОРЬ ПЁРЬ │
└─────────────────────────────────────────────────────────────────────────┘
Таблица Б.121
┌─────────────────────────────────────────────────────────────────────────┐
│ д д б в ь сч │
│ЛЯМЬ ВЕЛЬ ЗАТЬ БЁЙ ЗНАТ НЁП БОФ ТИЧ ЩИЛ ХАЛЬ │
│ │
│ з б б б в д │
│ЧТИСЬ МИЦ КРУЙ ДЛЕП ПИН БЯПЬ ШАПЬ ДЫН ДАФ НЫТ │
│ │
│ д ь д │
│ВОМ ПИТ ВЯР ХУЩ ЖУТ СЁР СЭТЬ КУТ РЫЛЬ ЕМ │
│ │
│ з б з д д ь │
│ЛЁНЬ ЛАСЬ РИП ЧТЫНЬ ПАМ МЯСЬ ЛИРЬ ДОТЬ СЫТЬ КАЧ │
│ │
│ эд з г з сч г д ё жь │
│ШЕТ ЖАС ФАК СТУСЬ ТЭР ЩЕК ХИР ПАТЬ ШОР ЗЕШ │
└─────────────────────────────────────────────────────────────────────────┘
Таблица Б.122
┌─────────────────────────────────────────────────────────────────────────┐
│ в з д д з │
│ГУФ ЗЮХ СЮСЬ ФИМ НОТЬ ЗУТЬ ПЫР СЫЙ ТАФ ЁС │
│ │
│ жь ь ь д з г │
│ДАРЬ ВОЦ БАШ ХОМЬ ТРЕЧ ЛИЩ ПЯНТ НЕС КАХ ЗИК │
│ │
│ б д в з з з │
│СОП ТЕТ ЗЫЛЬ НИФ ЗНЁС ДИСЬ ДЕС РОР МОЗ СТЫХ │
│ │
│ з з в д з сч в │
│ФУЦ СИМ КИСЬ ТРУСЬ ЛЕФЬ ВУТЬ ТРАСЬ ЩАХ ВОФ ШАРЬ │
│ │
│ д з б з жь │
│МУЦ МОТЬ СТОР БЫС ЧЁП ТЫЛЬ ГОСЬ КРАЛ СОШ БЫЙ │
└─────────────────────────────────────────────────────────────────────────┘
Таблица Б.123
┌─────────────────────────────────────────────────────────────────────────┐
│ ь з жь д в д в │
│РЮН ЛЮЛ ТЯЩ РЁСЬ БЯШ РЕТЬ МЕФ ХАТ ПУЙ КАФ │
│ │
│ б ь ё в юз г │
│ДУПЬ ТУСТЬ МЁЧ ШОХ СЕФЬ ЧУСЬ ДЯХ СУР СТЕК ДИРЬ │
│ │
│ б б з │
│ТОХ ЛЫЙ ЛОД ВИН ДЫХ ТУП РАПЬ ШУСЬ ЗАН НЯНЬ │
│ │
│ г ы в жь │
│РУМ БЕМЬ ЕЦ ЗОР ДЁЛ ЗОК ШИЦ ЧТУФЬ ГЕНЬ ВАШ │
│ │
│ д жь з д б │
│ДЛАЙ ЧИТЬ БЕЛ ЛЁШ БУХ ТАЙ ХЕСЬ ТРЯЙ РЯТЬ НУП │
└─────────────────────────────────────────────────────────────────────────┘
Таблица Б.124
┌─────────────────────────────────────────────────────────────────────────┐
│ з б ь б жь │
│ТОЦ НЭС БЮР НАР ТРАПЬ ЯЧ НУЗНЬ ГАП ГЕШ МЯН │
│ │
│ б з г жь эб з │
│ЯП ГИСЬ ЦОК КИР ФЫЛЬ НЕМЬ ЮН ПЯШ ЖЕПЬ ПОС │
│ │
│ г б ь в жь │
│ЦАК ВАП РЁЛ ВЫР ГУН БЫЧ ПЛАХ НЮЦ МАФ РУШ │
│ │
│с д жь жь б в г ь ь в │
│ЗДЯТЬ СОШ ШТИШ ЛАП ФСЁК НАЩ ЧЁН ПУЩ СКЕЛ ДЮФ │
│ │
│ д в б ы я б сч ю ё в │
│ВАТЬ ФСЯП БАНЬ МЮР ЖИМ ЧАМЬ СЯП ЩУЛЬ ЖОЦ СКУФ │
└─────────────────────────────────────────────────────────────────────────┘
Таблица Б.125
┌─────────────────────────────────────────────────────────────────────────┐
│ д д з жь жь д │
│ПРОТ САТЬ ЛУН НУХ ШТЫСЬ НИЛЬ ПРЕШ РАШ ПРЮЙ НЯТЬ │
│ │
│ жь д в д д д з в │
│ГАШ ЧТАТЬ КУЗНЬ ФСОТ РУТ СОНТ СВАЛ ПРЯСЬ ТРЮФ ЦАЛЬ │
│ │
│ з жь з д жь с г ы │
│ЦЫСЬ ПРУШ ШТАЦ ТИСТ ФЕХ ВЁСЬ КЕТ РЯШ ЗДОК ШИЙ │
│ │
│ б г жь о б │
│ТЮЦ ХОП ДВИХ РИК ФУШ ПЕМ ТРЁН ШЁЛ ДРЕН ЗЮП │
│ │
│ з б в │
│ВАСТЬ СВОС ПЁЛЬ МЫМ ПРАЛЬ ТЁР ДЯП ПЛЕФ ТАРЬ ЗУМ │
└─────────────────────────────────────────────────────────────────────────┘
Таблица Б.126
┌─────────────────────────────────────────────────────────────────────────┐
│ б г б д в д │
│БАП МУК ХАМЬ ЛОПЬ ДЛАТ ШУФ ДРОТ ШТЕЙ ЧТЕР ПИРЬ │
│ │
│ з г ы юг б з │
│ГАСЬ ТЭК ПРАК СКАФ ЖИМЬ ЧУК КАПЬ ТИСЬ СВОР ГАЙ │
│ │
│ з жь д ь │
│РЮС ЧЕШ ВУТ ТУЧ ЗУЛ ПРЮЛ СЮМ ГОМЬ НЯН ТАХ │
│ │
│ сч юз ё │
│ЛЁР СУМ ЩУСЬ БИХ БЯМЬ ЖОР ЗАР ТРЫЛ СОМЬ КРОН │
│ │
│ з б з в б б │
│ПЛЕС САПЬ ПУСЬ ФОНЬ СЮЛЬ ФУФ ВЫЛЬ ШУПЬ ДЁСТ НУП │
└─────────────────────────────────────────────────────────────────────────┘
Таблица Б.127
┌─────────────────────────────────────────────────────────────────────────┐
│ жь жь ь д э ь в │
│ЛЁШ ФЕШ СЯЧ ЗНЕХ ХОНЬ ТУЛ ЖАЙ РЕТ ШЕЧ ДОФЬ │
│ │
│ з в б г д сч ю с г │
│ТРЕС СУФЬ БУНЬ ФАП ГУК ТРЯТЬ ЗЯРЬ БЯНЬ ЩУН ЗДИК │
│ │
│ д ёв жь д б жь ь │
│РЫТ НЕМ ЧОФЬ РЁШ ПОЛЬ ПИНТ СЕП ЛАН ТРИШ ДОШ │
│ │
│ б в в в │
│ФЫРЬ ЗАП ЛЮЛЬ СЁЦ ВЕР ЛУЛ НОФ ВИФ КАФ РАРЬ │
│ │
│ д д ь │
│МЮТЬ ТАП ДИТ РЕЛ КУТ ХАЩ ЛАМ ЗНОН МАЦ ЧТУНЬ│
└─────────────────────────────────────────────────────────────────────────┘
Таблица Б.128
┌─────────────────────────────────────────────────────────────────────────┐
│ г б б ь в │
│ЗИР ФИК ПУХ ХОПЬ ПОЦ ВУП РЫЛ СТОЧ ЗЫФЬ БЯМ │
│ │
│ д в г з ь в в │
│ТРОТЬ ДИФЬ МАЛЬ ЗОК ХУСЬ ТЮЛ ПЫЧ ПУФ НЯФ БЫЙ │
│ │
│ з г эз г жь │
│ШТАС ВЯК ЗЭЛ БУХ ЦЕС ВАМЬ КИЛ ХИЗНЬ ПАК БАШ │
│ │
│ з д з ь з сч юг г ь │
│НЕСЬ ЦУТЬ СТАС ЦУЙ МЯР РЯЧ ЕСЬ ЩУК НИК МИЧ │
│ │
│ эб ь сч о д з в │
│ЖЕП КЕЩ ПРУЦ ЩЁР ГИТЬ ТЮРЬ ЗОЙ МОС БОФ ДАЦ │
└─────────────────────────────────────────────────────────────────────────┘
Таблица Б.129
┌─────────────────────────────────────────────────────────────────────────┐
│ д в д в з жь в │
│КРЕТ РИФЬ НИЗНЬ ЮХ ТЫНТ БЕФЬ ЛИС ПЛАШ ЛЯЛ КОФЬ │
│ │
│ в д я з д з ь │
│ЯРЬ ВОМЬ ФСЮХ ГУТ ЧАХ БЫСЬ НЫТ РЮЙ ПРОС МЁЩ │
│ │
│ жь в б б в │
│ТЁН РОЛ ПЯЦ ГЕШ НАЙ ЮФЬ РОПЬ КАН ЧТАП ВЫФ │
│ │
│ в ы ь д ь д │
│ПРЯФ ШИН ЧИЛЬ СТЫЙ ДАЛ САЧ НЕТЬ НЫЧ СОТ ШАЦ │
│ │
│ в д ь в з │
│ЛАФ ЗЁТ СКИН ЁХ ТЯМ ЛЯЧ ЗОНЬ ФСИЙ КОС ВЁНТ │
└─────────────────────────────────────────────────────────────────────────┘
Таблица Б.130
┌─────────────────────────────────────────────────────────────────────────┐
│ э г в г ь ёб │
│ШЕЛЬ НАРЬ ХЕК ЧТЫРЬ ФСАН ДУК ШУЙ ДЮЧ ШТОМ ШОПЬ │
│ │
│ б жь д в │
│МЯП СЫНЬ ЁЛ ПЕЦ ТОРЬ НЮШ СВЕЛ ЛЁТЬ ЖУФ ВАЦ │
│ │
│ в з б жь б б │
│ТРАФ ДВАН БЁСЬ РИП ДИШ ТЫР ЗЕП ГЕП ДЁМЬ НЁЛЬ │
│ │
│ з г д з с д г │
│ШАСЬ СТИК СИНТ ХИС ЗДАТ ПЁН ПЮК МЁЙ ПРЁН РУРЬ │
│ │
│ жь б з ь б │
│ВЁШ ЛЫЛЬ ДОПЬ ЦУН ТЫХ ДЛИС ТРЮР РЁРЬ ДЁЩ ДЯПЬ │
└─────────────────────────────────────────────────────────────────────────┘
Таблица Б.131
┌─────────────────────────────────────────────────────────────────────────┐
│ г б ь ёб сч яз │
│ЮР ЗНИК ТРАЦ ТЯП НИЧ НЫЙ ШОПЬ БУР ЩАС СЕЦ │
│ │
│ ь в з │
│БУЧ ТОХ НАФЬ КРУЦ ДЫС ШТЫМ ДЯР ЗЁР ВЕХ ПЯМЬ │
│ │
│ эз д в д ь з в │
│ЖЕСЬ ТЫЛЬ ТИНТ ФСИЛ РИТ НЯЧ КЕС САСТЬ МЯФ МЯЛЬ │
│ │
│ г жь ю б в ь б │
│ХАК ЛОН БЁШ БЕЛ ЧУНЬ ЧИПЬ ТРЁФ ПРУН ТРЕЩ НЕП │
│ │
│ д жь б б │
│БЮНЬ НЯТЬ ШУШ ЗУН СТЕХ ДАРЬ ГАПЬ КОСТ ЦАХ ХОП │
└─────────────────────────────────────────────────────────────────────────┘
Таблица Б.132
┌─────────────────────────────────────────────────────────────────────────┐
│ ы б д в я жь жь │
│ШИМЬ ПРЕХ ТРЁП РЕТЬ ЗАФЬ РИНЬ ЧАРЬ БОШ МАШ ЛЮЦ │
│ │
│ в г ё ь з д │
│НЕЦ ЁФ ВЁЛ БЮК СТЫЛ ЧОЧ НЯЙ КАЛЬ СВЯС КИТЬ │
│ │
│ э в сч юз │
│ВЫЦ ФИР ЧТАНЬ РЫЛ ЦЕМ ПУФЬ ДЁН ПЛАЙ ЩУС ЛУМ │
│ │
│ ь в ь б жь г │
│ХУЧ ТЭК ПУЛ ТАФЬ НАН ЖАЧ ЗЯП СКИЛ КРАШ ФУК │
│ │
│ ь д з жь │
│ТАРЬ КУС СУЩ ТИЛ РУЛ ЯЛ СВОТЬ ГЕС ЯШ ВАЛЬ │
└─────────────────────────────────────────────────────────────────────────┘
Таблица Б.133
┌─────────────────────────────────────────────────────────────────────────┐
│ б эз в в ь │
│СУПЬ ЗЫНЬ ШЕС ЗАНЬ ДОФ ЛЫЛ РОЛ ЛЁФ СОЧ ЛОЙ │
│ │
│ ь ь в сч оз з д │
│ТЁЧ ГАЩ БЫФ ЕНЬ ЩЁС ЦЫС ДРОХ ДЛЕТЬ СОНЬ ШТИХ │
│ │
│ б з з б сч оз │
│КОП СТАСЬ МЁС ДАПЬ БОЛ ТЮН ДВАХ НИНЬ РУРЬ ЩЁСЬ │
│ │
│ д ь з с д з ёд ь с │
│ПРЫТ ЗЕН ЗОРЬ ВОЧ ПОСЬ ЗДИТЬ ПЫС ШОТЬ РЮЧ МАЗ │
│ │
│ в ыв з ь в з │
│ВУФЬ ПАЛ ТЕЦ ЖИФЬ САЙ ЧТЕС БЯЧ ФСАЛ ШТАСЬ ПРЯМЬ│
└─────────────────────────────────────────────────────────────────────────┘
Таблица Б.134
┌────────────────────────────────────────────────────────────────────────┐
│ б б жь б жь │
│ЗИП ГИЛЬ ПЛЕХ ВОНТ БУП ЕШ СТАПЬ ШАНЬ МУМ ЦОШ │
│ │
│ ь д в с в жь │
│ХИЩ МИТЬ КОФ ЗДАЦ СИФЬ ПЮШ ЛИМ ТАЙ СИР ТОЦ │
│ │
│ д в д ь д з в ь │
│ТРОТ ДАФЬ ХАТ ПЁЧ ДИХ КУР РЫТ НУСЬ ЧЕФЬ ГУЧ │
│ │
│ г з сч г б │
│РАРЬ ЛЕК ЗНОС ВУЦ МЫХ СКОХ ГУХ ЩЕН ПРИК ТУПЬ │
│ │
│ д г жь з б в сч д д │
│ВЯЧ ДЕТЬ ПЁК ФЫШ СЕС БЯП ХИФЬ ЩИТЬ МЕНЬ РЁТ │
└────────────────────────────────────────────────────────────────────────┘
Таблица Б.135
┌─────────────────────────────────────────────────────────────────────────┐
│ в ь г в жь д ь │
│ВЕФЬ ЗОЧ ДЕК МАН МЮФЬ ДЫНЬ РЯШ СЫТ НАЩ КАХ │
│ │
│ з д з в з │
│РЮС ЧТЫТЬ ПЁР ЛЯС ЛЕЙ ВАХ ХОН ДЮЦ ТРЯЛ ФСЯС │
│ │
│ д з жь б з │
│ЖУЛЬ ПУР ЧТУН ДИНТ ПОМЬ ДИСЬ НОЗНЬ ПРАШ БАПЬ ДЛАСЬ│
│ │
│ з в б жь д д жь │
│СЁСЬ ЗУФ НОП ФАШ НЁРЬ ФОХ ПЮНТ БЫМ ФЕТЬ РЕШ │
│ │
│ ь б з д б ы б в │
│ГИЧ ГУП САСЬ ЛАР ЛИХ ЖАТ ТРЫП ШИХ РОПЬ РЯФЬ │
└─────────────────────────────────────────────────────────────────────────┘
Таблица Б.136
┌─────────────────────────────────────────────────────────────────────────┐
│ з ь д б │
│ЯМ ШОСЬ КУНЬ ЗАЧ БАТ ЗОМЬ ЧТУР РИЛ НЫПЬ НУМ │
│ │
│ з в з д ь сч я ё │
│ЖУМ ЛУЛЬ ТРЫС ТЯФЬ КЭС ГАЛЬ ДВЯТ ЗЫЩ ЩАН ШОНЬ │
│ │
│ з д г б │
│ЧТЫС НЁМ ГОР ПЮН ЗИТЬ РЕК СЁН БЕПЬ ТЮР ЛЮРЬ │
│ │
│ б з жь сч о г г │
│ВИПЬ ТРОЛЬ ПЕР СЕС ВЭШ ЩЁЛ ХОК БУЛЬ ДЛОК НЕН │
│ │
│ б ыб з с д в │
│ДИЦ ЧТАПЬ ЖИПЬ ТАР СТЕСЬ ВЫРЬ ЗДЯН ДАНТ БЫЦ ПАФ │
└─────────────────────────────────────────────────────────────────────────┘
Таблица Б.137
┌─────────────────────────────────────────────────────────────────────────┐
│ д в ь з з д б │
│ЗДОЙ КРОТЬ ГАХ РАФЬ СОЧ ПЫМ ЛЁСЬ ВАСЬ ЗНИТ ЧТЕП │
│ │
│ з б з │
│НЕЛЬ ЛУС ТРЯЛЬ ДОП ЛЕЛ ДРАС СКАЛ ЗУР ЛАЦ КРЕЛ │
│ │
│ д ь в з б │
│ФЕТ ТРИЛ РУЧ СЫЙ НАН ВОЦ ТЫФЬ ПЛАСЬ ФУМ ПРЫП │
│ │
│ г з б в ы ь з │
│ПРЯК ГИР ШТЕС СИП ФСИМ ШИЛЬ ВИСТЬ ФЫЦ ЖАЩ МЁСЬ │
│ │
│ в сч ь д з д │
│ТЫМ ФСУЛ ЩЕЧ ТРЁХ НЮТ СОНЬ НИЙ ТАМЬ БОСЬ ПЯТ │
└─────────────────────────────────────────────────────────────────────────┘
Таблица Б.138
┌─────────────────────────────────────────────────────────────────────────┐
│ з б д ь з сч д │
│БОСЬ ШУР БАМ ПИХ СЫП САТЬ ВУЩ ШТЫЛ ГУС ЩЕТ │
│ │
│ в д б б з ь з │
│БИЛЬ ФОФ ШАМ БЫНЬ НУТ РЁП ТЁП РОС ЕЧ БУСЬ │
│ │
│ в в б │
│ЛЕЦ ЦАФ ХОМ НАФЬ ЖАМЬ КЕЛ ДЮХ ЮПЬ ЛЫРЬ ГЕЛ │
│ │
│ з э в г з в │
│ХИСЬ СЮРЬ ЖЕХ ЗЯФ ДАК ЗЕС ПАМЬ ТАФ ТЕР ЗНОР │
│ │
│ з ь с ыв з │
│ДЕЛ ТУСЬ РЁЧ ХАЛЬ МИЗ БЁН ШИФ НЯМЬ КАР ДЭС │
└─────────────────────────────────────────────────────────────────────────┘
Таблица Б.139
┌─────────────────────────────────────────────────────────────────────────┐
│ д ь з жь в │
│БИТ ТОЩ ВЯС ЧЕР САЙ ЗЁШ СУР ВОМ МЯФЬ ФАХ │
│ │
│ з б эб б г г в │
│ТРЁСЬ ЛЯП ШЕПЬ ГОП ПЕК ДЛИК ХЕСТЬ ВЕМ МЯЛ ВОФЬ │
│ │
│ д б в ё з з │
│РИТЬ ПЫПЬ ВЕФ ШАН ЯЦ ДЯР ЧОХ ДИС МЮСЬ ЧУРЬ │
│ │
│ з г в │
│ЧИСЬ МЫК ХУЦ ЗУЙ РЮР РИХ КЕЙ ПРЕЛ ЛАН НЯФЬ │
│ │
│ з д д в г ь │
│ЁСЬ СЯНТ ЛИЛЬ ТОТЬ РЫН СЯФЬ ВЯНЬ ПРУК ДЯШ ДОЦ │
└─────────────────────────────────────────────────────────────────────────┘
Таблица Б.140
┌─────────────────────────────────────────────────────────────────────────┐
│в жь з в з яб │
│ФСЯН КОШ ПУМ КАС ПРИН МАФЬ НИСЬ ЧАП СТУН ФИРЬ │
│ │
│ д ь б г д жь │
│ПЕНТ НЫЧ НОПЬ СТЫР СТАХ РЫК МИТ ДАШ ЦУРЬ ДЁНЬ │
│ │
│ г д д б э в о │
│ЗУЦ РАН ЗАК НУСТ ТЕТЬ ЛИТ МЕПЬ ЦЕЛ ГЕФЬ ШЁМЬ │
│ │
│ д д в ь д в │
│ХУМ СВАТЬ СКЕТЬ ПРАФ РЯЧ ТАЗНЬ ПОТЬ ХЕЛЬ ЕН ДЫФЬ │
│ │
│ г жь в б жь │
│СВЫМ РУК ЦЫШ МЫЙ ТОФ ШТЕП ПЛИН МОШ ТРУЙ РЫЙ │
└─────────────────────────────────────────────────────────────────────────┘
Таблица Б.141
┌─────────────────────────────────────────────────────────────────────────┐
│ б эб сч жь г │
│ДУН ДЯН РЁМ БИЙ МЕП КЕМ ТОЙ ШЕПЬ ЩИШ ПОК │
│ │
│ з з ю д б б д │
│БЁЛ ДОСЬ ПРАН КАСЬ ЧУХ ЛИТ ШАЙ ЛУП СТЫП ДАТ │
│ │
│ ь б в в э ь │
│СВАЧ ЛАП СТАФЬ БОРЬ ПРОФ ШЕН БЫР НИЧ ВАМ НЕХ │
│ │
│ д в жь д жь г б │
│СЯСТ ДУНТ ЖАФЬ ШАШ БУТЬ ГЕНЬ ВИШ РЮК ЗИПЬ ТЫЙ │
│ │
│ в з в д жь з │
│РЁПЬ ВОМЬ ДЯФ СИТЬ ЗЁС ФСИТ КАШ ТРИСЬ ПУН ТРОЛ │
└─────────────────────────────────────────────────────────────────────────┘
Таблица Б.142
┌─────────────────────────────────────────────────────────────────────────┐
│ и жь з о в д в з д │
│ ЦЫР ЗОШ НЁСЬ ЧЁМ РУФ БОМЬ ДЛЮТ КАФ НЭС СЁТЬ │
│ │
│ о я ь б г б │
│ ЧЁЙ ЧАЩ РЮП ХАЦ ДРОЙ НЯК ВАХ ЛЯП ЗЕНЬ ДЕРЬ │
│ │
│ д г в з э жь│
│ ТЁТ БЯК ПЕН ФАЦ БАФЬ СКУН РИН ПЛОСЬ ЧИЦ ЦЕШ │
│ │
│сч я ь з з в │
│ ЩАНЬ ПЁЛ ЁЦ ЛЕЛЬ ВЕЧ ТЫСЬ КРУХ ДЮС ЛЁРЬ ФСЯЙ │
│ │
│ ь б з д жь д з │
│ СЮЧ ДЛОП ЛЮС САРЬ ЛОТЬ ПИШ ШАТЬ ПРЕМ ПАЛЬ ЧТЕСЬ│
└─────────────────────────────────────────────────────────────────────────┘
Таблица Б.143
┌─────────────────────────────────────────────────────────────────────────┐
│ в г г д з б з │
│ГОФЬ ЗАК ДЫРЬ НАК РЕТ ТРЮЙ ТЯС ЯХ ЗАП СЕС │
│ │
│ д б в з з д эд б │
│ШТОТ ТУП ФУЛЬ ЗУФЬ ЗОС МАС ЗНУТЬ МОСТЬ ЖЕТ ПРИП │
│ │
│ сч б │
│ХОЛ ГОЙ ЗЭМ ЛАХ ЩИМ ВЕЦ ЗНАП ВИЗНЬ ДЁЛЬ ТИМЬ │
│ │
│ г г з │
│ЗУНЬ ШУХ НЁК ВЫЛ МУХ ЗЯР ЧТУМ ГАР ДВЕК ШТУСЬ│
│ │
│ в б з ь жь сч яв │
│СЕМЬ ВЫФ СУН НИП ПОСЬ ЛИЛ КРАЧ ЖОШ БЕН ЩАФ │
└─────────────────────────────────────────────────────────────────────────┘
Таблица Б.144
┌─────────────────────────────────────────────────────────────────────────┐
│ ыв з г ь в в в │
│ЖИФ ФИЛ ПОСЬ СЭМ ЖАК МЁРЬ РАЧ ПУФЬ МЯФЬ ХОФЬ │
│ │
│ б з ь │
│ХИСТ МЯЛЬ МЮНЬ ХУРЬ ХИПЬ СУЦ ГИСЬ РАЛЬ ТРУЧ НИСТЬ│
│ │
│ г д с г жь з ь │
│ГУНЬ ПЯК ЯЛ НЯРЬ ДИТ ГЕЦ ЗДЯК НУШ ВУСЬ БЫЩ │
│ │
│ ь иб б з з │
│СВИНЬ ТОЗНЬ ЧТАН БОЩ ШЫПЬ ЦОП ЗЫР ТРАС СКЕР СЫС │
│ │
│ г ь ь б в │
│НОК ФЫЙ НОХ САЩ ВЁН ФЕЧ ЛЕХ ТЕПЬ ПРЫЙ СОФЬ │
└─────────────────────────────────────────────────────────────────────────┘
Таблица Б.145
┌─────────────────────────────────────────────────────────────────────────┐
│ ь в з д д в в │
│ПЛЁХ ТАЩ РЯФ ТЫСЬ СТЕТ МИТ МЫН ФСАФ ШТАЛ РЕЦ │
│ │
│ ь с д з жь г │
│ФОЧ ХАР ТАР ЗДОТ НАСЬ КИШ БЮМЬ ПЫХ ЦУК РУЙ │
│ │
│ жь з в в │
│ДЕШ НУР ПЕРЬ ЛУС РОХ ЗУМ ТРЯНЬ СЮФЬ РЫФЬ ТАН │
│ │
│ з жь д б │
│ЁЛЬ ПЁСТ ШУЛ ЕСЬ РЫШ ТРЕЛ ХИТ КОР НЕПЬ ПРЯЙ │
│ │
│ д в ёз б в б │
│БЯТЬ ГУХ ЛЫФ ШОС ДЫП ЧТЫФ ТЁХ СТУМ КАРЬ БУП │
└─────────────────────────────────────────────────────────────────────────┘
Таблица Б.146
┌─────────────────────────────────────────────────────────────────────────┐
│ б в з г б жь ь з │
│РЯП ТЯРЬ КЕФ ДУСЬ СЫК РИХ СИП ТЁШ ЛАЩ ПЮС │
│ │
│ б з в в г в э │
│БУП ПУРЬ ДИС ФСИФ НАМ СЕК ДРАЛ ЗЫФ ШЕЙ ГОМЬ │
│ │
│ б з б б │
│МЯП ТОСТЬ МОС КОЙ СТОНЬ ЛИПЬ НЁПЬ САР ЛЯР ХЕНЬ │
│ │
│ г д ь в │
│ПЫХ БОМ ШАМЬ ГАЙ ВОК ВЯНТ ЕЛ ПАЧ ЧИЙ ЛУФ │
│ │
│ в с в ь о │
│БАРЬ БЫФЬ ЗДЯЙ ПЛАМ ЗЕФЬ РЫЧ ЧЁМЬ ЯНЬ ШТОХ ДЕЙ │
└─────────────────────────────────────────────────────────────────────────┘
Таблица Б.147
┌─────────────────────────────────────────────────────────────────────────┐
│ з в б в д д г │
│ГАСЬ ТЮФ ТРЕП ЛОФЬ ЦЫЛ ХУТ СЮЛ ДОХ ЗНУТ ВУК │
│ │
│ д з ь ь │
│ЗИХ ВЕТ НИХ КОЦ ФЕЙ СТЫСЬ НЕЧ СЕСТ НУЛ БЕЧ │
│ │
│ ег д б д б │
│ЗЭК ЛЕТ СЁЛЬ ДЕР ТРУПЬ ДЛЁТ ПАП ПРИХ БЯРЬ РАР │
│ │
│в д ёг б с д б з д в │
│ФСАТЬ ЖОК ТОП ЗДОТЬ ГЕПЬ МЯС КЕЗНЬ ШТУТЬ ПЁЙ РЕФ │
│ │
│ в з │
│ЖАНЬ РЫФ ТРОЙ ШАС ВАРЬ СОМЬ МЮЦ РЯН БЯМЬ ЧТИХ │
└─────────────────────────────────────────────────────────────────────────┘
Таблица Б.148
┌─────────────────────────────────────────────────────────────────────────┐
│ в в д ь жь з в д │
│ ПОФ ТАЛ КИФ НАТЬ ЛЁЧ ЛЯШ ЧТУС ЧЕЛЬ РОФЬ РЁТЬ │
│ │
│сч о сч в в д б ь з │
│ ЩЁЦ ЩИФ БЁФ МАЛ ПЛЁТ ШТАН ЗОПЬ ЯЩ НЯЦ ТАСЬ │
│ │
│ яг д г б б жь│
│ МАХ ЧАК ТРИХ СКУТ ЗЮК ПЫП ДОНЬ ЁР ПРАПЬ ТРЁШ │
│ │
│ д д з ь жь д з │
│ ПЕТ ЛУТЬ ЗНАСЬ ФИЩ МИШ ХАТЬ ВЫЦ ТРЯС НИН МИЙ │
│ │
│ з д в з з д сч г г │
│ МЭС ТРАТЬ САФ ДЛУС КРАС НАТ ЩЕМ ФЫК ВУХ ГУК │
└─────────────────────────────────────────────────────────────────────────┘
Таблица Б.149
┌─────────────────────────────────────────────────────────────────────────┐
│ б д г з ь д │
│НОП ФАТЬ ТЫК СЮС ЮМ ПУЗНЬ ПИЩ ПРАТ РЁМ МУЙ │
│ │
│ ё ыз ь в жь ь в ь │
│ШОЛЬ ЖИСЬ БУЧ ФСЮШ БЭЛ ДЕЩ ПЭР ЖУН ТОФЬ ШУЩ │
│ │
│ б в сч яз д з жь эд д │
│ШУП ХАФЬ ЧТАРЬ ЩАСЬ ПРЮТЬ ДЮСЬ НЕШ ШЕТЬ ЕХ НЕНТ │
│ │
│ г б б сч б │
│ТЁК ВЁП ЦОЛ СОП ЦОР ЗАХ ЗОЛЬ СУРЬ ЩЕЙ РОП │
│ │
│ э жь з б ь в │
│ВЫН ДВАР ЖЕШ ЛЫСЬ ХАПЬ ДОЙ БЯР РОЧ ЦАЙ ДЯФЬ │
└─────────────────────────────────────────────────────────────────────────┘
Таблица Б.150
┌─────────────────────────────────────────────────────────────────────────┐
│ з ь в в │
│ДАЦ ВЯЙ ЛЮН МЁЛ ХОС КАМ ТОЧ КРУН ВИФЬ ГИФ │
│ │
│ ь з ь в д жь д │
│ПЫЩ РУС ЗЯЧ СКЕН ФУНЬ ФОРЬ ХИФ ШУТЬ БОШ ГУТ │
│ │
│ б д з б б б в │
│ТИН НЫП СУТ ВОСЬ ПРЫМ ПРЕП НЯПЬ ТУПЬ ДОЗНЬ ДЫФ │
│ │
│ д з в г │
│КИР БОТ СТУР РЕЛЬ ЗУС НЮФ СВЕХ ЛЁМЬ СВОК ДЯНЬ │
│ │
│ б д з з з з в │
│СТЕМ ЗЭП СЫТЬ ЧИРЬ ГЕСЬ НУСЬ ПЯР РЮСЬ ЧТЫСЬ КУФЬ │
└─────────────────────────────────────────────────────────────────────────┘
Таблица Б.151
┌─────────────────────────────────────────────────────────────────────────┐
│ д б ь з │
│ШУР НЫХ ТУТЬ МИП ХУНЬ ПУЧ КУРЬ ПУЛЬ ЗЫЙ ЯС │
│ │
│ д б э оз │
│НЫЛ ТЁТ ХИН ВЫП ДЮЙ ДЯСТЬ ШЕР ШЁСЬ НЯЛ РАЛ │
│ │
│ д б д з з г │
│СТЯТ БЮЦ ТЕП БЮЙ РЮТЬ РЕС ВАС МОН ЮР ЗНОК │
│ │
│ д б з д д в и │
│ХУТЬ ЛАПЬ ДОС РЕХ ТОТЬ ТЯТЬ ТАФ ГОМ ЦЫХ РОХ │
│ │
│ б б в з в з з │
│ЗОПЬ ПРАЛ ЧТЫПЬ ТРЯФ ВЯЛЬ ПЛЕСЬ ФСЯМ ТРЮРЬ ШТЫС ЧТАСЬ│
└─────────────────────────────────────────────────────────────────────────┘
Таблица Б.152
┌─────────────────────────────────────────────────────────────────────────┐
│ г в з с з д ь в │
│ДЕК ФСИС ЖАЦ НАСТЬ ЗДЯСЬ КРАТ ДЯЧ ЖАЛ РИЛ ЧТЕФ │
│ │
│ жь г в з ь д з д з │
│ПОШ ФЭК РЁФЬ ДРАСЬ РИЧ ШАМ ЗЯТ ФУС ВАНТ СТОСЬ│
│ │
│ б сч я з б б б │
│МЁН САР ЕП ЩАМ НЯС НИПЬ ТЫНЬ СЭП НЕЙ ДЛАП │
│ │
│ жь ь д з жь ыд ь з │
│ГОШ БЯЧ РОТЬ ДЁСЬ ВЕН ПЕШ ШИТ ФЕР ДЫЧ БУС │
│ │
│ з сч ог г б с з в з │
│ПЕС ПЮЛ ЩЁК НУК НОНЬ ХАПЬ ЗДОСЬ ЗАМЬ БАФ ТИС │
└─────────────────────────────────────────────────────────────────────────┘
Таблица Б.153
┌─────────────────────────────────────────────────────────────────────────┐
│ч г д ы в ид │
│ШТОК ЗУЛЬ ДАТ ШИЛЬ СТУФ ТУЙ ЦЫТЬ МУР ЗЕРЬ ПИНЬ │
│ │
│ в з ыв в ог о д ь │
│КРУФ ВИС ШИФЬ ЛАФЬ ЧЁК ШЁНЬ КОНТ СЮХ НАЛЬ ЕЩ │
│ │
│ ь д сч г │
│ДИМ ЮЧ СУМЬ ШУЦ ЛЕТЬ ЩЕРЬ БАН ТИЙ ЛЁК СУХ │
│ │
│ г б в з г │
│КУК РОП ПЛУЙ СВЫЛ ГУРЬ ЛЁФЬ ТЮСЬ ГЕЙ СТАК ДУН │
│ │
│ ь ю ь б в д в │
│ЧЕН ХОЩ ЧУЧ СЁП СЫРЬ СКОФ ТАМЬ ТЁНТ ЗОХ ТРУФЬ│
└─────────────────────────────────────────────────────────────────────────┘
Таблица Б.154
┌─────────────────────────────────────────────────────────────────────────┐
│ з жь в д д │
│РУЦ РЯР ТРЕСЬ БОН НИШ ФСЫТ ДЯЛЬ ФАР ВОЛЬ ФИТЬ │
│ │
│ эд д ь │
│ДЛЕН ЦЕТ ВОТЬ СОСТ ПЯХ ЛОРЬ ЛЮЧ БЕМЬ МЯЙ МЮЛ │
│ │
│ ь жь б д в г ь │
│БЁЦ ПРУЧ РЕН САШ МЫПЬ ДВЯТЬ КОЛЬ ФИФ ПРЮК ВУЧ │
│ │
│ д ы ь з з сч з д д │
│РОНЬ ПРЯТ ЖИЧ ХОС БЯЛЬ ПРОСЬ КЕНЬ ЩЕСЬ ЦАТ НЁТЬ │
│ │
│ з г з в д в │
│РЫНЬ ЛИН ЗНАС ХЕК НУС ЖУЛ ЛЫНЬ СОФ НАТ КУФ │
└─────────────────────────────────────────────────────────────────────────┘
Таблица Б.155
┌─────────────────────────────────────────────────────────────────────────┐
│ г г ь ь з │
│БУЛ ПРЁК ПЫК ГИЩ ЗЁЧ ЗУСЬ ТРАЙ ДЯРЬ СКИЙ ВУЙ │
│ │
│ ь б з д б з │
│СВАХ ВЕЦ ШТАЧ МАП ТРИЦ ПАСЬ ЛЯТ ПАЗНЬ БЫП ЛОС │
│ │
│ эв жь ь з в в │
│ТАР ЖЕФ ТЫФ РУШ ВЫШ ЗАСЬ МЕЙ ПАФЬ ГАЛ ЧИФЬ │
│ │
│ д ь б в д д я ь │
│ФЫТЬ НЕЩ ЧТУПЬ ГАФ ТРЫТЬ ТЕТ БЫЦ ЧАЛЬ ХЕР СЮЩ │
│ │
│ г д жь ь в б б з б │
│ДЫК ЗИТ МЯШ СИЛ КИЧ ЁФ ДАП ЛЕП СЕСЬ ФОП │
└─────────────────────────────────────────────────────────────────────────┘
Таблица Б.156
┌─────────────────────────────────────────────────────────────────────────┐
│ ю ь з в │
│ЗУЛ ГОРЬ ЧУЛЬ ПУСТ РЁНЬ ТЮЧ ЛУСЬ ФСЕХ ЖУЦ ЛИЛЬ │
│ │
│ с г б ь ё г │
│МАЗ ТЕК КЕПЬ РЫР РАЩ РЮЛ РОМЬ ЖОЛ СТАК РАН │
│ │
│ г д г г ь в яв в │
│ПЛЕК БЯТ МЁК ГАК НУСТЬ ПРЫЧ ЗОФЬ ЧАФЬ ЁНЬ ТИФЬ │
│ │
│ д в сч ю д ь │
│ДЮТ ДАМЬ КОР ЗАФ ЩУЛ ТАН ПЁТ СОРЬ НУЩ НУЙ │
│ │
│ з з д б │
│ДЫСЬ ЗАС СТЯН ХАЛ ВУЛ ЮЛ БЁМЬ ШТУН ЛЮТЬ ПЯП │
└─────────────────────────────────────────────────────────────────────────┘
Таблица Б.157
┌─────────────────────────────────────────────────────────────────────────┐
│ б ь д б э ь д │
│ВИП ПРЯЧ КИХ БУТ СЯПЬ ВОРЬ ЖЕЩ РИТЬ ФАРЬ МИЛ │
│ │
│ з г з з │
│ХОСЬ ХИРЬ СЕХ НЯМ ЗНЮК СУС ЛЯР РОС ПРОН НУРЬ │
│ │
│ в в в д в в │
│СЫФЬ СЕЗНЬ КОФЬ САФЬ ФИТ ПЕФЬ ТУФЬ НЕЛ ШУЙ ЗЕЛЬ │
│ │
│ з э з з в │
│ГУЙ ТРЮСЬ МАЛ МАХ ЗАМ ШЕНЬ ЛЁСЬ ДАС ХЕФЬ КРЫЛ │
│ │
│ в жь б с з в д │
│ХАФ ВАШ МЯПЬ ЗДИХ НАС ГАФЬ СВАЙ НЯТ ТРОЦ ЦУЛ │
└─────────────────────────────────────────────────────────────────────────┘
Таблица Б.158
┌─────────────────────────────────────────────────────────────────────────┐
│ б э ь з │
│ЦОХ БИН ТУЗНЬ КАПЬ ДИЛЬ ПЫН ШЕЦ СТУЧ ТОС БАЛЬ │
│ │
│ в д ыз д б в б │
│БИФЬ ШТЕМ ЗНОТЬ ШИС ВЯТЬ ЧИМ ЗИМЬ РЁП СТОФ ВАПЬ │
│ │
│ б з ь г в в │
│МЯРЬ ТАХ ВЁСТ НЮП ТЫР ПЛУС ЕЩ ТРУК ВЁР ФСЯФ │
│ │
│ жь г з │
│ВЕНЬ РАШ САЛЬ ЛАМЬ ВИЛ МОК НЕС ФЕН ГЕР ВУЦ │
│ │
│ жь сч юв ь в б з б │
│МИШ ЩУФ РИЧ ПЮФ ЗОНЬ БОНЬ БЫПЬ НОМ ТЁСЬ ПРЮП │
└─────────────────────────────────────────────────────────────────────────┘
Таблица Б.159
┌─────────────────────────────────────────────────────────────────────────┐
│ жь жь с ь з │
│ БЫШ СКЕШ ГИХ ЗДАЛ НЁЦ КЕСТ СИН БЯЛ БЯЩ ДЛЕСЬ│
│ │
│ ё б б б ь в г б │
│ ШОЙ КРАР ДЕПЬ ТРИПЬ ЦАП ЧТИЛ ВЫЧ ФСАК ШУП ХУН │
│ │
│ г д д г з з д │
│ ПЭК ТЯЛЬ ПАТЬ ДЫТ ЦАН ЧТЫК БАМЬ ЧЁС ПОС ШТЕТЬ│
│ │
│ д ь д в │
│ РЮТ ШАЧ ДИЙ ПУЙ МЭТ ЛОН СВОФ ФИЙ НЫЦ НАЛ │
│ │
│сч г д в │
│ ЩИЦ ДРЕЙ ДУМ ПАМ ЛЕК ТЫЦ ЛАТЬ РУФ ГИЛ ДЛАМ │
└─────────────────────────────────────────────────────────────────────────┘
Таблица Б.160
┌─────────────────────────────────────────────────────────────────────────┐
│ д г сч од в з д ы в д │
│РУТ ТУЛЬ НЁК ЩЁТЬ ЛИФЬ ПРЁСЬ ПРУТЬ ЖИРЬ ТРЫФ СЮТЬ │
│ │
│ в з жь в з б з │
│ЗЁЛЬ ШАФЬ ДУС ЧТЫЛЬ ДЁШ ЕФ СКОСЬ СЫЛЬ ЖАП ЮС │
│ │
│ з з д ь б ь в │
│ДВЕС ФОСЬ КУТЬ ЛЫЩ ЯП МЮЧ ДАСТ ДЯФЬ СЫРЬ ТРЁЛ │
│ │
│ б г жь б э │
│ФУПЬ НИРЬ РЯЦ ПОК ЗУШ ГУР СЁРЬ РЭП ШЕЛЬ ЗЯМ │
│ │
│ д з д д ь жь │
│БЭТ РЕС ЧЕТ ФЫТ ЛЕЦ ХОЧ ЧТАХ ТРЕШ ПИЙ ДОРЬ │
└─────────────────────────────────────────────────────────────────────────┘
Таблица Б.161
┌─────────────────────────────────────────────────────────────────────────┐
│с з жь б ь ь │
│ЗДЯС РИЛЬ ПЕШ СТОМ ВЫН НИЦ НЕП ПЛЕЧ ПОР ЕЩ │
│ │
│ д б в │
│ТУН БОТЬ ЗОМЬ ЛЫП ЁНЬ ГИН ВУФЬ ЗАР КАМЬ РЕЦ │
│ │
│ в в д ь │
│ТЫРЬ ШАЛ ДЕМЬ ДЁХ ПЯМ ДЕФЬ МЫФЬ ЗОТ НУЩ РУХ │
│ │
│ д жь ь │
│МЯЦ ТРИЙ СКЕХ ЛЁЦ НИНЬ ДЯТ ДЫШ ГАР ТАЧ БЕРЬ │
│ │
│ ь с з б в ед │
│ПРАЧ ЗДОН КИР БАЦ ЛУЛ ТРОСЬ ТАП РАХ НЕФЬ НЭТ │
└─────────────────────────────────────────────────────────────────────────┘
Таблица Б.162
┌─────────────────────────────────────────────────────────────────────────┐
│ г з в б │
│СЯЦ КУХ ХЕН РИЦ ВЯЗНЬ ЕК СЕСЬ ХИЛЬ ТЭФ ЧТИП │
│ │
│ б ь в б ь │
│ТИПЬ ПЮЩ НЁРЬ ЕФЬ ЗНЕН БЁП СУЛ ВЯЛ СВУХ КЕЧ │
│ │
│ б д сч оз э │
│ЯН ТРЁЦ ПЁП ХАРЬ ДВАЛ ТАПЬ ДОСТЬ ЩЁС РИЙ ЖЕР │
│ │
│ б ь в в д д г │
│РЕП БЫЩ ДУФ ГУФЬ ПРИЛ РЕМ ДЯЛ НОТ ВОТЬ МЯК │
│ │
│ б жь │
│ХОЦ СИЙ ДОП МЮМ ГИШ ЗЯН РУН ФОР НИСТ БЯЛ │
└─────────────────────────────────────────────────────────────────────────┘
Таблица Б.163
┌─────────────────────────────────────────────────────────────────────────┐
│ з ь д о ь б з │
│ЧТУСЬ ДЯЧ ТАНТ ТРЮХ ЖЁН МАЩ ВУМ ФУП ЛЁМ НЫСЬ │
│ │
│ з в жь з д д │
│КАС НЯР ПЫФЬ ДОЦ ТЮШ ЦОС ЧТЫТ РИТ СЁСТ РАЛЬ │
│ │
│ б жь э ь сч юд │
│БУНЬ ЛИП ЛЕР БИНЬ ХАШ ЦЕЙ ТОНЬ ТУЧ КРУМ ЩУТЬ │
│ │
│ в я ь з в │
│РЫФЬ ПУНЬ ЧАЧ ЧТАРЬ ШТЫН ПРЫСЬ ЖУФЬ ПАЛ СЁНЬ ЗЁМ │
│ │
│ д з в в ь │
│МЕН ПОЛЬ ЗУЙ ДЛУТ ФАСЬ РЫХ ЛЯФ ФСЯХ ТРАЧ ШУН │
└─────────────────────────────────────────────────────────────────────────┘
Таблица Б.164
┌─────────────────────────────────────────────────────────────────────────┐
│ з з э з д д б в │
│ВАС СУСЬ ШЕЦ СТУС ПРЯМ ШТАТЬ ПЁНТ ВЕПЬ СЫФЬ ЗУЦ │
│ │
│ з ь з жь з в г │
│ХУС ТРИМ ВЁЧ ГУНЬ ПЛАС ПУШ ГЕСЬ ФСУК САМЬ ТЕРЬ │
│ │
│ з в з ю э г │
│ШТИС ШАФЬ НЯЙ ЛЕСЬ ЧУЛ ШЕЛ ВОК ЗЕМ ТЁЛ ТРЫМ │
│ │
│ з ь з ь б │
│ЛОС ЗИН КОЧ ВИСЬ САХ НЯЧ ЖАПЬ ФИХ ДЮНЬ ТЯР │
│ │
│ з ё в │
│ЛЯЙ ДЕМ КИМ ТЮСЬ ШОЙ СТЕЛ ЛАФ МЁР ГОР ПРУМ │
└─────────────────────────────────────────────────────────────────────────┘
Таблица Б.165
┌─────────────────────────────────────────────────────────────────────────┐
│ б г б ь ь в │
│СЮР МИПЬ ПРЕК РЫПЬ ЮЛ ЦЫЧ БУЩ ВЫХ БИФ ФЕМ │
│ │
│ г ы ь г д д б │
│ПЭК ЖИНЬ МАН ЗАЧ ДЛЁК ГОЙ НАХ КИНТ ЛУТЬ НАП │
│ │
│ ё из з жь о │
│МУНЬ ШОР ДРАН ПЁХ ШЫС СВАСЬ ФСЕШ СЫЛЬ ЧЁРЬ ЗУР │
│ │
│ в г сч ю в з з │
│СКАН БУФ ЧИР ХУК ЩУМ СТЫФ ЦУМ КРАС КОЦ РЁС │
│ │
│ д г б сч │
│БУН БЯТ СОРЬ ДАК ШАП ФЫНЬ ЩЕЦ ЧЕЦ ЗНОХ НУНЬ │
└─────────────────────────────────────────────────────────────────────────┘
Таблица Б.166
┌─────────────────────────────────────────────────────────────────────────┐
│ б б эг з в в │
│ГИР РЭП СЕПЬ ЦЕК ЗОСЬ ПРАЦ РЕРЬ ДАФ МЁФЬ ДЕЦ │
│ │
│ з в ь жь │
│НАРЬ ЗИСЬ СЫМ ФСАЙ ПРИМ МУЧ СТЫШ БЯЦ СТОРЬ ПОМ │
│ │
│ в д з в │
│ВИРЬ ЗУХ ДОФЬ ДЯМ СКАТЬ КРУЛ ПРЫС ЁМ ТРЫНЬ КАФЬ │
│ │
│ с з ь з ь б │
│РЮЛ ЗДАС ФИЧ РЁС ТЕЙ ПРУЛ ПЕЩ ПАРЬ ЛЁПЬ НОЦ │
│ │
│ з в в г │
│ТУН ДРЕС РАМЬ ШТЫР ЛЕН ФСЕМ ХОХ ФСЁЛ ДУР ХУК │
└─────────────────────────────────────────────────────────────────────────┘
Таблица Б.167
┌─────────────────────────────────────────────────────────────────────────┐
│ ю г г б з │
│ЧУЦ ДЮР МИХ БОЦ ВАК ТЯК РЫП НЯСТ ПРЯЛ НЯС │
│ │
│ з з г │
│ЧТИМ ХИС РЫРЬ ВЁХ ПЯРЬ КОСЬ ДОСТ СЯХ СЁК ТРИН │
│ │
│ ь д б з жь д ь д │
│ФОЛ ТРЁЧ ЮТЬ ДЫП МЯСЬ ФОШ ТЫТЬ ЗОЩ ШАН СИТ │
│ │
│ г сч ов ы з д з в │
│ДЛАК ГЕЦ ЩЁФ ШИМ ХУС КИРЬ ЗАЦ ЗНЕТЬ МАС ГОФ │
│ │
│ б з б д з я жь б г │
│ЖУПЬ СОСЬ БУПЬ ЛАТЬ ЛИЙ ДЛЕС БОЛ ЧАШ МЮПЬ ЧИК │
└─────────────────────────────────────────────────────────────────────────┘
Таблица Б.168
┌─────────────────────────────────────────────────────────────────────────┐
│ ь шь ыв з │
│ХАЧ ХАРЬ НЕЙ ЗЁЦ НИЖ ШИФЬ ТИНЬ ВЕНЬ КЕСЬ ГАМЬ │
│ │
│ ь г д д б з ёд │
│ПОЩ РИНЬ МЫК БЮТЬ КОТЬ РИП ГАЦ ЗЯСЬ ШОТ ЧТЫМ │
│ │
│ в з э ь б сч ю д ив │
│СЁФЬ КИЗНЬ ТАЛЬ ДОСЬ ЖЕЛ ВОЧ ЯПЬ ЩУХ ТАТ ЦЫФ │
│ │
│ б в сч б жь б в б в │
│ТРОП ВАФ ЗЕР ЩЕПЬ ТРАШ ПЛУП ТРИЛЬ ТОФ РУП БЫФЬ │
│ │
│ в з б в б д д эг │
│МОФ ПЫСЬ ДЕП НЫФЬ РЯНЬ НИПЬ ШТИТ БИЛ ЧТУТ ШЕК │
└─────────────────────────────────────────────────────────────────────────┘
Таблица Б.169
┌─────────────────────────────────────────────────────────────────────────┐
│ оз ы жь в б д ь │
│ЖЁСЬ ЦИРЬ НЕШ ШТАФ СУЛЬ КАНЬ НУПЬ ДВИТЬ НУЧ ПУЦ │
│ │
│ д жь ь в б в │
│СТУТ ЖУШ ГОЧ КАФ НЯЛ ЛЯНЬ РИН ЗАПЬ ЧТАФ ГЕЛ │
│ │
│ ь д о г сч ю з │
│ЁЧ ЖАТ ЧЁЛЬ СВАК БУРЬ ЩУЙ ПЛИС ТУРЬ ТАСТ НЕР │
│ │
│ д з ь жь в з д б │
│ВЫТ ПРЕСЬ СЫЦ ЛОЩ БЕШ БЁФЬ ТЫЙ ЛЫС БАТЬ ШУПЬ │
│ │
│ з ь жь в в с ь д д │
│ПЮСЬ ДЕЧ ЦАШ СУФ ЦОФ ДУЦ ЗДЕХ ХЕЩ ТРЁТ МЕТ │
└─────────────────────────────────────────────────────────────────────────┘
Таблица Б.170
┌─────────────────────────────────────────────────────────────────────────┐
│ б д д ь д │
│ВУПЬ НЁТ СКИМ ТЮХ ЕТ ЗОМ БЮЧ СЕНТ ТЁРЬ МЯН │
│ │
│ в ь з │
│ДЁФ ТЫЩ ПИМ САНЬ САЦ ЛИСЬ СВУЛ КРАМ ВУРЬ ФАМ │
│ │
│ з жь │
│ЗЭМ РЯМ ЛУР РОСЬ ЛЕХ ВЫЛ СТЕЙ ВЯМ ФЕЛ ЮШ │
│ │
│ в э д б │
│НАЙ ПЕФ ШЕР ФУРЬ ДЯТЬ НОЙ ЛЫПЬ БАРЬ ПУН ВЁСТ │
│ │
│ ёб б д з в │
│ШОП ПЁЗНЬ ЗНОЛ КОР ЛЮР ЗУПЬ СИТ ГУС РАФ ШУР │
└─────────────────────────────────────────────────────────────────────────┘
Таблица Б.171
┌─────────────────────────────────────────────────────────────────────────┐
│ з з в д ь д │
│НЁС ЧТАС ЛЮЙ БЕФ ЧЕРЬ ЗУРЬ ТРЮТЬ ПЛЕЛ ВУЧ ШТЕТ │
│ │
│ д жь з │
│ПЫМЬ КАМ РОТЬ ДЯШ ЖУЛ ЯМЬ СКИХ БАМ ТИС ФУМЬ │
│ │
│ г з ь ь │
│ЧТЫЛ КРОК КАС МЕЩ ХИЧ ТЮМЬ МАР ЗЁХ СИЙ ТРУЛ │
│ │
│ з г б д г в │
│ДЯС СВЕК КЕСТЬ ХОНЬ ДЕПЬ ПАСТ ВЮТ ЧТИК РАФ ДИР │
│ │
│ з з з сч я д │
│ТРЁМ ГОСЬ ГАН ЦУСЬ ЛАМ ТЕЛ БИСЬ ЩАРЬ ЗОТЬ ЛОЛЬ │
└─────────────────────────────────────────────────────────────────────────┘
Таблица Б.172
┌─────────────────────────────────────────────────────────────────────────┐
│ жь в ь г з б б в │
│ХОШ ДЫФ БЫЧ ПЫК ЗЯС ПОПЬ ПРОП ХЕФ СТЫМ СВОМ │
│ │
│ б д г з д д │
│НЕЛ ПЯПЬ ВЕНТ ЮЙ ЗДАК ТУС КЕТЬ ТРЫТ СИСТ ПУР │
│ │
│ эг жь в б д б жь│
│РАЛ ШЕК ВЫШ ЗИРЬ ГЕФ ШАП МИТЬ ФЫХ ЧАПЬ ПРЫШ │
│ │
│ д эв з в ы б ь │
│ДЛИТ РИЦ ЖЕФЬ ДВАСЬ ЛАФЬ ТУЦ ШИР РЫПЬ ЗАРЬ ШУЧ │
│ │
│ ь жь д б с з ь │
│ТРОЧ ТОШ НЕСТЬ ФСЯТЬ СОПЬ САЛЬ ЗДИСЬ ШАЩ ТРЕЦ ГУЛЬ │
└─────────────────────────────────────────────────────────────────────────┘
Таблица Б.173
┌─────────────────────────────────────────────────────────────────────────┐
│ з з б э б │
│ПОР ВОРЬ ПРЁС МУСЬ МЯМ МОП ШЕХ МЮП ШТУЛ ДЕРЬ │
│ │
│ жь з з д ь в │
│КРУШ ВЯРЬ ЁСЬ СЯСЬ ТЫРЬ ФОТЬ ДАХ РЮЩ ЛЯФЬ БЯМ │
│ │
│ жь в ё жь о д │
│РОЦ ДЕЙ ТАШ СЫФ ШОШ ЧЁНЬ ШТЕН НЁЦ ЗИНЬ ХОТЬ │
│ │
│ жь з д в в жь сч в │
│ВАШ ГИС НЯТ ТАФ ТЯЙ СЫЛ НАЛЬ ШАФ ЛУШ ЩЕФ │
│ │
│ б ь жь з в жь в з │
│ЛИПЬ БЁЧ ЖАШ ВЁС СИФ ДАСТЬ ЗАШ ФСАСЬ БУМЬ ДЫЦ │
└─────────────────────────────────────────────────────────────────────────┘
Таблица Б.174
┌─────────────────────────────────────────────────────────────────────────┐
│ д б в в д ь │
│КАТЬ ВЫП РЕХ НУЙ ЗАЛЬ ФСЕФ МЫТ ВИМ ЛЮЩ ЕЦ │
│ │
│ д сч яг з д в б д │
│РЕЛ СТАТ БОНЬ ЩАК СУС ЖАМ МЯТ САФЬ ЛЁП НАТ │
│ │
│ д б з ь б д │
│ЦОТ КАП ГЕЛЬ ФЕС ЛЁЦ НЕЩ ПАПЬ ВАНЬ ПЮТ ЧТЫЙ │
│ │
│ в д жь сч г з │
│НУЦ ТРЯМ БАФЬ ДЕТЬ СКОЙ БЯШ ПИЛ ЩИЙ ЗУК ЗНЕС │
│ │
│ б з д з жь │
│ТУН РИПЬ ПЛУСЬ ДЛОТ ФИСЬ НИЛЬ СТУЙ ТЁЛЬ ПЁМ ЦУШ │
└─────────────────────────────────────────────────────────────────────────┘
Таблица Б.175
┌─────────────────────────────────────────────────────────────────────────┐
│ в б б з жь │
│СТЕФ РЭП ХУП ТЭЛ ПРЮН РЁЙ КИС СЕР ПРЯЦ СЯШ │
│ │
│ ыз в з жь д │
│ТЭН НОМЬ БЯНЬ ЖИС ФАФЬ ТАСТЬ ЛЕСЬ НЯШ ЗНОТ НЯМ │
│ │
│ б г б д д │
│БЫП ГУЦ ПОК НЫП РОНЬ ПЁТЬ ДУТ ВУЛ ШУЛЬ РЮМ │
│ │
│ з ь в з ь ь │
│ДУС ЛЫХ ГАЧ ПРУФ ЧИС НУРЬ ЧИЩ ЦАМ ЯЧ ХАНЬ │
│ │
│ д д жь д б в │
│ЕМ БУТ ДЯЛЬ ЗОТ ДРАШ СИТЬ ТОП МЁФ ДОЛЬ РЯЙ │
└─────────────────────────────────────────────────────────────────────────┘
Таблица Б.176
┌─────────────────────────────────────────────────────────────────────────┐
│ в эв б д в │
│ПОР СУФ ДЁР ЦЕФ ПЛЕП НЁТЬ ФОФЬ ВАН ТИХ БИЦ │
│ │
│ ь ё в д б жь б │
│ПОЩ ШОМ МЕФЬ МОМ ЕЙ ТЯТ НЮПЬ МЯНЬ ЛАШ МУПЬ │
│ │
│ ь д д ж д │
│ШАЩ ВУТ ЗИНЬ ТЯХ ПЕРЬ ШТЫТ ЗНАХ ПЕН МЁШ ПРИТЬ│
│ │
│ д в од в б эв г │
│СЯТ КОФ ШТАХ ЖЁТ РЁНЬ ВЫФЬ СЯЦ НАПЬ ШЕФЬ ЧТАК │
│ │
│ д жь б г в сч я жь │
│ХАТЬ ТРЫШ НЯЛЬ РЫП НЕК ГУФЬ ЩАЦ ДЛОЙ БЮШ НИЦ │
└─────────────────────────────────────────────────────────────────────────┘
Таблица Б.177
┌─────────────────────────────────────────────────────────────────────────┐
│ б д з б з д жь │
│МАП РАТ МЫСЬ ГАПЬ СЮН ТАС ГОТЬ ТОНТ ЧТУХ ТЫШ │
│ │
│ ь д д в г сч яд │
│КИЩ ШУТЬ ПРОТЬ ЛЮФ ХИК ЩАТ БЕХ ТУЦ ЗЫН РЯЛ │
│ │
│ ь б в д э жь │
│БАЩ ВОПЬ ЯН ГЕРЬ ЛУРЬ ЧИРЬ ФСЭТ ТЭР ЖЕЛЬ СЫШ │
│ │
│ з д ы з ыб │
│МЮРЬ ВЫСТ РИСЬ ЗУН ТРЯЦ ТРЮТ ШИЛ ФЕНЬ ХЕС ЦИП │
│ │
│ в з б д б в в │
│СВАФ ПЯС БАПЬ НОТ ТЕПЬ ДАН ЗУФ СЁЛ БУЦ ТЁФ │
└─────────────────────────────────────────────────────────────────────────┘
Таблица Б.178
┌─────────────────────────────────────────────────────────────────────────┐
│ в з │
│ГИЛ ЛУЦ ЛАЛЬ ДИНЬ ДУМЬ ДЯЙ КАЙ НУФ ВЯХ ШАС │
│ │
│ д в │
│КУР ПРАНЬ ТРУТЬ ТРЕХ ФИФЬ РУЦ ВУМ БЫМ СЫНЬ САНЬ │
│ │
│ б в г ёб д │
│ТАП СКОМ СТЫРЬ КРОЛ ЕФЬ ДЮК ЧОПЬ СУЛЬ ЗОРЬ ТЫТ │
│ │
│ ь с з д д б │
│ШТИН ГУН ПОЧ ЗДИС РЯМ РУНЬ ДЫТЬ БЁТ ВЁП КЕН │
│ │
│ ь ед з д ь г │
│ХАЩ БЭТ ДВЯХ ХАС ПУНТ ПУЦ ДЯЧ ВЯЦ ГОК САЦ │
└─────────────────────────────────────────────────────────────────────────┘
Таблица Б.179
┌─────────────────────────────────────────────────────────────────────────┐
│с в г з ь з в │
│ЗДАФ РИК ДЫСЬ ЗОЧ ТРАМ ШУНЬ ЦОСЬ БОФЬ ЗЮЦ РАМ │
│ │
│ б ь з сч │
│ЧТЕМ БЯП ДУЗНЬ ТРЮЧ ПЮРЬ ПРАМ ВЁМ КИСТ ДЯС ЩИХ │
│ │
│ в з з ь в ь ь │
│ГУФ ПРЯС СТЕС ВЫЛЬ ФЫЧ ЛЯН ТЫФ ПРЕЧ ЖУЧ ЛЕМ │
│ │
│ з з э в │
│ДЛЮС НЯСЬ ПОМ ЁР ЛИЛ ШЕЙ ЗАНЬ ЗНОФ СТУНЬ ЛИХ │
│ │
│ в д ёв з жь д │
│РОФЬ РЕЙ ПЛОЙ СВЫТ ШОФЬ ХУЛ ВАЦ ЛЯС ЗЯШ СЁНТ │
└─────────────────────────────────────────────────────────────────────────┘
Таблица Б.180
┌─────────────────────────────────────────────────────────────────────────┐
│ ь э д в д │
│ТАЧ ЖЕЙ КОЙ НЭТ ГИЦ БЯР НОРЬ БЫФ НАЦ ПЫТ │
│ │
│ в г жь д з │
│СЁХ ПИФ НЫР ЕК СТАЦ ЧТАШ НЯЗНЬ ЮМ СКИТЬ ЧЕС │
│ │
│ д в д я д в д б │
│ТУМ ДОРЬ ДРАТ ФСЕХ СОТ ЗЕЦ ЧАР КУТ ФСЮТ РЮПЬ │
│ │
│ б сч б з д д ь │
│ФУЙ ЗИЦ ХОЛЬ ФЭП ЩИП ДЫЙ МЯС РИТ ЛЁТЬ ЛЫЧ │
│ │
│ жь в б ь│
│НУМЬ ЛЕШ ЦАР НЕРЬ ЗАФЬ ЖУП РЫЙ НИР ДЕЛЬ КРУЧ │
└─────────────────────────────────────────────────────────────────────────┘
Таблица Б.181
┌─────────────────────────────────────────────────────────────────────────┐
│ жь ь в в │
│ВИЛЬ ШТЫЙ РАР СЭЦ ПРЁР БИШ РЫЧ ПОФ ВЮФ БЯФЬ │
│ │
│ г б в г б з д │
│ХОЙ ПЕК ЛЕП ФАФ ПЛЁК КРИХ РЯП ЯНЬ ЗЕСЬ ФОТ │
│ │
│ жь з г б в в д │
│ТРОШ ФЫСЬ БУЦ ЛЁК РОП ПЮР СУФЬ ЗАФ ФЕЦ НИТ │
│ │
│ жь в э з г │
│ТЕШ БОФЬ ЛИН ЖЕРЬ СВАЦ РУС ШУЛЬ ЛЫР НУН ВОК │
│ │
│ в з ь жь б б │
│ЗИФ ДЁС ЧТУЛЬ ГЕЩ ГИНЬ СИСТЬ ДЯЙ ГИШ БУПЬ БЯПЬ │
└─────────────────────────────────────────────────────────────────────────┘
Таблица Б.182
┌─────────────────────────────────────────────────────────────────────────┐
│ ь б з │
│ПРУЙ РАЩ СЫП ПУРЬ ТРАЛЬ ТИЛЬ ЗУС ЛУХ ФИЛЬ КАР │
│ │
│ ыг ь д в д │
│ЦИК САЧ ЛУТ ЗНАФ СИНЬ ЧИТ КРОЦ ЦУЩ ПРЫН ГОНЬ │
│ │
│ д │
│НИРЬ ЛОЦ КАМЬ ВЯТ БЕЦ ДИРЬ ЮН НЕМЬ ЗЮР ШОЦ │
│ │
│ б з б в б г б │
│ЖАП СТУЦ ГАЛ СЁС ПАП ЕХ ЛЁФ БАП МЮК СЕП │
│ │
│ ь в эв з г в з з б │
│ГОЧ НЁН ЗАМ НЮФ ШЕФЬ РЯСЬ ТРИК ФСЕС СТЯСЬ ВОП │
└─────────────────────────────────────────────────────────────────────────┘
Таблица Б.183
┌─────────────────────────────────────────────────────────────────────────┐
│ ь жь с з э д в │
│СУМ ТОЩ МУН ДЯШ ЗДАСЬ ШЕНЬ ВЭТ ВОЗНЬ ЧТАМ ВОФЬ │
│ │
│ ы д г жь з │
│ДЛАР ТЫМ МЕНЬ ПРЮМ ЖИН ВАТЬ ПЛАР ТРЯК ЧТЕШ ТРЁС │
│ │
│ д ыб ь сч яб в │
│ДЫТЬ ХАЦ ШИПЬ ПАЧ ЩАПЬ НЯФЬ ЕЛ ФУН МЯЙ КУЦ │
│ │
│ б в в д ь в жь │
│КЕЛЬ САПЬ МЫФ РЮФЬ ДЭТ ТЮНЬ ТИМ ДАЧ СКЕФ ЯШ │
│ │
│ б б о б д б с │
│ТОР ПЕП ВЁРЬ НАПЬ ЧЁР ПЫП ПАНТ РЮМ МИПЬ ЗДИН │
└─────────────────────────────────────────────────────────────────────────┘
Таблица Б.184
┌─────────────────────────────────────────────────────────────────────────┐
│ г д б в д │
│ЗОНЬ МОК МЕМ СТОТ БЮХ ПУР ЧЕПЬ ЗОФЬ ТЯСТЬ ДЭНТ │
│ │
│ д б ф сч │
│ДУТ МАНЬ ЛАПЬ МЯЦ ХОВ СКАМ ЁРЬ ЩИРЬ НЕЛЬ ШТЕР │
│ │
│ д жь в д в д з з │
│ВЫРЬ ДИТЬ СЮШ ФСЁТЬ ТЫФЬ ЧТЫХ ДОХ СЭТ НОСЬ КОСЬ │
│ │
│ жь б д з з │
│ХИШ НОСТ ДЕЛ ТЯПЬ БЁТЬ БЭЛ СТАЛ ТРЫСЬ ШТЕСЬ ПЫЙ │
│ │
│ з ь д з жь │
│ЦАСЬ ЖУХ РЁХ НЭР ХОР БАЩ ДОНЬ СВЕТЬ ЧУС ЗУШ │
└─────────────────────────────────────────────────────────────────────────┘
Таблица Б.185
┌─────────────────────────────────────────────────────────────────────────┐
│сч з д ь г з ё д │
│ ЩЕС ТАТ НАЧ ТРИНЬ ЗЯХ ЗНУК ДРАЙ БЫСЬ ЖОЛЬ ШАТЬ │
│ │
│ в з в сч ь г │
│ ПИФЬ ДВИСЬ ФСАХ ЩИР ДЛЕЙ КОЧ КУСТЬ РЁК ШАМЬ ПРЯХ │
│ │
│ з д в з д в │
│ РЕН ЛЯСЬ РЫЛЬ ПРАТЬ НЁНЬ СОФ ТУСЬ ЦОТЬ РЫФ РИР │
│ │
│ б г в в б │
│ СЕП КЕК ДЯРЬ ЛИЦ ГАФЬ ТОФ ЛЮХ НЯХ ХАП ВЫМ │
│ │
│ я эг з б в з жь з │
│ ЧАНЬ ШЕК ЗАС ХИП ГУР НУФЬ НЫС ШАШ ПЯСЬ ТАЛЬ │
└─────────────────────────────────────────────────────────────────────────┘
Таблица Б.186
┌─────────────────────────────────────────────────────────────────────────┐
│ в з д жь б д жь в │
│ВАФЬ ВУР СКЕСЬ ЧТЕТЬ ТРЯР СЕШ ЦУП СЁТЬ РУШ ФСУХ │
│ │
│ з жь з г жь │
│ЦАЛ ПРЮСЬ ТУСТ МАРЬ НЮШ ПРЁХ МЮС ГОК ДРАХ РЮШ │
│ │
│ ь б д жь в в │
│КУЧ ЗЯЦ ФУР ГИП ПЫТЬ ТРЮН МЯШ ВУФ ШАФ ПРИНЬ│
│ │
│ д ь в з в з │
│БОЦ ЗЕТЬ РЯХ ХЕЧ ДАФ ТЫНЬ ВЫС СЫФ ДЛОС БОМ │
│ │
│ б в в б б ыв │
│СКАЙ НЁПЬ ЯМЬ ТРИФ ПЁФ РЁР НЯП КОП ШИФ ЗОНЬ │
└─────────────────────────────────────────────────────────────────────────┘
Таблица Б.187
┌─────────────────────────────────────────────────────────────────────────┐
│ д б сч б б │
│ТЕР КРУТ ЗАЦ РЫМЬ ХОЦ НЯХ ДАПЬ ЩЕХ ДЯПЬ ЛЁП │
│ │
│ г д в в в │
│РЕК ХИТ ПЁНЬ ПЕХ НИФЬ СТАФ ПРОЛ СЯФ СТУЛЬ БАЙ │
│ │
│ сч о в д г б б │
│СОЛ ЩЁЙ ФСЕР БЯР СЭТЬ МЕК ТЁП ФАПЬ ГОЦ БЫН │
│ │
│ ь э │
│ДИН СТЫН ПЫСТ НЫР ШТЕЛ ЦАЧ МЫНЬ ДЕР ШЕЛ ВЯН │
│ │
│ в б б д сч б │
│ЗУХ НАФ ВЕП ТЫП ФИНЬ ДИР ДОТЬ ЩЁП МИНЬ ХАР │
└─────────────────────────────────────────────────────────────────────────┘
Таблица Б.188
┌─────────────────────────────────────────────────────────────────────────┐
│ в ь жь б ь │
│ЧТУФ НАНЬ ЛУЙ МЯЛ РЕЩ ЛЯН ЗНАШ СЮП ТЫЧ ПЯЙ │
│ │
│ д в в д жь │
│СИЦ ПЛАТЬ НУФ ВЁФЬ ТРЫЦ ДИТЬ КЕР ФОШ ТРЕНЬ РУН │
│ │
│ з в з з в г │
│НЕН ТЮСЬ БЯФЬ КУС ЛЕМ САС ХОЛ ЦОФ ГЕК РАЦ │
│ │
│ з ь жь д з │
│ПРЫХ РОРЬ МОС ЕЧ КОШ ТУЙ СВУТ ДЁМ БАСЬ ЗОМ │
│ │
│ в в в ь жь │
│ЛИЙ ПУНЬ ТАФЬ РЕФЬ ПАФЬ НАЗНЬ ШЁЧ ХУШ ДЫЛ ШУН │
└─────────────────────────────────────────────────────────────────────────┘
Таблица Б.189
┌─────────────────────────────────────────────────────────────────────────┐
│ б жь о ь з эг д ы │
│ТРУНЬ БЮП ХАШ КАН ЧЁЩ ПРУС ЖЕК ШУХ ЧТАТ ШИР │
│ │
│ в с д з з в д г ь │
│БИРЬ КИФЬ ЗДЕТ БЕСЬ БУРЬ СЫСЬ ПЛЕМ ФСЁТ СЭК СУЧ │
│ │
│ д в б в з б о │
│ГУТЬ РЮЛЬ ФЕФЬ ЧТЫП ЖАФ ТРАНЬ ТОСЬ ЛУПЬ ЗНУЛ ЧЁЛ │
│ │
│ э в д │
│ЖАЙ ШЕХ ТЯФ ДЕЗНЬ ПЯЛ ГУМ СОЦ ДВАЙ ГЕТЬ ВАЛЬ │
│ │
│ д д г з │
│ЛОТЬ ЗАЙ ВИР РЮТ ВЫК НУМЬ ЯЦ ЛАР ЛИСЬ ЕН │
└─────────────────────────────────────────────────────────────────────────┘
Таблица Б.190
┌─────────────────────────────────────────────────────────────────────────┐
│ в д д д эз б б │
│ПУФ РУТЬ ВЫНТ ТУТЬ ЖЕС НИМ ЛЫН ТАР ЮП МЁП │
│ │
│ в жь о ь с з з г яг │
│КРАФ ГАНЬ ДЮШ ЖЁЧ СОСТЬ ЗДАР СВАС ДЛЁС ПАК ЧАК │
│ │
│ в в з з сч б │
│МУФЬ НОР ЗИФЬ ФОС НЕЦ БЫХ ТИЦ ВЭС ЩАЙ ЗУПЬ │
│ │
│ ь жь ь в │
│БЯН ЧИЧ ШАЙ НЫШ ШТЕХ ДЫМЬ РЫМ ЗОЩ ХЕСТ ЛЕФЬ │
│ │
│ д д в д з з │
│СТЕТЬ ЗЮТ ЛЮНЬ ШТИМ ДИФ ЧЕМ СИТЬ ЁС ЗОСЬ ПОЦ │
└─────────────────────────────────────────────────────────────────────────┘
Таблица Б.191
┌─────────────────────────────────────────────────────────────────────────┐
│ г з б б │
│НЕК СОЦ ТРАН НЯСЬ БЯЙ ГАЛЬ ВЯПЬ ЛУРЬ ТАР ПРАП │
│ │
│ д д б д в д жь з │
│ДЁТ ДЫТ ВЮП СЫТ ФАХ БЯФ ЗНЕТ ТЁЦ ЛЮШ ФЕСЬ │
│ │
│ в з з д │
│ПЫФ ТРЮЛ БАХ НЁХ ЦОРЬ ШТУС ХОСЬ РИЛЬ ТРУЦ ШОТЬ │
│ │
│ д в д в д э ь │
│НИЙ НУТ НЫФ ЛЯТ ЧТЫФЬ ВЫР САНТ ВОЛЬ ШЕЧ ПЕЛЬ │
│ │
│ г ь ь в жь з ь г │
│СОЛ ПРЫК ХОЧ ЧЕЧ СТЯФ РЫШ БУСЬ БОЩ НЯЛЬ ДЯК │
└─────────────────────────────────────────────────────────────────────────┘
Таблица Б.192
┌─────────────────────────────────────────────────────────────────────────┐
│с з в д г з ы жь│
│ЗДАХ ТРИС КЕФЬ БЕНЬ БЁЛЬ РАТ МЕК ГОС РУЙ ЖИШ │
│ │
│ з з г жь ь │
│МОРЬ ТРАСЬ РЯС МЮЙ НИР ВЫЙ СИХ ШУК ДЫШ ЗУЧ │
│ │
│ в жь жь б │
│ЛЕЛ ВУХ ДАМ ПЯФЬ МЮШ ТЁЛ ЛАШ ЗОЦ ТЮП ВИХ │
│ │
│ жь д з д ы з в │
│НУМ РАХ ПРЮШ КУТ ДЛАС КРУТЬ ШИН ЮСЬ СТАЙ ФСАМ │
│ │
│ в д б │
│ТУНЬ РАФЬ ДЮЛЬ ЗОТЬ ГУЙ ДИПЬ ПЛЕЦ ТАЛ ТРЕМ ЗИМ │
└─────────────────────────────────────────────────────────────────────────┘
Таблица Б.193
┌─────────────────────────────────────────────────────────────────────────┐
│ д з д д з з │
│ДВАМ ЛОХ ПОН ДОЙ ДРОТЬ СВОСЬ ЛЫТЬ ПОТЬ СТОС БОС │
│ │
│ б ь жь ь д в жь ы │
│ФОМ НЫПЬ ПЕЩ ШТЕШ МЯЩ ТЯНТ ЧТАМЬ ЧИФ НЫШ ШИЛ │
│ │
│ б ь жь г в │
│НЁЙ СУПЬ ПИЧ ПЮСТ ЧТУЦ ДУЛЬ СТАРЬ РИШ ЖАК МУФ │
│ │
│ в д д з з в и о ь │
│ВОФ ЦУТ ФУТЬ ПРИСЬ ЛОНЬ САСЬ МЁМ ЁФЬ ЦЫН ЖЁЩ │
│ │
│ б з в д ь │
│ЗЯЛЬ МАР СЁПЬ РЁТ ФЫС ЯФ ЗОЛ НОТ ПОЧ СВЯХ │
└─────────────────────────────────────────────────────────────────────────┘
Таблица Б.194
┌─────────────────────────────────────────────────────────────────────────┐
│сч юд в г г д │
│ ЩУТ ГИФЬ ЮРЬ ХИЙ РЕНЬ ВУСТ ДЯК ДЫК БУЛЬ ХАНТ │
│ │
│ г з я д д б ь б │
│ БИК ПУСЬ ЧАМ РИТ КУЛ СКОТЬ ФИП КРАЦ СУЩ ЛЕПЬ │
│ │
│ з д г в │
│ РЫНЬ ДЯЦ ШАСЬ БАТ МЯК ПЮСТЬ ШУФ ЛЁХ РЕМ ТУЛЬ │
│ │
│ в з з ь ед │
│ КЭФ РУХ ФАЛЬ ФСЯСЬ ТЫС БЫН ПРОХ СУЩ НУЧ ТЭТ │
│ │
│ з об г з сч о б │
│ ТИСЬ ЛИРЬ ЧЁП ДЛЕК ТРЮС ЩЁМ ШТОН ХЕЛ КАП ЗЁЛ │
└─────────────────────────────────────────────────────────────────────────┘
Таблица Б.195
┌─────────────────────────────────────────────────────────────────────────┐
│с д в г з в │
│ЗДИТ КОЛЬ ЗАН НАНЬ ФСИК РЯН ТЯСЬ СЯФ ДЁРЬ ВУЙ │
│ │
│ д в ь з о │
│БЮМ СКЕМ ХАЛ НИНТ ПЮЛЬ ЗУЛЬ ХУФЬ ЛИЧ ХУСЬ ШЁН │
│ │
│ ы д з э юд │
│ЖИЛЬ ТОЙ ЗНЁТ ЕС ШЕМ ТАР ВЁЙ ЧУТ ГУРЬ ГИНЬ │
│ │
│ жь сч я б ь д ь жь │
│ПОШ ЗАЙ ЩАЛЬ ЦОЛЬ ПРЯП МАЧ ЧТЕТ НИЩ ЗЕЛ СЕШ │
│ │
│ з сч юз г г б жь │
│ВАСЬ ЩУС СКОК ЁК КИП ПЛОМ ГЕХ РЁЙ ТЭН ГОШ │
└─────────────────────────────────────────────────────────────────────────┘
Таблица Б.196
┌─────────────────────────────────────────────────────────────────────────┐
│ д д б б б эд │
│НИТ БЫР ТЯНЬ ТРЕТ СИЛЬ САРЬ ТРЯП ШАПЬ НУПЬ ШЕТ │
│ │
│ жь ю г з е │
│НОЦ ПЫМ ЛЕШ ЧУЙ ТРЁК ВОСЬ СЭЛ ЧЁЦ ВИНЬ ТРАМ │
│ │
│ б з жь з д │
│МЯПЬ МУЛЬ БОС ДЕЛЬ ТАНЬ МЁЛЬ ЗИШ ЦУР ЖАС ГЕТ │
│ │
│ г б з б з │
│ШТАК ВАПЬ ЗЫСЬ ШАЛ РЫН ДЯЦ ЛЫМ ЁЦ ТЫПЬ ФИС │
│ │
│ в д в сч я ь │
│ЛИФЬ ЧТАТ ГАФ ЩАЦ ДУМЬ ТУХ ПЛЕЙ ЛИМ ХЕЦ ВЫЧ │
└─────────────────────────────────────────────────────────────────────────┘
Таблица Б.197
┌─────────────────────────────────────────────────────────────────────────┐
│ б б з д │
│ХОПЬ ФЫН СОХ РАМ ПЯНЬ РЮНЬ ГУПЬ ЖУСЬ РЕР СЮТ │
│ │
│ з д д жь сч ь │
│ХОН ШУС ЗИЙ ЗОР СТЭТ ПЛАТ СТОШ ЩЕЛ ЧИЛ НЮЧ │
│ │
│ г з з │
│ДВАК ЧТУЛЬ ХАЗНЬ КРИН ДЕМ ЛЯРЬ СЫС РОСЬ ДЁЗНЬ БУМЬ │
│ │
│ в жь в жь в в в ов │
│БЯФ ТЫШ ПАФ ДОШ ПЮФЬ ФУФЬ ТИРЬ КУФ РЁЛЬ ЖЁФЬ │
│ │
│ ь д б в │
│НЯМЬ КАНЬ ВЫЩ СУН СТУТЬ СКОР РЯЛ ТРИП ТРУНЬ БУФЬ │
└─────────────────────────────────────────────────────────────────────────┘
Таблица Б.198
┌─────────────────────────────────────────────────────────────────────────┐
│ в в г б б з з │
│НАФ НИФЬ ДЫР РЯК РИРЬ ДЛИП ЛАП ПРЕН ТАСЬ ДЯСЬ │
│ │
│ б эд б в и д жь │
│ДИП ШТЫХ ЖЕТЬ ЗНОП КУФ ШЫЦ НЯР ПАМЬ СВЁТ ПУШ │
│ │
│ г з ь э г │
│ГИК ЗЫМ ЦАС ВАЩ ГАХ ТАЦ ЦЕН СЭЛ ГОРЬ РЫК │
│ │
│ з д о д з д ь в │
│ДАСЬ ВУНТ ЧАЦ ШЁЛ ЛЁЛ ЕТ КОС ВЁТ РУЩ НЕФ │
│ │
│ с ыд з ь │
│МИЛЬ ЗДАМ БЕН ЕЙ ШИТ ДЮЛ ШТИЛ ТОС ТРЫЧ ЁЛЬ │
└─────────────────────────────────────────────────────────────────────────┘
Таблица Б.199
┌─────────────────────────────────────────────────────────────────────────┐
│ д в з в э │
│ЗУМ ДЕСТ ЗУТЬ ПРЫФ ЧТАЙ ЦУС ХАФ МИН КАЙ ЖЕНЬ │
│ │
│ б г жь сч г г з г │
│РУП ПУМ НАК ПРИШ ФОЙ КРОХ ЩИК ХАК ПЁСЬ СЯК │
│ │
│ г з с в жь з з ь в │
│ГАК НАСЬ БАЛЬ ЗДЕЙ ФСЯШ ПЕС ХАСЬ ТЫЧ КАФЬ ЧЕНЬ │
│ │
│ д з б д д в з │
│ЗЮЛ РАМЬ СЁТ НИСЬ РИП ЗАТЬ НУНТ ВЕФ МЫР ДРОС │
│ │
│ з д б жь сч я жь з │
│СКЕЙ ДЯСЬ СЕТ КЕП ВУШ ТЁМ МЫЦ ПРОЙ ЩАШ КОС │
└─────────────────────────────────────────────────────────────────────────┘
Таблица Б.200
┌─────────────────────────────────────────────────────────────────────────┐
│ в д в д б ь │
│ЛЁЙ ФСЕТ ФЕФ ДЛАТЬ ЯРЬ ЛУП ТЕЗНЬ ЗЭЩ БЫХ БЫРЬ │
│ │
│ б б з ь г з сч в з │
│ХИП НОПЬ ТЕЛЬ ЗНОСЬ СОЗНЬ САЩ НОК ДОС ЩИЛЬ ФСАС │
│ │
│ в ь б з │
│ЮХ ПРЕФ ТЯН РЁХ БЮЛЬ ЗЕЧ ГЕР ПРУП СТИС МАМ │
│ │
│ д в │
│ПЕТ БИР НЕРЬ БЁМ ФАНЬ РЮФ МЯР ЛОР МИМ ДАН │
│ │
│ г з б г в │
│СВОН ВЕЛ ВУК ЛЮСЬ ПЫПЬ КИЦ БЯК ЧТЕН ШУЦ ЛЫФЬ │
└─────────────────────────────────────────────────────────────────────────┘
Таблица Б.201
┌─────────────────────────────────────────────────────────────────────────┐
│ жь в д ыг ь з б д з │
│КЕШ ХУФ НОТЬ ЖИК ЛОЧ СОСЬ РЯЙ ТРЁП ШТОТЬ ЛАСЬ │
│ │
│ з д жь сч ю │
│БАНЬ ШТИСЬ ДЛИН БЮН СЫХ НЯРЬ ГУТЬ ЗНОМ ЗОШ ЩУРЬ │
│ │
│ г ь д з д в │
│ПЫЦ РЁК ТАС ПЯЩ ЧТЭТ СУСЬ ЛЯМ ЦАТЬ ДЯФ ДЮРЬ │
│ │
│ з в в жь б │
│ПРОЦ СКЕС ВАФЬ ЛОРЬ ЛЕФЬ СВАР ЧИНЬ ФИШ ХИЛ НЕПЬ │
│ │
│ ь д в д жь в │
│ПУЧ ЧТАЛ ТЮТ ТРЕН ВЯФ ТЁР КАТЬ НЯШ НАР МЮФ │
└─────────────────────────────────────────────────────────────────────────┘
Таблица Б.202
┌─────────────────────────────────────────────────────────────────────────┐
│ з д г з │
│БЕМ САМЬ ЗНУН ХАС ТРИТ ФОК ЗЮС КАСТЬ КРОМ СТОЦ │
│ │
│ з в г д ь сч я │
│СУЗНЬ ЯС МИФЬ НЯК РУЛ ТАНЬ МОТЬ ТЯЧ ДОР ЩАЛ │
│ │
│ в з з в в в в │
│ЗУФЬ ДЕС РАСЬ МАФ ДЛАФ ВЮР ТУМ ВЁНЬ ФСОФ ПРЫЛ │
│ │
│ з в з д в г │
│БЫС ТИСТЬ ФСЕС ТАЦ ЛОЦ НАХ ПРИТ БУФ БАЦ ВИК │
│ │
│ с з г б │
│ДУМ ВОХ ЗДЕС ДЫСТ ФЕК ГИПЬ ГОМ НУНЬ КОС СЫМ │
└─────────────────────────────────────────────────────────────────────────┘
Таблица Б.203
┌─────────────────────────────────────────────────────────────────────────┐
│ в ь жь з │
│ПУЛЬ САХ ГУМ СЁФ ТЁЩ РУТ ЮЦ МЕШ ПРЮХ КРЫС │
│ │
│ з д з з ь │
│ПРЕНЬ КАСЬ ДЯН ПИЦ НЁТ ПЮМ ДАС МИС СТЯЛ ФУЧ │
│ │
│ ь г б ь з ь │
│ТУЩ ЛИР ВАК МЁХ ЛЮПЬ ЦУЧ ДЕСЬ ТРАР ГАНЬ ДЁЧ │
│ │
│ ь д в з ё в б ё │
│ХАЧ МЯТ РЫЦ ЛУФ ПРАС ШОЛЬ ГОФ КУЙ НИП ШОХ │
│ │
│ з в ь в ы ь │
│ЖУС ЁФЬ ЗЫРЬ НИЩ РУФЬ ШИЧ ЗУНЬ ТУХ КАЦ СВУМ │
└─────────────────────────────────────────────────────────────────────────┘
Таблица Б.204
┌─────────────────────────────────────────────────────────────────────────┐
│ ь с б г в з │
│БУЩ ЗДАП ЦОЙ ФЫЛ ПЛЫК ГЕФ ЧТЕЛ ПЕЛ РЯС РИР │
│ │
│ яд ы г г ёв г │
│ЧАТЬ ТРУХ ШИЙ БЁК ЧУМЬ КИК ЖОФ ШТАЙ СУЛ ЁК │
│ │
│ з д ь сч д з │
│ХОЛЬ РОЦ ЕР РЕЛЬ ПАСЬ ДРЕТЬ ЗАХ СТЫЧ ЩЕТЬ ЖАСЬ │
│ │
│ д б в │
│ВЯЙ СЁЙ ТОРЬ ЛУТ СТАР ФАЙ ТЫПЬ ТРЮЛЬ ТЭФ ПОРЬ │
│ │
│ эб з б ь │
│ШЕП ЗОС МЯМ ВЫЙ ТРЯПЬ РЮХ БЁР НУЦ ЗИЧ ЧТУЙ │
└─────────────────────────────────────────────────────────────────────────┘
Таблица Б.205
┌─────────────────────────────────────────────────────────────────────────┐
│ эд д г б ь д з │
│ ШЕТЬ БОТЬ ЦЫЙ ГЕК ПОН ВУР ДЕП СИЧ ТЕТ БЯС │
│ │
│ д г д │
│ СЯХ ПЕСТЬ ШАРЬ ХЕТ ВОСТЬ ЗЯК БАН ДВАТ СЕЛЬ НЕНЬ │
│ │
│ ов з з в ыз д з з │
│ СКУМ РОН ЧЁФ ДЫС РЫС НЫФ ШИСЬ РЁТЬ ВЫС ПЛИСЬ│
│ │
│сч о ь э в в в │
│ ЩЁХ ДУЧ ЖЕН ФСЕН ЛЕР ЛЁНЬ ПЯФ МОФЬ ЛЕН ДАМЬ │
│ │
│ б з з в з │
│ МЫЛ ЗОЛЬ РЕПЬ ЧЕСЬ НОСТЬ ШУСЬ ЗЕХ ВУФ НЫСЬ ХУЛ │
└─────────────────────────────────────────────────────────────────────────┘
Таблица Б.206
┌─────────────────────────────────────────────────────────────────────────┐
│ в з г од д э жь яз │
│ХАФЬ ЗИЛЬ ТАСЬ ЗЁК ЧЁТЬ НЮТЬ ШЕШ ЧАСЬ РЯЛЬ ЦОМ │
│ │
│ г г б ь д │
│ДУК РЯК МОЦ ПЛИП ЗНУХ ТОЧ РЫЦ КИН БУТЬ ЗЫЛ │
│ │
│ жь в б ь сч б в ь б │
│СТАМ МАШ ФСОХ ДЯП СЕЧ ЩЕП ЗЯЛ ТОФЬ ГЕЧ ТРЕПЬ│
│ │
│ б д з з ь г д з │
│ДОПЬ ВЕТЬ ПИС ПЭС ВАЧ ПЛАК НИТ ПЫРЬ МЕСЬ НЯН │
│ │
│в з з сч б б в ь │
│ФСЯЛ ЕС РОН БАМЬ РЫС ЩИПЬ ДИЛ ВОП СОФЬ НОЩ │
└─────────────────────────────────────────────────────────────────────────┘
Таблица Б.207
┌─────────────────────────────────────────────────────────────────────────┐
│ жь в д г │
│СЯШ ПУЛ ЧЕФ ТЫТЬ НУР РУК ГОНЬ ПРЫЛЬ ШТАМ ФОЛЬ │
│ │
│ б ь с д в д е д д │
│РЮП ВУЩ ЗДЯТ БЮФ ЁХ ТАЛ ШАТ РЭЛ ПРЮТ ДЭТ │
│ │
│ з в ь б з г │
│БОРЬ БЯЦ НИМ ЮС ВЫФЬ МИЧ ГОП ГАМЬ РАСЬ ДЁК │
│ │
│ в з в │
│ЦУФ БЯН ПРАР РЁЛ ПАНЬ БАСЬ ШУФЬ ШУНЬ МАМ СКИР │
│ │
│ з з сч я з г д │
│СИСЬ ФЕРЬ СЫРЬ ДЕСЬ РИЙ КАЦ ЩАР ФУСЬ ЗЕК ТРАТ │
└─────────────────────────────────────────────────────────────────────────┘
Таблица Б.208
┌─────────────────────────────────────────────────────────────────────────┐
│ г в в з з │
│ТРОК ДЛАН РУФЬ СУМЬ ЁЛ ПОФЬ ТИМ СЁМ БЁС НАС │
│ │
│ ь в жь д з в │
│ЧТЕХ ПЯЧ НИТ ЧИФ КЕХ САШ НОНТ ПЮЗНЬ ЛИС МЯФ │
│ │
│с з ы д жь б в з е │
│ЗДОС НОЛ ЖИЙ КРАТЬ САТЬ ХОШ ЛЮП ДУФЬ СТЯС СЭМ │
│ │
│ з з г в жь э ь ё │
│ТИСЬ ЧТАС ФЫР ШУК ПРИФ ЛЯЛЬ ЛЫШ СЮЙ ЦЕЧ ШОМ │
│ │
│ в э з жь б │
│СТУХ ПАЦ ЯФ ЖЕМ НЕСЬ СВАШ ЛЁР ПОХ ДИПЬ КАР │
└─────────────────────────────────────────────────────────────────────────┘
Таблица Б.209
┌─────────────────────────────────────────────────────────────────────────┐
│ э д д ь з │
│ГОЦ ШЕМ ДЯХ КАТ НЕТЬ ДВИЙ ЛОНЬ ДЛЕМ МЫЧ КРУС │
│ │
│ з в з з д │
│ТЯЛ ЗУСЬ НАЛ ВУЛЬ МЁЦ ФСИСЬ ЩИСЬ ПУР ЗОХ СТОТЬ│
│ │
│ жь ь ь д в г │
│ЛАЦ ЗОЛ БЫШ ШАЧ ЛЁЩ ТРЯН ШТУТ ПЮЙ НЫФЬ ДРАК │
│ │
│ ч з ь б │
│ВОСТ ТОФ ШТОСЬ ДАЩ СВЕН ВЁЛЬ СЭК ФАН МЯНЬ ХЕП │
│ │
│ д б з │
│САР ЛЕТЬ ГЕП ЗОЙ ЖУРЬ ЗЭС ЗНАР РЕНЬ ХАНЬ СКАХ │
└─────────────────────────────────────────────────────────────────────────┘
Таблица Б.210
┌─────────────────────────────────────────────────────────────────────────┐
│ ь ь в ь з д жь │
│ПРИЧ ЛАЛ ЛЯЩ СУХ ВЯФЬ ВЫЩ ЖАСЬ ДЮТЬ ГАЦ ТЕШ │
│ │
│ жь б д в жь ь з │
│ПЕМ ТРУШ БЫПЬ ТЮТЬ БАФ ВУШ МЮХ ТЁЧ РЯХ КУСЬ │
│ │
│ б жь жь эд г ёд ы б │
│ЧТУП НУШ ВЕШ ЦЕТЬ ТРЕЙ ТУРЬ ЛЫК ЖОТЬ ШИНЬ ХУП │
│ │
│ б б д з д │
│ЧУПЬ ЧИП ФИТ ВИЙ ЗАМЬ ПЕСЬ ДАЛ ХИН ДЯНТ ХОТЬ │
│ │
│ в жь г │
│БЮРЬ САСТ ТРИР ЧТЫР НЯФ НЁМЬ ТЁСТЬ ПРОШ ТЫК КАСТ │
└─────────────────────────────────────────────────────────────────────────┘
Таблица Б.211
┌─────────────────────────────────────────────────────────────────────────┐
│ жь ь сч │
│КИН ХЕШ СЕН ЮЧ ТЁСТ ЁМ БЮЛ ЩИН КЕЦ ПЯЛЬ │
│ │
│ еб д в ё ь жь б │
│ФЭП КАТ ДЕФ ШОН ЦОЧ БЫМЬ ЮШ ПЁПЬ ЧТЫН ТИЙ │
│ │
│ з б б с з │
│ПРЮС ВЯП СИТ ТЕН БИМ ЦУХ МЫРЬ ТРЮП ЗДОЛ ТОСЬ │
│ │
│ в в в д │
│КУН ФСИХ РЁН ЦОН ТИЛ ВАФ РУНЬ ЕФ КАР БЯТЬ │
│ │
│ д д б д б │
│ТРОХ ЧЕТЬ КОТЬ СУРЬ СОПЬ ТЫТ НЫЛ ФИЦ РЕПЬ ЗЕЙ │
└─────────────────────────────────────────────────────────────────────────┘
Таблица Б.212
┌─────────────────────────────────────────────────────────────────────────┐
│ д з г д в з │
│ЛЯТЬ БЯЛЬ ВУСЬ ЛОМЬ ГУЛЬ НУК БАТЬ ЛЮФЬ НЕСТ ЧТИС │
│ │
│ д з ь б ь сч ь жь │
│ДЯТ СЯС СОЩ ШУЛ ЛЕПЬ РИЩ ТЫХ РЕЙ ЩИЧ БУШ │
│ │
│ б жь д г б │
│ПЛАП РИШ ПАЦ РУТ СЫК ЧИМЬ ЖАМ ЯПЬ ЛИР ДЁЦ │
│ │
│ ы з з д │
│ЛЫЦ ЗУРЬ ШИНЬ ПУЛ ЗНУСЬ ЖУР СТЫС СКОЛ ВЫТ ДОР │
│ │
│ ыв д ь в │
│ЖИФ ПИТ ДЮМ ТЫЦ РАЧ ДЕН РЯЦ ХАХ ПЯЗНЬ САФ │
└─────────────────────────────────────────────────────────────────────────┘
Таблица Б.213
┌─────────────────────────────────────────────────────────────────────────┐
│ б с жь б ь г д │
│ВУПЬ ПРОМ ЗДИШ МОП ФУЛ ЛИЧ СЕЛ ЗУК ФЕЛЬ ПРЁТ │
│ │
│ э жь д д г ь в ь│
│ШЕШ СТЕР МАРЬ КУНТ ДЛЕТ КРАК ДАЩ ЗОН РЯФ СТАЧ │
│ │
│ оз б ю сч я д │
│ЧЁСЬ ЗЯЙ ХАП ДЛОХ ДРОН ДУЛ ГЕЙ ЧУН ЛЁХ ЩАТЬ │
│ │
│ б в г д в д │
│МИРЬ ГИП СЫФ САЗНЬ ТЕК ШАТ ФСАТ МЮН РОР НЫЦ │
│ │
│ в д г з в │
│ПОФЬ ЮТЬ ДИСТ ДУЦ ЗНАН НИК ГОС ДЕМЬ НОН ФСЮЛ │
└─────────────────────────────────────────────────────────────────────────┘
Таблица Б.214
┌─────────────────────────────────────────────────────────────────────────┐
│ г жь б д д в │
│ЛАХ РУК ЗЁЙ ЗАРЬ ВОХ ЗАШ СТУП МУТ НАТЬ ШТЕФ │
│ │
│ з в э ь │
│ТРЕР ХОЙ ПРИЦ СИС ЧТАФ ВЕЛЬ ЛЁМ ШЕМЬ ФАЧ СВОЛ │
│ │
│ в в д в ь жь │
│ЖАФ ТУФЬ ЧТУТЬ ХОФ РОЧ ЗИЛ СКИШ ФОЦ МЮЛЬ НЕМ │
│ │
│ ь з ь жь ёз │
│ТРИЧ ВАЙ НАМ ВЮС ГАЧ ГАН БЫНЬ ФОК ПРЯШ ЖОС │
│ │
│ б яв ыз б з э в │
│ХУПЬ ХИЦ ЧАФ ШИСЬ НЯП ПРУСЬ ШЕН БЕР ПЕХ НЕФЬ │
└─────────────────────────────────────────────────────────────────────────┘
Таблица Б.215
┌─────────────────────────────────────────────────────────────────────────┐
│ д в д в з г │
│ПЛИТ ШУФЬ ГЕТЬ САЛ ПЁФЬ ГУЦ БУС НЯНЬ РЮК ПЫМЬ │
│ │
│ г д б сч ю г з г │
│ВЫК ВАСТ ВЁТЬ НЁП ЩУР ТРЫХ ШТЕК МЕС СВЕМ ЛОК │
│ │
│ ь б э жь б │
│ЛУЩ ЗАЛЬ МЁПЬ ТУЛ ШТУМ ЦЕР МЯХ КРОШ СЮПЬ НЮЦ │
│ │
│ ь в з д б │
│ПУЩ НИФ ПАНЬ ДАМ НУС БЁНЬ ТЁТ ДЯЛ НУТ ТЫП │
│ │
│ з б ь д │
│ДВАС ДЫЛЬ РАПЬ ЗЫХ БОН БУЛ ТРУМ КАЧ РЕТ ТРЯТ │
└─────────────────────────────────────────────────────────────────────────┘
Таблица Б.216
┌─────────────────────────────────────────────────────────────────────────┐
│ б жь ь б г д з │
│ФЕП ТОНЬ ГАШ НАЧ ЖУНЬ БЮПЬ ПЛИК ЁТЬ ДЕХ ГИС │
│ │
│ ь ь я д в б │
│ФУЩ ЯХ ГУЧ ЧАЛ ДВЕТЬ КИФ СЭТ НУН ВОПЬ ВЫХ │
│ │
│ в д ь в эб сч яб │
│ШТОХ ТЯЦ ФСОТЬ ПЁРЬ ЧТЕЙ ДОЛЬ ЛАЧ ДОФ ШЕП ЩАП │
│ │
│ з д д д эз г │
│КРИС БЕТ РЮЙ ЗЕМЬ ПЫР СКЕТ ЛЯЙ ДРЕТ ЦЕСЬ ВЁК │
│ │
│ г з ид з │
│ЧИХ БЫРЬ ЧТУК ЗНУС ПЕЗНЬ ФЫМ ЦЫТ МИСЬ БАХ СТЯМ │
└─────────────────────────────────────────────────────────────────────────┘
Таблица Б.217
┌─────────────────────────────────────────────────────────────────────────┐
│ б од жь з д в │
│КУПЬ РЫХ ШЁТ ШУРЬ ВЯШ РЮН БОСЬ НОТ БЮФЬ ВАЗНЬ│
│ │
│ д б ь ыб с б еб │
│ГОТЬ НЯПЬ НЮЩ ЖИП ХИНЬ ЗДАН РАНЬ ПРУХ ПОПЬ ТЭП │
│ │
│ ь б ь д б │
│МОНЬ МЮЩ ПЫЙ МУРЬ ЗАПЬ ЛЁЛЬ ЗИНЬ СУЧ ВУТЬ РЕП │
│ │
│ г д б б б г в │
│ПОК ДЛЮК ТЕТЬ ТАПЬ ТРИЦ МЫП ПРАЙ ВАП ТРЫК ФСЕЛ │
│ │
│ ь в б в д │
│ВЫМ РЫМ ЛЁЧ ДЕХ НЯЦ ФСЕП КОФ НЁР ЛЕТ БУН │
└─────────────────────────────────────────────────────────────────────────┘
Таблица Б.218
┌─────────────────────────────────────────────────────────────────────────┐
│ жь б з г │
│ПЁШ ЧЕМЬ ЕНЬ БЕП ЗЫС ТРЯХ ГЕЛЬ ТРАХ ТИН ШТИК │
│ │
│ б б │
│ПЯН СЮФ ТЁПЬ НЕХ ГАП ЗНАМ ВИЦ ШТАР ХОМ НИХ │
│ │
│ з б жь в ь │
│ЛОХ СИРЬ СЫСЬ НИН НАП СТУШ ТРОФ ТИЦ ВАЧ ПРЕЙ │
│ │
│с г жь сч з з д з б │
│ЗДЕК ДЫШ ЛОР ЩИС ЛУСЬ РУТЬ ВУЛЬ ТРЯСЬ ЦАЦ МАПЬ │
│ │
│ з з сч о ь г │
│САС ЗЯНЬ ПЛОС СОЙ ЩЁЧ ХУХ СЭК РИМЬ ДАХ ШАНЬ │
└─────────────────────────────────────────────────────────────────────────┘
Таблица Б.219
┌─────────────────────────────────────────────────────────────────────────┐
│ б ы д │
│ГЕХ ЛИП ШИХ ПЮХ КЕРЬ МЯХ ХУН КАС ДЯТЬ ПУСТ │
│ │
│ д ёб г ь б │
│СЫНТ ШОП ПРОР ЧТЭК КРОЧ ЯМ БАН СЮЦ ПРЯН ЮПЬ │
│ │
│ б в з з жь │
│ТИЗНЬ ХЕПЬ СВАМ ДЁФЬ ХАСЬ ПОМЬ ПЕСЬ СИШ ЗЭН ЕР │
│ │
│ жь ь з б │
│БУШ ЛЮМ СОЙ ЗУМ ВИЧ НЫС НЭР РУМ ГУП ЛЯЦ │
│ │
│ юв д д ы жь ь б │
│ЧУФЬ ДЕНТ СЯТЬ ШИМ ДЛАХ РЮХ ТРЯШ НЕНЬ ПАЩ ПАПЬ │
└─────────────────────────────────────────────────────────────────────────┘
Таблица Б.220
┌─────────────────────────────────────────────────────────────────────────┐
│ д з э │
│РЁЛЬ РОРЬ ДУР ЦЫМ ФАЛ ЗОЦ ЗОН ФИТЬ ЗАСЬ ЖЕЦ │
│ │
│ б в д з ь │
│СТАП РЕФ ФУХ МИЛЬ ДЕН ЛЫТ БЮС ЗУЧ КАРЬ ЗЁН │
│ │
│ в ь д з б з │
│СТОХ СОХ НУФЬ ТУЩ МЁТЬ РЁСЬ ДЕП ЧТАЛЬ ТЫС КАЛЬ │
│ │
│ жь эз сч ё жь в │
│ПРИЙ ДЯМ ЖАН ЧЁШ БЁРЬ ШЕС ЩЕР ЖОЙ ТАШ БУФЬ │
│ │
│ б г г ё в в │
│ДЮП РАЦ ХОК СКАК ШОМ КИФ ЛУФЬ ТУНЬ СВОХ НЯСТЬ│
└─────────────────────────────────────────────────────────────────────────┘
Таблица Б.221
┌─────────────────────────────────────────────────────────────────────────┐
│ в б в б г │
│ПЁЛЬ ГУФ НЯНЬ РИП ТРЮФ НЁП СТЕК ДРЕН СТЫХ БАНЬ │
│ │
│ з з ь жь жь д в │
│РЁЛ ЦЫСЬ ЗНЁС ЯЧ ПРЕШ ПЯШ ДЯХ ВАСТЬ ЗУТЬ ЧТУФЬ│
│ │
│ з ь д б в д │
│МЫМ ЛАСЬ МЁЧ ЗУМ ПАТЬ ВАП СТОР ДАФ НУХ РЕТЬ │
│ │
│ юз д ь о жь з б │
│ЧУСЬ ПРОТ БЕЛ ХУЩ ШЁЛ ГЕШ ВЁСЬ ПАМ СЯП ТЁР │
│ │
│ з д жь жь д │
│СТУСЬ ДАРЬ ФЕХ ЕЦ ПРЮЙ СОНТ РЯШ ШТИШ СЫЙ ПЯНТ │
└─────────────────────────────────────────────────────────────────────────┘
Таблица Б.222
┌─────────────────────────────────────────────────────────────────────────┐
│ б б ё │
│ЗЫЛЬ СКЕЛ ДЛЕП РАПЬ БЫЙ МИЦ СЭТЬ ХОМЬ ТУСТЬ ШОР │
│ │
│ ь в з жь з з │
│ТИЧ РОР СКУФ ДИСЬ БАШ БЫС ЧТИСЬ МОЗ ХАЛЬ ВЯР │
│ │
│ жь г д ь ы │
│ТОХ ВАШ ПРАЛЬ ЦАК РЯТЬ ЛЯМЬ ПУЩ ШАРЬ ЖИМ ФЫЛЬ │
│ │
│ з ь б д жь д сч ю │
│НЮЦ РЁСЬ БЫЧ ДИРЬ ЛАП ВОМ ЗАТЬ БЯШ ДОТЬ ЩУЛЬ │
│ │
│ в з в жь з │
│ПЛЕФ ГИСЬ СВАЛ НИЛЬ ВИН ЕМ ДВИХ МАФ ПРУШ МЯСЬ │
└─────────────────────────────────────────────────────────────────────────┘
Таблица Б.223
┌─────────────────────────────────────────────────────────────────────────┐
│ ь ё б сч б │
│ЛЫЙ КАЧ НЕМЬ ЖОЦ ЧЁП ЩИЛ СОП ЛОЛ ПЫР ДЁЛ │
│ │
│ з в д з г д │
│ВЫР ЁС ПУЙ БУХ ФСОТ ЮН ТРУСЬ ФАК ПИТ ЗАН │
│ │
│ в ь в жь жь │
│ТОЦ ВЕЛЬ ЛЕФЬ ТЭР ТЯЩ НИФ ЗОР ФУЦ СОШ РУШ │
│ │
│ з б ё д д в сч │
│КАХ ЧЁН СЮСЬ ДЯП ШОХ НОТЬ КЕТ ПЕМ КАФ ЩАХ │
│ │
│ б в б в з з жь │
│МУЦ ТЫЛЬ НУП БЮР БОФ БЯПЬ ДЮФ ПОС ГОСЬ ГАШ │
└─────────────────────────────────────────────────────────────────────────┘
Таблица Б.224
┌─────────────────────────────────────────────────────────────────────────┐
│ з з д з б в б │
│ТРАСЬ ХЕСЬ САТЬ НЕС ТИСТ ЯП МЕФ РЮН ВОЦ ШАПЬ │
│ │
│ эд з д б б ь │
│ЧТЫНЬ ШЕТ ШТЫСЬ НЯТЬ ТАФ СЁР ХОП ТРАПЬ ШТАЦ НАЩ │
│ │
│ д я з б б д з │
│МОТЬ ЧАМЬ СВОС ЗЮП КИР ДУПЬ ЧТАТЬ КУЗНЬ ТРЯЙ ШУСЬ │
│ │
│ д ы ь│
│НЫТ НУЗНЬ ЛЮЛ МЯН ДЫН ЛЁНЬ БЁЙ ШИЦ СУР ТРЕЧ │
│ │
│ д з д д г д │
│ЧИТЬ ДЕС ТЕТ КРУЙ ХАТ ЦАЛЬ ЗИК ХИР ВАТЬ ПЛАХ │
└─────────────────────────────────────────────────────────────────────────┘
Таблица Б.225
┌─────────────────────────────────────────────────────────────────────────┐
│ д г ы в в г в г │
│РУТ ТАРЬ ДЫХ ЦОК ШИЙ БЕМЬ ВОФ ФСЁК СЕФЬ РИК │
│ │
│ д б з д │
│ЗНАТ ТУП НЭС ЗЮХ КУТ КРАЛ СЫТЬ ЛИРЬ РУМ ГУН │
│ │
│ г б ь с д жь з в б │
│ЗОК ГАП ЛИЩ ЗДЯТЬ РЫЛЬ ФУШ ПРЯСЬ ФСЯП ТЮЦ МЮР │
│ │
│ д з жь д жь сч г жь с г │
│ЖУТ ЖАС ЛЁШ ВУТЬ ГЕНЬ ДЛАЙ ЗЕШ ЩЕК РАШ ЗДОК │
│ │
│ з жь эб │
│ЛУН НАР СИМ КИСЬ ФИМ СОШ ТРЁН ПИН ТАЙ ЖЕПЬ │
└─────────────────────────────────────────────────────────────────────────┘
Таблица Б.226
┌─────────────────────────────────────────────────────────────────────────┐
│ б жь жь сч юз в в в ь │
│ДОПЬ ЛЁШ БАШ ЩУСЬ ЖУФ ШУФ НЯФ ПРЁН ДОШ СКИН │
│ │
│ в в ь жь сч юг │
│ПЯЦ ТРАФ ПОЛЬ БЕФЬ ШУЙ РЮЙ ПЫЧ ВЁШ ТУЛ ЩУК │
│ │
│ б б д б │
│ЦУН СУМ МАЛЬ ДЯПЬ ШУПЬ РОЛ ДИТ СВОР ЧТЫРЬ ВУП │
│ │
│ э ь з │
│ТЮЛ ШЕЛЬ ПРУЦ ТУЧ МЁЙ ЛЯЛ ТЫР БЯМЬ ЗОНЬ ДЛИС │
│ │
│ з жь з жь б д │
│ФОНЬ ТРЕС ДИШ СТАС ШТОМ НЮШ ГЕП ЧИЛЬ РЕТ ЗЯРЬ │
└─────────────────────────────────────────────────────────────────────────┘
Таблица Б.227
┌─────────────────────────────────────────────────────────────────────────┐
│ ёв д б в │
│ЧОФЬ СОТ СКАФ КИЛ ЧТУНЬ ТЭК СЮМ ФАП ДИФЬ ДЁСТ │
│ │
│ д з жь д │
│ШТЕЙ ЛАН ВЁНТ ПИНТ БУНЬ РЕЛ ГАСЬ ТРИШ ПИРЬ ВУТ │
│ │
│ з ь в б ь я │
│ШТАС МИЧ ТЫХ ТЁН БОФ БАП НЫЧ РАРЬ ТЯМ ЧАХ │
│ │
│ б в з в │
│КАН ХОПЬ ЮФЬ БЫЙ СТЫЙ РЮС ХАМЬ ПОЦ ТРЫЛ ФСИЙ │
│ │
│ г д б ё │
│РЁРЬ ВОМЬ СВЕЛ ДУК БУХ ТАХ СИНТ ЧТАП ДВАН ЖОР │
└─────────────────────────────────────────────────────────────────────────┘
Таблица Б.228
┌─────────────────────────────────────────────────────────────────────────┐
│ г з з д │
│ ВЯК КРОН БЫСЬ КОС КУТ ЧТЕР РЫТ ЗЭЛ ЖАЙ МЯР │
│ │
│ жь в в д д з жь г │
│ ГЕШ ДОФЬ ЗЫФЬ ГИТЬ ПЕЦ НЫТ СЁЦ ПУСЬ ЧЕШ ПАК │
│ │
│ д г жь ы в │
│ КРЕТ МУК ВЕР СЮЛЬ ПУХ РЁШ ЦУЙ ФЫРЬ ШИН ВЫФ │
│ │
│сч ю д ь г б в │
│ ЩУН НЕТЬ СЯЧ ТРЮР ЗОК ХОНЬ ЗЕП ПЁН БЯМ ВИФ │
│ │
│ д ь д юг ь б │
│ МЮТЬ ХАЩ ДАЦ НИЗНЬ ДРОТ ЧУК ШАЦ МЁЩ ЛАМ МЯП │
└─────────────────────────────────────────────────────────────────────────┘
Таблица Б.229
┌─────────────────────────────────────────────────────────────────────────┐
│ в б в б │
│НОФ ЗОЙ НАРЬ БЯНЬ РИП ЯРЬ РЫЛ ЗИР СУФЬ КАПЬ │
│ │
│ з в ёб э ь г д з ь │
│БИХ ПЛЕС ФСАН ШОПЬ ШЕЧ ПРЮЛ СТИК ТЫНТ БЁСЬ САЧ │
│ │
│ ь д д з │
│ТАН ЛЯЧ ЛЫЛЬ РУРЬ ГУТ ТРОТЬ СЫНЬ ЁЛ МОС ХИЗНЬ│
│ │
│ з г в з б з в г │
│ГАЙ ЛИС ФИК КОФЬ ТИСЬ ЛЁР ЛОПЬ ЕСЬ ПУФ ГУК │
│ │
│ ь б г ь с г в б │
│КЕЩ СЕП НЕМ ПРАК СТОЧ ВАЦ ЗДИК ВЫЛЬ ЛАФ РОПЬ │
└─────────────────────────────────────────────────────────────────────────┘
Таблица Б.230
┌─────────────────────────────────────────────────────────────────────────┐
│ ь эз в д в з з │
│ТОРЬ ДЁЩ ЦЕС ФСЮХ НЁЛЬ ЦУТЬ КАФ ДАЛ ХУСЬ ХИС │
│ │
│ д в жь з │
│ДЛАТ ВАМЬ РИФЬ ФЕШ ГОМЬ ЗНОН СОМЬ ЗАР НЕСЬ НАЙ │
│ │
│ ь жь д в с д д д з │
│РЯЧ ПЛАШ ТРЯТЬ ПРЯФ НЯН ЗДАТ ЛЁТЬ ЗЁТ ШАСЬ ЁХ │
│ │
│ б сч о г эб б в ь │
│ЗУЛ САПЬ ЩЁР ЛУЛ НИК ЖЕП НУП ФУФ ДЮЧ ДЁМЬ │
│ │
│ г б г ы з │
│ХЕК ЮХ ЗАП ЛЮЛЬ ЗНЕХ МАЦ ПЮК ЖИМЬ ТЮРЬ ПРОС │
└─────────────────────────────────────────────────────────────────────────┘
Таблица Б.231
┌─────────────────────────────────────────────────────────────────────────┐
│ з ы сч оз жь д г │
│САСЬ ШИМЬ ЩЁСЬ БЁШ ТРЯЛ НЫЙ СОНЬ ФЕТЬ ЛУМ ПЁК │
│ │
│ д э жь жь ь ёд │
│ХАТ ЖУЛЬ ЦЕМ ЕШ РЯШ ТАЙ ДРОХ ГИЧ РИНЬ ШОТЬ │
│ │
│ в в в ь │
│ЛАР ЛОН БЫФ РЯФЬ КОСТ ДАФЬ СУЩ ВЕХ МАН ЛЫЛ │
│ │
│ з в в з ю в д │
│ЦЫС ВЕФЬ ТЕЦ ФСИЛ БЫМ МУМ ДИСЬ ЧУНЬ ХИФЬ ЖАТ │
│ │
│ ь жь з жь │
│ЗУН НЕЦ ПОМЬ ЗОРЬ НАЩ ВАХ ПРАШ ЗНОС БОШ НЯЙ │
└─────────────────────────────────────────────────────────────────────────┘
Таблица Б.232
┌─────────────────────────────────────────────────────────────────────────┐
│ г з г ь │
│ЧТАНЬ ПРИК КРУЦ ДВАХ ВАЛЬ ТОХ КЕС БЮК ГАЩ ЦАХ │
│ │
│ д в ь сч юз д │
│БУР ПЛАЙ РЁТ ПУФЬ ВЁЛ ТИЛ БУЧ ЩУС СЕЦ ТИНТ │
│ │
│ б с д з сч г з в │
│КОП МАЗ ЛИХ ТРОТ ШТАСЬ ЮР ЩЕН ФУК СЕС СИФЬ │
│ │
│ з эз в сч д │
│НУСЬ ЗАНЬ КУР ШТИХ ВУЦ ЖЕСЬ ТРАЦ ДОФ ПРУН ЩИТЬ │
│ │
│ ы д б б в б │
│ШИХ МИТЬ ХОН ДЫНЬ ДАПЬ МЯЛЬ НОП ЧЕФЬ ПУР ЧИПЬ │
└─────────────────────────────────────────────────────────────────────────┘
Таблица Б.233
┌─────────────────────────────────────────────────────────────────────────┐
│ з б жь сч яз з я з │
│СТАСЬ НЕП ПЮШ МЕНЬ РУЛ ЩАС ВЫЦ МЁС ЧАРЬ ПОСЬ │
│ │
│ ь ь з в жь │
│ПЁЧ ЛЮЦ СОЧ САЙ ЛЯС ЛИМ ТАФЬ ШУШ ТЫЛЬ РУРЬ │
│ │
│ б г эз ь ь г ь │
│ЗИП ЗНИК НАН СТЕХ ШЕС РЫЛ ВОЧ ХУЧ ЛЕК ГУЧ │
│ │
│ з б б в │
│СВЯС ГУХ ТРЁП ТРЫП ЕНЬ ЗАФЬ НОЗНЬ ФОХ ЛОЙ СКИЛ │
│ │
│ ёб б д з │
│ТАРЬ ЯЛ ПРЯМЬ ПЛЕХ ШОПЬ ШТЫМ ТУПЬ ТОЦ СВОТЬ РЮС │
└─────────────────────────────────────────────────────────────────────────┘
Таблица Б.234
┌─────────────────────────────────────────────────────────────────────────┐
│ б ь ь д ь б в │
│ЗЯП БЯЧ ЗОЧ КАЛЬ ДИНТ ХИЩ РОЛ СУПЬ ЁФ ДЯР │
│ │
│ в жь ь в б │
│БЕЛ БЮНЬ МЮФЬ КАХ МАШ НЯЧ ЗУФ БУП ЧТУН СКОХ │
│ │
│ б б жь с ь д в │
│КУС БЯП ГУП РЕШ ЗДАЦ ТЁЧ ЧТЫТЬ ПЁР ФСАЛ НИНЬ │
│ │
│ б жь г б з д │
│ПЯМЬ СТАПЬ ЗЫНЬ ЦОШ ЗЁР ХАК ТЯП ПЫС ДЛЕТЬ СТЫЛ │
│ │
│ в в в з д б д │
│ПАЛ ДЁН ФИР НАФЬ ЛЁФ ФСЯС КИТЬ ГАПЬ ВЯЧ РЫТ │
└─────────────────────────────────────────────────────────────────────────┘
Таблица Б.235
┌─────────────────────────────────────────────────────────────────────────┐
│ б в з жь сч оз жь │
│ЛЕЙ РОПЬ БОЛ КОФ ДЛАСЬ ЗЕН КРАШ МЫХ ЩЁС ФАШ │
│ │
│ ь з ь в д │
│НИЧ ТЮН ГИЛЬ ПРЕХ САСТЬ ГЕС ТРЕЩ ТРЁФ ПРЫТ ДИХ │
│ │
│с д ё ь в д з жь │
│ЗДИТЬ ШАНЬ ЧОЧ РАРЬ МЯФ НЁРЬ ДЮЦ ДЕТЬ СЁСЬ ФЫШ │
│ │
│ д д ыв ь ь в б д б │
│РИТ НЯТЬ ЖИФЬ ЖАЧ РЮЧ ВУФЬ ХОП ДАРЬ СЫТ БАПЬ │
│ │
│ г д жь д з з │
│ДЕК ВОНТ ТЭК ПУЛ РЕТЬ ЯШ ПЮНТ ДЫС ЧТЕС СИР │
└─────────────────────────────────────────────────────────────────────────┘
Таблица Б.236
┌─────────────────────────────────────────────────────────────────────────┐
│ жь ь б │
│ЦЫШ ЗДОЙ ГЕЛ ПЕР ЦУРЬ ЗОМЬ ЕЧ ЕН ПРЫП ЛИЛЬ │
│ │
│ в жь з б в │
│ВЕФ ЗУЦ НАН ЗЁШ НИСЬ ВЕМ ТЁП СВЫМ ПЫМ ТАФ │
│ │
│ д б сч ь сч я з д │
│МЫЙ ТРОЛЬ ШАМ РЫЙ ДАНТ ПЫПЬ ЩЕЧ ЩАН КАС САТЬ │
│ │
│ б в ь в д жь б │
│РЁП ФСЯН РЁЧ ПЮН ХЕЛЬ МЯФЬ ЛИТ ВЭШ ВЯНЬ ШТЕП │
│ │
│ д э г э з │
│ТАР НЕЛЬ ТЕТЬ ЖЕХ СТУН РЫК ЦЕЛ ХУЦ ВАСЬ СКАЛ │
└─────────────────────────────────────────────────────────────────────────┘
Таблица Б.237
┌─────────────────────────────────────────────────────────────────────────┐
│ ь в д б в │
│РУЧ ЛАН ТЯФЬ ДЮХ ПЯТ ЛУЛЬ СЁН ДОП ФОФ БЫЦ │
│ │
│ з │
│РИЛ ПЛАСЬ ДОЦ ВОЦ ТРЯЛЬ ТРЁХ ЖУМ ФУМ НУМ ГОР │
│ │
│ в д з г │
│ЛЕЦ ЗНОР ТОФ РИТЬ КАР ЯМ ПРЕЛ МЁСЬ РЫН ПЕК │
│ │
│ з з з б г │
│ДИС ПИХ ДЯР БУСЬ ЗУЙ ЧТЫС КУНЬ СЫП БУЛЬ ПРУК │
│ │
│ жь б д в в д з сч о │
│МОШ ЛЯП МИТ МАФЬ НАФЬ ЛЮРЬ СКЕТЬ МЮСЬ РАН ЩЁЛ │
└─────────────────────────────────────────────────────────────────────────┘
Таблица Б.238
┌─────────────────────────────────────────────────────────────────────────┐
│ в г ь д б д з г │
│ЦАФ НЕН ДЛИК ДЯЩ НЮТ НЫПЬ ФЕТ ХОМ ЛЁСЬ ДАК │
│ │
│ б з с б ыб │
│ШАН ЧТЕП ГУС МИЗ СТЫР ХЕСТЬ СИП ЖИПЬ НЁМ ЛЫРЬ │
│ │
│ д в з в г г │
│БИТ ШОСЬ ФСИМ СТЕСЬ БАМ СЫЙ ЗЯФ ПРЯК МЫК ЧУРЬ │
│ │
│ ь б сч д │
│ЛАЦ КЕЙ ГАХ ПЛИН БЫНЬ СОЧ МЕПЬ ТАЗНЬ ЩЕТ ФЫЦ │
│ │
│ з з в в д │
│ТЫМ СОНЬ ДЭС ВЯС ЧТУР ГАЛЬ НЯФЬ ВОФЬ НИЙ ПЕНТ │
└─────────────────────────────────────────────────────────────────────────┘
Таблица Б.239
┌─────────────────────────────────────────────────────────────────────────┐
│ ыв жь з ь з з д │
│ВИСТЬ ШИФ КОШ ЗУР НУСТ ТРЁСЬ ВУЩ БОСЬ ЛУС ДВЯТ │
│ │
│ з д г д г │
│СЕС ДИЦ ПРИН ФИРЬ ЗНИТ РЕК СВАТЬ САЙ ЗАК РИХ │
│ │
│в в г в б ь б б │
│ФСУЛ СЯФЬ РУК ДЫФЬ ГОП БИЛЬ НЫЧ НОПЬ НЯМЬ ЮПЬ │
│ │
│ ё ь б ь з │
│ШОНЬ СУР ШУР ФАХ ЗЫЩ ВИПЬ ЗАЧ ПАМЬ РОС ЛЕЛ │
│ │
│ з в з с з ё │
│ТУСЬ ТЫФЬ ТРИЛ ТРЫС ШТЫЛ ДЁНЬ КРЕЛ ЗДЯН ЁСЬ ЧОХ │
└─────────────────────────────────────────────────────────────────────────┘
Таблица Б.240
┌─────────────────────────────────────────────────────────────────────────┐
│ эб о ь д в │
│СТАХ ТРУЙ ЖАМЬ ШЕПЬ ШЁМЬ СЮРЬ ЖАЩ РЮР НУТ ПРАФ │
│ │
│ д ь д б г г з │
│БАТ КЕЛ ТОЩ КРОТЬ БЕПЬ ТАМЬ ДЛОК ХОК ХИСЬ ЯЦ │
│ │
│ з з з ь жь д д │
│ЗЕС ВОМ ДРАС ЧИСЬ ТЮР РЯЧ ДАШ СЯНТ ХУМ ТОТЬ │
│ │
│ д б ы в яб в │
│ЗИТЬ ЧТАПЬ ХАЛЬ ШИЛЬ ТЕР ДЕЛ ПАФ ВЫРЬ ЧАП ГЕФЬ │
│ │
│ з в з д з │
│ПУМ ЧЕР ГИР ШТЕС РАФЬ БОСЬ ПОТЬ КЭС БЁН МЯЛ │
└─────────────────────────────────────────────────────────────────────────┘
Таблица Б.241
┌─────────────────────────────────────────────────────────────────────────┐
│ в и в г эд б э жь │
│ЛЫФ ЦЫР ТИМЬ ЖАФЬ ЦУК КЕМ ЖЕТ НЕПЬ ДЕШ НОХ │
│ │
│ жь в д д │
│ЯЛ ДЕШ БАФЬ МЁРЬ МЫН РАЛЬ ЗНУТЬ БЯТЬ БОМЬ ГАР │
│ │
│ ёз д б з г з б з │
│ШОС ДУНТ ФУЛЬ БУП ТРИСЬ ПЯК ЛЮС СТЫП ТЫСЬ ТРЮЙ │
│ │
│ з в д в │
│МАС ПЛЁХ СУН БОРЬ КОР МЯФЬ ЗУМ БУТЬ ЛЕХ ЧТЫФ │
│ │
│ о г жь в в │
│СИТЬ ЧЁЙ РОХ НЁК ШТАЛ КИШ СЮФЬ ЧТАН КАФ ВАХ │
└─────────────────────────────────────────────────────────────────────────┘
Таблица Б.242
┌─────────────────────────────────────────────────────────────────────────┐
│ з б з з б │
│ПЕН СКЕР КАСЬ ЗНАП ЧТЕСЬ ДОСЬ БЫР ХАЦ ТУП ПУН │
│ │
│ эб з в б г в │
│ШЕПЬ ПЛОСЬ СОФЬ СКУН РЮП САРЬ БЁЛ ЧИЦ ПОК СТАФЬ│
│ │
│ з б з в б │
│ХОЛ ШТУСЬ ДЫП ГУНЬ БЕН ДУН ТРАС ФСЯЙ ВЁН ХИПЬ │
│ │
│ жь г б ь ь д г б │
│НУШ НАК ГЕЦ ПРИП БОЩ СВАЧ РЁМ РЕТ РЮК ТЕПЬ │
│ │
│ д з │
│СТУМ МЯЛЬ БЮМЬ МИТ ЛАХ НЕХ ШУЛ ВУСЬ НУР ГЕНЬ │
└─────────────────────────────────────────────────────────────────────────┘
Таблица Б.243
┌─────────────────────────────────────────────────────────────────────────┐
│ д сч жь д д │
│ГОЙ ТЫЙ СУЦ ПРЫЙ ЛОТЬ ЩИШ ТЁТ ЗЭМ ДЛЮТ МУХ │
│ │
│ д б з с д з в б │
│НЯРЬ СЁТЬ ЗАП ПОСЬ ЗДОТ ГИСЬ ЛЕЛЬ ДЯФ ДАП ДЁЛЬ │
│ │
│ ыв ь з сч я ь │
│ЖИФ ДЯН ВЕЧ ЗЁС ДЫРЬ ФАЦ ВЫЛ ЩАНЬ ТОЗНЬ БЫЩ │
│ │
│ з в в з з │
│ЗЕНЬ ЗЫР НЁСЬ ТЁХ ЗУФЬ РУФ ТРЯНЬ ТРЕЛ СЕС ДЮС │
│ │
│ ь жь сч яв з д з д ь │
│СЮЧ ПИШ ЩАФ ПОСЬ ТОЙ ЛИТ СЫС НИСТЬ ШАТЬ ФОЧ │
└─────────────────────────────────────────────────────────────────────────┘
Таблица Б.244
┌─────────────────────────────────────────────────────────────────────────┐
│ ь ь б з з в я ь │
│КРУХ КРАЧ ТАЩ ЛЯП ЛУС ХИСТ ТЯС ГОФЬ ЧАЩ ШАЙ │
│ │
│ жь д з э г б │
│ШАШ РЁПЬ СТЕТ РЕЦ НЭС ШЕН ПЁСТ ЖАК ПЕРЬ ЦОП │
│ │
│ б ь д о жь │
│ДЛОП ФЕЧ ГУХ ПРЯЙ ХУРЬ ШТОТ ХАР ТАР ЖЁШ ВИЗНЬ│
│ │
│ д ь г в б │
│ДАТ РАЧ ЗАК ХОФЬ ЛУП СЯСТ БИЙ ЧТУМ МОСТЬ ДРОЙ │
│ │
│ в г жь г с г │
│ВЫФ РИН БЯК ПРАН ЯХ РУЙ ДЕРЬ КАШ НОК ЗДЯК │
└─────────────────────────────────────────────────────────────────────────┘
Таблица Б.245
┌─────────────────────────────────────────────────────────────────────────┐
│ з сч иб з з │
│НАСЬ КАРЬ ЩИМ МЮНЬ ТАН ШУХ ЛЁРЬ ШЫПЬ ЗОС ЕСЬ │
│ │
│ б жь ь б жь д │
│МЕП ВЕЦ ФИЛ ЗОШ НИЧ ПРЕМ ЗИПЬ ВИШ ЗУНЬ ДИТ │
│ │
│ в г жь ь │
│ЗЯР ПУФЬ НЯК СВИНЬ ВАМ РЫШ ПЫХ ФЫЙ ЁЛЬ САЩ │
│ │
│ в б з г в д в в в │
│ПРОФ ВОМЬ НИП ТЫСЬ ДВЕК СЁМЬ ТРОЛ ФСИТ ФСАФ РЫФЬ │
│ │
│ в о д ю ь│
│РЯФ СЭМ ПЁЛ ЁЦ ЧЁМ ПАЛЬ ХИТ ЧУХ ЛИЛ ТРУЧ │
└─────────────────────────────────────────────────────────────────────────┘
Таблица Б.246
┌─────────────────────────────────────────────────────────────────────────┐
│ д з жь жь г э жь│
│СЫТЬ ГАСЬ ТРЁШ ШАМЬ БОШ РИХ НЯЦ СВОК РАР ЖЕШ │
│ │
│ б ь б д з │
│ЧТАРЬ ТИН ТРУПЬ ПУЗНЬ ТОЧ ЖУН ЗОПЬ СТЕМ ХУТ ТРЯС │
│ │
│ в в в э жь │
│ЧИРЬ БОМ БЁФ КУФЬ ЯНЬ ХАФЬ ТРОЙ ШЕЙ МЁЛ ЛЯШ │
│ │
│ в б г з │
│ШТАН ДАЦ САФ КОЙ ЛЁМЬ РЁМ ПРЕП ВОК БЯР НУСЬ │
│ │
│ з в б ь │
│ПЛАМ ЗИХ ПРЫМ ЗНАСЬ ВИФЬ ФОРЬ ТУПЬ ЦОЛ ДОХ НЕЧ │
└─────────────────────────────────────────────────────────────────────────┘
Таблица Б.247
┌─────────────────────────────────────────────────────────────────────────┐
│ сч в в б сч в │
│СЁЛЬ ЩЕЙ ФСИФ ДОНЬ ЧТИХ ПУРЬ НЁПЬ КОЦ ЩИФ ШТОХ │
│ │
│ жь в д з б з з │
│ТЁШ ПРИХ ДЯФЬ ДЛЁТ НИХ ШАС БУП БЯРЬ ПЮС МОС │
│ │
│ з б б в б │
│МАХ МИЙ ГЕСЬ ШУП ВУХ РЯП СУРЬ РЕФ ХАПЬ БЭЛ │
│ │
│ эд д з з б б в ь ь ь │
│ШЕТЬ НАТЬ ДЮСЬ ТАСЬ СОП МЯП КЕФ ЛЁЧ ПАЧ РОЧ │
│ │
│ з ыз в д б д │
│РЮСЬ ЖИСЬ ХИФ КАМ СКУТ ХЕНЬ СТУР ЕХ НЫП ВЯНТ │
└─────────────────────────────────────────────────────────────────────────┘
Таблица Б.248
┌─────────────────────────────────────────────────────────────────────────┐
│ яг в ь ь г жь │
│ ЧАК ЛУФ ДЕЩ ЦАЙ ВАРЬ ЛАЩ ЗЭК ТРИХ СЮЛ МИШ │
│ │
│сч яз г в з с д с б │
│ ЩАСЬ ВУК РОФЬ КРАС СКЕН ПЭР ЗДОТЬ ЗДЯЙ ТОСТЬ ПРАПЬ│
│ │
│ б б в в ь в д б д │
│ НОП ТЯРЬ ГЕПЬ ЗЕФЬ КИФ ДЕР ФИЩ ФСАТЬ ВЁП НЕНТ │
│ │
│ б б в д д │
│ НУЛ ЗОЛЬ ТРЕП ПЯР МАЛ ЦЫЛ НЯПЬ НЮФ РЁТЬ ШТУТЬ│
│ │
│ г г б г б ь ь │
│ ЖАНЬ СОМЬ ГУК ТЫК СИП СЕК РОП ШУЩ МЮЦ ПЫЩ │
└─────────────────────────────────────────────────────────────────────────┘
Таблица Б.249
┌─────────────────────────────────────────────────────────────────────────┐
│ сч з ё з в д │
│КЕЗНЬ ЩЕМ ВЯЙ СЕСТ ВОСЬ ШОЛЬ ЧТУС ПОФ ВЕТ ДРАЛ │
│ │
│ з в д б д д │
│ГАЙ БАРЬ ХОС ГИФ ЗНУТ ЛИПЬ БОТ ЮМ СУТ ЗАХ │
│ │
│ в еб в жь сч о з ь г │
│РЫФ ДОЙ ЗЭП ДЯНЬ ФСЮШ ЩЁЦ РУС ЗЯЧ ФЫК ЁР │
│ │
│ ь в з ь │
│ГОМЬ ПИЩ ТАЛ МУЙ ЗЫФ ПЫХ ДУСЬ ВЫЦ ЯЩ ФЕЙ │
│ │
│ д б д з д ь о жь │
│ТРАТЬ ПАП ЛЕТ ДИС ЧЕЛЬ ГУТ БЕЧ ЧЁМЬ ВЫН НЕШ │
└─────────────────────────────────────────────────────────────────────────┘
Таблица Б.250
┌─────────────────────────────────────────────────────────────────────────┐
│ з г ь в д д │
│ФУНЬ ЧТЫСЬ ЗЮК БУЧ ДЫФ ЛУТЬ ПЁЙ ЦОР ПЛЁТ РЕЛЬ │
│ │
│ г б д в д д │
│СЫК ПЫП ФАТЬ ТЮФ САР РЯН ЧИЙ ЕЛ ПЕТ ПРЮТЬ│
│ │
│ д д з г з д з │
│ХАТЬ ПРАТ СТЫСЬ ТЁК ЛЯР ЗУС ШУТЬ ДВАР КИР ЛЫСЬ │
│ │
│ в з з з ь │
│СТОНЬ БЫФЬ ДЛУС МЯС НИН МЭС ДЕЙ РЫЧ КРУН ДОЗНЬ│
│ │
│ з ёг б в д в │
│ЛЮН СЮС ЖОК ТОП ЛОФЬ БЯМЬ СВЕХ НАМ НАТ ТОФЬ │
└─────────────────────────────────────────────────────────────────────────┘
Таблица Б.251
┌─────────────────────────────────────────────────────────────────────────┐
│ жь г з б ь б з │
│МЯШ ДЕК СУХ ДОС БЫП ПУЧ НАЛЬ ЕР ДЛАП ЗНАС │
│ │
│ з в д д г д │
│РЕН ТАР НЯС ФСЫТ ТРАЙ БЕМЬ КОНТ ДЫК КРАТ ГЕЙ │
│ │
│ б ыв б ь сч ог ь │
│СИЛ ЛАПЬ ШИФЬ ФОП ТРЮРЬ ПРУЧ ЩЁК НЯЛ ГИЩ ТУЙ │
│ │
│ о ю ь я з д в │
│ШЁНЬ БУЛ ЧУЧ БЮЙ ЧАЛЬ ВОЛЬ ЗАСЬ ТОТЬ ЛЫНЬ ЁФ │
│ │
│ в жь ь з в ы ь д │
│ТРЯФ ПОШ ВЫШ ПЛУЙ СКИЙ ПАСЬ ПАФЬ ЖИЧ ЖАЛ ЗЯТ │
└─────────────────────────────────────────────────────────────────────────┘
Таблица Б.252
┌─────────────────────────────────────────────────────────────────────────┐
│ б д б з д з з з з │
│ЕП ЦАТ ВЫП БАЙ ТИС ТЁТ ВАС ДРАСЬ ВИС ШТЫС │
│ │
│ б в б в г з б │
│ПУЛЬ СЭП КУФ НИПЬ РЁФЬ НУК НЫЛ НЕЙ ЯС ТЕП │
│ │
│ ь сч з з з │
│ДИМ ДУН КИЧ БЁЦ ЗОХ ШУР ЩЕСЬ БУС НУС ПЯХ │
│ │
│ в ы д ь з д д в в │
│ФИФ ШИЛЬ ДВЯТЬ ЕЩ ХОС СТЯТ ТУТЬ СТУФ ГОМ СОФ │
│ │
│ б эд д з г б г эв д │
│ЛЕП ЦЕТ ЛЯТ ЗУСЬ ШУЦ ЗНОК ЧТУПЬ ПРЮК ЖЕФ ТЯТЬ │
└─────────────────────────────────────────────────────────────────────────┘
Таблица Б.253
┌─────────────────────────────────────────────────────────────────────────┐
│ ь д ь │
│ЮЧ РОХ ЛОРЬ НАТ НОНЬ ЗЫЙ МЁН СУМЬ ДЯЧ ГУРЬ │
│ │
│ жь в б ь з б г │
│САШ ЧТЕФ ЗЕРЬ СЫРЬ МАП ЛЮЧ ДЁСЬ ЧТЫПЬ БЮЦ ЛЁК │
│ │
│ д сч я жь д ь │
│РУЦ НЫХ ВЕН ВЯЛЬ ДАТ ЩАМ СВЫЛ ГОШ ПРЯТ ВУЧ │
│ │
│ д б в с з д │
│ВАНТ КЕНЬ ЖАЦ ДАП ЛАФЬ ЗДЯСЬ МЕЙ ТЕТ ПИНЬ ФЕР │
│ │
│ з б в з д с з │
│ПЕС ХАПЬ ТРУФЬ ТРЕСЬ КУРЬ ДЯСТЬ НЁТЬ МЮЛ ЗДОСЬ СВАХ │
└─────────────────────────────────────────────────────────────────────────┘
Таблица Б.254
┌─────────────────────────────────────────────────────────────────────────┐
│ ыд г з жь ид г г э │
│ШИТ ТАМЬ ПРЁК ФУС РУШ ДЛЕН ЦЫТЬ ШТОК ФЭК ШЕР │
│ │
│ б ь з ь жь з │
│РЕХ ЗОПЬ ЗЁЧ ВУЙ РИЛ РЕС НЕЩ НИШ ТЫФ ПРОСЬ│
│ │
│ д ь в ь д │
│ПЮЛ ЖУЛ ЗИТ СЮЩ СОСТ КРУФ ВЕЦ ШТАЧ ТЁНТ ТИЙ │
│ │
│ д оз д б з ь │
│РАЛ ДЯЛЬ ЗУЛЬ ФИТЬ ШЁСЬ ХУТЬ МИП ТЮСЬ СЮХ РИЧ │
│ │
│ ь з з в │
│ХОЩ ТЫНЬ САР ХИН МУР ЛОС СТОСЬ ФСЯМ РЫНЬ КОЛЬ │
└─────────────────────────────────────────────────────────────────────────┘
Таблица Б.255
┌─────────────────────────────────────────────────────────────────────────┐
│ з д д в б ь ог в │
│ТРИЦ СЕСЬ ЛЕТЬ ВОТЬ ЧИФЬ РОП ДЫЧ БЯЛЬ ЧЁК ГАФ │
│ │
│ сч в з и в г б │
│ХУНЬ ЩЕРЬ РЯР ФСИС МОН ЗАМЬ ЦЫХ ТАФ КУК МЫПЬ │
│ │
│ в д д г │
│ЛЁФЬ ФАР ШАМ РОНЬ ЮР ТРЫТЬ ПАЗНЬ ЛИН ФЫТЬ ХЕК │
│ │
│ д б жь г з з │
│РЮТЬ ПРАЛ СЁП ПЕШ СТАК ЧЕН ЧТАСЬ ПЛЕСЬ ДЯРЬ ГАЛ │
│ │
│ г ь д в в │
│ПЫК БОН БЯЧ РОТЬ НАСТЬ БАФ БЫЦ ДЮЙ СКОФ МЯЙ │
└─────────────────────────────────────────────────────────────────────────┘
Таблица Б.256
┌─────────────────────────────────────────────────────────────────────────┐
│ д б в в б ь в э │
│ЧЕТ ВИП ФСЯФ КОР ЖАП ТЮЧ СТОФ ШЕЛЬ ЗЕЛЬ ДУМ │
│ │
│ д з д д в г д │
│ПАТЬ ДВЕС ФИТ КЕСТ ПРУТЬ ФСАК ЗИМЬ БЭТ ВОРЬ ФЕН │
│ │
│ д д б г сч од │
│ФЫТ ДАМЬ ЗНОТЬ ДОРЬ ШТУН ТЯЛЬ МЯПЬ СТАК ЩЁТЬ ПЫН │
│ │
│ д ь г б ь ь сч ю д ь │
│ЧИМ РУТ РИЧ ГАК РЭП БЯЩ МЮЧ ЩУЛ ЛАТЬ ХОЧ │
│ │
│ з б в в в д │
│ХАЛ ХОСЬ ЯП САЛЬ ТРЫФ ЕФ ДЯФЬ ДИЙ РИТЬ ЛЯР │
└─────────────────────────────────────────────────────────────────────────┘
Таблица Б.257
┌─────────────────────────────────────────────────────────────────────────┐
│ в ь г в д │
│КОФЬ НЫЦ РЫР ЕЩ ЦУЛ ТЕК ЗОФЬ НЯМ ШТЕМ ЛЮТЬ │
│ │
│в в с с г │
│ФСЕХ НЕЛ ДЛАМ ПЕФЬ СЕХ ЗДИХ МАЗ ШУЙ ЛИЛЬ МЁК │
│ │
│ г з г б │
│МЯРЬ ВУЦ ЛЕЦ ПЭК ТЁСЬ ЗУЛ ФИЙ КРЫЛ ЛЕК ЦАП │
│ │
│ з б г б г ю в │
│ЧЁС КАПЬ ЧТЫК ВАПЬ ПУЙ ПЛЕК ЧУЛЬ ДИЛЬ СОРЬ РУФ │
│ │
│ жь з з б в з з │
│ТРЕШ КРАР СКОСЬ ПРЁСЬ НЮП ТИФЬ РЯЦ ПОС ФОСЬ ТАН │
└─────────────────────────────────────────────────────────────────────────┘
Таблица Б.258
┌─────────────────────────────────────────────────────────────────────────┐
│ з в э ь │
│ТАХ НУЙ ЧТИЛ ГИЛ НАС ЖУЦ СЫФЬ ВЁСТ ЖЕЩ ВИЛ │
│ │
│ д з ь д │
│ДЫТ МИЛ ТОС ЗОНЬ ЧТЫЛЬ ВЫЧ МАХ СТЯН БЯТ ВЁР │
│ │
│ жь в ь д │
│БЫШ ГОРЬ ЗАМ ВУЛ ТУЗНЬ САФЬ ЛАМЬ ГУЙ ШАЧ ШТЕТЬ│
│ │
│ в ыз б з │
│ПРОН СВОФ КИХ ЧТАХ ШИС СЯПЬ ДАСТ ГУР БАЛЬ ДАС │
│ │
│ в в б з │
│ХАФ ГАФЬ ПРЮП ГИХ ЛУСЬ РЮЛ НАЛ ХУН СВАЙ ЗЁЛЬ │
└─────────────────────────────────────────────────────────────────────────┘
Таблица Б.259
┌─────────────────────────────────────────────────────────────────────────┐
│ з б з ь ё э │
│ ЛЁСЬ БЫПЬ ТУЛЬ РОС ЛЫЩ ШОЙ ШЕЦ ЦОХ ХИРЬ РОМЬ │
│ │
│ в з в д ь д │
│ ЗАФ ДЫСЬ ЛИФЬ СЮТЬ ФАРЬ ПРЫЧ НИРЬ НЁЦ КУТЬ ЛОН │
│ │
│ жь з б в в з г │
│ ВАШ ТЫЦ РЕС ЗЯМ ТРИПЬ БИФЬ ШАФЬ ДУС НОМ ТРУК │
│ │
│ з ё д з б г │
│ РАН СИН БИН ДЛЕСЬ ЖОЛ ДЮТ ПУСТ НЕС РЁП ЗНЮК │
│ │
│сч юв в б ь з сч │
│ ЩУФ ТУФЬ СЕЗНЬ КЕПЬ СТУЧ ЮС НУРЬ БЁМЬ ЩИЦ БАМЬ │
└─────────────────────────────────────────────────────────────────────────┘
Таблица Б.260
┌─────────────────────────────────────────────────────────────────────────┐
│ жь б жь в д д г │
│ДЁШ ПИЙ ТЫР ДЕПЬ ТРЁЛ РАШ ХЕФЬ МЭТ ВЯТЬ ПОК │
│ │
│ з жь ь яв д ь д │
│РЁНЬ ПЛУС СКЕШ ПРЯЧ ЧАФЬ НЯТ НУЩ ПЁТ ВЕНЬ ЦАН │
│ │
│ г з д жь б │
│МОК БЯЛ СУС РЮТ ЁНЬ ЗУШ СЫЛЬ ДРЕЙ ФУПЬ ПАМ │
│ │
│ з в э жь б ы │
│НУСТЬ ЗАС ПЮФ ШЕНЬ ГЕР МИШ ПЯП ЮЛ ЖИРЬ СЫРЬ │
│ │
│ г с з д ь б │
│НЁК ЗДАЛ ТРЮСЬ МАЛ БУТ ТРОЦ СЁРЬ РАЩ БОНЬ ШУП │
└─────────────────────────────────────────────────────────────────────────┘
Таблица Б.261
┌─────────────────────────────────────────────────────────────────────────┐
│ сч юд д э │
│СОРЬ СЯЦ ЩУТЬ СКЕХ ЛУТЬ НИЦ СЁСТ КОЦ ЖЕР КИМ │
│ │
│ д ь в г д г │
│НЯЙ МУНЬ ДВАЛ ШТАТЬ БУЩ ФСУК ЧТЫТ БУН ЕК ПАЛ │
│ │
│ г в в б б ь │
│ДАК ТРИЙ ПЫФЬ НУНЬ РАХ ШАФЬ ДОП КАМЬ РЫПЬ МАЩ │
│ │
│ з з в з в │
│ЦОС СЮР ЗУЙ ДЁХ КРАС СЫФЬ СВАСЬ НИНЬ ЛАФ ФЫНЬ │
│ │
│ б из я ь в ь │
│БАЦ ТИПЬ ШЫС ЧАЧ БИФ ГОЙ СЫЛЬ КОЧ ХИЛЬ СУЛ │
└─────────────────────────────────────────────────────────────────────────┘
Таблица Б.262
┌─────────────────────────────────────────────────────────────────────────┐
│ б д в в в │
│ПЁП ДЮНЬ ЛЫП ТОНЬ БЯЛ БОТЬ МЫФЬ ЕФЬ НЯР НЕФЬ │
│ │
│ ь сч оз б ь │
│ПЛЕЧ ЩЁС ПРУМ ТАПЬ НЁРЬ МЮМ ТУН РИЙ ЕЩ ДЕМЬ │
│ │
│ б з ь с з г ё з │
│БУНЬ ЗЁМ ШАП ШТИС ТРАЧ ЗДЯС ФИХ МЯК ШОЙ ПЛАС │
│ │
│ э з жь о │
│ЗЕМ ТРЮХ ШЕЛ РАЛЬ ВИСЬ ТЫРЬ ПЕШ ЖЁН ГАР МЁР │
│ │
│ ь ё д │
│ЧЕЦ ТРИМ НАХ ЦЫЧ БИНЬ РУХ ЧИР ТЁЛ ШОР ДЯТ │
└─────────────────────────────────────────────────────────────────────────┘
Таблица Б.263
┌─────────────────────────────────────────────────────────────────────────┐
│ б жь жь з │
│ЛИП БЕРЬ ПУШ ГОР ГИШ ПОР ЯН ЛЕР СЕСЬ ШТЫН │
│ │
│ з б з ь з в │
│ЛЕСЬ ЧТИП ЛЁМ ФАСЬ ЗАЧ ГЕСЬ ГУФЬ КИР ШАЛ КРУМ │
│ │
│ з д б │
│ВАС РИЛЬ ПРИЛ ЛУЛ ТАНТ ХАРЬ ЧТАР РЕП ЗИН ТРЫМ │
│ │
│ б сч в жь в з д │
│СВУХ ЖАПЬ ХЕН ЩЕЦ ДОЦ ВЯЗНЬ ФСЕШ СТЫФ НЫСЬ НОТ │
│ │
│ э б г │
│ХОЦ ЗЯН ШУН ШЕЦ НЕП ГИН ТЯР ТЕРЬ РУН ПЭК │
└─────────────────────────────────────────────────────────────────────────┘
Таблица Б.264
┌─────────────────────────────────────────────────────────────────────────┐
│ в б з з ь в │
│ДЯЛ ЛЯФ МИПЬ ВЯЛ ПЁХ ХУС ВУМ ЧТУСЬ ПЮЩ ВУФЬ │
│ │
│ ь в в в ь │
│ЛЁЦ ПРАЧ ЮЛ ФЕМ ТЭФ ДЕФЬ БУФ ПРЯМ ДРАН НЯЧ │
│ │
│ д з з ы в ь │
│СИЙ СТЕЛ БЯТ РЁС ГУНЬ КАС ЖИНЬ МАН ФСЯХ ТУЧ │
│ │
│ д ь в д │
│РЕЦ ПЁНТ ДЯЧ ЗУЦ ЗАР МЯЦ СТОМ ЖУФЬ РИТ ЗНЕН │
│ │
│ д б б ь б г │
│ПОЛЬ ДОСТЬ ТРЁЦ ЗОМЬ ФУП НАП КЕЧ ТАП ЛЯЙ ВОК │
└─────────────────────────────────────────────────────────────────────────┘
Таблица Б.265
┌─────────────────────────────────────────────────────────────────────────┐
│ г жь ь д жь г │
│ДЛЁК ЗНОХ ХАШ ВЁЧ ЗУР ПУНЬ ВОТЬ САХ ТЮШ ХУК │
│ │
│ з д ь жь в ю │
│ВЫН ЦЕЙ СУСЬ КУХ ЗОТ ФОР ТАЧ ДЫШ РЫФЬ ЧУЛ │
│ │
│ з б б з ь сч ю д з │
│ПРЫСЬ ВЕПЬ БЁП ЛОС НУЩ ЩУМ КИНТ ДЕМ СКАН ТЮСЬ │
│ │
│ с д д з о │
│ПЯМ ЗДОН ДЛУТ РЕМ СЁНЬ МЕН НЭТ ТРОСЬ ВЫХ ЧЁРЬ │
│ │
│ г з ь в │
│ПРЕК СТУС БЫЩ ДУФ РИЦ НИСТ ЦУМ ЁНЬ РЫХ САМЬ │
└─────────────────────────────────────────────────────────────────────────┘
Таблица Б.266
┌─────────────────────────────────────────────────────────────────────────┐
│ ю ив ь ёд д жь │
│ЗНОЛ ЧУЦ ЦЫФ ФИЧ ВУРЬ ПРАЦ ШОТ ПУН СИТ ЦАШ │
│ │
│ о з ь б ёб г в │
│ЧЁЛЬ ЗЭМ МЯСЬ КАНЬ БЮЧ ЗАПЬ ГАЦ ШОП ТЯК ТОФ │
│ │
│ с з г в д б ыв │
│КОР ЗДАС МЫК ШУР ФСЁЛ ЖАТ БУПЬ СТОРЬ ТЮХ ШИФЬ │
│ │
│ б б б ь с б │
│РИП ВУПЬ ДЕП ДЯМ БАРЬ НУЧ ВЫЛ ТЕЙ ЗДЕХ ЗУПЬ │
│ │
│ з │
│ШТЫР ЧТИМ ЛЕХ ЗЕР ТЁРЬ ЛИСЬ ВЯМ СЫЦ НЯСТ ДОСТ │
└─────────────────────────────────────────────────────────────────────────┘
Таблица Б.267
┌─────────────────────────────────────────────────────────────────────────┐
│ д д в б г з з │
│ЮТЬ БАТЬ ФСАЙ ЯПЬ ЧИК ЗИСЬ ПРЫС ВЁХ РИНЬ ДУР │
│ │
│ в ь д жь д в │
│ДАФ ЗОЩ МЕТ ФОШ РЫРЬ ЛАТЬ НАРЬ ШАН ДЕЦ ДОФЬ │
│ │
│ в в ь д з в в │
│СЁФЬ БЫФЬ ЛЮР ЁЧ ЧТУТ ГИР ЛЫС ГОФ ЦОФ НЯЛ │
│ │
│ сч ю ь б шь ь │
│ТУРЬ ЗЁЦ ЩУЙ ЧТЫМ ЛОЩ ВИРЬ СЕПЬ НИЖ ПАРЬ ХЕЩ │
│ │
│ з жь з в э │
│ГУС ЖУШ СВУЛ ЗОМ ДОСЬ КАФЬ ШЕР ТАСТ РЯМ ПРУЛ │
└─────────────────────────────────────────────────────────────────────────┘
Таблица Б.268
┌─────────────────────────────────────────────────────────────────────────┐
│ д в б жь│
│КИЗНЬ НОД ЛЯНЬ ТРЁТ ЛИЙ МЁФЬ ФОЛ ТАЛЬ РЫП ТРАШ │
│ │
│ г з з ы д │
│СВАК НЯС КЕСЬ РЯНЬ САНЬ РИН ШИМ РАМЬ ЗУХ ТАТ │
│ │
│ оз б з б сч б г з │
│ЖЁСЬ РЭП ХУС ЛЕН НЕЙ ДЫП ЩЕПЬ ДЛАК ПРЕСЬ НЕР │
│ │
│ г д д г д │
│СЁК ТЫЙ МИХ СИТ БЮТЬ ВАК СТЕЙ НОЙ ГАМЬ ЗНЕТЬ│
│ │
│ б з эг жь ь б в │
│ЖУПЬ ПЛЕС ШЕК НЕШ РЕРЬ МУЧ ШУПЬ ГЕЛ БОЛ ДЁФ │
└─────────────────────────────────────────────────────────────────────────┘
Таблица Б.269
┌─────────────────────────────────────────────────────────────────────────┐
│ д д з д ь з жь│
│ЗАЦ ШТИТ НЁТ СЯХ РОСЬ СТУТ ТИНЬ ХАЧ ХИС СТЫШ │
│ │
│ з д в в │
│РЁС ТУН ЕТ МЯН ПРЯЛ КРУЛ ПЕФ СУЛЬ ЛУР БЁФЬ │
│ │
│ з в ь ь сч ю │
│СОСЬ ДУЦ ПЁЗНЬ ВЁСТ КАФ ПОЩ ТЫЩ ПИМ БИЛ ЩУХ │
│ │
│ б эг з │
│ПОМ НУПЬ ХАРЬ ПУЦ БЯЦ РЮЛ ЦЕК ТРИЛЬ ЗЯСЬ ПЯРЬ │
│ │
│ з д ь з з │
│ПЫСЬ ТЫТЬ ТРЁЧ СЫМ ВЕНЬ ФАМ ТРИН ХОХ ПЮСЬ ПЛИС │
└─────────────────────────────────────────────────────────────────────────┘
Таблица Б.270
┌─────────────────────────────────────────────────────────────────────────┐
│ в э ь жь в з жь д │
│САЦ РАФ ЖЕЛ ГОЧ ЮШ ВАФ МАС БЕШ КОТЬ ФУРЬ │
│ │
│ з ь ы я жь б ь б │
│ЗОСЬ ВОЧ ЦИРЬ ДЮР ЁМ ЧАШ ЛЁПЬ ПЕЩ ТРОП БУРЬ │
│ │
│ б д з д д ь в │
│ПЛУП ДВИТЬ КОСЬ ВЫТ ТРЫНЬ ДЯТЬ КРАМ ДЕЧ НАЙ СУФ │
│ │
│ д з в б в г в д │
│СКАТЬ ДРЕС НЫФЬ КИРЬ РУП МОФ ХУК ФСЕМ СЕНТ ФЕЛ │
│ │
│ в сч ов б б б в │
│СКИМ ШТАФ ГЕЦ ЩЁФ БОЦ МЮПЬ ЛЫПЬ ПРИМ НИПЬ ЧТАФ │
└─────────────────────────────────────────────────────────────────────────┘
Таблица Б.271
┌─────────────────────────────────────────────────────────────────────────┐
│ жь д д в ь жь з │
│ДЯЛЬ ХОШ ХОТЬ КЕСТЬ ЗНОТ ЗУРЬ ЛЯФЬ ЯЧ ПРЫШ ПЛУСЬ│
│ │
│ б в в в з в б в │
│ГЕЛЬ БЫП ГЕФ ФСЕФ КИС САФЬ ДАХ ЕМ ПОПЬ ШАФ │
│ │
│ д г з сч я б з б │
│ЗОТ СВЕК ЁСЬ РЯЙ ЩАРЬ КАП НЕСТЬ ТИС ТЭЛ МОП │
│ │
│ д в жь ь ь д б д │
│ФОТЬ СТЕФ ЖАШ МЕЩ ЦАМ ЛЮЩ ПЁТЬ ДЕПЬ СТУЙ СИТЬ │
│ │
│ з д в в д │
│ЦУСЬ НЕЛ РОНЬ НЯТ ПРЯЦ ТАСТЬ ВУЛ БАФЬ ХЕФ КЕТЬ │
└─────────────────────────────────────────────────────────────────────────┘
Таблица Б.272
┌─────────────────────────────────────────────────────────────────────────┐
│ жь г жь д │
│ВЫШ ЗУК ДЯШ ШТЕН ГУЛЬ КАМ МАР ЮЙ ВЯРЬ ЗОТЬ │
│ │
│ жь б д д б д з │
│ПЛЕЛ ФЫХ ЦУШ ШАП ВЕНТ ФСЯТЬ ПЫМЬ ЧАПЬ ШТЕТ КАС │
│ │
│ сч в жь д з сч ь з з │
│РОЦ ЩЕФ ДРАШ ЦОТ БУМЬ НЁС ЩИЙ ШУЧ ФИСЬ СУС │
│ │
│ з ь д г │
│ВАНЬ МУСЬ НЕЩ БЯМ ДЕТЬ ЧТЫЛ ЛЮЙ МЯМ ЧТИК ТЁЛЬ │
│ │
│ в д з в ь д │
│МЁФ СТАТ ЛЕСЬ РЁЙ СЫФ ТРУЛ ГАЧ ПЮТ ГУЦ ПАСТ │
└─────────────────────────────────────────────────────────────────────────┘
Таблица Б.273
┌─────────────────────────────────────────────────────────────────────────┐
│ б ь жь б │
│ДЕЙ ДИР ЖАМ ПЁМ СОПЬ ВУЧ РАЛ ТАШ ПРОП ТЯЙ │
│ │
│ з в ыз д з г │
│ФЕС СВОМ ШТУЛ СИФ ЖИС МЯТ ДВАСЬ ГАН КРОК ЗИНЬ │
│ │
│ д з в з в д │
│КАТЬ ЧТАС ЛАФЬ ЛАМ ПРЁС ЗИРЬ ТАФ ДЛИТ ТРЯМ ЧТЫЙ │
│ │
│ ь б з з д б │
│СИСТ ПИЛ БЫЧ ТОП СЯСЬ ЗЯС ДУТ НУРЬ ДЕРЬ РЫПЬ │
│ │
│ ь д з д с з │
│ТРОЧ САЛЬ ДЫЦ РЕХ ТРЮТЬ ЯМЬ ЗНЕС НАТ ЗДИСЬ ТЭН │
└─────────────────────────────────────────────────────────────────────────┘
Таблица Б.274
┌─────────────────────────────────────────────────────────────────────────┐
│ ы жь б д б э б │
│ШИР ЗАШ РЭП ТРЫТ НЫП РЕЛ ШЕХ ПОР ПЯПЬ СКИХ │
│ │
│ жь г жь │
│ХОНЬ ТРЁМ ПРЮН СЯШ СТЫМ ТЮМЬ ЛЫХ ЗАЛЬ ПОК БЯШ │
│ │
│ жь д сч яг жь в з │
│ТОШ НИЛЬ БУТ ХАНЬ ЩАК КРУШ НОМЬ БЯНЬ ФСАСЬ НЁЦ │
│ │
│ д з в ь г │
│ФУМЬ МЫТ ВОРЬ ЕЦ БАМ ДЯС БЕФ НАЛЬ РЮЩ ЗДАК │
│ │
│ ь д эг д б з б │
│БЁЧ МИТЬ ШЕК РОТЬ МЮП НЯМ ПУР БИСЬ ТУН ПАПЬ │
└─────────────────────────────────────────────────────────────────────────┘
Таблица Б.275
┌─────────────────────────────────────────────────────────────────────────┐
│ в ё жь з в │
│ФАФЬ ДОЛЬ ШОШ БОНЬ РЮМ ГИС ЗАРЬ СКОЙ ТЫРЬ ПРУФ │
│ │
│ о б в ь в д жь │
│ЧЕРЬ ЧЁНЬ ВЫП ДЫФ ЗЁХ ШАЩ РАФ ВЮТ ВАШ ЛЁЦ │
│ │
│ з з жь б з д │
│СЫЛ ВИМ ТУС НУЦ СИЙ ЧИС НЯШ РИПЬ ДУС ДЛОТ │
│ │
│ ь з з жь б │
│ХИЧ ГОСЬ ВЁС ТУЦ ЛУШ ЛИПЬ ЛОЛЬ ТЕЛ СЕР ШУЛЬ │
│ │
│ б эв г ь б │
│ХУП НУЙ РИЦ ЖЕФЬ ПЫК ТРЕЦ ЧИЩ ЖУЛ ДАСТЬ ЛЁП │
└─────────────────────────────────────────────────────────────────────────┘
Таблица Б.276
┌─────────────────────────────────────────────────────────────────────────┐
│ б д д д д жь │
│ЦАР МАП ТЫТ ШТАХ СКИТЬ НЁТЬ СЫНЬ ЛЁТЬ СЫШ ПЛОЙ │
│ │
│ з з д │
│СТЕС ТУМ ЛУРЬ ШУНЬ НОРЬ КИСТ ВУМ НУМЬ ТАС БЁТ │
│ │
│ в д ь з б жь д │
│НЕРЬ КОФ ТРУТЬ КРУЧ ДЛОЙ ПРЯС БАПЬ ЛАШ НЭТ ДЯЙ │
│ │
│ ь д б │
│РУЦ ТАЧ ДВЯХ ТЯХ РИТ ЗЮЦ ЗЕЦ РЁНЬ ВАЦ ЖУП │
│ │
│ б ь д ь жь д │
│РЫП КИЩ СОТ ПОЧ НАЦ ЧТАШ КУТ ПОМ ТОНТ БЕХ │
└─────────────────────────────────────────────────────────────────────────┘
Таблица Б.277
┌─────────────────────────────────────────────────────────────────────────┐
│ ёб в ё в жь │
│ЯН СТУНЬ МОМ ЧОПЬ ТЁФ ШОМ ЗНАХ ЛЮФ ПРАНЬ БЮШ │
│ │
│ д д д ь э │
│ВАН ТЭР СЁНТ ЧИРЬ ПРОТЬ НОТ ПОЩ ЖЕЛЬ БИЦ ЗИНЬ │
│ │
│ б в в г в ыб ёв │
│ТАП КЕН ЗАФЬ ГУФ ГОК ПОР ЗНОФ ЦИП ШОФЬ ПЮРЬ │
│ │
│ ь ь б з │
│ПРЕЧ ДИНЬ ЛЯН САНЬ ЁР ШАЩ ДЁР ДУМЬ НАПЬ ЛЯС │
│ │
│ б д ь в │
│НИР БЯП НЯЗНЬ БЯР КРОЛ ПРИТЬ ХОЛЬ ЖУЧ ДОРЬ ВЫФЬ │
└─────────────────────────────────────────────────────────────────────────┘
Таблица Б.278
┌─────────────────────────────────────────────────────────────────────────┐
│ г жь б ь д │
│СКОМ ЧТАК ПРАМ ЗЯШ ТЕПЬ ТИХ БАЩ СТЫРЬ ГОТЬ РЯМ │
│ │
│ жь д г д │
│ВЫЛЬ ТЫШ ВЯХ ПУНТ ЕК ВЁМ ЗУН НЯЛЬ ВУТ ЗОРЬ │
│ │
│с в в г с з з │
│ЗДАФ СУФ ТРЯЦ НЕК ЛАЛЬ ГЕРЬ ЗДИС МЮРЬ НЯСЬ ЛЕМ │
│ │
│ з я з │
│ЗЫН ЗАНЬ МЫСЬ РЫЙ ТРЕХ СЮН ЧАР ДЫЙ ШАС ФЕНЬ │
│ │
│ в з в д сч в │
│СВАФ ДАН САЦ ДЫСЬ ФОФЬ ТЯТ ЛИХ ЩИХ ЗУФ СЁХ │
└─────────────────────────────────────────────────────────────────────────┘
Таблица Б.279
┌─────────────────────────────────────────────────────────────────────────┐
│ ы ь э в д б │
│ШИЛ ДЯЧ ЖЕЙ ТУЦ ФСЕХ ЧТЕМ КАЙ ГИЛ ШУТЬ НЮПЬ │
│ │
│ од д д д д э │
│ЖЁТ ХАТЬ ГИЦ ПЫТ ЧТУХ ШТЫТ ЗИЦ ТРАМ ДРАТ ШЕЙ │
│ │
│ з жь ь ь в │
│ПЯС ХУЛ ЛЕШ ЛЫЧ ТРЮЧ КУР ПИФ НЫР ВЯЦ СУЛЬ │
│ │
│ б з д эв д г │
│МУПЬ ЦОСЬ ЛУЦ РАМ МЯНЬ СЯТ ЦЕФ ДЫТЬ БЫМ ХИК │
│ │
│ ед в д б в в з сч я в в │
│БЭТ ФСЭТ ВОПЬ МЕФЬ НУФ ЧЕС РЯЛ ЩАЦ РОФЬ ТЫФ │
└─────────────────────────────────────────────────────────────────────────┘
Таблица Б.280
┌─────────────────────────────────────────────────────────────────────────┐
│ в б з в б │
│СТАЦ ДЕЛЬ ЕФЬ ДУЗНЬ РЮПЬ ГУН ХЕС ЛИЛ ФИФЬ ФЭП │
│ │
│ б г г д эв ь │
│ПЛЕП ДЮК РИК РАТ ПЕН СЁЛ ШЕФЬ СЯЦ ШТИН ФЫЧ │
│ │
│ в сч яд з ж сч б д │
│РУНЬ БОФЬ ЩАТ ДЛЮС МЁШ ЩИП ЮМ РЕЙ ФУЙ СВЫТ │
│ │
│ жь з д б ь в в в д │
│ПЕРЬ ТРЫШ ХАС ТРЮТ ВЁП ХАЩ НИЦ ГУФЬ БЫФ ФСЮТ │
│ │
│ ь з б з з │
│КОЙ ЗОЧ ВЫСТ РИСЬ ГАПЬ БУЦ МЯС ЕЙ ПУЦ ДЯС │
└─────────────────────────────────────────────────────────────────────────┘
Таблица Б.281
┌─────────────────────────────────────────────────────────────────────────┐
│ з жь жь б │
│ЗАС ПРУЙ КУЦ ЛИН ШАМЬ БИШ ЧТЕШ ХАП ШОЦ РЁХ │
│ │
│ жь сч я ь │
│СЮШ РЕН БЕЦ ПУР ДРАЙ ЩИРЬ ПЛАР ЧАНЬ ТИЛЬ ДАЧ │
│ │
│ б в жь д з э │
│ХИП БОФЬ МЕНЬ ТАЛЬ ГИШ ДИТЬ ЗАМ ЗЕСЬ ТРИНЬ ШЕНЬ │
│ │
│ д сч эз г в в │
│ВАТЬ ЩЕС ВЁРЬ ЛЁК НЯХ ТЯСТЬ СОФ СВАЦ ДОНЬ НУФЬ │
│ │
│ ь ыг в ё ь д │
│ГЕЩ ЦИК НЁНЬ МЫФ ЖОЛЬ КОЧ ЦОТЬ ДЕЛ ЛУХ КРОЦ │
└─────────────────────────────────────────────────────────────────────────┘
Таблица Б.282
┌─────────────────────────────────────────────────────────────────────────┐
│ з в б г в в б │
│КАМЬ ШТЕСЬ ФАФ ЕЛ ВОП ПЕК СУФЬ ЗНАФ ТЫМ БУПЬ │
│ │
│ в жь д в в │
│ПОФ НЕМЬ ЗУШ ДИРЬ ЛУТ НЮФ ХОЙ ЗЮР БЯФЬ БУЦ │
│ │
│ д жь б з б в │
│ДЫТЬ ЯШ ГУР ВЫРЬ МИПЬ ВИЛЬ ТРЫСЬ СЕП ХОР ХОФ │
│ │
│ д жь з б жь с з д │
│СЭТ ДЯШ ЧТЫХ ТРЁС ТЯПЬ ТРОШ РАР ЗДАСЬ ЛЫР СВЕТЬ│
│ │
│ жь г ь д з з з │
│ШАШ МАНЬ КУСТЬ ЗНУК ПАЧ НИТ ДЯРЬ НОСЬ ЛЯСЬ РУС │
└─────────────────────────────────────────────────────────────────────────┘
Таблица Б.283
┌─────────────────────────────────────────────────────────────────────────┐
│ г з эв ыб з д │
│ХАЦ ВОК СКАМ ЧУС ШЕФЬ ВЮФ НИРЬ ШИПЬ ЗУС ДЭТ │
│ │
│в д о сч з з │
│ФСЁТЬ КАР ЧТАМ ЧЁР ЩИР ЁРЬ СЁС ЧТУЛЬ ФЫСЬ МЯЙ │
│ │
│ б д в б з │
│ЗОНЬ ШТЫЙ ПАП ГИНЬ МУН ВЯТ РЮФЬ ЖАП НОСТ КОСЬ │
│ │
│ б з з в в б │
│ПРЫН СТАЛ СЫП НЫС ПРЮМ ТРАЛЬ ТУСЬ ТОФ ВОФЬ БАП │
│ │
│ ь з с ь г в │
│ГОЧ РЯСЬ ЗДИН МЕМ РЫЧ КРИХ ПЫЙ ШТЕР ТРИК ПИФЬ │
└─────────────────────────────────────────────────────────────────────────┘
Таблица Б.284
┌─────────────────────────────────────────────────────────────────────────┐
│ в д д д д д ь б │
│ЛЁФ ПАНТ ТАТ ЦУЩ ПРАТЬ ДУТ ВЭТ СУМ САЧ РЯП │
│ │
│ э в д г е │
│ЖЕРЬ ЗИФ ЗЯХ ШАТЬ ФИЛЬ ПЮР КЕК БЮХ РЫЛЬ БЭЛ │
│ │
│ ь эг з в │
│НЁН БАЩ ШЕК ВЫМ МЯЦ ДЛАР ДВИСЬ ФСАХ РЮМ ФУН │
│ │
│ д б ь е д жь г │
│ФОТ ЧЕПЬ ТОЩ ДЭНТ ЯНЬ ТЕШ СЭЦ ТИМ ТРЯК СИНЬ │
│ │
│ б б з │
│ПЕП ЮН ЛОЦ ЛЕП ВОЗНЬ ПРЯХ ГОНЬ ДЯЙ ЦАСЬ ДОХ │
└─────────────────────────────────────────────────────────────────────────┘
Таблица Б.285
┌─────────────────────────────────────────────────────────────────────────┐
│ з сч яб б б г д ы │
│ДЛЕЙ ПЯСЬ ЩАПЬ ЛАПЬ РИР САПЬ МЮК БЁТЬ ЖИН ЛИЦ │
│ │
│ в г ь в в з в │
│ПРЁР НЯФЬ МОК РАЩ ЗАФ ФСЕС НУН ШУЛЬ КЕЛЬ ТЫФЬ │
│ │
│ в д жь в г б │
│ТЮНЬ ЗОФЬ ЧИТ ХИШ ФЕЦ ГАФЬ РЁК ЖУХ СЕП НЭР │
│ │
│ б з б в б з в │
│РОП ДЁС НАПЬ ЕХ СКЕФ ТОР БЯПЬ СИСТЬ БЫСЬ РЫФ │
│ │
│ ь д з г б │
│НАЧ СТОТ СТУЦ ГАЛ ПУРЬ СТЯСЬ ЛЮХ ПЛЁК ПЫП НЕЛЬ │
└─────────────────────────────────────────────────────────────────────────┘
Таблица Б.286
┌─────────────────────────────────────────────────────────────────────────┐
│ г жь │
│ЛЮНЬ ТЕР РАЦ РЯХ ПАК СЕШ ТРЕНЬ ХЕСТ БЫН ВИР │
│ │
│ в в д з в д д │
│ФЕФЬ МУФЬ СЭТЬ ПРУС ЛЫН ФСЁТ КЕР СТЕТЬ НЯХ ДЁМ │
│ │
│ д в б б д │
│ШТИМ ЗЕТЬ НУФ ПОЦ КОП РЮЛЬ ВЕП ДРАХ ТУТЬ ЛЯН │
│ │
│ д в в б ь д в │
│ДИТЬ ПУФ ТАФЬ ГИП ЗОЩ ЧТАТ БЫХ ДАФ ЯЦ ЧЕМ │
│ │
│ в г з б с з в сч │
│ТРИФ РЕК НЕЦ МОС ЮП ЗДАР ВЭС ТЯФ ЩЕХ ПРОЛ │
└─────────────────────────────────────────────────────────────────────────┘
Таблица Б.287
┌─────────────────────────────────────────────────────────────────────────┐
│в д з жь д ыв │
│ФСЕР ГЕТЬ МАРЬ ХОЛ ХАР ПРЮСЬ МЯШ ПЕХ ПЛАТЬ ШИФ │
│ │
│ д б г б в │
│СЁТЬ ФАПЬ ЕН МЕК ПЁНЬ ТЫП ЦАЛ ГОЦ ФСУХ ФУР │
│ │
│ в д в г │
│НЕН ЗОМ ДИФ ГУТЬ ДЫЛ ВАФЬ ДВАЙ ВЯН ВЫК БУРЬ │
│ │
│ б з ь в │
│ЛУПЬ МЯЛ ТРАНЬ РУН ДЕЗНЬ КУЧ СКЕСЬ РЕЩ СЫФ ЛАР │
│ │
│ з в з з │
│ЁС КИФЬ СВАС НИМ КУС ПРИНЬ ШАЙ ЗНУЛ НОР ТЫНЬ │
└─────────────────────────────────────────────────────────────────────────┘
Таблица Б.288
┌─────────────────────────────────────────────────────────────────────────┐
│ з з з жь в б жь │
│ТЮСЬ БОМ СЫСЬ ЛИСЬ ФИНЬ РУШ СОЛ БЯФЬ ДАПЬ КОШ │
│ │
│ б б ь в о ь г │
│ЧТЫП ЛЁП ТЫЧ ПАФЬ ЖЁЧ ПЛЕМ НЫР ЯМЬ ЗЯЦ ГЕК │
│ │
│ в ь э о │
│ТРУНЬ ВУР ШТЕЛ ПЁФ ЛУЙ БЯР ЕЧ ДИН ШЕХ ЧЁЛ │
│ │
│ д в │
│СТУЛЬ СОЦ ЗАЦ СИТЬ ВЁФЬ ХОЦ ТИЦ ДЫМЬ ПЯЙ ДЕР │
│ │
│ жь б ь д в │
│ЗУХ ДИР ШУИ ХАШ ЦУП ПРЁХ ВАЛЬ СУЧ ДОТЬ КРАФ │
└─────────────────────────────────────────────────────────────────────────┘
Таблица Б.289
┌─────────────────────────────────────────────────────────────────────────┐
│ ь д в з жь в д з │
│МЫНЬ ШЁЧ РУТЬ СЯФ ФОС БИРЬ ЗНАШ ЧТУФ ХИТ МЮС │
│ │
│ ь эз б б ь о ь в │
│ХЕЧ СКАЙ ЖЕС МЁП ДЯПЬ ТРЮН ЧИЧ ЧЁЩ ЗИФЬ ГУМ │
│ │
│ в д в з жь жь в │
│НАФ НУМЬ ЗЮТ ЛЕФЬ БЕСЬ СИЦ ГАНЬ ДЮШ ХУШ ЦОФ │
│ │
│ жь эг ы г д д жь в │
│РЮШ ЖЕК НАНЬ ШИР ГОК БОЦ ЧТЕТЬ СВУТ ФОШ НИФЬ │
│ │
│ б сч о б яг б д з │
│ПУНЬ ТЁП ЩЁЙ ТУСТ СЮП ЧАК БАЙ НЯП ЛОТЬ ТОСЬ │
└─────────────────────────────────────────────────────────────────────────┘
Таблица Б.290
┌─────────────────────────────────────────────────────────────────────────┐
│ з с д б э жь │
│СОСТЬ ЗОСЬ ЛЕМ ЗДЕТ ЗУПЬ РОРЬ ШЕЛ ПЯЛ ТРЫЦ НЫШ │
│ │
│ з б д в сч б з з в │
│ТРЯР САС БЮП КРУТ ВУФ ЩЁП ДЛОС ВЫС ПРЫХ ЖАФ │
│ │
│ в в з д │
│ТУЙ ШУХ СТАФ ЖАЙ ШАФ ШТЕХ ДЛЁС ЗАЙ БЯН РЮТ │
│ │
│ д б в ь з с ч │
│ПЫТЬ НЁПЬ РЕФЬ ЦАЧ БАСЬ ЛИЙ ЗОНЬ РЁР ТАР ЩАЙ │
│ │
│ д жь г │
│ВЫНТ КАН СТЫН ПЫСТ РЫМЬ МИНЬ РЫМ НЮШ НАЗНЬ СЭК │
└─────────────────────────────────────────────────────────────────────────┘
Таблица Б.291
┌─────────────────────────────────────────────────────────────────────────┐
│ г с в в з жь об │
│СКОК ЗДАХ МУФ НЫФ ХУСЬ ГАЛЬ НЫШ ЗЕЛ ВИХ ЧЁП │
│ │
│ з ы жь з з д в │
│ШАСЬ ЖИЛЬ МЮШ ВУСТ ТЯСЬ КРАЦ ЧТАМЬ ВАСЬ РАТ ЁФЬ │
│ │
│ г д ь жь ь жь з │
│ЁК НУТ ПЕЩ ГОШ БОЩ ДЯЦ ДЮЛЬ ЛЮШ НАНЬ СВОСЬ│
│ │
│ д с д б ь в │
│ТЯНТ ЗДИТ СЁПЬ НЁХ НИЩ БУЛЬ ТАР ЧТЫФЬ ШТОН ПЛОМ │
│ │
│ ь э д юд з │
│ЧЕЧ МОРЬ ШЕМ ФУТЬ ДЁРЬ ЗУЛЬ ЧУТ ФАЛЬ ГОС СИХ │
└─────────────────────────────────────────────────────────────────────────┘
Таблица Б.292
┌─────────────────────────────────────────────────────────────────────────┐
│ ь д д з б │
│ДАМ НУЧ СЫТ СТАРЬ ЗИМ ДЫТ ХОСЬ МЮЙ НЫПЬ НЯЛЬ │
│ │
│ з д д б б │
│ЛУРЬ ЗОЦ ЗЁЛ ТЁЛ РЯС ЗОТЬ ДЁТ ТЮП ПРАП БАХ │
│ │
│ о ь б ь г в з │
│НЁЙ ЖЁЩ КИП РЫНЬ ПОЧ НЕК СУЩ ФСАМ ТРЮС КУЛ │
│ │
│ ы з в д │
│ЛЁХ ДОЙ ПЮСТЬ ШИЛ ФСЯСЬ ПЫФ ТРАН ДРОТЬ ВОЛЬ ХЕЛ │
│ │
│ з в д сч я │
│РЁЙ ПУСЬ ХУФЬ РЯН ПЮСТ ШОТЬ ЩАЛЬ РЕМ ТОЙ ВЫР │
└─────────────────────────────────────────────────────────────────────────┘
Таблица Б.293
┌─────────────────────────────────────────────────────────────────────────┐
│ б д б ь г │
│ СУПЬ ПЕЛЬ СКОТЬ КАП ГУЙ ТАР ЛЕЛ ПИЧ МЕК ЛОНЬ │
│ │
│ д ы жь з з д б д ь г │
│ БАТ ЖИШ СТОС ФЫС НИНТ ФИП КУТ ХОЧ ТРЮЛ ЖАК │
│ │
│сч юд з в в з │
│ ЩУТ СОЦ ДЛАС СТЯФ ПОН ПЯФЬ ПРИСЬ НУМ РУХ ТУЛЬ │
│ │
│ жь в э жь ь з з │
│ ДЫШ ПРОХ КЕФЬ ГЕХ ШТЕШ БЁЛЬ ВЁЙ МАЧ БОС ЮСЬ │
│ │
│ б б в д б │
│ ТУНЬ ДИПЬ СВЯХ ЮРЬ ВЯПЬ БЯФ ТЭТ ЛЕПЬ ПЛЕЦ БЮМ │
└─────────────────────────────────────────────────────────────────────────┘
Таблица Б.294
┌─────────────────────────────────────────────────────────────────────────┐
│ ы г з г д з д │
│ШИН ЗОЛ КОЛЬ ШУК ЕС БИК ЛЫТЬ ДВАМ ТРАСЬ ЗНЕТ │
│ │
│ д в г з д │
│ЛЯТ СОЛ ФСИК ВУЙ РУЙ ШТУС ЗАЙ РЕНЬ ЗНЁТ БЫН │
│ │
│ в сч о сч юз жь д д жь │
│РАФЬ ЩЁМ ЩУС СЕШ РИТ ФОМ СКЕМ ХАЛ НОТ РИШ │
│ │
│ з г д з в │
│ФЕСЬ ДЯК ЛОХ ХАНТ ТЁЦ НИЙ НЯСЬ МЁМ ЧИФ НИР │
│ │
│ жь б д о ь з з в │
│МАР ЛАШ ВУХ ВЮП ПОТЬ ШЁН ЗУЧ БУСЬ ТИСЬ ШУФ │
└─────────────────────────────────────────────────────────────────────────┘
Таблица Б.295
┌─────────────────────────────────────────────────────────────────────────┐
│ я д з ь │
│ПЮЛЬ ТЭН ЧТУЦ ЧАМ ГИНЬ ЦУТ СТАЙ ТЫС МЯЩ ЦОЛЬ │
│ │
│ в з э ь д в г │
│БЯЙ ДУЛЬ ГИФЬ ТРИС РИЛЬ ТАЛ ШЕЧ САНТ ВОФ МЯК │
│ │
│ з г в б ь жь г │
│САСЬ ДЫК ВЫЙ КЭФ ТРУЦ ПРЯП ЛИЧ ЛИРЬ ПОШ ДЛЕК │
│ │
│ г д и г жь в │
│ЦОРЬ ПРЫК РЁТ КРУТЬ ЦЫН ЗЯЛЬ ДЯК РЫШ СЯФ ГУРЬ │
│ │
│ жь д в ь │
│ЗАН ХИЙ РАХ ПРЮШ БЕНЬ ТРЕМ ЧТЕТ ФАХ ЯФ СУЩ │
└─────────────────────────────────────────────────────────────────────────┘
Таблица Б.296
┌─────────────────────────────────────────────────────────────────────────┐
│ г б г з сч д д │
│ ВУК ХОПЬ РЫК ЗЫСЬ ЩИЛЬ САРЬ СВЁТ МИМ БУМЬ СЕТ │
│ │
│ з г д │
│ БАЛЬ ЮХ ДЕМ ЦУС ТЕЗНЬ ХАК НЯР СВОН РЮНЬ ВЁТ │
│ │
│ з б эд в з ь д б │
│ ЛЮСЬ ВАПЬ ЖЕТЬ ЛЫФЬ ЛИМ НАСЬ ВЫЩ ВИНЬ ДЛАТЬ ДЛИП │
│ │
│ и ь │
│ ШЫЦ ЛЁЙ БЕН ДЕЛЬ ЛОР КАЙ ЗЕЧ РЫН МЫЦ КИЦ │
│ │
│сч я ь б д з жь│
│ ЩАЦ ХОН БЮЛЬ ЧАЦ БЫХ САЩ ПРУП СЁТ ЖУСЬ СТОШ │
└─────────────────────────────────────────────────────────────────────────┘
Таблица Б.297
┌─────────────────────────────────────────────────────────────────────────┐
│ ю э в жь │
│ХАЗНЬ МЫР ЧУЙ ЦЕН БУФЬ ПЫМ ЗИШ ЗОР ШТЫХ ХЕЦ │
│ │
│ б з з эд з │
│ШАПЬ РОСЬ КОС ЛЯРЬ ЗИЙ СУН НОЦ ДЁЗНЬ ШЕТ БОС │
│ │
│ г в б г ь д в ов жь │
│ГИК НЕФ ПЫПЬ ГАК ТРЫЧ НИТ ВЕФ ЖЁФЬ ВУШ ФОЙ │
│ │
│ ь г з жь з б │
│ТЫЧ РЯК ПЕС ПУШ НИСЬ МЯПЬ ТЯНЬ РИРЬ ЁЦ ПРОЙ │
│ │
│ г б ь д в в │
│ЧТЕН ПУМ НОК ЛУП ВАЩ ГЕТ НЕРЬ КАФЬ ПРЕФ ДЯЦ │
└─────────────────────────────────────────────────────────────────────────┘
Таблица Б.298
┌─────────────────────────────────────────────────────────────────────────┐
│ з сч я жь д б г з б │
│ЗЫМ ФИС КРОХ ЩАШ СТУТЬ НУПЬ ДВАК ЦАС ГУПЬ ЛЁЛ │
│ │
│с д з ыд з сч г жь в │
│ЗДЕЙ СЮТ ТАСЬ ЩИТ ЗНОСЬ ЩИК ДОШ ГАФ МУЛЬ ГОРЬ │
│ │
│ в о в │
│ЗУМ БЫР ПЮФЬ ДУМЬ ДЫР КРИН ШЁЛ БЯФ РАМЬ ЧЕНЬ │
│ │
│ д г б в з в │
│ЧИЛ НУНТ СОХ БЯК ЗНОП ПЯНЬ ГЕР РЮФ ДЯСЬ КУФ │
│ │
│ д б з з г б │
│НЯМЬ СКОР ЁЛЬ ЗУТЬ ТРЯП ВОСЬ ДРОС СЯК РЯЛ ХИП │
└─────────────────────────────────────────────────────────────────────────┘
Таблица Б.299
┌─────────────────────────────────────────────────────────────────────────┐
│ в д сч б б в з │
│ТИРЬ ШТИЛ ФСЕТ ЩЕЛ РЁХ РУП ЛАП НАФ ШУС СЭЛ │
│ │
│ в д │
│ШАЛ ЛИФЬ ЯРЬ БЫРЬ РЕР МЁЛЬ БИР ЧТАЙ ТЯН ЗАТЬ │
│ │
│ жь б б з │
│КАНЬ ТЁМ ВЕЛ ДАН ПРИШ ДИП НОПЬ ТЕЛЬ ТОС СЭЛ │
│ │
│ в в э г д з ед │
│ТРАМ ХАФ НИФЬ ЖЕНЬ ЧЁЦ ШТАК ТРЕТ КОС ПАМЬ СТЭТ │
│ │
│с з жь в з ь з │
│ЗДАМ СЫС ЧТУЛЬ ЛЕШ ПРЕН ФСАС НЮЧ ПЛЕЙ СКЕЙ ХАСЬ │
└─────────────────────────────────────────────────────────────────────────┘
Таблица Б.300
┌─────────────────────────────────────────────────────────────────────────┐
│ г д б в │
│СОЗНЬ ШУЦ ГАХ НАК МАМ ВУНТ РЁЛЬ РИП КУФ БЁМ │
│ │
│ б б з в жь│
│СИЛЬ ТАЦ ДЕСТ ФЫН ЦУР ТРИП ТЫПЬ ЛЫМ ДАСЬ ФСЯШ │
│ │
│ д д з з з д б │
│ЕТ МИН ПЛАТ ЗЮЛ ЖАС ФАНЬ ДОС ДЯСЬ ПЕТ КЕП │
│ │
│ д в ь ь ь з │
│ТАНЬ ЧТАТ ЕЙ ФУФЬ РУЩ МИЛЬ ВЫЧ ТУХ ЗЭЩ СТИС │
│ │
│ в в жь в г з │
│ФЕФ ПРЫФ ТЫШ ПАФ РАМ ТРУНЬ МЯР ТРЁК ДЮЛ ПЁСЬ │
└─────────────────────────────────────────────────────────────────────────┘
Таблица Б.301
┌─────────────────────────────────────────────────────────────────────────┐
│ б ь в з │
│РЕПЬ БЕМ ДЁЧ ВАФЬ СЕЛЬ СОСЬ СТЯЛ ЛЕН ПРЫЛ МЯМ │
│ │
│ в в б з г │
│ЕР СКУМ ДЛАФ ГЕФ ДЕП ШТАЙ ДАС МЫЛ ФОК КУЙ │
│ │
│ з з жь с з жь г │
│ЧЕСЬ СКЕС ДЯН ХУЛ НЯШ РОЦ ЗДЕС ЗОШ ГЕК РУТ │
│ │
│ эд ь в з в в з │
│ПЮМ ШЕТЬ ЗЫРЬ ПЯЩ МОФЬ РЯС НЫФ ЛЕФЬ БЁР ШУСЬ │
│ │
│ з д г д д │
│ТРЕН СУЗНЬ РЫС РЫЦ ТЕТ ЗЯК РЁТЬ ТОРЬ КАСТЬ МОТЬ │
└─────────────────────────────────────────────────────────────────────────┘
Таблица Б.302
┌─────────────────────────────────────────────────────────────────────────┐
│ з в з з г з │
│РАСЬ ТЭФ БЮН ДЕСЬ СЫМ ШТИСЬ ЛЯМ НЯК КАСЬ НАР │
│ │
│ б в в в з │
│ТРЁП ВЁНЬ ЧТУЙ ВЮР МИФЬ ДЫСТ БАНЬ ФСОФ ЛАСЬ ТАС │
│ │
│ ь ё жь г б │
│ТУЩ ШОХ НОСТЬ ХОЛЬ КАЦ КЕШ ТРЮЛЬ ВИК ТРЯПЬ ЧУМЬ │
│ │
│ ь в д ь д д ь жь │
│СТЫЧ СЁФ ДРЕТЬ ФУЧ ЛУТ ПЫЦ НОТЬ ТЁЩ ФИШ НУЦ │
│ │
│ в э сч д │
│ВУФ ТРУХ БАН ВУР МЁХ ДЮРЬ ЖЕН ЩЕТЬ РОН СВАР │
└─────────────────────────────────────────────────────────────────────────┘
Таблица Б.303
┌─────────────────────────────────────────────────────────────────────────┐
│ б г ь г д в г з з │
│ЛИР НЕПЬ КИК ЗИЧ ФЕК ШТОТЬ ЗУФЬ ВАК ЗЮС ПРАС │
│ │
│ в д ёв д г │
│РЕЛЬ СТОЦ ПРЮХ РУФЬ ХЕТ ЖОФ ТАЦ ТЮТ РЁК ГАНЬ │
│ │
│ ь в в в в з з │
│БУЩ ХУФ ЛОЦ ВЯФ ГУМ МАФ ЛУФ БЫС СЁЙ ЖАСЬ │
│ │
│ б д ыз з в │
│ДОР ТЫПЬ ЗНУН ЗЕХ ПИЦ ТРИТ ШИСЬ ЛЁНЬ КРЫС БУФ │
│ │
│ б г │
│ДУМ ГИПЬ СВУМ ЦОЙ РЯЙ НЯРЬ ПОРЬ ЁК ГОМ СЯХ │
└─────────────────────────────────────────────────────────────────────────┘
Таблица Б.304
┌─────────────────────────────────────────────────────────────────────────┐
│ д д ь з яд з д │
│ ПРИТ ЗУНЬ БОТЬ ТЯЧ ДЫС ЧАТЬ ЮЦ ПУЛЬ ЯС ГУТЬ │
│ │
│ ь з з ь г ов │
│ ЛОРЬ ПУЧ ПОН БЯС КРОМ СУСЬ ДУЧ ПЛЫК ЧЁФ ФАЙ │
│ │
│ г │
│ ВОХ РЮХ ЗОЛЬ ДАМЬ БЁК ПРЕНЬ ПЕСТЬ ШАРЬ ТУХ ТРАР │
│ │
│сч ю ыг в з │
│ ЩУРЬ ЧТЕЛ САХ РИР ЗНОМ ПРОЦ ЖИК ГОФ МИС РУЛ │
│ │
│ в з жь сч я д эб │
│ ЁФЬ ТУМ ДЕС ДЛИН МЕШ НЕНЬ ЩАЛ КАТЬ ШЕП ЗАХ │
└─────────────────────────────────────────────────────────────────────────┘
Таблица Б.305
┌─────────────────────────────────────────────────────────────────────────┐
│ з б ы з д д в │
│ВОСТЬ НЫСЬ ЛЮПЬ ШИЙ ПЛИСЬ МЯТ БАЦ СТАР НЁТ ФСЕН │
│ │
│ ь ь с б д ь з │
│ЛОЧ ЦУЧ ЗДАП САМЬ ЦАТЬ НУНЬ ХИЛ ЧИНЬ ХАЧ ПАСЬ │
│ │
│ ё в д з сч о │
│ШОЛЬ ПЕЛ ТАНЬ ВЯЙ ДЯФ ЛЕР ДВАТ ЗОС ЩЁХ ВЫЙ │
│ │
│ д ь б з в ь з │
│ЧТЭТ ЧТАЛ НИЩ НАХ НИП ЖУС МЮФ ТЁР СИЧ ВЫС │
│ │
│ в з з в ы ь │
│ЦЫЙ ФЫЛ ТИСТЬ ФСЕС ХАС КОС ПЯФ СЫХ ШИЧ СУЛ │
└─────────────────────────────────────────────────────────────────────────┘
Таблица Б.306
┌─────────────────────────────────────────────────────────────────────────┐
│ жь е з д з д г б │
│ТРИР СЯШ СЭМ ПИС РЯХ НЮТЬ ЛИС ДЯНТ ДЁК ГЕП │
│ │
│ жь б в з д г │
│БЫШ ЧТУП ВЫФЬ ДВИЙ ЖАСЬ ПУР НОНТ БЮРЬ РУК СЮЙ │
│ │
│ д б д в │
│ЧТЫР ВЕТЬ НИТ КАСТ ВОП ЗОЛ СЫРЬ БУТЬ СУХ ПОФЬ │
│ │
│ жь ь в б ь ь │
│САШ ПРИЧ ЯФ ДЯП ХИН МЫЧ ТУРЬ ВАЧ ЗНАР НЁМЬ │
│ │
│ б жь ёд з д │
│БАМЬ РЮП ТРЕЙ ФЫР ГАЦ ВУШ ЖОТЬ ШТОСЬ ПРЫЛЬ ШАТ │
└─────────────────────────────────────────────────────────────────────────┘
Таблица Б.307
┌─────────────────────────────────────────────────────────────────────────┐
│ б б д г в ь в │
│НИМ МЯНЬ ПЛИП ЛЮП ТРАТ РЯК ЗЯЛ БЮФ ПЯЧ СОФЬ │
│ │
│ яз ь с д з г з в │
│ЧАСЬ ГАМЬ СКАХ МИЧ ЗДЯТ ДЕСЬ ДУК РАСЬ ЦОМ ФСОХ │
│ │
│с з ё в б в │
│ЗДОС ШОМ НЯФ ЛАЦ ДИПЬ ХАФЬ ФАН СКИР ЖУРЬ МЁЦ │
│ │
│ в ь з │
│ПЮЙ СУМЬ ТРЯН МЯФ ДАЩ СТАМ ТАСЬ ЁЛ ПЫРЬ РЕНЬ │
│ │
│ жь з ь д б д в жь г │
│ПРОШ ЗУСЬ МЮХ ВЫЩ КРАТЬ ТРЕПЬ ФИТ НЫФЬ НУШ ПЛАК │
└─────────────────────────────────────────────────────────────────────────┘
Таблица Б.308
┌─────────────────────────────────────────────────────────────────────────┐
│ в з ы в │
│НОЛ НЯН ФСИСЬ ХАНЬ РИЙ РЯЛЬ БОРЬ ЖИЙ ГОНЬ ПРИФ │
│ │
│ ь з з д з жь з │
│ШАЧ ФОЛЬ БЁС НЕСЬ ТЮТЬ ЩИСЬ РЁЛ РОН МАШ СТЯС │
│ │
│ з в з г в г │
│ГОЦ ЗИЛЬ ПАНЬ РЫС РУФЬ ЮС ШУК ЦУФ ТОФ ДРАК │
│ │
│ д в в г з з │
│ПРЮТ СЭК ЧЕФ ТЁСТЬ ЧИФ НУР ЛЫК ПЕСЬ НАС ШУНЬ │
│ │
│ з э жь ь б д сч я │
│СИСЬ КАЦ КАР ДЯХ ШЕШ ТОЧ ХЕП СТОТЬ ЩАР ПЕМ │
└─────────────────────────────────────────────────────────────────────────┘
Таблица Б.309
┌─────────────────────────────────────────────────────────────────────────┐
│ в эд г ь │
│ШУФЬ ЛЁР ЛАЛ РЭЛ ЦЕТЬ ТЯЛ ТИМ ТРОК ВУЩ РЫЦ │
│ │
│ з в в жь сч б б д жь │
│ПЭС ФСЯЛ ВЯФЬ ТЕШ ШТАМ ЩЕП ЧИП НЕТЬ ВЕШ ВЁЛЬ │
│ │
│ ез д жь б в │
│ФЕРЬ ЗЭС САСТ ХОТЬ ВУЛЬ ЧТЕХ ТРУШ БЫПЬ ПОХ ДУФЬ │
│ │
│ з б г жь │
│ЗЫЛ ЛОНЬ ДЛАН КРУС КИН ДОПЬ ЗЁК ЛЫШ ПЮЗНЬ ЁХ │
│ │
│ б з д д │
│ПАЦ ГОП БЯЦ МОЦ СЁМ КУСЬ ДЭТ ДИЛ САР ШТУТ │
└─────────────────────────────────────────────────────────────────────────┘
Таблица Б.310
┌─────────────────────────────────────────────────────────────────────────┐
│ в г д б з │
│БАФ ТЫК САТЬ НАЛ ХУП ЧТАС МАМ СВЕН КЕХ ВИЙ │
│ │
│ од жь э в з з д з ь │
│ЧЁТЬ ХОШ ШЕМ ПУЛ ТОФЬ ФУСЬ МЕСЬ НИТ ТИСЬ ЛЁЩ │
│ │
│ ь ь д б │
│ЛЯЛЬ ДЛЕМ ТАЛ ВОСТ ГЕЧ ЗАМЬ ТЁЧ ЛЕТЬ ЧУПЬ ЗОЙ │
│ │
│ ь з э з э ь ь сч б д ы │
│СЕЧ ЕС ЖЕМ БАСЬ ЦЕЧ СТУХ НОЩ ЩИПЬ ДЮТЬ ШИНЬ │
│ │
│ ь д д г жь │
│ЛЯЩ КАТ БЯН ПРАР ТЫТЬ ЗЕК ДАЛ ЗНУХ СВАШ ЗОХ │
└─────────────────────────────────────────────────────────────────────────┘
Таблица Б.311
┌─────────────────────────────────────────────────────────────────────────┐
│ б д сч яд в д яв │
│РАПЬ ЛЯТЬ ЩАТЬ РЁН СВЕМ ЁМ РЯФ НУТ ДЁЦ ЧАФ │
│ │
│ д ь г жь з э ь з г │
│ЧТУТЬ ЛУЩ СЫК ЗАШ БУС ШЕМЬ ДАЩ ДВАС НУК МЮН │
│ │
│ в д в ь │
│ЗЫХ ФСИХ МАРЬ ТРЯТ ФИЦ ТУФЬ ДЮМ ЧТЫН САЛ ЛИЧ │
│ │
│ г д д э э │
│КРАК ПЛИТ ДИЕТ ТЕН ДЯЛ НАТЬ ЦЕР ТИЛ ШЕН БУЛ │
│ │
│ д в г жь в │
│СУРЬ ДЯТ ШТУМ СЫФ РЮК ТРЫХ КРОШ НАМ ЛЮФЬ ТЫХ │
└─────────────────────────────────────────────────────────────────────────┘
Таблица Б.312
┌─────────────────────────────────────────────────────────────────────────┐
│ жь ё в д б │
│ ПАЦ ПРЯШ ШОН ГЕЙ САФ КАТ МЫРЬ ШУЛ СТЕР РЕПЬ │
│ │
│сч б в ь б │
│ ЩИН ЯПЬ НЕФЬ ЧИМЬ СОЩ ТЫЦ ФЭП ЛИР ПЯЛЬ СИТ │
│ │
│ оз в б в │
│ ЧЁСЬ НЫЦ БОН ЖАФ НОН КИН ФОК ДОР НЯП ЧТАФ │
│ │
│ б ь з з в │
│ ФОЦ МОП ЗИЛ СТАЧ ВЮС ПРЮС СЕН ФУЛ ЕФ БЕР │
│ │
│ ь г з в │
│ КАЧ ХОЙ ШТЕК ГУЦ ДЛОХ ТОСЬ ПАНЬ МЮЛЬ ЗАЛЬ ВАФ │
└─────────────────────────────────────────────────────────────────────────┘
Таблица Б.313
┌─────────────────────────────────────────────────────────────────────────┐
│ д ь б б д г │
│ ЗЯЙ БЯТЬ ВЕЛЬ ПЕХ РАЧ КЕЦ ПЛАП ХАП БАТЬ ТЕК │
│ │
│ в з б д б │
│ ХОФ ЧТИС ФЕЛЬ ЗНАН НЁП ЛЁМ ПУЛ КОТЬ ВЯП ЛЁХ │
│ │
│ жь з б с жь д │
│ ЛАХ ХЕШ ЗНУСЬ СОПЬ ЗДИШ РУТ САЗНЬ ЛЫЦ ВАЙ НЕМ │
│ │
│сч ь з д д │
│ ЩИЧ БЫНЬ ВУСЬ ТРУМ КУНТ ГУЛЬ МЯХ БЁНЬ ПРЁТ СКОЛ │
│ │
│ ыв в ёз г │
│ ЖИФ ДЕН ФСЮЛ ЗЁЙ БЮЛ БЫМЬ ЖОС СВОЛ РЯЦ ВЫК │
└─────────────────────────────────────────────────────────────────────────┘
Таблица Б.314
┌─────────────────────────────────────────────────────────────────────────┐
│ з з в б з жь │
│СТЫС ГОС ШУФЬ РЕЙ ТУЛ ТРЕР СЕЛ ВУПЬ СЯС ЮШ │
│ │
│ в в б │
│ЦОН ТРОХ ПЁФЬ ПЫМЬ НЕСТ ЦУХ НИФ ВОХ МЁПЬ ГАН │
│ │
│ д з б з э жь д ю │
│ПИТ ПРУСЬ ДЫЛЬ ТЫП СИС ШЕШ ВАСТ ВЁТЬ ДЕМЬ ЧУН │
│ │
│ б в б ь в д б │
│ТИЙ СТУП ПРОМ ШТЕФ ПЁПЬ КУН ЮЧ ФСАТ ЗОН ЛЕПЬ │
│ │
│ д жь в г г жь б жь│
│ЮТЬ ЖАМ РИШ ДЕФ ЗУК ЛОК БУШ НЫЛ ХУПЬ СКИШ │
└─────────────────────────────────────────────────────────────────────────┘
Таблица Б.315
┌─────────────────────────────────────────────────────────────────────────┐
│сч ю б д ь д │
│ ЩУР РЕТ ДРОН ПРИЦ НЮЦ ГИП ВЫТ ГАЧ ДЛЕТ ДАМ │
│ │
│ г б ь │
│ ТЁСТ ДУЛ РУК БЯЛЬ ТРЮП ХАХ КАР РУНЬ МИРЬ РОЧ │
│ │
│ д д ь ь с з з ь ыз │
│ ШАТ МУТ РИЩ ТРИЧ ЗДОЛ НУС МЕС ХИЦ ПУЩ ШИСЬ │
│ │
│ д в д б │
│ БИМ ЧЕТЬ ДУЦ ЖУР РОР ПОФЬ ЗЕЙ ТЫТ НЯНЬ СЮПЬ │
│ │
│ д ы д ь г ь │
│ ГЕТЬ ЗАРЬ ЗУРЬ ШИНЬ ЛОМЬ ПЯЗНЬ ТЁТ ЦОЧ НИК ФАЧ │
└─────────────────────────────────────────────────────────────────────────┘
Таблица Б.316
┌─────────────────────────────────────────────────────────────────────────┐
│ г б б жь б д │
│ХОК КУПЬ ПРЕЙ РЮЙ КАРЬ БЮПЬ ХОМ ТАШ РЕП СЯТЬ │
│ │
│ б б з │
│СВАМ СТОХ ЗАПЬ МЯХ ЗОН СЮЦ ВИЦ ДЮП РЮН ТРЯСЬ│
│ │
│ г д б з б ь б │
│СКАК БЕТ ТЁПЬ НЯСТЬ МИСЬ ХЕПЬ ЛЁЧ ВОПЬ ЦЫМ ТРЯХ │
│ │
│ з ё д з жь в │
│ЗНАМ РЁЛЬ ПЛОС ПЁРЬ ЖОЙ ДЯТЬ РЁСЬ ПЫР ТРЯШ КИФ │
│ │
│ з д д з д д │
│ЗНУС ГОТЬ МЁТЬ ЛОР ЗАСЬ ЛЫТ ЧТАЛЬ СОЙ НОТ РАНЬ │
└─────────────────────────────────────────────────────────────────────────┘
Таблица Б.317
┌─────────────────────────────────────────────────────────────────────────┐
│ б я в ь ыб │
│ПЫЙ ГУП ЧАЛ ТРОФ БУН ЯХ ЛАЧ ЖИП СЮФ БАХ │
│ │
│ д ь б ь ь д з в д │
│ЁТЬ СУЧ ПАПЬ ЛЁЛЬ НЮЩ ДЕХ ФУЩ ВУТЬ ГИС ФСОТЬ│
│ │
│ б ё б в ь│
│ЛОХ МАПЬ ШОМ ТИЗНЬ ДАХ ФЕП РУМ ФСЕЛ ДЛАХ КРОЧ │
│ │
│ жь б жь з д │
│СИШ БЕП ПОМЬ НИХ ЗУМ ШТОХ ГАШ ЗЫС ДРЕТ НЕНЬ │
│ │
│ ёб з сч яб д │
│ТУНЬ ШОП БЮС ЗОЦ НИН ЩАП ЖАН ЗЭН СОХ СКЕТ │
└─────────────────────────────────────────────────────────────────────────┘
Таблица Б.318
┌─────────────────────────────────────────────────────────────────────────┐
│ г ь з з з │
│СИРЬ ВЁК ЯМ ПАЩ НЯЦ ДЕХ МОНЬ СЫСЬ БОСЬ ЛУСЬ │
│ │
│ в сч о ь б г ь │
│ДЁФЬ ВАЗНЬ ТИН ЩЁЧ МИЛЬ БАН ТАПЬ ЧТУК ТЯЦ ВАЧ │
│ │
│ сч з │
│ГЕХ ТОНЬ ТРИЦ ПЕЗНЬ ЕНЬ МУРЬ ЩИС ПОК ЛЮМ ЕР │
│ │
│ б од в жь б эз г б │
│ПОПЬ НЭР ШЁТ ЛУФЬ НЕХ ВЯШ ДЕП ШЕС ШТИК ВАП │
│ │
│ в б ы г в б в б │
│ВЫМ ФСЕП ШАНЬ ШИХ ПЛИК КИФ ЛЯЦ ЮПЬ КОФ СТАП │
└─────────────────────────────────────────────────────────────────────────┘
Таблица Б.319
┌─────────────────────────────────────────────────────────────────────────┐
│ г ь д жь б │
│ПРАЙ СЭК РОРЬ ПРУХ ТУЩ СЫНТ ГЕЛЬ ПЁШ НЯПЬ СЭТ │
│ │
│ э в в з │
│ЗЕМЬ ЧИХ ФАЛ ЖЕЦ БЮФЬ ДОЛЬ ДЯМ КЕРЬ НУФЬ НЫС │
│ │
│ в г в │
│РЫМ РЮХ РАЦ БУФЬ ЧТЭК ПЯН РЕФ ФУХ РИМЬ ТИЦ │
│ │
│ з ь │
│ВЫХ ХУН ЧЕМЬ ПУСТ НУН КРИС НАЧ ВУЛЬ ШТАР ХИНЬ │
│ │
│ ь ь б ид юв з │
│ЗЯНЬ ЗИНЬ МЮЩ ГУЧ ТРАХ ЗЁН ТЭП ЦЫТ ЧУФЬ ПЕСЬ │
└─────────────────────────────────────────────────────────────────────────┘
Таблица Б.320
┌─────────────────────────────────────────────────────────────────────────┐
│ б жь г ь б жь │
│ДЕН СВОХ НАП ПРОР КАЛЬ ДЫШ ТРЫК ВИЧ ГАП ЧЁШ │
│ │
│ жь б в эз с г з │
│ЖУНЬ СТУШ ЛИП РЫХ ДОФ НЁР ЦЕСЬ ЛЯЙ ЗДЕК ХАСЬ │
│ │
│ д с жь эб ь д ы │
│РУТЬ КАС ЗДАН БУШ ШЕП БЁРЬ ЗУЧ ДЕНТ ПРИЙ ШИМ │
│ │
│ б з д з │
│ЧТЕЙ БЫРЬ СОЙ МЫП ЦАЦ САС СТЯМ ФЫМ ФИТЬ ТЫС │
│ │
│ г д д сч д │
│ДУР ПЮХ ДЛЮК ТЕТЬ ШУРЬ ЛЕТ ЩЕР ДВЕТЬ ХУХ ПРЯН │
└─────────────────────────────────────────────────────────────────────────┘
Таблица Б.321
┌─────────────────────────────────────────────────────────────────────────┐
│ жь б д жь д │
│СИМ ЗЫЛЬ РУШ БЕЛ РУМ НЁП ПИТ РАШ ФЫЛЬ ТЕТ │
│ │
│ з г д б в б з │
│СВОС ЗОК РЯТЬ ЯП ВОФ ТРАПЬ ТРУСЬ ЛУН МИЦ ПЕМ │
│ │
│ з д эб жь я д г сч │
│КИСЬ ПРОТ ПУЙ ЖЕПЬ ШТИШ ЧАМЬ СВАЛ ЗУТЬ ЦОК ЩИЛ │
│ │
│ д б сч г жь о г жь │
│ЮН РУТ НУП ЗУМ ЩЕК ВОЦ ФУШ ШЁЛ ЗИК СОШ │
│ │
│ ь з в в б з │
│ЕЦ ТИЧ РЫЛЬ СЮСЬ СЕФЬ КРАЛ ФСЯП ЛЮЛ ХОМЬ ЧТИСЬ│
└─────────────────────────────────────────────────────────────────────────┘
Таблица Б.322
┌─────────────────────────────────────────────────────────────────────────┐
│ ь з з з з │
│ПРАЛЬ СУР ЯЧ ЗОР МЯСЬ ЦЫСЬ СТОР ДИСЬ ЁС СЫЙ │
│ │
│ в ы ь │
│ДРЕН ШАРЬ ПЛАХ ЛЯМЬ СКУФ НИЛЬ РЁЛ ЖИМ БАНЬ МЁЧ │
│ │
│ сч д з ы сч ю д │
│ТОЦ ЩАХ ФИМ МОТЬ ГОСЬ ПЁЛЬ ШИЦ ЩУЛЬ ХАТ ТАФ │
│ │
│ ё б б │
│КУЗНЬ ЖОЦ ДУПЬ ЗАН МЯН МЫМ НЯНЬ ЧЁП ПАМ ХИР │
│ │
│ эд д д жь б жь │
│ПИН ШЕТ СЫТЬ БЕМЬ ТЭР РЕТЬ ЛЁШ ТРЯЙ ГАП ГЕШ │
└─────────────────────────────────────────────────────────────────────────┘
Таблица Б.323
┌─────────────────────────────────────────────────────────────────────────┐
│ д в ё │
│ВЕЛЬ ТЁР СЁР ВАТЬ ВИН СТЫХ ТОХ ЛЕФЬ СЭТЬ ШОХ │
│ │
│ б ё в б з жь │
│ЗЮП ШОР ПЫР БОФ ЗЮХ ХОП ДИРЬ ФЕХ ЛАСЬ СОШ │
│ │
│ з в б г б з │
│ТРАСЬ ГУФ ЛАП ПРЮЙ НЕМЬ ЦАК ДЯП НЮЦ НУЗНЬ ШУСЬ │
│ │
│ б з жь │
│ХАЛЬ БЁЙ ДЛЕП ТРЁН БУХ БЫЙ ПРЯСЬ ДЛАЙ ДЁЛ БЯШ │
│ │
│ в жь д г жь ь ь д │
│ПЛЕФ ЕМ ГАШ САТЬ СТЕК ПЯШ ТРЕЧ НАЩ ДВИХ ЗНАТ │
└─────────────────────────────────────────────────────────────────────────┘
Таблица Б.324
┌─────────────────────────────────────────────────────────────────────────┐
│ д в з с д б │
│ЗАТЬ ДЮФ ТАРЬ МОЕ ЗДЯТЬ ЧТЫНЬ СОП ЛЫЙ РОР ДЯХ │
│ │
│ ь з ы г б з ь │
│ХУЩ СТУСЬ ШИЙ РИК ТУСТЬ ВАП ЖАС ТИСТ ЛИЩ ЛЁНЬ │
│ │
│ з с г д б з з │
│ГИСЬ ЦАЛЬ НАР ЗДОК НЯТЬ ВЫР ТУП НЭС ПОС ФУЦ │
│ │
│ в в ь б юз б д г жь │
│ЧТУФЬ МЕФ КАЧ ШАПЬ ВАСТЬ ЧУСЬ РИП КЕТ ФАК БАШ │
│ │
│ ь жь з жь д д │
│ТЫЛЬ ПУЩ ВАШ ЗНЁС ЛОЛ ГУН ВЯР РЯШ ЧИТЬ ЧТАТЬ│
└─────────────────────────────────────────────────────────────────────────┘
Таблица Б.325
┌─────────────────────────────────────────────────────────────────────────┐
│ ь з д в д д │
│КУТ ТАЙ ТЯЩ ШТЫСЬ МЮР ЧЁН ДОТЬ ДЫН ФСОТ ВУТЬ │
│ │
│ в в з в в б з │
│ТРЮФ НИФ ХЕСЬ СКЕЛ ДАФ МАФ СЯП ВЁСЬ КАХ КИР │
│ │
│ д з д з д │
│НОТЬ РЮН БЫС НЫТ НУХ ГЕНЬ ЛИРЬ ДЕС ЖУТ КРУЙ │
│ │
│ д в д д в г │
│ПАТЬ ДАРЬ БЮР ВОМ КАФ МУЦ ПЯНТ СОНТ ФСЁК ТЮЦ │
│ │
│ з з ь б жь жь жь б │
│ДЫХ НЕС РЁСЬ БЫЧ РАПЬ ПРУШ ЗЕШ ПРЕШ ВЯПЬ ШТАЦ │
└─────────────────────────────────────────────────────────────────────────┘
Таблица Б.326
┌─────────────────────────────────────────────────────────────────────────┐
│ б ёв в з в жь ь я │
│ЗАП ЧОФЬ ВЫФ ПРУЦ НЕСЬ ШУФ ЧЕШ ДЮЧ ЧАХ НЕМ │
│ │
│ ь в в д г │
│ЛЫЛЬ РЯЧ БОФ ЯРЬ КАФ ТЫНТ СЁЦ ХЕК ТЭК ПЁН │
│ │
│ э в з ь в │
│ЛЮЛЬ ШЕЛЬ ЗЫФЬ ПРОС ЧИЛЬ ЛЯЧ СВЕЛ ТУЛ ФСЮХ ЧТЕР │
│ │
│ д б в в с д с г │
│НЫТ ТОРЬ ДАЦ ДЯПЬ ФУФ СУФЬ ЗДАТ МЁЙ ЗДИК МАЦ │
│ │
│ з ь з д г б з │
│СТАС ШТЕЙ НЯН СЯЧ ХУСЬ ЗНОН ЗЁТ ФИК ФАП ГАСЬ │
└─────────────────────────────────────────────────────────────────────────┘
Таблица Б.327
┌─────────────────────────────────────────────────────────────────────────┐
│ в в ё в д д в д │
│ТЫХ ПУФ БЕФЬ ЦУЙ ЖОР ТРАФ ДИТ ПИНТ ДОФЬ РЕТ │
│ │
│ б б г │
│ПРЁН РАРЬ РОПЬ БАП ВЁНТ ДУК ПЯЦ ТЯМ СКИН МАЛЬ │
│ │
│ д в б з в ь э ь │
│КРЕТ ВИФ ЗНЕХ ТАН ЛАМ ДОПЬ ЕСЬ ФСИЙ СТОЧ ШЕЧ │
│ │
│ з д г в жь │
│ЁЛ КОС ТРОТЬ ПАК КОФЬ ЦУН БАШ КУТ БЯМЬ ВЫЛЬ │
│ │
│ ы з д б сч о з жь │
│ЖИМЬ ПЛЕС СОМЬ ЦУТЬ СЮЛЬ ВУП ЩЁР МОС ПЛАШ ЛЯЛ │
└─────────────────────────────────────────────────────────────────────────┘
Таблица Б.328
┌─────────────────────────────────────────────────────────────────────────┐
│ г з в ь з г │
│МУК ДЛИС ПРЮЛ ЛАФ БУХ ДОШ ШТАС ВЕР СЮМ ЗОК │
│ │
│ д жь г жь ы │
│РУРЬ ДЁСТ ЖАЙ ДРОТ ФЕШ СТИК БЫЙ ДИШ СУМ ШИН │
│ │
│ в жь з з │
│НОФ ЛЁШ СТЫЙ ШТОМ БЫСЬ ТЁН ТРЮР КАН ЛИС ХИЗНЬ│
│ │
│ б г д д эб │
│ПИРЬ ЛОПЬ СКАФ ПЮК ГИТЬ ЧТУНЬ ЛЁТЬ ЖЕП МЯР ПОЦ │
│ │
│ б в г ь д д │
│РЁРЬ ТАХ МЯП НАРЬ НЯФ РЮЙ ГУК САЧ СИНТ ДЛАТ │
└─────────────────────────────────────────────────────────────────────────┘
Таблица Б.329
┌─────────────────────────────────────────────────────────────────────────┐
│ ь жь в д г ь │
│ ХАМЬ ШАЦ ДЁЩ ТРИШ ПРЯФ БИХ РЫТ ВЯК ЛАН ПЫЧ │
│ │
│ ь з в б б д │
│ ТУЧ ФОНЬ НЁЛЬ ХИС ДИФЬ РОЛ САПЬ РИП ТРЯТЬ ЛЁР │
│ │
│ ёб жь в ь │
│ ВОМЬ ВАЦ ЮХ ДЁМЬ ШОПЬ ГЕШ ВАМЬ РИФЬ МЁЩ ФЫРЬ │
│ │
│сч юг б жь сч юз б з │
│ ЩУК РЫЛ КРОН КАПЬ ВЁШ ТЮЛ ЩУСЬ ЗЕП ПУСЬ БУНЬ │
│ │
│ ь ь ь д б ь │
│ ХАЩ НЫЧ МИЧ ПОЛЬ ЗЭЛ НАЙ ВУТ ГЕП КЕЩ СЫНЬ │
└─────────────────────────────────────────────────────────────────────────┘
Таблица Б.330
┌─────────────────────────────────────────────────────────────────────────┐
│ в д з │
│ГОМЬ ТЮРЬ ПУХ ФСАН ЁХ НЕТЬ ТРЫЛ ТИСЬ ПЕЦ ЛУЛ │
│ │
│ в жь д б сч ю д │
│ЖУФ РЁШ ЗОЙ СОТ СВОР ЧТАП ЗОНЬ ТЫР ЩУН ГУТ │
│ │
│ г б г │
│ХОНЬ ЗИР РЕЛ ГАЙ ЧТЫРЬ НИК ЗАР СЕП ЗУЛ ПРАК │
│ │
│ б з з д жь з │
│ШУПЬ ТРЕС НИЗНЬ РЮС БЯМ МЮТЬ ЗЯРЬ НЮШ ДАЛ ШАСЬ │
│ │
│ эз б в б юг з │
│ЦЕС БЯНЬ ХОПЬ ЮФЬ КИЛ ДВАН НУП ШУЙ ЧУК БЁСЬ │
└─────────────────────────────────────────────────────────────────────────┘
Таблица Б.331
┌─────────────────────────────────────────────────────────────────────────┐
│ г ь д д в │
│ТЭК ЧТАНЬ ГУЧ ТЕЦ ПРЫТ НЫЙ ТЫЛЬ СЫТ СИФЬ ФИР │
│ │
│ б с д з ь жь б в г │
│ГУП ЗДИТЬ ШТАСЬ ХИЩ КРАШ БУП ТАФЬ ДЕК ТОХ ФОХ │
│ │
│ в ь з б в сч яз │
│ПУЛ ВЕФЬ СОЧ СИР ЗНОС БЯП ХОН РИНЬ КОФ ЩАС │
│ │
│ в в д жь │
│ЛИМ ЛЕЙ ПРЯМЬ РЯФЬ ДАРЬ ЁФ НЁРЬ БЫМ КИТЬ ЯШ │
│ │
│ в б сч оз з д г ь │
│ЗОРЬ БУР МЯФ ТРЁП ЩЁС ГЕС ДЕТЬ ЗЫНЬ БЮК БУЧ │
└─────────────────────────────────────────────────────────────────────────┘
Таблица Б.332
┌─────────────────────────────────────────────────────────────────────────┐
│ д жь ь б ь в жь │
│ЛИХ ДЛЕТЬ ЕШ ВОЧ ЧИПЬ ЖУЛЬ СУЩ ПУФЬ ЛЮЦ БОШ │
│ │
│ д г д д д з г в │
│ФЕТЬ ФУК РЫТ ЮР РЁТ ДЫНЬ ХАТ СЕС ПЁК БЫФ │
│ │
│ б д з д з з сч д в жь │
│ЗИП СКИЛ РЕТЬ КУС СВОТЬ САСЬ ПЫС ЩИТЬ ЛЁФ МАШ │
│ │
│ ь жь сч оз ю б │
│ПЁР МЕНЬ ТЁЧ РУРЬ ЦОШ ЛАР ЩЁСЬ РУЛ ЧУНЬ ГАПЬ │
│ │
│ з ь ыв в │
│ДЫС БЮНЬ ТРЕЩ ЗЕН СТЕХ ЛЫЛ ЖИФЬ ФСАЛ ШАНЬ МУМ │
└─────────────────────────────────────────────────────────────────────────┘
Таблица Б.333
┌─────────────────────────────────────────────────────────────────────────┐
│ г д ь б б з │
│ЗНИК ЖАТ НЯЧ ВЯЧ ДАПЬ ЛУМ КОП НАН КЕС ЕНЬ │
│ │
│ жь я ёб в г │
│РЕШ ЦАХ ЧАРЬ ШОПЬ ПРЕХ ЗУФ ШТИХ ПОМЬ ЛОН ЛЕК │
│ │
│ б ы ь жь д б з б │
│ЗЯП ШИМЬ ВУЦ НАЩ ПЮШ ТРОТ ТРЫП НУСЬ СТАПЬ НИНЬ │
│ │
│ б д в з в │
│СЕЦ ТЯП КРУЦ ПЮНТ САЙ ВАЛЬ ДЮЦ ВУФЬ ПОСЬ ДОФ │
│ │
│ ы з ь ь │
│ШИХ МЯЛЬ РЮС ЗОЧ СОНЬ ТАЙ СТЫЛ СКОХ НОП НИЧ │
└─────────────────────────────────────────────────────────────────────────┘
Таблица Б.334
┌─────────────────────────────────────────────────────────────────────────┐
│ б б сч юз з │
│ТРАЦ ТУПЬ РОПЬ ЩУС РАРЬ БЕЛ ВЫЦ СТАСЬ ПЛАЙ ДРОХ │
│ │
│в з жь ь в д д ё ь г │
│ФСИЛ ЗУН ДЛАСЬ ФАШ ГАЩ ДАФЬ НЯТЬ ДИНТ ЧОЧ ХАК │
│ │
│ д в з б ь ь │
│МИТЬ ФСЯС ВОНТ БАПЬ КАХ ПЁЧ ТЮН ГИЛЬ ТОЦ ХУЧ │
│ │
│ ёд б ь з жь жь │
│ШОТЬ РОЛ НЕП ДЯР ГИЧ ЦЫС БЁШ НОЗНЬ ШУШ ВЁЛ │
│ │
│ сч с э з д жь д │
│ЯЛ ЩЕН МАЗ ЦЕМ МЁС ДИХ ТИНТ ПРАШ ПАЛ ЧТЫТЬ │
└─────────────────────────────────────────────────────────────────────────┘
Таблица Б.335
┌─────────────────────────────────────────────────────────────────────────┐
│ з эз в жь з ь │
│САСТЬ ЧТЕС ШЕС МЮФЬ ФЫШ ГУХ ПРУН ЗЁР ЛЯС ЖАЧ │
│ │
│ ь г в в з з с │
│ТРЯЛ РЫЛ БЯЧ ПРИК ВЕХ ЧЕФЬ ХИФЬ ДИСЬ СВЯС ЗДАЦ │
│ │
│ в б ь в д в │
│ЗАФЬ СУПЬ ТИЛ ПЯМЬ МАН РЮЧ ТРЁФ ДЁН РИТ НАФЬ │
│ │
│ эз з │
│КОСТ НЕЦ ПЛЕХ ЖЕСЬ ЛОЙ ТАРЬ НЯЙ ВАХ МЫХ СЁСЬ │
│ │
│ б жь │
│БОЛ КАЛЬ ЗАНЬ КУР ДВАХ ПУР ХОП РЯШ ШТЫМ ЧТУН │
└─────────────────────────────────────────────────────────────────────────┘
Таблица Б.336
┌─────────────────────────────────────────────────────────────────────────┐
│ ь ь з яб г │
│ГИР РУЧ ЧУРЬ РЁЧ ХИСЬ ЗОМЬ НЁМ ЧАП ПЕК ТРИЛ │
│ │
│ г з з ь б │
│РУК ЗЕС КАР ТРЁСЬ ЖАЩ САЙ СИП ПУМ ЛУЛЬ ТАЗНЬ │
│ │
│ з в з в д эб б │
│ШТЕС ФСЯН ГУС МЯЛ ХУЦ СЯФЬ МИТ ПЫМ ШЕПЬ НЫПЬ │
│ │
│ з з ь з │
│ХЕСТЬ СТАХ ДЭС РЫЙ ВЫРЬ ЛУС РЯЧ ХЕЛЬ КРЕЛ БОСЬ │
│ │
│ э д д б │
│ЖЕХ РИЛ ТЮР ГАХ НУТ ТАМЬ СЯНТ ШУР ДОП ЖУМ │
└─────────────────────────────────────────────────────────────────────────┘
Таблица Б.337
┌─────────────────────────────────────────────────────────────────────────┐
│ в з жь в сч о сч ь б з │
│ТОФ РОС ЗЁШ ЗЯФ ЩЁЛ ЗУЦ ЩЕЧ ВОЦ ЧТЕП ВАСЬ │
│ │
│ з ё в в │
│ЕН МЁСЬ ЧОХ ЯМ ДОЦ МАФЬ ВЕФ РЫН ЛИЛЬ ШАМ │
│ │
│ д в в жь г д │
│БИТ ФЫЦ РАФЬ ФСУЛ НИЙ ЦЫШ ПАМЬ ПРУК ШТЫЛ ЗНИТ │
│ │
│ б ь д жь с │
│НОПЬ ДЯЩ БИЛЬ ЛЫРЬ ФАХ МЫЙ ГЕЛ НЮТ ВЭШ ЗДЯН │
│ │
│ з г з д в │
│КЭС ДИЦ ДЛОК СЮРЬ СТЕСЬ САТЬ ХАЛЬ НЯМЬ ВОМ МЯФЬ │
└─────────────────────────────────────────────────────────────────────────┘
Таблица Б.338
┌─────────────────────────────────────────────────────────────────────────┐
│ з б г з в б в │
│ШОСЬ ШТЕП РЕК ЁСЬ НАФЬ ПРЫП ЛЕЦ ФСИМ СЁН БЫНЬ │
│ │
│ в з д д з д г │
│ДЫФЬ БЫЦ ЛЁСЬ ЧТУР КРОТЬ СВАТЬ БУСЬ ТЕТЬ ТРОЛЬ МЫК │
│ │
│ г д з б │
│ВИСТЬ ЗДОЙ ЗУЙ СТУН ДЛИК РИТЬ ПЛИН ДИС СУР ЮПЬ │
│ │
│ ь в д с д жь г б │
│НУМ ЗАЧ ТЯФЬ ПОТЬ МИЗ ПЯТ ДАШ ДЕЛ ДАК СЫП │
│ │
│ жь д жь ь д д │
│МОШ ЛЮРЬ ПЕНТ КОШ ЕЧ ВЕМ ЛЕЛ РИХ СКЕТЬ БАТ │
└─────────────────────────────────────────────────────────────────────────┘
Таблица Б.339
┌─────────────────────────────────────────────────────────────────────────┐
│ в з з д в з б │
│КУНЬ НЯФЬ ТРУЙ ФУМ ЧИСЬ СЕС ФЕТ ЦАФ ПЛАСЬ ТЁП │
│ │
│ о в в б б з б │
│ПЮН ТАР ШЁМЬ ПРАФ ФОФ ПЫПЬ ЧТАПЬ НУСТ ДРАС ВИПЬ │
│ │
│ б в ь в г │
│ЛЯП ДЁНЬ ЧЕР ГЕФЬ ФИРЬ ШАН КЕЛ ТОЩ ВОФЬ ПРЯК │
│ │
│ в ь д б б ыб │
│ТАФ ВУЩ НЕН ДВЯТ СВЫМ РЁП ПЕР МЕПЬ ЖИПЬ ТРЯЛЬ │
│ │
│ э з ь │
│СОНЬ ПРЕЛ ЗНОР НАН ХОМ ЯЦ ГОР ЦЕЛ ТУСЬ НЫЧ │
└─────────────────────────────────────────────────────────────────────────┘
Таблица Б.340
┌─────────────────────────────────────────────────────────────────────────┐
│ б д ь ы │
│БЕПЬ БЁН БАМ ПРИН ТОТЬ КЕЙ БУЛЬ ЗЫЩ СТЫР ШИЛЬ │
│ │
│ ыв сч я з д б │
│ЦУРЬ СЫЙ ШИФ ЛАН ЩАН МЮСЬ ВЯНЬ ЛИТ ЛАЦ ГОП │
│ │
│ ь з ё з г в д з │
│СОЧ БОСЬ ТРЁХ ШОНЬ КАС ТЕР ХОК ТЫФЬ ЗИТЬ ТРЫС │
│ │
│ д з з сч д г │
│ДАНТ НЕЛЬ ВЯС ЧТЫС ЩЕТ ТЫМ СКАЛ РЫК РЮР ХУМ │
│ │
│ в з г │
│ЖАМЬ ЗУР ПИХ ДЯР ДЮХ РАН ПАФ НИСЬ ГАЛЬ ЗАК │
└─────────────────────────────────────────────────────────────────────────┘
Таблица Б.341
┌─────────────────────────────────────────────────────────────────────────┐
│ ь б в в б г │
│ПЁЛ ПЕН БЫЩ СУН ЗУНЬ КЕМ ДАП ФСАФ ХИПЬ БЯК │
│ │
│ г в з │
│ГУХ ЗЯР БЕН ХИСТ ЛЁРЬ ЖАК ЛЕЛЬ РЯФ ДОСЬ ТРЕЛ │
│ │
│ б ь ь сч жь │
│ЁЦ ПЛЁХ ЗАП ТРУЧ ЧТАН ФЕЧ БЮМЬ БОМЬ МЮНЬ ЩИШ │
│ │
│ з з сч яв б в д я ь жь │
│ГИСЬ НАСЬ ЩАФ БУП ФСИТ ЧАЩ РЫШ КОР ДЕРЬ ПАЛЬ │
│ │
│ г эб з з г │
│НЁК ШЕПЬ ВАМ НЁСЬ ЗОС ПРЕМ ФЫЙ ЗАК ХАЦ БЁЛ │
└─────────────────────────────────────────────────────────────────────────┘
Таблица Б.342
┌─────────────────────────────────────────────────────────────────────────┐
│ б жь з д в │
│ДЫП МОСТЬ МЁРЬ ВЫЛ ГЕНЬ ДЕШ ЛЮС СКУН СЁТЬ КАФ │
│ │
│ б в с г в д │
│НЕПЬ ФСЯЙ ЗДЯК ДУН СОФЬ МИТ ЯЛ ВЁН НОХ ФУЛЬ │
│ │
│ ыв з о б д в б з │
│ЖИФ ДЮС ЧЁМ ДЛОП ШАТЬ ЛЫФ ЧТУМ ТЕПЬ ЯХ НЭС │
│ │
│ д в ёз д д жь │
│ТАР ПРЫЙ ШТОТ ДЁЛЬ ХОФЬ ШОС ТИМЬ ЛОТЬ БУТЬ КАШ │
│ │
│ ю б з б о жь в в │
│ЧУХ РЁПЬ ЗИПЬ ШУХ ЗЁС ТРЮЙ НИП ЖЁШ ПУФЬ МЯФЬ │
└─────────────────────────────────────────────────────────────────────────┘
Таблица Б.343
┌─────────────────────────────────────────────────────────────────────────┐
│ в э г э жь ь в │
│ДЯН ЧТЫФ ШЕН НОК ЛАХ ЦЕШ ХОЛ ВЕЧ БЫР ЗУФЬ │
│ │
│ д жь б д │
│ПРЯЙ ПУН ДЛЮТ ТОЙ ЗОШ ПЁСТ ПРИП РОХ ДУНТ ТОЗНЬ │
│ │
│ и ь жь ь │
│КРУХ ЦЫР БОЩ ШТАЛ СУЦ ГУНЬ ТЁХ НУШ РАЧ ВИЗНЬ │
│ │
│ г з д з з д │
│ПОК БИЙ КАСЬ ХИТ ПОСЬ ЧТЕСЬ ПЫХ СЁМЬ МУХ РЕТ │
│ │
│ ь ь эд б б │
│СТУМ НЕХ ФОЧ ТАЩ ЖЕТ РАЛЬ ДРОЙ ЦОП ШУЛ МЕП │
└─────────────────────────────────────────────────────────────────────────┘
Таблица Б.344
┌─────────────────────────────────────────────────────────────────────────┐
│ з жь д з д │
│РЁМ СЫС КАРЬ ЧИЦ СВИНЬ ШАШ ТЁТ ГОЙ ПЛОСЬ ЗНУТЬ│
│ │
│ з б г з г │
│БОРЬ СИТЬ ТАН ЕСЬ ТУП ПЯК ВОМЬ ЛУС НЯК СЯСТ │
│ │
│ е в сч я │
│МЯЛЬ РУЙ СЭМ РЫФЬ РЕЦ НЯРЬ ВЕЦ ФИЛ НИСТЬ ЩАНЬ │
│ │
│ з д з в в б │
│ГАР ТЯС ТЫЙ ШАЙ БЯТЬ МАС ЖАФЬ ТРЯНЬ ДЯФ РЮП │
│ │
│ жь з з в д в в в │
│НИШ ТРАС ШТУСЬ БАФЬ ЗЭМ ДИТ СТАФЬ СЮФЬ ВЫФ ХАР │
└─────────────────────────────────────────────────────────────────────────┘
Таблица Б.345
┌─────────────────────────────────────────────────────────────────────────┐
│ ь д ь г б с д з │
│ НИЧ ЛИЛ ДЫРЬ СТЕТ САЩ ЗЫР РЮК ЛУП ЗДОТ ТЫСЬ │
│ │
│ г ь б з │
│ ЦУК ФАЦ КРАЧ СКЕР СТЫП ВУСЬ ЛЕХ ЗУМ ЗЕНЬ ХУРЬ │
│ │
│ в в д з г жь в │
│ РУФ ГОФЬ САРЬ ДАТ ТЫСЬ ДВЕК ВИШ РИН ПРОФ ПРАН │
│ │
│ з о з ь з ь жь иб │
│ ТРИСЬ ЧЁЙ ПОСЬ СВАЧ СЕС СЮЧ ВАХ КИШ ШЫПЬ ЁЛЬ │
│ │
│сч б г б д │
│ ЩИМ ЛЯП НАК ГЕЦ ЗНАП НУР ТРОЛ МЫН ЛИТ ПЕРЬ │
└─────────────────────────────────────────────────────────────────────────┘
Таблица Б.346
┌─────────────────────────────────────────────────────────────────────────┐
│ ёг д в д д │
│ЖОК СЁЛЬ НЕНТ САФ ПЕТ РИХ ТОСТЬ КРУН БЭЛ ЛЕТ │
│ │
│ еб д ё с д в │
│ЗЭП ХАТЬ ВУХ ШОЛЬ ПЁЙ ЮМ ЗДОТЬ ЛЮН ПУРЬ НЮФ │
│ │
│ б в в в д ь ь │
│ТОП ДАЦ РОФЬ ТОФЬ ЦОЛ ДОЙ ХИФ ХУТ БУЧ ЛАЩ │
│ │
│ г в ь д з ь │
│ПЭР ФУНЬ ГУК КУФЬ РЫЧ ВЕТ ЗУС ЛЁМЬ БЕЧ БЯМЬ │
│ │
│ з жь б д б │
│ЗНАСЬ ТЁШ ЛЯР ТРЕП ПЛЁТ РЯН ДВАР ТАЛ КОЦ БУП │
└─────────────────────────────────────────────────────────────────────────┘
Таблица Б.347
┌─────────────────────────────────────────────────────────────────────────┐
│ з ь ь д д г │
│ГЕСЬ ЯЩ ПУЗНЬ ФИЩ ВЯНТ ТИН ТРОЙ ДЛЁТ ВУК ДОХ │
│ │
│ г в жь б в б э жь в │
│СВОК РЕФ НЕШ РЯП ДЯФЬ КАМ ЧТАРЬ ХАПЬ ЖЕШ БЁФ │
│ │
│ б д в в д ь д │
│НОП ШТУТЬ ЛОФЬ РЫФ МЮЦ СЫТЬ ВЫЦ РОЧ ЧЕЛЬ ЗНУТ │
│ │
│ ь сч о б жь г о │
│ЗЯЧ ЦАЙ ЩЁЦ ПРАПЬ МУЙ ЧИРЬ ТРЁШ ВАРЬ ВОК ЧЁМЬ │
│ │
│ д в жь з г д │
│НАМ БАРЬ ЧИЙ ЛУТЬ ЗЕФЬ ЛЯШ ДЛУС ФЫК ПРАТ РЁМ │
└─────────────────────────────────────────────────────────────────────────┘
Таблица Б.348
┌─────────────────────────────────────────────────────────────────────────┐
│ з б д б б │
│ТЯРЬ НУСЬ ЛИПЬ ВЫН СКУТ РАР МАХ ГЕПЬ НЁПЬ МАЛ │
│ │
│ б в д з б │
│ДЯНЬ ШТОХ СЮЛ СИП ТЮФ БОТ ТАСЬ ПРЫМ БОМ ВЁП │
│ │
│ з б в ь б эд ь │
│КЕЗНЬ ГАСЬ СОП ВИФЬ ДЕЩ ШУП ПЯР ШЕТЬ ПИЩ ЁР │
│ │
│ з з в в з д з жь ь │
│ПЮС ДУСЬ ФСИФ СВЕХ КРАС ЧТИХ ШУТЬ МЭС МИШ ЛЁЧ │
│ │
│ з ь г │
│РЮСЬ ХЕНЬ ПЫЩ ВЯЙ НЯЦ ЖУН ФЕЙ ЗАХ СТУР СЫК │
└─────────────────────────────────────────────────────────────────────────┘
Таблица Б.349
┌─────────────────────────────────────────────────────────────────────────┐
│ в б з г ег яг б │
│КЕФ РОП ЧТЫСЬ БЯРЬ ТЁК ГАЙ ЗЭК ЧАК ПРИХ ЗОПЬ │
│ │
│ в сч в в в з з │
│КОЙ ПЛАМ ДЫФ РЕЛЬ ЩИФ ХАФЬ БЫФЬ ВОСЬ СТЫСЬ ПЫХ │
│ │
│ ыз д з в сч яз б д ь в д │
│ЖИСЬ ГУТ СЮС ДОЗНЬ ГИФ ЩАСЬ ПЫП ФАТЬ ШУЩ ФСАТЬ │
│ │
│ з з в б с │
│ТРЯС ЧТУС ЛУФ ДРАЛ СТЕМ ШТАН ШАМЬ НЯПЬ ЗДЯЙ НИХ │
│ │
│ б д з б д з │
│СОМЬ СУРЬ МИЙ ТРУПЬ ТРИХ ПРЮТЬ МОС ТУПЬ ТРАТЬ РУС │
└─────────────────────────────────────────────────────────────────────────┘
Таблица Б.350
┌─────────────────────────────────────────────────────────────────────────┐
│ д в з з ь в з │
│САР НАТ КИФ ХОС ЛЫСЬ ЗОЛЬ ПАЧ ЗЫФ СКЕН МЯС │
│ │
│ жь сч сч э б в жь │
│БОШ ДЕР ЩЕМ ЩЕЙ ШЕЙ ЕХ БЯР ПРЕП НУЛ ФСЮШ │
│ │
│ в з б з │
│ЦЫЛ ПОФ ШАС ГОМЬ МЁЛ НИН ЕЛ ПАП СТОНЬ ДИС │
│ │
│ г б д ь │
│ЯНЬ ЗИХ ТЫК МЯП РЁТЬ ЖАНЬ НЕЧ ФОРЬ ЦОР КИР │
│ │
│ г д з б ь г д │
│ЗЮК СЕСТ НАТЬ ДЮСЬ ДОНЬ НЫП ДЕЙ ТОЧ СЕК СУТ │
└─────────────────────────────────────────────────────────────────────────┘
Таблица Б.351
┌─────────────────────────────────────────────────────────────────────────┐
│ ь б ь ю ь г ь │
│БЯЧ ЕП ВУЧ ЧУЧ КУК ПУЧ БЮЦ ДЯРЬ ПЯХ САР │
│ │
│ д в ь жь з г д д │
│ЗИТ ЛЁФЬ ЗОХ ДЛЕН ДЫЧ НИШ ДЁСЬ ПЫК ТЁТ ТЕТ │
│ │
│ д ы ь д д д │
│РОТЬ БУЛ ЗЕРЬ МЯЙ ЖИЧ ЖУЛ ЛЯТ КРАТ ВОТЬ ЗЫЙ │
│ │
│ ь в б з г д я з в │
│ЛЮЧ ТРИЦ ТРУФЬ ФОП ПЛЕСЬ ФЭК ТРЫТЬ ЧАЛЬ СТОСЬ БАФ │
│ │
│ ог з │
│ПЛУЙ ПУЛЬ ЮР ЖАЦ ЧЁК ЗАМЬ ЛИН ЗУЛЬ ДРАСЬ НЫЛ │
└─────────────────────────────────────────────────────────────────────────┘
Таблица Б.352
┌─────────────────────────────────────────────────────────────────────────┐
│ ь в д д сч ог б в │
│КИЧ СЮХ ФСЫТ СВЫЛ ТЯТЬ ТАР ЩЁК НИПЬ ЧТЕФ ЖАЛ │
│ │
│ з в з з з ыв │
│ЕР БУС КОЛЬ ШУР КУФ ЗУСЬ РЕН НУС ЗНАС ШИФЬ │
│ │
│ с з жь з в │
│РУЦ ФЕР НАСТЬ ПЮЛ ЗДОСЬ МЯШ ТЮСЬ СОФ МУР РИЛ │
│ │
│ ь д в г д д в │
│ШТАЧ НАТ КРУФ ЛЁК ФИТЬ СИЛ СУХ НОНЬ ТОТЬ ФСЯМ │
│ │
│ б и б б д │
│ДЮЙ ЗОПЬ ЦЫХ РОП ВЯЛЬ ТУЙ СЁП ТЁНТ ФАР ВОЛЬ │
└─────────────────────────────────────────────────────────────────────────┘
Таблица Б.353
┌─────────────────────────────────────────────────────────────────────────┐
│ в з б з в │
│НЫХ ЁФ РЕС РЫНЬ ШУЦ ДЛАП ДИМ ВЕН ВАС ЛАФЬ │
│ │
│ ь з ь в з ь ь ь б д │
│СЮЩ ШТЫС ДЯЧ КУРЬ ФСИС НЕЩ ЕЩ ВЫШ ЛАПЬ ПРЯТ │
│ │
│ ыд г з б в │
│ШИТ ДЕК ХОС СКИЙ ЛОРЬ БЁЦ ДАП ФИФ ДЯЛЬ ТИЙ │
│ │
│ з б б з в │
│ЯС МИП ВЫП БЫЦ СЫРЬ ТИС ПАЗНЬ ЧЕН ГУРЬ СТУФ │
│ │
│ б г г ь з б │
│ЛЕП ЗНОК СВАХ ПРЁК НАЛЬ БЕМЬ РИЧ ПРОСЬ ЧТУПЬ ХУНЬ │
└─────────────────────────────────────────────────────────────────────────┘
Таблица Б.354
┌─────────────────────────────────────────────────────────────────────────┐
│ д д з ь б д │
│ТУТЬ НЁТЬ СЕСЬ НЕЙ РОНЬ РЕХ МЁН ЮЧ СЭП КОНТ │
│ │
│ в в в з ь жь д │
│БЮЙ ТРЯФ ЧИФЬ ГАФ ВИС ПРУЧ ПРАЛ РУШ ШАМ ХУТЬ │
│ │
│ эд з жь сч жь │
│ЦЕТ ЛОС БОН ГАЛ ВУЙ САШ ЩЕРЬ РЯР МЮЛ ГОШ │
│ │
│ ид э г о з б в │
│ГЕЙ ЦЫТЬ РОХ ШЕР ДЫК ШЁНЬ ДОС МЕЙ ЧТЫПЬ РЁФЬ │
│ │
│ б сч з з б б в ь │
│ХАПЬ ЩЕСЬ ДУН НЯС СУМЬ МЫПЬ ТЕП ПАФЬ ХОЩ ВЕЦ │
└─────────────────────────────────────────────────────────────────────────┘
Таблица Б.355
┌─────────────────────────────────────────────────────────────────────────┐
│ в д ь г оз б жь │
│МОН СКОФ ДАТ ЗЁЧ ХЕК КЕНЬ ГОМ ШЁСЬ МАП ПЕШ │
│ │
│ б сч я д г з д │
│БЫП ЩАМ ТАМЬ ЦАТ НЯЛ ПРЮК ЛЫНЬ ЗАСЬ ВАНТ СОСТ │
│ │
│с з ч г г ь г в д │
│ЗДЯСЬ ШТОК НУК РАЛ ГИЩ СТАК ТАФ ТЫНЬ РЮТЬ ХИН │
│ │
│ жь з д з д з д │
│ТРЮРЬ ПОШ ТРЕСЬ СТЯТ ПИНЬ ПЕС ЗЯТ ПАСЬ БЯЛЬ ФЫТЬ │
│ │
│ д з ы д эв з │
│ЛЕТЬ ФУС ШИЛЬ ДВЯТЬ БАЙ ЖЕФ ЧТАСЬ ТРАЙ ДЯСТЬ ТЫФ │
└─────────────────────────────────────────────────────────────────────────┘
Таблица Б.356
┌─────────────────────────────────────────────────────────────────────────┐
│ з в д ь ь д ы б │
│ТРЮСЬ КОФЬ ШТЕТЬ РИЧ ВЕНЬ ТЮЧ БЯТ ЖИРЬ ЦАП СЕЗНЬ │
│ │
│ з г з ё в г г │
│РЕС МОК ТЁСЬ ШОЙ ХЕФЬ НЁЦ МАХ НЁК ТЕК ГУР │
│ │
│ д з б з б │
│МАЛ РУТ ТОС ШУП ДИЙ ТЫЦ СКОСЬ ВОРЬ ДЕПЬ ЖУЦ │
│ │
│ ь жь б жь б │
│ВЫЧ ДЁШ ПРЮП ДОРЬ ЮЛ ХИРЬ ЗУШ РЭП НУРЬ ТРОЦ │
│ │
│ в д д с │
│САЛЬ ФСЕХ ЁНЬ КИХ ВЯТЬ НЯТ ДРЕЙ БИН НЯМ МАЗ │
└─────────────────────────────────────────────────────────────────────────┘
Таблица Б.357
┌─────────────────────────────────────────────────────────────────────────┐
│ б з б в д │
│ЛЕЦ РЁП КЕСТ ЛАМЬ ТАН ДВЕС МЯПЬ ПЕФЬ МИЛ РИТЬ │
│ │
│ э з д г д │
│ШЕЛЬ КРЫЛ БАМЬ ЗУЛ ДЛАМ ПРЁСЬ ПАТЬ ЛЕК ДУМ ЗНОТЬ │
│ │
│ жь з д жь д з в ь │
│БЫШ ДАС БУТ ВАШ СВАЙ ЧЕТ НЕС РУФ СТУЧ ФАРЬ │
│ │
│ з в з д в в з сч ю │
│ДУС ГИЛ БИФЬ ВЁР ДЛЕСЬ ФЫТ ФСЯФ НАС ЩУЛ БЁМЬ │
│ │
│ ь з ь жь в ь │
│РАЩ ДЫСЬ НУЩ РАШ ВУЛ ПЫН ПЮФ НОМ БЯЛ БЯЩ │
└─────────────────────────────────────────────────────────────────────────┘
Таблица Б.358
┌─────────────────────────────────────────────────────────────────────────┐
│ ь ь сч б в ыз │
│ГОРЬ ХОЧ ПРЫЧ ЩИЦ НЮП ЗЕЛЬ МЯРЬ ЗАМ ЗОФЬ ШИС │
│ │
│ д э ь з ь б б ь │
│ЗЯМ ЛЮТЬ ЖЕЩ ЛУСЬ ПРЯЧ НИРЬ ВАПЬ ЯП ДАМЬ ШАЧ │
│ │
│ з б в г з г │
│ЛЁСЬ ВИП ПУЙ ТРЫФ ЧТИЛ ПЭК ЧТАХ ЧЁС СИН ТРУК │
│ │
│ жь │
│ЛИЛЬ ПУСТ РЫР СЁРЬ ЗОНЬ ЦУЛ СЫЛЬ МИШ ВИЛ ДИЛЬ │
│ │
│ жь в в в г г │
│ТРЕШ ТИФЬ ЗЁЛЬ ТУЛЬ СТОФ ФСАК ЗНЮК ЛОН РЯЦ РЁНЬ │
└─────────────────────────────────────────────────────────────────────────┘
Таблица Б.359
┌─────────────────────────────────────────────────────────────────────────┐
│ ю д в в │
│ЧУЛЬ НАЛ ПИЙ ШУЙ РЮТ ЗАФ СЫФЬ ТАХ НЕЛ ЗИМЬ │
│ │
│ г г з ь з д │
│ГАК ХАЛ ТРЁЛ ПОК ШТЕМ ТЯЛЬ ЗАС ЛЫЩ СУС ДЮТ │
│ │
│ з с д д з жь │
│КРАР ЮС ЗДАЛ СЫРЬ СЮТЬ ДЫТ ПЛУС СКЕШ ХУН ГУЙ │
│ │
│ э д │
│ФЕН ШЕЦ НУЙ РОМЬ БЭТ ЧИМ КОР ДАСТ СТЯН СЕХ │
│ │
│ в д г в сч юв в │
│ГАФЬ ФИЙ ВУЦ ФИТ ВЁСТ ЦАН МЁК ДЯФЬ ЩУФ ШАФЬ │
└─────────────────────────────────────────────────────────────────────────┘
Таблица Б.360
┌─────────────────────────────────────────────────────────────────────────┐
│ яв в в ё э │
│ЧАФЬ БОНЬ ТУЗНЬ ЛИФЬ ПАМ СВОФ СОРЬ ЖОЛ ЧТЫЛЬ ШЕНЬ │
│ │
│ б в б г з д ь б │
│ЖАП САФЬ БЫПЬ НЫЦ СТАК ПОС ЛАТЬ МЮЧ ПРОН ТРИПЬ │
│ │
│ б с сч од д в б │
│СЯПЬ ЦОХ ЗДИХ РАН ЩЁТЬ ГЕР ПЁТ ТУФЬ НУСТЬ КЕПЬ │
│ │
│ з г в в д б │
│ШТУН ХОСЬ ГИХ ПЛЕК БАЛЬ ХАФ ЛЯР ЕФ МЭТ ФУПЬ │
│ │
│ з б г ь з б д д │
│ТЫР РОС КАПЬ ЧТЫК ЕЩ ФОСЬ ПЯП ПРУТЬ РЮЛ КУТЬ │
└─────────────────────────────────────────────────────────────────────────┘
Таблица Б.361
┌─────────────────────────────────────────────────────────────────────────┐
│ ь в з │
│БЫЩ ПЁП ТРЫМ ЗУЙ РЫФЬ НИЦ ШАЛ ВЫХ ПЛАС ТРЁЦ │
│ │
│ д з ь з д в г д в │
│БЯТ ПРЫСЬ ТРАЧ ХУС ВОТЬ ПРЯМ ГУФЬ ПРЕК БОТЬ СТЫФ │
│ │
│ в ь г ь │
│ДУФ СЮР ЛЁМ САМЬ КОЧ СТЕЛ НАХ ЕК ВЁЧ ПОР │
│ │
│ з г з ь сч ю з ь │
│ГЕСЬ ДЛЁК ШУН НУНЬ ТРОСЬ ПЮЩ ЩУМ КРАС КЕЧ НИСТ │
│ │
│ я ь ь ь жь ь в │
│ЧАЧ ПЛЕЧ НУЩ ХЕН ТЮШ ФОР ДЕМ ДЯЧ ЕФЬ ТУН │
└─────────────────────────────────────────────────────────────────────────┘
Таблица Б.362
┌─────────────────────────────────────────────────────────────────────────┐
│ б д д д б б б │
│ШАП РИТ ШТАТЬ ЧТАР ДЯТ МУНЬ ДОП ТАПЬ ЧТИП ХИЛЬ │
│ │
│ г г с з ь ё в │
│КОЦ МЯК ВОК ЗДЯС ПРУМ ЦЫЧ НЯЙ ШОЙ КИМ ПЫФЬ │
│ │
│ з д в б в │
│ВАС НОТ РИЦ СИЙ РУН СОРЬ ЖУФЬ МЁР ФУП ТЭФ │
│ │
│ з г сч юд жь б │
│МАН ГОР КАС КРУМ ЗУЦ ДАК ЩУТЬ ГИШ НИНЬ ТАП │
│ │
│ ь ь ь д в б в │
│ЁНЬ ПРАЧ ТАЧ ПУНЬ ЛУЛ МАЩ ДЛУТ ФСЯХ ВЕПЬ СЫФЬ │
└─────────────────────────────────────────────────────────────────────────┘
Таблица Б.363
┌─────────────────────────────────────────────────────────────────────────┐
│ в э в │
│РИЛЬ ФЫНЬ ДЕФЬ ЛЯЙ БИНЬ ЖЕР БУНЬ ПРИЛ МЫФЬ ДОЦ │
│ │
│ з в з б в из │
│РЁС НЕФЬ СЕСЬ НЕП КУХ БУФ РАЛЬ ШЫС ТРИЙ ЗИН │
│ │
│ з в жь з сч д ь │
│ДЯЛ СЯЦ ВИСЬ БИФ ПУШ ШТИС ЩЕЦ ЗЕМ ПЁНТ ТУЧ │
│ │
│ ь б з д о │
│ЕЩ СТОМ ЛЫП ЦУМ ФАСЬ БЯЛ КИНТ МЕН ШТЫН ЖЁН │
│ │
│ г б в г ь │
│ЧЕЦ РУХ ПЭК МИПЬ СЁСТ ФСУК ЗНЕН НЯЧ ЧИР ВЫН │
└─────────────────────────────────────────────────────────────────────────┘
Таблица Б.364
┌─────────────────────────────────────────────────────────────────────────┐
│ жь з б сч оз д │
│ПЕШ ТЯР ЗНОХ РИЙ ЛОС ЛЁЦ ЯН ЛИП ЩЁС ЧТЫТ │
│ │
│ г в с б │
│ДЁХ БАЦ ЗУР ХУК НЯР ШАФЬ ЗДОН ПЁХ БЁП МЯЦ │
│ │
│ б з о з э з б │
│ТРИМ НАП СТУС ЧЁРЬ ФЕМ ЛЕСЬ ЦЕЙ СУСЬ ТЕРЬ РЕП │
│ │
│ в з жь │
│ПАЛ ВУМ БЕРЬ ВУФЬ БУН ЦОС СКЕХ ФСЕШ КИР НЁРЬ │
│ │
│ ю ы │
│ЗЯН ФИХ ЗЁМ ДВАЛ ЛЕР ЧУЛ ДЕМЬ СЫЛЬ ПОЛЬ ЖИНЬ │
└─────────────────────────────────────────────────────────────────────────┘
Таблица Б.365
┌─────────────────────────────────────────────────────────────────────────┐
│ д д з б ь │
│ЗОТ РЫХ ТАНТ ЮЛ ТЮСЬ ЖАПЬ ГАР ЗАР ЗАЧ РЕМ │
│ │
│ д в в з │
│ЛУТЬ ХАРЬ ЛЯФ ДЮНЬ КАМЬ ТЁЛ ЛАФ СВАСЬ СВУХ ГУНЬ │
│ │
│ з б жь д │
│ВЯЗНЬ ЧТУСЬ МЮМ РЕЦ РЫПЬ СЁНЬ ДЫШ ДОСТЬ ПЯМ ЗОМЬ │
│ │
│ б э з │
│РАХ ТИПЬ ШЕЦ ТЫРЬ НЫСЬ ХОЦ СУЛ ГОЙ САХ СКАН │
│ │
│ жь э ё д ь │
│ХАШ ВЯЛ ТРЮХ ШЕЛ ТОНЬ ШОР НЭТ БУЩ ГИН ДРАН │
└─────────────────────────────────────────────────────────────────────────┘
Таблица Б.366
┌─────────────────────────────────────────────────────────────────────────┐
│ д б б д ь │
│ ГЕЦ ЮТЬ НЕР ДЕП ТРОП ПРАЦ ЗУХ СЕНТ НЯЛ ТРЁЧ │
│ │
│ б д д з ы з │
│ ПЁЗНЬ ПЛУП ЧТУТ СТУТ МАС СУЛЬ ШИМ СКИМ ЗИСЬ НОЙ │
│ │
│сч ов б з в г ь в │
│ ЩЁФ ВУПЬ КЕСЬ ЧТАФ СЫЦ ДУЦ СВУЛ ТЯК ГОЧ МЁФЬ │
│ │
│ эг в з д б │
│ РИН САЦ ШЕК ШУР ФСЕМ ХИС ДЯТЬ БАРЬ ТРИН МЮПЬ │
│ │
│ в д я жь ь │
│ ЗЕР ДАФ ТРЫНЬ МИХ КОТЬ ЧАШ ДЕЧ ХАРЬ ВЁХ НАРЬ │
└─────────────────────────────────────────────────────────────────────────┘
Таблица Б.367
┌─────────────────────────────────────────────────────────────────────────┐
│ з сч б б жь з │
│ЛЮР ЗЯСЬ КАНЬ ЩЕПЬ ПРУЛ ЗЭМ БУПЬ ФОШ НЯС НЯСТ │
│ │
│ в з д о в жь г │
│ПУН ГОФ ПЛИС ГИР МЕТ ЗОМ ЧЁЛЬ ЦОФ ЦАШ МЫК │
│ │
│ оз д з ь │
│ЖЁСЬ ЗНЕТЬ БОЦ СОСЬ БОЛ ЗНОЛ ТРИЛЬ ХЕЩ ВЕНЬ ПРЯЛ │
│ │
│ д ь д ив │
│ПИМ ТРЁТ ПОЩ ТАТ ПУЦ КОР ЦЫФ ЛИЙ ТЕЙ ХОХ │
│ │
│ б в ыв в д ь │
│ПРИМ ТУН ЛЁПЬ ВАФ ЛЕН ШИФЬ НЫФЬ БИЛ ДВИТЬ НУЧ │
└─────────────────────────────────────────────────────────────────────────┘
Таблица Б.368
┌─────────────────────────────────────────────────────────────────────────┐
│ б б з з д в з з д │
│РЭП ЗУПЬ КРУЛ ПЮСЬ ДОСЬ СИТ СЁФЬ ХУС ПРЫС БЮТЬ │
│ │
│ б в с з з │
│ВЁСТ ДУР РЫП РЕРЬ ДЮР ПЕФ ЧТЫМ ЛЕХ ЗДАС ПРЕСЬ │
│ │
│ ю ь ь д б сч ю │
│ЗАЦ ЧУЦ ЛОЩ ТЁРЬ ЛЯНЬ ЁЧ СИТ ТУРЬ НУПЬ ЩУХ │
│ │
│ эг в б г в жь шь │
│ДЕЦ ЦЕК ФСАЙ ЛЫПЬ РЯНЬ ЧИК КРАМ МОФ ТРАШ НИЖ │
│ │
│ з в в д ёд б в э з │
│ГУС КАФЬ ДЁФ НЁТ ШОТ ЗАПЬ ПЯРЬ БЁФЬ ШЕР ЗОСЬ │
└─────────────────────────────────────────────────────────────────────────┘
Таблица Б.369
┌─────────────────────────────────────────────────────────────────────────┐
│ б б в д з ь │
│СЕПЬ ШУПЬ РАФ ШАН ВЫТ РЁС ФОЛ КИЗНЬ ЗОЩ ГАЦ │
│ │
│ жь д з з з │
│ДЯМ ШТЫР ЮШ ФУРЬ РИНЬ ЖАТ ДРЕС РОСЬ КОСЬ РЮЛ │
│ │
│ жь в г ь ы г │
│ЖУШ ФАМ ШТАФ ФЕЛ МЯН СВАК ВОЧ ЦИРЬ ГЕЛ ДЛАК │
│ │
│ в жь ёб б ь │
│ТОФ ТИНЬ НОЦ СТЫШ ШОП РИП ФИЧ СТЕЙ РАМЬ РЫРЬ │
│ │
│ з з в з в з ь │
│ДЛЕС ЛЫС БЫФЬ МЯСЬ ТАЛЬ БУРЬ ДОФЬ ВЯМ ПЫСЬ ТЫЩ │
└─────────────────────────────────────────────────────────────────────────┘
Таблица Б.370
┌─────────────────────────────────────────────────────────────────────────┐
│ б д в │
│ЁМ НИПЬ НЕЙ ЕТ СУФ ТЫЙ ПАРЬ БЯЦ САНЬ КИРЬ │
│ │
│ б д д с г в │
│ВУРЬ ДЫП ШТИТ БАТЬ СТОРЬ ТАСТ ЗДЕХ ВЫЛ СЁК КАФ │
│ │
│ г ь д б ь д д │
│ВАК ХАЧ ЛАТЬ ПОМ ТЮХ РУП ПЕЩ ТЫТЬ СКАТЬ СЫМ │
│ │
│в жь б з жь │
│ФСЁЛ ЧТИМ НЕШ ВИРЬ ГАМЬ ЖУПЬ ДОСТ ЛИСЬ БЕШ НАЙ │
│ │
│ э сч ю б г ь ь │
│ЖЕЛ СЯХ ЗЁЦ ЩУЙ ЯПЬ РЯМ ХУК БЮЧ МУЧ ЛУР │
└─────────────────────────────────────────────────────────────────────────┘
Таблица Б.371
┌─────────────────────────────────────────────────────────────────────────┐
│ жь жь жь г з эг │
│РИЦ ВЫШ ЧТЫЙ ЖАШ ВАШ ЗУРЬ КРОК СЕР СУС ШЕК │
│ │
│ д з б │
│БУТ СЫЛ БУМЬ РЕЛ ЗАРЬ ЗАЛЬ ДВАСЬ ХУП КАМ НУРЬ │
│ │
│ эв в б в з б ь │
│ЖЕФЬ СТЕФ ШТУЛ ЛЁП БАФЬ НИЛЬ ЛЕСЬ ПОПЬ БОНЬ ВУЧ │
│ │
│ д в б з │
│МЯТ ФАФЬ ДЫЦ РЯЙ ТЕЛ ПЯПЬ ЧИС ЦАМ ПУР ТРЕЦ │
│ │
│ д ь ь б │
│НЯТ ПЛЕЛ СИЙ БЫЧ ТЫРЬ ШАЩ РИПЬ ВОРЬ ЮЙ ПЫМЬ │
└─────────────────────────────────────────────────────────────────────────┘
Таблица Б.372
┌─────────────────────────────────────────────────────────────────────────┐
│ жь ь в в в б б в │
│ДРАШ РЮЩ ФСЕФ ТАФ ПАСТ БЫП НЕСТЬ ШАП СВОМ ХЕФ │
│ │
│ ь ь б з жь з з з │
│ЯЧ ШУЧ ПАПЬ НЁС ЦУШ РЁЙ ГЕЛЬ ФИСЬ ПЛУСЬ ЁСЬ │
│ │
│ д б г жь с з б │
│КАТЬ РЫПЬ ПЫК ТОШ ЗДИСЬ ДЯЛЬ НАЛЬ ТЁЛЬ МЮП СТЫМ │
│ │
│ жь д д б б з │
│БЯНЬ ПЁМ КРУШ ЗИНЬ ЕЦ ЗОТ ХОТЬ СОПЬ ДЕПЬ БИСЬ │
│ │
│ в з б з в з ь │
│ЖУЛ ТРЁМ РАФ ГИС ЛАМ МОП ВЁС ФСАСЬ ВИМ ЛЮЩ │
└─────────────────────────────────────────────────────────────────────────┘
Таблица Б.373
┌─────────────────────────────────────────────────────────────────────────┐
│ з д в жь в з │
│ЧТАС СИТЬ ТЮМЬ ТУН СЫФ ПРЫШ РОЦ ЛАФЬ МАР СЯСЬ │
│ │
│ д б д в г │
│ХАНЬ ЗОТЬ ПРОП ТРЮТЬ ДЫФ ЛЫХ БЯМ РОНЬ СВЕК ТРЯМ │
│ │
│ ы жь д д б д │
│ШИР ХОШ ДЕТЬ ПРЯЦ ЖАМ ЦОТ ТОП ВАНЬ МЫТ НЁЦ │
│ │
│ д в жь ь в жь б │
│ШТЕТ БЕФ ДЯШ ЧИЩ СИФ ГУЛЬ НЯШ ЛИПЬ ТЯЙ МЯМ │
│ │
│ в б в в г жь ь │
│МЁФ ТРУЛ ТЭН РЭП ЛЯФЬ САФЬ ЗДАК БЯШ ГАЧ ЧЕРЬ │
└─────────────────────────────────────────────────────────────────────────┘
Таблица Б.374
┌─────────────────────────────────────────────────────────────────────────┐
│ з б │
│ЛЮЙ ЗНЕС ДОЛЬ ЧАПЬ НУЦ ХОНЬ РАЛ ДЕЙ ФЫХ ДАХ │
│ │
│ ь з в б з б з з │
│МЕЩ ЦУСЬ РЮМ ПРУФ ВЯРЬ КАП ГОСЬ НЫП ТУС ДЯС │
│ │
│ д жь з о б д д │
│СТАТ НЯМ НУЙ ШУЛЬ СЯШ ФЕС ЧЁНЬ ВЫП НАТ ДЛИТ │
│ │
│ в э д д д │
│ШАФ ШЕХ ДИР СКИХ ЕМ ФОТЬ КЕСТЬ ДУТ ГАН ВЕНТ │
│ │
│ сч сч в в жь з ь │
│САЛЬ ЩИЙ ЩЕФ ГЕФ ТАШ ЛЁЦ КАС ВУЛ БЁЧ НОМЬ │
└─────────────────────────────────────────────────────────────────────────┘
Таблица Б.375
┌─────────────────────────────────────────────────────────────────────────┐
│ з д г ыз │
│ ЗЁХ ДАСТЬ ПРЕС ПРЮН ДЛОТ ПИЛ ЧТИК БАМ ЖИС ТУЦ │
│ │
│ д жь г з д д сч яг │
│ ЗНОТ ЗИРЬ ЗАШ ЗУК ТИС ПЮТ СТУЙ ПЁТЬ СИСТ ЩАК │
│ │
│ з д е жь д д ь д │
│ ЗЯС ПОР ФСЯТЬ ФУМЬ ТЭЛ ЛУШ ВЮТ МИТЬ ХИЧ РОТЬ │
│ │
│сч я ь д з │
│ ЩАРЬ НЕЛ РЕХ ЧТЫЛ ДЕРЬ ТРОЧ КЕТЬ ТАСТЬ СКОЙ ДУС │
│ │
│ ё жь д з ь з г │
│ ШОШ ТРЫТ МУСЬ НЕЩ ШТЕН ГУЦ ЛОЛЬ КИС ЯМЬ ПОК │
└─────────────────────────────────────────────────────────────────────────┘
Таблица Б.376
┌─────────────────────────────────────────────────────────────────────────┐
│ д д в б │
│ВЫСТ ЯН ЛЕМ ДВЯХ ШТИН НЁТЬ ВУТ БЫФ ПЮРЬ ВОПЬ │
│ │
│ жь г з ё │
│ЛЕШ РУНЬ ГОК ЧТЕМ ХЕС ТРАМ ЗУН КОЙ ШОМ ДЫЙ │
│ │
│ з ь з з │
│РИСЬ ТАЧ ВЯХ ДЯС ПОМ ХУЛ НЯЗНЬ ТАС ДУЗНЬ ТИХ │
│ │
│ ь в д сч б д │
│ВЁМ СТАЦ САЦ КРУЧ ГУФЬ ШУТЬ ЩИП РИТ РЯЛ БУЦ │
│ │
│ ь ж з в в ь │
│ПОЧ ВАН МЁШ МЫСЬ ФИФЬ СЁЛ РЕЙ ЛУЦ ЛЮФ ПОЩ │
└─────────────────────────────────────────────────────────────────────────┘
Таблица Б.377
┌─────────────────────────────────────────────────────────────────────────┐
│ в с з в б жь │
│ЗАФЬ БЫМ ШУНЬ ЗДИС ВЫФЬ ТУМ БАПЬ ЧИРЬ ТЫШ ТОНТ │
│ │
│ д ыб в д з ёв д │
│ЛЁТЬ ЦИП ТЫФ ПОР СЁНТ БЯР СТЕС ШОФЬ ПЛОЙ ТРУТЬ │
│ │
│с в б з в д з в │
│ЗДАФ ФЕНЬ ГАПЬ ПЯС ЗУФ ЦАР ДЫТЬ ЛЯС НУФ ЧТУХ │
│ │
│ жь д б сч я │
│НЫР ЗЯШ КУР ЗОРЬ РАМ НЕРЬ ТЫТ ТЕПЬ РЁНЬ ЩАЦ │
│ │
│ д эв г з в │
│ЕЙ ХАТЬ ШЕФЬ ГУН НЕК ДЯЙ ХАС ВЯЦ БОФЬ ЗЮЦ │
└─────────────────────────────────────────────────────────────────────────┘
Таблица Б.378
┌─────────────────────────────────────────────────────────────────────────┐
│ в б д в жь б │
│СУФ ЖУП ШТЫТ РОФЬ КРОЛ СЫШ ТАП ТРЯЦ ЗНАХ ТРЕХ │
│ │
│ ь жь д в д д в з │
│ЛЫЧ БЮШ ГОТЬ ФОФЬ РАТ ЗИЦ САНЬ СОТ КОФ НЯСЬ │
│ │
│ ы б в ь з │
│ШИЛ МАП ЁР НАЦ ПРАМ ГУФ РЫЙ ПРЕЧ ЦОСЬ СУЛЬ │
│ │
│ эв з д в ь │
│БИЦ ЦЕФ МОМ МЯС ПУНТ ТЁФ ЮМ ХАЩ РЯМ ДУМЬ │
│ │
│ д э г э б │
│НИР ПРИТЬ СЁХ ЖЕЙ СЫНЬ КИСТ ХИК ШЕЙ ХОЛЬ ПЛЕП │
└─────────────────────────────────────────────────────────────────────────┘
Таблица Б.379
┌─────────────────────────────────────────────────────────────────────────┐
│ э з од ь │
│ДЁР ЛИХ ДЕЛЬ ЖЕЛЬ ДЛЮС ЖЁТ БАЩ СКОМ ТЭР ВУМ │
│ │
│ б б б з жь в сч яд д │
│ТЯХ РЫП РЮПЬ ФЭП ПРАНЬ ПРЯС ТРЫШ ФСЕХ ЩАТ СЯТ │
│ │
│ б з ь в д д г г сч │
│БЯП ЧЕС ЗОЧ ФСЮТ ПЫТ ВЫЛЬ ДЮК РИК ЩИХ МЮРЬ │
│ │
│ д г б я д │
│БЁТ КАЙ ЧТАК НЮПЬ НУМЬ РУЦ ШТАХ ЧАР НЯЛЬ ПРОТЬ │
│ │
│ в ь д д в │
│ДАН ЗНОФ КЕН ЛУРЬ СТЫРЬ ФЫЧ ЗИНЬ КУТ БЭТ ПИФ │
└─────────────────────────────────────────────────────────────────────────┘
Таблица Б.380
┌─────────────────────────────────────────────────────────────────────────┐
│ д б г д │
│ПЕН ПУЦ ЛАЛЬ ГИЦ СВЫТ ЗАНЬ НАПЬ МЯНЬ ЕК ТРЮТ │
│ │
│ д ь жь ь ь │
│СКИТЬ ГЕРЬ ДЯЧ СТУНЬ ЛАШ ЖУЧ ВАЦ ЗЕЦ ЗЫН ТРЮЧ │
│ │
│ д б ед б в д в │
│СЮН ГИЛ НОТ МУПЬ НЭТ ВЁП СЯЦ ФСЭТ ПЕРЬ МЕФЬ │
│ │
│ ь з ь з в жь │
│ДЛОЙ КИЩ ДЫСЬ ШАЩ ШАС СВАФ БЕХ ЧТАШ ЛИЛ ФУЙ │
│ │
│ в ёб д д │
│ЕФЬ ТУЦ ДИНЬ ЛЯН ЧОПЬ ДОРЬ НИЦ НОРЬ ТЯТ ДРАТ │
└─────────────────────────────────────────────────────────────────────────┘
Таблица Б.381
┌─────────────────────────────────────────────────────────────────────────┐
│ з жь з з в │
│СТУЦ КАМЬ КОСЬ ВЁРЬ КЕЛЬ БИШ ФЫСЬ БЫСЬ ХОФ ЛОЦ │
│ │
│ эг б д г з ь г в │
│ШЕК ТЮНЬ МИПЬ ДУТ МЮК БЮХ СЁС НАЧ ПЕК ТОФ │
│ │
│ сч з ь б │
│ГАЛ ЩЕС ЧТАМ НЕЛЬ ДЕЛ БАЩ КУСТЬ ТИЛЬ ЛАПЬ ВЮФ │
│ │
│ с ь в з │
│ЁРЬ ДЛЕЙ ЗДИН ТАЛЬ СИСТЬ САЧ ГАФЬ НЯХ ГОНЬ СТЯСЬ │
│ │
│ в в б ы в з ь в │
│МЫФ ПОФ ФЕЦ СЫП ЖИН ФСЕС ЖУХ ТОЩ ЗНАФ ХОЙ │
└─────────────────────────────────────────────────────────────────────────┘
Таблица Б.382
┌─────────────────────────────────────────────────────────────────────────┐
│ г в з │
│ГУР ТРЯК ПУР РЮФЬ РУС РЕН ЗАМ ДИРЬ КАР ЛУХ │
│ │
│ б б жь г жь │
│ХАП СЕП ДОХ ВИЛЬ ЗУШ ЗНУК СЮШ ХОР РЁХ МЕНЬ │
│ │
│ б г з д │
│ЗОНЬ БАП ПУРЬ НЁН ТРИК ЗАС ТИМ СВЕТЬ ВОЗНЬ ФИЛЬ │
│ │
│в з д б эв │
│ФСАХ ЧУС ДЛАР МЯЙ ДЭНТ ХИП КУЦ ШЕФЬ СВАЦ ДЯЙ │
│ │
│ г в б э б в │
│ПЛЁК ЗИФ НУН САПЬ ГИНЬ ШЕНЬ НАПЬ РЮМ ЗОФЬ ТЯСТЬ │
└─────────────────────────────────────────────────────────────────────────┘
Таблица Б.383
┌─────────────────────────────────────────────────────────────────────────┐
│ в з ь д б в │
│ШТЫЙ НУФЬ ПЮР ЦАСЬ ПАЧ ШОЦ ДЫТЬ ПАП СУФЬ ПРЮМ │
│ │
│ б з ь ь г з в │
│ВЫМ БУПЬ ЗУС РЫЧ РАЩ КЕК ТРЁС НЁНЬ БОФЬ НОСТ │
│ │
│ в б ё з д б │
│ЛЁФ ПРУЙ ТЯПЬ ЖОЛЬ СКАМ ВЫРЬ НЫС СЭТ ЧЕПЬ ФУН │
│ │
│ в в о б г д с з │
│БЯФЬ СЭЦ ФАФ ЛЮХ ЧЁР ВОП РЁК ТОР ДЭТ ЗДАСЬ │
│ │
│ жь д в д жь сч е │
│ШАШ НИТ ПИФЬ ТАТ ЧТЕШ ЩИРЬ СИНЬ БЭЛ ДЯРЬ ПРЁР │
└─────────────────────────────────────────────────────────────────────────┘
Таблица Б.384
┌─────────────────────────────────────────────────────────────────────────┐
│ з жь э │
│РАР ПЫЙ ПЯСЬ ЗЮР ХИШ ЖЕРЬ НИРЬ ХАЦ НЕМЬ ПЛАР │
│ │
│ г ь д з д д жь │
│ЛЁК ГЕЩ РИР ЛИЦ ТЫМ ДИТЬ ДЁС ПРАТЬ ЧИТ ТЕШ │
│ │
│ д в д в д в г б │
│МАНЬ ПРЯХ СТОТ РЫФ ШАТЬ ФСЁТЬ НЯФЬ МОК ШТЕР ЖАП │
│ │
│ ь д г б я д з д │
│ДАЧ ВЭТ ВОК РЯП ЧАНЬ ВАТЬ ЛИН ТУСЬ ЧТУЛЬ ЛУТ │
│ │
│ з з жь ыб в д б з │
│РЯСЬ ТРЫСЬ ЯШ БЕЦ ШИПЬ ТЫФЬ БУЦ ЦОТЬ ПЕП ДВИСЬ │
└─────────────────────────────────────────────────────────────────────────┘
Таблица Б.385
┌─────────────────────────────────────────────────────────────────────────┐
│ в б сч │
│ ЗАФ ПЫП МУН ЗЯХ НЭР СТАЛ ЛЫР ЯНЬ ЩИР ЕХ │
│ │
│ д д з з з в │
│ ШАМЬ ВЯТ ПАНТ ШТЕСЬ ЗЕСЬ НОСЬ ДОНЬ СОФ ПРЫН МЯЦ │
│ │
│ в д в б б │
│ ТРАЛЬ СУМ НЮФ ФОТ ТРИНЬ СКЕФ ШУЛЬ ЮН РОП ЛЕП │
│ │
│ жь ыг жь в ь ь д эб │
│ ГИШ ЦИК МЕМ ТРОШ ВОФЬ ГОЧ КРОЦ КОЧ БЁТЬ СЕП │
│ │
│сч яб жь з б │
│ ЩАПЬ ЦУЩ ДЯШ ЧТЫХ ЕЛ ЛЯСЬ БЯПЬ ДРАЙ КРИХ РЫЛЬ │
└─────────────────────────────────────────────────────────────────────────┘
Таблица Б.386
┌─────────────────────────────────────────────────────────────────────────┐
│ в о в жь сч о │
│СТЫН ФСЕР ЧЁЛ ТАФЬ ПРЫХ СЕШ ЗЯЦ ТАР БУРЬ ЩЁЙ │
│ │
│ д э о ь д з │
│ЗЮТ ТУЙ ДЫЛ БИРЬ ШЕЛ ЧЁЩ НЫР ВЫНТ ПРЮСЬ ДЫМЬ │
│ │
│ в ь г в з с д жь │
│ПЫСТ ПУФ ТЫЧ СЭК ТЯФ НУМЬ СВАС НЯХ ЗДЕТ РУШ │
│ │
│ д ь │
│ПЛЕМ СОСТЬ ШУН ПОЦ РЁР ХИТ ШТЕХ ЗОЩ БАЙ МИНЬ │
│ │
│ з д в сч б │
│МОС СЁТЬ ШАФ ЗАЦ ТРЫЦ ЩЁП ЗАЙ НАНЬ ПЕХ ЦАЛ │
└─────────────────────────────────────────────────────────────────────────┘
Таблица Б.387
┌─────────────────────────────────────────────────────────────────────────┐
│ в жь з ь в б г б сч │
│ДИФ ФОШ ПРУС ЕЧ ТЫНЬ МУФЬ ВЕП МЕК ЛЁП ЩЕХ │
│ │
│ з в в г в │
│ХЕСТ ВЯН ТОСЬ ВАФЬ ЕН НИМ ФЕФЬ ВЫК ВИР НУФ │
│ │
│ в д д б б │
│ТРУНЬ ДЕР РЫМЬ НАФ ДОТЬ ЛЮНЬ СВУТ ЛАР СЮП ДЯПЬ │
│ │
│ жь з г ы в б │
│ДЮШ ЛИСЬ СИЦ ГЕК ШИР ШТИМ РАЦ ФИНЬ ДАФ НЯП │
│ │
│ жь з в в жь д │
│НЮШ СКАЙ ДЛОС РОРЬ ПЁФ ЛЯН РЕФЬ ХУШ ШУХ ЧТАТ │
└─────────────────────────────────────────────────────────────────────────┘
Таблица Б.388
┌─────────────────────────────────────────────────────────────────────────┐
│ д з жь в │
│ВУР ЧЕМ ТРЮН ЛОТЬ КУС БЫН НЕН ШТЕЛ МЯШ ВЁФЬ │
│ │
│ в ыв б б д ь д э │
│ЛЕФЬ ШИФ ДАПЬ ЦУП КРУТ ЧИЧ РУН НЕЦ ЗЕТЬ ШЕХ │
│ │
│ б з д д б эг в │
│МЫНЬ ТЕР ДЕЗНЬ ЮП СЫСЬ ГУТЬ СИТЬ ЛУПЬ ЖЕК ЦОФ │
│ │
│в д в з жь ь │
│ФСУХ ЧТЕТЬ МАРЬ РЫМ ПАФЬ ХАР ДЛЁС ЛИЙ КОШ РЕЩ │
│ │
│ з в д в д в │
│ЁС ПРИНЬ КРАФ РУТЬ ТРЕНЬ ФСЁТ НИФЬ ГУМ ШАЙ ТРЯР │
└─────────────────────────────────────────────────────────────────────────┘
Таблица Б.389
┌─────────────────────────────────────────────────────────────────────────┐
│ з з ь з б │
│СКЕСЬ ВАЛЬ ЗОСЬ ГОЦ ЖАЙ ХЕЧ СОЛ ТЮСЬ ФАПЬ КЕР │
│ │
│ б в б жь д б з в │
│ГИП ТРИФ ЗУПЬ НЫШ ПЛАТЬ РЮЛЬ НЁПЬ ФОС СТАФ БОЦ │
│ │
│ в яг сч б б з б ь │
│КИФЬ ЧАК КАН ЩАЙ МЁП ЧТЫП САС БЮП СУЧ ДИН │
│ │
│ жь з д д │
│ДЁМ ЗНАШ БОМ МЮС СТЕТЬ ДИТЬ РЯХ ТИЦ ЯМЬ ПЁНЬ │
│ │
│ д в в з │
│ДИР ДВАЙ ЗОМ СЭТЬ БЯФЬ ЖАФ ФУР ВЭС ПУНЬ ГАНЬ │
└─────────────────────────────────────────────────────────────────────────┘
Таблица Б.390
┌─────────────────────────────────────────────────────────────────────────┐
│ в эз д в г о ь ь │
│ВУФ НАЗНЬ ЛУЙ ЖЕС РЮТ СОЦ СЫФ ГОК ЖЁЧ ЦАЧ │
│ │
│ г о ь д з │
│ПАК БЯР ШЁЧ ГЕТЬ ДРАХ ЗНУЛ ЯЦ БЫХ СТУЛЬ БЕСЬ │
│ │
│ в б жь д з з б д │
│ХОЦ ЧТУФ ТЫП РЮШ ТУТЬ БАСЬ ВЫС ТЁП ПЫТЬ ТУСТ │
│ │
│ б г жь ь с │
│КОП РЕК ХАШ КУЧ ПЯЙ ЗУХ ПРОЛ ЗДАР ПЯЛ БЯН │
│ │
│ в в │
│ЛЕМ СЯФ МЯЛ ТРАНЬ ХОЛ НОР ЗОНЬ ЛЫН ПРЁХ ЗИФЬ │
└─────────────────────────────────────────────────────────────────────────┘
Таблица Б.391
┌─────────────────────────────────────────────────────────────────────────┐
│ б в в │
│ РАХ ДАМ ТУЛЬ СЁПЬ ВОФ ГАЛЬ ТРЮЛ СЯФ КУЛ ВУХ │
│ │
│сч юз з ь г д д ь │
│ ЩУС САСЬ ПОЧ БИК СТАЙ РЕНЬ КУТ ЗАН ДЫТ МАЧ │
│ │
│ жь с д з ь сч о в д я │
│ ПРЮШ ЗДИТ СТОС СУЩ ФАЛЬ ЩЁМ ХУФЬ РАТ ЧАМ ТАР │
│ │
│ б жь жь з б ь ь │
│ ФИП ПЮЛЬ СВЯХ ГОШ РЫШ ТРАСЬ ПРЯП НИЩ ЗУЧ ТРЕМ │
│ │
│ д в ь д │
│ ФУТЬ ЛУРЬ ТРУЦ КЕФЬ МЯЩ ТАЛ ЛИРЬ ЛОХ МЮЙ ДЁТ │
└─────────────────────────────────────────────────────────────────────────┘
Таблица Б.392
┌─────────────────────────────────────────────────────────────────────────┐
│ б в з ы ы жь з │
│ КИП ЧИФ ВУСТ ПРИСЬ ВЫР ЖИЛЬ ДЮЛЬ ТЁЛ ЖИШ ГОС │
│ │
│ в в г з з об ь │
│ ЗЕЛ ФСАМ ШУФ НЕК ЗЁЛ РЯН ШАСЬ ТРЮС ЧЁП ПЕЩ │
│ │
│сч юд з в г д │
│ ЩУТ ЮСЬ БЕНЬ РАФЬ ПЛЕЦ СКОК МЁМ ХЕЛ ПОТЬ РУЙ │
│ │
│ б г д г в в з │
│ ХАЛ КАП ФОМ ЖАК ХАНТ ЁК МУФ ГУЙ ЧТЫФЬ БУСЬ │
│ │
│ э ь д в з д г │
│ ФАХ СОЛ ШЕЧ ЦУТ СТЯФ СВОСЬ РЁТ НОТ ДЫК БУЛЬ │
└─────────────────────────────────────────────────────────────────────────┘
Таблица Б.393
┌─────────────────────────────────────────────────────────────────────────┐
│ з з з з жь │
│СОЦ ПЛОМ ШТУС ТИСЬ ПЮСТ ВИХ НЁЙ ДЛАС ХОСЬ ШТЕШ │
│ │
│ жь г б з ы э д │
│СЕШ НЯЛЬ МЕК ВЯПЬ ТРИС ЗАЙ ШИЛ ШЕМ НУТ РУХ │
│ │
│ ы с з д г жь │
│ШИН ЗДАХ ФСЯСЬ ДЁРЬ СКОТЬ РЫНЬ ГЕХ ЛЁХ ДЯК РИШ │
│ │
│ б з д д з ь д │
│ПРАП НЯСЬ СЫТ ЧТЕТ ФЫС ЗИМ ЛИЧ ЗЯЛЬ ЛОНЬ ДРОТЬ │
│ │
│ д жь сч я │
│РЁЙ ШОТЬ БЮМ КОЛЬ НЫШ КРАЦ НИР БЫН ЩАЛЬ БЯЙ │
└─────────────────────────────────────────────────────────────────────────┘
Таблица Б.394
┌─────────────────────────────────────────────────────────────────────────┐
│ д б в д б │
│ТРАН ТЭТ ТЭН ТЮП КЭФ ЛЯТ ЛЕЛ СУПЬ ЗОЦ ЧТАМЬ │
│ │
│ ь б г з │
│НЁХ ЧЕЧ ГИНЬ ЦОЛЬ НЫПЬ ДЯЦ ПРЫК ЕС ВЫЙ НИЙ │
│ │
│ з о д в б │
│ПУСЬ ШЁН ХИЙ ГУРЬ ВУЙ БАТ ДУЛЬ ГИФЬ ЛЕПЬ НУМ │
│ │
│ в д д з д в ь з │
│ЁФЬ ЛЫТЬ ПЕЛЬ ЗНЕТ ВАСЬ ТЯНТ НЫФ ВЁЙ ХОЧ РЯС │
│ │
│ б о ь жь ь г юд │
│ДИПЬ СУЩ ЖЁЩ МЮШ ПИЧ МЯК БАХ ЧУТ МАР СКЕМ │
└─────────────────────────────────────────────────────────────────────────┘
Таблица Б.395
┌─────────────────────────────────────────────────────────────────────────┐
│ в в г г д д │
│РИЛЬ ЯФ ПОН ФСИК ДЛЕК ПРОХ ВОЛЬ ТЁЦ НИНТ КРУТЬ │
│ │
│ з в ь жь жь д │
│ХУСЬ ПЯФЬ ЗОЛ НУЧ ЛЮШ РЕМ ШТОН ТАР ДЫШ РИТ │
│ │
│ д з и д жь б │
│БЁЛЬ ДВАМ ЗОТЬ ФЕСЬ НАНЬ ЦЫН САНТ ЛАШ ЦОРЬ ВЮП │
│ │
│ ь в з з жь │
│БОЩ МОРЬ ЮРЬ ПЫФ БОС ТУНЬ СИХ ЗУЛЬ ТЫС ПОШ │
│ │
│ г г з в д │
│ЧТУЦ ЩУК ДОЙ ПЮСТЬ СТАРЬ ТОЙ ДЯК ТЯСЬ БЯФ ЗНЁТ │
└─────────────────────────────────────────────────────────────────────────┘
Таблица Б.396
┌─────────────────────────────────────────────────────────────────────────┐
│ жь з ь │
│ ТЫШ ХАЗНЬ ЧЕНЬ БЕН ДАСЬ САРЬ МУЛЬ ЗЭЩ ФОЙ ЧТУЛЬ │
│ │
│ д ь б жь в в │
│ ВЕЛ ЕТ ТРЫЧ РУП РЁЛЬ ЧТАЙ ДОШ ФЕФ ПЫМ РЮФ │
│ │
│ в з з д г г б │
│ ПАФ ЛЁЙ ТАСЬ ПЁСЬ СЁТ ТЁМ НОК РЮНЬ НАК НУПЬ │
│ │
│сч г в з ь │
│ ЩИК СОЗНЬ ЁЛЬ ЛЫФЬ ТУХ ШУС ФАНЬ ЛОР НЮЧ ТРУНЬ │
│ │
│ б з в б з в │
│ ЧАЦ ШАПЬ ЖАС СОХ КУФ ТРИП ДЯСЬ НИФЬ ЗОР НОЦ │
└─────────────────────────────────────────────────────────────────────────┘
Таблица Б.397
┌──────────────────────────────────────────────────────────────────────────┐
│ б з о ь д з │
│ПЫПЬ ПАМЬ ЦУС ШЁЛ ДЯЦ ЮХ ВЫЩ ЛЯРЬ СЮТ ЖУСЬ │
│ │
│ ов з д з б жь д эд │
│МИМ ЖЁФЬ ХАСЬ НИТ КОС ЛУП БАЛЬ ВУШ СЕТ ЖЕТЬ │
│ │
│ в г з │
│ЗУМ КУФ РАМ КАНЬ РЯЛ ВУК КОС ПРОЙ ПРЕН РЕР │
│ │
│ сч я жь б э з г д │
│ТЕЛЬ ЩАШ ДИП ГОРЬ ЖЕНЬ ЛЮСЬ РЫК СТУТЬ РЫН ПЛЕЙ │
│ │
│ г в б д б з │
│ТРЁК ЛИФЬ ТЫПЬ ВУНТ ДУМЬ ДЛИП ЕЙ ТОС МИН КАЙ │
└──────────────────────────────────────────────────────────────────────────┘
Таблица Б.398
┌─────────────────────────────────────────────────────────────────────────┐
│ ь г в жь б │
│БЫР КИЦ МЁЛЬ СКЕЙ ВАЩ БУМЬ ГИК ПЮФЬ ЗИШ ЗНОП │
│ │
│ б б жь б │
│ДАН ХЕЦ ГУПЬ ТРЯП ФЫН БИР ПУШ БЮЛЬ ВАПЬ РАМЬ │
│ │
│ б з г г ь в │
│ТИРЬ ХОПЬ НИСЬ БЫХ КРОХ ГАК БЯК ТЫЧ ХАФ СЭЛ │
│ │
│ эд д ю ыд в з │
│ШЕТ ТРЕТ ЧУЙ МЯР ШИТ БУФЬ ДОС МИЛЬ ЛЁЛ РИРЬ │
│ │
│ д б в д д г д д │
│ЧТЕН ГЕТ ХИП ФСЕТ СВЁТ ХАК СТЭТ ЗАТЬ НЕРЬ СИЛЬ │
└─────────────────────────────────────────────────────────────────────────┘
Таблица Б.399
┌─────────────────────────────────────────────────────────────────────────┐
│ з г з │
│ТЯНЬ ДРОС ШУЦ ДЁЗНЬ ЗЮЛ ШАЛ ДВАК ЗЫМ РОСЬ НЯР │
│ │
│ сч я з д д г │
│ДЕЛЬ ШАЦ МАМ БЁМ ШТЫХ НАСЬ ЧТАТ РЁХ ПЛАТ ШТАК │
│ │
│ в з в з с г в │
│ПУМ ФСАС ПРЫФ СТИС БЫРЬ ЗДЕЙ ТАЦ ДЕСТ СЯК БЯФ │
│ │
│ д б з и з в │
│ВЁТ ЛАП ФИС СЭЛ СВОН ШЫЦ ЗЫСЬ ГЕР ГАФ ЗИЙ │
│ │
│ в в з в жь з б с б │
│СКОР ВЕФ НЕФ ДЕМ ЦАС ФСЯШ БОС ПРУП ЗДАМ НОПЬ │
└─────────────────────────────────────────────────────────────────────────┘
Таблица Б.400
┌─────────────────────────────────────────────────────────────────────────┐
│ б д з в │
│ ЦУР ДЮЛ ДЫР ЯРЬ КЕП НУНТ ЁЦ ЧЁЦ ЗНОСЬ ФУФЬ │
│ │
│сч в ь жь │
│ ЩИЛЬ КРИН ШТИЛ МЫР ВИНЬ КАФЬ МЫЦ ЗЕЧ ЧИЛ ПРИШ │
│ │
│ в д ь з жь │
│ ПЯНЬ НАФ СУН ТРАМ ДЛАТЬ РУЩ ЛЫМ СЫС ТАНЬ ЛЕШ │
│ │
│ д б з жь ь б д │
│ ЛИМ ХОН ЗУТЬ МЯПЬ ДЯСЬ НЯМЬ СТОШ САЩ РИП ПЕТ │
│ │
│ сч о г з э в ь з │
│ ГАХ ЩЕЛ РЯК ПЕС ЦЕН ПРЕФ ВЫЧ ТЕЗНЬ ВОСЬ ТЯН │
└─────────────────────────────────────────────────────────────────────────┘
Таблица Б.401
┌─────────────────────────────────────────────────────────────────────────┐
│ з з ь з г ь з │
│ТИСТЬ РАСЬ ЖАСЬ ЗЫРЬ ХАЧ СОСЬ РЁК СИЧ ЧУМЬ ДЕС │
│ │
│ ё яд г з │
│ЗОЛЬ ШОЛЬ КАЦ ЧАТЬ БАЦ ПЛЫК ТАЦ ЦЫЙ ШТИСЬ ЛЁНЬ │
│ │
│в з эд г ы д │
│ФСЕС ШЕТЬ ПРЮХ СУЛ ТОРЬ РЮХ БАН ФОК ШИЙ ШТОТЬ │
│ │
│ ёв з в сч я │
│ЖОФ ВОСТЬ СВУМ ХУЛ ТЁР ЯС ЛЕР МОФЬ ЩАЛ КОС │
│ │
│ б в д з г │
│РЫЦ ТРЁП ДЯФ ЗНУН НЁТ НУНЬ ЗОС САХ НЯК БАНЬ │
└─────────────────────────────────────────────────────────────────────────┘
Таблица Б.402
┌─────────────────────────────────────────────────────────────────────────┐
│ з в в с з │
│НОСТЬ МИС ГЕФ ЛУФ СВАР СКУМ ЗДЕС ВЮР СТОЦ КАСТЬ │
│ │
│ г жь б │
│ЛЕН ВИК ЗАХ КЕШ ЧТУЙ ВУР ЕР ТРЯПЬ МЯМ ДЯН │
│ │
│ ь в з б в жь │
│БУЩ БУФ ХАС ВОХ ГОМ РЕПЬ ГОФ НУЦ МЕШ КРОМ │
│ │
│ ь з ь г в д │
│ШАРЬ ЗИЧ ПРЕНЬ ГАНЬ РИР ЧЕСЬ ДЁЧ ФЕК ЛЕФЬ КАТЬ │
│ │
│ ь д в ь з │
│СЫХ ПУЧ ХИЛ МЯТ ВЯФ РУТ НИЩ ТУХ ПЕЛ РЯС │
└─────────────────────────────────────────────────────────────────────────┘
Таблица Б.403
┌─────────────────────────────────────────────────────────────────────────┐
│ в з з эб ь │
│ХУФ ШУСЬ СУСЬ ШЕП МЁХ ПРЫЛ ТУЩ ЛОЦ ЛЯМ ПИЦ │
│ │
│ з ь ь з з │
│ДАМЬ НАР ЗЮС РЯЙ САМЬ ДУЧ ФУЧ РЫС СКЕС СЁЙ │
│ │
│ д д д г ь │
│ПРИТ БЕМ ЛУТ ТЕТ КИК ХОЛЬ ЗЕХ СТЫЧ ЧТЕЛ ТРАР │
│ │
│ з ыг в в д з з ь │
│ЛАСЬ ЖИК БЮН ПЯФ РУФЬ СЫМ ДВАТ ЖУС ПРАС ТЁЩ │
│ │
│ в д э ь │
│ВУФ ДЮРЬ СЯХ БОТЬ СТЯЛ ШТАЙ РУЛ ФАЙ ЖЕН ЛОЧ │
└─────────────────────────────────────────────────────────────────────────┘
Таблица Б.404
┌─────────────────────────────────────────────────────────────────────────┐
│ д з в в в з │
│НОТЬ ПОРЬ НЫСЬ ФСОФ ВЯЙ ЛОРЬ ЗУФЬ ЛИР ВЁНЬ ДАС │
│ │
│ ь з в з з │
│ПЯЩ ТРЕН ПЛИСЬ ФСЕН КАСЬ РОЦ ЧТАЛ ДЫС ТАНЬ ПРОЦ │
│ │
│ з з ь с б г з │
│ТРУХ НЕНЬ ФЫЛ ВЫС БЯС РЕЛЬ ЦУЧ ЗДАП ЁК БЫС │
│ │
│ б д в ыз д в │
│КУЙ ЮЦ НЕПЬ ГУТЬ МЫЛ ПЮМ ВАФЬ ШИСЬ ТЮТ МИФЬ │
│ │
│ б ё в г з д в │
│ГИПЬ ТРЮЛЬ ШОХ ДЛАФ ВАК ПАСЬ ТАС РЁТЬ ЁФЬ ПЕСТЬ │
└─────────────────────────────────────────────────────────────────────────┘
Таблица Б.405
┌─────────────────────────────────────────────────────────────────────────┐
│ д ы ь б жь д │
│ЦАТЬ ШИЧ ГУМ ПОН ВЫЙ ТЫПЬ ФИШ ЗНОМ ХЕТ НАХ │
│ │
│ в в жь сч д в г │
│СЕЛЬ МАФ ЗУНЬ ТЭФ ЗОШ ЩЕТЬ БЁР НЫФ ДОР БЁК │
│ │
│ д сч ю г б ед │
│ТРИТ ПУЛЬ ДЫСТ ЩУРЬ ГЕК НИП ЧИНЬ ТУМ ЧТЭТ ДЛИН │
│ │
│ жь з д г сч о │
│НЯШ СУЗНЬ ЦОЙ ПЫЦ КРЫС ДУМ МОТЬ ЗЯК СТАР ЩЁХ │
│ │
│ б ь в д з в б ов │
│ЛЮПЬ ТЯЧ СЁФ ДРЕТЬ ДЕСЬ РОН МЮФ ДЕП НЯРЬ ЧЁФ │
└─────────────────────────────────────────────────────────────────────────┘
Таблица Б.406
┌─────────────────────────────────────────────────────────────────────────┐
│ г в з д жь д │
│БЯН НИМ ДРАК ЯФ ТИСЬ НЮТЬ МАШ ДЮТЬ МЁЦ БЯЦ │
│ │
│ б д ь г з │
│САСТ ЛЯЛЬ ДИПЬ ТЯЛ МАМ НЕТЬ РЁЛ ЛЯЩ РЯК ПЕСЬ │
│ │
│ ь з ч з з г │
│ПРАР ПРИЧ БЁС ЗОХ ШТОСЬ ЗЭС МЮХ РУК НАЛ РЯЛЬ │
│ │
│ з в сч б ь д г │
│ЩИСЬ БАФ КАР КАСТ ЩИПЬ ВУЩ ЗАМЬ ХИН ДЭТ ЗЕК │
│ │
│ яз ь в з д в г │
│ФЫР ЧАСЬ ГЕЧ ЧЕФ КЕХ ФУСЬ ЛЕТЬ ДЛАН БЮФ ДУК │
└─────────────────────────────────────────────────────────────────────────┘
Таблица Б.407
┌─────────────────────────────────────────────────────────────────────────┐
│ в г г б ь │
│НЯФ ПЮЗНЬ ДВИЙ ШУК ПЛАК ЧТУП СЫРЬ МИЧ ФОЛЬ ПРЫЛЬ │
│ │
│ д в ь жь б │
│ДЯНТ СКИР ШТУТ ХАФЬ СКАХ ВЫЩ БЫШ ЖУРЬ ГЕП НИТ │
│ │
│ д сч я жь │
│ГОЦ ШУНЬ ТЫТЬ ФЕРЬ ЩАР ТРИР ЛЫШ РЕНЬ СЁМ ШТАМ │
│ │
│ б з з ь │
│БЫПЬ ХАНЬ ЧТЕХ СТЯС КРУС ЧТЫР СЭМ РИЙ ВАЧ ДИЛ │
│ │
│ в з з з в э ь │
│ЗНУХ ФСЯЛ МЕСЬ ЧТАС РЫС ПОФЬ ЖЕМ ПОХ ДЛЕМ МЫЧ │
└─────────────────────────────────────────────────────────────────────────┘
Таблица Б.408
┌─────────────────────────────────────────────────────────────────────────┐
│ сч б д г с з в │
│ЗИЛЬ НЁМЬ ЩЕП САР КРАТЬ ДЁК ЗДОС ПАНЬ ЗЯЛ ЧИФ │
│ │
│ д в э жь б в д │
│ХОТЬ СОФЬ ГОНЬ ШЕШ ПУЛ ЧИП МЯФ ТРЕЙ ВЕТЬ ТОФ │
│ │
│ в жь ь в з в │
│ШУФЬ СЯШ ДАЩ ГАЦ ФСИСЬ ЛАЦ ТЁСТЬ ПЮЙ ЛОНЬ ДУФЬ │
│ │
│ г б з д ь в │
│ЦОМ ЗЁК ПЛИП ДАЛ НЕСЬ ТРАТ ТЁЧ СТУХ ПРИФ ЁЛ │
│ │
│ жь б з д од │
│ПРОШ ТРЕПЬ ПЕМ ЛАЛ ЛИС ПУР ЁХ ВЁЛЬ ФИТ ЧЁТЬ │
└─────────────────────────────────────────────────────────────────────────┘
Таблица Б.409
┌─────────────────────────────────────────────────────────────────────────┐
│ з б г з з д │
│ТАСЬ ХЕП ТЫК РАСЬ ВОСТ ПЭС БОРЬ НОЛ ГАМЬ НОНТ │
│ │
│ б б ь з эд б │
│ДЯП БАМЬ ХУП ВИЙ ПЯЧ ЗОЛ ЕС ЦЕТЬ ТАЛ ДОПЬ │
│ │
│ з з д ы жь ь жь э д в │
│ЗУСЬ КУСЬ КАТ ШИНЬ ТЕШ ШАЧ ХОШ ШЕМ СТОТЬ ЦУФ │
│ │
│ жь з г с д │
│СЮЙ ТИМ НЯН РЫЦ БЮРЬ САШ ПИС ЛЫК РОН ЗДЯТ │
│ │
│ ё в ы ь в ёд жь │
│КАЦ ФАН ШОМ ВЫФЬ ЖИЙ ЛЁЩ ФСОХ ЖОТЬ ПАЦ ТРУШ │
└─────────────────────────────────────────────────────────────────────────┘
Таблица Б.410
┌─────────────────────────────────────────────────────────────────────────┐
│ в жь в в д з │
│ТОФЬ СВАШ РУФЬ ВЯФЬ ЗОЙ СЭК ПЫРЬ КИН ТЮТЬ БАСЬ │
│ │
│ з д в д │
│РЯХ ЮС ЛЁР МЯНЬ БУТЬ НЫФЬ ЗНАР ТУРЬ ПРЮТ ВУЛЬ │
│ │
│ г з э ь д б ь │
│НУР ТРОК ДЕСЬ ЗЫЛ СУХ ЦЕЧ НИТ ГОП СЕЧ МОЦ │
│ │
│ б б з з д жь юб │
│ВОП РЮП ДЯХ СТАМ НАС СИСЬ ШАТ ВУШ СВЕН ЧУПЬ │
│ │
│ б жь ь з ь жь │
│САТЬ РЭЛ СУМЬ ТРЯН ЛЮП НУШ НОЩ ЖАСЬ ТОЧ ВЕШ │
└─────────────────────────────────────────────────────────────────────────┘
Таблица Б.411
┌─────────────────────────────────────────────────────────────────────────┐
│ б в жь │
│ЗУРЬ ПАЦ НЕМ ДИСТ МИРЬ ЁМ ВЯП НЯНЬ ЧТАФ РИШ │
│ │
│ д д д д │
│ДЫЛЬ ШАТ НОН ТРЕР ВЫТ ВОХ ПУЛ ГЕТЬ КАТ БЁНЬ │
│ │
│ ы д ь з г г │
│ШИНЬ ПЛИТ ФЕЛЬ ФАЧ НАМ ПРУСЬ ШТЕК НУК ПРИЦ КЕЦ │
│ │
│ сч ю в д д з з жь │
│ЛЁМ ЩУР ФСЮЛ ТРЯТ ТЫТ СЯС НУС ДЯЛ БУШ ПЯЗНЬ │
│ │
│ в сч с з д б │
│СЫФ ЩИН ЗДОЛ ВУСЬ ДЛЕТ ХАХ ХИЦ ПРОМ ШУЛ ФЭП │
└─────────────────────────────────────────────────────────────────────────┘
Таблица Б.412
┌─────────────────────────────────────────────────────────────────────────┐
│ жь в ь з в │
│БОН ЗОН ЗАШ САЗНЬ ВАФ ЛУЩ ДЮМ ЧИМЬ ЧТИС ЛЮФЬ │
│ │
│ жь в д б яв │
│НУТ ДОР СКИШ КИН НЕФЬ ГУЦ ЧТУТЬ НЯП ЧАФ МАРЬ │
│ │
│ д б в д г │
│ЛАХ СКОЛ ЛОМЬ ПИТ РЯЦ РАПЬ ФСАТ БЕР ЗУК НЕСТ │
│ │
│ д э жь в сч яд ь │
│ВЁТЬ ПЕХ ШЕШ ЛЁХ ШТЕФ ЗЫХ ЩАТЬ РАЧ ТИЛ НЫЛ │
│ │
│ ь б б ь д д │
│ЦОЧ ТРОХ КАР ГИП СОПЬ ЛИЧ ДУЦ ДЕМЬ МУТ НАТЬ │
└─────────────────────────────────────────────────────────────────────────┘
Таблица Б.413
┌─────────────────────────────────────────────────────────────────────────┐
│ жь б оз з д │
│ХЕШ БУЛ ЦУХ ХУПЬ ДЛОХ ДЁЦ ЧЁСЬ ЗНУСЬ МЫРЬ КУНТ │
│ │
│ б б д в ь в │
│ТЫП РЕПЬ БАТЬ БЮЛ БЯЛЬ НИФ СТАЧ ШТУМ ФСИХ ВАЙ │
│ │
│ з д з г в б ю │
│СТЫС ЛЯТЬ ВЮС РЮК ВЕЛЬ ЖАФ ТРУМ ФОЦ СТУП ЧУН │
│ │
│ ь ё д в з в г │
│ПЯЛЬ ЮЧ ШОН ТЁТ ЗНАН САФ МЕС ПОФЬ ТЕК ФУЛ │
│ │
│ ь з г в в э б │
│КАЧ ТОСЬ ВЫК ШУФЬ РЯФ ШЕМЬ ЛЕПЬ ГАН ПАНЬ ТЁСТ │
└─────────────────────────────────────────────────────────────────────────┘
Таблица Б.414
┌─────────────────────────────────────────────────────────────────────────┐
│ ёз ь б б ь │
│СЕН ЖОС РЕТ ЛИР ТРИЧ ЦОН ПЛАП ЗЯЙ ЯПЬ ДАЩ │
│ │
│ в д ь │
│ТЕН СУРЬ НЮЦ ДАМ СТЕР ТУФЬ ЧЕТЬ ТУЛ РИЩ КУН │
│ │
│ г б В г │
│ХОЙ ЛОК ЗАРЬ СЮПЬ ПЫМЬ ХОФ ДУЛ РУК СВОЛ ЛЫЦ │
│ │
│ д жь з г д ь │
│МЮН СЕЛ БЯТЬ ЮШ ДВАС КРАК РЁН МЯХ КОТЬ СОЩ │
│ │
│ г б ь жь д │
│ДЕН ФОК НЫЦ СЫК ХАП РОЧ СИТ КРОШ ЮТЬ ВАСТ │
└─────────────────────────────────────────────────────────────────────────┘
Таблица Б.415
┌─────────────────────────────────────────────────────────────────────────┐
│ б г с жь в ыз в б б │
│ТРЮП НИК ЗДИШ ПЁФЬ ШИСЬ БЫНЬ ЕФ ПЁПЬ НЁП ЖУР │
│ │
│ д з жь э э сч ь з │
│СВЕМ РУТ ГОС ПРЯШ ЧТЫН МЮЛЬ ШЕН ЦЕР ЩИЧ СИС │
│ │
│ б в │
│ГУЛЬ ВУПЬ ТЫЦ ТИЙ САЛ РОР РУНЬ ЖАМ БИМ ДЕФ │
│ │
│ д з д ыв ь ь │
│ФИЦ ДЯТ ЗЁЙ ПРЮС ПРЁТ ЖИФ ТЫХ ТРЫХ ГАЧ ПУЩ │
│ │
│ б з б │
│ДРОН РЕЙ МОП ЗИЛ ГЕЙ ЗАЛЬ ЗЕЙ БУС БЫМЬ МЁПЬ │
└─────────────────────────────────────────────────────────────────────────┘
Таблица Б.416
┌─────────────────────────────────────────────────────────────────────────┐
│ г з с г б д ь ь │
│ДЛЮК ПЫЙ ЕР ПЛОС ЗДЕК БЮПЬ ТЯЦ ФИТЬ КРОЧ МЮЩ │
│ │
│ д д г б эз │
│РАД РУТЬ ДАХ СЫНТ ТРЫК КЕРЬ ТАПЬ ДУР ЯХ ШЕС │
│ │
│ д з │
│ТЕТЬ РЁЛЬ ТИН ПРЯН СОЙ РЮХ БЮС РЮН ПРОР ДЕХ │
│ │
│ б ё б д │
│БАН ДЕН ШАНЬ НЯСТЬ ФЫМ НЯПЬ БЁРЬ ЖОЙ ТЭП ЛЕТ │
│ │
│ д эб од б д ыб ь │
│ЛОР ЁТЬ ШЕП ШЁТ ГАП НЁР ДЕНТ ЧЕМЬ ЖИП ФУЩ │
└─────────────────────────────────────────────────────────────────────────┘
Таблица Б.417
┌─────────────────────────────────────────────────────────────────────────┐
│ ё сч з д ь д │
│ШОМ ШТАР МЯХ ЩИС СКЕТ СТОХ ЛЁЧ ЛЁЛЬ ВАЗНЬ НОТ │
│ │
│ жь в з б б д б │
│ТАШ ФСЕЛ ПЕСЬ ФЕП ПАПЬ ЗОЦ СВАМ ДЛАХ СЯТЬ ТЁПЬ │
│ │
│ б в г в │
│ГЕХ ВАП ШУРЬ РЫМ КОФ ХОК ВУЛЬ НЕНЬ ТРАХ БЮФЬ │
│ │
│ ь ь г ид │
│ФУХ ПАЩ ПЯН ВАЧ ПУСТ СКАК ПРЕЙ НЯЦ ПЫР ЦЫТ │
│ │
│ д эз жь д │
│ДВЕТЬ ЧИХ ЦЕСЬ ДЫШ ПЕЗНЬ ТРЯХ СОЙ РИМЬ КАС ДЯТЬ │
└─────────────────────────────────────────────────────────────────────────┘
Таблица Б.418
┌─────────────────────────────────────────────────────────────────────────┐
│ в юв б ь │
│ТОНЬ КИФ ДОЛЬ ЧУФЬ НИН РЕП ЛОХ ТРИЦ ЛАЧ НЕХ │
│ │
│ в з г д д │
│БУФЬ БАХ БОСЬ ПЛИК РЫХ ДЯМ НИХ МЁТЬ БЕТ ЛЮМ │
│ │
│ б з в жь │
│ПРАЙ КУПЬ ЗУМ ЗАСЬ ЯМ ТИЗНЬ ЛУФЬ СИШ ХУН ТИЦ │
│ │
│ з ь я сч сч о ь ь з з з │
│ГИС НАЧ ЧАЛ ЩЕР ЩЁЧ БУН ЗУЧ САС ЛУСЬ ЗЫС │
│ │
│ сч яб б з │
│ТУНЬ ЩАП СТАП РОРЬ ХОМ СЮЦ ХИНЬ НЫС ЖАН ЖУНЬ │
└─────────────────────────────────────────────────────────────────────────┘
Таблица Б.419
┌─────────────────────────────────────────────────────────────────────────┐
│ жь д жь ь │
│ГАШ ЛЯД СВОХ ВУТЬ БУШ ЗЕМЬ МОНЬ СИРЬ СУЧ ВИЦ │
│ │
│ з о жь б ь с з │
│ПЁРЬ ЗНУС КАЛЬ ЧЁШ СЮФ ХЕПЬ БЫРЬ ТУЩ ЗДАН КРИС │
│ │
│ ёб з э в жь б б │
│ШОП ЗЁН ПЮХ ТЫС ЖЕЦ ДЁФЬ СТУШ ЛИП ЮПЬ ПОК │
│ │
│ з г б б г ь │
│ТРЯСЬ ГЕЛЬ ВЁК СЭТ ДЮП ЗНАМ РЮЙ ДЕП ЧТУК НЮЩ │
│ │
│в б б б з з в д в │
│ФСЕП РУМ МАПЬ ЗАПЬ СЫСЬ ХАСЬ ФСОТЬ ЧТАЛЬ ЗЯНЬ РЕФ │
└─────────────────────────────────────────────────────────────────────────┘
Таблица Б.420
┌─────────────────────────────────────────────────────────────────────────┐
│ в ы д б │
│ДОФ ХУХ ЕНЬ ФАЛ ШИМ НЭР ДРЕТ НУН МИЛЬ МЫП │
│ │
│ г б б жь з б г │
│КАРЬ МУРЬ СЭК ГУП ВОПЬ ЗЭН ТРЯШ РЁСЬ ПОПЬ ЧТЭК │
│ │
│ жь жь ь │
│ВЯШ ПЁШ ДЕХ ВЫХ ЦЫМ ЦАЦ ЛЯЙ ЗИНЬ ЧТЕЙ ГУЧ │
│ │
│ з д ы г д ь │
│МИСЬ ГОТЬ ШИХ ШТОХ ШТИК ВЫМ РАНЬ ЛЫТ ВИЧ ПРИЙ │
│ │
│ б б в в в │
│НАП ПРУХ БЕП ПОМЬ ТРОФ СОХ СТЯМ ЗОН КИФ НУФЬ │
└─────────────────────────────────────────────────────────────────────────┘
Таблица Б.421
┌─────────────────────────────────────────────────────────────────────────┐
│ з з б б з в г жь │
│РЁСЬ ПРАЛЬ ШУСЬ НУП КАХ НЁП ЛАСЬ ФСЁК ТАФ ВАШ │
│ │
│ д з д з │
│НАР НОТЬ ГОСЬ ЧТЫНЬ ДОТЬ ТИСТ ДИРЬ ДЫХ ЦЫСЬ ДЛАЙ │
│ │
│ ь д д з │
│БЫЧ РУТ ПЫР ШТАЦ ЛЮЛ ЦАЛЬ СЫТЬ МИЦ ШТЫСЬ СТЫХ │
│ │
│ б жь эб д сч г жь │
│ХОП КУТ ГАШ ЖЕПЬ СОНТ РОР ГЕНЬ ЩЕК ВЯР ПРУШ │
│ │
│ з б в д в з ь з │
│СЮСЬ ДРЕН НУХ ДЛЕП ФСОТ МАФ ДЕС КАЧ ДИСЬ РЁЛ │
└─────────────────────────────────────────────────────────────────────────┘
Таблица Б.422
┌─────────────────────────────────────────────────────────────────────────┐
│ г б б жь г ё │
│ФИМ ФАК ЯП ДЯП ГЕШ ЗОК СВАЛ ЛЯМЬ ШОР ХОМЬ │
│ │
│ жь сч ю д з д д │
│РАШ ЩУЛЬ ЧТАТЬ ПЁЛЬ ПЛАХ БЕМЬ СВОС ХАТ ТЕТ ПУЙ │
│ │
│ з жь б з д │
│ТРАСЬ БЯШ РАПЬ ГИСЬ ДВИХ СИМ КЕТ ХИР ЛОЛ ТУСТЬ │
│ │
│ ез д жь б з жь о жь │
│НЭС ВАТЬ ВЫР СОШ ШАПЬ КИСЬ РУШ ВИН ШЁЛ РЯШ │
│ │
│ жь з б о сч з │
│ПРЕШ СТУСЬ СЯП ЧЁН ПРЮЙ ЩИЛ БЮР ПОС РЮН ВОЦ │
└─────────────────────────────────────────────────────────────────────────┘
Таблица Б.423
┌─────────────────────────────────────────────────────────────────────────┐
│ в жь б д б │
│ГУФ СОШ ВАП ЧИТЬ ТЭР ФЫЛЬ ТОЦ ЛАП СТОР БУХ │
│ │
│с г г з д │
│ЗДОК СЫЙ СЭТЬ СТЕК СКЕЛ ЖАС ЗАН РЫЛЬ ПРОТ НУЗНЬ │
│ │
│ д в д в │
│ЗАТЬ ЗЫЛЬ МЯН СЕФЬ СЁР МОТЬ ТРЁН КУЗНЬ МЕФ ФУЦ │
│ │
│ б ь жь в з ё б │
│БАНЬ РИП ЯЧ ЗЕШ БОФ МЯСЬ ЛИРЬ МУЦ ШОХ ЧЁП │
│ │
│ д д д б жь жь в │
│ПИН РЕТЬ ЗНАТ ТАРЬ ПИТ ТРАПЬ БАШ ЛЁНЬ ЛЁШ ТРЮФ │
└─────────────────────────────────────────────────────────────────────────┘
Таблица Б.424
┌─────────────────────────────────────────────────────────────────────────┐
│ ь ы д ь з │
│НЯНЬ ТРЕЧ ТАЙ ЖИМ НЫТ ХУЩ ТОХ ВЕЛЬ ШАРЬ ТРУСЬ │
│ │
│ д з я с д з юз │
│ЗУМ ЕЦ МЮР ВУТЬ ЁС ЧАМЬ ДАРЬ ЗДЯТЬ БЫС ЧУСЬ │
│ │
│ эд з г б в з ь │
│ШЕТ ГУН НЕС ТЮЦ РИК ЗЮП НИФ ХЕСЬ НАЩ НЮЦ │
│ │
│ б з в │
│ПЕМ СОП ТЁР ДЯХ ЛУН ЮН БЕЛ ПРЯСЬ ФЕХ СКУФ │
│ │
│ ы сч я д в ь в б б │
│ЕМ ШИЦ ЩАХ РЯТЬ ЛЕФЬ КИР МЁЧ ФСЯП ТЫЛЬ ТУП │
└─────────────────────────────────────────────────────────────────────────┘
Таблица Б.425
┌─────────────────────────────────────────────────────────────────────────┐
│ в б ы │
│ДАФ БЯПЬ НЕМЬ ШИЙ КРУЙ БЁЙ ПАМ ВАСТЬ ЗЮХ ВОМ │
│ │
│ г в д г жь д │
│РУМ ЦАК ДЮФ СУР ЗУТЬ ТРЯЙ ЗИК ФУШ ХАЛЬ НЯТЬ │
│ │
│ в г в з ь д з │
│БЫЙ ЛЫЙ НИЛЬ ЧТУФЬ ЦОК КАФ ВЁСЬ ПУЩ ПАТЬ ЗНЁС │
│ │
│ жь ь д в з д │
│ШТИШ ТИЧ САТЬ МЫМ ДЁЛ ПЛЕФ ЧТИСЬ КРАЛ ДЫН ЖУТ │
│ │
│ ь ё б б д в жь ь │
│ТЯЩ МОЗ ЖОЦ ДУПЬ ЗОР ГАП ПЯНТ ВОФ ПЯШ ЛИЩ │
└─────────────────────────────────────────────────────────────────────────┘
Таблица Б.426
┌─────────────────────────────────────────────────────────────────────────┐
│ б сч ю в э ь ь │
│ХОПЬ ТЫХ ХИЗНЬ ДАЦ ЩУН ШУФ СУМ ДАЛ ШЕЧ МИЧ │
│ │
│ б эз в эб │
│ЮХ ХОНЬ ЛАМ БИХ ТРЫЛ РИП БЫЙ ЦЕС ТРАФ ЖЕП │
│ │
│ в з г в ь │
│ЮФЬ ТОРЬ ЖАЙ БЁСЬ ФИК ВАЦ СОМЬ ТЭК ФСАН ДОШ │
│ │
│ г б з жь г в д │
│СГИК ГОМЬ МЯП ПРОС НЮШ ЛАН НИК ФУФ ВУТ ДВАН │
│ │
│ ь б б д │
│СЯЧ ПРЁН ЧТЫРЬ СКАФ ПЕЦ ЧТАП СЕП КРОН ПИНТ ПЯЦ │
└─────────────────────────────────────────────────────────────────────────┘
Таблица Б.427
┌─────────────────────────────────────────────────────────────────────────┐
│ з ь б б │
│ЗНЕХ ПУСЬ ЯРЬ ТРЮР ЛЯЛ РЯЧ СВЕЛ БАП ДЁСТ ФАП │
│ │
│ ь в б б д ь в │
│ДЮЧ ФСИЙ СЫНЬ ДОПЬ РОПЬ ЦУТЬ ЛЫЛЬ СТОЧ НЕМ ЗЫФЬ │
│ │
│ в д б б в │
│НОФ ПОЦ КИЛ ВОМЬ СИНТ ЗАП ЗЕП ВЫЛЬ ЗЭЛ ДИФЬ │
│ │
│ в в жь ы б в б │
│РИФЬ ЛАФ ГЕШ ШИН КАПЬ ЛЮЛЬ ВЫФ БУХ МЁЙ ГЕП │
│ │
│ д ь в │
│ШУЙ ФОНЬ ЗОНЬ НЕТЬ ШТОМ ЧТЕР НИЗНЬ МЁЩ ЗИР СУФЬ │
└─────────────────────────────────────────────────────────────────────────┘
Таблица Б.428
┌─────────────────────────────────────────────────────────────────────────┐
│ жь ь я д д д │
│ЛЁШ МАЦ РОЛ КЕЩ СЮЛЬ ЧАХ КРЕТ СТЫЙ ДИТ ГИТЬ │
│ │
│ д в д б г э з │
│ДЁМЬ РЕТ СЮМ НЯФ СОТ САПЬ ПАК НЯН ШЕЛЬ ЛИС │
│ │
│ ёв в з г │
│ХАМЬ ЧОФЬ КОФЬ ХУСЬ ПРЮЛ ТАН ПЮК ЁЛ РЫЛ ФЫРЬ │
│ │
│ сч юз в б д ё д г │
│СКИН ЩУСЬ БЕФЬ НУП ДРОТ ЖОР ЗАР МЮТЬ ЗОК КУТ │
│ │
│ ы б д ь жь д сч о в │
│ЖИМЬ ВУП ДЛАТ ДЁЩ ЧЕШ ТЫНТ БУНЬ ЛЁР ЩЁР ЖУФ │
└─────────────────────────────────────────────────────────────────────────┘
Таблица Б.429
┌─────────────────────────────────────────────────────────────────────────┐
│ жь г ь з г │
│БАШ ГУК ТЮРЬ ТЯМ ГАЙ ТУЧ ШТАС МУК РАРЬ СЁЦ │
│ │
│ б з в ь з в │
│ДЯПЬ СТАС ЁХ ЛУЛ ДОФЬ ЛЯЧ ТРЕС ПРЯФ РЕЛ ТЮЛ │
│ │
│ з з з жь ь │
│ПЛЕС НАЙ БЯНЬ ШАСЬ ХИС РУРЬ РЁШ ЗОЙ САЧ КАН │
│ │
│ д з ь г д д жь │
│ПЁН РЫТ ДЛИС ПЫЧ ХЕК НЫТ ПРУЦ ЛЁТЬ ДИШ ВЁНТ │
│ │
│ з в в д д ь │
│ТАХ ЕСЬ ВИФ БОФ ВЕР ГУТ МАЛЬ ЗЁТ ХАЩ ВАМЬ │
└─────────────────────────────────────────────────────────────────────────┘
Таблица Б.430
┌─────────────────────────────────────────────────────────────────────────┐
│ юг з г б жь жь з │
│СВОР ЧУК БЫСЬ НЁЛЬ ПРАК ЛОПЬ БЯМЬ ВЁШ ФЕШ РЮС │
│ │
│ з в з с г с д ёб │
│НЕСЬ ТЁН ШАЦ ПУФ ТУЛ МОС ЗДИК ЗДАТ ПИРЬ ШОПЬ │
│ │
│ г г сч юг в ь б │
│ЧТУНЬ ВЯК ДУК ЩУК ФСЮХ БЯМ ТЫР НЫЧ ШУПЬ ПОЛЬ │
│ │
│ з з │
│ЧИЛЬ ШТЕЙ НАРЬ ЦУН МЯР РЁРЬ ГАСЬ ЗНОН ТИСЬ ЗУЛ │
│ │
│ жь з д жь в д │
│ПУХ ТРИШ КОС ТРОТЬ ЦУЙ ПЛАШ ЗЯРЬ КАФ РЮЙ ТРЯТЬ │
└─────────────────────────────────────────────────────────────────────────┘
Таблица Б.431
┌─────────────────────────────────────────────────────────────────────────┐
│ з жь з │
│ЗАНЬ ЛИХ НИНЬ ПРЯМЬ СВЯС НЫЙ ЛОН МЫХ МАШ МАС │
│ │
│ в д д в │
│ВОНТ ЗАФЬ СВОТЬ БЕЛ ПРУН ДИНТ ШТИХ БОЛ ЖУЛЬ ВУФЬ │
│ │
│ я в з ь в │
│КУР ЛЕЙ ЧАРЬ ЧТУН ЗЫНЬ ФСЯС ТРЕЩ ТОХ МЮФЬ ЛУМ │
│ │
│ в з ь д │
│ЗУФ САСТЬ РЮС СИР ВАХ ПЛАЙ РЮЧ ДАРЬ ТИНТ ПУР │
│ │
│ б д з в б в д │
│ТРЁП ФЕТЬ МАН КРУЦ ЛЯС ЧЕФЬ ДЁН НЕП ПУФЬ ХАТ │
└─────────────────────────────────────────────────────────────────────────┘
Таблица Б.432
┌─────────────────────────────────────────────────────────────────────────┐
│ д жь ь б с д г │
│РЕТЬ ШУШ ХИЩ ТРЫП МУМ ЗДИТЬ ХОН ЮР ЦАХ БЮК │
│ │
│ д сч д д з д б в ь │
│СЫТ ЩИТЬ ЧТЫТЬ САСЬ РЫТ ЗЕН ГУП ЛЁФ ФИР СОЧ │
│ │
│ б в д б б з ь │
│ЗЯП ДОФ ДВАХ МИТЬ НОП ТЭК НОЗНЬ ГАПЬ МЁС ГАЩ │
│ │
│ ь г ь б жь │
│ГИЛЬ ВЯЧ ПЁЧ ЛЕК ДЯР ПУЛ ГУЧ ДАПЬ БЫМ ПРАШ │
│ │
│ жь в ь сч яз б в │
│РЯШ ЗУН ХИФЬ ГУХ НАЩ ЩАС ПЛЕХ ТОЦ СУПЬ ЁФ │
└─────────────────────────────────────────────────────────────────────────┘
Таблица Б.433
┌─────────────────────────────────────────────────────────────────────────┐
│ ы жь в в б ь │
│ШИМЬ ЯШ ДАФЬ ПАЛ СТЕХ СИФЬ ЗИП ВУЦ СУЩ САЙ │
│ │
│ б жь з г д в в б │
│БАПЬ БОШ КЕС СОНЬ ПРИК НЯТЬ РУРЬ МЯФ ВЕФЬ СТАПЬ │
│ │
│ жь сч оз ь д ь │
│ТРАЦ ЧТАНЬ ЦОШ ЩЁС НЯЧ КУС ПЮНТ ПЁР РОЛ ХУЧ │
│ │
│ г жь жь б ёб б в │
│ПЁК БЁШ ЕШ ХОП ШОПЬ ЧИПЬ ТРЁФ ТАРЬ ЕНЬ РУЛ │
│ │
│ з ь б б г ыв │
│ДЫС ЛЫЛ НИЧ РОПЬ ТЫЛЬ БУП ВЁЛ ХАК ЖИФЬ ТРЯЛ │
└─────────────────────────────────────────────────────────────────────────┘
Таблица Б.434
┌─────────────────────────────────────────────────────────────────────────┐
│сч оз з з в б г г в │
│ ЩЁСЬ СТЫЛ ЧТЕС СЕС ПЯМЬ ФСИЛ КОП ЗНИК ФУК ТАФЬ │
│ │
│ в жь ь б з │
│ РЯФЬ ЗОРЬ ФЫШ ЖАЧ ЛЮЦ БЯП НЕЦ РАРЬ ТИЛ ЦЫС │
│ │
│ з жь жь ь з │
│ БЮНЬ ДИХ КАЛЬ СЁСЬ ФАШ РЕШ РЫЛ БЯЧ СКОХ НУСЬ │
│ │
│ д г д │
│ ФОХ ВЫЦ ЖАТ ДРОХ ДЕК ЛИМ ТЕЦ ДЮЦ ПОМЬ РЁТ │
│ │
│ з з с в д │
│ МЯЛЬ ПЫС СКИЛ ШТАСЬ НАН ЗДАЦ БЫФ ДЕТЬ ЯЛ ТЮН │
└─────────────────────────────────────────────────────────────────────────┘
Таблица Б.435
┌─────────────────────────────────────────────────────────────────────────┐
│ жь з в б ю ь эз │
│ВЕХ ШТЫМ ПЮШ ДЛАСЬ НАФЬ ТЯП ЧУНЬ ГИЧ ПРЕХ ЖЕСЬ │
│ │
│ д д б д в д │
│ПРЫТ ТРОТ ТУПЬ ДЛЕТЬ РИНЬ ФСАЛ КИТЬ НЁРЬ СЕЦ КАХ │
│ │
│ з ёд в з сч э │
│ВАЛЬ СТАСЬ ДЫНЬ ШОТЬ КОФ ЛОЙ ДИСЬ ЩЕН КОСТ ЦЕМ │
│ │
│ з ь з ы ь з д │
│ЗНОС БУР ЗОЧ ЛАР ПОСЬ ШИХ БУЧ ГЕС ЗЁР РИТ │
│ │
│ эз сч юз ь ь жь ё ь │
│ШЕС ЩУС МЕНЬ ТЁЧ ВОЧ ШАНЬ НЯЙ КРАШ ТАЙ ЧОЧ │
└─────────────────────────────────────────────────────────────────────────┘
Таблица Б.436
┌─────────────────────────────────────────────────────────────────────────┐
│ в б з д │
│ПИХ ТОФ ЮПЬ ДЭС ЛАЦ ЗОМЬ ТРОЛЬ РЮР ЗНИТ ЗНОР │
│ │
│ ь з з │
│ЧЕР СОЧ НИЙ СЕС БУЛЬ НУСТ БУСЬ ЖАМЬ ЗУЦ ДЕЛ │
│ │
│ з г г б │
│ДЯР СТАХ ЛЁСЬ ЗАК ШУР ДЁНЬ ДЛОК ЛУЛЬ ПРИН ПРЫП │
│ │
│ д б д г з │
│СВАТЬ БЕПЬ ПЕНТ МЯЛ РЫК ПЛАСЬ ТЕР ВЫРЬ ГОР РАН │
│ │
│ з в з в в │
│ГАХ ЕН КАС ТЯФЬ СТЫР МЮСЬ ТЫФЬ НЕН ВОЦ ВЕФ │
└─────────────────────────────────────────────────────────────────────────┘
Таблица Б.437
┌─────────────────────────────────────────────────────────────────────────┐
│ в ыб з в з д б │
│РАФЬ ЖИПЬ ТРЁСЬ ПЛИН МЯФЬ ЗЕС МИТ ЯМ БЫЦ ДОП │
│ │
│ яб г ь жь ё г з │
│ЧАП ПРУК НЫЧ ЦЫШ ЧОХ СЮРЬ РУК ШТЫЛ ТРИЛ ГУС │
│ │
│ б б д б с в │
│ВИСТЬ СЫП ДЮХ ЛЯП СКЕТЬ ГИР МЕПЬ ЗДЯН ХОМ ФОФ │
│ │
│ ь з г д з в э │
│ТОЩ ЁСЬ ШАН МЫК ДВЯТ ШТЕС ЧУРЬ НАФЬ ХЕЛЬ ЦЕЛ │
│ │
│ з б з в з з │
│НИСЬ ТАР ВЯНЬ КЕЙ СТУН НЫПЬ ВЯС ВОФЬ БОСЬ ЛУС │
└─────────────────────────────────────────────────────────────────────────┘
Таблица Б.438
┌─────────────────────────────────────────────────────────────────────────┐
│ з б з з г д сч ь з │
│ЗДОЙ БОСЬ ПЫПЬ ТУСЬ СТЕСЬ ПЕК БИТ ЗУЙ ЩЕЧ МИС │
│ │
│ в з ь б в │
│ГЕФЬ ВАСЬ СЁН ЕЧ ЛАН ЧТАПЬ ЛЫРЬ ТЮР ФСЯН СУР │
│ │
│ ь д г в д б ь г │
│КУНЬ РУЧ ФАХ НУТ РЕК ФСУЛ ПОТЬ НОПЬ ВУЩ ПРЯК │
│ │
│ жь в сч о г д │
│ЛИЛЬ ПЕР ЗЁШ ПАФ ЧТУР ЩЁЛ ХОК ТЫМ БЫНЬ НЮТ │
│ │
│ з д д б │
│КЭС САТЬ БАТ ТРУЙ НЁМ САЙ ТРЯЛЬ ВИПЬ ХАЛЬ ЦУРЬ │
└─────────────────────────────────────────────────────────────────────────┘
Таблица Б.439
┌─────────────────────────────────────────────────────────────────────────┐
│ ё з з б │
│ГЕЛ ЛЕЛ БЁН РЫН ШОНЬ ПЮН ЛЕЦ ШОСЬ МЁСЬ СИП │
│ │
│ э д ы б в з б │
│РЫЙ ЖЕХ ТОТЬ ШИЛЬ ЧТЕП СЯФЬ НЕЛЬ ЧИСЬ ТРЁХ РЁП │
│ │
│ в в ыв з │
│ДИЦ ЯЦ ЗУР ХУМ ПРАФ ДЫФЬ СЫЙ ШИФ РИХ ДИС │
│ │
│ д б б ь жь д │
│ТАЗНЬ ФЕТ ШТЕП ТЁП ПУМ ХЕСТЬ РЁЧ ДАШ ТЕТЬ ДОЦ │
│ │
│ в б д │
│ЛЮРЬ ПАМЬ ФЫЦ КАР ФСИМ ГОП ШАМ СЯНТ СОНЬ КЕЛ │
└─────────────────────────────────────────────────────────────────────────┘
Таблица Б.440
┌─────────────────────────────────────────────────────────────────────────┐
│сч я г о з ь жь д з │
│ ЩАН ГАЛЬ ДЛИК ШЁМЬ ТРЫС ЗАЧ ВЭШ СВЫМ КРОТЬ ЧТЫС │
│ │
│ з д в з ь │
│ ХИСЬ РИТЬ НЯФЬ РОС ПЫМ НЯМЬ КРЕЛ РЯЧ НУМ ФИРЬ │
│ │
│ д в в в эб сч д д д │
│ ПЯТ ЦАФ МАФЬ ТАФ ШЕПЬ ЩЕТ ЛИТ ПРЕЛ ДАНТ НАН │
│ │
│ жь г жь ь д │
│ ХУЦ РИЛ КОШ МЫЙ ДАК МОШ ЖУМ ТАМЬ ЗЫЩ ЗИТЬ │
│ │
│ ь в ь з │
│ БАМ ФУМ ДЯЩ БИЛЬ ЗЯФ ВОМ СКАЛ ЖАЩ ВЕМ ДРАС │
└─────────────────────────────────────────────────────────────────────────┘
Таблица Б.441
┌─────────────────────────────────────────────────────────────────────────┐
│ г б сч яв д иб з з │
│НАК ДЫП ВИЗНЬ ЩАФ ЗЕНЬ КЕМ ДУНТ ШЫПЬ НЭС ШТУСЬ │
│ │
│ в д жь г з б сч жь │
│СЭМ РУФ ШАТЬ ШАШ РЮК ЛУС ПРИП ЩИМ ДЕШ СЁМЬ │
│ │
│ з д г б з д э жь │
│ГЕЦ НАСЬ ДЛЮТ ПЕРЬ ЗАК РУЙ ЗИПЬ ДОСЬ СТЕТ ЦЕШ │
│ │
│ ь ь ь жь з г в д в │
│ПЁСТ НИЧ ФОЧ ТРУЧ КИШ ПЛОСЬ ДВЕК ФСИТ СТАФЬ НУР │
│ │
│ з б з з с д з │
│НЁСЬ НЕПЬ ТЫСЬ КАСЬ ЗДОТ ВУСЬ РИН ТЫЙ СКУН ЯЛ │
└─────────────────────────────────────────────────────────────────────────┘
Таблица Б.442
┌─────────────────────────────────────────────────────────────────────────┐
│ о в в │
│ЧЁМ ДЯФ ХИСТ ТЁХ МЯФЬ ЗЯР БЮМЬ ДУН ПУН ХАЦ │
│ │
│в в б в с г г б │
│ФСАФ ТЕПЬ ХАР ЛЫФ ЗДЯК ШУХ ГУХ ЯХ БЯК ЗАП │
│ │
│ д б жь б │
│КРУХ РЕТ ЗНАП МЯЛЬ ШУЛ ПЁЛ ТРЯНЬ КАШ ЗЭМ ТУП │
│ │
│ г ь в │
│ФИЛ НОК НЯРЬ ТОЗНЬ ШАЙ ЁЦ БЫЩ ЛАХ КОР СЮФЬ │
│ │
│ сч жь з в я ь │
│МЫН СИТЬ ЛЕХ ЗЫР ШТАЛ ЩИШ ПОСЬ НИСТЬ ГОФЬ ЧАЩ │
└─────────────────────────────────────────────────────────────────────────┘
Таблица Б.443
┌─────────────────────────────────────────────────────────────────────────┐
│ и г в з б ыв ь з з │
│ЦЫР ПАЛЬ ПЯК ВЫФ ЗЁС ХИПЬ ЖИФ БОЩ ЛЮС ПОСЬ │
│ │
│ в в эд ь │
│РЫФЬ КАФ БЫР ЖЕТ СКЕР ВОМЬ ДЁЛЬ ВАМ ПЛЁХ РАЧ │
│ │
│ в з э б д з сч я │
│РЁМ ПЕН ХОФЬ ЗОС ШЕН ДЛОП ХИТ ТАР ТЯС ЩАНЬ │
│ │
│ в жь ь в д │
│НОХ ЖАФЬ МЁРЬ ТРОЛ ТОЙ ГЕНЬ ВИШ СЮЧ ЗУФЬ ЛОТЬ │
│ │
│ ю б б г б б г │
│ЧУХ ТРЮЙ МЕП КАРЬ ДАП ЖАК РЮП СЯСТ НИП ЦУК │
└─────────────────────────────────────────────────────────────────────────┘
Таблица Б.444
┌─────────────────────────────────────────────────────────────────────────┐
│ д в │
│ТИМЬ ДРОЙ ЛИЛ ВЁН ДАТ БОРЬ ХОЛ ДЯН ФСЯЙ ЛЕЛЬ │
│ │
│ б г ь з д ь о з │
│БУП НЁК САЩ ТЫСЬ СЁТЬ ФЕЧ ЧЁЙ СВИНЬ САРЬ МАС │
│ │
│ д б з ь б жь │
│РЁПЬ ДИТ ЛЯП ЁЛЬ ЕСЬ ПРЯЙ ФАЦ КРАЧ ЦОП НУШ │
│ │
│ д в д в з в │
│ТРЕЛ ТЁТ ЧТЫФ ЗНУТЬ РЯФ ГИСЬ СУН ПЫХ РОХ СОФЬ │
│ │
│ з ь жь │
│НЕХ ЧТУМ ДЮС БЕН ВЕЧ ХУРЬ ФУЛЬ ФЫЙ ПИШ ВЕЦ │
└─────────────────────────────────────────────────────────────────────────┘
Таблица Б.445
┌─────────────────────────────────────────────────────────────────────────┐
│ б д д д жь ь │
│СТЫП ЛИТ СУЦ ТАН ПРАН БИЙ БУТЬ БЯТЬ ЗОШ СВАЧ │
│ │
│ з о жь жь г │
│ЗУНЬ ГУНЬ СЫС МОСТЬ БОМЬ ЖЁШ ДЕРЬ РЫШ ПОК РЕЦ │
│ │
│ з д з з з в │
│ЧТЕСЬ ГОЙ МИТ ГАР МЮНЬ СЕС ЗУМ ТРАС ТРИСЬ БАФЬ │
│ │
│ эб ь ёз б в │
│ЧТАН ШЕПЬ ТАЩ ШОС МУХ СТУМ БЁЛ ПРЕМ ЛУП ПРОФ │
│ │
│ д в г │
│ДЫРЬ ЧИЦ ПРЫЙ ШТОТ ВЫЛ ПУФЬ ВАХ ЛЁРЬ РАЛЬ НЯК │
└─────────────────────────────────────────────────────────────────────────┘
Таблица Б.446
┌─────────────────────────────────────────────────────────────────────────┐
│ д з г д │
│НАТЬ ГЕСЬ ЁР ГУК НУЛ РИХ БОМ ЦОР ЗНУТ МИЙ │
│ │
│ з ь з з г з │
│СЮС ЦЫЛ МЮЦ ГАЙ ПАЧ ВОСЬ ТАСЬ ЗЮК ТИН МЭС │
│ │
│ з д д з │
│ДЮСЬ ФУНЬ СЮЛ СУТ ТАЛ ГУТ ЧИЙ ПУРЬ ХОС РАР │
│ │
│ д ь в ь з б │
│БОТ САР ПЫЩ ТОФЬ ФОРЬ ПРИХ НИН РЫЧ МОС НЫП │
│ │
│ б г в в б в д │
│ТРЕП СВОК МЁЛ ФСИФ СКЕН ЕХ ПАП ЛУФ ДЛЁТ ЧТАРЬ │
└─────────────────────────────────────────────────────────────────────────┘
Таблица Б.447
┌─────────────────────────────────────────────────────────────────────────┐
│ в с ё д в б │
│ЛОФЬ ЗДЯЙ ШОЛЬ ПЯР РЁМ ХАТЬ ХИФ РЯП ШТОХ КОЦ │
│ │
│ ь з д жь д б д в │
│КРУН РОЧ РУС СЫТЬ НЕШ ЛУТЬ ЗЭП ЧЕЛЬ ЛЕТ РОФЬ │
│ │
│ ь ыз ёг б о сч в │
│КЕЗНЬ ЛЁЧ ДОНЬ ЖИСЬ СТУР ЖОК НЯПЬ ЧЁМЬ ТРИХ ЩИФ │
│ │
│ д сч яз б б д д б │
│ФАТЬ ВЫН ЩАСЬ ВЁП ДРАЛ ТОП НЕНТ СКУТ ЛЁМЬ ТУПЬ │
│ │
│ ь в ь г ь в д │
│ТОЧ ПЛАМ БЯР ЗОЛЬ ВИФЬ ЛАЩ ТЫК ШУЩ ПОФ ВЕТ │
└─────────────────────────────────────────────────────────────────────────┘
Таблица Б.448
┌─────────────────────────────────────────────────────────────────────────┐
│ з в д в б б з │
│ГАСЬ БЯМЬ ХАФЬ ТРАТЬ ЗЕФЬ БЭЛ НОП СОП ТРОЙ КРАС │
│ │
│ б сч в б ь │
│ДОЗНЬ ДОХ НЁПЬ НЯЦ ЩЕЙ БЫФЬ ПРАПЬ ЛЯР ДАЦ ПИЩ │
│ │
│ в д б в ь з в д │
│КЕФ СЁЛЬ МУЙ ПЛЁТ ЛИПЬ РЫФ СВЕХ ЗЯЧ ЧТУС ФСАТЬ │
│ │
│ э жь б д │
│ЖЕШ ШАМЬ ПУЗНЬ ДЕЙ СИП ВЯНТ ЕЛ ЖАНЬ МАЛ ВАРЬ │
│ │
│ жь г з з жь │
│НАМ ЛЯШ СЫК ЧТЫСЬ ТОСТЬ ЮМ НИХ ПЫХ ДЛУС БОШ │
└─────────────────────────────────────────────────────────────────────────┘
Таблица Б.449
┌─────────────────────────────────────────────────────────────────────────┐
│ жь д б в с д │
│ТРЁШ ФЕЙ НАТ ХАПЬ ГОМЬ КОЙ МАХ ТЯРЬ РЕФ ЗДОТЬ │
│ │
│ в з з з г г з │
│КУФЬ ЗНАСЬ ЛЫСЬ МЯС ВУК ДОЙ ЗИХ ТЁК ШАС ШТАН │
│ │
│ д сч эд │
│БАРЬ ПРЮТЬ СЕСТ КИР РЕЛЬ ДЯНЬ ДЕР ЩЕМ ЗАХ ШЕТЬ │
│ │
│ в г з б в д в │
│НЮФ ЗЭК НУСЬ ЗОПЬ ЛЮН ПЭР САФ ШУТЬ ПРЫМ ДЯФЬ │
│ │
│ д б в жь в б │
│ХЕНЬ ВЫЦ ШТУТЬ ВУХ ГЕПЬ ФСЮШ БЁФ ДВАР СОМЬ ПЫП │
└─────────────────────────────────────────────────────────────────────────┘
Таблица Б.450
┌─────────────────────────────────────────────────────────────────────────┐
│ э г ь в з з г в б │
│ШЕЙ СЕК ДЕЩ ДЫФ ДИС ДУСЬ ВОК СТЕМ ТЮФ МЯП │
│ │
│ д б б ь д г ь з з в │
│ПЕТ ШУП РОП ЯЩ ХУТ ФЫК БЕЧ ЗУС ПЮС ГИФ │
│ │
│ яг з ь д б б │
│ЧТИХ ЧАК КАМ ТРЯС БУЧ РЁТЬ ПРЕП СУРЬ ЯНЬ ТРУПЬ │
│ │
│ жь жь з б в │
│ЦОЛ ТЁШ ВЯЙ ЧИРЬ МИШ РЮСЬ БУП РЯН ЗЫФ СТОНЬ │
│ │
│ в сч о ь д ь з │
│КИФ БЯРЬ ЦАЙ ЩЁЦ ФИЩ ПРАТ НЕЧ ПЁЙ ЖУН СТЫСЬ │
└─────────────────────────────────────────────────────────────────────────┘
Таблица Б.451
┌─────────────────────────────────────────────────────────────────────────┐
│ ы ь в д ь б │
│ШИЛЬ КИЧ ТИЙ ТРУФЬ ВАНТ ПУЧ ЛАПЬ БЯЛЬ РИЛ ДУН │
│ │
│ с з с з жь ь д │
│БОН ЗДЯСЬ ЗДОСЬ РЕХ ГОМ РУШ ЕЩ ЛЕТЬ ТАР ЧЕН │
│ │
│ д ь з и д ь б │
│ДВЯТЬ ТРИЦ ДЯЧ ТЫФ ЗУЛЬ ЛОС ЦЫХ ТЁТ ЗЁЧ ДЛАП │
│ │
│ ь з б г з б эв │
│НЕЩ МОН СВАХ МЯЙ ПАСЬ СЭП СТАК ПЛЕСЬ ТЕП ЖЕФ │
│ │
│ ь б б г б │
│ЖАЦ ЕР ГИЩ ВЫП МАП ПРЮК ТЫНЬ РОХ НИПЬ РЕН │
└─────────────────────────────────────────────────────────────────────────┘
Таблица Б.452
┌─────────────────────────────────────────────────────────────────────────┐
│ б б в д з з │
│НАСТЬ ЧТЫПЬ ДЛЕН ДАП ВОЛЬ ЛЁФЬ ЛЯТ ШУР ШТЫС ДРАСЬ │
│ │
│ в жь б д │
│ДЯРЬ СОФ ВЕЦ МЯШ КОЛЬ РОП ЗИТ МУР САР ЗЕРЬ │
│ │
│ ыд в эд б ь в з │
│ШИТ СТУФ БАЙ ЦЕТ ЧТУПЬ БЯЧ МЕЙ ФСЯМ СУМЬ ВИС │
│ │
│ жь д э д ь я в │
│РЯР РЫНЬ САШ ПРЯТ ШЕР РОТЬ ВУЧ ШУЦ ЧАЛЬ ПАФЬ │
│ │
│ в з г г │
│ТРАЙ ТРЯФ ЛЫНЬ КЕНЬ СКИЙ ЗЫЙ ТРЕСЬ МЮЛ ШТОК ФЭК │
└─────────────────────────────────────────────────────────────────────────┘
Таблица Б.453
┌─────────────────────────────────────────────────────────────────────────┐
│ г в ь ь з сч ог │
│ДЕК БАФ ПРУЧ ХОЩ ВЯЛЬ ПЯХ РУЦ ХОС ЩЁК СЫРЬ │
│ │
│ з д г │
│ГАЛ ЖАЛ ВАС НАЛЬ ЦАТ ПРАЛ ЛЁК ЮР БУЛ ДЯЛЬ │
│ │
│ д б д ог з ь ид жь │
│ТУТЬ ЕП ФИТЬ ЧЁК РЕС ПЮЛ БЫЦ ШТАЧ ЦЫТЬ ГОШ │
│ │
│ з з в д з д в з в │
│ЗНАС ДОС ФСЫТ ЧТАСЬ КУРЬ ТЯТЬ ТАФ ПЕС ЛАФЬ НОНЬ │
│ │
│ з жь в д б б │
│ДЮЙ ТУЙ ХУНЬ СЕСЬ БЮЦ НИШ РЁФЬ ХУТЬ СЁП БЫП │
└─────────────────────────────────────────────────────────────────────────┘
Таблица Б.454
┌─────────────────────────────────────────────────────────────────────────┐
│ ь в з з з │
│СУХ РИЧ СКОФ НУС РАЛ БЮЙ ДИМ НЫХ БУС ДЁСЬ │
│ │
│ б г жь в жь г о │
│ФОП ПЛУЙ ХЕК ПЕШ ЧТЕФ ЖУЛ ПОШ РОНЬ НУК ШЁНЬ │
│ │
│ б б з д в ь сч я з в │
│ЗОПЬ МЫПЬ ФУС ФЫТЬ ГАФ СЮЩ ЩАМ ТАМЬ ПРОСЬ ФИФ │
│ │
│ д в д г ь ю ь ь в │
│ТЕТ МЁН ЁФ КОНТ ПЫК ЛЮЧ ЧУЧ ПАЗНЬ ВЫШ КУФ │
│ │
│ г з ыв б сч │
│ЗНОК ТЮСЬ ФЕР ЗОХ ВЕН СОСТ ШИФЬ ЛИН ХАПЬ ЩЕРЬ │
└─────────────────────────────────────────────────────────────────────────┘
Таблица Б.455
┌─────────────────────────────────────────────────────────────────────────┐
│ в б д г в з д │
│НЯЛ ДЯСТЬ ЛОРЬ ЧИФЬ ХИН МИП ТОТЬ ДЫК ФСИС СТЯТ │
│ │
│ г д д д з д з │
│КУК БЁЦ НЁТЬ СЮХ КРАТ ТЁНТ СТОСЬ ТРЫТЬ ЯС ВУЙ │
│ │
│ з ь з д з сч з з │
│ТИС ЮЧ ЗУСЬ ГЕЙ ВОТЬ ПИНЬ ЗАСЬ ЩЕСЬ ТРЮРЬ НЯС │
│ │
│ ы ь г б оз д │
│ЖИЧ ПУЛЬ ПРЁК СИЛ ГУРЬ ЛЕП НЫЛ ЗАМЬ ШЁСЬ РЮТЬ │
│ │
│ д д в д ь │
│ДАТ НЕЙ НАТ КРУФ СВЫЛ ФАР ЗЯТ ДЫЧ БЕМЬ ШАМ │
└─────────────────────────────────────────────────────────────────────────┘
Таблица Б.456
┌─────────────────────────────────────────────────────────────────────────┐
│ б г б ь д │
│КАПЬ ЛЕЦ ТРУК ПРЮП ПРОН ТЮЧ ДАМЬ МЭТ ФАРЬ ВУЦ │
│ │
│с б в ь б з жь │
│ЗДАЛ СЯПЬ СВАЙ ЗАФ СОРЬ ЛЫЩ ВАПЬ ТЫР ДВЕС МИШ │
│ │
│ г жь э ь д з ь г в │
│ЧТЫК ДЁШ ЖЕЩ КУТЬ БИН ЮС НУЩ ТЕК ЛИФЬ ЗЕЛЬ │
│ │
│ яв б в г з │
│НИРЬ ЧАФЬ ЗЁЛЬ ШУП ЕФ НЕЛ ГЕР ЮЛ МЁК ФОСЬ │
│ │
│ э сч од з в в д │
│КИХ ШЕЛЬ ЩЁТЬ РЫР ЧТЫЛЬ ПОС ТУФЬ НУЙ ПЕФЬ ПАТЬ │
└─────────────────────────────────────────────────────────────────────────┘
Таблица Б.457
┌─────────────────────────────────────────────────────────────────────────┐
│ д ё ь г з д │
│БУТ СТЯН ШОЙ ЧТАХ БЯЩ МОК СКОСЬ ЗУЛ ЛЮТЬ НЯМ │
│ │
│ ы в в д жь з ь з │
│ЖИРЬ РУФ ШАФЬ ЧЕТ БАМЬ РАШ РЕС СТУЧ СЕЗНЬ ТОС │
│ │
│ з ь з │
│ЛЁСЬ ДИЛЬ ЕЩ КРАР РЯЦ ТРЮСЬ ДАСТ БЁМЬ ВЁСТ ШТЕМ │
│ │
│ жь сч д ь д б б в │
│СКЕШ ЩИЦ ДЫТ ШАЧ РОМЬ МАЛ ШТЕТЬ НЮП РЭП ДЯФЬ │
│ │
│ д д в в │
│ПРУТЬ ХАЛ ЛАТЬ СВОФ ТРЫФ ЖУЦ ГИХ ХУН ЦОХ ХИРЬ │
└─────────────────────────────────────────────────────────────────────────┘
Таблица Б.458
┌─────────────────────────────────────────────────────────────────────────┐
│ б сч юв б жь б │
│ВИП ТРОЦ ТЯЛЬ ЩУФ ВУЛ ЦАП БЫШ ПУЙ МЯПЬ ЗОНЬ │
│ │
│ д в в з д │
│СЫРЬ РИТЬ ЗОФЬ СТОФ НЫЦ ЗАС ВЁР ЁНЬ РУТ СИН │
│ │
│ ю в з д ь жь з э │
│ЧУЛЬ КОФЬ ДЛЕСЬ ВЯТЬ ПРЫЧ ВАШ СЁРЬ ДУС ШЕЦ ГУЙ │
│ │
│ б з д в ыз з │
│ДУМ КОР КЕСТ ПЯП ЛУСЬ ТАН ПЁТ ХАФ ШИС НАС │
│ │
│ ь д д в б │
│РАЩ ПЫН РЁНЬ ПИЙ БЯТ НЁЦ СЕХ ДЮТ ПЮФ ЖАП │
└─────────────────────────────────────────────────────────────────────────┘
Таблица Б.459
┌─────────────────────────────────────────────────────────────────────────┐
│в в г г г │
│ФСЯФ ЗНЮК БОНЬ ЛЕК РАН ГАК МЯРЬ ГОРЬ КРЫЛ МАХ │
│ │
│ э з д с │
│ДОРЬ САЛЬ ПАМ ШЕНЬ МИЛ ТЫЦ ХОСЬ РЮТ ЗДИХ ЧИМ │
│ │
│ з з б г в б оз │
│ДЫСЬ ЦАН РОС ФУПЬ ПОК ЗЯМ САФЬ БЫПЬ ЛОН ЧЁС │
│ │
│ в ь г ь ь б │
│ГУР СЫФЬ ХОЧ ЗИМЬ НЁК ВЫЧ РИЧ СЫЛЬ ЯП ДЛАМ │
│ │
│ в з з з б д в з │
│ТИФЬ НЕС ДАС ТЁСЬ ЗАМ ТРИПЬ ЗНОТЬ ДРЕЙ ГАФЬ ПЛУС │
└─────────────────────────────────────────────────────────────────────────┘
Таблица Б.460
┌─────────────────────────────────────────────────────────────────────────┐
│ г б сч ю д ь г │
│СТАК РЮЛ ЧТИЛ ТРЁЛ КЕПЬ ПУСТ ЩУЛ БЭТ ПРЯЧ ПЛЕК │
│ │
│ г б жь д │
│ВЕНЬ ПЭК НАЛ РЁП ВОРЬ НОМ НУРЬ ЗУШ ЛИЛЬ СЮТЬ │
│ │
│ з б ь д │
│ЦУЛ ТАХ ПРЁСЬ ФЕН ДЕПЬ БАЛЬ МЮЧ ФИЙ ШТУН ФИТ │
│ │
│ в д жь с д ё │
│ДИЙ ФСЕХ ТУЛЬ ФЫТ ВИЛ ТРЕШ МАЗ НЯТ ЖОЛ НУСТЬ │
│ │
│ в в в г з │
│ТУЗНЬ ШУЙ ГИЛ БИФЬ ЛАМЬ БЯЛ ЛЯР ХЕФЬ ФСАК СУС │
└─────────────────────────────────────────────────────────────────────────┘
Таблица Б.461
┌─────────────────────────────────────────────────────────────────────────┐
│ б ь в │
│ТРЮХ ШАП ТУЧ ШУН СВУХ НИЦ ТРИЙ САХ ТЭФ ЗЁМ │
│ │
│ з жь │
│СТУС ВЯЗНЬ РУН ЛЁЦ ГАР ПЁХ РАЛЬ ХАШ МУНЬ МЕН │
│ │
│ э г з ь б ь д э │
│ШЕЛ ДЛЁК СЕСЬ ДРАН ДЯЧ НАП ТАЧ БОТЬ ЮЛ ЖЕР │
│ │
│ в д ег сч оз з ё │
│БУФ ЗОТ ПЭК САМЬ ГОЙ ЩЁС СЁНЬ ТРОСЬ ДЕМЬ ШОР │
│ │
│ б б ь д б │
│ХЕН КОЦ РЫПЬ ЛЫП ЗАЧ ТЁЛ ДОСТЬ БЕРЬ ТАПЬ НЯЙ │
└─────────────────────────────────────────────────────────────────────────┘
Таблица Б.462
┌─────────────────────────────────────────────────────────────────────────┐
│ з сч э в з с з в в │
│РИЦ КИР ХУС ЩЕЦ СЫФЬ ПРЫСЬ НАХ ЗДЯС НЕФЬ ЕФЬ │
│ │
│ ы г д б │
│ВЫХ МЁР ЖИНЬ СОРЬ ВОК ПУНЬ БЯТ ФУП ТРЁЦ ЛЁМ │
│ │
│ о ь жь б │
│ДЯЛ ЖЁН ТОНЬ ТРИМ ЧИР БЫЩ ФСЕШ ТАП ЛЕР НЯР │
│ │
│ з з в в з │
│СУСЬ ЛЯЙ ЛЕСЬ ЗИН ВУФЬ ДУФ ТРЫМ БИНЬ КРАС СЫЛЬ │
│ │
│ ь в б в э з ь │
│БУЩ БАЦ ЛАФ ЖАПЬ БИФ ПОР ШЕЦ ТЕРЬ ЧТУСЬ ПЮЩ │
└─────────────────────────────────────────────────────────────────────────┘
Таблица Б.463
┌─────────────────────────────────────────────────────────────────────────┐
│ в з з з б з │
│СЯЦ НИСТ ШАФЬ ПОЛЬ ЛУЛ ПЛАС ВАС ВИСЬ ДОП ФАСЬ │
│ │
│ о в с ь д │
│ЧЁРЬ ХИЛЬ МЫФЬ СЁСТ ДЮНЬ ЗДОН КРУМ НУЩ СЮР ПЁНТ │
│ │
│ жь б жь в б │
│ПЕШ ПЁП ЗУЦ ТЮШ ДЕФЬ СИЙ ЦУМ МАН ВУМ РЕП │
│ │
│ д д б д жь жь │
│КИМ СКЕХ ШТАТЬ НЭТ НЕП ДЯТ ДЫШ ХОЦ ДОЦ ГИШ │
│ │
│ ь д д │
│ЁНЬ МАЩ ВЫН ЗНОХ ШАЛ ПРЯМ НЁРЬ МЯЦ ДЛУТ ЛУТЬ │
└─────────────────────────────────────────────────────────────────────────┘
Таблица Б.464
┌─────────────────────────────────────────────────────────────────────────┐
│сч юд ё г в │
│ ЩУТЬ ЗНЕН РЫХ ШОЙ РЕЦ ДЁХ БУНЬ РИЛЬ МЯК ГУФЬ │
│ │
│ я ь з б б з з │
│ НУНЬ ЧАЧ ТЮСЬ РЕМ ЧТИП СТЕЛ ТИПЬ ЛОС МЮМ ЦОС │
│ │
│ ь ю г з в ь │
│ ПРАЧ ЧУЛ ВЯЛ СКАН ХУК РЁС ХАРЬ ЛЯФ НЯЧ ЗЕМ │
│ │
│ в д г з д из │
│ СТЫФ ЯН ФЫНЬ ЧТЫТ ПРЕК ГЕСЬ ЗУЙ КИНТ ШЫС ПРУМ │
│ │
│ в д ь в э │
│ РУХ ЖУФЬ НОТ ТРАЧ ПРИЛ ГУНЬ ПЫФЬ ДЕМ ЗЯН ЦЕЙ │
└─────────────────────────────────────────────────────────────────────────┘
Таблица Б.465
┌─────────────────────────────────────────────────────────────────────────┐
│ жь │
│КАМЬ ГИН ПУШ ЗУР ЗОМЬ СТОМ НИНЬ БУН КУХ ТЫРЬ │
│ │
│ в з д г в ь сч ю ь │
│РЫФЬ ШТИС ТЯР РИТ ЕК ФСЯХ КЕЧ ЩУМ ЕЩ ФЕМ │
│ │
│ б ь ь з з │
│БЯЛ ЛИП ЦЫЧ ПАЛ ВЁЧ НЫСЬ СВАСЬ ФИХ РАХ ДВАЛ │
│ │
│ ь ь б г э │
│КОЧ ПЛЕЧ МИПЬ ДАК ШТЫН ЧЕЦ ТУН ФОР ЗАР ПЯМ │
│ │
│ д з б д в г б │
│ТАНТ РИЙ ГОР КАС ЧТАР ВЕПЬ СУЛ ВОТЬ ФСУК БЁП │
└─────────────────────────────────────────────────────────────────────────┘
Таблица Б.466
┌─────────────────────────────────────────────────────────────────────────┐
│ сч ю эг г с з жь в │
│ ЗЁЦ ЛЮР ЩУХ ШЕК СЁК ПРАЦ ЗДАС БЕШ ПРЯЛ БЫФЬ │
│ │
│ в г з з э в │
│ ШТАФ ВАК БОЛ РЁС ПАРЬ РОСЬ ЧТЫМ ЖЕЛ ЗЭМ МОФ │
│ │
│сч ю б б з д д │
│ ЩУЙ САЦ РЫП ЛУР ХАРЬ ФАМ ЛЁПЬ ЗИСЬ ЕТ СИТ │
│ │
│ в в в з ь б в в │
│ ПЕФ ЁМ ДЁФ ЧТАФ ЛИСЬ ЗОЩ РУП ФСЕМ ДОФЬ РЯМ │
│ │
│ в д жь о │
│ МИХ ПУН ТЮХ ФСАЙ САНЬ ТАСТ ТЫТЬ НОЦ ФОШ ЧЁЛЬ │
└─────────────────────────────────────────────────────────────────────────┘
Таблица Б.467
┌─────────────────────────────────────────────────────────────────────────┐
│ д д ь б │
│БОЦ РАМЬ СТУТ СИТ НУЧ ПЛУП СВУЛ ГИР ДУР ВЁХ │
│ │
│ д ь ь з в ь з │
│СЕНТ ХЕЩ ТЫЩ ЗНОЛ ПЛИС ВАФ ПЁЗНЬ ВЕНЬ ТРЁЧ КЕСЬ │
│ │
│ шь б жь э │
│ЗАЦ НИЖ ЯПЬ ЖУШ ШЕР ГЕЦ СТЕЙ ХОХ ТАЛЬ РИНЬ │
│ │
│ ы з г з жь сч ов з │
│ЦИРЬ ПЮСЬ СВАК ПРЕСЬ СТЫШ ЩЁФ НЕР ДОСЬ БАРЬ ВЯМ │
│ │
│ ь с в жь ь з │
│БЮЧ ШТЫР ЗДЕХ ТЫЙ ТЁРЬ МЁФЬ НЕШ ГЕЛ ХАЧ ХИС │
└─────────────────────────────────────────────────────────────────────────┘
Таблица Б.468
┌─────────────────────────────────────────────────────────────────────────┐
│ ю б д з оз ь б │
│ЧУЦ МЮПЬ ЖАТ ПЫСЬ ЛЕН НЯЛ ЖЁСЬ ЛОЩ БУПЬ РЯНЬ │
│ │
│ з ёд д з д б б │
│ФЕЛ НЯСТ ПРЫС ШОТ БАТЬ ДРЕС ТАТ ТРЫНЬ ВУПЬ НУПЬ │
│ │
│ б д д з б г │
│СЕПЬ ЮТЬ ПУЦ КОТЬ КРУЛ СОСЬ ЛЫПЬ ПИМ ТИНЬ ДЛАК │
│ │
│ жь ь г ь б д │
│ЦАШ ФИЧ КАНЬ ХУК РЕРЬ ПРУЛ ПЕЩ ЖУПЬ БЮТЬ ЛИЙ │
│ │
│ ыв з в в │
│ПРИМ ШИФЬ ЗОСЬ РАФ ЗУХ СУЛЬ РЫРЬ РЮЛ НЫФЬ ВУРЬ │
└─────────────────────────────────────────────────────────────────────────┘
Таблица Б.469
┌─────────────────────────────────────────────────────────────────────────┐
│ ив б в в б в ы │
│ЦЫФ ПЯРЬ НИПЬ ЦОФ ПОМ ДЯМ СЁФЬ РЭП ГОФ ШИМ │
│ │
│ в з д д б │
│ШУР ЗЕР СУФ КИРЬ НЯС ДУЦ ЧТИМ ВЫТ ЛАТЬ РИП │
│ │
│ б д в │
│ТУН БУРЬ СЯХ НАЙ ФУРЬ ВЁСТ ДЫП ШТИТ БЁФЬ ТУРЬ │
│ │
│ б б д │
│НОЙ ФОЛ ЗУПЬ ГАЦ СКИМ РИН ДЕП КРАМ ЛЕХ МЕТ │
│ │
│ в д д з в г ь з ь │
│КАФЬ ТРИЛЬ ЗНЕТЬ ЧТУТ ХУС КАФ МЫК ДЕЧ ДЛЕС ВОЧ │
└─────────────────────────────────────────────────────────────────────────┘
Таблица Б.470
┌─────────────────────────────────────────────────────────────────────────┐
│ ь жь эг ёб │
│СТОРЬ МУЧ ЛЯНЬ ЮШ СЫМ ЦЕК ТЕЙ ШОП ДЮР ВИРЬ │
│ │
│ б ь б з г д │
│ТРОП ЁЧ ШУПЬ ЗЯСЬ ТЯК БИЛ ТРИН ДЯТЬ ДЕЦ МЯН │
│ │
│ г в ь з в з │
│ЧИК КИЗНЬ ЗОМ ТОФ ГОЧ ГАМЬ ВЫЛ ЛЫС ФСЁЛ МЯСЬ │
│ │
│ в д жь з я жь д │
│СЫЦ ДАФ НЁТ КОР ТРАШ ГУС НАРЬ ЧАШ БЯЦ СКАТЬ │
│ │
│ д ь сч б д з б з │
│НЕЙ ШАН ТРЁТ ПОЩ ЩЕПЬ ДВИТЬ ДОСТ МАС ЗАПЬ КОСЬ │
└─────────────────────────────────────────────────────────────────────────┘
Таблица Б.471
┌─────────────────────────────────────────────────────────────────────────┐
│ з жь г сч в │
│МУСЬ ДРАШ НЁЦ ДЫЦ СИСТ ЗУРЬ СВЕК СКОЙ СТЫМ ЩЕФ │
│ │
│ з с з г б ё жь б б │
│НУЙ ЗЯС ЗДИСЬ ХОНЬ ЧТИК НЫП БЯМ ШОШ БЫП ЛИПЬ │
│ │
│ ь в б г в жь │
│НЕЩ ФАФЬ ПРОП ПОК ВОРЬ НЯМ РАФ КАМ ПРЮН ПРЫШ │
│ │
│ б жь з │
│ЛЫХ ЗЁХ ТЭН ЛЁП ТАСТЬ ФЫХ ЛУШ ТЕЛ КАС ГУЦ │
│ │
│ ь ь жь ыз д д б │
│БЫЧ ЯЧ ТЭЛ ДЯШ ЖИС ПЮТ МИТЬ ДИР ШАП ГЕЛЬ │
└─────────────────────────────────────────────────────────────────────────┘
Таблица Б.472
┌─────────────────────────────────────────────────────────────────────────┐
│ г б ь з з д │
│ПЫК ГАН РЕЛ ТОП ЛЮЩ СЫЛ ЛЕСЬ НЁС ЗОТЬ ЮЙ │
│ │
│ б з д б эг │
│СЕР ТЁЛЬ НОМЬ ДЯЛЬ ПАПЬ ГИС БУТ МЮП ШЕК ШТУЛ │
│ │
│ ы д ь д з жь │
│ШИР МЯМ ШТЕН СТАТ ГАЧ РИЦ ДУТ БИСЬ ТАШ ВЯРЬ │
│ │
│ б з эв в │
│ВЫП ТУН ФЕС ТРЯМ СКИХ ЖЕФЬ ЧТЫЙ СЫФ ЦАМ ВУЛ │
│ │
│ з з ь д б │
│КИС ЦУСЬ СТУЙ ПИЛ ПРЯЦ ВУЧ РЕХ НАТ ПОР ПЯПЬ │
└─────────────────────────────────────────────────────────────────────────┘
Таблица Б.473
┌─────────────────────────────────────────────────────────────────────────┐
│ жь б ь з д д в │
│ХОШ ТРЕЦ КАП БЁЧ ЛАМ СУС КАТЬ ДЕТЬ НЕСТЬ СИФ │
│ │
│ в в г з в д │
│ШУЛЬ ХЕФ МАР ЛЯФЬ ЗУК ГОСЬ ЗИНЬ СИЙ СТЕФ МЫТ │
│ │
│ жь жь ь э д │
│ЛЮЙ ВЫШ ЕЦ ТЫРЬ ТЮМЬ ТОШ ЧИЩ БЯНЬ ШЕХ ДЛИТ │
│ │
│ з в в д д ь з б │
│ПЛУСЬ КЕСТЬ ФСЕФ ЛОЛЬ ТРЮТЬ ПАСТ ВЮТ ТРОЧ СЯСЬ СОПЬ │
│ │
│ б г д з з д │
│ЖУЛ МОП ЧЕРЬ ДОЛЬ КРОК ЗАЛЬ ВЕНТ ДЯС ВЁС ЗНОТ │
└─────────────────────────────────────────────────────────────────────────┘
Таблица Б.474
┌─────────────────────────────────────────────────────────────────────────┐
│ д г з ь з ь з │
│ХОТЬ ЗДАК ДАСТЬ ФИСЬ ФУМЬ МЕЩ РОЦ ЧТАС ШУЧ ДВАСЬ │
│ │
│ д д д д │
│РЯЙ НЯТ ДЛОТ ТУЦ СВОМ НИЛЬ НЕЛ НУЦ ФСЯТЬ ФОТЬ │
│ │
│ д з в жь жь │
│ТРЁМ ЛЁЦ ТРЫТ ДУС ПРУФ ХАНЬ ЗИРЬ ЗАШ БЯШ ВАНЬ │
│ │
│ д б д жь жь жь │
│НУРЬ РАЛ СИТЬ ДАХ ХУП МЯТ ЖАШ НЯШ РОНЬ ЦУШ │
│ │
│ б в сч яг з б о │
│ТРУЛ НАЛЬ РЫПЬ БУМЬ ЛАФЬ ЩАК ЁСЬ РИПЬ САЛЬ ЧЁНЬ │
└─────────────────────────────────────────────────────────────────────────┘
Таблица Б.475
┌─────────────────────────────────────────────────────────────────────────┐
│ з д в б в │
│ТИС ЯМЬ ЖАМ РЮМ РОТЬ БЕФ ДЕПЬ ЕМ ДЫФ ЧТЫЛ │
│ │
│ жь д з ь б в з з д жь │
│ВАШ ЦОТ ЗНЕС РЮЩ ПОПЬ ФСАСЬ ПУР ЧИС ШТЕТ СЯШ │
│ │
│ в д сч сч я в │
│ГУЛЬ ДЕЙ РЁЙ ШАФ БОНЬ ДЕРЬ ПЁТЬ ЩИЙ ЩАРЬ ГЕФ │
│ │
│ в б д в ь ь │
│БАФЬ ПЛЕЛ РЭП ЗОТ ТЯЙ МЁФ ПЫМЬ ШАЩ БАМ ХИЧ │
│ │
│ з б жь в д в з │
│ПРЁС ЧАПЬ ПЁМ КРУШ ТАФ ВИМ КЕТЬ ЗАРЬ САФЬ ТУС │
└─────────────────────────────────────────────────────────────────────────┘
Таблица Б.476
┌─────────────────────────────────────────────────────────────────────────┐
│ в д в │
│ДИНЬ ЗАФЬ СУЛЬ САЦ ЗЫН НЁТЬ КОФ ЛИЛ ЧТУХ КЕН │
│ │
│ ь в од б в в ь │
│ЗОЧ СЮН ЗУФ ЖЁТ НАПЬ ФСЕХ САНЬ ЕФЬ ТУМ ХАЩ │
│ │
│ д д з эв ё жь │
│ЛЯН СТАЦ ГОТЬ ДРАТ ЛУЦ ЧЕС ШЕФЬ ШОМ ГИЦ СЫШ │
│ │
│ з жь б в │
│ЗИЦ ПЕН СЁХ ДЯС ЧТАШ ТЭР ВЁП ГУФЬ ЗИНЬ ДОРЬ │
│ │
│ з д д г ь в д г з │
│МЫСЬ ЛЁТЬ НЭТ МОМ ЕК ЖУЧ ФСЭТ ЧТАК ЧИРЬ СТЕС │
└─────────────────────────────────────────────────────────────────────────┘
Таблица Б.477
┌─────────────────────────────────────────────────────────────────────────┐
│ б жь в │
│ГАПЬ НЯЛЬ ЧТЕМ РЫЙ ЗЮЦ РУНЬ НЯЗНЬ ПОР БЮШ ЛЮФ │
│ │
│ в з в в жь в б │
│БЫФ ЛЯС ПИФ ЦАР ТЫФ ГУН ЛЕШ НУФ ВОПЬ ВЯХ │
│ │
│ ы ёб б я сч я │
│ШИЛ ДУМЬ ЧОПЬ БЯП ХОЛЬ ВЫСТ ЧАР ЩАЦ СТЫРЬ ПРАНЬ │
│ │
│ г в з б з д д │
│РИК РОФЬ ВЫЛЬ НЯСЬ НЮПЬ РИСЬ ЛЕМ КРОЛ РИТ КУТ │
│ │
│ б з сч д │
│НОРЬ РЫП ВАЦ ЗАНЬ НАЦ ТИХ ДЫСЬ ЩИХ ГИЛ ШУТЬ │
└─────────────────────────────────────────────────────────────────────────┘
Таблица Б.478
┌─────────────────────────────────────────────────────────────────────────┐
│ б з д г с в б д │
│МАП БУЦ ПРЯС БЭТ НЕК ПЮРЬ ЗДАФ ЁР БАПЬ ПУНТ │
│ │
│в д д жь ж ь з │
│ФСЮТ ТОНТ ЗНАХ СЫНЬ СТУНЬ ТРЫШ ЗОРЬ МЁШ ТАЧ ЦОСЬ │
│ │
│ в д з з │
│ДЁР ЯН РАМ ФИФЬ ШТЫТ ПЯС МЯС НЫР КАЙ МЮРЬ │
│ │
│ в в в б │
│ПЛОЙ ШТАХ ШУНЬ НИЦ ФОФЬ ВЫФЬ СЯЦ СВАФ ТРЕХ ТЕПЬ │
│ │
│ б д д д з д │
│ЕЙ ДЯЙ ПЛЕП ДЕЛЬ ВУТ ТРАМ ПРОТЬ СЯТ ХАС СКИТЬ │
└─────────────────────────────────────────────────────────────────────────┘
Таблица Б.479
┌─────────────────────────────────────────────────────────────────────────┐
│ д г ёв б б в ыб │
│ТЫТ ХИК ПУЦ ШОФЬ МУПЬ ТЯХ ТАП СУФ ЦИП ЗУН │
│ │
│ ь ь д д жь ь з д │
│КРУЧ ПОЧ СВЫТ ТРЮТ ТЫШ ХУЛ КИЩ ДЛЮС НОТ РУЦ │
│ │
│ д ь б ь ь э ь │
│ХАТЬ ФЫЧ ТУЦ ФУЙ ФЭП ЛЫЧ ГЕРЬ ДЯЧ ШЕЙ ПРЕЧ │
│ │
│ ь б д д │
│ДЫЙ БАЩ ЖУП ВУМ КОЙ ВЁМ ДВЯХ ЮМ СОТ СЁНТ │
│ │
│ д д г ь д г │
│ПРИТЬ ДЫТЬ ФЕНЬ ГОК ТРЯЦ ТРЮЧ ТРУТЬ РЕЙ ДАН ДЮК │
└─────────────────────────────────────────────────────────────────────────┘
Таблица Б.480
┌─────────────────────────────────────────────────────────────────────────┐
│ жь д б в эв д ь │
│ЛАШ ТЯТ ПРАМ РЮПЬ МЕФЬ ЦЕФ РЁНЬ НУМЬ РАТ ШАЩ │
│ │
│ в з сч б д │
│ШТИН ГУФ ЛИХ БЫМ ТАС ВЯЦ РЯЛ ЩИП БИЦ ПЫТ │
│ │
│ в д з в │
│ТЁФ СКОМ БЯР БЁТ ДУЗНЬ ШАС ЗЕЦ ЗНОФ ДЛОЙ ЛУРЬ │
│ │
│ э ь │
│ПОМ ВАН ЖЕЙ НЕРЬ РЯМ НИР ПОЩ СЁЛ МЯНЬ ПЕРЬ │
│ │
│ э жь с з в з сч яд │
│ЛАЛЬ ЖЕЛЬ ЗЯШ КУР ЗДИС БОФЬ БЕХ ХЕС КИСТ ЩАТ │
└─────────────────────────────────────────────────────────────────────────┘
Таблица Б.481
┌─────────────────────────────────────────────────────────────────────────┐
│ жь с жь в д жь │
│ДЯШ ГУР ФУН ЗДИН ПРЫН БИШ БОФЬ БЁТЬ ФИЛЬ ЯШ │
│ │
│ д г э д з сч яб │
│СТОТ ТРАЛЬ ТРИК ЖЕРЬ ЛЫР ПРАТЬ ТРЁС ЩАПЬ РЕН ТОР │
│ │
│ з ь г │
│ЧТЫХ ДЛЕЙ ЗУС РЫЛЬ ТОЩ ПРЯХ НУН ПЕК ЗЯХ ШОЦ │
│ │
│ г в в ь в з │
│КЕК ЗАФ ПИФЬ НЕЛЬ КОЧ НЕМЬ СКЕФ СИСТЬ БУЦ ЛЯСЬ │
│ │
│ б б в сч з г жь │
│СЫП ХАП ТРИНЬ ФАФ ЩИР НОСЬ ЮН ВОК ДИРЬ СЮШ │
└─────────────────────────────────────────────────────────────────────────┘
Таблица Б.482
┌─────────────────────────────────────────────────────────────────────────┐
│ д з б в │
│ПУРЬ ЧТУЛЬ ДУТ НЫС ТЯСТЬ ТЮНЬ КУСТЬ ВИЛЬ БУПЬ ЗНАФ │
│ │
│ з д з з б эг │
│БЫСЬ СВЕТЬ ДВИСЬ ЗАС ДОХ САПЬ ШЕК ВОЗНЬ ЛОЦ ЧТАМ │
│ │
│ в с з з ыб │
│ЛЁФ ЗДАСЬ ЕЛ МАНЬ ДЯРЬ СТУЦ ТУСЬ ДЯЙ ШИПЬ ТЫМ │
│ │
│ г з в д б з ь д │
│МОК ЦАСЬ ФСЁТЬ НОСТ РЯП ГАЛ КОСЬ ПАЧ НЯХ ЦОТЬ │
│ │
│ ь ё ь │
│ДРАЙ ГЕЩ ДОНЬ СТАЛ ЖОЛЬ ВЮФ МЕМ ШТЕР СУМ САЧ │
└─────────────────────────────────────────────────────────────────────────┘
Таблица Б.483
┌─────────────────────────────────────────────────────────────────────────┐
│ з д б в б о │
│ПРУЙ СТЯСЬ ДИТЬ ПЕП ГИНЬ ХОФ ЗОНЬ ТЯПЬ ЗАМ ЧЁР │
│ │
│ в в жь з з сч з б │
│РЫФ ЛУХ СУФЬ ЧТЕШ ШТЕСЬ ДЁС МЯЙ ФЕЦ ЩЕС ЧЕПЬ │
│ │
│ д ы в д б │
│РАР КАМЬ ДЭНТ ЖИН ПЮР НЁН ЛЮХ ФСАХ ВЭТ ЖАП │
│ │
│ б ь з ь эв │
│РЁХ ЛИН ПУР БЯПЬ РЫЧ РУС ШУЛЬ ГОЧ ПРЮМ ШЕФЬ │
│ │
│ г э з з д жь б │
│ПЛЁК ШЕНЬ ПРЁР ПЯСЬ ФЫСЬ БЮХ ЛУТ ТЕШ НАПЬ ШАМЬ │
└─────────────────────────────────────────────────────────────────────────┘
Таблица Б.484
┌─────────────────────────────────────────────────────────────────────────┐
│ б д г д б з │
│КУЦ СИНЬ ПЫП ХОР ФОТ ЛЁК ДЫТЬ ШТЫЙ СЕП СЁС │
│ │
│ в е ь ыг жь в д │
│ТАЛЬ МЫФ НЭР ЕХ КАР БАЩ ЦИК ХИШ НЮФ ВАТЬ │
│ │
│ в в б д д д │
│ЗИФ ТЫФЬ ЦУЩ СЕП ЛИЦ ВЫМ ВЯТ ПАНТ БЭЛ СЭТ │
│ │
│ в в ь г жь │
│ТОФ НИРЬ НУФЬ ПЛАР НАЧ ЁРЬ ВЁРЬ РЁК НЁНЬ ЗУШ │
│ │
│ д б б б з в │
│НИТ ТИМ БАП МИПЬ ПАП МЯЦ МЕНЬ ЖУХ РЯСЬ НЯФЬ │
└─────────────────────────────────────────────────────────────────────────┘
Таблица Б.485
┌─────────────────────────────────────────────────────────────────────────┐
│ з б я ь жь │
│ЗЕСЬ КРИХ СКАМ РИР ЛЕП СЭЦ СВАЦ ЧАНЬ РАЩ ТРОШ │
│ │
│ г в в д │
│КЕЛЬ ВЫРЬ ПЫЙ ТРЯК ТИЛЬ РЮМ ГОНЬ ГАФЬ БЯФЬ ШАТЬ │
│ │
│ б г ь б в в з жь │
│ВОП ХАЦ ЗНУК ДАЧ ЛАПЬ ВОФЬ СОФ ТРЫСЬ ГИШ БЕЦ │
│ │
│ в д б д жь в з б │
│ДЕЛ ПОФ ТАТ ХИП ДЭТ ШАШ ХОЙ ФСЕС ЯНЬ РОП │
│ │
│ з в в г сч д │
│МУН ЗЮР ЧУС ДЛАР РЮФЬ ЗОФЬ КРОЦ МЮК ЩИРЬ ЧИТ │
└─────────────────────────────────────────────────────────────────────────┘
Таблица Б.486
┌─────────────────────────────────────────────────────────────────────────┐
│ в в жь д б │
│МЯЛ ДИФ ЦОФ ШУН СТУЛЬ СЕШ ЗЕТЬ ПЯЛ ДЯПЬ ЗОМ │
│ │
│ д ь в з в │
│КАН ХОЦ ДОТЬ ХЕЧ СЫФ ФОС РУН ЛЕМ МУФЬ ЛИЙ │
│ │
│ б в яг з з эз │
│ТРАНЬ СОСТЬ ДАПЬ ЗИФЬ НАНЬ ЧАК ДЛОС ПРЮСЬ ЖЕС БЫН │
│ │
│ ь в в г с б з │
│ЧИЧ ВУФ КРАФ СЭК ЗДАР ФАПЬ БАСЬ РЁР ФУР НОР │
│ │
│ д о ь б г в │
│ЗАЦ ХЕСТ ТУТЬ МАРЬ ЖЁЧ ЗНУЛ ТЁП БОМ МЕК ФЕФЬ │
└─────────────────────────────────────────────────────────────────────────┘
Таблица Б.487
┌─────────────────────────────────────────────────────────────────────────┐
│ д д з в ыв │
│РЫМЬ ЯМЬ БИРЬ СИТЬ ЧТАТ ТУЙ СВАС ВАФЬ ШИФ ПЕХ │
│ │
│ з д б сч о ь │
│ТАР ЛАР ГАНЬ ЛЮНЬ ТОСЬ РОРЬ ЗЮТ СЮП ЩЁЙ ТЫЧ │
│ │
│ ь в б в д │
│МЫНЬ РЕЩ ХОЛ КИФЬ ШАЙ СТЫН ТИЦ НЯП БЯФЬ ПЛАТЬ │
│ │
│ б д б э з о з ь з │
│БЮП ЛОТЬ ЧТЫП ШЕХ МЮС ПЫСТ ЧЁЛ КУС ЗОЩ ВЭС │
│ │
│ в б жь жь ь в д │
│ЛЫН ТРИФ ЯЦ СОЦ ЮП РУШ ХАШ СУЧ ЧТУФ ХИТ │
└─────────────────────────────────────────────────────────────────────────┘
Таблица Б.488
┌─────────────────────────────────────────────────────────────────────────┐
│ в б в │
│ ТЕР МИНЬ РЮЛЬ ПУНЬ ПЁФ БУРЬ ТРУНЬ ДЕЗНЬ ВЕП ПАФЬ │
│ │
│сч сч жь д б г в в эг │
│ ЩАЙ ЩЕХ МЯШ ТРЕНЬ ГЕТЬ НЁПЬ ГЕК ШАФ ПУФ ЖЕК │
│ │
│ з в ы в жь жь │
│ СКЕСЬ ФСЕР ШИР ТРЫЦ ТРЮН НАФ РЫМ ДЮШ ЗНАШ ДИН │
│ │
│ з б з в │
│ ВИР РЯХ ПРУС ЗОНЬ ЦУП ТЫНЬ ВЫС ЗУХ ВЁФЬ ФИНЬ │
│ │
│ жь з о ь в г │
│ НЮШ ЛЯН ТРЯР ЗОСЬ ЗЯЦ ЧЁЩ ПЁНЬ БОЦ РЕФЬ ПАК │
└─────────────────────────────────────────────────────────────────────────┘
Таблица Б.489
┌─────────────────────────────────────────────────────────────────────────┐
│ в г жь б │
│РАЦ НИФЬ НАЗНЬ ВЫК РЮШ ГИП НЕН ВУР ВЯН НЫР │
│ │
│ з д ь б г б д │
│ПОЦ МОС РЮТ ЦАЧ ЛЁП НУМЬ РЕК ЖАЙ ТЫП ДИТЬ │
│ │
│ в в жь в о ь б │
│СКАЙ ЖАФ СЯФ БЯН НЫШ ЛЕФЬ БЯР ШЁЧ ГУМ ЛУПЬ │
│ │
│ д в з │
│ДЫМЬ СОЛ ЧЕМ КЕР ВЫНТ ПЛЕМ ТАФЬ ДЛЁС НЕЦ ЕН │
│ │
│ д з в з │
│ПРИНЬ СВУТ ДЕР ДЫЛ ШТЕЛ БЕСЬ НУФ ЗАЙ ДИР САС │
└─────────────────────────────────────────────────────────────────────────┘
Таблица Б.490
┌─────────────────────────────────────────────────────────────────────────┐
│ з б д в д д ь │
│ДРАХ ПРЁХ СЫСЬ ЗУПЬ ТУСТ ЧТЕТЬ ДАФ СТЕТЬ КРУТ КУЧ │
│ │
│ д жь жь в б │
│ПРЫХ ГУТЬ ВАЛЬ ФОШ НЯХ ХУШ БАЙ ШТЕХ ФСУХ МЁП │
│ │
│ з с д б д │
│ХАР ТЮСЬ НИМ ДЁМ ЗДЕТ ПЯЙ БЫХ ДВАЙ КОП СЭТЬ │
│ │
│ в д д жь з сч об г д │
│ТЯФ СЁТЬ РУТЬ ШТИМ КОШ ЁС ЦАЛ ЩЁП ГОК ПЫТЬ │
│ │
│ з ь э в д в │
│ЛУЙ ГОЦ ЛИСЬ СИЦ ЕЧ ШУХ ПРОЛ ШЕЛ ФСЁТ СТАФ │
└─────────────────────────────────────────────────────────────────────────┘
Таблица Б.491
┌─────────────────────────────────────────────────────────────────────────┐
│ б жь жь д з о ь │
│ДОЙ КИП РИШ СВЯХ ДЫШ ГАЛЬ НУТ ТЫС РУЙ ЖЁЩ │
│ │
│ д з ы ы │
│ХИЙ БЁЛЬ ПЛЕЦ ЛЯТ ВОЛЬ ЕС ШИЛ ЧТУЦ ЖИЛЬ ЗЯЛЬ │
│ │
│ г д о э ь д в г │
│ПЮСТЬ ПЮЛЬ МЕК ЗНЁТ ЛОХ ШЁН ШЕЧ ДЫТ ФСИК ВИХ │
│ │
│ ь и жь │
│ЗАЙ РИЛЬ БЮМ СУЩ ЗУЛЬ ЗОЦ ЦЫН РЫШ БАХ ТОЙ │
│ │
│ в д д жь з │
│КЕФЬ ЗЕЛ НАНЬ СЫТ НИНТ РЕМ ЛАШ ПЕЛЬ ТЁЛ ШАСЬ │
└─────────────────────────────────────────────────────────────────────────┘
Таблица Б.492
┌─────────────────────────────────────────────────────────────────────────┐
│ ь г з в г │
│БЕНЬ ХОЧ БИК ГЕХ БУЛЬ САСЬ ХУФЬ НЕК НЯЛЬ МЮЙ │
│ │
│ в г в д сч юз д з │
│СЯФ ХЕЛ СКЕМ СКОК ШУФ ЦУТ ЩУС ПОТЬ ВУХ СТОС │
│ │
│ ы д з сч я з ь б │
│ШИН ДРОТЬ СТАРЬ ПУСЬ ЩАЛЬ РАХ ВЁЙ БУСЬ ПИЧ НЫПЬ │
│ │
│ в з д д жь ь юд │
│ГИФЬ ТИСЬ БАТ РУХ ЗНЕТ ПРЮШ ТУЛЬ ПЮСТ НИЩ ЧУТ │
│ │
│ з ь б з │
│ТЯСЬ ЧЕЧ ШТОН ПРОХ ДЁРЬ ТАР ЮРЬ ЛЕПЬ ДВАМ ТРАСЬ │
└─────────────────────────────────────────────────────────────────────────┘
Таблица Б.493
┌─────────────────────────────────────────────────────────────────────────┐
│с в сч юд з з │
│ЗДАХ ТРЕМ ДЯЦ МАР СТЯФ КУЛ ЩУТ ФСЯСЬ ДЮЛЬ ФЫС │
│ │
│ з з жь ь г г с д г │
│ГУРЬ ГОС ХОСЬ НЫШ НУЧ ПРЫК ЖАК ТРУЦ ЗДИТ ДЯК │
│ │
│ д ь з в д д │
│ТРАН ДАМ ХАНТ МЯЩ ШТУС РАФЬ ЧТЕТ ХАЛ ЛЫТЬ НУМ │
│ │
│ об в г б д жь │
│ЧЁП НЫФ ВУСТ ДЯК ВЯПЬ ВЫР САНТ ТУНЬ ШТЕШ ГУЙ │
│ │
│ з з з │
│ФАХ СВОСЬ БЯЙ ТЭН ТРЮЛ РЕНЬ РЯС НИЙ РЁТ ХУСЬ │
└─────────────────────────────────────────────────────────────────────────┘
Таблица Б.494
┌─────────────────────────────────────────────────────────────────────────┐
│ в в з з в д │
│МУФ НИР ЯФ ТРЮС ФЕСЬ НЁХ НЁЙ СОЦ ФСАМ КУТ │
│ │
│ жь д г д ы жь сч о в д д │
│ГОШ ФУТЬ ДЛЕК КРУТЬ ЖИШ ЩЁМ МОРЬ КЭФ ЗОТЬ ТЯНТ │
│ │
│ г г жь жь в │
│СОЛ МЯК ШУК ПОШ ЦОЛЬ СЕШ ПЯФЬ ЗОЛ БЫН ЛЁХ │
│ │
│ ь б б ь э │
│МАЧ ЛЕЛ ПЛОМ ЧТАМЬ ЗАН ФИП СЁПЬ ЛИЧ ШЕМ ЗЁЛ │
│ │
│ д з ь з д ь б │
│ШОТЬ МЁМ ЮСЬ ПОЧ ДЛАС РИТ ПЕЩ ЛИРЬ ДИПЬ ДУЛЬ │
└─────────────────────────────────────────────────────────────────────────┘
Таблица Б.495
┌─────────────────────────────────────────────────────────────────────────┐
│ жь в д б з в з з в │
│ЛЮШ БЯФ СКОТЬ ГИНЬ ВЮП НЯСЬ ЧТЫФЬ ВАСЬ ТРИС ПЫФ │
│ │
│ в д в д д ь б б │
│ВОФ РЫНЬ ТЭТ ЧИФ РАТ НОТ ЗУЧ ПРЯП ПРАП ВУЙ │
│ │
│ б в я з ь жь │
│ЗИМ СУПЬ РЯН ЁФЬ ЧАМ БОС ТАР СУЩ БОЩ МЮШ │
│ │
│ г д │
│ФАЛЬ ЛУРЬ КОЛЬ ЁК ЛОНЬ РЁЙ ДЁТ ТАЛ ТЁЦ ЦОРЬ │
│ │
│ б б з г │
│ПОН ТЮП КАП ФОМ ПРИСЬ ДЫК СИХ СТАЙ КРАЦ ВЫЙ │
└─────────────────────────────────────────────────────────────────────────┘
Таблица Б.496
┌─────────────────────────────────────────────────────────────────────────┐
│ г б б б в │
│РЯК ПЫПЬ СЭЛ ЁЛЬ ЧИЛ САРЬ ВАПЬ РИП РЕР НЕФ │
│ │
│ в жь │
│ПРЫФ ПЯНЬ РЯЛ ШАЛ ЁЦ РЁХ ПУШ ГАХ ЮХ МИЛЬ │
│ │
│ з б в в з б │
│ПЕС СОЗНЬ ГУПЬ ТЯН НИФЬ ФСАС ТЫПЬ ПЫМ ЯРЬ БУМЬ │
│ │
│ б з ь з ь з в │
│БИР ЦУР ХИП ПЁСЬ САЩ РОСЬ РУЩ ТУХ БОС ПРЕФ │
│ │
│ д ю з в з з │
│СОХ МИМ ДЛАТЬ ЧУЙ ЗНОСЬ КАФЬ СЫС ФИС ЛЯРЬ БАЛЬ │
└─────────────────────────────────────────────────────────────────────────┘
Таблица Б.497
┌─────────────────────────────────────────────────────────────────────────┐
│ в б г д г д │
│РАМ ГАФ РУП БЯК КАЙ ЕТ НОК НИТ ХЕЦ ЗОР │
│ │
│ ь б г з д з │
│ЗЭЩ ПРОЙ НОПЬ ВУК ХАСЬ ВУНТ ВЕЛ ПРЕН ЧТУЛЬ ТАСЬ │
│ │
│ э жь з │
│ТИРЬ РИРЬ ЦЕН ПУМ НЕРЬ ТЫШ ГЕР ПЛЕЙ ЦАС ШТЫХ │
│ │
│ с в ь б │
│ДЕСТ СКЕЙ ЗДЕЙ РАМЬ СЭЛ ПАФ ЧЕНЬ ВАЩ ЛОР ПРУП │
│ │
│ сч я д б д г в з │
│ТЕЗНЬ ЩАЦ МЫЦ НУНТ БЫХ НУПЬ ЗУТЬ СЯК НАФ ШУС │
└─────────────────────────────────────────────────────────────────────────┘
Таблица Б.498
┌─────────────────────────────────────────────────────────────────────────┐
│ б з с з ь ыд │
│ХОПЬ ТРУНЬ НАСЬ ЗДАМ ДУМЬ ФОЙ ЗУМ НИСЬ ВЫЩ ШИТ │
│ │
│ з з жь д д з в │
│СТИС ЖУСЬ ЗИШ СВЁТ МЫР ЧТАТ ГОРЬ ЖАС ЛЁЙ ХАФ │
│ │
│ э в б в │
│ТЯНЬ ХАЗНЬ ЖЕНЬ КУФ МЁЛЬ КАНЬ МЯР ТЕЛЬ ЛАП БЯФ │
│ │
│ д з з ь б б д │
│СЕТ ЗЫСЬ ЦУС ВЫЧ ТРЯП ДЯЦ ЛЫМ НЯМЬ ЗНОП СТУТЬ │
│ │
│ г б г сч │
│ТРЁК ДЛИП СИЛЬ ШУЦ МУЛЬ ЧТАЙ ЗИЙ ШТАК ЕЙ ЩИЛЬ │
└─────────────────────────────────────────────────────────────────────────┘
Таблица Б.499
┌─────────────────────────────────────────────────────────────────────────┐
│ г д жь г ов жь │
│РЫК СТЭТ ДЮЛ ВУШ ТРАМ ДЕЛЬ ГИК БЫР ЖЁФЬ ДОШ │
│ │
│ в б в д и │
│ЛЫФЬ ЧАЦ КЕП ФУФЬ СЮТ ТЁМ ХОН ЗЮЛ СУН ШЫЦ │
│ │
│ в в жь сч д д ь │
│ЛИФЬ ФСЯШ ЩЕЛ ПЕТ БЁМ ДАН КРИН ШТИЛ ЗАТЬ ТЫЧ │
│ │
│ в г в сч г з з │
│РЮФ ДВАК КИЦ НЯР ФЕФ ЩИК БЕН ДОС БЮЛЬ КОС │
│ │
│ д з в ь в жь эд з │
│ГЕТ КОС КУФ ТРЫЧ ПЮФЬ ПРИШ ЖЕТЬ ДЯСЬ СКОР ТАЦ │
└─────────────────────────────────────────────────────────────────────────┘
Таблица Б.500
┌─────────────────────────────────────────────────────────────────────────┐
│ з жь д б │
│ВИНЬ ВОСЬ КРОХ МАМ ЛЕШ ТРЕТ РЫН СВОН ФЫН МЯПЬ │
│ │
│ з г з з ь эд │
│ДАСЬ ГАК ДРОС ПАМЬ РЮНЬ ТОС НЮЧ ФАНЬ ШЕТ БЫРЬ │
│ │
│ в б д г з ь в │
│БУФЬ ЗЫМ ЛУП ВЁТ НАК ДЯСЬ ЗЕЧ ВЕФ ЛИМ ДЕМ │
│ │
│ д б в д з б │
│СЁТ ШАПЬ ФСЕТ ЛЮСЬ ЛЁЛ ЧТЕН НОЦ ТРИП ЧЁЦ ТАНЬ │
│ │
│ сч я жь б о жь г д │
│ДЫР ДЁЗНЬ ЩАШ ДИП ШЁЛ МИН СТОШ РЁЛЬ ХАК ПЛАТ │
└─────────────────────────────────────────────────────────────────────────┘
Таблица Б.501
┌─────────────────────────────────────────────────────────────────────────┐
│ в з з ё │
│СЁФ НОСТЬ ТРАР СВУМ ДОР СОСЬ СКЕС СТАР КРОМ ШОХ │
│ │
│ д жь з ь б з │
│ФЫЛ ТРИТ ГОМ ЛОРЬ ФИШ ДЫС ФУЧ ЛЮПЬ СКУМ ЖУС │
│ │
│ д з ов з │
│ДРЕТЬ ВОСТЬ ЗЮС ЧЁФ САХ НЕНЬ ХИЛ ШТИСЬ ПОН ПРЫЛ │
│ │
│ ь д г б │
│ДУЧ ЦАТЬ СЯХ СУЛ ЗЯК ВЁНЬ НИП ТЁР ТАС РОН │
│ │
│ г д сч д б │
│ЗНУН ЛЕН ГЕК БЮН ХЕТ ЩЕТЬ ТУМ НЕПЬ ВЮР ЕР │
└─────────────────────────────────────────────────────────────────────────┘
Таблица Б.502
┌─────────────────────────────────────────────────────────────────────────┐
│ з д яд з ё жь г │
│ХАС ТЮТ ЧАТЬ ЗЕХ РЯС ШОЛЬ БАН КЕШ НАР НЯК │
│ │
│ ь б д жь з │
│СИЧ НУЦ ПЕСТЬ РЕПЬ ЗАХ МЯТ ЗОЛЬ МЕШ ДЕС ПРЮХ │
│ │
│ д ь з э ыз д г з │
│ПРИТ ТЁЩ ДЕСЬ ТРУХ ЖЕН ТИСТЬ ШИСЬ КАТЬ ВАК КАСЬ │
│ │
│с б эб д в з з в д │
│ЗДАП ШЕП РЕЛЬ СЁЙ ГУТЬ ФСЕС ЖАСЬ МЁХ МОФЬ РЁТЬ │
│ │
│ б б д д г з │
│ДЕП ТРЕН БЁР ТЫПЬ ТЕТ ШТОТЬ ЦОЙ ЁК ПУЛЬ ЯС │
└─────────────────────────────────────────────────────────────────────────┘
Таблица Б.503
┌─────────────────────────────────────────────────────────────────────────┐
│ в в ь д с з в │
│БЕМ КОС РОЦ ЁФЬ ВЯФ ЧУМЬ БУЩ ЛУТ ЗДЕС РУФЬ │
│ │
│ з в в эд │
│ВЫС КАСТЬ ЛЯМ СТЯЛ ТЭФ ЧТАЛ ГАНЬ ДЯФ ШЕТЬ ЧТЕЛ │
│ │
│ д з д з в з │
│НОТЬ РАСЬ РИР НЁТ СУСЬ ВОХ ПЯФ ШАРЬ ЮЦ БЫС │
│ │
│ в в в г │
│МЯМ ВАФЬ ГЕФ МЮФ РЯЙ СВАР ЧИНЬ ДУМ ПИЦ ФЕК │
│ │
│ ь з г г в ь │
│СЫХ РУТ ЛОЧ НЫСЬ РЁК ПЛЫК МИФЬ ПРОЦ НИЩ СЕЛЬ │
└─────────────────────────────────────────────────────────────────────────┘
Таблица Б.504
┌─────────────────────────────────────────────────────────────────────────┐
│ ь ы ь б сч ю ь ь в г │
│ДЁЧ РУЛ ШИЧ ТРЯПЬ ЩУРЬ ПЯЩ ТУЩ ХУФ ВИК ТАЦ │
│ │
│ХУЛ РЫЦ ВЫЙ НАХ СТОЦ РЮХ СУЗНЬ ВЯЙ ДЫСТ ПЮМ │
│ │
│ ь з ь сч о в в ь │
│ПУЧ ПАСЬ ТЯЧ ЩЁХ ФСЕН ДАМЬ МАФ ЗУНЬ ФАЙ СТЫЧ │
│ │
│ в з з и ёв д з │
│ЛЁНЬ ЗУФЬ ШУСЬ ДАС ЦЫЙ ЖОФ ЗЫРЬ ДВАТ РЫС ЧТУЙ │
│ │
│ в в г з б ь │
│ДЮРЬ ГОФ БУФ КАЦ ЛОЦ БЁК ДЯН ЗОС ГИПЬ ЦУЧ │
└─────────────────────────────────────────────────────────────────────────┘
Таблица Б.505
┌─────────────────────────────────────────────────────────────────────────┐
│ жь г з ыг в │
│ЗОШ НЯРЬ КИК ПЛИСЬ ДЛИН ЖИК ЛЕФЬ МЫЛ САМЬ ПЫЦ │
│ │
│ ь з г сч я з з │
│ХАЧ ХОЛЬ ПОРЬ МИС ФОК ТУХ ЩАЛ ЛЕР ЛАСЬ БЯС │
│ │
│ ы з в жь в │
│СЫМ ЛИР ВУР КУЙ ШИЙ КРЫС НЫФ ТРЮЛЬ НЯШ ДЛАФ │
│ │
│ б д з з в д │
│ТОРЬ ТРЁП БОТЬ ЧЕСЬ ПРАС ВУФ БАНЬ НУНЬ ЗНОМ ЧТЭТ │
│ │
│ в в ь в д │
│ГУМ ФСОФ ЗИЧ ПРЕНЬ ЛУФ ПЕЛ МОТЬ БАЦ ШТАЙ ТАНЬ │
└─────────────────────────────────────────────────────────────────────────┘
Таблица Б.506
┌─────────────────────────────────────────────────────────────────────────┐
│ в в д д д ё │
│СУМЬ НЯФ ДУФЬ КАР ПРЮТ НЮТЬ ВЕТЬ СВЕН ШТАМ ШОМ │
│ │
│ д сч я з эд в д б │
│КАТ НУР ЩАР ПЭС ПЫРЬ ЦЕТЬ МЯФ САТЬ ЧТУП СТУХ │
│ │
│ в жь з з г в г │
│ТРЯН БАФ ГОНЬ ВЕШ ДЛАН КУСЬ МЕСЬ РЯК ВЯФЬ ДЁК │
│ │
│ б в жь э ь сч б в жь │
│ЧИП ТОФЬ ПЕМ ЗОХ ВУШ ГАМЬ ЦЕЧ ЩИПЬ ФСОХ НУШ │
│ │
│ в д б д в б ь жь │
│ЧЕФ ДЯНТ СУХ ПЛИП ТЮТЬ НЫФЬ ГОП НЯН МИЧ БЫШ │
└─────────────────────────────────────────────────────────────────────────┘
Таблица Б.507
┌─────────────────────────────────────────────────────────────────────────┐
│ д ь в в в │
│ТЫТЬ РОН ТЯЛ ТЁСТЬ МЫЧ ЛЯЛЬ МЮХ ХАФЬ СОФЬ БЮФ │
│ │
│ д жь д з з │
│ДЮТЬ РЕНЬ ТРУШ ТРИР ШТУТ ЧТАС САСТ СЁМ БЯЦ БЁС │
│ │
│ в б з д г ы ь │
│ШУФЬ ЁЛ ЛЮП ЗУСЬ ФИТ БЯН ЛЫК ДИЛ ЖИЙ ПЯЧ │
│ │
│ э ь в г д ёд │
│ШЕМ САР ШАЧ ТОФ РЫЦ ПРАР ДРАК КРАТЬ ХИН ЖОТЬ │
│ │
│ з г д г ь │
│ЖАСЬ БАМЬ ЗНАР СЭК ГАЦ РЯЛЬ ДЯХ СТОТЬ ТРОК ВУЩ │
└─────────────────────────────────────────────────────────────────────────┘
Таблица Б.508
┌─────────────────────────────────────────────────────────────────────────┐
│ жь г з ь з │
│СЯШ ЗЕК ЗОЛ ПАЦ РЫС МЁЦ ГОЦ ДАЩ СЫРЬ НЕСЬ │
│ │
│ ы з з з ь ь │
│ШИНЬ ПРЫЛЬ ЗЯЛ ЛИС МЯНЬ ЕС СТЯС ГЕЧ ПРИЧ ЛОНЬ │
│ │
│ з з сч б б в │
│ТАСЬ НИМ КРУС КЕХ ЩЕП ФЕРЬ ДАЛ БЫПЬ ТИМ ЦУФ │
│ │
│ б з ь э жь г д з в │
│ГЕП ПИС ДВИЙ НОЩ ШЕШ ПЛАК НИТ СИСЬ ЧИФ РИЙ │
│ │
│ в од г жь д с д б э │
│ЗНУХ ПОФЬ ЧЁТЬ ТЫК МАШ НЕТЬ ЗДЯТ ДОПЬ ЖЕМ РЯХ │
└─────────────────────────────────────────────────────────────────────────┘
Таблица Б.509
┌─────────────────────────────────────────────────────────────────────────┐
│ е жь б с з │
│СЭМ ЁХ СВАШ ЖУРЬ ЗЫЛ ДЯП ЗДОС ЗИЛЬ СКИР РЁЛ │
│ │
│ з з б з жь │
│КАСТ ФЫР ЗОЙ БАСЬ ФОЛЬ ЗЭС РЮП ВОСТ ДЕСЬ САШ │
│ │
│в ь ю д з │
│ФСЯЛ ЛЁЩ РЭЛ ЧУПЬ ВИЙ ХОТЬ ЮС ЛЁР ВЁЛЬ ПЮЙ │
│ │
│ з д ь сч з в ь │
│ПЕСЬ БОРЬ НЁМЬ НОНТ ЛЯЩ ЩИСЬ ЯФ ТЁЧ ТРЕЙ СКАХ │
│ │
│ б жь б д жь │
│ТРЕПЬ ЛЫШ ШУНЬ ДИПЬ ПАНЬ ВУЛЬ НИТ ЛЕТЬ КАЦ ХОШ │
└─────────────────────────────────────────────────────────────────────────┘
Таблица Б.510
┌─────────────────────────────────────────────────────────────────────────┐
│ д ь в з б г ь │
│БУТЬ ТОЧ ФСИСЬ ХУП МОЦ ЗЁК ВАЧ БЮРЬ ПУЛ СТАМ │
│ │
│ з б г д жь │
│ТИСЬ ЛАЦ ХЕП ПЮЗНЬ РУК ПОХ ДЭТ ЗАМЬ ЦОМ ТЕШ │
│ │
│ д ь з б в │
│ТРАТ НОЛ ВЫЩ СЮЙ НАЛ НАС ТУРЬ ФАН ВОП ВЫФЬ │
│ │
│ з яз в жь г з ь │
│ШТОСЬ ЧАСЬ ЛАЛ ЧТЫР ПРИФ ПРОШ ДУК ФУСЬ КИН СЕЧ │
│ │
│ в з г д │
│РУФЬ РАСЬ ХАНЬ ЧТЕХ ШУК ДЛЕМ ШАТ МАМ ПУР ТАЛ │
└─────────────────────────────────────────────────────────────────────────┘
Таблица Б.511
┌─────────────────────────────────────────────────────────────────────────┐
│ б ю в сч ь в ь │
│МОП БОН ЧУН ФСЮЛ ЩИЧ ЁМ ФСИХ ГАЧ НЕСТ НЫЦ │
│ │
│ в ь ь в │
│ЗАРЬ ГУЛЬ РЯЦ ЦОН ЕФ ТУЛ СТАЧ ДРОН ЛУЩ ПОФЬ │
│ │
│ сч ю д б г д в │
│ЗИЛ ЩУР БАТЬ МЁПЬ ПРОМ ЛОК КАР КАТ ПЁФЬ ДЁЦ │
│ │
│ в б г ь б д д │
│НИФ ТРЮП ВЫК ФАЧ ТРЫХ ЯПЬ РОР ТЫТ СИТ ЗАЛЬ │
│ │
│ з д ё б д д │
│ВУСЬ НУТ САЛ ШОН НЁП МЮЛЬ ЖАМ БЯТЬ ЧИМЬ ЧТУТЬ │
└─────────────────────────────────────────────────────────────────────────┘
Таблица Б.512
┌─────────────────────────────────────────────────────────────────────────┐
│ д д д г б │
│ЛОМЬ КОТЬ ТРЕР ТРУМ НАТЬ ШАТ ШТЕК КИН РЕПЬ ШУЛ │
│ │
│ б жь б г жь │
│НЯНЬ БЕР ВАСТ РАПЬ СКИШ ГИП ДЫЛЬ ЗУК РИШ ФЕЛЬ │
│ │
│ з б │
│СТЫС ФУЛ ГЕЙ ХОЙ ПАНЬ ЗУРЬ МЯХ НЫЛ ХАП СТЕР │
│ │
│ г б в жь ы жь │
│РУК ХУПЬ ХОФ ВАЙ ЮШ ШИНЬ НЕМ ДЛОХ ДЯЛ КРОШ │
│ │
│ з э г б з │
│БУС СУРЬ ШЕН БЫНЬ РЮК КЕЦ ЗЁЙ СВОЛ ВУПЬ СЯС │
└─────────────────────────────────────────────────────────────────────────┘
Таблица Б.513
┌─────────────────────────────────────────────────────────────────────────┐
│ д в д б в з │
│ЛЯТЬ ПЯЗНЬ ТУФЬ ЮТЬ СОПЬ ЧТАФ ЛАХ ВЮС ДЮМ ЗНАН │
│ │
│ б в в жь д с д б │
│СЮПЬ ЛЮФЬ МЫРЬ РЯФ ПРЯШ ЧЕТЬ ЛЁХ ЗДОЛ ПЛИТ СТУП │
│ │
│ в д д д д │
│СЕН ПАЦ ШТЕФ ДЛЕТ ЦУХ ПИТ ТЁТ ВЁТЬ СЕЛ ЛЫЦ │
│ │
│ яв жь в ыв д ь │
│ЧАФ РЁН ЗАШ ЗЕЙ БЮЛ ВАФ РУНЬ ЖИФ КУНТ РАЧ │
│ │
│ ь ь д б ь │
│ЦОЧ ЛИЧ ТЁСТ РЕТ ВЯП ВОХ СОЩ КУН ДУЦ СВЕМ │
└─────────────────────────────────────────────────────────────────────────┘
Таблица Б.514
┌─────────────────────────────────────────────────────────────────────────┐
│сч яд б г б оз жь │
│ ЩАТЬ ЛЕПЬ НИК НЯП ТИЙ ТЕН ЧЁСЬ ХЕШ ДОР ПУЛ │
│ │
│ д в ыз з з д ь г │
│ ТРЯТ СЫФ ШИСЬ ЖУР ЧТИС ПРУСЬ ДЯТ ТРИЧ ТЫЦ КРАК │
│ │
│ ь ь б д з │
│ ТРОХ РОЧ РЕЙ ПУЩ ДАМ ТЫП РУТ ГОС ГАН ФОЦ │
│ │
│ б ь д з в │
│ БЁНЬ ПЛАП БУЛ ДАЩ ГЕТЬ ЛЁМ ДИСТ МЕС ШТУМ НЕФЬ │
│ │
│ з в д з з │
│ ТОСЬ ФСАТ СКОЛ НОН ЗНУСЬ СИС МАРЬ ХИН ДЕН ДУЛ │
└─────────────────────────────────────────────────────────────────────────┘
Таблица Б.515
┌─────────────────────────────────────────────────────────────────────────┐
│ в ь з з │
│ЧТЫН БЫМЬ ВЕЛЬ НЮЦ ДЕФ ЮЧ ТИЛ ДВАС БЯЛЬ ПРЮС │
│ │
│ в ёз г жь з │
│МИРЬ ЖАФ ЖОС ЗОН НУК ДЕМЬ БУШ НУС ПЯЛЬ ПЫМЬ │
│ │
│ в д э г │
│САФ ЗЯЙ ГУЦ МЮН ПРИЦ ПРЁТ ЦЕР ФОК ФИЦ СЫК │
│ │
│ сч в г ь б б │
│НАМ ЩИН ШУФЬ ЗЫХ ТЕК КАЧ ФЭП ХАХ ПЁПЬ БИМ │
│ │
│с жь э жь д д э ь │
│ЗДИШ ЛИР ПЕХ ШЕШ САЗНЬ МУТ ТЫХ ВЫТ ШЕМЬ РИЩ │
└─────────────────────────────────────────────────────────────────────────┘
Таблица Б.516
┌─────────────────────────────────────────────────────────────────────────┐
│ б ё б б д ь в б │
│БЕП ШОМ ТИЦ ШАНЬ ПОПЬ БЮПЬ БЕТ ВИЧ БЮФЬ МАПЬ │
│ │
│ жь в д ь б з │
│ПЮХ ВЯШ КОФ ЗЕМЬ ДРЕТ ТУЩ НИХ НАП СТОХ САС │
│ │
│ з в э эз б │
│ПОМЬ ДЕН БОСЬ НУФЬ ЧЕМЬ ЗЁН ЦЕСЬ ЯХ ФАЛ РЕП │
│ │
│ в б д ь в д │
│ДЯМ ДОФ СТАП ПРЯН ЛЫТ СУЧ ЦАЦ ФЫМ ФСОТЬ СОХ │
│ │
│ од жь и я г │
│ШЁТ ТАШ ЦЫМ ЧАЛ МИЛЬ ЗЭН ЗИНЬ ВЁК ЛЁЛЬ СВАМ │
└─────────────────────────────────────────────────────────────────────────┘
Таблица Б.517
┌─────────────────────────────────────────────────────────────────────────┐
│ г д в д д з б ыб │
│ШУРЬ ЧТУК СЫНТ ЛУФЬ ДЯТЬ РУТЬ БЮС ФЕП БАХ ЖИП │
│ │
│ д в г з жь ь │
│ФИТЬ НЕНЬ РЕФ ХОК ПЕСЬ ДЫШ РАЦ ТРАХ МЮЩ ТИН │
│ │
│ з в ёб г б ид з в │
│ПРАЙ ЗЫС ТРОФ ШОП ЖАН ДЛЮК ДЕП ЦЫТ СЫСЬ СЮФ │
│ │
│ б юв в д ё │
│ЛИП ЧУФЬ ДЁФЬ ЛЮМ СЭТ ТЕТЬ ЕР НИН ЖОЙ ЧТАЛЬ │
│ │
│ з жь з ы б жь б │
│ЗОН ЗНУС ТРЯШ НЭР ЗАСЬ ДЕХ ШИХ ЮПЬ ПЁШ НЯПЬ │
└─────────────────────────────────────────────────────────────────────────┘
Таблица Б.518
┌─────────────────────────────────────────────────────────────────────────┐
│ б д б ь ь сч о ь │
│КУПЬ ЛЕТ ХЕПЬ ЗЯНЬ ПЕЗНЬ КРОЧ ГЕХ ЗУМ ЛЁЧ ЩЁЧ │
│ │
│ з д ь б ь эб │
│ТЫС НОТ ЛАЧ ХОМ ГУП БЫРЬ ВАЧ ШЕП РЁЛЬ ХУН │
│ │
│ жь б сч э │
│ГАШ ПЫЙ ПУСТ ГАП ДОЛЬ РЫМ ЩЕР ФУХ ГЕЛЬ ПОК │
│ │
│ д г д │
│СЯТЬ РЮЙ МЯХ СТЯМ ПЛИК СКЕТ ЛЯЙ ВЫМ НЕХ НЯЦ │
│ │
│ д ь з │
│ДВЕТЬ ТРЯХ ЖУНЬ СВОХ ТЯЦ КЕРЬ НЮЩ КРИС СОЙ КАРЬ │
└─────────────────────────────────────────────────────────────────────────┘
Таблица Б.519
┌─────────────────────────────────────────────────────────────────────────┐
│ в б │
│ ПРЕЙ ХИНЬ ХУХ ДЛАХ ВЫХ ПЁРЬ ЛОХ ТОНЬ ФСЕЛ ТАПЬ │
│ │
│ ы б д жь │
│ НЯСТЬ ЛОР ШИМ МЫП ВАЗНЬ РЮХ ГОТЬ БУШ ДЕХ ЗНАМ │
│ │
│ з о жь в г з жь │
│ ЧИХ ХАСЬ ПРУХ ПРИЙ ЧЁШ БУФЬ МУРЬ СЭК НЫС СИШ │
│ │
│ эз в з ь д б │
│ ШЕС МОНЬ КИФ ВИЦ ДУР БАН ПЛОС ЗУЧ МЁТЬ ПАПЬ │
│ │
│сч яб б г б д в б жь │
│ ЩАП ВУЛЬ ВАП ДАХ ТРИЦ ЧТЭК ТЁПЬ ДЕНТ ФСЕП СТУШ │
└─────────────────────────────────────────────────────────────────────────┘
Таблица Б.520
┌─────────────────────────────────────────────────────────────────────────┐
│ б в ь ь б │
│ВОПЬ КИФ ЯМ КАЛЬ ГУЧ НАЧ ПЫР ДЮП РЫХ ШТОХ │
│ │
│с г б з э │
│ЗДЕК ТИЗНЬ ЛЯЦ ШТАР РЮН РИМЬ ТЭП БЁРЬ ГИС ЖЕЦ │
│ │
│ з г з з б │
│БУН СИРЬ ЗОЦ ТРЯСЬ ПРОР ШТИК РЁСЬ РУМ МИСЬ ЗАПЬ │
│ │
│ д г з ь │
│СОЙ ЁТЬ РОРЬ СКАК ЛУСЬ ТУНЬ ФУЩ НЁР НУН ЧТЕЙ │
│ │
│ д ь сч з з г с │
│ЕНЬ ВУТЬ ПАЩ ПЯН ЩИС КАС РАНЬ ТРЫК СЮЦ ЗДАН │
└─────────────────────────────────────────────────────────────────────────┘
Таблица Б.521
┌─────────────────────────────────────────────────────────────────────────┐
│ ё жь б д сч я │
│ЖОЦ ФИМ ФУЦ ГАШ ХАЛЬ НЁП ПРОТ ДЫН ТУСТЬ ЩАХ │
│ │
│ з ь с д ь г │
│НЕС БЫЙ ДВИХ ХУЩ ПАМ ЗДЯТЬ ЗАН ТЯЩ ЗОК МУЦ │
│ │
│ б д д ь ь б из ы │
│ДУПЬ КУТ СЭТЬ ЛИЩ КАЧ ГУН СЯП ЦЫСЬ ШИЙ ФЫЛЬ │
│ │
│ з в д в д ь б │
│ЖАС ДАФ ЗНАТ ШТАЦ КРАЛ ШАРЬ КАФ СОНТ МЁЧ ГАП │
│ │
│ б жь г ь ь з │
│ДЛЕП РАШ ЦОК ЯЧ ЗЮХ ТРЯЙ ПУЩ ТЁР ЛЯМЬ СВОС │
└─────────────────────────────────────────────────────────────────────────┘
Таблица Б.522
┌─────────────────────────────────────────────────────────────────────────┐
│ б д д з │
│РАПЬ ФЕХ ЧТЫНЬ ТРЁН ВОЦ НОТЬ СЫТЬ ПЁЛЬ СЫЙ ДИСЬ │
│ │
│в г б д о жь │
│ФСЁК ХИР ТУП СИМ ЧТАТЬ ЧЁН НАР ЛОЛ ВАШ ПЫР │
│ │
│ д б эд жь з з жь в з │
│ЗАТЬ ЧЁП ЗОР ШЕТ ЛЁШ РЁСЬ ПРЯСЬ РЯШ ЛЕФЬ ЁС │
│ │
│ з д б ь з сч г в б │
│ХЕСЬ ЧИТЬ ЗЮП НУЗНЬ ДЯХ БЫЧ ШУСЬ ТЭР ЩЕК ФСЯП │
│ │
│ в г в д ь │
│ВОФ ЕЦ ЗИК БЁЙ СЕФЬ СТЫХ САТЬ НАЩ ЛЫЙ РОР │
└─────────────────────────────────────────────────────────────────────────┘
Таблица Б.523
┌─────────────────────────────────────────────────────────────────────────┐
│ жь я в з в │
│ЗЫЛЬ ПРУШ ЧАМЬ ТЫЛЬ ПРЮЙ ТАФ ТРАСЬ МЯН СВАЛ БОФ │
│ │
│ д жь д в │
│ТЮЦ ХОМЬ СТОР ПИТ СУР ДАРЬ СОШ НУХ РУТ МЕФ │
│ │
│ б в д б з жь з б │
│НЯНЬ ПРАЛЬ ШАПЬ ФСОТ ВАП ГИСЬ ЗЕШ НЭС СОП НЮЦ │
│ │
│ д б д г жь з в │
│ТЕТ БЕЛ ЯП ПЯНТ СТЕК ГЕШ ВЁСЬ ПЛЕФ БУХ ВИН │
│ │
│ жь сч в з в юз │
│ПРЕШ ЩИЛ ТРЮФ ТАЙ ЛАСЬ ТИСТ СКУФ ЧУСЬ БЮР РУМ │
└─────────────────────────────────────────────────────────────────────────┘
Таблица Б.524
┌─────────────────────────────────────────────────────────────────────────┐
│ жь жь б д в в сч ю │
│РУШ БАШ БЯПЬ ХАТ ЧТУФЬ ЗУМ ТОЦ ГУФ ЩУЛЬ ДИРЬ │
│ │
│ эб з ё ь д │
│ЖЕПЬ СЮСЬ КРУЙ ВОМ ШОР ЦАЛЬ ТИЧ НЫТ НИЛЬ ЮН │
│ │
│ з з д д с г г в │
│СТУСЬ КИР МОС ЖУТ ВУТЬ ЗДОК ЦАК ДЮФ ЛЁНЬ КУЗНЬ │
│ │
│ жь з б б │
│ДЛАЙ ТОХ СОШ ТРУСЬ ДЫХ ХОП НУП ЛИРЬ РЫЛЬ ПЛАХ │
│ │
│ д д жь з б д з в │
│РЕТЬ КЕТ БЯШ ГОСЬ ЛАП НЯТЬ ПУЙ ДЕС ЕМ НИФ │
└─────────────────────────────────────────────────────────────────────────┘
Таблица Б.525
┌─────────────────────────────────────────────────────────────────────────┐
│ д жь з б о │
│ЗУТЬ ПЯШ СЁР МЮР ЗНЁС РИП ШЁЛ ЛУН СКЕЛ МЫМ │
│ │
│ д ь г з г │
│КАХ МОТЬ ТРЕЧ ФАК МИЦ ПОС ВЯР ГЕНЬ БАНЬ РИК │
│ │
│ з з жь ы жь д │
│МЯСЬ ВЕЛЬ БЕМЬ ПЕМ ШТЫСЬ ДЁЛ ФУШ ШИЦ ШТИШ РЯТЬ │
│ │
│ з ё в д │
│ЛЮЛ ДРЕН ТАРЬ КИСЬ ШОХ ПИН РЁЛ МАФ ВАСТЬ ПАТЬ │
│ │
│ ы д б з д б з │
│НЕМЬ ЖИМ ВАТЬ ВЫР ДЯП РЮН ЧТИСЬ ДОТЬ ТРАПЬ БЫС │
└─────────────────────────────────────────────────────────────────────────┘
Таблица Б.526
┌─────────────────────────────────────────────────────────────────────────┐
│ з б в э з в в │
│КОС ЗНЕХ ФЫРЬ МЯП ПИРЬ ШУФ ШЕЛЬ ТИСЬ ДИФЬ ВИФ │
│ │
│ д ь в г ь д │
│БЯНЬ ЧТУНЬ СИНТ ТУЧ БЯМЬ ПРЯФ ПАК ПУХ РЯЧ МЮТЬ │
│ │
│ д д в я │
│ТРОТЬ ГОМЬ СЮМ ТРЯТЬ КРОН НАЙ ЗОНЬ ТРАФ НЁЛЬ ЧАХ │
│ │
│ б д з жь жь │
│САПЬ СВОР ДЛАТ БЁСЬ ЗНОН РАРЬ БЯМ НЮШ МАЛЬ ПЛАШ │
│ │
│ ь в в жь з ь з б │
│СКАФ ДЮЧ ФСЮХ БЕФЬ ФЕШ МОС НЫЧ ДЛИС БАП ЛЫЛЬ │
└─────────────────────────────────────────────────────────────────────────┘
Таблица Б.527
┌─────────────────────────────────────────────────────────────────────────┐
│ жь г в б д д │
│КИЛ ДИШ БИХ ПЮК СУФЬ ХОНЬ СОМЬ ДОПЬ РЕТ ПИНТ │
│ │
│ б д ь │
│ДАЛ ВЫЛЬ ВАМЬ ЗАП СЫНЬ НЕТЬ ЮХ ЗЭЛ МИЧ ЖАЙ │
│ │
│ д з сч о б д б в │
│ХАМЬ КУТ ЦУЙ ПЛЕС ЩЁР ХОПЬ ЛЁТЬ ГЕП ВЕР ДОФЬ │
│ │
│ ь з ь в в д │
│ЗОЙ КЕЩ РУРЬ ЛИС ПЫЧ ЮФЬ ХИЗНЬ СЮЛЬ ФУФ ЗЁТ │
│ │
│ в з с г б з ь ь г │
│КАФ СТАС ЗДИК ЛОПЬ ХУСЬ ДОШ НАРЬ САЧ ВЯК ЛАН │
└─────────────────────────────────────────────────────────────────────────┘
Таблица Б.528
┌─────────────────────────────────────────────────────────────────────────┐
│ ёв ь ь э ь в в д │
│ЧОФЬ ДВАН ЛЯЧ ХАЩ ШТОМ ШЕЧ НОФ КОФЬ СВЕЛ ДРОТ │
│ │
│ з б д жь в з ы │
│ШАСЬ ФАП ДИТ ЧЕШ ПУФ ТРЕС ШИН ЧТЫРЬ ТОРЬ РЫЛ │
│ │
│ жь б б в д │
│БАШ ТЫХ КАПЬ ПЕЦ РОЛ ВОМЬ НУП РИФЬ РЫТ КАН │
│ │
│ в д │
│НЕМ ПРУЦ ЯРЬ ЗЯРЬ НЯФ ЛЯЛ ТЫР РЁРЬ ГИТЬ БУХ │
│ │
│ в б з │
│ШУЙ ЧТЕР ЖУФ ТЮРЬ СУМ РИП ВЁНТ ТЮЛ НИЗНЬ НЕСЬ │
└─────────────────────────────────────────────────────────────────────────┘
Таблица Б.529
┌─────────────────────────────────────────────────────────────────────────┐
│ в юг ь сч юг б д жь в │
│ВЫФ БУНЬ ЧУК СТОЧ ЩУК ДЯПЬ КРЕТ ЛЁШ ФСИЙ БЫЙ │
│ │
│ з ь г з г д │
│ПРОС СЯЧ ПРАК РЮС ДЁСТ ВАЦ ШТЕЙ ГАЙ ДУК НЫТ │
│ │
│ д жь │
│ФОНЬ ГУТ ТРИШ ЗУЛ ЛУЛ ДЁМЬ ТЁН ШАЦ ЛЁР ЁЛ │
│ │
│ эб з эз г б │
│ЖЕП ШТАС МАЦ СЁЦ ЦЕС СТИК ДАЦ ЗАР НЯН РОПЬ │
│ │
│ б б ёб в б жь │
│ВУП ЗЕП ПОЦ ЛАМ СТЫЙ ШОПЬ ЗЫФЬ СЕП ТАХ РЁШ │
└─────────────────────────────────────────────────────────────────────────┘
Таблица Б.530
┌─────────────────────────────────────────────────────────────────────────┐
│ сч юз г д │
│ ТУЛ РЮЙ ПРЮЛ ЁХ ПОЛЬ ЩУСЬ МЁЙ ХЕК СОТ ЦУН │
│ │
│сч ю г з г ь д г з │
│ ЩУН ТАН ГУК ПУСЬ ТЭК МЁЩ ВУТ НИК СКИН ХИС │
│ │
│ ё г д в с д з в │
│ ЖОР МУК ЦУТЬ ПЁН ФСАН МЯР ЗДАТ ЕСЬ ЧИЛЬ БОФ │
│ │
│ г ь г ы б жь б │
│ ФИК ПРЁН ДЁЩ ЛЮЛЬ ЗОК ЖИМЬ ПЯЦ ЧТАП ВЁШ ШУПЬ │
│ │
│ з в жь з д │
│ БЫСЬ ТЯМ ЛАФ ГЕШ ТРЮР ЗИР ГАСЬ ТРЫЛ ТЫНТ РЕЛ │
└─────────────────────────────────────────────────────────────────────────┘
Таблица Б.531
┌─────────────────────────────────────────────────────────────────────────┐
│ д ь з в ь │
│МЕНЬ РЕТЬ ХУЧ РЮС СЕЦ НЫЙ ВЕФЬ ЗЁР ГАЩ СКИЛ │
│ │
│ б в ю эз с д │
│КАЛЬ ВАЛЬ НОП ФСИЛ ЧУНЬ РАРЬ РУРЬ ШЕС ЗДИТЬ ТАРЬ │
│ │
│ ь з ё ь б в з в │
│ТЁЧ САСТЬ КЕС ЧОЧ НЕП ДИХ ХИФЬ ЖУЛЬ ДЛАСЬ СИФЬ │
│ │
│ д ь з г в │
│НЯТЬ ВЕХ НИЧ ЧТУН ГЕС ФУК ЛОЙ ВАХ БЫФ ШАНЬ │
│ │
│ д в жь в сч д б │
│КРУЦ СЫТ КОФ ЕШ ПРЕХ ФСАЛ ЩЕН ЖАТ ЮР ГУП │
└─────────────────────────────────────────────────────────────────────────┘
Таблица Б.532
┌─────────────────────────────────────────────────────────────────────────┐
│ д в в ь з жь в │
│ДВАХ ПОМЬ БЕЛ ПЮНТ ЁФ ЗАФЬ ТРЕЩ САСЬ БОШ ПУФЬ │
│ │
│ б г д д з с я │
│МЫХ ГАПЬ ТЮН ТЭК ЧТЫТЬ ГУХ ВОНТ МЁС МАЗ ЧАРЬ │
│ │
│ ь ыв жь │
│ТРАЦ РУЛ ВОЧ БЮНЬ ЖИФЬ ЗАНЬ ДЮЦ ПРАШ НАН ЛЮЦ │
│ │
│ ь жь б д │
│БЯЧ ПАЛ РЕШ СТАПЬ ДРОХ КУР НИНЬ СТЕХ ДАРЬ ДЕТЬ │
│ │
│ жь д б сч оз ь з │
│КРАШ ЗОРЬ КИТЬ ТЯП ЩЁС ЛУМ ЗОЧ СКОХ СТАСЬ ПЛАЙ │
└─────────────────────────────────────────────────────────────────────────┘
Таблица Б.533
┌─────────────────────────────────────────────────────────────────────────┐
│ б ь жь б жь ёб │
│ ЧТАНЬ ПУР БЯП ЯЛ НАЩ МАШ ЗЯП ЦОШ ХОН ШОПЬ │
│ │
│ з г ь д г │
│ СЁСЬ БЮК СУЩ ТЫЛЬ ДЛЕТЬ НЕЦ ЛЕК МАН ЛЕЙ РОЛ │
│ │
│сч оз з в д б з │
│ ЩЁСЬ ЛИХ ДЯР ЛЯС ДАФЬ МИТЬ ХОП ГИЛЬ ВЫЦ НУСЬ │
│ │
│ ь з ы б │
│ ФИР ТЕЦ ХИЩ НЯЙ СОНЬ МУМ ДИСЬ ШИХ САЙ ДАПЬ │
│ │
│ жь сч яз з д д з д │
│ РЯШ ЩАС ТРЯЛ ЧТЕС ЛОН ДИНТ РЁТ ЦИС ПЛЕХ ПРЫТ │
└─────────────────────────────────────────────────────────────────────────┘
Таблица Б.534
┌─────────────────────────────────────────────────────────────────────────┐
│ ь в ёд в б ы сч д │
│ГУЧ ВЁЛ ШТЫМ ЛЁФ ШОТЬ РЯФЬ ЗИП ШИМЬ ЩИТЬ ШТИХ │
│ │
│ б в эз в з │
│СИР ТРЁП НАФЬ ЖЕСЬ ЦАХ ФСЯС БУР ПЯМЬ ДЫНЬ ЛИМ │
│ │
│ с сч юз д ь б д б г │
│ЗУН ЗДАЦ ЩУС РИТ ЖАЧ БАПЬ ТРОТ ТУПЬ ХАК ПЁР │
│ │
│ в б жь в в в в д │
│ВУФЬ КОП ЯШ ТАФЬ БОЛ ЗУФ ПРЯМЬ ТРЁФ МЯФ РЫТ │
│ │
│ в д ь │
│ЛЫЛ НОЗНЬ ДОФ СВОТЬ ВУЦ КАХ СОЧ ДЁН МЯЛЬ РЫЛ │
└─────────────────────────────────────────────────────────────────────────┘
Таблица Б.535
┌─────────────────────────────────────────────────────────────────────────┐
│ ь жь э жь г г │
│РИНЬ ТАЙ НЯЧ ФЫШ ЦЕМ БЁШ БЫМ ДЕК ПРИК ЛАР │
│ │
│ з з жь д ь г жь │
│СВЯС КУС СТЫЛ ШУШ ТОХ ТОЦ ТИНТ РЮЧ ПЁК ФАШ │
│ │
│ б г в з з з з │
│ЧИПЬ ЗНИК ЗЕН ФОХ МЮФЬ ПОСЬ НЁРЬ ПЫС ЗНОС ШТАСЬ │
│ │
│ д б з д в ь │
│ЗЫНЬ ФЕТЬ РОПЬ ПУЛ ЕНЬ ДЫС ХАТ ЧЕФЬ ГИЧ КОСТ │
│ │
│ жь з ь б б ь б │
│ПЮШ СЕС ВЯЧ ПЁЧ ТРЫП СУПЬ БУЧ ПРУН БУП ТИЛ │
└─────────────────────────────────────────────────────────────────────────┘
Таблица Б.536
┌─────────────────────────────────────────────────────────────────────────┐
│ ь в г д в ь в │
│ДЯЩ РАФЬ ПРЯК ПЕНТ НУМ ЗОМЬ ФСЯН ЗЫЩ ФОФ ФЫЦ │
│ │
│ д д жь з з │
│ЗУР ПЯТ СКЕТЬ ПЮН ВЭШ ЧИСЬ ЛЫРЬ БАМ ЗЕС ТЫМ │
│ │
│ б з о г │
│БИЛЬ БЕПЬ СЁН ДРАС НЕН ЯЦ ВЯНЬ ЗУЦ ШЁМЬ ПЕК │
│ │
│ б сч я д г з сч д г │
│ЧТАПЬ ЩАН БАТ ЗАК ТАМЬ МЁСЬ ЩЕТ РЫК ШАМ ВОМ │
│ │
│ в яб эб жь д б г │
│ТЯФЬ ЧАП ШЕПЬ ЗЁШ КРОТЬ НЯМЬ ПРЕЛ ШТЕП ЯМ РУК │
└─────────────────────────────────────────────────────────────────────────┘
Таблица Б.537
┌─────────────────────────────────────────────────────────────────────────┐
│ д з д з ь г и жь з │
│ДЮХ ТЕТЬ СЕС ПОТЬ ЛУС СОЧ ДЛОК ЦЫШ ВАСЬ ВОЦ │
│ │
│ с ь з │
│РЮР ЗДЯН КЕЛ ГИР НЫЧ КЕЙ ЧЕР ХОМ ЗНОР ЛЁСЬ │
│ │
│ д в жь э в б │
│КУНЬ НЮТ ЗЯФ ДИЦ ХАЛЬ ПИХ ДАШ ЦЕЛ ФСИМ ЧТЕП │
│ │
│ ыв з в б б з д │
│ШИФ ТУСЬ ДЫФЬ СУР ТЁП ДЯР ЮПЬ СТЕСЬ ВЫРЬ СЯНТ │
│ │
│ ь э ь д б жь в з │
│ЖАЩ ЖЕХ КРЕЛ ЗАЧ НУТ ПРЫП КОШ РИХ ЦАФ ПЛАСЬ │
└─────────────────────────────────────────────────────────────────────────┘
Таблица Б.538
┌─────────────────────────────────────────────────────────────────────────┐
│ ь в д д │
│РУЧ РАН СЯФЬ СОНЬ СТУН ЗНИТ ВИСТЬ ФАХ МИТ ЧТУР │
│ │
│ б сч ь з г з ь │
│ХУМ ДОП ЩЕЧ НЁМ РОС НЕЛЬ МЫК КАС СТАХ ВУЩ │
│ │
│ в д б б в ь д з │
│ГЕЛ ТОФ ДВЯТ СТЫР ПЫПЬ ЛЯП ПАФ ТОЩ ФЕТ ДИС │
│ │
│ ь з ь в д жь с в │
│ТРИЛ РЁЧ ТРЁСЬ СКАЛ ЕЧ МЯФЬ ЛИТ МОШ МИЗ НАФЬ │
│ │
│ з б б з з │
│НИСЬ НЫПЬ ЦУРЬ БЁН ТРОЛЬ НУСТ ДОЦ РЁП ВЯС ХИСЬ │
└─────────────────────────────────────────────────────────────────────────┘
Таблица Б.539
┌─────────────────────────────────────────────────────────────────────────┐
│ ю в д г з │
│ЧУРЬ ТРЯЛЬ ГАЛЬ ШТЫЛ ТАФ РЫЙ БИТ ЗДОЙ ПРУК БУСЬ │
│ │
│ з з ё в │
│МЯЛ ГАХ ТРЫС ЧТЫС БЫЦ ДЁНЬ РИЛ ШОНЬ МАФЬ ХЕСТЬ │
│ │
│ б д ы в д в б б │
│ТАР ГОП ФУМ ЗИТЬ ШИЛЬ ГЕФЬ РИТЬ НЯФЬ ВИПЬ НОПЬ │
│ │
│ з б д з г ё │
│ДЕЛ ЛЕЦ БОСЬ СИП ЖАМЬ СВАТЬ ДЭС ХОК ТЮР ЧОХ │
│ │
│ д б б з в │
│САТЬ МЕПЬ СЫП НИЙ ЗУЙ ФИРЬ ГУС ТЫФЬ ЛЮРЬ СЫЙ │
└─────────────────────────────────────────────────────────────────────────┘
Таблица Б.540
┌─────────────────────────────────────────────────────────────────────────┐
│ г д │
│ ПЫМ ВЕМ РЕК ТОТЬ НАН ПЕР ХЕЛЬ ПУМ ЛАН МЫЙ │
│ │
│ в ыб в в │
│ ЛАЦ ФСУЛ ЛЕЛ ЖИПЬ ЛУЛЬ ВОФЬ ГОР ТЕР ЛИЛЬ ПРАФ │
│ │
│сч о ёз г ь │
│ ЩЁЛ ШОСЬ СЮРЬ ТАЗНЬ ПРИН ДАК РЯЧ ПАМЬ ХУЦ КАР │
│ │
│ з з в з д │
│ ШУР ЕН ТРУЙ ШТЕС БЫНЬ КЭС ВЕФ МЮСЬ СВЫМ ДАНТ │
│ │
│ г з з │
│ ДЛИК РЫН ЁСЬ ШАН ПЛИН БОСЬ ЖУМ БУЛЬ САЙ ТРЁХ │
└─────────────────────────────────────────────────────────────────────────┘
Таблица Б.541
┌─────────────────────────────────────────────────────────────────────────┐
│ о сч я ь г б б з │
│ПРЫЙ ЧЁМ ЩАНЬ ФОЧ ПОК КЕМ ПЛЁХ ЛУП ТУП ДЮС │
│ │
│ б з д ь │
│ЛЯП ЧТЕСЬ ШУЛ БОРЬ БУТЬ СВИНЬ ДЁЛЬ ДЫРЬ ЗЯР СЮЧ │
│ │
│ д ь г д жь б │
│ШТОТ НИЧ БЫР НЯК ТЫЙ ДИТ ЛЕХ ДЕШ ТАН ХИПЬ │
│ │
│ б б в з жь в │
│ВОМЬ СТЫП МЕП ПЕРЬ ПРЕМ ФСЯЙ СЕС КИШ ФУЛЬ ПУФЬ │
│ │
│ з в в жь о жь з в │
│КАСЬ ФСАФ МЮНЬ МЁРЬ ЗОШ ЖЁШ ТРАС ЧТЫФ ДУН ГУХ │
└─────────────────────────────────────────────────────────────────────────┘
Таблица Б.542
┌─────────────────────────────────────────────────────────────────────────┐
│ б жь д я ь в б в в │
│ЗНАП РОХ ШАШ ХИТ ЧАЩ РУФ ЗИПЬ ЛЫФ КАФ СКУН │
│ │
│ иб жь з д │
│ШЫПЬ КАШ ВЕЦ ПЁЛ ХАР ЗЫР СЭМ ЗЭМ ШТУСЬ ДЛЮТ │
│ │
│ д б б г в ь д │
│РЁМ ЛОТЬ ВЫЛ РЁПЬ НИП НАК ПЫХ СЮФЬ ВЕЧ СЁТЬ │
│ │
│ ь в ь д з в д │
│КРАЧ ВЫФ ПРЯЙ РАЧ ЗНУТЬ ГЕЦ ВИЗНЬ ЗЁС ФСИТ ФЫЙ │
│ │
│ г з э жь ь б з │
│ЛЁРЬ НЁК ДЕРЬ БИЙ ЗОС ЦЕШ ТАЩ ЦОП ГОЙ ПЛОСЬ │
└─────────────────────────────────────────────────────────────────────────┘
Таблица Б.543
┌─────────────────────────────────────────────────────────────────────────┐
│ ь жь з в │
│ПЕН НУР ФЕЧ ПИШ ШТАЛ НЭС КРУХ ХОФЬ БЮМЬ ТОЙ │
│ │
│ з б о з з з │
│ЁЛЬ ХАЦ ЛЮС ДАП МОСТЬ ЧЁЙ ТОЗНЬ ТЫСЬ НАСЬ ТЯС │
│ │
│ б с д г д жь │
│ТИМЬ ДЫП ШАЙ ЗДОТ ПЯК МЯЛЬ ТРОЛ ФИЛ ТЁТ НУШ │
│ │
│ г эд в з │
│БЯК СУН ХИСТ ВАХ ЖЕТ МЯФЬ ЗУМ СТУМ ПОСЬ ЛАХ │
│ │
│ сч жь г д з в з з │
│МЫН ЩИШ ЦУК ЛИЛ ДУНТ ЛУС СОФЬ МАС КОСЬ ЗУНЬ │
└─────────────────────────────────────────────────────────────────────────┘
Таблица Б.544
┌─────────────────────────────────────────────────────────────────────────┐
│ ь б д б ыв и б б │
│БЫЩ РЮП ЛИТ ЯХ ГАР БУП ЖИФ ЦЫР ТЕПЬ ПРИП │
│ │
│ ь з ь эб д д з │
│ТРУЧ НЁСЬ ПРАН СВАЧ ПУН РУЙ ШЕПЬ ДАТ МИТ ГИСЬ │
│ │
│ д в з в з │
│СИТЬ ХУРЬ ЧИЦ ПРОФ ТЫСЬ РЫФЬ ГУНЬ СЫС СЯСТ ТАР │
│ │
│ сч сч яв жь с г │
│СЁМЬ ХОЛ ПАЛЬ ЛЕЛЬ ЩИМ ПЁСТ ЩАФ ВИШ ВАМ ЗДЯК │
│ │
│ д д ь б │
│ТРЮЙ ТРЯНЬ РЕТ ШАТЬ БОЩ РЕЦ ЗАП РИН НЕХ ФАЦ │
└─────────────────────────────────────────────────────────────────────────┘
Таблица Б.545
┌─────────────────────────────────────────────────────────────────────────┐
│ э ь в в в ёз │
│БОМЬ РАЛЬ ШЕН САЩ БАФЬ ЖАФЬ КОР РЯФ СКЕР ШОС │
│ │
│ б в з в г з │
│ЗЕНЬ ДЛОП ДРОЙ ДЯФ ДОСЬ НИСТЬ СТАФЬ ДВЕК НОХ ЕСЬ │
│ │
│ д жь │
│ГЕНЬ ДЯН ШУХ ТРЕЛ СТЕТ МУХ РЫШ ЧТУМ ЧТАН БЕН │
│ │
│ г б в ю з д з │
│ЗАК НЕПЬ КАРЬ ЁЦ ЗУФЬ ЧУХ ЯЛ ВУСЬ БЯТЬ ТРИСЬ │
│ │
│ г в г г │
│СУЦ ВЁН НОК НЯРЬ ТЁХ ГОФЬ БЁЛ РЮК ЖАК САРЬ │
└─────────────────────────────────────────────────────────────────────────┘
Таблица Б.546
┌─────────────────────────────────────────────────────────────────────────┐
│ в в д ь з в сч в д │
│ ЦАЙ ЛОФЬ ФСАТЬ ПЫЩ ПЮС РИХ ДАЦ ЗЫФ ЩИФ ШТУТЬ│
│ │
│ г г б в д │
│ СЕСТ ЧТИХ СТУР КОЙ ВОК ТЁК ПРАПЬ КИФ ХАТЬ ЖАНЬ │
│ │
│сч о б з в д в │
│ ЩЁЦ САР НЁПЬ СТЫСЬ ЛУФ ПРЮТЬ БЯР ТИН ДЫФ БЭЛ │
│ │
│ в э г д в д в д │
│ БЫФЬ ШЕЙ СЫК СУТ РЯН РЕФ РЁТЬ ФОРЬ БЁФ ПРАТ │
│ │
│ в в ь в г з б б │
│ ФСИФ КРУН БУЧ ПУЗНЬ ТЮФ ФЫК СУРЬ НУСЬ РЯП ЗЭП │
└─────────────────────────────────────────────────────────────────────────┘
Таблица Б.547
┌─────────────────────────────────────────────────────────────────────────┐
│ д д д │
│ ДОНЬ ПРЫМ ГАЙ СВЕХ ВЕТ ЦЫЛ ЧИЙ СЫТЬ ДОХ ДЛЁТ │
│ │
│ о б ёг з з │
│ ЦОР ЧЁМЬ ПЫП ЖОК РУС ЗОЛЬ СЮС ТРИХ МИЙ СЮЛ │
│ │
│ в ь з д д б б г │
│ КЕФ ВАРЬ ФИЩ БАРЬ ДЛУС НАТЬ ШУТЬ ТУПЬ ГЕПЬ ВУК │
│ │
│сч д ь б з в ь │
│ ЩЕМ ТРАТЬ ДЯНЬ ПИЩ ЗОПЬ ДЮСЬ ЁР ЗЕФЬ РЫЧ ДВАР │
│ │
│ з ь з д яг │
│ ПЁЙ ЗНАСЬ БЕЧ ДУСЬ ПЛЁТ РАР ВЯЙ ЗАХ ЧАК ПРИХ │
└─────────────────────────────────────────────────────────────────────────┘
Таблица Б.548
┌─────────────────────────────────────────────────────────────────────────┐
│ б в д в б │
│СЁЛЬ НЫП ДОЙ СОМЬ ВИФЬ ЗНУТ КЕЗНЬ МУЙ ХИФ СИП │
│ │
│ ь б з │
│КИР КОЦ ТРОЙ ТОСТЬ ЯЩ ЗИХ ВЁП МЁЛ ФУНЬ ЧТУС │
│ │
│ жь з в ыз д г эд │
│ТРЁШ ГЕСЬ ДРАЛ СКЕН ХАФЬ ЖИСЬ ДЕЙ ФАТЬ ЗЭК ШЕТЬ │
│ │
│ д в ё ь б з з д │
│ЛЕТ САФ ШОЛЬ НЕЧ НЯЦ РЁМ ПРЕП РЮСЬ КРАС СКУТ │
│ │
│ ь ь жь д з в г д │
│ТОЧ ЛАЩ БОШ НАТ БОМ ВОСЬ ДЯФЬ ШТАН ТЫК ПЕТ │
└─────────────────────────────────────────────────────────────────────────┘
Таблица Б.549
┌─────────────────────────────────────────────────────────────────────────┐
│ д г з в б з ь з │
│НЕНТ НИХ СЕК ЧЕЛЬ ТРЯС КУФЬ НОП ГАСЬ РОЧ ТАСЬ │
│ │
│ в б з б д жь │
│ТОФЬ ТРЕП ДИС МЯП ШТОХ ГУТ ТЁШ ГОМЬ КАМ ПЭР │
│ │
│ в жь з б б ь │
│ПЛАМ ФСЮШ БЯРЬ СТОНЬ МЯС ДОЗНЬ ШУП РОП ПЫХ ЗЯЧ │
│ │
│ з с д г д г жь │
│МЭС МАХ БЯМЬ ЗДОТЬ ЗЮК БОТ ГУК ЕЛ ЛЯР НЕШ │
│ │
│ жь б ь б в в б │
│ЛЯШ НЯПЬ ЛЁЧ МЮЦ СОП ГИФ РОФЬ ПАП ХЕНЬ ДЕР │
└─────────────────────────────────────────────────────────────────────────┘
Таблица Б.550
┌─────────────────────────────────────────────────────────────────────────┐
│ д б з б сч │
│ХУТ ЖУН ЛИПЬ ЛЫСЬ ТРУПЬ ШАМЬ ЛЁМЬ ЛЮН ЩЕЙ ЧИРЬ │
│ │
│ в с ь з э жь │
│НУЛ РЫФ ФЕЙ ЗДЯЙ ПУРЬ ШУЩ МОС НИН ЖЕШ РЕЛЬ │
│ │
│ д д в з жь з │
│ВЯНТ ТЯРЬ ЛУТЬ НЮФ ХОС МИШ ЗУС ВЫЦ ЦОЛ ВУХ │
│ │
│ г з б │
│ТАЛ СВОК ЧТЫСЬ ТОП МАЛ НАМ ЧТАРЬ ЕХ СТЕМ ЯНЬ │
│ │
│ ь б сч яз в б ь з │
│ДЕЩ ХАПЬ ВЫН ЩАСЬ ПЯР ПОФ БУП ПАЧ ЮМ ШАС │
└─────────────────────────────────────────────────────────────────────────┘
Таблица Б.551
┌─────────────────────────────────────────────────────────────────────────┐
│ д жь з ь оз з │
│НАТ НАСТЬ ГОШ СВАХ ЯС ПУЧ БУЛ ШЁСЬ ВИС ФЕР │
│ │
│ з з б д г д в з │
│ФУС ТИС ЧТУПЬ БЮЙ ТОТЬ РОНЬ ЛЁК ДАТ ЛЁФЬ ПЕС │
│ │
│ в з б в │
│КРУФ МОН ВАС ШАМ РОХ МЫПЬ ЛЫНЬ ТАР ЧИФЬ ПЯХ │
│ │
│ з з ыв │
│ПРАЛ НЯЛ ХУНЬ ТЫФ ЗАМЬ БУС ПИНЬ ПАСЬ ШИФЬ ФАР │
│ │
│ б д в д в з д сч з в д │
│ВЫП ДЯРЬ ВОТЬ ФСЫТ ФСИС ТЁНТ ЩЕСЬ ЁФ ШУР ЗИТ │
└─────────────────────────────────────────────────────────────────────────┘
Таблица Б.552
┌─────────────────────────────────────────────────────────────────────────┐
│ жь г с з и жь б │
│БАЙ ВЫШ РЕХ БЫЦ ФЭК ЗДЯСЬ ЦЫХ МЯШ ЖАЛ НИПЬ │
│ │
│ в сч ь ь │
│БЯЛЬ ФСЯМ ЩЕРЬ БЯЧ ВЕЦ КЕНЬ БОН СУМЬ ДУН ДЯЧ │
│ │
│ д б б ы в в │
│ТУТЬ НОНЬ СВЫЛ ЗОПЬ СЁП ШИЛЬ ПАЗНЬ ПАФЬ ВЕН ЧТЕФ │
│ │
│ ь ь д д з │
│ТАМЬ ХОЩ СЮЩ ДЯЛЬ КОНТ ДВЯТЬ ТИЙ ВЯЛЬ ПЛЕСЬ ЛИН │
│ │
│ ь з б ог б г з ь б │
│ДЫЧ ПЛУЙ СТОСЬ МИП ЧЁК ДЛАП ПРЁК ПРОСЬ ЮЧ СЭП │
└─────────────────────────────────────────────────────────────────────────┘
Таблица Б.553
┌─────────────────────────────────────────────────────────────────────────┐
│ б эв б ыд д д │
│ЕП ЖЕФ ЖУЛ ХАПЬ СКИЙ РИЛ ШИТ ФИТЬ ЛЯТ КУРЬ │
│ │
│ д з сч ог жь д ь ид │
│ФЫТЬ ДРАСЬ ЩЁК БЮЦ СЮХ ПОШ ПРЯТ ГИЩ ТРИЦ ЦЫТЬ │
│ │
│ ь э б ь эд з в │
│СУХ КИЧ ШЕР МАП ПРУЧ ЦЕТ ЧТАСЬ РЯР МЁН ФИФ │
│ │
│ ю ь д з б │
│САР ЧУЧ ДЛЕН ЗЯТ НАЛЬ ВОЛЬ ЗАСЬ ЛЕП СЫРЬ ШУЦ │
│ │
│ б в б жь в о з г │
│ТРАЙ ЗЫЙ БЫП СКОФ ЛАПЬ РУШ КУФ ШЁНЬ ТРЕСЬ КУК │
└─────────────────────────────────────────────────────────────────────────┘
Таблица Б.554
┌─────────────────────────────────────────────────────────────────────────┐
│ ь в б г в ь │
│ВУЧ РЁФЬ ДЯСТЬ МУР ГЕЙ ФОП РУЦ ДЕК СОФ ЕЩ │
│ │
│ д з з з ь │
│МЯЙ ЖАЦ ХИН СТЯТ ШТЫС ЛОС ПУЛЬ РАЛ ЗУСЬ ЛЮЧ │
│ │
│ в д жь д д ь │
│ТРЯФ СОСТ НЕЙ РЮТЬ ПЕШ ГАЛ БЁЦ НЁТЬ ХУТЬ ШТАЧ │
│ │
│ э в з д ь в в │
│ЧЕН ДИМ БАФ ДЁСЬ ЛЕТЬ НЕЩ ТРУФЬ ТАФ ЮР КОЛЬ │
│ │
│ в с з з г сч я │
│ТУЙ МЕЙ СТУФ ЗДОСЬ ХОС ВУЙ ЗЕРЬ ТЫНЬ ЗНОК ЩАМ │
└─────────────────────────────────────────────────────────────────────────┘
Таблица Б.555
┌─────────────────────────────────────────────────────────────────────────┐
│ д з г з з я г д │
│КРАТ БЕМЬ РЕС ХЕК НЯС ДОС ЧАЛЬ ПЫК ЦАТ СИЛ │
│ │
│ д ь б д б г з в │
│ВАНТ ПЮЛ РИЧ ЧТЫПЬ ТЁТ МЮЛ ТЕП СТАК ЗНАС ГАФ │
│ │
│ д б д ь д з ы ь │
│ТЯТЬ НЫХ РОП ТЕТ ЗЁЧ ГУРЬ ТРЫТЬ ТЮСЬ ЖИЧ ЗОХ │
│ │
│ з д в г г │
│ЗУЛЬ ЕР СЕСЬ РОТЬ ЛАФЬ ДЮЙ РЕН ПРЮК ДЫК ТРЮРЬ │
│ │
│ з жь б г жь г │
│ЛОРЬ НУС РЫНЬ САШ ДАП ШТОК НЫЛ ГОМ НИШ НУК │
└─────────────────────────────────────────────────────────────────────────┘
Таблица Б.556
┌─────────────────────────────────────────────────────────────────────────┐
│ д ь д ё з │
│ГИЛ БУТ ГУЙ ЗЁЛЬ ЛИЛЬ ТЮЧ РУТ ЖОЛ ШТЕМ ДАС │
│ │
│ з г сч ю д г в │
│РОС ЦУЛ РЯЦ ГАК ЩУЛ РЮТ ВЁР ТУЗНЬ МОК ХАФ │
│ │
│ в яв в з д з б │
│БИФЬ ЧАФЬ ЗОФЬ СУС НУЙ ЦАН ЛАТЬ ДВЕС ТРЁЛ ЦАП │
│ │
│ з г д д в д │
│ЗАС СТАК РЁНЬ КУТЬ НЯТ КРЫЛ БАЛЬ ЕФ ЗНОТЬ БЯЛ │
│ │
│ ы б ь ь з │
│РЫР ЖИРЬ ДЕПЬ КЕСТ ПРЯЧ НОМ ФИЙ ХОЧ ЗУЛ РЕС │
└─────────────────────────────────────────────────────────────────────────┘
Таблица Б.557
┌─────────────────────────────────────────────────────────────────────────┐
│ ь б в б ь д д в │
│ЕЩ ЯП ЗАФ СЁРЬ ХИРЬ СЯПЬ НУЩ ЧЕТ РИТЬ ПЕФЬ │
│ │
│ д з з в в с э ь │
│МЭТ БЁМЬ ПЛУС ТРЮСЬ ШАФЬ СВОФ ЗДАЛ ВЁСТ ВУЦ ЖЕЩ │
│ │
│ ю з з в б в │
│ЧУЛЬ НАС ЛАМЬ ДЫСЬ ПЮФ КАПЬ СЫЛЬ ДЯФЬ ЗАМ МИЛ │
│ │
│ б сч юв г г │
│БЫПЬ ЩУФ ЗЯМ СИН ЗИМЬ ЧТЫК ТРУК ВУЛ ЮЛ ДРЕЙ │
│ │
│ в д │
│ХЕФЬ САЛЬ НУРЬ ПУСТ ВЯТЬ ЗЕЛЬ ТУЛЬ ЛОН ТАХ НЕЛ │
└─────────────────────────────────────────────────────────────────────────┘
Таблица Б.558
┌─────────────────────────────────────────────────────────────────────────┐
│ в з в в з з з з │
│КОФЬ ФОСЬ ТЫЦ ГАФЬ ТРЫФ ФАРЬ ЛЁСЬ ДЛЕСЬ СКОСЬ ЛУСЬ │
│ │
│ б б д б з ь сч од жь э │
│ФУПЬ НЯМ МЯПЬ БЯТ РЁП ХОСЬ ШАЧ ЩЁТЬ ДЁШ ШЕЦ │
│ │
│в в б жь в оз │
│ФСЯФ ЛЕЦ РОМЬ ЧТЫЛЬ ТЯЛЬ КРАР ПЯП СКЕШ СЫФЬ ЧЁС │
│ │
│ ь ё в ь ь жь б │
│СЕЗНЬ РИЧ ШОЙ ЛЯР СТОФ БЯЩ МЮЧ ТРЕШ ЗОНЬ НЮП │
│ │
│ д б ь │
│ПРУТЬ ЖУЦ ЖАП БОНЬ ДАМЬ ЛЫЩ ДЛАМ ЧИМ ГИХ ВЕНЬ │
└─────────────────────────────────────────────────────────────────────────┘
Таблица Б.559
┌─────────────────────────────────────────────────────────────────────────┐
│ д ь жь б в б │
│ШТЕТЬ СЕХ РЮЛ СТУЧ ФЕН ДОРЬ БЫШ ВИП РУФ ВАПЬ │
│ │
│ б б г д з в з ь │
│ШУП КИХ КЕПЬ ПЛЕК ЛЮТЬ ЮС ФСЕХ РАН ПРЁСЬ ВЫЧ │
│ │
│ б э г д з │
│ХАЛ ТРИПЬ ШУЙ НУСТЬ ШЕНЬ СЫРЬ ПЭК НАЛ ДЮТ ДУС │
│ │
│ жь б д │
│МИШ МЯРЬ ТРОЦ МАХ ТЫР НИРЬ ПРЮП ПЁТ ЁНЬ БАМЬ │
│ │
│ д з в в в │
│ПЫН ДАСТ ДИЛЬ СВАЙ ПУЙ СЮТЬ ТОС ТУФЬ ТИФЬ САФЬ │
└─────────────────────────────────────────────────────────────────────────┘
Таблица Б.560
┌─────────────────────────────────────────────────────────────────────────┐
│ в г ь д б г д │
│ВОРЬ ФСАК ПРЫЧ ПАМ ФИТ КОР РЭП НЁК НЫЦ ФЫТ │
│ │
│ жь г г г г │
│ПРОН ВАШ ЗНЮК СТЯН ТЕК ХУН МЁК ГЕР ДУМ ПОК │
│ │
│ жь в жь з з │
│ТАН ГОРЬ РАШ ГУР ЛИФЬ ВИЛ ЗУШ НЕС ДИЙ ТЁСЬ │
│ │
│ э ыз ь д з д │
│БИН ШЕЛЬ ПИЙ МАЛ ШИС РАЩ ПАТЬ ПОС БЭТ ШТУН │
│ │
│ г сч д с с │
│ЧТИЛ ЛЕК ЩИЦ ДЫТ ЧТАХ ЦОХ МАЗ СОРЬ НЁЦ ЗДИХ │
└─────────────────────────────────────────────────────────────────────────┘
Таблица Б.561
┌─────────────────────────────────────────────────────────────────────────┐
│ б г ь д │
│ГОР РИЦ РЕП ПЭК ЕЩ НИЦ СЮР ЗАР НЯР НОТ │
│ │
│ з д з │
│ВЯЛ БЯЛ ЧИР ДЁХ НИНЬ ЛОС КРУМ ТАНТ ПРЫСЬ ХОЦ │
│ │
│ з д в б ю в з │
│КАС ЗОТ МЫФЬ БЁП БЕРЬ ЧУЛ ЛАФ МУНЬ ЗУР ПЛАС │
│ │
│с г з в б │
│ЗДОН КАМЬ ВЫН ДРАН ФОР МЯК НЫСЬ ГОЙ ПЫФЬ ВЕПЬ │
│ │
│ б ь д в с з д │
│ЛЫП ВЫХ ВЁЧ ШТАТЬ КУХ ФСЯХ ФИХ ФЫНЬ ЗДЯС БЯТ │
└─────────────────────────────────────────────────────────────────────────┘
Таблица Б.562
┌─────────────────────────────────────────────────────────────────────────┐
│ из ь ь б │
│ТОНЬ ШЫС ЛЁЦ ЦУМ ПЮЩ ВЯЗНЬ ТАЧ СОРЬ ХИЛЬ ТАПЬ │
│ │
│ б э ь ы б з з │
│САХ ТАП ЦЕЙ БЫЩ ЖИНЬ ЖАПЬ СТУС ЛЕР ЗЁМ СЕСЬ │
│ │
│ жь жь ь д д б │
│ПЕШ ГИШ ЧТАР ПРАЧ ДЛУТ ТРЮХ КИНТ СЫЛЬ ПРИЛ ЧТИП │
│ │
│ в з д д э ь з │
│ЛЯФ ПОЛЬ РЁС ПЁНТ ЧТЫТ ШЕЛ ТУЧ ЛУЛ ТРОСЬ ДЕМ │
│ │
│ д я ь ь жь э б ь б сч оз │
│ВОТЬ ЧАЧ КЕЧ СТОМ ТЮШ ЖЕР МИПЬ НЯЧ ЛИП ЩЁС │
└─────────────────────────────────────────────────────────────────────────┘
Таблица Б.563
┌─────────────────────────────────────────────────────────────────────────┐
│ б ё в в б │
│ ПЁП ШОР СТЕЛ ЗЯН БИФ ТЭФ ДЯЛ ЗУЦ НАХ НЕП │
│ │
│ в б д б б г │
│ СКАН ЕФЬ ДОП ШАЛ РИТ ТИПЬ ЗИН РЫПЬ ДЛЁК ВУМ │
│ │
│сч юд б в ь в ед з │
│ ЩУТЬ ШАП ВУФЬ ЗАЧ ШАФЬ ТРИМ НЭТ СУСЬ ЯН ЗЕМ │
│ │
│ з в з з │
│ ТРЁЦ ЗУЙ ХУС СУЛ СЁСТ СЫФЬ СВАСЬ ЧЕЦ ФАСЬ БИНЬ │
│ │
│ ь д з э в │
│ БУЩ ПОР ЛУТЬ РЫХ ТРИЙ ПЁХ ПРУМ ЦОС ШЕЦ РЫФЬ │
└─────────────────────────────────────────────────────────────────────────┘
Таблица Б.564
┌─────────────────────────────────────────────────────────────────────────┐
│ б з │
│ТРЫМ НЁРЬ ГИН ФУП ПАЛ НУНЬ ВАС СЯЦ МЁР РАЛЬ │
│ │
│ в б ь ь з │
│САМЬ ХЕН ЗОМЬ ТЫРЬ НЕФЬ НАП ПЛЕЧ РЕЦ ЦЫЧ ГЕСЬ │
│ │
│ о з │
│БАЦ ГУНЬ РИЙ ПЯМ РЕМ ЧЁРЬ ШТИС ТЯР МЯЦ МАН │
│ │
│ в жь в жь ь г │
│МЕН БУНЬ НИСТ ГУФЬ ХАШ БУФ ШУН ДЫШ НУЩ ВОК │
│ │
│ ь в жь о з │
│МАЩ ФСЕШ ЖЁН РУН ВИСЬ ФЕМ ЛЁМ ДОСТЬ РУХ ХАРЬ │
└─────────────────────────────────────────────────────────────────────────┘
Таблица Б.565
┌─────────────────────────────────────────────────────────────────────────┐
│ г в г в з з г г │
│ЕК ФСУК ДЕФЬ ТЮСЬ ДВАЛ СКЕХ КРАС ПРЕК ДЮНЬ ДАК │
│ │
│ д г │
│СВУХ СИЙ ЗНЕН КИР БОТЬ ТЕРЬ ДЕМЬ СЁНЬ КИМ ХУК │
│ │
│ д в сч ю в ь ь │
│ДЯТ РИЛЬ ПУНЬ СТЫФ ЮЛ ШТЫН ЩУМ ЖУФЬ КОЧ ТРАЧ │
│ │
│ ь в │
│ДЯЧ КОЦ ЗНОХ ДУФ ДОЦ ЁНЬ НЯЙ ТЁЛ БУН РАХ │
│ │
│ жь ё з сч з │
│ПУШ ШОЙ ЛЯЙ ЛЕСЬ ЩЕЦ ЧТУСЬ ТУН ГАР ПРЯМ МЮМ │
└─────────────────────────────────────────────────────────────────────────┘
Таблица Б.566
┌─────────────────────────────────────────────────────────────────────────┐
│ д г в б д │
│ТРЁТ БОЦ ДЛАК ДЁФ ДЕЦ ПРАЦ ВУПЬ БЯЦ РИНЬ ЗНЕТЬ │
│ │
│ г э д д б б │
│СЯХ ЧИК ШЕР ДЯМ ТЕЙ ВЫТ ТАТ НЕЙ ПЛУП ЖУПЬ │
│ │
│ ь з з с жь │
│ПОЩ ЁМ ПРЫС КОСЬ НОЦ БУРЬ ЗДЕХ ЗЭМ ЮШ НЯЛ │
│ │
│ з з я жь в з г д │
│ДРЕС СТОРЬ ЗОСЬ ЛУР ЧАШ ГОФ ГАМЬ ЛИСЬ МЫК ДВИТЬ │
│ │
│в д ь з б │
│ФСАЙ СЕНТ ГОЧ КАНЬ ДЮР БИЛ ЛЫС ЗУПЬ ГИР ПЁЗНЬ │
└─────────────────────────────────────────────────────────────────────────┘
Таблица Б.567
┌─────────────────────────────────────────────────────────────────────────┐
│ б з б з г б жь │
│ЯПЬ ЛЕХ РЁС ЛЫПЬ ХИС ВАК ЛЁПЬ ЗНОЛ НЯСТ ФОШ │
│ │
│ жь ь ь в в б │
│БЕШ ХОХ ВОЧ ГЕЦ ТЫЩ ТЫЙ ШТАФ ТАЛЬ БЫФЬ РЫП │
│ │
│ б сч б в з з │
│СЕПЬ ЛИЙ ЩЕПЬ ТУН НЫФЬ ЗЁЦ КРАМ ВЯМ ХУС НЯС │
│ │
│ д з б сч ю сч ю в ь │
│ШТИТ ПЫСЬ ВЁСТ НУПЬ ГАЦ ЩУЙ ЩУХ ЛЕН ФСЕМ ДЕЧ │
│ │
│ з эг д д д в ь │
│МАС ЗЕР ТРИН ЦЕК КОТЬ СИТ НЁТ БЁФЬ КИЗНЬ ЗОЩ │
└─────────────────────────────────────────────────────────────────────────┘
Таблица Б.568
┌─────────────────────────────────────────────────────────────────────────┐
│ д з │
│ЮТЬ РЯМ ДУЦ ДЛЕС ТЁРЬ ПРЯЛ ЗАЦ ПУЦ СВУЛ РЕРЬ │
│ │
│ б з з │
│НАЙ ВЁХ БУПЬ ЗУХ ЗЯСЬ ЧТИМ ПРЕСЬ ТЮХ САЦ ТИНЬ │
│ │
│ ив жь д жь г ы │
│ЦЫФ ЛЮР СТЫШ САНЬ ЖАТ ЖУШ ХУК ЦИРЬ ФОЛ ТУРЬ │
│ │
│ ь б д ёд ь з з │
│ТРЁЧ ДЕП СТУТ ДОСТ ШОТ НУЧ ВЫЛ ГУС РЯНЬ ДОСЬ │
│ │
│ ь в б с з з д б жь б │
│БЮЧ МЁФЬ ВУРЬ НИПЬ ЗДАС РОСЬ МЕТ РИП НЕШ ТРОП │
└─────────────────────────────────────────────────────────────────────────┘
Таблица Б.569
┌─────────────────────────────────────────────────────────────────────────┐
│ ь в оз ю ь │
│НЕР РЫРЬ МУЧ ВЕНЬ ТОФ ШУР ЖЁСЬ ЧУЦ ХЕЩ ЧТЫМ │
│ │
│ в в │
│ЧТАФ МИХ СЫМ ВИРЬ ДУР ФАМ ДАФ ПОМ ЗОМ РИН │
│ │
│ в д ь б │
│ШТЫР КАФ ШАН СКАТЬ КИРЬ ФЕЛ ЁЧ ШУПЬ РЮЛ ПИМ │
│ │
│ в в б ы э в эг ь з │
│МОФ СЁФЬ МЮПЬ ШИМ ЖЕЛ ПЕФ ШЕК ПЕЩ ТРЫНЬ ПЛИС │
│ │
│ ыв шь ь з д в б │
│ШИФЬ СТЕЙ НИЖ БОЛ ЛОЩ МЯН КЕСЬ ТЫТЬ КАФЬ ДЫП │
└─────────────────────────────────────────────────────────────────────────┘
Таблица Б.570
┌─────────────────────────────────────────────────────────────────────────┐
│ г б в з ь д │
│ТЯК ЗАПЬ КРУЛ СУФ МЯСЬ ФИЧ БАРЬ СКИМ БАТЬ КОР │
│ │
│ г з з в б жь │
│СЁК СОСЬ ПЯРЬ РАМЬ ЗИСЬ ГЕЛ ДОФЬ РУП ЦАШ ФУРЬ │
│ │
│ б в д жь д д │
│ПРУЛ РЭП ВАФ НОЙ ЕТ ТРАШ ДЯТЬ ТРИЛЬ СЫЦ ЧТУТ │
│ │
│ в сч ов д о ёб в │
│ХАРЬ ПУН РАФ ЩЁФ БЮТЬ ПРИМ ЧЁЛЬ ТАСТ ШОП ФСЁЛ │
│ │
│ в з г д ь д │
│ЛЯНЬ ЦОФ ПЮСЬ СВАК СИТ ХАЧ НАРЬ ПАРЬ СУЛЬ ЛАТЬ │
└─────────────────────────────────────────────────────────────────────────┘
Таблица Б.571
┌─────────────────────────────────────────────────────────────────────────┐
│ г д д в б │
│ПЁМ ПЫК ДЛИТ ТЭН ШТЕТ ЗУРЬ СТЕФ БАМ ВЯРЬ РЫПЬ │
│ │
│ д ь ь б з ь │
│ТРЫТ ГУЛЬ ГАЧ МЕЩ ДЕПЬ НУЦ ЗИНЬ ПРЁС СЫЛ ТРОЧ │
│ │
│ жь з б з │
│КРУШ ЗЁХ МАР ТУС ДИР ЛЁЦ СТУЙ БЫП РЮМ СУС │
│ │
│ з з г ь ь з │
│ГОСЬ ТИС ЧЕРЬ ПОК ШАЩ ШУЧ ДЕРЬ ТАСТЬ ЁСЬ ВИМ │
│ │
│ жь в в в в з сч д з д │
│ДЯШ СЕР БОНЬ ФСЕФ ДЫФ ФСАСЬ ЩИЙ СИТЬ НЁС БУТ │
└─────────────────────────────────────────────────────────────────────────┘
Таблица Б.572
┌─────────────────────────────────────────────────────────────────────────┐
│ ь б з в в б │
│ШТЕН РОНЬ ХОНЬ ЧИЩ ПЯПЬ ЗЯС РАФ ДЯЛЬ ХЕФ ШАП │
│ │
│ з о жь сч в б │
│СКОЙ БИСЬ ЧЁНЬ РИЦ НОМЬ ПИЛ НУЙ ТАШ ЩЕФ ПРОП │
│ │
│ б в з з жь в │
│ЛЮЙ СОПЬ ТАФ ТРЁМ ВЁС МУСЬ НЯШ ВУЛ ЛАФЬ СВОМ │
│ │
│ жь ь д ь б │
│ЗАШ БЁЧ ХАНЬ МЫТ ДАХ НЕЩ НЁЦ ЛАМ ТЕЛ РИПЬ │
│ │
│ д в жь б жь │
│ЗАРЬ НЯТ ПУР БЕФ ТЫРЬ ПРЫШ РЭП БЯШ ДЕЙ ФЫХ │
└─────────────────────────────────────────────────────────────────────────┘
Таблица Б.573
┌─────────────────────────────────────────────────────────────────────────┐
│ жь ы з д │
│ВЫШ ГУЦ НИЛЬ САЛЬ ПРЯЦ СТАМ ШИР ЕЦ ЛЕСЬ ТРЮТЬ │
│ │
│ з г ь в э │
│ДУС ЮЙ НЕСТЬ КРОК РЮЩ НЕЛ ТРЯМ ТЭЛ ФАФЬ ШЕХ │
│ │
│ д жь ыз б д б │
│ХОТЬ ДРАШ СКИХ ЖИС КАП СТАТ ЛОЛЬ ВЫП РАЛ ВАНЬ │
│ │
│ эг жь д в ь д в в в │
│ШЕК ЖАШ РЕЛ КЕТЬ ЛЯФЬ ЛЮЩ ПЁТЬ МЁФ СИФ СЫФ │
│ │
│ з ь д г б жь д жь │
│КИС ВУЧ ЗНОТ ДАСТЬ СВЕК НЫП ЦУШ ФОТЬ РЕХ ВАШ │
└─────────────────────────────────────────────────────────────────────────┘
Таблица Б.574
┌─────────────────────────────────────────────────────────────────────────┐
│ д б в д жь │
│ЧТЫЙ ВЕНТ ЯМЬ МЮП ШАФ РЯЙ КАТЬ ХОШ ТЁЛЬ БЯМ │
│ │
│ б ь д д д │
│ЛЁП БЫЧ РОТЬ ЧТЫЛ ЗОТЬ НЯМ ПЛЕЛ ФУМЬ РЁЙ МЯТ │
│ │
│ з сч яг б ь д з з │
│ЦУСЬ ЩАК ЧАПЬ ХИЧ ТУЦ ШУЛЬ ЦОТ ЗНЕС ДЯС БЯНЬ │
│ │
│ б з ё жь д б │
│ЛИПЬ РОЦ ТРЕЦ ДВАСЬ ШОШ ЛЫХ ДЫЦ ВЮТ СИЙ ПАПЬ │
│ │
│ б д с з д жь д │
│МОП ДУТ МЯМ ЗДИСЬ ДЕТЬ СЯШ ШТУЛ МИТЬ ТРУЛ ЗИРЬ │
└─────────────────────────────────────────────────────────────────────────┘
Таблица Б.575
┌─────────────────────────────────────────────────────────────────────────┐
│ б в д в б г д │
│ПОПЬ САФЬ ТЮМЬ ДЛОТ ГЕФ КЕСТЬ ЦАМ ХУП ЗУК ЗОТ │
│ │
│ жь г д з жь з в │
│СИСТ ТОШ ЗДАК ГАН КАМ НАТ КАС ЛУШ ПЛУСЬ ПРУФ │
│ │
│ з з з в │
│ПАСТ ЧТАС ГИС НУРЬ ПРЮН ТЯЙ ЧИС НАЛЬ БАФЬ БУМЬ │
│ │
│ ь эв з д сч я │
│ВОРЬ ЯЧ ДОЛЬ ЖЕФЬ СЯСЬ ЖУЛ ГЕЛЬ ПЮТ ЕМ ЩАРЬ │
│ │
│ з з б г в д │
│ЖАМ ФИСЬ ТУН ФЕС ТОП ПОР ПЫМЬ ЧТИК ЗАЛЬ ФСЯТЬ │
└─────────────────────────────────────────────────────────────────────────┘
Таблица Б.576
┌─────────────────────────────────────────────────────────────────────────┐
│ жь б д ь │
│ЗЯШ ГАПЬ МЮРЬ СЁХ БИЦ НЁТЬ ТАЧ МЯНЬ ПРАНЬ ФЕНЬ │
│ │
│ в з в │
│ТУЦ ТЁФ ХОЛЬ ТЯХ РЁНЬ ДЛЮС ЗОРЬ ЛАЛЬ РУНЬ СВАФ │
│ │
│ сч яд г ь б │
│КУР ПЕН ЗНАХ ЩАТ ЧТАК ФЫЧ ВАЦ ТУМ РЮПЬ ПЮРЬ │
│ │
│ жь жь б д ыб з жь д в │
│ТРЫШ ЛАШ ПЛЕП ДРАТ СЁЛ ЦИП ШАС ЧТАШ ТРУТЬ БОФЬ │
│ │
│ в д в б жь │
│МОМ БЫФ ДУЗНЬ ШУНЬ РАТ ВЯЦ ЗНОФ ЖУП ПОР ЛЕШ │
└─────────────────────────────────────────────────────────────────────────┘
Таблица Б.577
┌─────────────────────────────────────────────────────────────────────────┐
│ ёб д од з д эв │
│ЧОПЬ СОТ ЖЁТ МЯС ШУТЬ СЮН ШЕФЬ ЦАР ТОНТ ЧИРЬ │
│ │
│ сч я г в ь д │
│ЛИЛ ЩАЦ ДЮК ВЫСТ ПИФ ЗАНЬ ЗОЧ СТЫРЬ КЕН ГОТЬ │
│ │
│ б с з д з д жь │
│ДЁР ТЕПЬ ЗДИС ХАТЬ ХАС ДИНЬ ЮМ КУТ ТРЯЦ ТЫШ │
│ │
│ ь д ь з г в │
│ДЯЧ БЭТ ЛЫЧ ЦОСЬ ВУМ ЛЯН СУЛЬ НЕК ГУФЬ РЕЙ │
│ │
│ з ь эв в жь э э │
│ХЕС ПОЧ РЯЛ ЦЕФ ФИФЬ СЫШ ЖЕЙ ШЕЙ СКОМ ТЭР │
└─────────────────────────────────────────────────────────────────────────┘
Таблица Б.578
┌─────────────────────────────────────────────────────────────────────────┐
│ ы в │
│ЯН ДОРЬ ХУЛ ДАН НАЦ ЧТУХ ШИЛ РАМ НЯЗНЬ ФОФЬ │
│ │
│ в б д ь з д │
│ФУЙ ЛЮФ БАПЬ ВУТ БЫМ КИЩ НЯСЬ НЭТ СТАЦ КАЙ │
│ │
│ д в б г з б г ь ь │
│ТЫТ ЗАФЬ НЮПЬ ЕК ПРЯС БЯП НИЦ РИК БАЩ ПРЕЧ │
│ │
│ б д │
│ВОПЬ ДВЯХ ЧТЕМ БЕХ СЫНЬ ЗЮЦ ЗЕЦ НИР ПУНТ КРОЛ │
│ │
│ д в в д з │
│НОРЬ ТИХ СКИТЬ ПУЦ КОФ ФСЕХ СЁНТ РУЦ ДЫСЬ ШТИН │
└─────────────────────────────────────────────────────────────────────────┘
Таблица Б.579
┌─────────────────────────────────────────────────────────────────────────┐
│ д д в д ь с в б з │
│ЛЕМ ПРОТЬ ТЯТ НУФ БЁТ КРУЧ ЗДАФ МАП ЛЯС САНЬ │
│ │
│ з з в ь жь з б │
│ДЯС МЫСЬ МЕФЬ ШАЩ БЮШ ЧЕС ВАН МУПЬ БЯР ВЁМ │
│ │
│ б ь э д в д в д │
│РЫП ТРЮЧ ЖЕЛЬ ПЕРЬ ТРЮТ ФСЮТ ГУФ ЛИХ СЯТ НЫР │
│ │
│ ь б в жь в │
│ХАЩ ТАП БУЦ ЗУН ЕФЬ ЗИЦ САЦ СЯЦ МЁШ ТЫФ │
│ │
│ я в д в д д │
│ДЯЙ ЧАР ДУМЬ ЗУФ ЁР ПЫТ ВЯХ ФСЭТ ПРИТЬ ГЕРЬ │
└─────────────────────────────────────────────────────────────────────────┘
Таблица Б.580
┌─────────────────────────────────────────────────────────────────────────┐
│ з д д д │
│ТАС КИСТ ШТЫТ СВЫТ ЛУРЬ ШТАХ РИТ КОЙ СТУНЬ НЕРЬ │
│ │
│ з г ё сч б б │
│ЗЫН ПЯС ХИК НЯЛЬ ШОМ ЩИХ ЗИНЬ ВЁП ПЛОЙ ФЭП │
│ │
│ в в сч б д г │
│ВЫФЬ СУФ ГУН ДЫЙ ГИЦ РЯМ ЩИП ДЫТЬ ПОМ ГОК │
│ │
│ д з з ь │
│ЛУЦ ЛЁТЬ ДЕЛЬ РИСЬ ТРЕХ ЕЙ СТЕС ЖУЧ НУМЬ ДЛОЙ │
│ │
│ ёв в ь б д │
│ПРАМ ШОФЬ РОФЬ ВЫЛЬ РЫЙ ГИЛ ПОЩ НАПЬ ТРАМ НОТ │
└─────────────────────────────────────────────────────────────────────────┘
Таблица Б.581
┌─────────────────────────────────────────────────────────────────────────┐
│ з б в в жь сч з б │
│ЧУС ПУРЬ ЖАП ПИФЬ БЯФЬ БИШ ЩЕС ЯНЬ ТЫМ БАП │
│ │
│ б г жь ь │
│ЦУЩ ВОП ДЯРЬ ЛЁК СВАЦ ХИШ МЯЙ МУН ТЮНЬ ГОЧ │
│ │
│ в в д г в в │
│ДЛАР ЗАФ СУФЬ ЧИТ ВОК ТЫФЬ ДОНЬ РЕН РИР ХОФ │
│ │
│ з з в з б в ь в │
│ДЁС ЗЕСЬ ПРЁР РЫЛЬ ФСЕС СЕП ВОФЬ КОЧ МЕНЬ ЗОФЬ │
│ │
│ в з б ь з в эг │
│ФАФ БЫСЬ ЛАПЬ ПУР РАЩ РЮМ ТРЫСЬ НУФЬ ВИЛЬ ШЕК │
└─────────────────────────────────────────────────────────────────────────┘
Таблица Б.582
┌─────────────────────────────────────────────────────────────────────────┐
│ э ь з │
│ЕЛ НЁНЬ ЖЕРЬ ЛЮХ САЧ ТРАЛЬ НУН ЗАС ЛУХ ДИРЬ │
│ │
│ д в з д ыб жь з │
│БЁТЬ ДЯЙ НЯФЬ СТУЦ ДВИСЬ СТАЛ СТОТ ШИПЬ ЯШ ЗУС │
│ │
│ эв в в б жь г д б │
│РАР ШЕФЬ РЮФЬ ЗИФ НАПЬ ДЯШ РЁК ЦОТЬ ПАП КАР │
│ │
│ д б б │
│ПАНТ ПЕП ВЫМ ЧЕПЬ ПЛАР ЧТЫХ ФУН ГИНЬ СИСТЬ ЖУХ │
│ │
│ г в ы д │
│МЮК МЫФ ГОНЬ СЭЦ ЖИН ШОЦ ТАТ БЭЛ ХАЦ НЕМЬ │
└─────────────────────────────────────────────────────────────────────────┘
Таблица Б.583
┌─────────────────────────────────────────────────────────────────────────┐
│ з ь з ё в д ь │
│КАМЬ ЛЯСЬ БАЩ РЯСЬ ЖОЛЬ ФИЛЬ ЛЁФ ДЭНТ КУСТЬ РЫЧ │
│ │
│ б в з г ыг ед │
│СЕП ЗНАФ ЗАМ ФЫСЬ ТРЯК ЦИК НОСТ ТРИНЬ ДЛЕЙ ВЭТ │
│ │
│ б сч д б г д │
│КУЦ ГУР РЯП ЩИР ДИТЬ МАНЬ БЯПЬ МОК НИРЬ СЭТ │
│ │
│ д жь в жь о ь │
│ЛОЦ ВЁРЬ ДУТ КРОЦ ЧТЕШ ТЯСТЬ СОФ ШАШ ЧЁР ПАЧ │
│ │
│ в б в д жь д │
│ДРАЙ ВЮФ ШАМЬ ПЫП БОФЬ ПРАТЬ ЗУШ ВАТЬ МЕМ КЕЛЬ │
└─────────────────────────────────────────────────────────────────────────┘
Таблица Б.584
┌─────────────────────────────────────────────────────────────────────────┐
│ з д ь д з │
│КОСЬ ЛУТ КРИХ ВОЗНЬ ДАЧ ТАЛЬ ЗОНЬ ПРУЙ СВЕТЬ ТРЁС │
│ │
│ б б жь б в д г │
│НЕЛЬ СЫП ЛЕП ТРОШ БУПЬ ПРЯХ ПОФ ФОТ ЗНУК ЁРЬ │
│ │
│ ь б в жь в │
│ГЕЩ МЯЦ ЗЮР РОП ЕХ РЫФ ВЫРЬ ПЫЙ ТЕШ ФСАХ │
│ │
│ д з з сч яб г с │
│ТОР ДЫТЬ СТЯСЬ СЁС ЩАПЬ КЕК ЗДИН ШУЛЬ ФЕЦ ДОХ │
│ │
│ э з с з г б д д д │
│ШЕНЬ ТУСЬ ЗДАСЬ ТРИК ТЯПЬ ШАТЬ ЧТАМ ЮН НИТ ВЯТ │
└─────────────────────────────────────────────────────────────────────────┘
Таблица Б.585
┌─────────────────────────────────────────────────────────────────────────┐
│ сч ь з б │
│ТИЛЬ ЩИРЬ ПЮР НЭР БЕЦ ЛИН НЯХ НАЧ ШТЕСЬ ХИП │
│ │
│ г в │
│ПРЫН НЁН СИНЬ ЧТУЛЬ ПЕК ШТЕР БУЦ СКЕФ РЁХ ЛИЦ │
│ │
│ з б в д в б │
│РУС ШТЫЙ САПЬ ТОФ ЗЯХ ДЭТ ГАФЬ ТИМ ДЕЛ МИПЬ │
│ │
│ ь б з г жь з я жь │
│ТОЩ ХАП ПЯСЬ ГАЛ ПРЮМ ПЛЁК СЮШ НОСЬ ЧАНЬ ГИШ │
│ │
│ з в д з в │
│СКАМ ХОР ЦАСЬ ФСЁТЬ НЫС СУМ ХОЙ ЛЫР БЮХ НЮФ │
└─────────────────────────────────────────────────────────────────────────┘
Таблица Б.586
┌─────────────────────────────────────────────────────────────────────────┐
│ з в в жь в г д │
│ЛИСЬ РЫМЬ ДИН КРАФ ФСУХ СЕШ ПУФ ГОК ПЛАТЬ ДЕР │
│ │
│ в б в г │
│СЯФ ХАР ШАЙ ГИП ДАФ ЖАЙ ГЕК ЛУЙ ТУЙ ЗУХ │
│ │
│ в жь в в в б │
│СИЦ ВУФ МЯШ СТАФ БОМ ЖАФ ЯЦ МУФЬ ЗУПЬ БУРЬ │
│ │
│ б в сч об с в │
│НЁПЬ ДРАХ ТРЯР ЗИФЬ ЩЁП ВЯН ПЯЙ ЗДАР НУФ ШУХ │
│ │
│ с д з д жь в д │
│МАРЬ ТАР ЗДЕТ ПРУС КРУТ ХУШ ДВАЙ ЧЕМ ВАФЬ ЗЮТ │
└─────────────────────────────────────────────────────────────────────────┘
Таблица Б.587
┌─────────────────────────────────────────────────────────────────────────┐
│ ь д з сч г │
│ХОЛ НЕЦ ХЕЧ РЫМ ХИТ ХОЦ ДЛОС ЛЮНЬ ЩЕХ МЕК │
│ │
│ б з в б │
│ПЯЛ НЯП САС СТЫН ГАНЬ СОЦ КАН БЯФЬ ЗОМ ДАПЬ │
│ │
│ з ь в з з б │
│СКЕСЬ ФИНЬ ЕЧ СКАЙ РЕФЬ МЯЛ ДЛЁС ВЕС ШТЕЛ ЛЁП │
│ │
│ о ь в эг в в │
│ШЁЧ ПУНЬ ЛЕФЬ ЖЕК КЕР ТРАНЬ ЦОФ ПЁФ РЁР ЗАЙ │
│ │
│ э з д д з б │
│ШЕЛ МОС БАЙ ЧТЕТЬ ТРЫЦ БЫН РУТЬ ГУМ ТЮСЬ ФАПЬ │
└─────────────────────────────────────────────────────────────────────────┘
Таблица Б.588
┌─────────────────────────────────────────────────────────────────────────┐
│ в б б ы з б │
│ ФСЕР НОР НУМЬ ДИР ЮП ДЯПЬ МЫНЬ ШИР СВАС ЦУП │
│ │
│ б жь г э д жь │
│ БЯН ПЕХ ВЕП ЗЯЦ ФОШ РЕК ШЕХ ТУТЬ СОСТЬ ЗНАШ │
│ │
│ в з о ь в б б │
│ РАЦ ДИФ МЮС ЖЁЧ РЮЛЬ КИФЬ ЗОНЬ БЮП СОЛ ЛУПЬ │
│ │
│сч о в д з в з │
│ ЩЁЙ ТАФЬ БИРЬ ПРОЛ ТРЕНЬ ЧТАТ БЫХ ЁС ПАФЬ КУС │
│ │
│ жь г д з д жь │
│ ЛЫН РУШ ПАК НАЗНЬ ЗЕТЬ ФОС ЕН ДИТЬ ХАШ ПРЫХ │
└─────────────────────────────────────────────────────────────────────────┘
Таблица Б.589
┌─────────────────────────────────────────────────────────────────────────┐
│ о б │
│ЧЁЛ ПЁНЬ ПРЁХ СЮП ДЁМ ПОЦ ТРУНЬ ТЕР ЛАР РУН │
│ │
│ г ь ыв яг д жь │
│СЭК ЗАЦ ТУСТ КУЧ ШИФ ЧАК СЁТЬ РЮШ НИМ ПЛЕМ │
│ │
│ в з д ь сч я д жь │
│ТРИФ БЕСЬ ГОЦ ПЫТЬ ЦАЧ ЩАЙ ГУТЬ ВАЛЬ БОЦ ДЮШ │
│ │
│ ь з в з │
│ЛИЙ НЕН МИНЬ НЫР ЛЕМ ЧИЧ ШУН ВЫС ШАФ ТОСЬ │
│ │
│ ь д б ь б │
│ЛЯН ТИЦ РЕЩ ДОТЬ ДЕЗНЬ МЁП ТЫЧ ТЁП ПРИНЬ БЯР │
└─────────────────────────────────────────────────────────────────────────┘
Таблица Б.590
┌─────────────────────────────────────────────────────────────────────────┐
│ в д д д ь д д │
│НЯХ ФСЁТ ТРЮН РЮТ СЭТЬ РЯХ ЗОЩ ВЫНТ ГЕТЬ ШТИМ │
│ │
│ в в з ь з жь │
│СТУЛЬ НАФ НИФЬ ЯМЬ ПРЮСЬ СУЧ ФУР БАСЬ ВИР НЫШ │
│ │
│ эз жь д в │
│ТЫНЬ ВУР РОРЬ ДЫМЬ ЖЕС КОШ ШТЕХ СВУТ ТЯФ ДЫЛ │
│ │
│ з в жь в д б │
│НАНЬ ХЕСТ ЗОСЬ ПЫСТ ВЁФЬ НЮШ ФЕФЬ ЗНУЛ СТЕТЬ КОП │
│ │
│ з г д б д в в о ь б │
│СЫСЬ ВЫК ЛОТЬ ЧТЫП СИТЬ ЧТУФ ЦАЛ СЫФ ЧЁЩ ТЫП │
└─────────────────────────────────────────────────────────────────────────┘
Таблица Б.591
┌─────────────────────────────────────────────────────────────────────────┐
│ б б с д б з │
│КАП БЕНЬ НУМ БЮМ ПРАП ГАЛЬ ЗДИТ ТЁЦ НЫПЬ ЮСЬ │
│ │
│ г сч я в в г з │
│ШУК ЗИМ ЩАЛЬ НЁХ ЧТЫФЬ КЭФ ЖАК ПОН САСЬ ТУНЬ │
│ │
│ з г ы │
│ФОМ РИЛЬ ХОСЬ ВЫЙ ПЕЛЬ МЯК ШТОН ЖИЛЬ ГИНЬ КУЛ │
│ │
│ г жь д в з ь г │
│ПРЫК ЛЮШ БЯЙ ЗНЁТ ТАЛ ФСАМ БОС ЗУЛЬ ПЕЩ ДЫК │
│ │
│ д в я з д г сч юз │
│СЫТ СЯФ ЧАМ ВУСТ ТРИС НОТ СУЩ ПЛОМ НЕК ЩУС │
└─────────────────────────────────────────────────────────────────────────┘
Таблица Б.592
┌─────────────────────────────────────────────────────────────────────────┐
│ э д д з э ь г з │
│СТАРЬ ШЕМ ЛЯТ ЧТЕТ ТРАСЬ БЁЛЬ ШЕЧ СКОК ГОС ТЁЛ │
│ │
│ з з ь о ь г │
│ТЫС БУСЬ ДУЛЬ РАХ СКЕМ ПРОХ ХИЙ ПИЧ ЖЁЩ МЕК │
│ │
│ з ь юд з ы жь │
│ТРАН ГУЙ ПРИСЬ СОЛ РЁТ ДОЙ ЛИЧ ЧУТ ДЛАС ЖИШ │
│ │
│ жь г жь в жь │
│ЗОЛ МАР СЕШ ДЯК ЧТАМЬ ПЮСТЬ РИШ СТЯФ РЫШ ЛИРЬ │
│ │
│ д ь з ь б │
│СТАЙ ФУТЬ ЗУЧ НЯСЬ МЯЩ ВИХ КОЛЬ БЫН СУПЬ ЗОЦ │
└─────────────────────────────────────────────────────────────────────────┘
Таблица Б.593
┌─────────────────────────────────────────────────────────────────────────┐
│ сч о б ы д в б │
│ДАМ ТОЙ ЩЁМ ДИПЬ ДЁРЬ РУЙ ШИН ХАНТ ХУФЬ ВЯПЬ │
│ │
│ жь в д │
│ПОШ МЮЙ ДЮЛЬ ТРЮЛ ЧИФ МОРЬ РУХ НАНЬ ПЮЛЬ ЛЫТЬ │
│ │
│ в б д д з г в │
│МУФ КИП ЗНЕТ НИНТ ДЯЦ ПУСЬ ДЯК ГИФЬ ЛЕЛ ЛЁХ │
│ │
│ б г жь з │
│ВУХ СЁПЬ БИК СИХ НЫШ БУЛЬ ТАР РЁЙ ФЫС ПЮСТ │
│ │
│ з з в д з д в │
│ТЯСЬ ТАР ХУСЬ ЯФ НУТ ЕС ЗЁЛ ТЯНТ ЮРЬ ВОФ │
└─────────────────────────────────────────────────────────────────────────┘
Таблица Б.594
┌─────────────────────────────────────────────────────────────────────────┐
│ з в д в жь сч юд с ы │
│ТУЛЬ РЯС БЯФ ПОТЬ ЁФЬ ГОШ ЩУТ ЗДАХ ХЕЛ ШИЛ │
│ │
│ ь в б в о з б │
│СУЩ КЕФЬ ВЮП ПЫФ НЯЛЬ ШЁН ЛУРЬ ФЕСЬ РЯН ФИП │
│ │
│ ь д б д д │
│ЧЕЧ РИТ ТЮП ЦОРЬ КРУТЬ ГУРЬ РЫНЬ ТЭТ НИЙ ХАЛ │
│ │
│ д д в │
│ЗЯЛЬ НЁЙ ТРЕМ КУТ ЧТУЦ ЗАЙ СВЯХ САНТ ТРУЦ ШУФ │
│ │
│ з д з з жь д в │
│СВОСЬ ВЁЙ ДРОТЬ ПЛЕЦ ФСЯСЬ ВУЙ СТОС ЛАШ ШОТЬ ПЯФЬ │
└─────────────────────────────────────────────────────────────────────────┘
Таблица Б.595
┌─────────────────────────────────────────────────────────────────────────┐
│ д з г жь в ь ь г │
│РАТ КРАЦ ШТУС ДЛЕК МЮШ НЫФ НИЩ ЗАН НУЧ ЁК │
│ │
│ жь в ь д б и об │
│ДЫШ РАФЬ НИР ХОЧ ДЫТ ЛЕПЬ БАХ ЦЫН ЧЁП ЦОЛЬ │
│ │
│ д ь в г б ь │
│ВЫР СОЦ ЦУТ МАЧ ФСИК ЛОНЬ ПРЯП МЁМ ФАЛЬ ПОЧ │
│ │
│ жь жь з з ь │
│ЛОХ ЗЕЛ ТЭН ПРЮШ ШТЕШ ФАХ ШАСЬ РЕМ ВАСЬ БОЩ │
│ │
│ д з з д д д │
│СКОТЬ ТРЮС ТИСЬ БАТ ГЕХ ДВАМ ДЁТ ВОЛЬ РЕНЬ ЗОТЬ │
└─────────────────────────────────────────────────────────────────────────┘
Таблица Б.596
┌─────────────────────────────────────────────────────────────────────────┐
│сч я жь в б эд в │
│ ЩАШ РАМ БЯФ ХИП ШЕТ САРЬ ЛЁЙ ЧЁЦ ШТЫХ КУФ │
│ │
│ сч в д │
│ ЩЕЛ БУФЬ НЕРЬ ДЕЛЬ РЫН ЗЮЛ ГОРЬ ДЫР ЕТ НЯМЬ │
│ │
│ б жь д з в жь │
│ ДИП ЦУР ЗИШ ПЛАТ ФИС ФСЯШ МЫЦ ЮХ МАМ ФОЙ │
│ │
│ д б ов з ь эд │
│ ЧТАТ ВИНЬ СИЛЬ ТЯН ТРИП ЖЁФЬ ДЯСЬ САЩ ЖЕТЬ МИН │
│ │
│ ю ь г з з в д │
│ ЧУЙ ЗЭЩ НАК ЦУС ФЫН ТОС ВЕФ КИЦ НИТ ВЕЛ │
└─────────────────────────────────────────────────────────────────────────┘
Таблица Б.597
┌─────────────────────────────────────────────────────────────────────────┐
│ э з б г з │
│ЦЕН БЮЛЬ ШАЛ МЯР ШУС ПЯНЬ ТЫПЬ ВУК ЖУСЬ ЛЯРЬ │
│ │
│ б жь б д в з в б │
│РИП ПЛЕЙ ТАЦ ТЫШ НОПЬ НУНТ ПРЫФ ЦАС НЕФ ГУПЬ │
│ │
│ д о в г з б в д │
│ТЯНЬ СТУТЬ ШЁЛ ЛИФЬ ЕЙ РЯК ДОС ПРУП ПЮФЬ СЮТ │
│ │
│ с в з з │
│ШТИЛ ЗДАМ ДАН ХАФ НЯР ПЕС СЭЛ ДУМЬ ТУХ ДЯСЬ │
│ │
│ ь д в в д д з │
│РЁЛЬ ЧАЦ НЮЧ ТРЕТ КУФ БУМЬ ФСЕТ ЗАТЬ ЗЫМ РОСЬ │
└─────────────────────────────────────────────────────────────────────────┘
Таблица Б.598
┌─────────────────────────────────────────────────────────────────────────┐
│ в э г б │
│ХАЗНЬ ПРЕФ ТЁМ СКОР БЫХ РЕР ТИРЬ ЖЕНЬ НОК ТРЯП │
│ │
│ д ь д б │
│ПЕТ ЗОР ВЫЩ МУЛЬ ПАМЬ ХОН РАМЬ ДЛАТЬ СОЗНЬ ЛАП │
│ │
│ г б з з ь г ь │
│РЫК ПЫПЬ СЭЛ ЗНОСЬ НАСЬ ПУМ ВЫЧ ДЕСТ ДВАК ТЫЧ │
│ │
│ б жь д ь ыд ь │
│ЧТУЛЬ БЕН РУП СТОШ СВЁТ КАЙ ЗЕЧ ЧТЕН ШИТ ВАЩ │
│ │
│ б сч б з и д з │
│ТЕЗНЬ НУПЬ ЩИЛЬ ДЮЛ ВАПЬ РЁХ КОС ШЫЦ ЗУТЬ ДАСЬ │
└─────────────────────────────────────────────────────────────────────────┘
Таблица Б.599
┌─────────────────────────────────────────────────────────────────────────┐
│ з д в б жь │
│ ЧЕНЬ ЗИЙ ВОСЬ ПРЕН ВЁТ ЛЫФЬ ЗУМ ХОПЬ ПРОЙ ПУШ │
│ │
│ з жь б в з б б сч г │
│ ПЁСЬ СОХ ЛЕШ МЯПЬ ХЕЦ ФСАС ШАПЬ ТРАМ ЛУП ЩИК │
│ │
│сч я жь в з г з г │
│ ЩАЦ ПРИШ ДЁЗНЬ ТАНЬ ФУФЬ СТИС ГАК ДРОС ШТАК ТЕЛЬ │
│ │
│ г жь з з │
│ МИЛЬ ГИК ТРУНЬ ДОШ ГАХ БИР ЁЛЬ ЛЫМ ЖАС ХАСЬ │
│ │
│ б з з з д │
│ ДЛИП ГЕР РИРЬ РЯЛ НИСЬ БЫРЬ ТАСЬ СЫС ГЕТ КРИН │
└─────────────────────────────────────────────────────────────────────────┘
Таблица Б.600
┌─────────────────────────────────────────────────────────────────────────┐
│ г б з в з │
│РЮНЬ ХАК МЁЛЬ КЕП ДЕМ ЗЫСЬ ЛОР ФЕФ МЫР ЛЮСЬ │
│ │
│ д в г з ь д │
│ЧИЛ КАНЬ СТЭТ ГАФ ПЫМ СЯК БОС РУЩ СЕТ БЁМ │
│ │
│ д в з д ь │
│ДЯЦ БЫР ВУНТ РЮФ ЯРЬ ЛЁЛ ФАНЬ КОС СЁТ ТРЫЧ │
│ │
│ в в б г в │
│НИФЬ МИМ ШУЦ ПАФ ЗНОП ТРЁК БАЛЬ КАФЬ СВОН ЛИМ │
│ │
│ жь с г в │
│КРОХ ВУШ СКЕЙ ЗДЕЙ БЯК НАФ НОЦ ЁЦ ЧТАЙ СУН │
└─────────────────────────────────────────────────────────────────────────┘
Таблица Б.601
┌─────────────────────────────────────────────────────────────────────────┐
│ ь з з з з эд з в │
│ЗИЧ ХАС БЫС СЯХ ЛАСЬ СОСЬ ШЕТЬ ЗНОМ КАСЬ БУФ │
│ │
│ ь э ь в ё │
│ТЯЧ СЫМ ЖЕН ПЯЩ ЛЕФЬ ВЯЙ ГАНЬ ГУМ ШОЛЬ ДУМ │
│ │
│ д б з з │
│ПРЕНЬ ЦАТЬ ЛЯМ ТАНЬ НЕПЬ ПАСЬ БЁР СКУМ ПЛИСЬ ЧУМЬ │
│ │
│ жь ь ов г з г │
│ЧТАЛ ЗОШ ЛОЧ ЧЁФ НУНЬ ВИК КРЫС ЗЯК ДЯН ПЕЛ │
│ │
│ ь ы в з жь │
│БЮН СИЧ ШИЙ ГЕФ САМЬ ТУХ ТРЮЛЬ ШУСЬ КЕШ ЗОЛЬ │
└─────────────────────────────────────────────────────────────────────────┘
Таблица Б.602
┌─────────────────────────────────────────────────────────────────────────┐
│ з з в з д б │
│ДЕСЬ РЫС ЛОРЬ ПЯФ ЯС ТРИТ ХИЛ РЕПЬ КАСТЬ ВЮР │
│ │
│ д ь б г ё з │
│СТАР КАТЬ ЦУЧ ТИСТЬ ПЕСТЬ ТЫПЬ ФЫЛ ВАК ШОХ ЗЮС │
│ │
│ д г в ь ь в д д │
│НОТЬ ФЕК ЛУФ ПУЧ НИЩ СЁФ ДВАТ РЁТЬ ЛОЦ СТОЦ │
│ │
│ в з д в з │
│ЗУНЬ ЁФЬ ДАМЬ ЧТЕЛ ДАС ДРЕТЬ ТРАР ВЯФ ТЁР ЗОС │
│ │
│ сч я ыг д д │
│БАЦ РЫЦ ЩАЛ ЖИК НЁТ ПРЫЛ БОТЬ ФАЙ ЛИР ВЁНЬ │
└─────────────────────────────────────────────────────────────────────────┘
Таблица Б.603
┌─────────────────────────────────────────────────────────────────────────┐
│ з б д д │
│ РАСЬ РОН РЮХ ГИПЬ ТЕТ КРОМ ПРИТ РИР БАН РЯЙ │
│ │
│сч о г с з г г │
│ ЩЁХ НЯК ЗДЕС РЁК МИЗ СУЗНЬ СЁЙ ГЕК ВОСТЬ ЮЦ │
│ │
│ ь д д в с б в ь│
│ ДЁЧ НОСТЬ ГУТЬ ХЕТ РОЦ ТРУХ МЮФ ЗДАП ЗУФЬ СТЫЧ │
│ │
│ з яд д з в в в │
│ ДЕС ЗЫРЬ ЧАТЬ МОТЬ СТЯЛ РЯС НЫФ ВУФ РУФЬ МЁХ │
│ │
│ б д ы ь з з ь │
│ ДЕП ШТОТЬ СЕЛЬ ШИЧ СКЕС ДЫС ЧТУЙ ПЮМ ЦОЙ ХАЧ │
└─────────────────────────────────────────────────────────────────────────┘
Таблица Б.604
┌─────────────────────────────────────────────────────────────────────────┐
│ з в жь ь ь │
│ЖАСЬ МИФЬ НЯРЬ МЕШ КУЙ ХУЛ БУЩ БЕМ НУЦ ФУЧ │
│ │
│ б сч ю ёв │
│СУЛ ЗНУН ДЛИН ПЫЦ НАР НЕНЬ ТРЁП ЩУРЬ ВУР ЖОФ │
│ │
│ г в в д з │
│ТРЕН БЁК ФСОФ ЧТЭТ НАХ ВЫС ХОЛЬ ПОРЬ ПРОЦ ШАРЬ │
│ │
│ з ь б ь в │
│ЖУС ТУЩ КОС ТАЦ ЛЮПЬ ДУЧ СВУМ ЧИНЬ ДЯФ ЗАХ │
│ │
│ ыз ь д з в │
│РУТ ШИСЬ ТЁЩ ГОМ ЛУТ БЯС ПРЮХ ТУМ ДЮРЬ МАФ │
└─────────────────────────────────────────────────────────────────────────┘
Таблица Б.605
┌─────────────────────────────────────────────────────────────────────────┐
│ г з в в в в з │
│ФОК ШТАЙ СУСЬ ВЫЙ ДЛАФ ВАФЬ МОФЬ ЦЫЙ ТЭФ ЧЕСЬ │
│ │
│ д з г з б в │
│ДОР ВОХ РУЛ ТЮТ ШТИСЬ ЁК ТАС НИП МЯМ ФСЕН │
│ │
│ в д з в │
│СВАР ХУФ МЯТ ЛЁНЬ ПОН ПРАС ЛЕР ГОФ ТОРЬ КАЦ │
│ │
│ з в з сч д жь │
│САХ ЛЕН НЫСЬ ФСЕС ПИЦ СЫХ ЕР ЩЕТЬ МЫЛ НЯШ │
│ │
│ г б эб жь г │
│КИК ТРЯПЬ ШЕП РЕЛЬ ЗЕХ ПУЛЬ БАНЬ ФИШ ПЛЫК ДЫСТ │
└─────────────────────────────────────────────────────────────────────────┘
Таблица Б.606
┌─────────────────────────────────────────────────────────────────────────┐
│ д в д ь ь │
│ХАНЬ ТЫТЬ ЦУФ ПЕМ ЦОМ НЮТЬ ПРИЧ КИН ПЯЧ ШУНЬ │
│ │
│ д д б ь з в з │
│РЭЛ ТРАТ ФИТ ДЯП ВАЧ ВОСТ СТЯС РУФЬ ЛЯЛЬ СИСЬ │
│ │
│ в ь б б │
│ЧТЕХ ТОФЬ ЗЯЛ ТАЛ НЯН ЛЁЩ ЗНАР ЧТУП ХУП МЁЦ │
│ │
│ з д од жь з з жь │
│ЕС БУТЬ ЧЁТЬ ВЕШ ФУСЬ СКИР НАС ВУШ НИТ ДЛЕМ │
│ │
│ б д в │
│ПЛИП ДЮТЬ НАЛ ДВИЙ ПУЛ ПОХ ФАН НЁМЬ ХАФЬ САСТ │
└─────────────────────────────────────────────────────────────────────────┘
Таблица Б.607
┌─────────────────────────────────────────────────────────────────────────┐
│ б з ь з ь │
│ЛЮП ТРЕЙ ПЭС ДАЛ ВУЩ НУР МЕСЬ ТРИР ПРЫЛЬ МИЧ │
│ │
│ жь жь г д ы ё │
│СВЕН ДИЛ ХОШ БЯН ТРУШ СЭК КАТ ЖИЙ ШОМ ГОНЬ │
│ │
│ з г в э ь ёд │
│ТАСЬ РИЙ ШУК ФСЯЛ ЖЕМ СУМЬ ТЁЧ ЖОТЬ ПАНЬ ФОЛЬ │
│ │
│ д д в з сч б д │
│ЛЁР ПАЦ ХОТЬ ЛОНЬ НОНТ ТРЯН ДУФЬ РЫС ЩИПЬ ЛЕТЬ │
│ │
│ д г г │
│МАМ ФЫР ДЭТ ЗЁК КЕХ ДЁК ЛАЛ ВЁЛЬ НОЛ ГАМЬ │
└─────────────────────────────────────────────────────────────────────────┘
Таблица Б.608
┌─────────────────────────────────────────────────────────────────────────┐
│ жь ез в з э жь │
│НИМ НУШ ЗЭС КАЦ ГАЦ ШТАМ ШУФЬ КРУС МЮХ ШЕШ │
│ │
│ б в жь б в │
│ЧУПЬ БЮФ СЫРЬ МАШ ПЮЗНЬ РЮП ТОФ СУХ БАФ ТИМ │
│ │
│ в д з ь э │
│СЭМ НЯФ РЫЦ ТЮТЬ ЗОЛ ЗУСЬ НОЩ ШЕМ БОРЬ ПЮЙ │
│ │
│ в д з ь жь з д │
│БЯЦ ЯФ ТЯЛ ШАТ ЛИС МЫЧ ТУРЬ ПРОШ НЕСЬ КРАТЬ │
│ │
│ з жь д эд жь з │
│ЖАСЬ РЯЛЬ РЯХ СВАШ ВЕТЬ ЦЕТЬ СКАХ САШ ДЯХ ТИСЬ │
└─────────────────────────────────────────────────────────────────────────┘
Таблица Б.609
┌─────────────────────────────────────────────────────────────────────────┐
│ г с д ь жь в │
│ДРАК ЗДЯТ ТОЧ СЁМ СЮЙ КАСТ ГОЦ СЯШ РЕНЬ МЯФ │
│ │
│ в в з яз ь з │
│ЗОХ ЧЕФ МОЦ СТАМ СОФЬ КУСЬ ЧАСЬ ЗЫЛ ВЫЩ ЩИСЬ │
│ │
│ з ь з ы б б б │
│БАМЬ ВУЛЬ РАСЬ СЕЧ БАСЬ ШИНЬ ЛАЦ ХЕП ДОПЬ БЫПЬ │
│ │
│ с з г б д ь д │
│СТУХ ЗДОС ЗЕК РЁЛ САТЬ ЧИП КАР НИТ ГЕЧ ШТУТ │
│ │
│ в г сч я ь жь з б б з │
│ПОФЬ ЛЫК ЁЛ ЩАР ДАЩ ТЕШ БЁС ГОП ТРЕПЬ ЮС │
└─────────────────────────────────────────────────────────────────────────┘
Таблица Б.610
┌─────────────────────────────────────────────────────────────────────────┐
│ г сч б в з ь │
│РУК ПУР ЩЕП ЗОЙ ВЫФЬ ПИС ХИН ЛЯЩ МЯНЬ ЧТЫР │
│ │
│ д г д в э ь б │
│ПРЮТ ФЕРЬ ЁХ РОН РЯК СТОТЬ ФСОХ ЦЕЧ ГЕП ВИЙ │
│ │
│ г з з в в жь з б │
│ПЛАК ЗИЛЬ ЧТАС ПЕСЬ ВЯФЬ ПРИФ ЗАМЬ ЛЫШ ШТОСЬ ДИПЬ │
│ │
│ г в жь в б │
│ДЛАН ДЯНТ ТЫК ПРАР ЧИФ ЗНУХ БЫШ НЫФЬ БЮРЬ ВОП │
│ │
│в з ь г г д з │
│ФСИСЬ ЖУРЬ САР ШАЧ ТЁСТЬ ТРОК ДУК ПЫРЬ НЕТЬ ДЕСЬ │
└─────────────────────────────────────────────────────────────────────────┘
Таблица Б.611
┌─────────────────────────────────────────────────────────────────────────┐
│ г д б │
│ПЕХ ЛОМЬ ЛЫЦ ВЫК ПЯЛЬ ЁМ ПЛИТ ПЁПЬ СТЕР СКОЛ │
│ │
│ в ь с жь д ыв │
│РЕЙ САФ ПАНЬ ТЕН ТИЛ ТРИЧ ЛЁХ ЗДИШ ШАТ ЖИФ │
│ │
│ э жь б ь д ь э ь в │
│ШЕШ ТРЮП МЫРЬ РИЩ БЯТЬ РОЧ ШЕН ЛУЩ НЮЦ ЧТАФ │
│ │
│ д б д д │
│ЧЕТЬ ЧТЫН ТЁСТ МЁПЬ ХАХ ДОР ПРЁТ ТРЫХ МАРЬ МУТ │
│ │
│ ё жь │
│ШОН НЯНЬ ПРИЦ ЗАШ БЯЛЬ ДЕМЬ ФОК БУЛ КИН ДЫЛЬ │
└─────────────────────────────────────────────────────────────────────────┘
Таблица Б.612
┌─────────────────────────────────────────────────────────────────────────┐
│ д з б в │
│ГЕЙ ШТУМ ЦОН ТЁТ СЯС ГУЛЬ КАР РАПЬ ЛЮФЬ ЧИМЬ │
│ │
│ ь б д │
│ГАЧ НЫЛ ДУЛ ЗУРЬ ВАСТ БЫНЬ ЗАРЬ ХАП НЫЦ БАТЬ │
│ │
│ ь б з жь з з │
│СЕН РАЧ САЗНЬ ТРОХ ДУЦ МОП МЕС КРОШ ЗНУСЬ ЧТИС │
│ │
│ з д б б ь ю б д │
│ГОС ЮТЬ ТЫП СТУП ДАЩ ЗИЛ ЧУН СОПЬ ТЫТ ХИЦ │
│ │
│ д в жь ь д в б │
│ВЫТ СЫФ БУШ ЮЧ ДЛЕТ ДЁЦ ШУФЬ ГАН ЗЯЙ ЯПЬ │
└─────────────────────────────────────────────────────────────────────────┘
Таблица Б.613
┌─────────────────────────────────────────────────────────────────────────┐
│ з г з в г │
│ ПАЦ ЗАЛЬ ПРУСЬ ДЕН РЮК НЕСТ СТЫС ШТЕФ ШТЕК БЮЛ │
│ │
│ ь б д сч ю │
│ ПУЩ ШУЛ ДЮМ ВЯП ЗОН ДЯТ ВАЙ САЛ ЩУР СЕЛ │
│ │
│сч яд жь б в г б │
│ ЩАТЬ БОН ЮШ НЁП ТУФЬ ХОЙ ЗЕЙ РУК ПЛАП ФОЦ │
│ │
│ жь в д э ь │
│ РИШ ДИСТ ТРЕР ТЫХ РЯФ НАТЬ ЦЕР КАЧ ЗНАН ДЛОХ │
│ │
│ з г в в г │
│ БУС КЕЦ СВЕМ НИК ФСИХ ТУЛ НЕФЬ КРАК ЗЁЙ МИРЬ │
└─────────────────────────────────────────────────────────────────────────┘
Таблица Б.614
┌─────────────────────────────────────────────────────────────────────────┐
│ ь г д д ь │
│НЕМ СОЩ БЫМЬ ЗУК МЮН ТРЯТ ЛАХ ЛЯТЬ БЕР СТАЧ │
│ │
│ ь з в з б г сч │
│ФАЧ ВУСЬ ДЕФ ПРЮС РЕПЬ ЛОК ЩИН ТИЙ ГУЦ ЛЁМ │
│ │
│ з б в ёз д │
│СУРЬ СИС ЛИР БИМ ЖУР СЮПЬ ЖАФ ЖОС КУН ВЁТЬ │
│ │
│ в оз в в с жь │
│ПОФЬ ЧЁСЬ ПЯЗНЬ ПУЛ ДРОН НИФ ФСЮЛ РУНЬ ЗДОЛ СКИШ │
│ │
│ ь з з д │
│ЛИЧ МЯХ ФУЛ РЯЦ ВЮС ПЫМЬ ФЕЛЬ ЖАМ ТОСЬ РУТ │
└─────────────────────────────────────────────────────────────────────────┘
Таблица Б.615
┌─────────────────────────────────────────────────────────────────────────┐
│ г э ыз г д жь │
│ НУК ШЕМЬ ЦУХ ШИСЬ СЫК РЁН ДЯЛ ГЕТЬ ПРЯШ ЗЫХ │
│ │
│сч ь д б д д яв │
│ ЩИЧ ПИТ ЛЕПЬ КОТЬ КАТ СВОЛ СИТ РОР ЧАФ ДАМ │
│ │
│ в жь б в г з в д │
│ ВАФ ХЕШ ГИП БЁНЬ ПЁФЬ ТЕК НУС ФСАТ НАМ НОН │
│ │
│ ы д ь д з │
│ ПРОМ НУТ РЕТ ШИНЬ КУНТ ЦОЧ ЧТУТЬ МЮЛЬ ДВАС ФИЦ │
│ │
│ б б в б б в │
│ ВЕЛЬ НЯП ХУПЬ ХОФ ТРУМ ВУПЬ ФЭП ЕФ ВОХ ТЫЦ │
└─────────────────────────────────────────────────────────────────────────┘
Таблица Б.616
┌─────────────────────────────────────────────────────────────────────────┐
│ ь б з б в б │
│ПАЩ ШУРЬ ПОК СТАП ГИС БЮПЬ РЁЛЬ НУН СЮФ ВАП │
│ │
│ жь ь д │
│ПРУХ БУН ЖАН ПЁРЬ ПЫР БУШ ВАЧ ЕНЬ РУТЬ ВЫМ │
│ │
│ в ь с г з жь ь │
│ПЯН ДОФ ЛАЧ ЗДАН ВЁК ХАСЬ ТРЯШ СТОХ КАЛЬ КРОЧ │
│ │
│ б в в г д б │
│БЫРЬ ВОПЬ ЖУНЬ НУФЬ НЁР ФСЕЛ ШТИК ЛЫТ ТЁПЬ КАС │
│ │
│ я д в б │
│ЧАЛ ФИТЬ ПРОР МЯХ РЫХ РИМЬ РУМ КИФ ФЕП РАЦ │
└─────────────────────────────────────────────────────────────────────────┘
Таблица Б.617
┌─────────────────────────────────────────────────────────────────────────┐
│ в д сч б жь эз г д │
│ТРОФ МЁТЬ ЗЕМЬ ЩЕР НЯПЬ ВЯШ ЦЕСЬ ХОК НОТ ЛЁЛЬ │
│ │
│ ь ид жь г в з б з │
│ВИЧ ЦЫТ СТУШ ДЛЮК РЕФ НЭР ПЮХ СЫСЬ МАПЬ БОСЬ │
│ │
│ жь сч з б ь │
│ГАШ НЯЦ ЩИС ЧИХ СОЙ БЕП ЗУЧ ЧТАЛЬ ТРИЦ ВАЗНЬ │
│ │
│ г в д │
│СЭК ЗЯНЬ БУФЬ ХУН ВИЦ ПОМЬ ТИЦ ПЕЗНЬ ФЫМ ДЕНТ │
│ │
│ г б ь б б з ь │
│ТРЫК ЛОР ТЭП НАЧ ГАП РЕП РОРЬ НЫС СИРЬ СУЧ │
└─────────────────────────────────────────────────────────────────────────┘
Таблица Б.618
┌─────────────────────────────────────────────────────────────────────────┐
│ в б з в з г │
│ПЫЙ СОХ РЮХ ФСЕП ЗАСЬ БЮФЬ ПРАЙ ПУСТ БЮС ПЛИК │
│ │
│ ыб ь д │
│ПРИЙ ЖИП ЛЁЧ ТЯЦ ШТАР ГОТЬ ЛЮМ ЦЫМ ДЕН ГЕЛЬ │
│ │
│ ё б ёб б жь │
│ПРЕЙ ШОМ СЭТ МИЛЬ ХЕПЬ ШОП СТЯМ ЛИП МОНЬ СИШ │
│ │
│ ь з д д з сч о ь │
│МЮЩ ПЛОС СЫНТ РАНЬ ХОМ ДЯТЬ РЁСЬ ТУНЬ ЩЁЧ НИН │
│ │
│ д ь б ы с г │
│ЗОН ДЕХ КАРЬ ХУХ БЕТ ТУЩ ПАПЬ ЗНАМ ШИХ ЗДЕК │
└─────────────────────────────────────────────────────────────────────────┘
Таблица Б.619
┌─────────────────────────────────────────────────────────────────────────┐
│ ь в з б │
│ЕР НЮЩ КИФ ТРАХ ТРЯСЬ НЯСТЬ ГЕХ КУПЬ НЕНЬ НИХ │
│ │
│ од ь д │
│ПРЯН ШЁТ ГУЧ ШТОХ БАХ ЗЁН ЁТЬ ВЫХ ЗОЦ БАН │
│ │
│ з г д б з з │
│ЗНУС ЧТЭК ВУТЬ ЧТЕЙ МЫП ТЫС ТИЗНЬ ЛЯЦ КРИС ФУХ │
│ │
│ з д б б эб з │
│САС ЛОХ ЛЕТ ТАПЬ НАП ДЯМ ШАНЬ ЛЯЙ ШЕП ПЕСЬ │
│ │
│ б з в э сч яб │
│ТРЯХ ДЕП ЗЫС КОФ ЗУМ ЖЕЦ ТИН ЗИНЬ ЩАП МУРЬ │
└─────────────────────────────────────────────────────────────────────────┘
Таблица Б.620
┌─────────────────────────────────────────────────────────────────────────┐
│ ы б ё б г │
│РЮН СЮЦ ДОЛЬ ШИМ ЗАПЬ РЮЙ ЖОЙ ДУР ГУП СКАК │
│ │
│ б г б в д д жь │
│ПОПЬ РЫМ ХИНЬ ЧТУК ЯХ ЮПЬ ФСОТЬ ЦАЦ СЯТЬ ЧЁШ │
│ │
│ д жь эз з │
│СКЕТ ТОНЬ ДЫШ ШЕС ФАЛ ЛУСЬ БЁРЬ ВУЛЬ СОЙ ДАХ │
│ │
│ жь д д б з │
│ЧЕМЬ ТАШ СВОХ ТЕТЬ НЕХ ДВЕТЬ СВАМ ЗЭН ДЮП МИСЬ │
│ │
│ юв в в жь ь д │
│ЯМ ДЛАХ ЧУФЬ ДЁФЬ ЛУФЬ ПЁШ ФУЩ ДРЕТ КЕРЬ ДЕХ │
└─────────────────────────────────────────────────────────────────────────┘
Таблица Б.621
┌─────────────────────────────────────────────────────────────────────────┐
│ д б д б д з жь │
│ВАТЬ РАПЬ НЮЦ ЗНАТ БАНЬ НЁП РУТ ВАСТЬ ЁС БЯШ │
│ │
│ з з жь о д жь д в │
│МОС МЯСЬ ЛЁШ ЗУМ ШЁЛ НЫТ СОШ НЕМЬ НОТЬ ПЛЕФ │
│ │
│ в з г г │
│ВЫР ДАФ СТОР БЫС ТЁР КИР ЗИК ЗОК МЮР ТАФ │
│ │
│ д в ь в сч ю │
│ДАРЬ ЗУТЬ ТРЮФ ЛИЩ МАФ ЩУЛЬ ДЁЛ КРАЛ ПУЙ РЮН │
│ │
│ ь в г з б з ы жь │
│ЯЧ ФСЁК ШТЫСЬ ЯП СКЕЛ ПОС ШИЦ СОШ ПЁЛЬ НАР │
└─────────────────────────────────────────────────────────────────────────┘
Таблица Б.622
┌─────────────────────────────────────────────────────────────────────────┐
│ ь жь б │
│ЗОР РЫЛЬ ХУЩ ЗЕШ РОР БЫЙ СЯП СИМ ХОМЬ ЛЯМЬ │
│ │
│ жь в з б з в сч │
│ДЫН РЯШ НИФ РЁСЬ ТУП БЁЙ НЕС ЛЕФЬ ЩАХ СЭТЬ │
│ │
│ б з ё в б б ё │
│НЯНЬ ВИН ДЯП СТУСЬ БЮР ЖОЦ ЛИРЬ ФСЯП ЛАП ШОР │
│ │
│ в с г в з б д з │
│ДЮФ ТЫЛЬ ЗДОК МЁФ ТРУСЬ ДУПЬ ФУЦ ПРЮЙ СОНТ ДЕС │
│ │
│ д з б в д │
│ДОТЬ СЮСЬ ВЯР РИП ФСОТ ФЫЛЬ ТАРЬ ЛЁНЬ ВЕЛЬ ШАРЬ │
└─────────────────────────────────────────────────────────────────────────┘
Таблица Б.623
┌─────────────────────────────────────────────────────────────────────────┐
│ б в д б д г │
│ПРАЛЬ ГАП ЦАЛЬ ЕМ СЕФЬ ТУСТЬ ЗАТЬ ШАПЬ СЫТЬ СТЕК │
│ │
│ д з з г ь г б │
│ЖУТ ДИСЬ СВАЛ ЛАСЬ ФАК ТИЧ НУЗНЬ ЦОК КУТ СОП │
│ │
│ жь я эд д з │
│РУШ ФИМ ДЯХ ЗЮХ ЧАМЬ ШЕТ ПЯНТ ХЕСЬ ТОХ КУЗНЬ │
│ │
│ жь б з д жь в │
│ВАШ НУП ЧТЫНЬ ЧТИСЬ ПИТ ВОЦ ФУШ ПИН БОФ ТЭР │
│ │
│ в б д с д д │
│ВОФ СТЫХ РУМ БЯПЬ ПРОТ ЗДЯТЬ ПЛАХ ЮН САТЬ КАХ │
└─────────────────────────────────────────────────────────────────────────┘
Таблица Б.624
┌─────────────────────────────────────────────────────────────────────────┐
│ з в жь эб з │
│ ШУСЬ СКУФ ПЯШ ЛОЛ ПЕМ ЖЕПЬ ТРАСЬ ЗЫЛЬ ХИР ЗАН │
│ │
│ б з в б │
│ ШТАЦ ДЛЕП ЗНЁС МЫМ СЫЙ ГУН ДРЕН ЧТУФЬ БЕМЬ ХОП │
│ │
│ д ы д д ь юз з │
│ ЕЦ НЯТЬ ЖИМ ПАТЬ ВОМ ТЮЦ МОТЬ ТРЕЧ ЧУСЬ НЭС │
│ │
│ жь ь з жь з д │
│ МУЦ ТОЦ ПРУШ ДИРЬ ТЯЩ ЖАС ГАШ ВЁСЬ НУХ ЧТАТЬ │
│ │
│сч з б г ь д г │
│ ЩИЛ ПРЯСЬ ЧЁП ДВИХ МЯН РИК ПЫР ПУЩ РЕТЬ ЦАК │
└─────────────────────────────────────────────────────────────────────────┘
Таблица Б.625
┌─────────────────────────────────────────────────────────────────────────┐
│ б б д сч г з │
│МИЦ ТРАПЬ ВАП КРУЙ РЯТЬ БЕЛ ЩЕК ДЫХ СУР КИСЬ │
│ │
│ з жь из ь ь в д д │
│ХАЛЬ ГИСЬ БАШ ФЕХ ЦЫСЬ НАЩ МЁЧ КАФ ТЕТ ВУТЬ │
│ │
│ жь в ы ё д з │
│ГЕШ ГУФ ЧЁН ДЛАЙ ШИЙ ШОХ ГЕНЬ КЕТ ЛЮЛ ГОСЬ │
│ │
│ ь жь ь жь з жь │
│КАЧ РАШ ТАЙ БЫЧ БУХ ПРЕШ СВОС ТРЯЙ ЛУН ШТИШ │
│ │
│ д д б │
│СЁР ХАТ ЧИТЬ ЗЮП ТРЁН ЛЫЙ РЁЛ ПАМ ТИСТ НИЛЬ │
└─────────────────────────────────────────────────────────────────────────┘
Таблица Б.626
┌─────────────────────────────────────────────────────────────────────────┐
│ в д в жь в │
│ЛАФ КИЛ КАП ДЛАТ СКИН ШУФ ТОРЬ ВЁШ ДОФЬ ПОЦ │
│ │
│ жь ё сч о б ы з │
│ТРИШ ЖОР ЩЁР ДЯПЬ МЁЙ ГАЙ ШИН БЫСЬ ХОНЬ РЁРЬ │
│ │
│ жь д з д с г ь э ь │
│ГЕШ СВОР ДИТ РЕЛ ДЛИС ГУТ ЗДИК РЯЧ ЁХ ШЕЧ │
│ │
│ з в д б в в │
│ТРЕС ТУЛ ЖУФ ТРЯТЬ ЧТАП ФСИЙ МЯР ЗНОН ЗЫФЬ ЗИР │
│ │
│ в в д ь з б │
│БЕФЬ ДАЛ ФСАН ЯРЬ СОТ МЁЩ ЕСЬ МАЦ ДОПЬ ЮХ │
└─────────────────────────────────────────────────────────────────────────┘
Таблица Б.627
┌─────────────────────────────────────────────────────────────────────────┐
│ ь б б б б │
│ЦУЙ НЯН ТУЧ НУП ЛАН ЧТУНЬ ЗОНЬ ЗАП ФАП БАП │
│ │
│ з б жь б б в │
│ТИСЬ ГЕП РЁШ ХОПЬ ВАМЬ ЛОПЬ БЯНЬ ВЕР ВИФ СЮМ │
│ │
│ жь з д │
│БАШ БУХ ТРЮР ФОНЬ НИЗНЬ КОС ЗАР ЗЁТ СТЫЙ ДЁСТ │
│ │
│ ь д жь б │
│ШАЦ ХАЩ ДЁМЬ РЫЛ СЁЦ ТРОТЬ ФЫРЬ ШТОМ НЮШ СЕП │
│ │
│ ь д сч юз я ь г │
│ТРЫЛ СЯЧ ВУТ ЩУСЬ ПЕЦ ЧАХ ДЁЩ ЛЁР МУК РАРЬ │
└─────────────────────────────────────────────────────────────────────────┘
Таблица Б.628
┌─────────────────────────────────────────────────────────────────────────┐
│ жь з в б в │
│ТЫХ ПЛАШ ВАЦ ТАХ ХУСЬ ДИФЬ ХАМЬ КАПЬ СОМЬ НЯФ │
│ │
│ д з з в д │
│ЗУЛ ПИНТ СВЕЛ СУМ ПУСЬ ШТЕЙ ЛИС ФСЮХ ГОМЬ РЫТ │
│ │
│ в ь жь ь з з │
│ВЫФ ЗНЕХ ПЫЧ ФЕШ ЛЯЧ ПЛЕС ЗЯРЬ ЗОЙ ШТАС ЁЛ │
│ │
│ ь з жь в с д ы д │
│МИЧ ДАЦ БИХ ГАСЬ ЧЕШ СУФЬ ЗДАТ ЖИМЬ ДРОТ СЮЛЬ │
│ │
│ в ь з юг э в б д сч ю │
│КАФ ДОШ НЕСЬ ЧУК ШЕЛЬ ПРЯФ РОПЬ НЫТ НАРЬ ЩУН │
└─────────────────────────────────────────────────────────────────────────┘
Таблица Б.629
┌─────────────────────────────────────────────────────────────────────────┐
│ з в ёв г │
│ХИЗНЬ ВЁНТ РЮЙ ЗЭЛ ПЁН ПРОС НОФ ЧОФЬ ВЫЛЬ ПАК │
│ │
│ з д сч юг д г │
│БЁСЬ СКАФ ПОЛЬ ЦУН РЕТ НАЙ ПРЁН ЩУК ЦУТЬ СТИК │
│ │
│ з ёб б з з г в │
│СТАС ШОПЬ ТЯМ ШУПЬ РЮС ШАСЬ ТАН ГУК ТЮЛ РИФЬ │
│ │
│ д д б б │
│МЮТЬ КРЕТ ДВАН БЫЙ ПУХ САПЬ МЯП ТЫР ЧТЫРЬ СЫНЬ │
│ │
│ д д в з ь б │
│ЧТЕР ЛЁТЬ КУТ СИНТ КОФЬ ХИС ЖАЙ НЫЧ ВУП ТЁН │
└─────────────────────────────────────────────────────────────────────────┘
Таблица Б.630
┌─────────────────────────────────────────────────────────────────────────┐
│ д г в в эз в │
│ТЭК ТЫНТ РОЛ ПРАК БОФ ПРУЦ ФУФ ЦЕС ПУФ ЛЮЛЬ │
│ │
│ жь в ь │
│ПИРЬ ВОМЬ БУНЬ ДИШ ТРАФ САЧ МАЛЬ БЯМ НЕМ ЛУЛ │
│ │
│ жь д эб г г б г │
│ЛЯЛ ЛЁШ НЕТЬ ЖЕП НЁЛЬ ЗОК НИК ЗЕП ФИК ЛАМ │
│ │
│ ь в д з г │
│КРОН ДЮЧ ТЮРЬ ЮФЬ ГИТЬ ШУЙ ЛЫЛЬ МОС ХЕК ЧИЛЬ │
│ │
│ ь ь г г б г │
│ПРЮЛ СТОЧ КЕЩ РУРЬ ПЮК ВЯК ПЯЦ БЯМЬ РИП ДУК │
└─────────────────────────────────────────────────────────────────────────┘
Таблица Б.631
┌─────────────────────────────────────────────────────────────────────────┐
│ з ь г ь в │
│ ВЯЧ ДВАХ НУСЬ НИЧ ПЁК НЫЙ ЛЕЙ ГИЧ ЛЮЦ ДОФ │
│ │
│сч юз б ыв в г жь в ы │
│ ЩУС ЧИПЬ ЖИФЬ РЯФЬ БЫМ ПЯМЬ ЛЕК ПЮШ ЗАФЬ ШИХ │
│ │
│ ь ь д с д с д жь жь │
│ ПЁЧ ВЕХ СУЩ ТИЛ ЖАТ ЗДАЦ КИТЬ ЗДИТЬ ФЫШ МАШ │
│ │
│ ё ь в сч д з з ь б │
│ НЕЦ РИНЬ ТРЯЛ ЧОЧ ЧЕФЬ ЩИТЬ ПОСЬ ГЕС СОЧ СУПЬ │
│ │
│ жь в ь г з жь з │
│ ЕШ МЫХ МЮФЬ ХИЩ ПРИК ТОЦ ПЫС ЯШ САСЬ ВОНТ │
└─────────────────────────────────────────────────────────────────────────┘
Таблица Б.632
┌─────────────────────────────────────────────────────────────────────────┐
│ ь в в б в г │
│ ВОЧ МЯФ ФСИЛ ХОП ПЛАЙ ВАЛЬ ХИФЬ ТЭК БЮК ЮР │
│ │
│ жь б з │
│ ЗЁР ПРАШ РЫЛ ЗАНЬ ТЮН ТЯП КАЛЬ НАН СКИЛ КЕС │
│ │
│сч оз б б в д │
│ ЩЁСЬ ДАПЬ ТРЫП ЗУН ПЛЕХ МЕНЬ ТРЁФ ДЕТЬ ВУЦ ЦАХ │
│ │
│ б б в ь ь ь │
│ ТУПЬ ЯЛ БАПЬ РОЛ ТАФЬ ТЁЧ ХУЧ НАЩ ВАХ ДЁН │
│ │
│ б д жь з в б г г г │
│ ПРУН ТРЁП ТИНТ БЁШ ЛЯС СИФЬ РОПЬ ХАК ЗНИК ФУК │
└─────────────────────────────────────────────────────────────────────────┘
Таблица Б.633
┌─────────────────────────────────────────────────────────────────────────┐
│ в з сч оз ь ь │
│ЛИХ ШАНЬ ФСЯС МЯЛЬ ЩЁС ГАЩ ТРАЦ ДЯР ТРЕЩ СОНЬ │
│ │
│ д в жь б в │
│РИТ ПУФЬ ХОН ЛОН ШУШ БУР СТАПЬ КОФ САСТЬ ВЫЦ │
│ │
│ ь д б ь б │
│ГУЧ РЕТЬ ДРОХ ПРЕХ БЯП БЮНЬ НЯЙ БЯЧ КОП ПЁР │
│ │
│ з ь в з ёб │
│МАС ПРЯМЬ БЕЛ БУЧ ТЫЛЬ ЁФ НЁРЬ ДЫС ШОПЬ СТЕХ │
│ │
│ жь д в д ь з │
│КРАШ ЛУМ ПРЫТ ШТЫМ ВЕФЬ РАРЬ РЫТ ЛИМ ЗОЧ СВЯС │
└─────────────────────────────────────────────────────────────────────────┘
Таблица Б.634
┌─────────────────────────────────────────────────────────────────────────┐
│ д з б б │
│ НИНЬ РЁТ ТАЙ МЁС ФОХ СИР ЗЯП ЧТАНЬ ГАПЬ РУРЬ │
│ │
│ э жь д ёд в │
│ ЧТУН КРУЦ ЦЕМ ЛАР БОШ ДИХ ФЕТЬ ШОТЬ ЗЕН ЗУФ │
│ │
│ з эз з з │
│ ЗОРЬ КАХ СЕС КОСТ ЖЕСЬ СЁСЬ КУС СТЫЛ ЦЫС ГИЛЬ │
│ │
│ б эз д з з д │
│ ТАРЬ ЗИП ПУР ШТИХ ШЕС НЯТЬ РЮС ДИСЬ МАН ЧТЫТЬ │
│ │
│сч яз б жь жь я сч д │
│ ЩАС ДЮЦ РУЛ НОП ЦОШ ФАШ ЧАРЬ ЩЕН ЛЫЛ ТРОТ │
└─────────────────────────────────────────────────────────────────────────┘
Таблица Б.635
┌─────────────────────────────────────────────────────────────────────────┐
│ б в в з д │
│ТОХ БУП ДАФЬ НАФЬ ШТАСЬ ТЕЦ ДАРЬ БОЛ ДЛЕТЬ ПУЛ │
│ │
│ д в ь │
│СЕЦ МИТЬ ВЁЛ ПОМЬ ЖУЛЬ СКОХ БЫФ ЛОЙ ФИР ЖАЧ │
│ │
│ ы в з ь д │
│МУМ ШИМЬ ГУХ ВУФЬ ДЛАСЬ ЕНЬ РЮЧ НОЗНЬ ЗЫНЬ СВОТЬ │
│ │
│ б д з жь б в г з │
│НЕП СЫТ ЧТЕС КУР САЙ РЯШ ГУП ФСАЛ ДЕК ЗНОС │
│ │
│ ь в жь д з д ю д │
│НЯЧ ЛЁФ ПАЛ РЕШ ПЮНТ СТАСЬ ХАТ ЧУНЬ ДИНТ ДЫНЬ │
└─────────────────────────────────────────────────────────────────────────┘
Таблица Б.636
┌─────────────────────────────────────────────────────────────────────────┐
│ з д б б │
│ЁСЬ ДЮХ ДИС БАТ ЛИЛЬ ЗОМЬ СТАХ СВЫМ ЧТЕП СЫП │
│ │
│ сч о ё г г ь жь │
│ФУМ ЩЁЛ ХАЛЬ РЫЙ ХЕЛЬ ШОНЬ МЫК ДЛИК СОЧ МОШ │
│ │
│ сч я сч э ь б б з д д │
│ШАН ЩАН ЩЕЧ ТРЁХ ШТЕП ГОП КРЕЛ ЗЕС ТОТЬ ЗНИТ │
│ │
│ з з г г з з │
│НЕЛЬ ПЫМ ЦУРЬ ДРАС МЮСЬ ПРУК ДАК ТАМЬ ГУС БОСЬ │
│ │
│ жь з в з жь │
│ЗЁШ РЮР ПРИН ТРЁСЬ ЛАН ВОФЬ ПАМЬ БОСЬ ЦЫШ ЧЕР │
└─────────────────────────────────────────────────────────────────────────┘
Таблица Б.637
┌─────────────────────────────────────────────────────────────────────────┐
│ в в з д б │
│ЗЯФ ТЮР ПЮН ПАФ ПЛАСЬ ПЯТ ВЯНЬ ГИР ДОП ЯМ │
│ │
│ ь э ь в │
│ЗЫЩ ЦЕЛ СЫЙ ПИХ КЕЛ ЗАЧ ЗУР ФСИМ ФЫЦ СЁН │
│ │
│ в з ь г д │
│ГЕЛ НАФЬ ПЛИН ТАР ВЯС ДЯЩ ХОК СЯНТ ЗУЙ БЫЦ │
│ │
│ в в ь б г г в │
│НЯФЬ СОНЬ ГЕФЬ ВУЩ СИП БИЛЬ ПРЯК СТУН РЫК ТЫФЬ │
│ │
│ г б з з │
│БУЛЬ ГАХ ГОР ПЕР СТЫР ПЕК ТРУЙ ВИПЬ ШОСЬ МЁСЬ │
└─────────────────────────────────────────────────────────────────────────┘
Таблица Б.638
┌─────────────────────────────────────────────────────────────────────────┐
│ в д в д г ь │
│ТОФ ВОМ ДЁНЬ ЛЮРЬ НУТ ФОФ КУНЬ ДВЯТ ДЛОК ЕЧ │
│ │
│ д д ыб эб б д │
│ЗИТЬ ВОЦ МИТ ТРОЛЬ ЖИПЬ РИЛ СУР ШЕПЬ БЕПЬ ФЕТ │
│ │
│ в б д в ыв б │
│ЧУРЬ РАФЬ ТЁП КРОТЬ СЯФЬ ДИЦ СКАЛ ШИФ ЛЕЦ НОПЬ │
│ │
│ з з з ь з з │
│ЗНОР ДЭС СЕС ЖУМ НЁМ ЛУС РЯЧ КЭС ЧТУР СТЕСЬ │
│ │
│ ь б з в з ё жь │
│ЖАЩ ПРЫП ХИСЬ ГАЛЬ ФСЯН ЧИСЬ ЧОХ ХЕСТЬ КОШ ЛАЦ │
└─────────────────────────────────────────────────────────────────────────┘
Таблица Б.639
┌─────────────────────────────────────────────────────────────────────────┐
│ б ь с │
│ЮПЬ ДОЦ ВЕМ ХОМ ТАЗНЬ МЯЛ ВИСТЬ РУЧ ЗДЯН ЛЫРЬ │
│ │
│ г в з в д │
│ЗАК ТЯФЬ НАН МЫЙ ВАСЬ ЯЦ ЕН ТАФ СЮРЬ СВАТЬ │
│ │
│ э д з в б ь │
│ЖЕХ ФИРЬ РЫН ДАНТ ЧТЫС ХУМ ФСУЛ ЛЕЛ РЁП ТОЩ │
│ │
│ д з б д д з ь │
│ТЫМ БИТ РАН БУСЬ БАМ ЧТАПЬ ПЕНТ ЛИТ КАС НЫЧ │
│ │
│ б жь д д в з д д │
│НЫПЬ ДАШ НЮТ СКЕТЬ ФАХ ПРАФ ЛЁСЬ ПРЕЛ САТЬ РИТЬ │
└─────────────────────────────────────────────────────────────────────────┘
Таблица Б.640
┌─────────────────────────────────────────────────────────────────────────┐
│ б з ь з з │
│ЛУЛЬ САЙ ПЫПЬ ТРЫС КАР РЁЧ ВЫРЬ ЖАМЬ РОС ШТЕС │
│ │
│ б д сч д ы │
│НУМ ЛЯП ТРЯЛЬ ТЕТЬ ЗУЦ РИХ ШАМ ЩЕТ ТРИЛ ШИЛЬ │
│ │
│ в о б │
│МЯФЬ ЗДОЙ КЕЙ ДЕЛ ШЁМЬ БЫНЬ ТЕР МЕПЬ ШУР НИЙ │
│ │
│ яб з з г │
│НЕН ЧАП БЁН ДЯР МИС НИСЬ РУК НЯМЬ ПУМ ХУЦ │
│ │
│ г з в д в в жь в │
│РЕК ШТЫЛ ТУСЬ ДЫФЬ ПОТЬ ЦАФ ВЕФ ВЭШ НУСТ МАФЬ │
└─────────────────────────────────────────────────────────────────────────┘
Таблица Б.641
┌─────────────────────────────────────────────────────────────────────────┐
│ г б жь б з д д д │
│НОК ЗНАП НУШ МЕП НОХ КЕМ НАСЬ БЯТЬ СЁТЬ РЕТ │
│ │
│ б б д в │
│ЧИЦ ГЕНЬ НИП БУП КОР ДАТ ТОЗНЬ СУЦ РУФ СТУМ │
│ │
│ б з в ь з │
│НЯРЬ СТЫП ЛЮС САРЬ ЧТЫФ ХУРЬ ДЕРЬ ЗЯР САЩ НЭС │
│ │
│ о г г з б б в │
│ЧЁЙ БОМЬ ЦУК НЯК ВУСЬ ТЕПЬ МУХ ПРЕМ ЗАП ГОФЬ │
│ │
│ иб д в │
│МЁРЬ ШЫПЬ СТЕТ ХИСТ СКЕР НИСТЬ ЧТУМ ПАЛЬ ЛЫФ СЭМ │
└─────────────────────────────────────────────────────────────────────────┘
Таблица Б.642
┌─────────────────────────────────────────────────────────────────────────┐
│ з з │
│ВЫЛ ВАМ БОРЬ ТРОЛ ПЛОСЬ ЧТЕСЬ ЛЕХ ПЁЛ ХАЦ ДУН │
│ │
│ б в г б ь з │
│ЛУП СЮФЬ ФАЦ НАК ВЕЦ БИЙ ЛЯП ВЕЧ ДЮС БЫР │
│ │
│ з жь ь │
│ТИМЬ ЛАХ ТЁХ СИТЬ ПОСЬ ПРЫЙ ВИШ ФЫЙ БОЩ ПУН │
│ │
│ з жь в з д сч я жь │
│СЫС ПИШ РЫФЬ ТЯС ЛЕЛЬ ШТОТ ЩАНЬ ШТАЛ КИШ РИН │
│ │
│ г з в в с д б в │
│РЮК НЁСЬ СТАФЬ ЖАФЬ ЗДОТ ХИПЬ КАРЬ СЯСТ ДЯН ФСЯЙ │
└─────────────────────────────────────────────────────────────────────────┘
Таблица Б.643
┌─────────────────────────────────────────────────────────────────────────┐
│ б в з б б эд │
│ДЫП ПУФЬ РУЙ НЕХ ЗОС ТУП РЁМ ШАЙ ЗИПЬ ЖЕТ │
│ │
│ в д в эб ь ь д │
│ПРОФ СКУН БЮМЬ ДУНТ ДЯФ ШЕПЬ РАЧ МЮНЬ НИЧ ТЁТ │
│ │
│ ь о д жь ь ь │
│БЫЩ ЧЁМ ЗНУТЬ ЗОШ ФЕЧ РЁПЬ ВАХ КРАЧ ХОЛ ТАР │
│ │
│ з сч яв жь б я ь жь ю з │
│ШТУСЬ ЩАФ ШАШ БЁЛ ДАП ЧАЩ РЫШ ЧУХ ТОЙ ЗЁС │
│ │
│ э жь д с г з ь │
│ЛЁРЬ ЦЕШ ЗУНЬ ЛИТ ПЛЁХ СВИНЬ ЗДЯК ГИСЬ ТАЩ ЗЕНЬ │
└─────────────────────────────────────────────────────────────────────────┘
Таблица Б.644
┌─────────────────────────────────────────────────────────────────────────┐
│ в ь жь │
│ ВИЗНЬ СОФЬ РАЛЬ ЗЭМ ТРЕЛ ТРУЧ КРУХ ПЕН КАШ ДЁЛЬ │
│ │
│ з в ёз в д б │
│ ПЕРЬ КАСЬ БАФЬ ШОС КАФ ДИТ НЕПЬ ГАР ШУХ ПЁСТ │
│ │
│ г з ь б з │
│ НЁК РЕЦ ВЁН ТРИСЬ СВАЧ ЁЛЬ ДЛОП ДРОЙ МАС ФИЛ │
│ │
│ ь ыв б ь з │
│ СЮЧ ЖИФ НУР ПРИП ДЫРЬ ВОМЬ ФОЧ ЗУМ ТЫСЬ ХАР │
│ │
│сч жь д в з д з │
│ ЩИШ ПЫХ ЛОТЬ ШУЛ ХОФЬ ЕСЬ ДЛЮТ ТРАС ТРЮЙ ГУНЬ │
└─────────────────────────────────────────────────────────────────────────┘
Таблица Б.645
┌─────────────────────────────────────────────────────────────────────────┐
│ з г г в д сч │
│ДОСЬ ЖАК ПЯК ПРАН БЕН СУН ФСИТ ЩИМ МОСТЬ ЁЦ │
│ │
│ г б жь б з г з │
│ПОК МЯЛЬ РЮП РОХ ДЕШ ЦОП ФУЛЬ СЕС БЯК ТЫСЬ │
│ │
│ в и в г г д │
│МЯФЬ ЦЫР ЗЫР СЁМЬ ТАН ЗУФЬ ДВЕК ТРЯНЬ ЗАК ШАТЬ │
│ │
│ в в з о жь в │
│ТЫЙ ФСАФ ЛИЛ ГЕЦ ПОСЬ МЫН ГУХ ЖЕШ РЯФ ЧТАН │
│ │
│ э в д д з д │
│ШЕН ЯХ ВЫФ ПРЯЙ ХИТ ГОЙ ЯЛ БУТЬ ЛУС МИТ │
└─────────────────────────────────────────────────────────────────────────┘
Таблица Б.646
┌─────────────────────────────────────────────────────────────────────────┐
│ эд г э жь г ь │
│ ВЫН ДОНЬ ШЕТЬ СЫК ЖЕШ РИХ ФУНЬ СТЕМ ВУК ЛЁЧ │
│ │
│ д з в б ь з │
│ БЯРЬ ВЯНТ ДЛУС КУФЬ ЛЁМЬ ГОМЬ ВЁП ДЕЩ ЦЫЛ РЮСЬ │
│ │
│сч яз э з з в жь ь д з д │
│ ЩАСЬ ШЕЙ ТРОЙ ШАС НУСЬ ФСЮШ БЕЧ ХАТЬ ЛЫСЬ ЗНУТ │
│ │
│ д жь з ь жь в в │
│ ЗИХ ХУТ БОШ СТЫСЬ ЕХ РОЧ МИШ РЯН РОФЬ ПОФ │
│ │
│ з ё сч ь д з │
│ ПУЗНЬ ЦОР ХОС ШОЛЬ ЩЕЙ ШУЩ ВЫЦ БЯМЬ СЫТЬ СЮС │
└─────────────────────────────────────────────────────────────────────────┘
Таблица Б.647
┌─────────────────────────────────────────────────────────────────────────┐
│ ь ёг б │
│ФИЩ ЛЯР КОЙ ДЕЙ ПРИХ ЧТИХ БЯР ЖОК КОЦ РЯП │
│ │
│ в б д б з б д б │
│ЗЫФ ТУПЬ ДЕР НАТЬ ПЫП ДУСЬ СЕСТ ГЕПЬ ШТУТЬ НЁПЬ │
│ │
│ жь д г б │
│ТРЁШ СКУТ ПЯР ПЛАМ ТЫК ЦАЙ ЕЛ ДВАР СОП ШТОХ │
│ │
│ б з с д сч о в д в б │
│РОП СОМЬ ДОЗНЬ ЧТУС ЗДОТЬ ЩЁЦ ФСАТЬ ВИФЬ ФОРЬ ПАП │
│ │
│ ь б з з в │
│ПАЧ ТРЕП МОС ШАМЬ СКЕН БЭЛ ЧТЫСЬ ПЫХ ТЯРЬ РЕФ │
└─────────────────────────────────────────────────────────────────────────┘
Таблица Б.648
┌─────────────────────────────────────────────────────────────────────────┐
│ з д д д сч в в │
│ГЕСЬ ПРАТ ГУТ ХЕНЬ ПЛЁТ ЩИФ КЕФ ДРАЛ ЧИЙ НЯЦ │
│ │
│ д в с жь ь ь г │
│СТОНЬ ДЛЁТ ХИФ БОМ ЗДЯЙ ТЁШ ПИЩ БУЧ САР ЗЭК │
│ │
│ д в б в ь сч ь │
│НЕНТ ЛОФЬ ЗОПЬ ТЮФ ДОЙ БАРЬ НЕЧ ЩЕМ МАХ ЗЯЧ │
│ │
│ г б д з б в │
│МИЙ ГУК ГАЙ БУП ТОСТЬ ВЕТ ЗУС НАМ СИП ЗЕФЬ │
│ │
│ д г г жь │
│ПЁЙ РАР ПЕТ СЕК ДАЦ ТЁК НЕШ ПЭР ВЯЙ НУЛ │
└─────────────────────────────────────────────────────────────────────────┘
Таблица Б.649
┌─────────────────────────────────────────────────────────────────────────┐
│ в в в о б │
│ЁР ДЯФЬ ЖУН ТРИХ НЮФ ТОФЬ КЕЗНЬ СЁЛЬ ЧЁМЬ ПРАПЬ │
│ │
│ д в в б д г з д д │
│СУТ ФСИФ ТРУПЬ ЧИРЬ ДОХ ПРЮТЬ СВОК ТРЯС ЛУТЬ БОТ │
│ │
│ з в б б в д │
│ЗНАСЬ ГИФ ХАПЬ ЯНЬ МЯП КИР РЫФ ФЕЙ ШТАН ФАТЬ │
│ │
│ б б з в в ь б з │
│ЖАНЬ НОП НЫП ТАСЬ КИФ БЫФЬ ПЫЩ ПРЕП МЁЛ РУС │
│ │
│ ь д жь б │
│ЛАЩ ШУТЬ ВАРЬ СТУР МУЙ РЕЛЬ СЮЛ СУРЬ ЛЯШ ШУП │
└─────────────────────────────────────────────────────────────────────────┘
Таблица Б.650
┌─────────────────────────────────────────────────────────────────────────┐
│ в з в ь г ь б │
│ПУРЬ ЮМ ХАФЬ ДИС ВУХ САФ РЫЧ ЗЮК ЯЩ ТОП │
│ │
│ з ыз в д д з │
│ПЮС ЖИСЬ НИХ ПРЫМ ТИН ЗАХ БЁФ РЁТЬ ЛЕТ МЯС │
│ │
│ з з в б │
│РЁМ ГАСЬ ЗОЛЬ МЭС ДЫФ МАЛ НИН НЯПЬ ТАЛ МЮЦ │
│ │
│ в д з з ь б г │
│ЛУФ КРУН НАТ ДЮСЬ КРАС ТОЧ ЗЭП ФЫК ЛЮН ЦОЛ │
│ │
│ б д яг г з │
│ЛИПЬ ЧЕЛЬ ТРАТЬ ДЯНЬ СВЕХ ЧАК ЧТАРЬ ВОК ВОСЬ КАМ │
└─────────────────────────────────────────────────────────────────────────┘
Таблица Б.651
┌─────────────────────────────────────────────────────────────────────────┐
│ в з ь г в в │
│РЫНЬ БАЙ ФИФ ХУНЬ ЗНАС ПУЧ ТРИЦ ДЫК ЧТЕФ СТУФ │
│ │
│ д б б я д с з б │
│НЕЙ ТЯТЬ СЁП ФОП ЧАЛЬ РАЛ ПРЯТ ЛОРЬ ЗДЯСЬ ЛЕП │
│ │
│ жь сч ог г в з в г │
│САШ НЯЛ ЩЁК НУК ЁФ СОСТ СТОСЬ ЛЁФЬ ХЕК РИЛ │
│ │
│ жь д б г в г │
│ПОШ КРАТ БЫП ШАМ ПРЮК СОФ ГУРЬ ЗАМЬ ЗЕРЬ ШТОК │
│ │
│в д ь д з в жь │
│ФСЫТ БЯЛЬ ЗЁЧ ДЛЕН ЦАТ МЮЛ ТЮСЬ БАФ МЯШ БОН │
└─────────────────────────────────────────────────────────────────────────┘
Таблица Б.652
┌─────────────────────────────────────────────────────────────────────────┐
│ з б з ь з │
│СВЫЛ ЮР БЮЙ ЧТАСЬ СЭП ТИС ЛЫНЬ БЯЧ ДРАСЬ ШУР │
│ │
│ оз в сч я ы сч б з з │
│ШЁСЬ ПАФЬ ЩАМ ШИЛЬ ЩЕРЬ МИП ФУС ВЕН ФЕР ВАС │
│ │
│ б в з д в з з │
│СУХ ШУЦ ДАП ТРЯФ ТРЕСЬ НАТ ТАФ ЛИН ХОС ШТЫС │
│ │
│ д б ид з в жь з │
│НЁТЬ ХАПЬ ГАЛ ЦЫТЬ ДЁСЬ КРУФ ГОШ СКИЙ ПАСЬ ТЫНЬ │
│ │
│ б з б з д з │
│ГОМ ЖАЦ ТЕП ДОС МАП ПЯХ СЕСЬ ХУТЬ НЫХ БУС │
└─────────────────────────────────────────────────────────────────────────┘
Таблица Б.653
┌─────────────────────────────────────────────────────────────────────────┐
│ ь з г ог з д э и │
│КИЧ ФАР ЛОС ЗНОК ЧЁК ВИС ТУТЬ ШЕР ЦЫХ НАЛЬ │
│ │
│ д б д б б д │
│РЮТЬ НИПЬ ЛЯТ ЛАПЬ ЧТЫПЬ ПУЛЬ ДЯЛЬ ВОТЬ МОН МЁН │
│ │
│ ь д в з б д ь │
│ВУЧ НАСТЬ КОНТ ФСИС ЖУЛ ЗОПЬ ЗЯТ ТАМЬ ДИМ ШТАЧ │
│ │
│ в г д │
│ДУН ТРУФЬ РЕХ НЫЛ БЮЦ ФЭК ТРЫТЬ ДЮЙ КУРЬ ВЯЛЬ │
│ │
│ ь б г ь г д │
│ДЫЧ ДЛАП КУК ДЯСТЬ БУЛ РОНЬ КОЛЬ ЛЮЧ ПРЁК ВАНТ │
└─────────────────────────────────────────────────────────────────────────┘
Таблица Б.654
┌─────────────────────────────────────────────────────────────────────────┐
│ в д ыд б в г │
│ТИЙ КУФ БЕМЬ СУМЬ ТЕТ МЯЙ ШИТ ЕП ФСЯМ ЛЁК │
│ │
│ б з б б ь │
│ТЫФ ВЫП НЯС СИЛ ЖАЛ МЫПЬ ЕР ГЕЙ РОП НЕЩ │
│ │
│ з д д ь о │
│ПЛУЙ ВУЙ НУС ТРЮРЬ СТЯТ ФЫТЬ ПЮЛ РИЧ ШЁНЬ РЯР │
│ │
│ з эв ь д з ь │
│ПЕС РУЦ ЖЕФ ЕЩ ДАТ ПРАЛ СВАХ ЗАСЬ ГИЩ ВЕЦ │
│ │
│ б д в ь сч з │
│ЗЫЙ ПАЗНЬ НОНЬ ЧТУПЬ ФИТЬ ГАФ ДЯЧ ЩЕСЬ ТУЙ БЁЦ │
└─────────────────────────────────────────────────────────────────────────┘
Таблица Б.655
┌─────────────────────────────────────────────────────────────────────────┐
│ д жь ь ю ь з д д │
│ТЁТ НИШ ПРУЧ ХИН ЗОХ ЧУЧ ПЛЕСЬ ЛЕТЬ СЮХ РОТЬ │
│ │
│ з эд в ь з ыв жь │
│ЯС ЦЕТ РЁФЬ ВЫШ ТАР ПРОСЬ ШИФЬ ПИНЬ САР ПЕШ │
│ │
│ г в в г с з │
│ВОЛЬ ДЕК КЕНЬ ЧЕН ЧИФЬ ЛАФЬ СТАК МЕЙ ЗУЛЬ ЗДОСЬ │
│ │
│ в д д д г ы ь │
│РОХ ДЯРЬ СКОФ ДВЯТЬ СЫРЬ ТРАЙ ЗИТ ТЁНТ ПЫК ЖИЧ │
│ │
│ з ь ь ь д жь з │
│РЕС МУР ХОЩ СЮЩ БЫЦ ЮЧ РЕН ТОТЬ РУШ ЗУСЬ │
└─────────────────────────────────────────────────────────────────────────┘
Таблица Б.656
┌─────────────────────────────────────────────────────────────────────────┐
│сч ь оз ь жь д │
│ ЩИЦ ЕЩ ЧЁС РЁНЬ ДУМ ТЮЧ ДЁШ БЭТ МИЛ ДИЛЬ │
│ │
│ в б ь б жь │
│ ШУЙ ТАН ПЮФ ДОРЬ РЭП РАН ШАЧ ЧТИЛ СЯПЬ ТРЕШ │
│ │
│ д г б с ь б г │
│ ДЫТ СТАК МЯПЬ ЗДИХ ХОЧ ТРИПЬ НУРЬ МОК ПАМ ФАРЬ │
│ │
│ з б з з в д з │
│ ХОСЬ ВОРЬ ЖАП СУС ПОС РУФ ВИЛ НЯТ ТОС ЦОХ │
│ │
│ д в ё з д с │
│ КЕСТ МЭТ ЛИФЬ ШОЙ НЫЦ ХУН НЕС ТРОЦ ЧЕТ ЗДАЛ │
└─────────────────────────────────────────────────────────────────────────┘
Таблица Б.657
┌─────────────────────────────────────────────────────────────────────────┐
│ г б д з │
│ЛАМЬ ЁНЬ ГАК ПЯП НЕЛ ЦУЛ ЛАТЬ ТРЮСЬ НЯМ ЗУЛ │
│ │
│ ё в в б з з з в │
│ЖОЛ ДЯФЬ САФЬ КАПЬ ПЛУС ПУСТ РОС ЗАМ ДАС ЗОФЬ │
│ │
│в в б д д │
│ФСЯФ НЮП ЧТАХ ХАЛ ГИХ ГИЛ ПЁТ ДРЕЙ ПУЙ ЛЮТЬ │
│ │
│ в э в в в в │
│НАЛ ГАФЬ СЫРЬ ШЕЦ МАХ БИФЬ ГУЙ ТРЫФ ЕФ ТУФЬ │
│ │
│ г б д │
│СОРЬ КИХ МЁК КОР ЧТЫЛЬ ЦАП ПИЙ ДЮТ ГОРЬ КРЫЛ │
└─────────────────────────────────────────────────────────────────────────┘
Таблица Б.658
┌─────────────────────────────────────────────────────────────────────────┐
│ з в д ю ь в │
│ЛЕЦ БЯЛ ЮС ТИФЬ ВЯТЬ ШТЕМ ЧУЛЬ РОМЬ НУЩ СТОФ │
│ │
│ в з в б яв в │
│НУСТЬ ПЕФЬ СКОСЬ ДАМЬ СТЯН ФСЕХ СИН ДЕПЬ ЧАФЬ СЫФЬ │
│ │
│ д д ь з б з │
│ШТЕТЬ БУТ ЗИМЬ ПРЯЧ ТЫЦ ДЫСЬ ЛЯР БЫПЬ МЯРЬ ДУС │
│ │
│ б в с д жь ь з │
│ВУЦ ПРЮП ЗАФ МАЗ БЯТ ХИРЬ ЗУШ РАЩ ЛУСЬ ВУЛ │
│ │
│ в д д ь │
│ХЕФЬ ЗЕЛЬ ВЕНЬ РЮЛ РУТ РЮТ БАМЬ ВЫЧ ТУЛЬ ПРОН │
└─────────────────────────────────────────────────────────────────────────┘
Таблица Б.659
┌─────────────────────────────────────────────────────────────────────────┐
│ г в г б з в │
│ТРУК ДЛАМ ФСАК ВЁСТ ГУР ШУП ЛЁСЬ КОФЬ БЁМЬ ВЁР │
│ │
│ д д д д э жь │
│КУТЬ РЫР ФИТ ФЫТ РИТЬ ЦАН ШЕЛЬ ФЕН РАШ НИРЬ │
│ │
│ д г г б жь г жь │
│САЛЬ СЮТЬ ЛЕК ШТУН ПЛЕК ФУПЬ ВАШ ЗНЮК ЧИМ СКЕШ │
│ │
│ в жь з б з ь сч од в │
│ХАФ БЫШ ФОСЬ ВАПЬ ТУЗНЬ ЗАС ЗЁЛЬ МЮЧ ЩЁТЬ ШАФЬ │
│ │
│ з з г э ь г │
│ЖУЦ СЫЛЬ НАС РЯЦ ДЛЕСЬ ПОК ЖЕЩ ФИЙ ПЫН ПЭК │
└─────────────────────────────────────────────────────────────────────────┘
Таблица Б.660
┌─────────────────────────────────────────────────────────────────────────┐
│ г б з ь б │
│ТЕК НЁЦ ТЯЛЬ КЕПЬ ТЁСЬ РИЧ ЮЛ ТЫР РЁП МАЛ │
│ │
│ б з д э │
│ЛИЛЬ КРАР СЕХ ЯП ДВЕС ЛОН ЗНОТЬ БАЛЬ СЕЗНЬ ШЕНЬ │
│ │
│ ь б в жь ыз │
│БЯЩ ВИП СВОФ МИШ ТРЁЛ ШИС ГЕР ДАСТ БИН СВАЙ │
│ │
│ ы г д з г │
│НУЙ ЖИРЬ БОНЬ ЧТЫК ЗОНЬ ПРУТЬ РЕС НОМ НЁК ДИЙ │
│ │
│ ь ь сч юв д сч ю ь з │
│ПРЫЧ СТУЧ ЩУФ ЗЯМ СЁРЬ ТАХ ПАТЬ ЩУЛ ЛЫЩ ПРЁСЬ │
└─────────────────────────────────────────────────────────────────────────┘
Таблица Б.661
┌─────────────────────────────────────────────────────────────────────────┐
│ г б о │
│ЛЯЙ ТОНЬ ЗЕМ ВЫН КИМ НИЦ ДЛЁК БУН ЧТИП ЖЁН │
│ │
│ д д з жь │
│РИЙ ДЯТ ДЛУТ НУНЬ КРАС РЕЦ ЗИН ПУШ ВЯЗНЬ ЧЕЦ │
│ │
│ з б ь з з в │
│ЛЕСЬ КАМЬ ДОП МЮМ ФЫНЬ ГУНЬ КЕЧ ПРЫСЬ ТЮСЬ ТЭФ │
│ │
│ б г д б з │
│ТИПЬ ЕК ЛУТЬ БЁП ТЁЛ МЁР ШТЫН ФОР ЛЁМ ЧТУСЬ │
│ │
│ д з в з │
│ШТАТЬ САХ ЮЛ ХУС ДЮНЬ ТЕРЬ ЖУФЬ НИСТ СОРЬ СТУС │
└─────────────────────────────────────────────────────────────────────────┘
Таблица Б.662
┌─────────────────────────────────────────────────────────────────────────┐
│ ь д сч оз в ь в с з │
│ ЧТАР НУЩ ДЁХ НЭТ ЩЁС БЯЛ ЛАФ БЫЩ ЕФЬ ЗДЯС │
│ │
│ э д в │
│ ЗАР СЫЛЬ ХАРЬ ТРЮХ ЦЕЙ СТОМ ВЯЛ ПРИЛ НОТ МЫФЬ │
│ │
│сч юд сч э жь з в │
│ ЩУТЬ БИНЬ ЩЕЦ БАЦ ШЕЦ ГОР ДЫШ ДЕМ ВИСЬ НЕФЬ │
│ │
│ о в з б в д │
│ ТЯР ЗЯН ЧЁРЬ ВУМ ГУФЬ КАС РЕП БИФ ГОЙ ДОСТЬ │
│ │
│ ь з │
│ ГАР ХЕН ДЕМЬ СКЕХ ЗАЧ ПЛАС ЗНОХ МЯЦ РИЛЬ МЯК │
└─────────────────────────────────────────────────────────────────────────┘
Таблица Б.663
┌─────────────────────────────────────────────────────────────────────────┐
│ б б б жь жь в ь │
│ШАП ВЕПЬ НАП РУХ ТЮШ НЯР ПЕШ ВУФЬ ТАЧ СЁСТ │
│ │
│ б ь д ь д │
│ПЯМ ТАПЬ НАХ ТРИЙ КИР ПЛЕЧ ПЁНТ ВЁЧ ЗОТ ЯН │
│ │
│ д ь в │
│ТРЫМ РИЦ ЧТЫТ КУХ СТЕЛ ПРАЧ СУЛ ЛЯФ БУНЬ МАН │
│ │
│ ь сч ю б │
│ЗЁМ ШУН ЛЁЦ ТУН ШАЛ ПЮЩ ЩУМ ЁНЬ НЕП ЛУЛ │
│ │
│ д э в з г з б │
│ВОТЬ ЖЕР РЫФЬ ГИН СЮР ЛОС ВОК ГЕСЬ МИПЬ СВУХ │
└─────────────────────────────────────────────────────────────────────────┘
Таблица Б.664
┌─────────────────────────────────────────────────────────────────────────┐
│ ь в г в б │
│ТУЧ ПРУМ ФСУК ЛЕР СТЫФ САМЬ ДЯЛ ПЁП ТАП КРУМ │
│ │
│ б г ю в │
│ДРАН ЛЫП ДВАЛ ДАК ХИЛЬ ЧУЛ КОЦ ПАЛ ПУНЬ БУФ │
│ │
│ я ь ё з з │
│ЧАЧ ФЕМ ШОЙ РАХ ТЫРЬ СКАН СИЙ ЗНЕН ЦОС СУСЬ │
│ │
│ з ё д с ег з б ы │
│ХОЦ ВАС ШОР РАЛЬ ТАНТ ЗДОН ПЭК СВАСЬ РЫПЬ ЖИНЬ │
│ │
│ д жь г з ь з │
│ПОР КИНТ ГИШ ЧИР ЗУЦ ХУК СЕСЬ ФИХ МАЩ ШТИС │
└─────────────────────────────────────────────────────────────────────────┘
Таблица Б.665
┌─────────────────────────────────────────────────────────────────────────┐
│ д в ь з жь д в │
│БОТЬ ПРЯМ ШАФЬ ЗОМЬ ТРАЧ ЗУЙ ТРОСЬ ХАШ РИТ ДУФ │
│ │
│ ь из ь в з │
│ЕЩ ТРИМ НЁРЬ ШЫС МУНЬ НЯЧ ПЫФЬ НЫСЬ ТРЁЦ РЕМ │
│ │
│ в б жь ь │
│СЫФЬ СЯЦ ЖАПЬ МЕН ЗУР ДОЦ СЁНЬ ФСЕШ ДЯЧ РУН │
│ │
│ э з ь д в г ь │
│БЕРЬ ВЫХ РЫХ ШЕЛ ФАСЬ БУЩ БЯТ ФСЯХ ПРЕК КОЧ │
│ │
│ в б з б ь │
│ДЕФЬ ФУП ПОЛЬ РЁС ЦУМ ЛИП НЯЙ НИНЬ ПЁХ ЦЫЧ │
└─────────────────────────────────────────────────────────────────────────┘
Таблица Б.666
┌─────────────────────────────────────────────────────────────────────────┐
│ з б з жь ёб з шь │
│ПЮСЬ ЯПЬ ТУРЬ ЗОСЬ ЦАШ ПРАЦ САЦ ШОП НЯС НИЖ │
│ │
│ в з г з │
│ШАН ПРУЛ НЫФЬ ШУР БАРЬ ПОМ ПРЕСЬ ЛЯНЬ ВАК ГУС │
│ │
│ г б д б в б в │
│СВАК СТОРЬ БУПЬ ЛАТЬ ЗУПЬ КАФ ТРИН ПЛУП СУФ ПРЯЛ │
│ │
│ г з ь жь я жь з ь │
│ЧТИМ ТЯК ВУРЬ КОСЬ ТАСТ ХЕЩ ТРАШ ЧАШ КЕСЬ ХАЧ │
│ │
│ жь д д д б в │
│КАНЬ БЕШ ЕТ СТУТ БАТЬ ГЕЛ ТРИЛЬ МЮПЬ ЗНОЛ ШТАФ │
└─────────────────────────────────────────────────────────────────────────┘
Таблица Б.667
┌─────────────────────────────────────────────────────────────────────────┐
│сч б г ь г с │
│ ЩЕПЬ ТРЫНЬ ДЯМ ХУК ЗОЩ ЧИК ЗДЕХ ГЕЦ ВЁХ ГИР │
│ │
│ б ь эг з д з │
│ БЯЦ ВЯМ ДЫП ЗЁЦ ВОЧ ЦЕК СЯХ ХУС ЗНЕТЬ ПРЫС │
│ │
│ ив з д жь д ь ь ь │
│ ЦЫФ ДОСЬ СИТ ШТЫР НЕШ ТРЕТ ПЕЩ ДЕЧ ЛОЩ ДУР │
│ │
│ б з ы ь г з д │
│ ШУПЬ ДЛЕС ФЕЛ ТИНЬ ШИМ ПОЩ ДЛАК ТЁРЬ ЛИСЬ ТЫТЬ │
│ │
│ в ь в б в │
│ ПАРЬ МИХ ДОФЬ ФИЧ САНЬ НЯЛ РАФ РЮЛ РЭП ГОФ │
└─────────────────────────────────────────────────────────────────────────┘
Таблица Б.668
┌─────────────────────────────────────────────────────────────────────────┐
│ д в д б жь б ёд │
│ЛЮР ДВИТЬ ФАМ КАФЬ КОТЬ РИНЬ СЕПЬ СТЫШ ЛЁПЬ ШОТ │
│ │
│ д жь с з в б ь │
│СКАТЬ ФОШ СВУЛ ЗДАС РАМЬ ДАФ НУПЬ ГОЧ ЁМ ФОЛ │
│ │
│ д в │
│НЕР БОЦ ГАЦ ДЮР ДУЦ ТУН ДОСТ ШТИТ СЁФЬ ПИМ │
│ │
│ в эг з з д │
│БЫФЬ ШЕК РЁС НАРЬ ЗУХ ХИС ДЯТЬ ПРИМ РЕРЬ ЛЕН │
│ │
│ з д б ь б д з д г │
│МАС СИТ ТРОП МУЧ ВУПЬ ВЫТ ПЛИС РИН НЁТ СЁК │
└─────────────────────────────────────────────────────────────────────────┘
Таблица Б.669
┌─────────────────────────────────────────────────────────────────────────┐
│сч ю д б в д д │
│ ЩУХ МЕТ ЗАПЬ ТАЛЬ НОЙ ЧТАФ ЗАЦ ЮТЬ ХОХ ТАТ │
│ │
│ в з в в в │
│ ЛУР ФСАЙ МЯСЬ КОР НЯСТ БУРЬ ПУН ТОФ ВАФ ПЕФ │
│ │
│ в в з б ы │
│ ЗЕР МЯН ЦОФ ФСЁЛ ВИРЬ НАЙ СОСЬ ПЯРЬ РИП ЦИРЬ │
│ │
│ б оз з в ь │
│ ЖУПЬ ЖЁСЬ РЯМ ЧТЫМ НЕЙ ДРЕС ДЁФ ВЫЛ ТЮХ ТЫЩ │
│ │
│ в э б з ыв ь │
│ МЁФЬ КРАМ ЛИЙ ШЕР ПУЦ ФУРЬ РЫП ЛЫС ШИФЬ ЁЧ │
└─────────────────────────────────────────────────────────────────────────┘
Таблица Б.670
┌─────────────────────────────────────────────────────────────────────────┐
│ з д д б в э з сч ов │
│ЗИСЬ СУЛЬ ЖАТ СЫМ ЧТУТ ДЕП ФСЕМ ЖЕЛ ЗЯСЬ ЩЕФ │
│ │
│ жь в г ь │
│ДЕЦ ЖУШ РЫРЬ ЛЕХ ЗЭМ БЁФЬ МЫК ГАМЬ ТРЁЧ КИРЬ │
│ │
│ ь ю в жь д б │
│НУЧ ЧУЦ ТЫЙ МОФ ЮШ БЮТЬ РУП СТЕЙ ХАРЬ БОЛ │
│ │
│ д б сч ю ь │
│НОЦ СЕНТ НИПЬ ЩУЙ РЯНЬ БЮЧ ПЁЗНЬ БИЛ СКИМ СЫЦ │
│ │
│ з б о з │
│КРУЛ ВЕНЬ ПЫСЬ ВЁСТ ЛЫПЬ КИЗНЬ ЧЁЛЬ ТЕЙ РОСЬ ЗОМ │
└─────────────────────────────────────────────────────────────────────────┘
Таблица Б.671
┌─────────────────────────────────────────────────────────────────────────┐
│ з в │
│ТУН ШТЕН ВАНЬ ЧЕРЬ ПЛУСЬ ЗУРЬ ФАФЬ ЕМ СВОМ МЯМ │
│ │
│ б з з в │
│ЧАПЬ ПАСТ ВЁС РЯЙ ЦАМ ФУМЬ ТРЯМ ЖАМ ЗЯС МЁФ │
│ │
│ з з д д сч яг д │
│ФЕС ТИС НЕСТЬ ФСЯТЬ СИТЬ ЩАК ПУР СЫЛ ДЛОТ СТЫМ │
│ │
│ б д з д ь │
│НЕЛ ПОПЬ ЗНОТ ТУС ПЮТ ТЁЛЬ ТЯЙ ШАЩ ШТУЛ ПОР │
│ │
│в в г д │
│ФСЕФ СКОЙ ПРЮН РЕЛ ЗУК НАТ НАЛЬ ТРЕЦ ДЯЛЬ НУЙ │
└─────────────────────────────────────────────────────────────────────────┘
Таблица Б.672
┌─────────────────────────────────────────────────────────────────────────┐
│ в ь з │
│ТАФ СИЙ МЕЩ ЛОЛЬ ФЫХ ГУЛЬ СТУЙ РИЦ ЮЙ НЁС │
│ │
│ з о в д в б │
│БАМ ВУЛ ЗИРЬ МУСЬ ЧЁНЬ БЕФ ТРЫТ ЛАФЬ РЫПЬ МАР │
│ │
│ д в б з д б д д │
│ХОТЬ СЫФ ТОП ЦУСЬ РЕХ ПЁМ ВЮТ РИПЬ ДЕТЬ ЗОТЬ │
│ │
│ з э з жь д д │
│ЗНЕС САЛЬ ШУЛЬ ШЕХ ДВАСЬ КРУШ ДЛИТ ПРЯЦ ТАСТЬ МИТЬ │
│ │
│ г ь з ыз з з з ь │
│ЧТИК БЫЧ КАС КЕСТЬ ЖИС СУС ДОЛЬ ДЯС ЧТАС ШУЧ │
└─────────────────────────────────────────────────────────────────────────┘
Таблица Б.673
┌─────────────────────────────────────────────────────────────────────────┐
│ жь в в │
│ ДРАШ ВИМ НЯМ ТРУЛ ТЫРЬ ВЯРЬ ЛЮЙ СКИХ РАФ ЛЯФЬ │
│ │
│ ь б з г д │
│ ХИЧ ШАП ЛЕСЬ СВЕК ГАН ПРЕЛ МЫТ БОНЬ ЗЁХ РАЛ │
│ │
│ г в д жь │
│ ЧТЫЙ ПЫК ДАХ ДЫФ НИЛЬ ТРЁМ КЕТЬ ЗАШ РОЦ БЯНЬ │
│ │
│сч в г б з д │
│ ЩЕФ ДЫЦ ХОНЬ ПЫМЬ КРОК ПЯПЬ ЧИС ЖУЛ ТРЮТЬ ЛАМ │
│ │
│ жь жь в б д б │
│ ЗАРЬ ПРЫШ ВАШ ЯМЬ СТЕФ НУЦ ПАПЬ МЯТ РЭП СИСТ │
└─────────────────────────────────────────────────────────────────────────┘
Таблица Б.674
┌─────────────────────────────────────────────────────────────────────────┐
│ жь в жь б ы жь з │
│НЁЦ ЦУШ САФЬ ТАШ НУРЬ ЛЁП ШИР ВЫШ БИСЬ ЗИНЬ │
│ │
│ г жь в д в ь в з │
│ПОК ДЯШ ГЕФ ЗОТ ХЕФ ЛЁЦ ЯЧ ШАФ ГИС ЛЫХ │
│ │
│ д жь з сч я з жь г д б │
│НЯТ СЯШ ФИСЬ ЩАРЬ ЧТЫЛ ДУС ТОШ ЗДАК ФОТЬ ВЫП │
│ │
│ ь д з з д е │
│ТРОЧ КАТЬ ГУЦ БЯМ ПРЁС ГОСЬ ТЭН ПЁТЬ ТЭЛ НОМЬ │
│ │
│ ь жь б ь в б сч б д │
│ВУЧ НЯШ СОПЬ ГАЧ ЕЦ ПРУФ ПРОП ЩИЙ МОП ЦОТ │
└─────────────────────────────────────────────────────────────────────────┘
Таблица Б.675
┌─────────────────────────────────────────────────────────────────────────┐
│ б д жь ё жь ь эв │
│КАМ ЗАЛЬ КАП РОТЬ БУМЬ ЖАШ ТЕЛ ШОШ РЮЩ ЖЕФЬ │
│ │
│ д д д б жь з эг │
│ШТЕТ СТАТ ВЕНТ РОНЬ БЫП БЯШ ЁСЬ ДЕРЬ ШЕК ТУЦ │
│ │
│ ь жь б з жь д с з │
│ЛЮЩ ХОШ ПИЛ ЛИПЬ РЮМ СЯСЬ ЛУШ ДУТ ВОРЬ ЗДИСЬ │
│ │
│ ь в з д в з б в │
│ДИР СЕР ДАСТЬ НЕЩ СИФ КИС БУТ ФСАСЬ ХУП БАФЬ │
│ │
│ б ь ь б б │
│ТЮМЬ МЮП БЁЧ ХАНЬ ЧИЩ ДЕЙ ГЕЛЬ ДЕПЬ НЫП РЁЙ │
└─────────────────────────────────────────────────────────────────────────┘
Таблица Б.676
┌─────────────────────────────────────────────────────────────────────────┐
│ в ёб ь б д жь │
│РОФЬ ЧОПЬ ПРЕЧ ПЛЕП ПЛОЙ НЁТЬ СТАЦ НУМЬ ТЫШ ДУМЬ │
│ │
│ э в з ь д б з │
│ЖЕЛЬ ВЫФЬ ХАС КРУЧ РИТ МУПЬ НЯСЬ ПРАМ СЮН НИР │
│ │
│ жь б д б ь д │
│ВЫЛЬ ЛАШ БАПЬ НОТ ЖУП ТРЮЧ РЯЛ РУНЬ СВЫТ ЧТУХ │
│ │
│ ь з д сч яд ь з │
│КИЩ ТАС СКИТЬ ЩАТ ЖУЧ ЛЯС РЯМ СЁЛ ВЯХ ГИЛ │
│ │
│ сч д ь │
│ШУНЬ ЛИЛ ГИЦ ЧТЕМ СТУНЬ ЩИХ ДЫТЬ БУЦ ЦАР ЗОЧ │
└─────────────────────────────────────────────────────────────────────────┘
Таблица Б.677
┌─────────────────────────────────────────────────────────────────────────┐
│с з ж в в │
│ЗДИС МЁШ ТЯХ НИЦ ТЭР ТЁФ ВАЦ ВЫСТ ЛЮФ ПОР │
│ │
│ д г эв │
│МЯНЬ КУТ ГЕРЬ ДИНЬ ДЮК ЦЕФ ТУЦ ТРЯЦ ФЕНЬ ЗНАХ │
│ │
│ д б з жь жь │
│ТЫТ КРОЛ РЫЙ РЫП ДЫСЬ ЗЯШ СЯЦ РЕЙ ЁР БЮШ │
│ │
│ в д жь в д │
│ЛИХ ДАН ФСЮТ КАЙ ЗУН КУР МЮРЬ НАЦ ЧТАШ ФСЭТ │
│ │
│ б з г д в ыб │
│НАПЬ МЫСЬ ЗИНЬ ШТАХ ЕК ПЮРЬ ДЕЛЬ СЯТ СУФ ЦИП │
└─────────────────────────────────────────────────────────────────────────┘
Таблица Б.678
┌─────────────────────────────────────────────────────────────────────────┐
│ в в з д в б эв │
│ЗАФЬ БОФЬ ЧЕС ПРИТЬ ФИФЬ ПРАНЬ ДЁР НЮПЬ ШЕФЬ СЫНЬ │
│ │
│ в з ь │
│ПЕРЬ ЧИРЬ НЯЗНЬ КОФ НЯЛЬ ВАН ЦОСЬ ДУЗНЬ ПЕН БАЩ │
│ │
│ б д д ь б │
│ЛЕМ ГАПЬ ВУМ РАТ ХУЛ ХАТЬ БЕХ ДЯЧ ТАП НЫР │
│ │
│ од ь д д сч б в г │
│КЕН САЦ ЖЁТ ПОЩ ВУТ ШУТЬ ЩИП ЕЙ ФОФЬ НЕК │
│ │
│ з жь д ь з в э │
│ХЕС СЫШ ШТИН ТЯТ ТАЧ ДЛЮС ТЫФ ВЁМ ЖЕЙ ЗЫН │
└─────────────────────────────────────────────────────────────────────────┘
Таблица Б.679
┌─────────────────────────────────────────────────────────────────────────┐
│ д з ы сч я │
│СУЛЬ СЁНТ КИСТ СТЫРЬ ДЫЙ ДЯС ШИЛ ЯН ЩАЦ ЗОРЬ │
│ │
│ д д ь д д │
│ДРАТ МОМ ЛУРЬ НЕРЬ ТОНТ ФЫЧ ЛЁТЬ БЁТ ГУН ЗИЦ │
│ │
│ ь д ёв ь з г г │
│ПОЧ ПЫТ ШОФЬ ДЛОЙ ШАЩ ФУЙ ПЯС ХИК РУЦ РИК │
│ │
│ в с в жь д в │
│СВАФ ЗДАФ ДОРЬ САНЬ ЛАЛЬ ТРЫШ СЁХ ЗЕЦ НЭТ ПИФ │
│ │
│ б б д в в │
│ТИХ ЮМ ТЕПЬ ХОЛЬ РАМ ФЭП ГОТЬ ЗНОФ ДЯЙ ГУФ │
└─────────────────────────────────────────────────────────────────────────┘
Таблица Б.680
┌─────────────────────────────────────────────────────────────────────────┐
│ ё з в г в в з │
│ШОМ ТРАМ ПРЯС МЕФЬ ГОК ДВЯХ ГУФЬ ЕФЬ БЫМ РИСЬ │
│ │
│ б д д э д з б д │
│БИЦ БЯП ПРОТЬ СОТ ТУМ ШЕЙ ТРУТЬ ШАС ВОПЬ ТРЮТ │
│ │
│ б ь б б я в │
│ЗЮЦ МАП ЗАНЬ ХАЩ РЮПЬ ТРЕХ ВЁП ЧАР ЛУЦ ЗУФ │
│ │
│ г в д жь │
│ЧТАК БЫФ ПУЦ ЛЯН ПУНТ НОРЬ ЛЕШ ВЯЦ КОЙ ПОМ │
│ │
│ д в д ь з з в │
│ШТЫТ НУФ БЭТ ЛЫЧ МЯС СКОМ СТЕС РЁНЬ ФСЕХ БЯР │
└─────────────────────────────────────────────────────────────────────────┘
Таблица Б.681
┌─────────────────────────────────────────────────────────────────────────┐
│ з д жь я с з │
│ЦАСЬ ЕЛ СЭТ ПРЁР РЁХ БИШ ДЛЕЙ ЧАНЬ КАР ЗДАСЬ │
│ │
│ з б д жь │
│ЗЮР РУС НАПЬ ТАЛЬ НЯХ ФОТ НОСТ СКАМ ТРАЛЬ ШАШ │
│ │
│в д з в в │
│ФСЁТЬ ЗЕСЬ ЗАМ НЮФ НУФЬ МЯЦ ГОНЬ ТЮНЬ НЭР ФИЛЬ │
│ │
│ ыг д з д д в з │
│ЦИК ТИЛЬ ШАМЬ ЧИТ НОСЬ СВЕТЬ ДЭТ ФСЕС ЧТАМ СУМ │
│ │
│ д д з з з д │
│ПУР БЁТЬ ЗЯХ ДУТ ШТЕСЬ ШТЕР ТИМ СТЯСЬ ЗАС СТОТ │
└─────────────────────────────────────────────────────────────────────────┘
Таблица Б.682
┌─────────────────────────────────────────────────────────────────────────┐
│ в г б б в │
│РЮФЬ ФЕЦ ЛЁК БЯПЬ НЕМЬ ВОП ДОНЬ СТУЦ ЗНАФ ВИЛЬ │
│ │
│ д д жь в б б в │
│ЯНЬ ЦОТЬ ВЯТ ДЯШ НЯФЬ СЭЦ ЦУЩ ПАП БАП СУФЬ │
│ │
│ ь з ь з б б │
│КУЦ ПАЧ НЫС ГЕЩ МЕМ ЧУС ШУЛЬ ЖУХ ТЯПЬ БУПЬ │
│ │
│ з в д з б ё ь │
│ПЫЙ РЯСЬ РЫФ ВЭТ СЁС ДЛАР ЖАП ЖОЛЬ КОЧ ЮН │
│ │
│ б сч в з жь б │
│ЛЫР СЫП БУЦ ЛИН ЩИР ХОФ ПЯСЬ ТЕШ ШТЫЙ СЕП │
└─────────────────────────────────────────────────────────────────────────┘
Таблица Б.683
┌─────────────────────────────────────────────────────────────────────────┐
│ в д ы б жь │
│ГУР ЗОФЬ ПРЯХ НИТ ЖИН ТЫМ РАР РЯП НУН ЧТЕШ │
│ │
│ б в в б б в │
│РОП ДИРЬ КУСТЬ БОФЬ ЧТУЛЬ ПОФ ЧЕПЬ ЛАПЬ ЗАФ НИРЬ │
│ │
│ з ь ь в д д в │
│КОСЬ ПУРЬ ПЛАР РАЩ БАЩ ЗИФ КРОЦ ПАНТ ДЫТЬ ФСАХ │
│ │
│ жь с э з ь в г ь │
│ЯШ ЗДИН ЖЕРЬ ХОЙ ФЫСЬ САЧ ГАФЬ ПЛЁК РЫЧ ГИНЬ │
│ │
│ г сч з жь д │
│МЮК ШОЦ КЕЛЬ КРИХ ЩЕС ХИШ ДОХ ЁРЬ ТАТ ПРЫН │
└─────────────────────────────────────────────────────────────────────────┘
Таблица Б.684
┌─────────────────────────────────────────────────────────────────────────┐
│ жь сч ыб в в │
│ФУН ЗУШ ЩИРЬ ШИПЬ ТОФ НЕЛЬ ЛЁФ КАМЬ ДЯЙ МЯЙ │
│ │
│ в б в б ь б г │
│РЫЛЬ ФАФ БЕЦ ХИП ЛУХ ТЫФЬ ХАП ДАЧ САПЬ КЕК │
│ │
│ в д жь жь б д г │
│МЫФ ШАТЬ ХОР ГИШ ТРОШ СЕП НЁН СИНЬ ВАТЬ МОК │
│ │
│ ь з з з в в з │
│ГОЧ ЗОНЬ ЛЯСЬ ТРЁС МУН ДЁС ПИФЬ СОФ ТРИНЬ ДВИСЬ │
│ │
│ г эв е д з з э │
│ВЮФ РЁК ШЕФЬ ДЯРЬ ДЭНТ ЛИЦ ЗУС ТРЫСЬ ШЕНЬ ВЫРЬ │
└─────────────────────────────────────────────────────────────────────────┘
Таблица Б.685
┌─────────────────────────────────────────────────────────────────────────┐
│ г д б б сч яб г │
│ПЕК БЮХ ДИТЬ ЛЕП МИПЬ ВЁРЬ СИСТЬ ЩАПЬ ТРЯК ГАЛ │
│ │
│ в д е в │
│БЯФЬ МАНЬ ЛУТ НЁНЬ РЕН БЭЛ МЕНЬ ВОФЬ ЛОЦ ЕХ │
│ │
│ в з ь г │
│ТЯСТЬ ПРУЙ СТАЛ ТОР РИР ПРЮМ СКЕФ ТУСЬ ТОЩ ТРИК │
│ │
│ г з б о эг ь │
│ВОК БЫСЬ ПЫП ЧТЫХ ЧЁР ДРАЙ ШЕК РЮМ НАЧ ДЕЛ │
│ │
│ б жь д г │
│ПЮР ВОЗНЬ ПЕП ВЫМ ЛЮХ ХАЦ СЮШ СВАЦ ПРАТЬ ЗНУК │
└─────────────────────────────────────────────────────────────────────────┘
Таблица Б.686
┌─────────────────────────────────────────────────────────────────────────┐
│ д б жь д б ь │
│ЛОТЬ ХОЛ ЛУПЬ ТРЯР ВИР СЕШ СОСТЬ СТЕТЬ ЛЁП РЕЩ │
│ │
│ в ь жь э з з │
│ГОЦ ТЫНЬ РЕФЬ ПОЦ ЗОЩ РЮШ ШЕХ СЫСЬ ХОЦ ЁС │
│ │
│ б б б з д б │
│ЧТЫП ДРАХ ВЕП ТЫП ЧЕМ БЕСЬ БАЙ ТУЙ РЮТ ДЯПЬ │
│ │
│ г г в жь сч об ь в │
│РЕК НЯХ ПАК СТАФ ЗНУЛ ЛАР КОШ ЩЁП ТЫЧ ЧТУФ │
│ │
│ з эз д ь д │
│ПРУС ПЯЛ ЖЕС БИРЬ ГЕТЬ СУЧ СВУТ МИНЬ ЛЮНЬ КАН │
└─────────────────────────────────────────────────────────────────────────┘
Таблица Б.687
┌─────────────────────────────────────────────────────────────────────────┐
│ ь в б б в │
│ЕЧ ШАФ ГИП ЗОНЬ ФАПЬ ХАР ЯЦ СТЫН ПЕХ ВАФЬ │
│ │
│ г з з д в жь │
│ГОК ВЭС БЯР МЯЛ САС ЧТЕТЬ СЯФ ШТЕЛ ДЕР МЯШ │
│ │
│ з д в жь з з ыв │
│РАЦ КУС СИТЬ ТРИФ ХАШ ЛИСЬ ВЫС ЗАЙ ДЕЗНЬ ШИФ │
│ │
│ сч я жь б с б │
│ВАЛЬ ДИР ЩАЙ ЗНАШ НЫР СИЦ ДИН ЮП ЗДАР ТЁП │
│ │
│ в о ь з │
│СЫФ ЗАЦ ФУР РЯХ ЖЁЧ БУРЬ ЗОСЬ БОЦ ВУР ВЯН │
└─────────────────────────────────────────────────────────────────────────┘
Таблица Б.688
┌─────────────────────────────────────────────────────────────────────────┐
│ в яг д з з з │
│ДИФ ШУХ ЧАК ПРИНЬ ТРЫЦ ПЛАТЬ СКЕСЬ МЮС ДЛОС ТРЕНЬ │
│ │
│ д г з д д эг с д в │
│ПЫТЬ МЕК СВАС ЗЕТЬ ЯМЬ СЁТЬ ЖЕК ЗДЕТ ВУФ СОЛ │
│ │
│ о д ь жь │
│ЧЁЛ РЫМЬ КЕР КРУТ НУМЬ СКАЙ ПРОЛ ШЁЧ НЕН ДЮШ │
│ │
│ ь д жь б в │
│ЗОМ ШУН ХЕЧ ЦАЛ ЗЯЦ ХИТ ШТЕХ НЮШ ЦУП ПЁФ │
│ │
│ э в з д │
│ШЕЛ БЫН ПРЫХ ПРЁХ ПУФ ЖАЙ ТОСЬ ПЛЕМ РУТЬ СТУЛЬ │
└─────────────────────────────────────────────────────────────────────────┘
Таблица Б.689
┌─────────────────────────────────────────────────────────────────────────┐
│ в в д в г в б г │
│ЦОФ ЕН ФСЁТ БЯФЬ ДЫМЬ СЭК МЫНЬ ФСЕР НЯП ГЕК │
│ │
│ в д сч в ь │
│ЗИФЬ МАРЬ СЭТЬ ШТИМ ЩЕХ ЖАФ ХЕСТ ДЁМ РОРЬ ЧИЧ │
│ │
│ з б г б ь в в д б │
│МОС МЁП ВЫК КОП КУЧ БЯН НАФ НИФЬ ДИТЬ БЮП │
│ │
│ б в д │
│ЗУХ ТРУНЬ НОР РУН ЛУЙ НЁПЬ КРАФ БЫХ ТУТЬ ГАНЬ │
│ │
│ жь з ы жь б д │
│РУШ ДЛЁС ФИНЬ ШАЙ ШИР НЫШ ДАПЬ ДВАЙ ЛЯН ГУТЬ │
└─────────────────────────────────────────────────────────────────────────┘
Таблица Б.690
┌─────────────────────────────────────────────────────────────────────────┐
│ з о ь в жь │
│ПРЮСЬ ЧЁЩ РЮЛЬ ТУСТ ДЫЛ ТАФЬ РЁР ЛЕМ ФОШ ПЫСТ │
│ │
│в в в в сч о ь │
│ФСУХ КИФЬ ПЁНЬ НЕЦ МУФЬ ГУМ НУФ ПЯЙ ЩЁЙ ЦАЧ │
│ │
│ д б в з д │
│ЧТАТ ТЕР СОЦ ЛИЙ ЗУПЬ ВЁФЬ БАСЬ ТИЦ НАНЬ ДОТЬ │
│ │
│ в д жь д в │
│БОМ ТАР НАЗНЬ ТРАНЬ ПАФЬ ЛЫН ЗЮТ ХУШ ВЫНТ ТЯФ │
│ │
│ б в з в в з │
│ТРЮН СЮП ПУНЬ ЛЕФЬ РЫМ ТЮСЬ ФЕФЬ ДАФ ФОС НИМ │
└─────────────────────────────────────────────────────────────────────────┘
Таблица Б.691
┌─────────────────────────────────────────────────────────────────────────┐
│ з об з ы жь д │
│ТИСЬ СТАРЬ ЛЁХ БЯЙ ЧЁП ГАЛЬ ПЮЛЬ ВАСЬ ЖИШ ДРОТЬ │
│ │
│ б д жь ь з д │
│ТЮП ВЫР РЁТ ГОШ НИЩ ФЕСЬ РУХ СКОТЬ БЁЛЬ РЁЙ │
│ │
│ д жь д д ь з г │
│БАТ ЛЮШ ДЮЛЬ ЗОТЬ ПЛОМ РИТ ЗУЧ САСЬ ДЛЕК РУЙ │
│ │
│ д з з │
│МОРЬ РАТ ХУСЬ ВЫЙ РЕМ ХЕЛ ЛОНЬ ТАЛ СТОС ДВАМ │
│ │
│ з в г г ь б г │
│ВУСТ ТЫС ФСИК БИК НУЧ ЛЕПЬ МЁМ ТРЕМ СКОК ХИЙ │
└─────────────────────────────────────────────────────────────────────────┘
Таблица Б.692
┌─────────────────────────────────────────────────────────────────────────┐
│ з г г │
│ПРИСЬ ТРУЦ НЁХ ДЯК ЗОЦ ЗИМ ШТОН РАХ МЮЙ НЕК │
│ │
│ юд в з г з з з │
│ТЁЦ ЧУТ ПЯФЬ ДОЙ ДУЛЬ НЯСЬ ШУК ДЛАС ЮСЬ ХОСЬ │
│ │
│ в ь б д в з │
│МУФ ПЮСТ ГЕХ ЧЕЧ ЮРЬ КАП САНТ ЛИРЬ ФСЯСЬ НЯЛЬ │
│ │
│ д б д д жь │
│ТЭТ ДИПЬ ГУРЬ ЛЫТЬ КУТ ФОМ НУМ ДЁРЬ ЗУЛЬ ЛАШ │
│ │
│ в в д в │
│ВОЛЬ КЕФЬ БАХ НЫФ НИНТ КУЛ ТЭН НИЙ СОЦ ФСАМ │
└─────────────────────────────────────────────────────────────────────────┘
Таблица Б.693
┌─────────────────────────────────────────────────────────────────────────┐
│ б г о д ь б д э ь жь │
│КИП ДЫК ШЁН ШОТЬ МЯЩ НЫПЬ ТРАН ЗНЕТ ШЕЧ НЫШ │
│ │
│ в д ь г я │
│ЦОРЬ ТЁЛ ХУФЬ НУТ ХОЧ ЛУРЬ ДЯК ЧАМ РИЛЬ ЛЕЛ │
│ │
│ з сч о │
│ТУЛЬ БЕНЬ ЧТАМЬ ТРИС ЩЁМ СОЛ СИХ ЗОЛ НЁЙ ХАЛ │
│ │
│ о ь д д з б б в │
│ЖЁЩ СВЯХ ЛЯТ ДЁТ ТРЮЛ ТРАСЬ ПРЯП ФАХ ВЯПЬ СТЯФ │
│ │
│ в в с д в в б жь │
│СТАЙ ВИХ ВОФ БЯФ ЗДИТ КЭФ ШУФ ФИП КОЛЬ ДЫШ │
└─────────────────────────────────────────────────────────────────────────┘
Таблица Б.694
┌──────────────────────────────────────────────────────────────────────────┐
│ жь ь ь ь ы з г │
│РИШ ЗЁЛ КРАЦ ПИЧ МАЧ СУЩ ШИН ДАМ БУСЬ ЖАК │
│ │
│ д д жь г з г в д │
│ЗНЁТ СЫТ МЮШ ЁК ГОС МЯК ЗЕЛ ЁФЬ ЦУТ ЗАЙ │
│ │
│ д з ь в жь в д в │
│ФУТЬ ВУЙ ТРЮС БОЩ ПЫФ ПОШ РАФЬ НИР ТЯНТ ГИФЬ │
│ │
│ сч юд ы г │
│ТУНЬ ЩУТ ТОЙ ШИЛ ПОН ПРЫК БЮМ ТАР НАНЬ СКЕМ │
│ │
│ ь сч я д г з │
│ТАР ЛИЧ ГУЙ ЩАЛЬ ХАНТ ЦОЛЬ МЕК СУЩ СВОСЬ РЫНЬ │
└──────────────────────────────────────────────────────────────────────────┘
Таблица Б.695
┌─────────────────────────────────────────────────────────────────────────┐
│ д б ь б жь в жь │
│ДЫТ РЕНЬ ДЯЦ ВЮП ПОЧ СЁПЬ РЫШ ЧТУЦ ЧИФ ПРЮШ │
│ │
│ б з з э ы ь з д │
│ПРАП ПУСЬ РЯС ШЕМ ЖИЛЬ БЫН ПЕЩ БОС ВУХ КРУТЬ │
│ │
│ с жь и │
│БУЛЬ ЗДАХ ПРОХ ЗЯЛЬ ГИНЬ ШТЕШ ЦЫН ВЁЙ ЛОХ ПЛЕЦ │
│ │
│ в в з з сч юз д │
│ПЕЛЬ СЯФ ЯФ ПЮСТЬ ФЫС ТЯСЬ ЩУС НОТ ЗАН ФАЛЬ │
│ │
│ з д жь д б з в з │
│ШТУС ПОТЬ МАР СЕШ ЧТЕТ СУПЬ ШАСЬ ЧТЫФЬ ЕС РЯН │
└─────────────────────────────────────────────────────────────────────────┘
Таблица Б.696
┌─────────────────────────────────────────────────────────────────────────┐
│ э ь д д │
│СКЕЙ ЦЕН ТЫЧ СИЛЬ СЕТ САРЬ СОЗНЬ СВОН СЮТ РИРЬ │
│ │
│ в │
│ДЁЗНЬ ДЯЦ ЕЙ ЛЫФЬ ЛОР ТРАМ РАМЬ КРОХ ПЯНЬ ЧТЕН │
│ │
│с ь жь ь д б │
│ЗДЕЙ ВИНЬ ВЫЩ СУН КИЦ ПРИШ НЮЧ ЕТ КЕП РЕР │
│ │
│ сч д в б з в │
│ХОН РЮНЬ ЩИЛЬ ПЛАТ КАФЬ ПРОЙ ЛЁЛ ТРИП ТАСЬ НАФ │
│ │
│ з б б г з г в │
│ЦУС РИП ЯРЬ РУП МЫР СЯК КОС ТРУНЬ ВУК ПРЫФ │
└─────────────────────────────────────────────────────────────────────────┘
Таблица Б.697
┌─────────────────────────────────────────────────────────────────────────┐
│ о з ь з в жь д │
│ШЁЛ ЖАС ДЕЛЬ ВЫЧ РОСЬ БУФЬ МЫЦ ТЫШ ЗОР НИТ │
│ │
│ о б г д сч в в жь │
│ЧЁЦ ПРУП КРИН РЯК ТАЦ ТРЕТ ЩЕЛ ПЮФЬ КУФ ЗИШ │
│ │
│ г ь г сч я д сч я жь з з │
│РЫК ВАЩ БЯК ЩАЦ ЗУТЬ ЩАШ ЛЫМ ДЯСЬ НИСЬ ХЕЦ │
│ │
│ з з б жь б в ь з │
│ДРОС СКОР СТИС ЛАП ДОШ ДИП БЯФ БЫХ САЩ СЫС │
│ │
│ з з з г ов │
│ЁЦ СОХ БОС ЗЫСЬ ЗНОСЬ ФОЙ ШУЦ ШТАК БЫР ЖЁФЬ │
└─────────────────────────────────────────────────────────────────────────┘
Таблица Б.698
┌─────────────────────────────────────────────────────────────────────────┐
│ б в з д в б д │
│ПЫПЬ МИН ФСАС ГЕТ КУФ ШТЫХ ТЯНЬ СЭЛ ТЫПЬ СВЁТ │
│ │
│ г б в б в г г │
│ТАНЬ ЛЯРЬ НОК ВАПЬ ГАФ ШАПЬ ХАФ НАК ЦУР ДВАК │
│ │
│ в жь г │
│ЧЕНЬ РАМ НЯР ФЫН ТЁМ ЛИФЬ СТОЖ ШТИЛ ГИК ТЕЛЬ │
│ │
│ в з г б │
│НЕФ ЁЛЬ ШАЛ НОЦ МУЛЬ ШУС ФАНЬ ТРЁК ТРЯП ДУМЬ │
│ │
│ з з з сч г в д │
│РЁЛЬ БУМЬ ДАСЬ ВОСЬ ЛЁЙ ЗЮЛ ХАСЬ ЩИК ФСЕТ ЧИЛ │
└─────────────────────────────────────────────────────────────────────────┘
Таблица Б.699
┌─────────────────────────────────────────────────────────────────────────┐
│ з г з в з │
│СЭЛ КОС ХАК ЦАС РЮФ ПЁСЬ ТИРЬ ХАЗНЬ ПЛЕЙ ГОРЬ │
│ │
│ ю з з в жь д д │
│ТЯН ЧУЙ ДЕМ ЛЮСЬ ЖУСЬ ФСЯШ МИМ ВЁТ ВУНТ БИР │
│ │
│ жь б д ед и │
│ЧАЦ БЫРЬ ВУШ ЛИМ МЯПЬ ПЕТ КАНЬ СТЭТ ШЫЦ ДЕСТ │
│ │
│ в жь д б ь д б │
│НЯМЬ ЗУМ ПРЕФ ПУШ ДЫР ЧТАТ ХИП ЗЕЧ ДЛАТЬ НОПЬ │
│ │
│ б з д э б в б г │
│НУПЬ ДОС СТУТЬ НЕРЬ ЖЕНЬ БЁМ ГУПЬ ВЕФ ДЛИП ГАК │
└─────────────────────────────────────────────────────────────────────────┘
Таблица Б.700
┌─────────────────────────────────────────────────────────────────────────┐
│ з жь ь в │
│ПЫМ ЧТАЙ НАСЬ ЛЕШ ТРЫЧ БЕН ТУХ ГАХ ПАМЬ ПАФ │
│ │
│ эд д эд з в │
│ШЕТ ПУМ ЗИЙ БЮЛЬ ЮХ ЗАТЬ ЖЕТЬ ДЯСЬ ЧТУЛЬ ФУФЬ │
│ │
│ б д б ь в │
│КАЙ ХОПЬ НУНТ МИЛЬ МАМ ЗНОП РУЩ ГЕР НИФЬ РЯЛ │
│ │
│ з ь з ыд з в д │
│ФИС ЗЭЩ ДЮЛ ПЕС ШИТ ТЕЗНЬ ВЕЛ ТОС ФЕФ СЁТ │
│ │
│ с б │
│МЕЛЬ ПРЕН ЗДАМ ДАН МЯР ЗЫМ БАЛЬ РЫН РЁХ ЛУП │
└─────────────────────────────────────────────────────────────────────────┘
Таблица Б.701
┌─────────────────────────────────────────────────────────────────────────┐
│ эб з ь ь з ь │
│ШЕП ДЕСЬ СТЫЧ ЛОЧ МЯМ СОСЬ ВОСТЬ МЫЛ СТОЦ ТЁЩ │
│ │
│в в ь в сч ю г д в │
│ФСОФ СВАР НИЩ ХУЛ МОФЬ ЩУРЬ СЁЙ КИК ТРИТ ВУФ │
│ │
│ жь с з з г сч я ё │
│РЕЛЬ ЗОШ ЗДЕС ДЫСТ ШУСЬ БЁК ЩАЛ ШОЛЬ ВЫЙ КРОМ │
│ │
│ г сч д з │
│СУЗНЬ ФОК СЕЛЬ ТАНЬ ЩЕТЬ НУЦ ПРАС НУНЬ ПРЮХ ПУЛЬ │
│ │
│ в яд в г в б │
│ГЕФ СТАР ПОН ЧАТЬ ТЭФ ЁК ГОФ КОС РЕПЬ ФЫЛ │
└─────────────────────────────────────────────────────────────────────────┘
Таблица Б.702
┌─────────────────────────────────────────────────────────────────────────┐
│ в в ь в г жь │
│ЛУФ ДЯФ ПЯЩ МЮФ ВЁНЬ СЫМ БЁР ТИСТЬ НЯК КЕШ │
│ │
│ д в в ь ыг ь в │
│ЗНОМ РЁТЬ МАФ СЁФ ЦУЧ ЖИК ТЯЧ ЛОЦ БУФ ЛЯМ │
│ │
│ ь ь з д │
│ДЁЧ МЁХ ЗЕХ ТРЕН ЦОЙ ЗИЧ ЧИНЬ ЗОС ЛУТ НАР │
│ │
│ б з з д г │
│ПОРЬ ГИПЬ ВЫС ЮН ТАЦ ПРЕНЬ БЫС ТЕТ ЗЯК ТУМ │
│ │
│ жь в д з в г │
│ФИШ ЗНУН ТАС ВАФЬ ХЕТ ЧУМЬ НЫСЬ ПРОЦ ХУФ ВИК │
└─────────────────────────────────────────────────────────────────────────┘
Таблица Б.703
┌─────────────────────────────────────────────────────────────────────────┐
│ д з д д │
│НОСТЬ ПЕЛ НЕНЬ ДЮРЬ НЁТ КАСЬ НОТЬ ГУТЬ ХИЛ СТЯЛ │
│ │
│ д з д б ы д в │
│ЧТЭТ ВЮР БАН СКЕС ТЮТ ТРЁП ЧТЕЛ ШИЙ ЦАТЬ ЗУФЬ │
│ │
│ з з з ь д ь │
│ЖАСЬ ХАС ДАС САМЬ РЮХ ПУЧ МОТЬ ЗУНЬ ТУЩ ШАРЬ │
│ │
│ ё г з в │
│ШОХ СВУМ ЛОРЬ БАНЬ РЁК ЯС ЛЕР СЫХ РЯЙ ВЯФ │
│ │
│ ь эд ёв д │
│БАЦ ПРЫЛ ХАЧ НЯРЬ ШЕТЬ ВЯЙ ЗАХ ЖОФ БОТЬ ДОР │
└─────────────────────────────────────────────────────────────────────────┘
Таблица Б.704
┌─────────────────────────────────────────────────────────────────────────┐
│ г д з д │
│ТРАР ЧТУЙ ШТАЙ ВАК ЛЁНЬ СУЛ ПРИТ РАСЬ КАТЬ ГАНЬ │
│ │
│ ов в з з д ь │
│ЧЁФ БЮН ДЛАФ ЧЕСЬ КАСТЬ ПАСЬ ЛЕН КУЙ МЯТ ДУЧ │
│ │
│ з б жь сч о с б │
│РЫЦ БЯС ТРЯПЬ НЯШ ПЫЦ ЩЁХ ВОХ РУЛ ПЮМ ЗДАП │
│ │
│ ь ь в г │
│ДУМ БУЩ РОН ФУЧ ГУМ ЧТАЛ СЯХ НЫФ ГЕК ПЕСТЬ │
│ │
│ д д г э в з │
│ШТОТЬ ДВАТ ФЕК ЖЕН РИР ФСЕН ЗЮС ТРЮЛЬ РУТ ХОЛЬ │
└─────────────────────────────────────────────────────────────────────────┘
Таблица Б.705
┌─────────────────────────────────────────────────────────────────────────┐
│ з г б в з │
│ШТИСЬ ПЛЫК РОЦ ДЛИН КАЦ ЗЫРЬ ТЁР ЛЮПЬ МИЗ ФСЕС │
│ │
│ з в з з з │
│ЛАСЬ ТРУХ МИФЬ РЫС СКУМ ФАЙ ДЯН КРЫС ДЕС НАХ │
│ │
│ з б з з б ыз │
│РЯС БЕМ ТЫПЬ ЖУС ПЛИСЬ ПИЦ НИП ШИСЬ САХ ГОМ │
│ │
│ б ь ы ь д в б │
│НЕПЬ СИЧ ШИЧ ДРЕТЬ РУФЬ ДЕП ЗОЛЬ ТУХ ЦЫЙ ТОРЬ │
│ │
│ з жь в в в з │
│СУСЬ МЕШ ЁФЬ ДАМЬ ПЯФ ЛИР ЕР ЛЕФЬ ДЫС ВУР │
└─────────────────────────────────────────────────────────────────────────┘
Таблица Б.706
┌─────────────────────────────────────────────────────────────────────────┐
│ б од б д в │
│САР ЛЮП ПЮЙ ЧЁТЬ ГЕП НЮТЬ БАФ БЮРЬ ФОЛЬ ЁЛ │
│ │
│ з г э в з жь │
│РАСЬ ПЛАК ЖЕМ КАСТ ХИН ЗЫЛ ТОФ ФСИСЬ НУР ПРОШ │
│ │
│ ь д з д │
│ШАЧ БУТЬ СЫРЬ ДЕСЬ НЁМЬ ВУЛЬ ДЭТ ЛЯЛЬ ЗОЙ ШТАМ │
│ │
│ б г в в з з г │
│РЮП РУК РЯХ ТАЛ НЫФЬ РЕНЬ ПРИФ ФУСЬ БЁС ТРОК │
│ │
│ в д жь г д │
│ДВИЙ СВЕН ВЯФЬ ТЯЛ МЯНЬ СТОТЬ ЛЫШ ЗЕК ТРИР КАТ │
└─────────────────────────────────────────────────────────────────────────┘
Таблица Б.707
┌─────────────────────────────────────────────────────────────────────────┐
│ г ь б ь д в в │
│ШУК ГЕЧ ДЯП НОЩ ГАМЬ ТРАТ ЗНАР БЯН БЮФ ХАФЬ │
│ │
│ ёд з жь г │
│КИН ЖОТЬ ЮС СУМЬ ХОШ ЗЁК РЭЛ ПАНЬ ШУНЬ ЗЯЛ │
│ │
│ д д д ь в │
│СЭМ КРАТЬ ТЁСТЬ БАМЬ ДЯХ ХАНЬ НИТ ЛЕТЬ ДАЩ СОФЬ │
│ │
│ б ы в жь б │
│ХЕП КАЦ ШИНЬ ТИМ РЁЛ ЧТЕХ ЦУФ ГАЦ ВУШ ГОП │
│ │
│ в в з д г б │
│ПЫРЬ ЧЕФ ФСОХ ПИС ТЮТЬ МЁЦ ТЫК ДОПЬ ЗИЛЬ СКИР │
└─────────────────────────────────────────────────────────────────────────┘
Таблица Б.708
┌─────────────────────────────────────────────────────────────────────────┐
│ в з б ь з з з │
│НЯФ ДЛЕМ КУСЬ ТРЕПЬ КЕХ ПЯЧ ТАСЬ РЫЦ МЕСЬ ЛИС │
│ │
│ ь ь д яз в │
│СЕЧ МИЧ МЮХ ВЕТЬ РОН ЧАСЬ ЛОНЬ НАЛ ТОФЬ БОРЬ │
│ │
│ г д д з в д с з б │
│ДРАК ТЫТЬ НОНТ ПУЛ ЗЭС ФСЯЛ ШАТ ЛЁР ЗДОС БЫПЬ │
│ │
│ ё з г жь ь э жь з │
│ШОМ КАР ПЭС ДУК МАШ ВУЩ ЗАМЬ ЗНУХ ШЕШ РЫС │
│ │
│ г з ь ь д з д │
│МАМ ДЁК ТИСЬ ТОЧ ПРИЧ ВОСТ ШТУТ ЩИСЬ ЛАЛ ПРЮТ │
└─────────────────────────────────────────────────────────────────────────┘
Таблица Б.709
┌─────────────────────────────────────────────────────────────────────────┐
│ в ы з в з │
│ДУФЬ СКАХ ПУР ЖИЙ ПЕСЬ ЗОХ ШУФЬ НИМ ДИЛ СТЯС │
│ │
│ жь б в ь з б │
│ВЕШ ПЛИП ВЫФЬ ЧТЫРЬ ПРЫЛЬ ЛЁЩ ДЯНТ СЮЙ ЧТАС ЧИП │
│ │
│ жь б б жь э │
│ФЫР ТЕШ ЖУРЬ ВОП СТАМ ЧУПЬ ФЕРЬ ЁХ САШ ШЕМ │
│ │
│ з жь в в з жь │
│СИСЬ ГОЦ НУШ МЯФ РУФЬ ЕС ПЕМ ТУРЬ СУХ ТРУШ │
│ │
│ ь д з в │
│РЯЛЬ ТЁЧ РИЙ ФИТ КРУС ВИЙ ГОНЬ ФАН ПОФЬ ЛАЦ │
└─────────────────────────────────────────────────────────────────────────┘
Таблица Б.710
┌─────────────────────────────────────────────────────────────────────────┐
│ г д б в сч б │
│ РЯК НЕТЬ ЗОЛ МОЦ ДИПЬ ЯФ ЩИПЬ САТЬ ПЮЗНЬ ПРАР │
│ │
│ з с д б д з з │
│ ЦОМ ЗУСЬ ЗДЯТ ТРЕЙ ЧТУП ВЁЛЬ НИТ НАС БЯЦ БАСЬ │
│ │
│ ь жь б в э ь г сч я │
│ МЫЧ СЯШ СЭК СТУХ ХУП ЧИФ ЦЕЧ ЛЫК ДЛАН ЩАР │
│ │
│ д жь з з ь з │
│ НЯН ДЮТЬ СВАШ ТРЯН НЕСЬ ЖАСЬ САСТ ПОХ ЛЯЩ ШТОСЬ │
│ │
│сч б д жь ь эд ь │
│ ЩЕП СЁМ ПАЦ ХОТЬ ДАЛ НОЛ БЫШ ВАЧ ЦЕТЬ ВЫЩ │
└─────────────────────────────────────────────────────────────────────────┘
Таблица Б.711
┌─────────────────────────────────────────────────────────────────────────┐
│ б яв сч ю з з │
│ХУПЬ ГЕЙ ФОЦ ТЁСТ ЧАФ ЁМ ЩУР ДВАС ЧТИС ФУЛ │
│ │
│ в д ь │
│ЛИР ВАФ ДУЦ ТРЯТ ДЯЛ ТИЙ ВАЙ ВЕЛЬ ГУЛЬ КАЧ │
│ │
│ в з жь д ыз │
│ХОФ ЧТЫН ДЮМ ТЫЦ БУЛ СИС БУШ ШАТ ШИСЬ НЕСТ │
│ │
│ д г ь г б │
│ДЯТ НУК СВЕМ РИЩ МЮЛЬ БЕР ТЕК ХАХ ФЕЛЬ ВУПЬ │
│ │
│ жь ь в жь в д б │
│ЗАШ ГАЧ ПЁФЬ ТРЕР ПРЯШ СВОЛ ФСАТ ПЯЗНЬ РАПЬ ЗАРЬ │
└─────────────────────────────────────────────────────────────────────────┘
Таблица Б.712
┌─────────────────────────────────────────────────────────────────────────┐
│ с б в э │
│ САЗНЬ ЗДОЛ ТЕН ЗЕЙ ЯПЬ САФ ШЕН ЗУРЬ ШУЛ КИН │
│ │
│ б жь д б ь з │
│ ПЁПЬ КРОШ РУТ МОП ДУЛ ЮЧ РЕЙ ЗНУСЬ СКОЛ МЫРЬ │
│ │
│сч яд з б │
│ ЩАТЬ ДЛОХ ТРУМ СУРЬ ЗЁЙ ПЕХ РУНЬ ХИЦ ВЮС РЕПЬ │
│ │
│ ёз б э жь г │
│ ЖОС ДЕН СЮПЬ СЕЛ ПУЛ ШЕШ ЛЫЦ РЮК ТРЫХ ЖАМ │
│ │
│ в з б в жь │
│ ЕФ ВУСЬ СИТ РЁН НЁП ЧТАФ РЕТ КУН ХЕШ ДОР │
└─────────────────────────────────────────────────────────────────────────┘
Таблица Б.713
┌─────────────────────────────────────────────────────────────────────────┐
│ д г з д жь в │
│БОН МУТ ЛОК ТОСЬ ДЛЕТ СТЕР СЕН ЮШ КАР РЯФ │
│ │
│ г в д сч б б б │
│БИМ ЧИМЬ ШТЕК ФСИХ КОТЬ ЩИН СТУП ПРИЦ ТРЮП ПЛАП │
│ │
│ ь з з оз д │
│НЕМ ЛОМЬ ДАЩ БЯЛЬ ПРУСЬ ТРОХ ТЫХ ГОС ЧЁСЬ ВЁТЬ │
│ │
│ в еб б з з ь б │
│НЫЦ ФСЮЛ ЦОН ФЭП ВЯП СЯС НУС ЦОЧ БЮЛ СОПЬ │
│ │
│ д д ь жь в сч ь │
│ВЫТ ДЁЦ МИРЬ БЫМЬ ПЛИТ ТРИЧ СКИШ ЛЁМ ШУФЬ ЩИЧ │
└─────────────────────────────────────────────────────────────────────────┘
Таблица Б.714
┌─────────────────────────────────────────────────────────────────────────┐
│ ю в э б ь з │
│ЧУН НЕФЬ ШЕМЬ ХАП БЁНЬ ФАЧ СТЫС ПАЦ НЫЛ ЛЁХ │
│ │
│ б ё г в ь б в │
│МЁПЬ ШОН СЫК ЗЫХ ЛЮФЬ РОЧ НУТ МЮН ГИП НИФ │
│ │
│ в б з ь д б г г │
│СЫФ ПЫМЬ НЯП ФИЦ ПРЮС ПУЩ ПИТ ЛЕПЬ КРАК РУК │
│ │
│ ыв ь с жь д г э │
│ЖИФ ЛАХ ЗАЛЬ СТАЧ ЗДИШ ЧЕТЬ ВЫК ЦЕР САЛ ВАСТ │
│ │
│ з ь в д ь в │
│КЕЦ МЕС РАЧ ПАНЬ ШТЕФ ДАМ БАТЬ ФОК ЛИЧ ЖАФ │
└─────────────────────────────────────────────────────────────────────────┘
Таблица Б.715
┌─────────────────────────────────────────────────────────────────────────┐
│ д в в д ы │
│КАТ ВОХ ТУФЬ ДЕФ НОН ДИСТ ТЫТ ДРОН ЗОН ШИНЬ │
│ │
│ ь ь д жь │
│ПЯЛЬ ХОЙ СОЩ ШТУМ ЛУЩ ГАН МАРЬ ПРЁТ РИШ ЖУР │
│ │
│ д д в д │
│НАТЬ ЛЯТЬ БЫНЬ ПОФЬ НЮЦ КУНТ РОР МЯХ ПРОМ РЯЦ │
│ │
│ д г з д │
│БЯТЬ НЯНЬ НИК ЗИЛ ЗНАН БУС ДЫЛЬ ДЕМЬ ГЕТЬ НАМ │
│ │
│ г д б д д │
│ЦУХ ЗУК ЮТЬ ТЫП ТЁТ ЗЯЙ ЧТУТЬ ТИЛ ТУЛ ГУЦ │
└─────────────────────────────────────────────────────────────────────────┘
Таблица Б.716
┌─────────────────────────────────────────────────────────────────────────┐
│ юв в жь д б б з │
│ЧУФЬ ТРОФ СИШ ЖУНЬ СЯТЬ БЮПЬ ДЕН ДЮП ВАЗНЬ ЗЫС │
│ │
│ д д ё жь │
│ВУТЬ СКЕТ СОЙ НЯСТЬ ЖОЙ ВЫХ ЛЮМ ЯМ ВЯШ ТУНЬ │
│ │
│ в б ь в г б д ы в │
│ДЁФЬ ВОПЬ ЛЁЧ ДЕХ КИФ ЧТЭК ТЭП РУТЬ ШИМ БЮФЬ │
│ │
│ д с з жь │
│ГОТЬ РЮН КАРЬ ЗДАН ЗЭН НЕНЬ ЛУСЬ НЁР ТИН ПЁШ │
│ │
│ ь д б б д г │
│МЯХ ВИЧ ФАЛ СЫНТ ГУП ЮПЬ ВУЛЬ ЛЕТ ХОК ПЮХ │
└─────────────────────────────────────────────────────────────────────────┘
Таблица Б.717
┌─────────────────────────────────────────────────────────────────────────┐
│сч з эб ь жь г ыб б │
│ ЩИС ШЕП ПЁРЬ СТЯМ СУЧ БУН ТРЯШ ДЛЮК ЖИП ФЕП │
│ │
│ б жь ь б ь │
│ НУН ЧТАЛЬ МУРЬ БЕП СТУШ НАЧ ПРУХ ТРИЦ ВАП ЛАЧ │
│ │
│ в з ы ь д │
│ ПРЕЙ НИН ЛУФЬ ЗНУС ШИХ ПАЩ ЛЯЙ ДЕНТ ЗУМ БАХ │
│ │
│ в б з б г з д │
│ ЛЯЦ ФСЕП ТЫС ГЕЛЬ ТАПЬ ПЯН ПОК ЗАСЬ ЛЫТ ЗИНЬ │
│ │
│ д од в д ь з в │
│ ДРЕТ ШЁТ ФСОТЬ РЮЙ МИЛЬ КРОЧ СВОХ КРИС ТОНЬ ФСЕЛ │
└─────────────────────────────────────────────────────────────────────────┘
Таблица Б.718
┌─────────────────────────────────────────────────────────────────────────┐
│ ё сч яб б жь д эз │
│ШОМ КАС ЗЁН ЩАП ГАП СЮФ ГАШ СЭТ ЦЕСЬ ХОМ │
│ │
│ з д г д в │
│ЧТЕЙ ЛЁЛЬ БЮС БЕТ ЧТУК ЁТЬ ХУН ПРОР ДОФ МОНЬ │
│ │
│ г │
│ЕР ШУРЬ ВИЦ РЫХ РЮХ ЧИХ РАНЬ СЭК ЛОХ ФУХ │
│ │
│ б ь б д г │
│МАПЬ ШАНЬ ЗЕМЬ ФУЩ ТЯЦ НЯПЬ БЁРЬ ДВЕТЬ ПЛИК ПЕЗНЬ │
│ │
│ г б с г в жь з б │
│ТРЫК РЕП ЗДЕК КИФ РЁЛЬ БУШ ПЕСЬ БАН РОРЬ ПОПЬ │
└─────────────────────────────────────────────────────────────────────────┘
Таблица Б.719
┌─────────────────────────────────────────────────────────────────────────┐
│ б з эз ид ь │
│ТИЦ ПАПЬ СЮЦ СЫСЬ ШЕС ПРЯН ПРАЙ ПЫЙ ЦЫТ ВАЧ │
│ │
│ в я б г д з жь з жь │
│НУФЬ ЧАЛ ЗАПЬ СКАК НОТ ХАСЬ ТАШ ТРЯСЬ ДЫШ ДЯМ │
│ │
│ э з б │
│ЛОР ЖЕЦ ДЛАХ МИСЬ ШТОХ ПРИЙ РЫМ ХИНЬ ЗНАМ ЛИП │
│ │
│ б з в │
│ВЫМ ГЕХ СОХ НИХ ЕНЬ БЫРЬ СТАП РЁСЬ ЦЫМ РЕФ │
│ │
│ ь жь з │
│ДЕХ ЗУЧ НЯЦ ЖАН ПУСТ ЧЁШ БОСЬ РУМ ТРЯХ ТИЗНЬ │
└─────────────────────────────────────────────────────────────────────────┘
Таблица Б.720
┌─────────────────────────────────────────────────────────────────────────┐
│ б ь з б д │
│ЯХ КЕРЬ ХЕПЬ ГУЧ ДАХ ПЛОС ФЫМ НАП ШТАР ТЕТЬ │
│ │
│ з ёб ь д з б г ь б │
│ГИС ШОП НЮЩ МЁТЬ СТОХ НЫС ТЁПЬ ШТИК МЮЩ МЫП │
│ │
│ д б з б в │
│ДЯТЬ КУПЬ НЭР САС КАЛЬ НЕХ ЦАЦ ДЕП ЧЕМЬ КОФ │
│ │
│ г д сч о ь │
│ВЁК ФИТЬ ХУХ ПОМЬ ЩЁЧ ЗОН РАЦ РИМЬ ДУР СОЙ │
│ │
│ в сч ь │
│ДОЛЬ ТРАХ ЗЯНЬ БУФЬ ЩЕР СИРЬ СВАМ ПЫР ТУЩ ЗОЦ │
└─────────────────────────────────────────────────────────────────────────┘
Таблица Б.721
┌─────────────────────────────────────────────────────────────────────────┐
│ д в д б ё об │
│ЧИТЬ ЗОР КУЗНЬ ТРЮФ ТЕТ НЁП КУТ ЛУН ШОР ЧЁП │
│ │
│ ы жь эб сч г в │
│ЖИМ ГЕШ БЮР ЖЕПЬ ЩЕК ЧТУФЬ НУЗНЬ СЁР БЫЙ ПИН │
│ │
│ б д жь д д │
│ЗЮП ЗУТЬ СВАЛ НИЛЬ СОШ НЯТЬ ВЯР НОТЬ КРУЙ ТУСТЬ │
│ │
│ ь з ё в │
│ТИЧ МИЦ РУМ БЫС ТРЯЙ ХИР ШОХ МАФ ПЫР ЛЫЙ │
│ │
│ б ы ь д жь з │
│ЯП ДЫН ШИЙ ЧТЫНЬ СУР НАЩ КЕТ ПРУШ СИМ НЕС │
└─────────────────────────────────────────────────────────────────────────┘
Таблица Б.722
┌─────────────────────────────────────────────────────────────────────────┐
│ б д з г з з │
│ДЯП НУХ ЗУМ ПЯНТ ШАРЬ МЯСЬ ЗИК РЁСЬ ДИСЬ ПЁЛЬ │
│ │
│ в б г ё в б з б жь │
│ВАСТЬ ФСЯП ЦАК ЖОЦ НИФ РИП МОС ЛАП БЯШ СТОР │
│ │
│ жь д д з з │
│РУШ ТЭР ТРЁН ЕЦ САТЬ ВАТЬ ВЁСЬ ДЕС МЯН СЫЙ │
│ │
│ ь б в ь │
│ТРЕЧ ЕМ ТЮЦ СОП ДИРЬ ВЫР НЮЦ СЕФЬ КРАЛ ПУЩ │
│ │
│ б ь юз в сч ю │
│ПАМ ДЛЕП МЁЧ БЕЛ ЗЮХ ТАФ ТАЙ ЧУСЬ ГУФ ЩУЛЬ │
└─────────────────────────────────────────────────────────────────────────┘
Таблица Б.723
┌─────────────────────────────────────────────────────────────────────────┐
│ д в д з б д │
│ ФИМ РЮН ГУН РЕТЬ ФСОТ ЁС НЯНЬ ДЯХ СЯП ПИТ │
│ │
│ д д д в з в │
│ ПАТЬ ЛЯМЬ СЫТЬ ПРОТ ФЕХ ДРЕН МЕФ ШТЫСЬ ДАФ ТОХ │
│ │
│ з б з з з в з │
│ ШУСЬ РАПЬ ТРУСЬ СКЕЛ ЦАЛЬ СТУСЬ ЧТИСЬ ДЮФ ТОЦ НЭС │
│ │
│сч я жь ь з жь г │
│ ЩАХ ГАШ ХУЩ РЁЛ ЛАСЬ РОР ГЕНЬ ПРЕШ СТЕК ПРЮЙ │
│ │
│ д жь д д д б │
│ ДОТЬ ФЫЛЬ КАХ ПЯШ РУТ НЫТ ЧТАТЬ ХОП ТАРЬ ХАЛЬ │
└─────────────────────────────────────────────────────────────────────────┘
Таблица Б.724
┌─────────────────────────────────────────────────────────────────────────┐
│ б в д жь жь │
│ФУЦ ПЛАХ ТРАПЬ ЛЕФЬ ДЛАЙ ШТАЦ ЗАТЬ ПРАЛЬ РЯШ СОШ │
│ │
│ ь ь д з жь о з │
│ЛИЩ ЯЧ РЯТЬ КИСЬ ХОМЬ КИР РАШ ПЕМ ЧЁН ЖАС │
│ │
│ з г д жь д з жь з │
│СЮСЬ РИК ХАТ ШТИШ МЫМ ЖУТ ГИСЬ БАШ ЮН ХЕСЬ │
│ │
│ в з б д жь г б │
│ПЛЕФ ТРАСЬ ГАП ЗАН НЕМЬ ДАРЬ ЗНАТ ФУШ ЦОК ТУП │
│ │
│ жь б д ы сч д │
│СТЫХ ЛИРЬ ВИН ЛЁШ ШАПЬ ВУТЬ СЭТЬ ШИЦ ЩИЛ МОТЬ │
└─────────────────────────────────────────────────────────────────────────┘
Таблица Б.725
┌─────────────────────────────────────────────────────────────────────────┐
│ из я з з б д ь г ь │
│ЦЫСЬ ТИСТ ЧАМЬ ЗНЁС ГОСЬ НУП СОНТ ТЯЩ ФАК БЫЧ │
│ │
│ эд в г жь │
│БАНЬ ШЕТ СКУФ РЫЛЬ ЗОК ЛЁНЬ ПУЙ ДЁЛ ВАШ ВОМ │
│ │
│ в з ь │
│ВОЦ ЗЫЛЬ БЁЙ МУЦ МЮР БУХ КАФ ПРЯСЬ КАЧ ДВИХ │
│ │
│ в г б б в в з │
│ТЁР ФСЁК БЯПЬ ДУПЬ БОФ ВОФ НАР ПОС ДЫХ ЛЮЛ │
│ │
│ б с г жь з о с д │
│ВАП ЛОЛ ТЫЛЬ ЗДОК ЗЕШ ВЕЛЬ СВОС ШЁЛ ЗДЯТЬ БЕМЬ │
└─────────────────────────────────────────────────────────────────────────┘
Таблица Б.726
┌─────────────────────────────────────────────────────────────────────────┐
│ ь в в г │
│КЕЩ ЦУЙ ЁЛ ЖУФ НЕМ ШУФ ГОМЬ ХЕК ДЁСТ КУТ │
│ │
│ з в сч юг з ы │
│ТЯМ ЛЯЛ НИЗНЬ ПРОС ФУФ ЩУК ЛИС ПРЮЛ ЧТУНЬ ЖИМЬ │
│ │
│ г ёб д г в │
│РУРЬ ТУЛ СВЕЛ ДУК МАЦ ШОПЬ ВУТ ХОНЬ ПРАК ДИФЬ │
│ │
│ з з г б г │
│ШТЕЙ ТЭК НЕСЬ РЕЛ МОС ВЫЛЬ ЗОК ЧТАП ЖАЙ ВЯК │
│ │
│ з в ь б б │
│ЯРЬ ТИСЬ НЁЛЬ БИХ ПУФ САЧ ЗЕП ДВАН ЗАП БЯНЬ │
└─────────────────────────────────────────────────────────────────────────┘
Таблица Б.727
┌─────────────────────────────────────────────────────────────────────────┐
│ б ё с г б д б │
│ТРЮР ЧТЫРЬ ДЯПЬ ЗЯРЬ РАРЬ ЖОР ЗДИК ХОПЬ ПИНТ ДОПЬ │
│ │
│ жь д з жь сч юз жь д │
│ВЁШ ЗЁТ ТЁН КОС РЁШ ЩУСЬ ТРИШ СТЫЙ ПОЦ ДИТ │
│ │
│ в г з в б в д │
│ВЫФ СЮЛЬ ПЮК СТАС НАРЬ ЛАФ ТЫР СЕП КОФЬ РЕТ │
│ │
│ г з д жь з ь │
│ГУК ТАХ ШАСЬ РЫТ БЫЙ ГЕШ КАН ХУСЬ ЗНОН НЫЧ │
│ │
│ жь э ь жь в │
│БЯМЬ СКАФ МАЛЬ ПРУЦ ФЕШ ШЕЧ ТЮРЬ ТЮЛ ЛЁШ ФСИЙ │
└─────────────────────────────────────────────────────────────────────────┘
Таблица Б.728
┌─────────────────────────────────────────────────────────────────────────┐
│ б в жь ь жь │
│ЗНЕХ ЗИР НАЙ ВУП ПЕЦ ДОФЬ БАШ ПЫЧ ЗОНЬ ЧЕШ │
│ │
│ б б э жь в з │
│ШУПЬ БАП СОМЬ ШЕЛЬ ДИШ ПРЁН РЫЛ ФСАН СВОР ШТАС │
│ │
│ д з д в │
│ХИЗНЬ КИЛ СЁЦ СОТ ВАЦ ФОНЬ ГАСЬ ШАЦ КРЕТ РИФЬ │
│ │
│ в б ь г в │
│ВИФ МЯП ТУЧ ПЯЦ СУМ ЛАН НИК ШУЙ НЯФ ШТОМ │
│ │
│ я сч ю г ь │
│ТРЫЛ ЧАХ ЩУН РЮЙ ТОРЬ ГАЙ СЫНЬ СТИК ДЁЩ ПИРЬ │
└─────────────────────────────────────────────────────────────────────────┘
Таблица Б.729
┌─────────────────────────────────────────────────────────────────────────┐
│ б д эб з б ы │
│ФЫРЬ РОПЬ ТЫНТ ВЕР ЖЕП БЁСЬ ХАМЬ ТЫХ ГЕП ШИН │
│ │
│ д в в б д ь д б │
│ТРЯТЬ БЕФЬ БОФ ЛЮЛЬ ФАП ГУТ ДЮЧ ПЁН НЕТЬ САПЬ │
│ │
│ ь з ь д │
│СЯЧ ХИС СТОЧ ЧИЛЬ ЦУН ЗУЛ ВОМЬ БУНЬ НЫТ ЗОЙ │
│ │
│ в жь г з з д с д в │
│РЁРЬ НОФ ПЛАШ ПАК БЫСЬ ТРЕС ДЛАТ ЗДАТ ФСЮХ ВАМЬ │
│ │
│ ь сч о б з │
│ДОШ ЗАР БУХ ЩЁР КАПЬ ЛУЛ СЮМ ЕСЬ ЧТЕР ТАН │
└─────────────────────────────────────────────────────────────────────────┘
Таблица Б.730
┌─────────────────────────────────────────────────────────────────────────┐
│ в б ь жь з в │
│ТРАФ РИП ЛЯЧ ПОЛЬ ЛАМ ДАЦ НЮШ ПУХ ПУСЬ ЮФЬ │
│ │
│ з ь в ь з │
│СКИН ПЛЕС ВЁНТ НЯН РЯЧ ЛЁР ЗЫФЬ МЯР МИЧ РЮС │
│ │
│ в ёв б д д д д │
│СУФЬ ЧОФЬ ЛОПЬ МЮТЬ ЁХ ГИТЬ БЯМ ЛЁТЬ КРОН СИНТ │
│ │
│ з юг д д в ь эз г │
│ДЛИС ДАЛ ЧУК ТРОТЬ ДРОТ КАФ ЮХ МЁЩ ЦЕС ФИК │
│ │
│ ь б г в д │
│РОЛ ЗЭЛ ХАЩ ДЁМЬ НУП МУК ЛЫЛЬ МЁЙ ПРЯФ ЦУТЬ │
└─────────────────────────────────────────────────────────────────────────┘
Таблица Б.731
┌─────────────────────────────────────────────────────────────────────────┐
│ ь г │
│ПАЛ ВОЧ ПЁР ТРЯЛ ФИР НЫЙ САСТЬ ДЕК ЦАХ РУЛ │
│ │
│ з ёд б ь з │
│СЕС МУМ ПЛЕХ СИР ДАРЬ ШОТЬ СТАПЬ НЯЧ ВАЛЬ ДЫС │
│ │
│ жь жь д в в ь │
│РЕШ РИНЬ ХОН ДЫНЬ ЯШ КАХ ТИНТ ЗАФЬ НАФЬ ГАЩ │
│ │
│ д в б в я з │
│БУР ТОХ ПРЫТ ТИЛ ФСАЛ ГАПЬ ЕНЬ ЧЕФЬ ЧАРЬ СТАСЬ │
│ │
│ ь з д │
│ХИЩ ЗЁР ДЛАСЬ БЕЛ ДЛЕТЬ СКОХ НОЗНЬ ПУР ТЭК КАЛЬ │
└─────────────────────────────────────────────────────────────────────────┘
Таблица Б.732
┌─────────────────────────────────────────────────────────────────────────┐
│ б в г б д в з │
│ТРЫП МАН РЯФЬ НЯЙ ФУК ЧИПЬ КИТЬ ЗАНЬ ПУФЬ САСЬ│
│ │
│ ь д д жь сч юз в ь│
│ГИЧ ДЕТЬ ТРОТ МЕНЬ РЫЛ БЁШ ЩУС ВУЦ ДОФ СУЩ │
│ │
│ ь д ь з жь жь│
│ГУЧ СТЕХ ПЮНТ ЗОРЬ ЗОЧ ВЯЧ ДИСЬ ДЁН ЦОШ БОШ │
│ │
│ з ь з сч оз з сч о │
│СТЫЛ МЯЛЬ СЁСЬ ВЫЦ ШТИХ ПЁЧ НУСЬ ЩЁС ГЕС ЩЁН │
│ │
│ ю в жь з з ы сч д │
│ЧУНЬ КРУЦ БЫФ ТЕЦ ПРЕХ МАШ ЧТЕС ЦЫС ШИМЬ ЩИТЬ│
└─────────────────────────────────────────────────────────────────────────┘
Таблица Б.733
┌─────────────────────────────────────────────────────────────────────────┐
│ д б з сч оз в │
│РЕТЬ СУПЬ ДИХ ЛЫЛ ЛЯС ЛЮЦ ЩЁСЬ ДРОХ ХИФЬ ТЫЛЬ │
│ │
│ ь в д в б │
│КОСТ ЮР ТРЕЩ ВЕФЬ ПОМЬ ФЕТЬ РОЛ МЮФЬ ВЕХ КОП │
│ │
│ в г в з ь б б │
│НИНЬ ДВАХ ТАФЬ ПРИК ФСЯС ЗУН БУЧ ТУПЬ ЗИП ГИЛЬ │
│ │
│ з в д ь жь ь │
│СКИЛ РЮС ФСИЛ ХАТ ЛОН ПЛАЙ РЮЧ РЯШ СОНЬ НАЩ │
│ │
│ в з д в б │
│ПРУН СИФЬ СВЯС ТАЙ ЛЕЙ ПЯМЬ ЧТЫТЬ ЗУФ РОПЬ СЕЦ │
└─────────────────────────────────────────────────────────────────────────┘
Таблица Б.734
┌─────────────────────────────────────────────────────────────────────────┐
│ ь д б в жь г │
│ХУЧ РЫТ БУП НАН ВУФЬ ЧТУН ТРАЦ ЛИХ ПРАШ ЛЕК │
│ │
│ ё ь жь з г с д д │
│ЧОЧ ЕШ ШТАСЬ ПУЛ БЮК ЗДАЦ СЫТ ФОХ ГУХ НЯТЬ │
│ │
│ б жь в з д д ь │
│ТРЁП ФАШ ЛЁФ ЗНОС ЛАР РИТ МИТЬ ВЁЛ ЛИМ БЯЧ │
│ │
│ ы б жь ь в │
│ШИХ ЗЯП ШАНЬ РУРЬ ПЮШ НЕЦ НИЧ НЁРЬ КОФ ТЮН │
│ │
│ в б ыв ь з з сч яз │
│ЛУМ ТРЁФ ДАПЬ ЖИФЬ ДЯР ЖАЧ КЕС ПЫС ЩАС КУС │
└─────────────────────────────────────────────────────────────────────────┘
Таблица Б.735
┌─────────────────────────────────────────────────────────────────────────┐
│ д б э д эз жь │
│ЖУЛЬ ДИНТ БЯП ЦЕМ СВОТЬ ПРЯМЬ ВАХ ШЕС ШУШ КУР │
│ │
│ г д в с д г ь з с эз │
│ПЁК БЮНЬ РЁТ МЯФ ЗДИТЬ ХАК СОЧ ПОСЬ МАЗ ЖЕСЬ │
│ │
│ в б жь б б │
│ЁФ ЧТАНЬ ТЯП ТАРЬ ФЫШ САЙ ЛОЙ ДЮЦ НЕП НОП │
│ │
│ д ь ёб жь │
│ЖАТ МЫХ ШТЫМ ТЁЧ ШОПЬ КРАШ ВОНТ ТОЦ БОЛ ЗЫНЬ │
│ │
│ в з б б г б │
│ДАФЬ МЁС ЯЛ БАПЬ ХОП ЗНИК ГУП БЫМ РАРЬ ЗЕН │
└─────────────────────────────────────────────────────────────────────────┘
Таблица Б.736
┌─────────────────────────────────────────────────────────────────────────┐
│ з в б б д │
│ТУСЬ ЗЯФ НОПЬ ЦУРЬ ТРИЛ ЗОМЬ БЕПЬ ПУМ БЫЦ НЮТ │
│ │
│ в з в г д з │
│РЫН МЯФЬ ВЯС МЯЛ ВЫРЬ ТАФ СУР РЕК ПЯТ КЭС │
│ │
│ в д в з ь з в │
│ДЫФЬ ПЫМ МИТ МАФЬ БОСЬ ФИРЬ ГОР СОЧ ТРЫС ФОФ │
│ │
│ з с з з в │
│РИЛ ЛУЛЬ ХИСЬ ТРЁХ НЯМЬ ЗДЯН БЫНЬ МЮСЬ ЛЁСЬ ЦАФ │
│ │
│ з ь о з з б │
│ТРЁСЬ ЗЫЩ ШЁМЬ СЕС РОС РИХ МЕПЬ РАН ГИР ЗУР │
└─────────────────────────────────────────────────────────────────────────┘
Таблица Б.737
┌─────────────────────────────────────────────────────────────────────────┐
│ з з сч о жь │
│ПЛИН КАС РЫЙ СКАЛ МЁСЬ ЩЁЛ КРЕЛ ПИХ ВОЦ ЦЫШ │
│ │
│ д д ь б сч ь │
│СВЫМ СЯНТ РИТЬ ДЯЩ СЫЙ ПЕР ФУМ ЗУЙ СЫП ЩЕЧ │
│ │
│ з д э жь д в з │
│ЧУРЬ СТЕСЬ ПОТЬ ЖЕХ КОШ ЁСЬ ЛИТ ТЫФЬ ФАХ ВАСЬ │
│ │
│ д з з д │
│ЛЕЛ ЛЮРЬ ХУМ ФЕТ БУСЬ ШАН ДИС НУТ ТАМЬ ПРЕЛ │
│ │
│ жь в ь д д б г │
│ВЭШ ТЯФЬ ШАМ РЁЧ КРОТЬ ЗНИТ БЁН РЁП ЗДОЙ ПРУК │
└─────────────────────────────────────────────────────────────────────────┘
Таблица Б.738
┌─────────────────────────────────────────────────────────────────────────┐
│ в з д б б │
│РАФЬ БОСЬ ЯЦ САТЬ СТЫР ЧТЕП ГЕЛ ТЁП ВЯНЬ НЁМ │
│ │
│ д г в д ь сч я │
│ДАНТ ЯМ ДЛОК ФСЯН ТЕТЬ ЕН ВУЩ ПРИН ЩАН ЛЕЦ │
│ │
│ б б в д ь │
│ЮПЬ ДЮХ СИП ЛАН ДЁНЬ ТАР ЖУМ НЯФЬ БИТ ТОЩ │
│ │
│ д в з з ь │
│ФЫЦ ПЕНТ ПЮН ВЕФ ТРОЛЬ ПЛАСЬ ТЕР НИСЬ ЕЧ СТУН │
│ │
│ г ё ь д │
│БУЛЬ ПЕК ЛАЦ ВЕМ СТАХ ШОНЬ НЫЧ СВАТЬ ТРУЙ НУМ │
└─────────────────────────────────────────────────────────────────────────┘
Таблица Б.739
┌─────────────────────────────────────────────────────────────────────────┐
│ г ё в г в э г │
│ПРЯК ЧОХ САЙ ФСИМ ДЕЛ ЗАК КУНЬ ТОФ ЦЕЛ МЫК │
│ │
│ з жь з б б яб б │
│ДРАС ЗЁШ КАР ШТЕС ДОП ГОП ЧАП ТАЗНЬ КЕЙ ЧТАПЬ │
│ │
│ в д б ыв │
│ГАХ ПРАФ ШТЫЛ ХУЦ МЫЙ ЗИТЬ ЛЯП ТРЯЛЬ ХЕСТЬ ШИФ │
│ │
│ жь г д ь эб │
│МОШ ВИСТЬ ВОМ ЛЫРЬ ДЛИК НЕЛЬ БАТ РЯЧ ШЕПЬ КЕЛ │
│ │
│ б г в д ы б в │
│ПРЫП ХОК НАФЬ ХАЛЬ ДВЯТ ШИЛЬ СЁН ПАМЬ НЫПЬ ФСУЛ │
└─────────────────────────────────────────────────────────────────────────┘
Таблица Б.740
┌─────────────────────────────────────────────────────────────────────────┐
│ в з г ыб │
│ЗУЦ НУСТ СЯФЬ НАН НИЙ ДЭС РЫК БАМ ЖИПЬ ДЯР │
│ │
│ з б з г з │
│ЛИЛЬ ДИЦ ДОЦ ТЮР ЗЕС ВИПЬ ГУС ДАК ЗНОР ЧТЫС │
│ │
│ з ь ь д с сч д жь д │
│ЛУС РУЧ ЗАЧ ТЫМ ТОТЬ МИЗ ЩЕТ ДАШ НЕН СКЕТЬ │
│ │
│ б ь в │
│ШТЕП РЮР ГАЛЬ БИЛЬ ЧТУР ЖАЩ ЧЕР ВОФЬ ЖАМЬ ШУР │
│ │
│ б в в з г з │
│ПЫПЬ ХОМ СОНЬ ГЕФЬ ПАФ ШОСЬ РУК ХЕЛЬ ЧИСЬ СЮРЬ │
└─────────────────────────────────────────────────────────────────────────┘
Таблица Б.741
┌─────────────────────────────────────────────────────────────────────────┐
│ в г г ь в д │
│ВЫФ ВЫЛ ТАР ЦУК БЯК КЕМ НИЧ РЯФ ПУН ЛОТЬ │
│ │
│ в з ь в д ь э з ю │
│ВЁН МЯФЬ ПОСЬ ТРУЧ ФСИТ ГАР РАЧ ШЕН ЧТЕСЬ ЧУХ │
│ │
│ д в в б │
│ПРЯЙ БОМЬ БЮМЬ МИТ ПАЛЬ РЕЦ СТАФЬ РУФ ПРАН ТУП │
│ │
│ эб з о жь жь в з д │
│ШЕПЬ ДОСЬ ЗУНЬ САРЬ ЖЁШ КАШ ЗУФЬ ВУСЬ ДЛЮТ ГОЙ │
│ │
│ б жь б б │
│ХИСТ ЛУП ТАН ШАШ МОСТЬ ЦОП ТРЯНЬ НУР ПЁЛ ЛЯП │
└─────────────────────────────────────────────────────────────────────────┘
Таблица Б.742
┌─────────────────────────────────────────────────────────────────────────┐
│ з б в г в │
│ТЁХ ТЫСЬ БУП ВАХ ФСЯЙ ГЕНЬ ДЕРЬ НАК СКУН ЛЫФ │
│ │
│ д в ь д з │
│БЯТЬ ФЫЙ ГУНЬ ПРЫЙ ФАЦ ЖАФЬ ЧИЦ БОЩ РЕТ ЛЮС │
│ │
│ ь з д г ь г в в │
│БЫЩ ЗЁС ХИТ НЁК ТАЩ НОК ЗУМ РИН ХОФЬ КАФ │
│ │
│ д б жь з з │
│ДРОЙ НЕХ ЁЛЬ ТЁТ ПРИП НЯРЬ НУШ ЗОС ПРЕМ ТРАС │
│ │
│ д з жь з з и б │
│БУТЬ КАСЬ ФУЛЬ СУН ЗОШ НЭС ЛИЛ МАС ЦЫР ТЕПЬ │
└─────────────────────────────────────────────────────────────────────────┘
Таблица Б.743
┌─────────────────────────────────────────────────────────────────────────┐
│ о в д с д д д б │
│ЧЁМ ГОФЬ ДИТ ТРЮЙ ЗДОТ СЁТЬ ТИМЬ ЗНУТЬ ЛЕХ ДАП │
│ │
│ з б б з д б │
│ТРИСЬ ДУН ЗИПЬ ПЛЁХ РОХ НЕПЬ ТЯС СТЕТ СТЫП ХОЛ │
│ │
│ б з ыв │
│ВИЗНЬ ЗНАП ЛЕЛЬ СКЕР РУЙ СИТЬ БЁЛ СЫС ЖИФ ФИЛ │
│ │
│ з ь д з г эд │
│ДЮС ФОЧ БОРЬ ЯЛ ДУНТ ПЛОСЬ ДВЕК МЫН ЖЕТ ШТАЛ │
│ │
│ г б з д г │
│РЮК ХИПЬ ЗЕНЬ РАЛЬ НАСЬ ДАТ ХАР ПЁСТ КАРЬ ПОК │
└─────────────────────────────────────────────────────────────────────────┘
Таблица Б.744
┌─────────────────────────────────────────────────────────────────────────┐
│сч я с г г ь б в │
│ ЩАНЬ ЗДЯК ЖАК ВЕЧ СЁМЬ ПЕРЬ РЁМ ДЫП СЮФЬ ТОЗНЬ │
│ │
│ г в в │
│ НЯК МЁРЬ БЕН ЁЦ ХАЦ ХУРЬ ФСАФ ТРЕЛ ЗЫР ВОМЬ │
│ │
│ з з ёз в б з ь │
│ НЁСЬ ЕСЬ ЯХ ЧТАН ШОС ПРОФ МЯЛЬ РЮП ГИСЬ КРАЧ │
│ │
│ в о б жь │
│ СТУМ КРУХ ПУФЬ ДЁЛЬ СУЦ ЧЁЙ МЕП РЫШ МЮНЬ ВЕЦ │
│ │
│ э жь жь б з сч жь б │
│ ЦЕШ ВИШ ЛАХ НИП ШАЙ ТЫСЬ БЫР ЧТУМ ЩИШ ДЛОП │
└─────────────────────────────────────────────────────────────────────────┘
Таблица Б.745
┌─────────────────────────────────────────────────────────────────────────┐
│ жь з ь в д сч яв жь в │
│ДЕШ ЛУС ФЕЧ БАФЬ ШАТЬ ЩАФ КИШ ДЫРЬ ДЯФ ГЕЦ │
│ │
│ в б з ь │
│НОХ РЁПЬ СОФЬ ВАМ ЗЯР СЯСТ ЗАП МУХ ШТУСЬ СВАЧ │
│ │
│ я ь ь ь з з │
│ЧАЩ ПЕН БИЙ СЮЧ САЩ ПОСЬ СЕС ПЫХ ТЫЙ ШУЛ │
│ │
│ в иб д д сч г │
│ЧТЫФ ШЫПЬ ЛИТ ШТОТ ТОЙ ЛЁРЬ СЭМ НИСТЬ ЩИМ ЗАК │
│ │
│ г жь в │
│ПЯК ЗЭМ ПИШ РЫФЬ ТРОЛ ДЯН ГУХ КОР СВИНЬ ШУХ │
└─────────────────────────────────────────────────────────────────────────┘
Таблица Б.746
┌─────────────────────────────────────────────────────────────────────────┐
│ д ь ь жь д │
│ТРАТЬ ФИЩ ЗЯЧ БОШ ЛЕТ РИХ САР ЛЮН ШТОХ ВАРЬ │
│ │
│ б г в ь з ь б │
│ХАПЬ РЁМ ТЫК ТОФЬ РЫЧ ТРЯС ПИЩ ЛИПЬ ЧТИХ НАМ │
│ │
│ д в в з з сч в │
│ДЯНЬ ХУТ ХИФ КАМ БЯМЬ ГИФ МОС ЦЫЛ ДИС ЩИФ │
│ │
│ жь д з г о яг │
│ТЁШ ПУРЬ ПЕТ ШАС ФЫК ЧЁМЬ МАЛ ЕХ СЮЛ ЧАК │
│ │
│ ё в в ь б б ёг │
│ШОЛЬ ЗЫФ ДЫФ ГАЙ ЯЩ ЗАХ НЯПЬ НЫП ЖОК СЕСТ │
└─────────────────────────────────────────────────────────────────────────┘
Таблица Б.747
┌─────────────────────────────────────────────────────────────────────────┐
│ в ь в д ь д д д │
│ПЯР МЁЛ КУФЬ НЕЧ РЕФ ВЯНТ БЕЧ НАТЬ ДЛЁТ СЫТЬ │
│ │
│ б б ь │
│СТЕМ ДВАР ШУП ЦАЙ ДЕР ШАМЬ БЯРЬ СОП ЛЁЧ ТРОЙ │
│ │
│ д в з б б │
│НЕНТ ЗЕФЬ СВЕХ ЗНАСЬ ВЯЙ ВЫН ПРЕП ПАП МУЙ ДОХ │
│ │
│ г з сч яз эд д │
│ФЕЙ ХЕНЬ КИР ЗЭК ТАСЬ ЩАСЬ ШЕТЬ ПЛЁТ РЯН СУРЬ │
│ │
│ г в в в в в д д з ь │
│ВОК ФСИФ БЁФ САФ ТЮФ ЗНУТ НАТ ШТАН ГАСЬ РОЧ │
└─────────────────────────────────────────────────────────────────────────┘
Таблица Б.748
┌─────────────────────────────────────────────────────────────────────────┐
│ в в д жь г жь б │
│ЛОФЬ ПОФ ПРЮТЬ ЛЯШ СКЕН ВУК ТРЁШ ЗОПЬ БЯР ТОСТЬ │
│ │
│ б г з з э │
│ЯНЬ РЯП ЧИЙ ДАЦ ПРЫМ СВОК ЧТУС ХОС ШЕЙ МАХ │
│ │
│ с д сч д б б б д │
│ЁР ДОНЬ ЗДОТЬ ЩЕЙ ГУТ ПЛАМ БУП РОП НОП ФАТЬ │
│ │
│ д ь ь в │
│ШТУТЬ ПЫЩ КОЙ ЧТАРЬ БОМ ПРИХ НИН ТОЧ НЯЦ ВИФЬ │
│ │
│ ь з д з з │
│ПАЧ БЭЛ НУЛ ЖУН ФУНЬ ГОМЬ РУС БОТ ЧТЫСЬ ПЮС │
└─────────────────────────────────────────────────────────────────────────┘
Таблица Б.749
┌─────────────────────────────────────────────────────────────────────────┐
│в д жь б з д в з б б │
│ФСАТЬ НЕШ ЮМ ГЕПЬ МЭС СУТ КЕФ ГЕСЬ ТУПЬ ВЁП │
│ │
│ з б в жь в в │
│СТЫСЬ ПУЗНЬ ВУХ ТОП КОЦ ФСЮШ КРУН НЮФ ЗОЛЬ БЫФЬ │
│ │
│ б ыз сч │
│ТРЕП РЕЛЬ ЧЕЛЬ ЦОЛ ЧИРЬ СТОНЬ ЖИСЬ НИХ ПЭР ЩЕМ │
│ │
│ з д б ь г з ь б │
│РЮСЬ КЕЗНЬ ПРАТ ПРАПЬ ДЕЩ ЗИХ СЫК ЗУС БУЧ ПЫП │
│ │
│ д з з б ь в │
│РАР ЕЛ СКУТ ДЛУС ДРАЛ МЯС НЁПЬ ВЫЦ ЛАЩ РЫФ │
└─────────────────────────────────────────────────────────────────────────┘
Таблица Б.750
┌─────────────────────────────────────────────────────────────────────────┐
│ з б г в с з │
│ТИН ВОСЬ ДОЙ ТРУПЬ МЮЦ ГУК ФОРЬ КИФ ЗДЯЙ ДЮСЬ │
│ │
│ э жь в д в жь б │
│ЖЕШ БАРЬ ДЯФЬ ЛЯР ХАТЬ ПЫХ РОФЬ МИШ МИЙ МЯП │
│ │
│ д з з з д д в │
│ВЕТ СЁЛЬ ДУСЬ ЖАНЬ ЛЫСЬ КРАС РЁТЬ ШУТЬ ЛУФ СТУР │
│ │
│ з г сч о б з ь г │
│НУСЬ ЦОР СЕК ЩЁЦ СИП ПЁЙ СЮС ШУЩ ЗЮК ТАЛ │
│ │
│ в б г д │
│ХАФЬ ТРИХ СОМЬ ДОЗНЬ ДЕЙ ТЯРЬ ЗЭП ЛЁМЬ ТЁК ЛУТЬ │
└─────────────────────────────────────────────────────────────────────────┘
Таблица Б.751
┌─────────────────────────────────────────────────────────────────────────┐
│ ь ь б ь г з │
│ХОЩ СВЫЛ ШТАЧ БЫП САР ПУЧ МОН ПЫК ШТЫС НОНЬ │
│ │
│ з з з з з │
│НУС ВОЛЬ ТРЕСЬ МЯЙ ПЛЕСЬ ГЕЙ ДЯЛЬ РЕС ТИС ДЮЙ │
│ │
│ ь д д з в б с з з │
│СЮЩ КРАТ ЛЯТ ЗУСЬ БАФ ВУЙ ТЕП ЗДЯСЬ ХИН ВИС │
│ │
│ д г г д в в г ь ь │
│ПУЛЬ ТЁТ КУК НУК ТЁНТ ФСЯМ ЛАФЬ ПРЮК ДЯЧ ЮЧ │
│ │
│ оз в з эв ь з │
│ДЛЕН ШЁСЬ ЧИФЬ РЕХ СЮХ ПРОСЬ МЕЙ ЖЕФ БЯЧ ФУС │
└─────────────────────────────────────────────────────────────────────────┘
Таблица Б.752
┌─────────────────────────────────────────────────────────────────────────┐
│ б ь б д з д з ы б жь │
│ДАП ГИЩ ФОП ЗЯТ БУС ТЯТЬ СТОСЬ ШИЛЬ НИПЬ МЯШ │
│ │
│ г д сч я з з в сч ог │
│ДЫК ЛИН БЁЦ НАТ ЩАМ ДОС НЕЙ ХОС СТУФ ЩЁК │
│ │
│ ь г з д │
│ВУЧ ВЯЛЬ БЫЦ ПЛУЙ ПРЁК РЫНЬ ЗАСЬ ТЫНЬ ФИТЬ ЖАЛ │
│ │
│ ь г д ь жь в ог сч з │
│РИЧ ЗНОК ФЫТЬ МЁН ЕЩ САШ ФИФ ЧЁК ЗАМЬ ЩЕСЬ │
│ │
│ д б ыв ю ь в з в о г в │
│ТОТЬ ВЫП ШИФЬ ЧУЧ ФСИС РИЛ СКОФ ШЁНЬ ДЕК СОФ │
└─────────────────────────────────────────────────────────────────────────┘
Таблица Б.753
┌─────────────────────────────────────────────────────────────────────────┐
│ г б б в д │
│НАСТЬ ШТОК МЫПЬ ТУЙ МАП ЧТЕФ СУХ КОНТ ЛЫНЬ БЮЦ │
│ │
│ и ь ид ь │
│ТРЮРЬ ШУР ЦЫХ БУЛ ВЫШ ЕР ЦЫТЬ ЗЁЧ НЯЛ ДИМ │
│ │
│ з д з в д │
│ТИЙ БАЙ ДЁСЬ ЦАТ ЛОС ТРЯФ НЫЛ НЁТЬ РУЦ РЯР │
│ │
│ б б г │
│ФЕР СВАХ БЮЙ РЕН ЛАПЬ СЭП СТАК ТРАЙ НАЛЬ СКИЙ │
│ │
│ д ь з з │
│ГОМ ПЯХ ВАНТ БЕМЬ ТРИЦ РАЛ ВЕЦ НЕЩ СЕСЬ ЯС │
└─────────────────────────────────────────────────────────────────────────┘
Таблица Б.754
┌─────────────────────────────────────────────────────────────────────────┐
│ жь жь д ь в д │
│ГОШ КОЛЬ НИШ ВЕН ЧЕН ТЫФ ТУТЬ КИЧ ПАФЬ ПРЯТ │
│ │
│ в д д з д │
│ШАМ ФСЫТ ЗОХ РОТЬ ДРАСЬ СОСТ ДЯРЬ ТЕТ КЕНЬ ПРАЛ │
│ │
│ в ы ь д эд в ь │
│ЖАЦ ГАФ МУР ЖИЧ СИЛ РЮТЬ ЦЕТ РЁФЬ ЛЮЧ ТАМЬ │
│ │
│ б ыд г жь д д сч │
│ЛЕП ШИТ ФАР ЛЁК ЛОРЬ ПОШ ХУНЬ ТРЫТЬ ВОТЬ ЩЕРЬ │
│ │
│ б в б э жь з з │
│ДЛАП ТАФ ШУЦ СЁП ШЕР ПЕШ ВАС ТЮСЬ ЗЫЙ ПЮЛ │
└─────────────────────────────────────────────────────────────────────────┘
Таблица Б.755
┌─────────────────────────────────────────────────────────────────────────┐
│ жь з с з в з д б д │
│ТАР РУШ ЖУЛ НЯС ЗДОСЬ ТРУФЬ ПАСЬ ДАТ ЧТЫПЬ ДВЯТЬ │
│ │
│ з б в в д д │
│ЗНАС ЗОПЬ КУФ ЮР ЛЁФЬ ХУТЬ ЗЕРЬ ГУРЬ ДУН СТЯТ │
│ │
│ г б б з г б │
│ФЭК ЕП МИП ПЕС ХЕК СЫРЬ ПИНЬ ПАЗНЬ РОХ ЧТУПЬ │
│ │
│ в в ь д │
│ЁФ БЯЛЬ ДЯСТЬ КРУФ КУРЬ ДЫЧ БОН МЮЛ ЛЕТЬ ЗУЛЬ │
│ │
│ ь б з д я б │
│ПРУЧ СУМЬ ХАПЬ ГАЛ ЧТАСЬ НЫХ ЗИТ ЧАЛЬ РОНЬ РОП │
└─────────────────────────────────────────────────────────────────────────┘
Таблица Б.756
┌─────────────────────────────────────────────────────────────────────────┐
│сч юв з б ь яв г д з │
│ ЩУФ ЛАМЬ ДУС ЖАП СЕЗНЬ ТЮЧ ЧАФЬ НЁК ЛЮТЬ НАС │
│ │
│ г ь б ь ь │
│ ЛЕК БЯЩ ГИХ ШУП ЮЛ ФЕН СИН ПРЫЧ ЦУЛ РАЩ │
│ │
│ з з д г б б │
│ ЗЯМ ВОРЬ СКОСЬ ПРЁСЬ ТРОЦ СЮТЬ МЁК СЯПЬ КЕПЬ ШТЕМ │
│ │
│ в г с ыз з э ь │
│ ФСЕХ ТЕК ВЕНЬ ЗДИХ НОМ БЁМЬ ШИС ПОС ЖЕЩ ТАХ │
│ │
│ ё ё в б з з з │
│ ШОЙ ЖОЛ ТРЁЛ ЗАФ РЁП ЛОН ДАСТ ФОСЬ ТРЮСЬ РОС │
└─────────────────────────────────────────────────────────────────────────┘
Таблица Б.757
┌─────────────────────────────────────────────────────────────────────────┐
│ сч од б в д │
│ ЧТАХ ЩЁТЬ ДОРЬ ЛЯР КРЫЛ ТАН НУРЬ КАПЬ ПЕФЬ ЧЕТ │
│ │
│ д г в б │
│ БЭТ ДРЕЙ ПЭК ГИЛ САФЬ КОР ШУЙ ПУЙ ДИЛЬ МЯПЬ │
│ │
│ д сч ь в з д │
│ ШТЕТЬ ВУЛ СЁРЬ САЛЬ ТУЛЬ ЩИЦ МЮЧ ТУФЬ ДЛЕСЬ РИТЬ │
│ │
│ г в б в б д з д д │
│ ЗНЮК ТИФЬ ФУПЬ СЫФЬ ВАПЬ ДЫТ ЧЁС ВЯТЬ НЯТ ФИЙ │
│ │
│сч ю д ь ь б в │
│ ЩУЛ РЫР ЗНОТЬ РИЧ ПРЯЧ ФАРЬ БОНЬ ЧИМ ВИП РУФ │
└─────────────────────────────────────────────────────────────────────────┘
Таблица Б.758
┌─────────────────────────────────────────────────────────────────────────┐
│ д в в д д │
│БУТ ЦОХ ЦАН ПЫН ЧТЫЛЬ МИЛ ФСЯФ ЗИМЬ ЛАТЬ БЯТ │
│ │
│ ь д б э э в г │
│ШТУН ЗУЛ НУЩ РУТ ЯП ШЕЛЬ ШЕЦ ЛИФЬ СТАК МЯРЬ │
│ │
│ г ь з з жь жь │
│ТРУК ЕЩ МАХ НЫЦ ЮС ХАЛ МАС НАЛ БЫШ СКЕШ │
│ │
│ з г д д в в │
│ДАС ЗЁЛЬ ГАК ПАТЬ ДАМЬ НЕЛ ГЕР ПРУТЬ СТОФ ТРЫФ │
│ │
│ б в г жь в │
│СОРЬ ЦАП ПРОН ФСАК ДЁШ РАН ШАФЬ НИРЬ ПИЙ ЛИЛЬ │
└─────────────────────────────────────────────────────────────────────────┘
Таблица Б.759
┌─────────────────────────────────────────────────────────────────────────┐
│ жь д ю в ь │
│ГУЙ БАМЬ НЁЦ ЗАМ МИШ КУТЬ ЧУЛЬ ЛЕЦ ДЯФЬ ШАЧ │
│ │
│ з з б ы в з │
│СУС КЕСТ ТЁСЬ МАЛ НЯМ ТРИПЬ ЖИРЬ ГУР СВОФ ЗАС │
│ │
│ г ь д ь б │
│КИХ ПОК СТУЧ ДИЙ ФЫТ НУСТЬ КРАР СЕХ ВЫЧ БЫПЬ │
│ │
│ жь з з жь б з │
│ТРЕШ ЛЁСЬ БЯЛ ВЁР ЧТИЛ ХОСЬ РЁНЬ ЗУШ ДЕПЬ ПЛУС │
│ │
│ д б в э в з жь │
│ЗЕЛЬ ПЁТ НЮП ПЮФ РОМЬ ШЕНЬ ЗОФЬ НЕС ЖУЦ ВАШ │
└─────────────────────────────────────────────────────────────────────────┘
Таблица Б.760
┌─────────────────────────────────────────────────────────────────────────┐
│ з ь д б в г │
│ДВЕС ЛЫЩ ТЫЦ ФИТ СВАЙ ПРЮП ЕФ ТУЗНЬ СТЯН ЧТЫК │
│ │
│ з г д з г │
│ДУМ ДЫСЬ ДЛАМ ЁНЬ МОК ДЮТ ТОС ВИЛ ВУЦ ПЛЕК │
│ │
│ в в │
│ХИРЬ КОФЬ ПУСТ ХАФ ПАМ ЗОНЬ БАЛЬ СЫЛЬ НУЙ РЯЦ │
│ │
│ ь ед в з в с │
│ХОЧ МЭТ РЮЛ БИФЬ ЛУСЬ ХЕФЬ ЗДАЛ ХУН ТЫР БИН │
│ │
│ в б з б д жь │
│ТЯЛЬ ВЁСТ ГАФЬ СЫРЬ ПЯП ГОРЬ РЕС РЭП РЮТ РАШ │
└─────────────────────────────────────────────────────────────────────────┘
Таблица Б.761
┌─────────────────────────────────────────────────────────────────────────┐
│ д д г в жь │
│ПОЛЬ ЧТАР МАН ЛУТЬ ТРЁЦ НИЦ ЗОТ ПРЕК НЕФЬ ГИШ │
│ │
│ ё в э з д в │
│ШОЙ СЫФЬ ШЕЦ САМЬ ТРОСЬ ПАЛ ПЁНТ ДЕФЬ БЯЛ ЁНЬ │
│ │
│ з г ь │
│РЁС ЕК НАХ ЦЫЧ НИСТ ФЕМ ДЕМЬ ВЯЗНЬ ЗОМЬ НЯР │
│ │
│ ь д в в б з б │
│ПЛЕЧ БОТЬ РЫФЬ МЮМ ФСЯХ ТАП ДОЦ ТЁЛ СЕСЬ ЛИП │
│ │
│ з д ь жь ё ь │
│ХУС ЗАР ЗУР ЛЁЦ РИТ НЯЧ ФСЕШ ШОР БЫЩ ВЯЛ │
└─────────────────────────────────────────────────────────────────────────┘
Таблица Б.762
┌─────────────────────────────────────────────────────────────────────────┐
│сч б г д ь б │
│ ЩЕЦ РЫПЬ НУНЬ СУЛ МЯК ДЯТ КЕЧ ТРЮХ ТАПЬ СОРЬ │
│ │
│ з з о б │
│ БУН ДЕМ ШТИС ГОР ХАРЬ СКЕХ РИЙ ВИСЬ ЖЁН ДОП │
│ │
│ я ь б з д │
│ ТРЫМ ЛУЛ ЦУМ ЧАЧ МИПЬ ЛЯЙ СВАСЬ ДОСТЬ ЗУЦ ХИЛЬ │
│ │
│ з жь │
│ ЗНЕН РУХ СКАН ЯН РАЛЬ ЛЕСЬ ЗЕМ ТЮШ ФОР ФИХ │
│ │
│ б в в з │
│ НИНЬ ЛЫП ПЫФЬ ЗУЙ КУХ ТЭФ РЫХ ЦОС СЯЦ МЁР │
└─────────────────────────────────────────────────────────────────────────┘
Таблица Б.763
┌─────────────────────────────────────────────────────────────────────────┐
│ з ю ь ь б сч юд д в │
│РИЦ ЧТУСЬ ЧУЛ МАЩ ЗАЧ ЧТИП ЩУТЬ ЧТЫТ ЛАФ ШАЛ │
│ │
│ с з ь из │
│РАХ ЗДЯС ТАЧ СЮР ШЫС КОЦ ВУМ ЮЛ КАМЬ БУНЬ │
│ │
│ ь в б з з │
│ТУЧ ТОНЬ ГУФЬ ДЮНЬ НАП БАЦ ТУН ТЯР ВАС СУСЬ │
│ │
│ д г сч оз ь в │
│НОТ ПЭК ДЁХ НЯЙ ТРИЙ ЩЁС СЁНЬ БУЩ СЁСТ БИФ │
│ │
│ з в г г ы в ь │
│ГАР ПЛАС СВУХ ФСУК ДЛЁК РЕЦ ЖИНЬ БУФ ЗНОХ ЕЩ │
└─────────────────────────────────────────────────────────────────────────┘
Таблица Б.764
┌─────────────────────────────────────────────────────────────────────────┐
│ б г жь б │
│РЕП ВОК ПРЯМ ПРИЛ МЕН ДРАН ПЕШ ШАП СЫЛЬ ЗИН │
│ │
│ б д ь в в в б с │
│БЁП ШТАТЬ ТРАЧ ДУФ ЕФЬ ГУНЬ ВЫХ СТЫФ ЖАПЬ ЗДОН │
│ │
│ г б ь г з в │
│ХЕН ХУК ФУП КОЧ ДАК ПЯМ ТРИМ НЁРЬ ГЕСЬ ЛЯФ │
│ │
│ б жь б сч ю ь э │
│ЧЕЦ ДЯЛ ВЕПЬ КРУМ ПУШ ТИПЬ ВЫН ЩУМ ВЁЧ ЦЕЙ │
│ │
│ э жь д в в в │
│ЖЕР ДЫШ БИНЬ ДЛУТ ВУФЬ РЕМ МЫФЬ ЖУФЬ ПОР СИЙ │
└─────────────────────────────────────────────────────────────────────────┘
Таблица Б.765
┌─────────────────────────────────────────────────────────────────────────┐
│ д э │
│МУНЬ ПЁХ СТЕЛ ДВАЛ РУН ШУН ГОЙ ТАНТ КИР ШЕЛ │
│ │
│ ь ь з │
│КИМ ПРАЧ ПРУМ НУЩ ПРЫСЬ МЯЦ ЛЁМ ШТЫН ЗЁМ ТЫРЬ │
│ │
│ ь б з з з д │
│ПЮЩ ПЁП СТОМ ХОЦ ТЮСЬ ФАСЬ НЫСЬ КИНТ БЕРЬ ЧИР │
│ │
│ з б д з жь ь │
│ФЫНЬ САХ ГИН КАС НЕП ВОТЬ СТУС ТЕРЬ ХАШ ДЯЧ │
│ │
│ в о д д з з │
│ШАФЬ ЛЕР ЗЯН ЧЁРЬ НЭТ РИЛЬ БЯТ КРАС ЛОС ПУНЬ │
└─────────────────────────────────────────────────────────────────────────┘
Таблица Б.766
┌─────────────────────────────────────────────────────────────────────────┐
│ з сч б ь │
│ПЫСЬ ЩЕПЬ ПИМ ВУРЬ ТРЁЧ ПРАЦ ЁМ СКИМ ДУР ЛИЙ │
│ │
│ в ь жь в в в б г │
│ЦОФ НУЧ НЕШ ЧТАФ ФСЕМ ТОФ НУПЬ КРУЛ ЧИК ПРИМ │
│ │
│ г б в г │
│ВЁСТ ТЯК СВУЛ ЗОМ МЮПЬ МЯН ДОФЬ ВАК СЫМ РИНЬ │
│ │
│ в з б д д б │
│ДАФ ЗИСЬ ТРОП ЛАТЬ БИЛ ХОХ БЮТЬ ТАСТ РЫП КИЗНЬ │
│ │
│ д жь з з в │
│СТУТ БЯЦ ЮШ РЁС ЗЯСЬ БЁФЬ СТЕЙ РЯМ ГЕЦ СЯХ │
└─────────────────────────────────────────────────────────────────────────┘
Таблица Б.767
┌─────────────────────────────────────────────────────────────────────────┐
│ д в жь │
│СИТ ТЮХ ШУР ДОСТ ГОФ ПРУЛ ТРИН ЗЁЦ ФОШ ЗНОЛ │
│ │
│ ёб ь ь д б ь ь шь б │
│ШОП ДЕЧ ЁЧ ТРЁТ ДЫП ФИЧ ШАН ЛОЩ НИЖ БУПЬ │
│ │
│ б д з д │
│НЕР ЛЕН ЛЫПЬ ЗЕР НЁТ ПЮСЬ ВЫЛ ТЫТЬ ПУЦ НЯСТ │
│ │
│ в г д я жь з │
│ПЯРЬ КАФЬ НАЙ ФОЛ ЧТЫМ СВАК ТУРЬ КОТЬ ЧАШ ЛЫС │
│ │
│ в г б б б ю ь │
│ТЕЙ ФСАЙ МЫК ДЕП ДЮР ПРЯЛ НИПЬ РИП ЧУЦ ХЕЩ │
└─────────────────────────────────────────────────────────────────────────┘
Таблица Б.768
┌─────────────────────────────────────────────────────────────────────────┐
│ ь ыв з ив с │
│ БОЦ ХАЧ БУРЬ ШИФЬ САНЬ НЯС ЦЫФ ГАЦ ЗДЕХ ЗУХ │
│ │
│ в б б д в │
│ ФСЁЛ ГИР ЛЁПЬ ВУПЬ ЛЕХ ПУН ТИНЬ ЕТ СТОРЬ СЁФЬ │
│ │
│сч ю б ы д б оз ы │
│ ЩУХ ЯПЬ ШИМ БАТЬ ФАМ ШТЫР НАРЬ ШУПЬ ЖЁСЬ ЦИРЬ │
│ │
│ д в о с з ь б ь ёд │
│ ЗНЕТЬ ДЁФ ДЯМ ЧЁЛЬ ЗДАС ЗОЩ РУП БЮЧ ШОТ ТЁРЬ │
│ │
│ г б ь в в │
│ ПАРЬ НЯЛ СЁК ЗАПЬ САЦ ПОМ ТЫЩ ПЕФ РАФ ДЕЦ │
└─────────────────────────────────────────────────────────────────────────┘
Таблица Б.769
┌─────────────────────────────────────────────────────────────────────────┐
│ г з з в б з │
│ДЛАК ПЛИС СУЛЬ ХУС МОФ ЛУР СЕПЬ ЛЮР ВЯМ ПРЕСЬ │
│ │
│ з д сч ов в д з │
│КОСЬ КАНЬ ЧТУТ ЩЁФ ВЁХ КАФ СЕНТ НОЙ ТЫЙ ДРЕС │
│ │
│ д жь д │
│МИХ ФУРЬ ВЕНЬ СЫЦ КОР СКАТЬ ЖУШ РЫРЬ РИН ШТИТ │
│ │
│ з д д з д ь ь │
│ГУС ЗАЦ ДВИТЬ ТАТ ЛЯНЬ ЧТИМ ЗОСЬ ДЯТЬ ГОЧ ВОЧ │
│ │
│ д ь з в жь з в з │
│СИТ ПЕЩ ДОСЬ НЫФЬ СТЫШ КИРЬ ПРЫС ТРИЛЬ МЁФЬ СОСЬ │
└─────────────────────────────────────────────────────────────────────────┘
Таблица Б.770
┌─────────────────────────────────────────────────────────────────────────┐
│ з з эг з сч ю │
│ЗЭМ РОСЬ ДУЦ МЯСЬ БОЛ ШЕК ЛИСЬ НЕЙ РАМЬ ЩУЙ │
│ │
│ жь д б з жь в │
│ЦАШ ТУН МЕТ ТРЫНЬ ПЛУП РЮЛ КЕСЬ ТРАШ БЫФЬ ВИРЬ │
│ │
│ з д эг б в э │
│ХИС ЮТЬ ЦЕК ЖУПЬ СУФ РЯНЬ ГАМЬ КРАМ НОЦ ШЕР │
│ │
│ б жь ь ь з в э │
│ЗУПЬ БЕШ МУЧ ПОЩ РЕРЬ МАС ШТАФ ГЕЛ ЖЕЛ ХАРЬ │
│ │
│ д з г б д в │
│ЖАТ ТАЛЬ ДЛЕС ФЕЛ ХУК РЭП ПЁЗНЬ БАРЬ ВЫТ ВАФ │
└─────────────────────────────────────────────────────────────────────────┘
Таблица Б.771
┌─────────────────────────────────────────────────────────────────────────┐
│ ь в д эг б д б │
│БЁЧ ТАФ БЯНЬ ЗНОТ ШЕК ЗУРЬ ЗЁХ ХУП ЗОТЬ СОПЬ │
│ │
│ з ь б в д │
│ФИСЬ ЛЮЩ РЕХ ЛЁП ТЕЛ ШАФ МЫТ ТЮМЬ ГУЛЬ ЖУЛ │
│ │
│ б з жь з з д │
│ХАНЬ ПОПЬ ЛЕСЬ РЁЙ ТРЕЦ СЯШ КАС ЗЯС РОТЬ ВЯРЬ │
│ │
│ жь д в з з з д б │
│ПЛЕЛ КАМ ВАШ ФСЯТЬ ФСАСЬ БИСЬ СЯСЬ ПЮТ ПРОП ДЕЙ │
│ │
│ ь жь д д │
│РЕЛ БАМ РЮМ ХОНЬ РЮЩ БЯШ ДУТ ГУЦ РИЦ ТРЫТ │
└─────────────────────────────────────────────────────────────────────────┘
Таблица Б.772
┌─────────────────────────────────────────────────────────────────────────┐
│ б д ь з б │
│ТОП ТЭЛ РЯЙ КЕТЬ ШУЧ ПАСТ ПУР МУСЬ ШАП ДЯЛЬ │
│ │
│ б д яб д │
│ЕМ РИПЬ ЦОТ ПЁМ ЗИРЬ КЕСТЬ ЧАПЬ ДЕТЬ МЯМ НЕСТЬ │
│ │
│ ь д б д д в │
│ЧТЫЙ ЛАМ ЧИЩ НЯТ РЭП ТУН ПЁТЬ МИТЬ ЕЦ ХЕФ │
│ │
│ г з з ь сч │
│ЗДАК ТРУЛ ДУС РАЛ БЯМ ФЕС ВАНЬ ТЫРЬ ШАЩ ЩИЙ │
│ │
│ б жь з жь в д жь │
│ДЕПЬ ДЯШ ЁСЬ ЖАШ ДЫФ СТЫМ ДАСТЬ ФОТЬ ХОШ ТЁЛЬ │
└─────────────────────────────────────────────────────────────────────────┘
Таблица Б.773
┌─────────────────────────────────────────────────────────────────────────┐
│ г б ыз д г │
│ ПЫК ПОР ЛЁЦ МОП ЖИС СВОМ ХОТЬ ДАХ СТУЙ КРОК │
│ │
│сч я з в в ь э з │
│ ЩАРЬ НЁС РАФ СТЕФ РОНЬ ЯЧ ШЕХ ПРЮН ТИС РОЦ │
│ │
│ з г з з д б │
│ НЁЦ ШТЕН ДВАСЬ ЗУК НЯМ ЦУСЬ ПЫМЬ ЗНЕС КАТЬ ВЫП │
│ │
│ б ь г жь з в │
│ РЫПЬ ТЭН МЕЩ ГЕЛЬ СВЕК ФЫХ ЛУШ КИС ЛЯФЬ ПРЯЦ │
│ │
│ г з в в д │
│ ЧТИК СУС СИСТ САФЬ ФАФЬ ФУМЬ НОМЬ ЛЫХ ДОЛЬ ШТЕТ │
└─────────────────────────────────────────────────────────────────────────┘
Таблица Б.774
┌─────────────────────────────────────────────────────────────────────────┐
│ д б в б г жь │
│ДЛИТ ПАПЬ ЗАЛЬ ЛАФЬ ЛИПЬ ПОК ЛЮЙ ДРАШ ВУЛ ТРЯМ │
│ │
│ з в в эв сч яг з │
│ТУС ФСЕФ БУМЬ ЖЕФЬ ЮЙ ЩАК СЕР НУРЬ ПИЛ ГОСЬ │
│ │
│ ь в б в д ь д д д жь │
│БЫЧ ПРУФ МЮП БАФЬ ЗОТ ХИЧ СТАТ ВЕНТ МЯТ ЗАШ │
│ │
│ в ы з о │
│МЁФ ШИР ВИМ ЗИНЬ ЖАМ НЕЛ ЧЕРЬ ЧИС БОНЬ ЧЁНЬ │
│ │
│ жь д в з ь жь │
│ПРЫШ ВЮТ СЫФ ВЁС СКИХ ТУЦ МАР НАЛЬ ВУЧ ТОШ │
└─────────────────────────────────────────────────────────────────────────┘
Таблица Б.775
┌─────────────────────────────────────────────────────────────────────────┐
│ б б в с з з ь │
│БЫП НЫП НИЛЬ ГЕФ ЗДИСЬ ДЫЦ ТАСТЬ ПРЁС ГАН НЕЩ │
│ │
│ з жь з сч в │
│ПЛУСЬ ТРЁМ ЦУШ СИЙ СЫЛ ДЯС ШТУЛ ТЯЙ ЩЕФ ЧТЫЛ │
│ │
│ б жь в ь д в жь ь │
│ПЯПЬ ВЫШ БЕФ ТРОЧ ДЛОТ СИФ ДЕРЬ НЯШ ДИР ГАЧ │
│ │
│ д жь д д ё жь │
│СИТЬ СКОЙ ЯМЬ КРУШ ТРЮТЬ ЗАРЬ НУЙ НАТ ШОШ ВОРЬ │
│ │
│ б жь з д з │
│КАП ТАШ САЛЬ ШУЛЬ ЛОЛЬ ЧТАС БУТ ЦАМ НУЦ ГИС │
└─────────────────────────────────────────────────────────────────────────┘
Таблица Б.776
┌─────────────────────────────────────────────────────────────────────────┐
│ д с з д б д жь б │
│БЭТ ЗДИС НЫР СКИТЬ ВОПЬ НЁТЬ ПЕН КОЙ БЮШ ТЕПЬ │
│ │
│ ёв з з в д з д в │
│ШОФЬ ЗЮЦ ДЫСЬ ДЯС ГУФЬ БЁТ ЦОСЬ ШТЫТ ТЁФ ЕЙ │
│ │
│ ь з д в │
│ЛЫЧ ТАС НЯЗНЬ БЯР БУЦ ПЫТ ЗИНЬ СЮН МЕФЬ ПРАНЬ │
│ │
│ ё д сч я ь д │
│ВАН ШОМ ШТИН НОТ ВЯЦ ЩАЦ ТРЕХ ЖУЧ ГОТЬ СКОМ │
│ │
│ б од э я │
│ЧТЕМ МЯНЬ РЮПЬ ЖЁТ БЫМ ШЕЙ ЧАР ДОРЬ ВЫСТ ТУЦ │
└─────────────────────────────────────────────────────────────────────────┘
Таблица Б.777
┌─────────────────────────────────────────────────────────────────────────┐
│ д ь ыб в │
│РЫЙ НЭТ КРУЧ БЕХ ЦИП ВЫФЬ РЯЛ ДИНЬ ЧИРЬ ЦАР │
│ │
│ в жь э б │
│НУМЬ РЕЙ ГУФ ЗЯШ ГЕРЬ ШТАХ ЖЕЛЬ ЁР ДУМЬ БАПЬ │
│ │
│ г з ь э в в д │
│ЛЕМ НЕК МЯС ПОЧ ЖЕЙ РОФЬ ЗЕЦ ФСЭТ РАМ ТОНТ │
│ │
│ г д ь ь в в │
│ХИК ПРИТЬ ФУЙ БАЩ САНЬ ВЫЛЬ ПРЕЧ ФИФЬ СЁЛ ЗНОФ │
│ │
│ д д б з │
│РЁНЬ МОМ ТРУТЬ ДВЯХ РАТ ЧТУХ ПУЦ РУЦ МАП ЛЯС │
└─────────────────────────────────────────────────────────────────────────┘
Таблица Б.778
┌─────────────────────────────────────────────────────────────────────────┐
│ б ь г жь д д │
│ГАПЬ ГИЛ ФЫЧ ДЯЙ ЕК ТЫШ ТЫТ ВУМ ВАЦ ВУТ │
│ │
│ эв ь д д жь б │
│ДЛОЙ ПОР ШЕФЬ ТАЧ СОТ ЛЁТЬ КАЙ ГИЦ ЛАШ ТАП │
│ │
│ ёб з б ь с в г │
│СУЛЬ ЧОПЬ ЗУН СТУНЬ ЧЕС РЫП ПОЩ ЛИХ ЗДАФ РИК │
│ │
│ з в б │
│ФЕНЬ СЁХ ТЯХ СТЕС КОФ ТЭР ВЁП НОРЬ СЫНЬ НАЦ │
│ │
│ б б в │
│НАПЬ ПЮРЬ ЗЫН КИСТ СТАЦ МУПЬ ПИФ ЗИЦ ДЕЛЬ БИЦ │
└─────────────────────────────────────────────────────────────────────────┘
Таблица Б.779
┌─────────────────────────────────────────────────────────────────────────┐
│ в ь д в д з │
│ МЮРЬ ТЫФ ТРАМ ТРЯЦ ХАЩ ДРАТ ДЁР ЗАФЬ КУТ НЯСЬ │
│ │
│сч яд г з в ь в жь │
│ ЩАТ ШУНЬ ГОК РИСЬ ЛЮФ ТРЮЧ БЫФ ДЫЙ ЗАНЬ ТРЫШ │
│ │
│ з б в б д ь │
│ МЫСЬ ФЭП НУФ ПОМ НЕРЬ ПЕРЬ БЯП ПРОТЬ ВЁМ ДЯЧ │
│ │
│ ы в ь б сч б г │
│ НИР ШИЛ БОФЬ ЗОРЬ ПРАМ КИЩ ПЛЕП ЩИП ДУЗНЬ ДЮК │
│ │
│ жь з б д д з │
│ СЫШ СЯЦ КРОЛ ХАС НЮПЬ ТРЮТ ЗНАХ ДЫТЬ ТИХ ПЯС │
└─────────────────────────────────────────────────────────────────────────┘
Таблица Б.780
┌─────────────────────────────────────────────────────────────────────────┐
│ в в жь │
│ТУМ ФСЕХ ХУЛ ЛУРЬ ЗУФ САЦ ЧТАШ ЛАЛЬ НЯЛЬ ЛЯН │
│ │
│ д д ж д ь │
│ПЛОЙ ХАТЬ СЁНТ МЁШ РУНЬ СЯТ ВЯХ РЯМ КЕН ШАЩ │
│ │
│ д эв в д д з г │
│ШУТЬ ЯН ЦЕФ СВАФ СВЫТ ПУНТ ШАС ЮМ ЧТАК ХОЛЬ │
│ │
│ б д в з ь сч в │
│ЖУП ЛИЛ ТЯТ КУР ФОФЬ ХЕС ЗОЧ ЩИХ ЕФЬ ЛУЦ │
│ │
│ з в д в жь д з │
│ПРЯС СТЫРЬ ДАН ФСЮТ НИЦ СУФ ЛЕШ РИТ ДЛЮС ГУН │
└─────────────────────────────────────────────────────────────────────────┘
Таблица Б.781
┌─────────────────────────────────────────────────────────────────────────┐
│ б в в жь в ь б эв │
│ПЕП РЮФЬ ФСАХ ШАМЬ ЛОЦ БИШ ЗАФ НАЧ БУПЬ ШЕФЬ │
│ │
│ ь б б г │
│ХОР ТЯСТЬ МЕМ НЕЛЬ СИСТЬ ДАЧ ЧЕПЬ ПЮР ВОП ПЛЁК │
│ │
│ г з д б │
│ВЫМ ТИЛЬ КУСТЬ ЗНУК СТЯСЬ ШАТЬ БУЦ ТРАЛЬ ЛЕП ТЫМ │
│ │
│ в г в з з │
│ПОФ ПЕК КЕЛЬ НЮФ РЮМ ДЯЙ ПРЮМ НОСЬ ЗУС ХАЦ │
│ │
│ д э г з з │
│ДУТ ЯНЬ РИР ЖЕРЬ ТРЯК БЭЛ ТУСЬ ЛЯСЬ СТУЦ ЦУЩ │
└─────────────────────────────────────────────────────────────────────────┘
Таблица Б.782
┌─────────────────────────────────────────────────────────────────────────┐
│ з б з жь з │
│НЫС ТРИНЬ ТАЛЬ КРОЦ СЕП РУС ГОНЬ ДЯШ ДИРЬ ЗАС │
│ │
│ я з д б с з │
│ЧАНЬ ЖУХ ВЫРЬ ЧУС ВЯТ ЛИН ЗЮР ТЯПЬ ЗДАСЬ ЗАМ │
│ │
│ з в д з в д │
│КОСЬ ГИНЬ ЛЮХ МЫФ ТАТ ЦАСЬ СОФ ЮН ДЭНТ ЛУХ │
│ │
│ д б з в д д ы в з з │
│СИНЬ НИТ СЕП НИРЬ ТРЁС ФСЁТЬ СЭТ ЖИН ФСЕС ТРЫСЬ │
│ │
│ в ь б д д │
│СВАЦ ФАФ МЕНЬ ВЁРЬ РАЩ ФИЛЬ ПЫП ВАТЬ ПРУЙ СВЕТЬ │
└─────────────────────────────────────────────────────────────────────────┘
Таблица Б.783
┌─────────────────────────────────────────────────────────────────────────┐
│ в э сч з │
│ПУРЬ СУМ ТЫФЬ ШЕНЬ ЩИР КАР КУЦ ПЛАР ДОНЬ ФЫСЬ │
│ │
│ жь сч з б д з д │
│ГИШ ВИЛЬ НУН ЩЕС НЁНЬ ХАП ВЭТ ЗЯХ ЗЕСЬ ДЫТЬ │
│ │
│ з з ь г │
│ФУН ЕЛ СЁС ШТЕСЬ ПРЯХ ГЕЩ ХОЙ ПЫЙ ЗОНЬ МОК │
│ │
│ б в г жь в в жь ё │
│БАП ПИФЬ ЛЁК СЮШ БОФЬ НЕМЬ СКЕФ ДРАЙ ЧТЕШ ЖОЛЬ │
│ │
│ в сч д з г з в │
│ЛЫР ХОФ ПРЫН ЩИРЬ ДЛЕЙ ФОТ ДВИСЬ КЕК ПЯСЬ БЯФЬ │
└─────────────────────────────────────────────────────────────────────────┘
Таблица Б.784
┌─────────────────────────────────────────────────────────────────────────┐
│ б б д │
│ЖАП ДОХ БЮХ ПАП ТОР РЫЛЬ РАР ГУР ЦОТЬ НОСТ │
│ │
│ д б в з в з │
│ЧИТ ПУР МИПЬ ГАЛ ЗНАФ МЯЦ БЫСЬ ТОФ СТАЛ ДЁС │
│ │
│ б б б д д │
│СЫП ЛИЦ ВОЗНЬ ДЕЛ ХИП РОП МАНЬ ЛУТ ЁРЬ ПАНТ │
│ │
│ жь в в ыг в б в │
│ШАШ ЛЁФ ЗОФЬ МЯЙ СКАМ ЦИК ПРЁР ГАФЬ ЛАПЬ НЯФЬ │
│ │
│ ь б б в │
│ШОЦ ШУЛЬ ПАЧ НАПЬ РЯП ЕХ СУФЬ ТИМ ВЮФ НЁН │
└─────────────────────────────────────────────────────────────────────────┘
Таблица Б.785
┌─────────────────────────────────────────────────────────────────────────┐
│ д ь г с ь │
│РЕН ПРАТЬ БАЩ БЕЦ ТРИК ЗДИН КОЧ МУН ЧТУЛЬ ЧТЫХ │
│ │
│ в жь жь д жь жь │
│РЁХ ЗИФ ЗУШ ФЕЦ ТЮНЬ ТЕШ ЧТАМ ДЭТ ЯШ ТРОШ │
│ │
│ ь ь о в г г │
│САЧ КАМЬ СЭЦ ГОЧ НЭР ЧЁР ВОФЬ РЁК ВОК ДЯРЬ │
│ │
│ в д ь г д сч яб ь │
│НУФЬ БЁТЬ КРИХ ДЛАР РЫЧ МЮК СТОТ ШТЕР ЩАПЬ ТОЩ │
│ │
│ д ыб з в б эг жь б │
│ДИТЬ ШИПЬ РЯСЬ РЫФ БЯПЬ ШТЫЙ ШЕК НЯХ ХИШ САПЬ │
└─────────────────────────────────────────────────────────────────────────┘
Таблица Б.786
┌─────────────────────────────────────────────────────────────────────────┐
│ ь жь г сч о жь в д ыв │
│ПУНЬ ЕЧ ДЮШ ПАК ЩЁЙ СЕШ ВУФ ВЫНТ ШИФ ФИНЬ │
│ │
│ г д жь г эг жь │
│ВЫК ЧТАТ ХАШ СЭК РЁР ДЁМ ЖЕК ТРЮН ХАР НЮШ │
│ │
│ в з б д │
│ЛЕФЬ НЯХ СВАС НИМ МИНЬ МЁП ФУР ХОЦ ТУСТ ПЛАТЬ │
│ │
│ д з б жь б в б з │
│СЁТЬ ПРЮСЬ ПРЫХ ТЫП ХУШ НЯП ВЁФЬ ЗНУЛ ДАПЬ ТЮСЬ │
│ │
│ г б ь жь в │
│БИРЬ ГОК ЗУПЬ ХЕЧ ФОШ ГУМ ТИЦ НОР СТЫН СЯФ │
└─────────────────────────────────────────────────────────────────────────┘
Таблица Б.787
┌─────────────────────────────────────────────────────────────────────────┐
│ д д г │
│СИТЬ ТУТЬ ПОЦ ПРОЛ ВЯН ТЫНЬ БАЙ МЯЛ МЕК ЛЮНЬ │
│ │
│ д д з ь б │
│СТЕТЬ ЗАЙ ГУТЬ ЛИСЬ БЯР РЯХ ГОЦ ДЕЗНЬ РЕЩ ВЕП │
│ │
│ о в з д д б ы сч │
│ЧЁЛ ПЁФ РЫМ МОС РУТЬ ЛОТЬ БЫХ ТЁП ШИР ЩЕХ │
│ │
│ в б б сч об │
│НИФЬ ПРИНЬ БЯН СОЛ РУН ЧТЫП ЛУПЬ ТРЫЦ ЩЁП ДВАЙ │
│ │
│ в в в д б д │
│ДАФ МАРЬ НУФ ТАФЬ КРУТ ДЯПЬ НАЗНЬ ДИТЬ ТЕР ЛАР │
└─────────────────────────────────────────────────────────────────────────┘
Таблица Б.788
┌─────────────────────────────────────────────────────────────────────────┐
│ в в о ь б │
│РЫМЬ ЧТУФ ЖАФ ЛЯН ЖЁЧ ЛЁП РАЦ КЕР ЯЦ ЗЯЦ │
│ │
│ б в з в жь эз │
│КОП ВАФЬ ДЛОС ПУФ НЕЦ ХЕСТ ЗНАШ ЖЕС ДРАХ НЕН │
│ │
│ в д яг в б │
│ЦОФ ХОЛ НЫР ГЕТЬ ЧАК ТРИФ ЦАЛ ВАЛЬ ТРУНЬ БЮП │
│ │
│ в б в д б з б │
│ДЕР КРАФ ГИП ФЕФЬ ЗЕТЬ ФАПЬ БАСЬ ЛЫН ТРЕНЬ ЮП │
│ │
│ в в д жь ь з в │
│СЫФ БУРЬ СТУЛЬ ФСЁТ СОСТЬ РЮШ ГАНЬ ЧИЧ ЗОСЬ ФСУХ │
└─────────────────────────────────────────────────────────────────────────┘
Таблица Б.789
┌─────────────────────────────────────────────────────────────────────────┐
│ з о ь в з в ез э │
│ДИН ТОСЬ ЧЁЩ ШТЕЛ ЛИЙ ЗИФЬ СКЕСЬ ДИФ ВЭС ШЕХ │
│ │
│ в з з б │
│СТАФ ПРУС ДЫЛ ПЫСТ ПЕХ БЕСЬ ТАР ДЫМЬ СОЦ НЁПЬ │
│ │
│ жь б в д в ь │
│ЗАЦ НЫШ СЮП ТЯФ ШТИМ ПЫТЬ КИФЬ ПЁНЬ ПЛЕМ ШЁЧ │
│ │
│ з г з г с д з │
│ЁС МЫНЬ ШУХ ГЕК СЫСЬ РЕК ТРЯР ШТЕХ ЗДЕТ САС │
│ │
│ з з в з ь жь д жь в │
│БЫН ВЫС КУС РЕФЬ МЮС ЦАЧ МЯШ СВУТ РУШ НАФ │
└─────────────────────────────────────────────────────────────────────────┘
Таблица Б.790
┌─────────────────────────────────────────────────────────────────────────┐
│ в з д д с │
│МУФЬ ФОС НУМЬ СЭТЬ ДОТЬ ШУН ЗДАР ЛУЙ ЯМЬ ТРАНЬ │
│ │
│ в ь жь ь │
│ВИР СКАЙ ЕН ШАФ ТУЙ БОЦ ТЫЧ КОШ ЗОМ КУЧ │
│ │
│ д в д д в з │
│ХИТ ФСЕР ЧТЕТЬ ЗУХ РЮТ ПАФЬ ПЯЙ ДЛЁС БОМ ШАЙ │
│ │
│ б э ь │
│ЧЕМ ПЯЛ ПРЁХ СИЦ ЦУП ШЕЛ КАН СУЧ ЛЕМ НАНЬ │
│ │
│ в сч я д ь │
│РЮЛЬ БЯФЬ ДИР ЩАЙ ЗОНЬ ВУР ЗЮТ ЗОЩ ЖАЙ РОРЬ │
└─────────────────────────────────────────────────────────────────────────┘
Таблица Б.791
┌─────────────────────────────────────────────────────────────────────────┐
│ з з │
│МАР ПРИСЬ ХАЛ ХУСЬ ВУХ ГАЛЬ РИЛЬ ЗАН НЯЛЬ ГУЙ │
│ │
│ з ь жь в г з │
│ТРЮС БУЛЬ ЮРЬ СУЩ РЫШ ЁФЬ ДЯК ШТУС ЗИМ ФАХ │
│ │
│ жь д в б б │
│СЕШ РАТ ХУФЬ РЯН ТРЕМ ВУЙ БАХ БЁЛЬ ВЮП НЫПЬ │
│ │
│ д в д д з жь г б │
│ЛУРЬ ДЫТ ВОФ ЗОТЬ НОТ БУСЬ ШТЕШ РЕМ МЕК СУПЬ │
│ │
│ г д в г │
│БИК ТЁЦ ГИНЬ ЛЯТ ЧИФ БЫН ВЁЙ ТОЙ РАХ ШУК │
└─────────────────────────────────────────────────────────────────────────┘
Таблица Б.792
┌─────────────────────────────────────────────────────────────────────────┐
│ жь в ь г │
│ГЕХ НАНЬ ГОШ СИХ ФСАМ ВЫР ЗУЧ ДОЙ ТЁЛ СКОК │
│ │
│ з б в в б з д │
│ВАСЬ ЛИРЬ РЫНЬ КАП ПЯФЬ НЫФ ТЮП ФСЯСЬ ДРОТЬ ДЮЛЬ │
│ │
│ в д д з жь д з │
│ТУЛЬ СТЯФ ЧТЕТ ФУТЬ КОЛЬ ТИСЬ ТАР ЛАЩ ХАНТ ГОС │
│ │
│ д жь ы д ь │
│НИР ШОТЬ ПОШ ЛЕЛ ШИЛ БАТ ЛЁХ МЯЩ ТАЛ СУЩ │
│ │
│ в д ь б з в д с │
│ЧТЫФЬ СЫТ ПЕЩ СЁПЬ ТРИС РУЙ ЯФ ТЯНТ ЗДАХ ХЕЛ │
└─────────────────────────────────────────────────────────────────────────┘
Таблица Б.793
┌─────────────────────────────────────────────────────────────────────────┐
│ г з д ы жь в │
│БЕНЬ ДВАМ МЯК СВОСЬ НИНТ ЖИШ МУФ ЧТАМЬ ШТОН ТРЮЛ │
│ │
│ ь г э ь с д э д в г жь │
│БОЩ НЕК ШЕЧ ЗДИТ ШЕМ ЗЕЛ ЛЫТЬ ФСИК ЛЮШ НЁЙ │
│ │
│ жь д ь о ь д д сч юд в │
│РИШ СТАРЬ КУТ НУЧ ШЁН ЧЕЧ ДЁТ ТЭТ ЩУТ ГИФЬ │
│ │
│ з з д и з жь │
│ЮСЬ БЮМ НЁХ ШАСЬ НУТ ЗОЦ ЦЫН ТЯСЬ НЫШ ДЁРЬ │
│ │
│ жь з б │
│ВОЛЬ КУЛ ДЫШ КРАЦ ПЮЛЬ ФЕСЬ СКЕМ ЗАЙ ТЭН ПРАП │
└─────────────────────────────────────────────────────────────────────────┘
Таблица Б.794
┌─────────────────────────────────────────────────────────────────────────┐
│ в з д б юд │
│НУМ ШУФ РЕНЬ ДЛАС ЗЯЛЬ ЗНЁТ ТРАН КИП ЧУТ РУХ │
│ │
│ ь жь д в ь г │
│ВЫЙ ВУСТ ПОЧ ПРЮШ МЮЙ РИТ СЯФ МАЧ ПРОХ ПРЫК │
│ │
│ в д г з з б │
│КЕФЬ ЦОЛЬ ПОТЬ ФАЛЬ ЁК ЦОРЬ ПУСЬ РЯС ФИП ЗОЛ │
│ │
│ ы г г д б я │
│РЁЙ ШИН ДЫК ЖАК СКОТЬ МОРЬ БЯЙ ПРЯП ЧАМ ДУЛЬ │
│ │
│ д д д д з в │
│ВИХ САНТ ПЮСТ РЁТ ЗНЕТ КРУТЬ ХОСЬ МЁМ ТАР РАФЬ │
└─────────────────────────────────────────────────────────────────────────┘
Таблица Б.795
┌─────────────────────────────────────────────────────────────────────────┐
│ ы з сч о жь ь │
│ЖИЛЬ ЕС ЩЁМ МЮШ ПЛЕЦ СВЯХ ЗУЛЬ ПОН ХОЧ ПЮСТЬ │
│ │
│ об з з о ь в │
│ЧЁП СОЛ ЗЁЛ ТРУЦ САСЬ НИЙ СТОС ЛОНЬ ЖЁЩ ПЫФ │
│ │
│ з з г з з ь сч я │
│ТРАСЬ ДАМ НЯСЬ ТУНЬ ДЛЕК ФЫС БОС ЛИЧ ПЕЛЬ ЩАЛЬ │
│ │
│ з в б б │
│ПЛОМ ТЫС БЯФ ФОМ ВЯПЬ СТАЙ ХИЙ ЛЕПЬ ЧТУЦ ЛОХ │
│ │
│ ь б г сч юз ь в д │
│ДЯЦ ПИЧ ДИПЬ ГУРЬ ДЯК СОЦ ЩУС НИЩ КЭФ ЦУТ │
└─────────────────────────────────────────────────────────────────────────┘
Таблица Б.796
┌─────────────────────────────────────────────────────────────────────────┐
│с о сч в д │
│ЗДАМ ШЁЛ ТЕЛЬ ЩИЛЬ ЧТУЛЬ САРЬ ЦУР ФЕФ ХЕЦ СТУТЬ │
│ │
│ жь д з д в в г │
│ВУШ КАЙ ЗУТЬ ПЁСЬ ТУХ ВЁТ ХАФ МЁЛЬ БУФЬ ТРЁК │
│ │
│ г б з жь │
│ДАН РЮНЬ НОК ЛУП ТРУНЬ БЫРЬ БОС ПЯНЬ ЛЕШ ШТЫХ │
│ │
│ б з з б в б │
│ШАПЬ ПЫМ ДАСЬ СУН ТОС ПЛЕЙ ЗНОП КАФЬ ГУПЬ ЗЫМ │
│ │
│ б д в жь сч │
│РУП ЧЁЦ МАМ ШАЛ ПАМЬ ЗАТЬ ГЕР ПРЕФ ТЫШ ЩЕЛ │
└─────────────────────────────────────────────────────────────────────────┘
Таблица Б.797
┌─────────────────────────────────────────────────────────────────────────┐
│ г д в жь ов ь г г │
│БЯК ДЛАТЬ ЛЫФЬ СТОШ ЖЁФЬ ДЯЦ НЮЧ РЯК ЛЯРЬ ВУК │
│ │
│ з г сч я жь з з ь │
│СВОН ДЯСЬ ГАК ЩАШ КРИН ЗЫСЬ ДЁЗНЬ НИСЬ РИРЬ ВЫЩ │
│ │
│ в д ь з э з │
│ЧЕНЬ ДУМЬ МЯР ЧАЦ ФСЕТ СКЕЙ ЗЕЧ СЫС ЖЕНЬ ЖУСЬ │
│ │
│ д д д г жь с ь в б в │
│СТЭТ ГЕТ ПЕТ ДВАК ПУШ ЗДЕЙ ТЫЧ КУФ ТРИП ВЕФ │
│ │
│ ю эд и б │
│РЫН ЧУЙ ЖЕТЬ БЕН ФЫН РЕР ДЮЛ ШЫЦ ХОПЬ ПРОЙ │
└─────────────────────────────────────────────────────────────────────────┘
Таблица Б.798
┌─────────────────────────────────────────────────────────────────────────┐
│ в в жь б з д г │
│РАМ НАФ ФСЯШ ДЛИП ЗНОСЬ СЮТ РЫК НЯР МЫЦ МУЛЬ │
│ │
│ д б б г │
│ЛИМ НИТ ТЫПЬ ЛЁЙ БЮЛЬ МИМ ЛАП ЯРЬ ВИНЬ ГИК │
│ │
│ э жь в з сч я з │
│СЭЛ ЦЕН ДОШ МЫР ФСАС ЩАЦ НОЦ ДРОС ЗУМ ДЕСТ │
│ │
│ в б б з ь д │
│КУФ ХИП ДЕЛЬ БАЛЬ ВАПЬ РОСЬ РУЩ ТЕЗНЬ СВЁТ БЫХ │
│ │
│ г б эд │
│ЁЦ ФОЙ ЧИЛ ХАК СОЗНЬ ТРАМ НОПЬ БИР ШУЦ ШЕТ │
└─────────────────────────────────────────────────────────────────────────┘
Таблица Б.799
┌─────────────────────────────────────────────────────────────────────────┐
│ в з в б б │
│БЯФ ХАСЬ ЧТАЙ ПЮФЬ МИЛЬ ТЯН ТЯНЬ ПЫПЬ ПРУП РАМЬ │
│ │
│ д з ь в жь е ь в д д │
│ПЛАТ ЦУС ТРЫЧ ПАФ ЗОР ПРИШ ЗЭЩ РЮФ НУНТ ЧТАТ │
│ │
│ д з сч г │
│СОХ БЁМ ПРЕН СЁТ ЛЮСЬ ТАНЬ ПУМ ЗИЙ ЩИК ШТИЛ │
│ │
│ г │
│ЧТЕН ТИРЬ МИН ГОРЬ КРОХ ХОН СИЛЬ ФАНЬ НАК ТАЦ │
│ │
│ ь в жь з б │
│БУМЬ ЛЫМ ВАЩ ЕЙ СЭЛ ФУФЬ ЗИШ КОС НУПЬ КАНЬ │
└─────────────────────────────────────────────────────────────────────────┘
Таблица Б.800
┌─────────────────────────────────────────────────────────────────────────┐
│ ь в з │
│ЮХ РЁХ ТЁМ ДЕМ РЯЛ ЁЛЬ САЩ ДЫР ГАФ ПЕС │
│ │
│ д в з з д г з в б │
│СЕТ ЛИФЬ КОС ЖАС ЕТ ШТАК ТАСЬ ЛЁЛ НЕФ МЯПЬ │
│ │
│ з д б ыд з з з │
│ШУС ХАЗНЬ ТРЕТ НЯМЬ КЕП ШИТ ДЯСЬ ДОС ФИС НЕРЬ │
│ │
│ б з б б в г в │
│КИЦ РИП ВОСЬ ДИП ТРЯП РЁЛЬ ПРЫФ СЯК ГАХ НИФЬ │
│ │
│ з з з ь д │
│НАСЬ ЦАС СКОР СТИС ВЫЧ БЫР ВЕЛ ЛОР ЗЮЛ ВУНТ │
└─────────────────────────────────────────────────────────────────────────┘
Таблица Б.801
┌─────────────────────────────────────────────────────────────────────────┐
│ в в з з д г │
│ЁФЬ ЛУФ ШАРЬ СЕЛЬ ДЕС СОСЬ ЦАТЬ ЦЫЙ НАР ФЕК │
│ │
│ б з з │
│ТРЯПЬ РЯС ЦОЙ СУЛ ТЁР КУЙ ЧТЕЛ СУСЬ СЫМ СЫХ │
│ │
│ г з д з │
│ДАМЬ ФОК БАН ВУР КОС БЯС ТАС ТРИТ ДЛИН КАСЬ │
│ │
│ б з ь д сч д з │
│ТРЁП ШТИСЬ ХАЧ ДЫСТ ТУХ КАТЬ ПИЦ ЩЕТЬ ЗЮС ЛИР │
│ │
│ яд з ыз ь │
│ЧАТЬ ЗНОМ ПЛИСЬ ЛОРЬ МИЗ ФАЙ ШИСЬ РОН ТИСТЬ ТЯЧ │
└─────────────────────────────────────────────────────────────────────────┘
Таблица Б.802
┌─────────────────────────────────────────────────────────────────────────┐
│ г д г сч я в б │
│ЗЕХ ГЕК ХУЛ МОТЬ ВИК СВАР ЩАЛ СЁФ ВЮР РЕПЬ │
│ │
│ з ь в в в в д ь с з │
│МЫЛ ЗОС ХОЛЬ ЗИЧ МАФ ВАФЬ ФСОФ ЛУТ ТЁЩ ЗДЕС │
│ │
│ з в в д эб в │
│ЖАСЬ ВЯФ ПЯФ РЫЦ БОТЬ ШЕП НЫФ ТУМ РИР КАСТЬ │
│ │
│ сч о в ь ь д │
│РУЛ ДЮРЬ ЩЁХ ЗУФЬ ФУЧ РЕЛЬ СТЫЧ НЁТ НУНЬ ТРЮЛЬ │
│ │
│ в ы ь │
│ЛЕФЬ БЮН ДЯН ЗЫРЬ САМЬ КРОМ ШИЧ ПЮМ БЕМ НУЦ │
└─────────────────────────────────────────────────────────────────────────┘
Таблица Б.803
┌─────────────────────────────────────────────────────────────────────────┐
│ з з д ь з г │
│ХАС ПУЛЬ ПАСЬ РУТ ХЕТ СТОЦ ДЁЧ ДАС БЁР РЁК │
│ │
│ жь жь эд з жь ь │
│НЯШ КЕШ ХИЛ ШЕТЬ РЫС ЛЕН ЮЦ ПОН ЗОШ ТУЩ │
│ │
│ з в ь с б │
│ТРАР ДЕСЬ ТАЦ ТЭФ НЕНЬ ТРЕН БАНЬ ПОРЬ БУЩ ЗДАП │
│ │
│ в ь з б б д │
│БУФ СЯХ ПЯЩ ЕР СКЕС ВЁНЬ НИП ДЕП СТЯЛ ТЕТ │
│ │
│ жь сч ю ь з з │
│ФИШ ЧУМЬ ДОР ШТАЙ ВОСТЬ ЩУРЬ ПЕСТЬ ДУЧ НЫСЬ ЛАСЬ │
└─────────────────────────────────────────────────────────────────────────┘
Таблица Б.804
┌─────────────────────────────────────────────────────────────────────────┐
│ з г з ов д д │
│БЫС ЗАХ ПЛЫК ЛОЦ ЖУС ЧЁФ НОТЬ НОСТЬ РЁТЬ СЁЙ │
│ │
│ в в з г г ь б │
│ТАНЬ ГЕФ КАЦ ФСЕС НЯК БЁК СИЧ ЛЁНЬ ТЫПЬ ЧТАЛ │
│ │
│ в жь з д в ёв │
│ЗНУН ФСЕН МЕШ ТОРЬ ЧЕСЬ ЧТЭТ ТРУХ МИФЬ ЖОФ ЗУНЬ │
│ │
│ в д г ь ы ь │
│ВУФ ПРИТ ПЕЛ ГАНЬ КИК СУЗНЬ ЛОЧ ЛЕР ШИЙ ЦУЧ │
│ │
│ ь д в д │
│ПРЫЛ ЧИНЬ МЁХ НИЩ ГУТЬ НАХ ЛЯМ ГОФ ШТОТЬ ВОХ │
└─────────────────────────────────────────────────────────────────────────┘
Таблица Б.805
┌─────────────────────────────────────────────────────────────────────────┐
│ з в г д д │
│СКУМ ДЫС РЮХ ДЛАФ ГОМ СВУМ ЗЯК ГУМ ТЮТ ДРЕТЬ │
│ │
│ ь в ё з ё │
│МЯМ ПУЧ ЧТУЙ ДЯФ ШОЛЬ ПРОЦ ПРЮХ ПРАС ШОХ ПЫЦ │
│ │
│ з з ыг в з д б э │
│ЯС РАСЬ ЖИК ДУМ ВЫЙ РУФЬ КРЫС ДВАТ НЕПЬ ЖЕН │
│ │
│ з г б │
│ШУСЬ СТАР НЯРЬ ПРЕНЬ РЯЙ БАЦ ФЫЛ ЁК ЛЮПЬ САХ │
│ │
│ г б з в в в д │
│РОЦ ВАК ГИПЬ ВЫС МЮФ ХУФ ЗОЛЬ МОФЬ ВЯЙ МЯТ │
└─────────────────────────────────────────────────────────────────────────┘
Таблица Б.806
┌─────────────────────────────────────────────────────────────────────────┐
│ г б д в ь в │
│ПАЦ ШУК БЫПЬ РЯХ БЯЦ НЮТЬ ТОФЬ ЛЯЩ СОФЬ РИЙ │
│ │
│ ь сч б сч б д │
│ЖУРЬ МЫЧ ДЯХ ЗОХ ЩИПЬ СЮЙ ЛОНЬ ЩЕП ТРАТ ЗНУХ │
│ │
│ д г ь г жь в ь │
│ХОТЬ РУК МЮХ ВЫЩ ЗЕК ТЕШ ФСОХ НУР МОЦ ПЯЧ │
│ │
│ яз г з з в в │
│ЧАСЬ РЯК ТИСЬ ДЕСЬ ПОХ ДИЛ ЧИФ НЫФЬ ГОНЬ НОЛ │
│ │
│ б з г жь │
│ТЯЛ КИН ХУП ПЭС ПЮЗНЬ ВЁЛЬ ЛЫК НУШ БЯН РЭЛ │
└─────────────────────────────────────────────────────────────────────────┘
Таблица Б.807
┌─────────────────────────────────────────────────────────────────────────┐
│ д г д ь │
│ТЁСТЬ СУХ КАСТ ШАТ СКИР ПЛАК ДЭТ СУМЬ МИЧ ТРИР │
│ │
│ д з з з ь │
│БЮРЬ ЛЕТЬ ЛАЦ ХАНЬ ЮС ПИС РАСЬ ДАЩ ЁЛ СЫРЬ │
│ │
│ г з б з │
│ДРАК РЫС ДАЛ ФЫР ЛАЛ САР ТУРЬ ГОП КРУС ПРЫЛЬ │
│ │
│ б б в ь з │
│ЁХ ТРЕПЬ ЧУПЬ БОРЬ МЯФ ШАЧ ПЮЙ КЕХ ФУСЬ ФАН │
│ │
│ ь б в жь жь жь │
│ВАЧ ПЛИП НИТ ЯФ ПУЛ ШТАМ СВАШ САШ СЯШ РЕНЬ │
└─────────────────────────────────────────────────────────────────────────┘
Таблица Б.808
┌─────────────────────────────────────────────────────────────────────────┐
│ д г ь в д д жь │
│ТЫТЬ ТРОК ЛЁЩ ПОФЬ ТЮТЬ ФОЛЬ СЭМ НОНТ ЗНАР МАШ │
│ │
│ б в з ь в д с з │
│ВОП ХАФЬ МЕСЬ ПРИЧ ТРЕЙ ДЯНТ ТИМ ВЯФЬ БУТЬ ЗДОС │
│ │
│ в б з г б э │
│ДУФЬ ЛЮП РЁЛ МЯНЬ КУСЬ БАМЬ ДУК ХЕП ГОЦ ШЕМ │
│ │
│ б жь д э ь з з │
│ШУНЬ ПЕМ ДЯП БЫШ ВЕТЬ ГАМЬ ЦЕЧ ЖАСЬ ЛИС ГАЦ │
│ │
│ д в жь б г │
│ПЫРЬ МЁЦ ПРЮТ ПУР БАФ ЗЫЛ ТРУШ ЧИП ТЫК ЦОМ │
└─────────────────────────────────────────────────────────────────────────┘
Таблица Б.809
┌─────────────────────────────────────────────────────────────────────────┐
│ в д д жь з в ёд │
│ЦУФ ШТУТ НЕТЬ ПАНЬ СТУХ ВЕШ ТАСЬ НЯФ ЖОТЬ ТОФ │
│ │
│ б в д з з │
│ТАЛ ДВИЙ ДИПЬ ПРАР БЮФ ВУЛЬ ДЮТЬ ПЕСЬ СЭК ЕС │
│ │
│ в з ь з с д з │
│ЧЕФ ВИЙ СЁМ ШТОСЬ ЧТЫР СЕЧ ЗУСЬ ЗДЯТ ЩИСЬ ЛЁР │
│ │
│ жь в з в з б од жь │
│ПРОШ ШУФЬ ДЛЕМ СТЯС ФСИСЬ РЮП ЧЁТЬ ЗАМЬ НАЛ ХОШ │
│ │
│ г д д э з жь │
│ДЁК НИТ КРАТЬ ЖЕМ РЫЦ БАСЬ ЗЯЛ ЛЫШ РЯЛЬ ФЕРЬ │
└─────────────────────────────────────────────────────────────────────────┘
Таблица Б.810
┌─────────────────────────────────────────────────────────────────────────┐
│ б эд з в сч я жь в │
│ЧТУП ЦЕТЬ ЗЭС ВЫФЬ ЩАР КАР ВУШ РУФЬ РОН ТРЯН │
│ │
│ б в ь б з в ё │
│ГЕП ФСЯЛ СКАХ ГЕЧ ЛЯЛЬ ДОПЬ БЁС ПРИФ ШОМ СТАМ │
│ │
│ ь г з з з ь д │
│ВУЩ НИМ ЗЁК СИСЬ ЗОЙ НЕСЬ НАС ТЁЧ НЯН ФИТ │
│ │
│ ь э жь д д │
│НЁМЬ СВЕН ТОЧ ЧТЕХ ШЕШ МАМ КАТ СТОТЬ САТЬ ДЛАН │
│ │
│ ы ы ь з │
│ЗОЛ ЖИЙ КАЦ ШИНЬ НОЩ ЗИЛЬ САСТ ХИН ВОСТ ЧТАС │
└─────────────────────────────────────────────────────────────────────────┘
Таблица Б.811
┌─────────────────────────────────────────────────────────────────────────┐
│ д д жь б д б ь │
│ ЮТЬ САЗНЬ ВЁТЬ СВЕМ РИШ ЁМ ТРЮП ГЕТЬ РЕПЬ РАЧ │
│ │
│ б д ь д б в ь │
│ НЯП НАТЬ ЗЁЙ ФАЧ ТЫТ МЮН СТУП ЦУХ САФ ЦОЧ │
│ │
│ б г г в │
│ ТЫП НУК ШТЕК ГУЦ ПЯЗНЬ ПЫМЬ СИТ ГУЛЬ ДЕФ СТЕР │
│ │
│сч д д д │
│ ЩИН КАТ МИРЬ ТЫЦ ДЕМЬ НЫЛ КУНТ МЮЛЬ БАТЬ ЗЯЙ │
│ │
│ б │
│ ТРЕР ПЁПЬ НЮЦ ЦОН ЗОН ГАН МЯХ ЗАЛЬ ЗУРЬ РЕЙ │
└─────────────────────────────────────────────────────────────────────────┘
Таблица Б.812
┌─────────────────────────────────────────────────────────────────────────┐
│ д в жь б б │
│ТРУМ САЛ ТРЯТ ТЫХ ДОР ВАФ БУШ МОП ЧИМЬ РАПЬ │
│ │
│ з в д з │
│ДВАС ХИЦ ЖАФ ПЕХ РУТ РЁН ЛИР ВЮС ФУЛ ДЮМ │
│ │
│ б д в в б э в в │
│НЕМ СОПЬ ТЁТ СЫФ ШУФЬ ХУПЬ ЦЕР ЖАМ ШТЕФ ЛЮФЬ │
│ │
│ б з ь б ь в д │
│ЛЕПЬ ТОСЬ ПУЩ ПЛАП СТАЧ ХОФ ФОЦ ДЛЕТ ХАХ ФОК │
│ │
│ ё г г д │
│ТИЛ ШОН МАРЬ ДИСТ БЯЛЬ НЕСТ НИК КРАК ЛЯТЬ БЕР │
└─────────────────────────────────────────────────────────────────────────┘
Таблица Б.813
┌─────────────────────────────────────────────────────────────────────────┐
│ б ь ь б з сч яд ь э б │
│ЛОМЬ ВУПЬ РОЧ ЛИЧ НЁП ЧТИС ЩАТЬ ДАЩ ШЕН ВЯП │
│ │
│ д в оз │
│ФИЦ КИН КАР ПЛИТ ШТУМ НУТ СЕЛ ПЁФЬ ЧТЫН ЧЁСЬ │
│ │
│ ю жь г б ёз г │
│ЧУН ГЕЙ ПУЛ ПРЯШ ЛОК СУРЬ ФЭП ЖОС ЛАХ РУК │
│ │
│ г д в б з в г │
│СКОЛ ВЫК ТЕН ЧТУТЬ ФСИХ ЯПЬ РОР БУС РЯФ РЮК │
│ │
│ в в сч ь э сч ю в │
│ЕФ ЧТАФ ЩИЧ ШЕМЬ ЩУР ТИЙ ВАСТ НИФ РЕТ ПЯЛЬ │
└─────────────────────────────────────────────────────────────────────────┘
Таблица Б.814
┌─────────────────────────────────────────────────────────────────────────┐
│ жь з в б жь │
│ЛЫЦ СКИШ ВОХ ЗНУСЬ ПОФЬ МЁПЬ СЕН БОН КРОШ ВАЙ │
│ │
│ ь жь ы з д │
│РИЩ ЗАШ НОН ШИНЬ ШУЛ СИС НЯНЬ БЁНЬ БЫНЬ ЧЕТЬ │
│ │
│ з г ь з │
│ВУСЬ ДАМ ЗУК НАМ ЗЫХ БИМ ХОЙ СОЩ ЛЁМ ГОС │
│ │
│ ь з д д з │
│КАЧ СТЫС МУТ ЛЁХ ВЕЛЬ ДЯТ ТЁСТ НУС ПРИЦ ДУЛ │
│ │
│ жь в д д │
│ДЁЦ РУНЬ ДЛОХ ДУЦ ЮШ ЖУР МЫРЬ ФСАТ КЕЦ ПИТ │
└─────────────────────────────────────────────────────────────────────────┘
Таблица Б.815
┌─────────────────────────────────────────────────────────────────────────┐
│ ь з г в с жь д │
│ЛУЩ ТУЛ ПРУСЬ СЫК РЯЦ ФСЮЛ ТРЫХ ЗДИШ КОТЬ ЗИЛ │
│ │
│ яв в с д г з │
│ЧАФ ТРОХ НЕФЬ ЗДОЛ ШАТ КУН ФЕЛЬ ТЕК НЫЦ ПРЮС │
│ │
│ з ь ыв ыз д з д │
│СЯС ПАЦ ЮЧ ЖИФ ШИСЬ ЗНАН ПРЁТ МЕС БЯТЬ ПАНЬ │
│ │
│ ь э жь д │
│БУЛ ГАЧ БЫМЬ ШЕШ БЮЛ ВЫТ ЗАРЬ СВОЛ ДРОН ПРОМ │
│ │
│ в б б жь ь б │
│ТУФЬ ХАП ДЕН СЮПЬ ЗЕЙ ХЕШ ДЫЛЬ ДЯЛ ТРИЧ ГИП │
└─────────────────────────────────────────────────────────────────────────┘
Таблица Б.816
┌─────────────────────────────────────────────────────────────────────────┐
│ сч з ь б в │
│ЗЯНЬ ЩИС ФУХ КАРЬ МЮЩ БЮПЬ ДОФ ДУР БАХ НЯЦ │
│ │
│ д ы з д │
│ДЛАХ ДЯТЬ ШИХ ПРЯН ФЫМ ТРЯСЬ ХУН ДОЛЬ БУН ДВЕТЬ │
│ │
│ в з д э в д жь ь │
│БУФЬ РЮН БЮС ЗОЦ ЛЕТ ЖЕЦ ФСОТЬ ВЯШ ГУЧ СЮФ │
│ │
│ д с г ид з │
│ЁТЬ ЯХ ЗДЕК ДЕХ РИМЬ ЦЫТ НЕХ ЗЭН БОСЬ СИРЬ │
│ │
│ д з б г │
│СЫНТ НУН КАЛЬ ЗЕМЬ ШТАР НЫС ДЕП СОХ ДЛЮК ПРУХ │
└─────────────────────────────────────────────────────────────────────────┘
Таблица Б.817
┌─────────────────────────────────────────────────────────────────────────┐
│ в в д б б г │
│ЛУФЬ ЦЫМ НЯСТЬ РАНЬ ФСЕЛ СКЕТ ТЭП БЕП ЛЁЛЬ ХОК │
│ │
│ б д ь д з ь │
│ДЮП ДЕНТ ТИЗНЬ ПАЩ МУРЬ РЮЙ ВУТЬ ЗУМ ЗЫС ЛЁЧ │
│ │
│ сч юв з д │
│ЕР ПЕЗНЬ ЩЕР ЛОР РОРЬ ЧУФЬ РЁСЬ ЗИНЬ ПУСТ НОТ │
│ │
│ сч яб в жь б │
│ХИНЬ ЩАП ПРИЙ МОНЬ НИХ ДЁФЬ СИШ ГАП НЁР РУМ │
│ │
│ я б з в б │
│ПЫР ЧАЛ ТЁПЬ ПЛОС РЫХ БЮФЬ ХУХ ЗНАМ КУПЬ НЕНЬ │
└─────────────────────────────────────────────────────────────────────────┘
Таблица Б.818
┌─────────────────────────────────────────────────────────────────────────┐
│ жь з жь │
│ШУРЬ ПЁШ ХАСЬ ТРЯХ МИЛЬ ВАЗНЬ ПРЕЙ ВИЦ ТРЯШ ТЯЦ │
│ │
│ з б эз д жь б │
│МИСЬ ФЕП ЦЕСЬ РЁЛЬ МЁТЬ ТАШ ГЕЛЬ ФАЛ ВОПЬ ЛОХ │
│ │
│ в б б з ь б │
│ТИЦ ТРОФ ТАПЬ ГУП ЗЁН ЗНУС ФУЩ ЛЯЦ ГЕХ ЛИП │
│ │
│ б б д ь з │
│ВАП СТАП ПЁРЬ СВАМ БЕТ СУЧ ЦАЦ ЗОН ХОМ ЗАСЬ │
│ │
│ д ь б в з │
│ДРЕТ КРОЧ ПОПЬ СЮЦ ДЕН ВЫХ РЕФ ДЯМ СВОХ ГИС │
└─────────────────────────────────────────────────────────────────────────┘
Таблица Б.819
┌─────────────────────────────────────────────────────────────────────────┐
│ з з в жь ё │
│ПОК ПЕСЬ КЕРЬ ТРИЦ САС НУФЬ ГАШ ШОМ ЧТАЛЬ ЛЮМ │
│ │
│с д ыб г д эз │
│ЗДАН МЯХ ДАХ ТЕТЬ ЖИП ЧТЭК ФИТЬ ШЕС НЭР БЫРЬ │
│ │
│ од жь г ёб ь г │
│ШЁТ ЧЁШ ТРАХ СОЙ СКАК ЧТЕЙ ШОП НЮЩ БАН СЭК │
│ │
│ ь д жь │
│ТУНЬ ПРАЙ КАС ВАЧ ЯМ ГОТЬ ЖУНЬ БЁРЬ ПРОР СТУШ │
│ │
│ б б ь │
│РЕП ЛЯЙ НИН ТОЙ СЭТ МЫП ЛАЧ ВУЛЬ ДЕХ РЫМ │
└─────────────────────────────────────────────────────────────────────────┘
Таблица Б.820
┌─────────────────────────────────────────────────────────────────────────┐
│ ь б в д г │
│СТОХ ТУЩ РЮХ ЗАПЬ КОФ ШАНЬ ЛЫТ ЕНЬ ЧТУК ПОМЬ │
│ │
│ д б эб д з з б │
│СЯТЬ ЧИХ ПАПЬ ШЕП РУТЬ КРИС ТИН ЛУСЬ МАПЬ ШТОХ │
│ │
│ б ь ы сч о ь г ь г │
│НЯПЬ ПЫЙ НАЧ ВЫМ ШИМ ЩЁЧ ШТИК ЗУЧ ВЁК ЖАН │
│ │
│ в ь в г г б б │
│КИФ ВИЧ КИФ ПЯН ПЛИК ТРЫК ПЮХ ЮПЬ НАП ЧЕМЬ │
│ │
│ б з в б з ё жь жь │
│ХЕПЬ СЫСЬ ФСЕП ТЫС СТЯМ ТОНЬ РАЦ ЖОЙ БУШ ДЫШ │
└─────────────────────────────────────────────────────────────────────────┘
Таблица Б.821
┌─────────────────────────────────────────────────────────────────────────┐
│ б з жь б в │
│ТЫЛЬ ДЯП НЭС РУМ ВАШ НЁП ДАФ ДЫХ СЫЙ ВИН │
│ │
│ д д д в б з жь │
│ХАТ ВОЦ САТЬ ШТАЦ СОНТ ПЕМ МЕФ ВАП МЯСЬ ПРЕШ │
│ │
│с г д жь г ь з з │
│ЗДОК МИЦ СЫТЬ БЕМЬ ПРУШ РИК МЁЧ БЫЙ ЗНЁС ЁС │
│ │
│ з з жь │
│ДРЕН ЦЫСЬ КАХ НИЛЬ ПОС РЯШ БУХ ТРЯЙ СЭТЬ ВЕЛЬ │
│ │
│ ь г з б з з │
│ЧТЫНЬ ВАСТЬ МЮР ХУЩ ФАК ЛЁНЬ ПРЯСЬ ГАП РЁСЬ МОС │
└─────────────────────────────────────────────────────────────────────────┘
Таблица Б.822
┌─────────────────────────────────────────────────────────────────────────┐
│ г эб з сч ю жь ё │
│ТРЁН ЦОК ЖЕПЬ ЧТИСЬ ЩУЛЬ ГЕШ ВЯР ЖОЦ ЛЯМЬ СИМ │
│ │
│ з д д г ы б │
│ЛУН ДЕС МОТЬ ВАТЬ ЦАК БЕЛ ЖИМ МЯН ЧЁП СВАЛ │
│ │
│ з жь з д жь ь б │
│ШУСЬ ПРЮЙ ЗЕШ СЮСЬ ТАРЬ ЧИТЬ ФУШ ПУЩ ШАПЬ ХОМЬ │
│ │
│ жь д д б в д в ы │
│БАШ РЕТЬ ЖУТ ТОХ ЗАН ЗЮП КУЗНЬ ФСОТ МАФ ШИЦ │
│ │
│ о ь б б │
│ШЁЛ ЯЧ ПУЙ НУП СКЕЛ ТУСТЬ БЯПЬ ЮН ЗЫЛЬ ХИР │
└─────────────────────────────────────────────────────────────────────────┘
Таблица Б.823
┌─────────────────────────────────────────────────────────────────────────┐
│ б сч ё жь з г з │
│РАПЬ ЛЫЙ КИР ЩИЛ ЗЮХ ШОР РУШ ТРУСЬ ЗИК ЛАСЬ │
│ │
│ жь б д жь б ы д │
│ШТИШ ПЁЛЬ СЯП РУТ РЫЛЬ РАШ СОП ШИЙ ЗУТЬ ТОЦ │
│ │
│ ь з з │
│ФУЦ ЗОР ДИРЬ СУР ГУН ЕЦ РЁЛ ТРЕЧ ТРАСЬ ХЕСЬ │
│ │
│ жь д з д в в д в │
│БЯШ ЗНАТ ЗУМ СВОС ПРОТ ШАРЬ КАФ ВОФ ПИТ СЕФЬ │
│ │
│ б в б з │
│ПАМ ТАФ ХАЛЬ ТРАПЬ КУТ ЧТУФЬ ТУП ЖАС ТАЙ БАНЬ │
└─────────────────────────────────────────────────────────────────────────┘
Таблица Б.824
┌─────────────────────────────────────────────────────────────────────────┐
│ д б ь в б │
│НЮЦ ЧТАТЬ ТИСТ ЛАП МУЦ ЛИЩ НЯНЬ ФИМ ФСЯП НУЗНЬ │
│ │
│ з б з ь з д в г │
│БЫС ЯП ГОСЬ БЫЧ ДИСЬ НЯТЬ ФСЁК ДЛАЙ БЁЙ ДАРЬ │
│ │
│ б д з д эд в б в │
│ДЛЕП ВУТЬ ЛОЛ ЛЮЛ КИСЬ ПАТЬ ШЕТ СКУФ ХОП ДЮФ │
│ │
│ д жь ь в з в │
│ПИН ЗАТЬ РЮН СОШ СЁР ТИЧ ТРЮФ ГЕНЬ ШТЫСЬ НИФ │
│ │
│ з д з │
│ФЫЛЬ ВЁСЬ ТЭР БЮР ДЯХ ВОМ СТОР КЕТ СТЫХ ГИСЬ │
└─────────────────────────────────────────────────────────────────────────┘
Таблица Б.825
┌─────────────────────────────────────────────────────────────────────────┐
│ г с д д жь б │
│ЗОК ЗДЯТЬ ЦАЛЬ РЯТЬ ДВИХ ГАШ КРАЛ НЕМЬ ФЕХ ДУПЬ │
│ │
│ д з д юз ё сч │
│ТЕТ СТУСЬ ПЛАХ НУХ НОТЬ ЧУСЬ ПЫР ШОХ ЩАХ МЫМ │
│ │
│ б в в жь │
│РОР ПРАЛЬ РИП ПЛЕФ КРУЙ БОФ ДЁЛ ЛИРЬ ТЁР ЛЁШ │
│ │
│ жь жь г д з ь ь ь │
│СОШ ДЫН ПЯШ ВЫР СТЕК ДОТЬ НЕС НАЩ ТЯЩ КАЧ │
│ │
│ я в д в сч г д │
│ЧАМЬ ЛЕФЬ ЕМ ТЮЦ ПЯНТ ГУФ НАР ЩЕК НЫТ ЧЁН │
└─────────────────────────────────────────────────────────────────────────┘
Таблица Б.826
┌─────────────────────────────────────────────────────────────────────────┐
│ ь в з ь в эз д │
│ХАЩ ТРЮР РИФЬ НЕСЬ МИЧ ШУФ СВОР ЦЕС РЕТ БУХ │
│ │
│ ь в з жь ё │
│СТОЧ СУФЬ НАРЬ БЁСЬ НЮШ ПЁН РЫЛ РОЛ ЖОР ШУЙ │
│ │
│ д з в │
│ДЁМЬ ТЭК СОМЬ ЦУТЬ ДВАН ХИС МАЛЬ ЧТУНЬ ПОЛЬ ДОФЬ │
│ │
│ в сч ю г ь б д з г │
│ПРЁН ТРАФ ЩУН ДУК МЁЩ ГЕП ГИТЬ МОС СЮМ МУК │
│ │
│ жь ь з д жь б жь │
│БИХ ВЁШ ЁХ ТУЧ ПУСЬ ЛЁР ЛЁТЬ ПЛАШ ХОПЬ ТРИШ │
└─────────────────────────────────────────────────────────────────────────┘
Таблица Б.827
┌─────────────────────────────────────────────────────────────────────────┐
│ г в з з в д з б б │
│ПЮК ФСЮХ ПРОС ГАСЬ ФСИЙ ЛЯЛ ВУТ КОС БАП ЗАП │
│ │
│ г б в в │
│ХЕК СЕП ТАН ЛАФ ТЁН ПРУЦ ТЯМ КОФЬ КУТ СВЕЛ │
│ │
│ б ь ь ь с д ь б б │
│ХИЗНЬ ШТОМ НУП СЯЧ ДЁЩ КЕЩ ЗДАТ НЫЧ КАПЬ ФАП │
│ │
│ б з г б з │
│БУНЬ ВУП ЗУЛ ШТАС ПАК РУРЬ ЁЛ ПЕЦ ЧТАП ЕСЬ │
│ │
│ в в д в юг д ёв │
│МЁЙ БЕФЬ ЗЫФЬ ДАЦ СОТ ДИФЬ ЧУК НЫТ ЧОФЬ ВЫЛЬ │
└─────────────────────────────────────────────────────────────────────────┘
Таблица Б.828
┌─────────────────────────────────────────────────────────────────────────┐
│ г д жь в с г │
│КИЛ ВЯК ГУТ ЧТЕР ФЕШ ДЁСТ ВЫФ СЁЦ ЗДИК СУМ │
│ │
│ б ь д д │
│ЧИЛЬ ДОПЬ ЗОНЬ ТОРЬ НЯН ДЮЧ РЫТ НЁЛЬ ТУЛ КРЕТ │
│ │
│ в з г в │
│ФЫРЬ ЦУЙ БЫЙ ПУФ НАЙ СТАС ПЯЦ ГУК НОФ ЗОЙ │
│ │
│ д б э в жь з │
│ПОЦ ДЛАТ ДЯПЬ ЛЫЛЬ ШЕЛЬ РАРЬ БЯМ КАФ ЧЕШ ХУСЬ │
│ │
│ э ь д сч юг б │
│БЯМЬ ШЕЧ ПИРЬ ТЫНТ ГОМЬ ЩУК ВАМЬ САПЬ ТЮРЬ СКИН │
└─────────────────────────────────────────────────────────────────────────┘
Таблица Б.829
┌─────────────────────────────────────────────────────────────────────────┐
│ б д д жь д з │
│КАН СЫНЬ РИП СТЫЙ МЮТЬ ТРЯТЬ БАШ ЗНЕХ ЗЁТ ЛИС │
│ │
│ в д ёб эб б з │
│РЕЛ ЯРЬ ЛАМ ЮФЬ ПИНТ ШОПЬ ДАЛ ЖЕП ЛОПЬ ТРЕС │
│ │
│ г б з г │
│СКАФ ЛУЛ ЗЭЛ ФИК ЛЮЛЬ ШУПЬ ПЛЕС ВЁНТ СТИК ШАЦ │
│ │
│ ы ы в г в жь │
│ЖИМЬ ХАМЬ ЗИР ШИН ПРЮЛ ШТЕЙ ЖУФ НИК ФСАН РЁШ │
│ │
│ я ь з д б ь │
│ЧАХ ТЫР СЮЛЬ НИЗНЬ ПЫЧ РЮС ДИТ ЗЕП ДОШ ВОМЬ │
└─────────────────────────────────────────────────────────────────────────┘
Таблица Б.830
┌─────────────────────────────────────────────────────────────────────────┐
│ ь в в д б з жь д │
│РЯЧ ПРЯФ ВАЦ БОФ СИНТ МЯП ЗНОН БЫСЬ ДИШ ТРОТЬ │
│ │
│ б г в │
│НЕМ ФОНЬ РОПЬ ЧТЫРЬ ХОНЬ ТЮЛ ЖАЙ ЗОК ВИФ ЦУН │
│ │
│ сч юз г д з сч о │
│ЛАН ТЫХ ЩУСЬ РЁРЬ ПРАК ДРОТ МЯР ЗАР ДЛИС ЩЁР │
│ │
│ з жь в ь │
│МАЦ ТИСЬ РЮЙ ГЕШ НЯФ ТРЫЛ БЯНЬ САЧ ПУХ КРОН │
│ │
│ ь з жь в д │
│ЛЯЧ ВЕР ТАХ ШАСЬ ЗЯРЬ ЛЁШ ЮХ ФУФ ГАЙ НЕТЬ │
└─────────────────────────────────────────────────────────────────────────┘
Таблица Б.831
┌─────────────────────────────────────────────────────────────────────────┐
│ б д з жь б │
│ЯЛ ТРЫП ГИЛЬ ПРЫТ МАС НЫЙ ВЕХ БОЛ БОШ ДАПЬ │
│ │
│ в в ь в б жь │
│ЛЁФ ЁФ ЗОЧ ЧТУН ВАХ ФОХ РОЛ ДАФЬ ЧИПЬ РЯШ │
│ │
│ б ь жь в э │
│БАПЬ ТОХ ТРЕЩ ЗЕН ПУР ФАШ БЫФ ВАЛЬ ЦЕМ ЛЮЦ │
│ │
│ д з жь в з г │
│ФЕТЬ ЖУЛЬ СВЯС ДЫНЬ ТОЦ ПРАШ САЙ ФСАЛ КЕС ЗНИК │
│ │
│ ь жь в жь г сч юз │
│БЕЛ ГИЧ ФЫШ ФСИЛ ШУШ ХАК ДЮЦ ШАНЬ ЗАНЬ ЩУС │
└─────────────────────────────────────────────────────────────────────────┘
Таблица Б.832
┌─────────────────────────────────────────────────────────────────────────┐
│ д в ь сч д д │
│ПЮНТ КОФ СИР БУЧ ЩИТЬ МУМ ТИНТ МЕНЬ ЮР ТЭК │
│ │
│ г д з жь │
│ДЕК ДЁН КУС ВЯЧ ТРОТ ТЕЦ СЕС ЦОШ РУЛ ХОН │
│ │
│ ь б б б сч г │
│НИНЬ НАЩ ХОП ТРЁП РОПЬ ПАЛ НЁРЬ ЩЕН ДЯР БЮК │
│ │
│ д б жь з в з │
│ВЁЛ ЛЫЛ РИТ КОП РУРЬ РЕШ ПЁР ЛЯС ЧЕФЬ ПЫС │
│ │
│ жь ь г ь б │
│БЫМ ЕШ СОЧ ПРЯМЬ ПРИК ГАЩ ШТЫМ ЛИМ ЧТАНЬ ГАПЬ │
└─────────────────────────────────────────────────────────────────────────┘
Таблица Б.833
┌─────────────────────────────────────────────────────────────────────────┐
│ з с сч яз ь в д │
│ДВАХ СТАСЬ ЗДАЦ ЩАС ПРЕХ ЦАХ ГУЧ ТАФЬ КИТЬ ЛОН │
│ │
│ з з в в д з б │
│ЗНОС САСЬ ХИФЬ ЛЕЙ МЯФ СЫТ ВЫЦ ДЛАСЬ РИНЬ ЗИП │
│ │
│ ь ь д д б ь │
│ХУЧ ВОЧ ШТИХ ДЛЕТЬ ДИХ ЗОРЬ ХАТ СТЫЛ ЗЯП БИЧ │
│ │
│ в ь в б в г жь сч оз │
│ДОФ НИЧ РЯФЬ ГУП ВЕФЬ ФУК ЛОЙ КРАШ ТЫЛЬ ЩЁС │
│ │
│ ю жь б ёд д з г │
│ЧУНЬ МАШ СЕЦ БУП САСТЬ ШОТЬ ТЮН НЯТЬ ЧТЕС ПЁК │
└─────────────────────────────────────────────────────────────────────────┘
Таблица Б.834
┌─────────────────────────────────────────────────────────────────────────┐
│ з д д ё ь сч оз д д б │
│НУСЬ ЧТЫТЬ ДИНТ ВУЦ ТАРЬ ЧОЧ ЩЁСЬ РЕТЬ ДЕТЬ СТАПЬ │
│ │
│ ь д в в б │
│ТИЛ ХИЩ СВОТЬ КУР ПУФЬ КАХ МЫХ ВУФЬ ТЯП НЕЦ │
│ │
│ ь з д в б │
│КРУЦ ЖАЧ МЁС ЗЫНЬ ПУЛ КОСТ БЮНЬ РЁТ ЗУФ ТУПЬ │
│ │
│ з б г ь ь в │
│ДЫС ТРАЦ СУПЬ ЛЕК НЯЧ БУР ТРЯЛ РЮЧ МЮФЬ РЫЛ │
│ │
│ в з эз ь д │
│СИФЬ ДИСЬ СТЕХ ПЛЕХ ДРОХ ЖЕСЬ СУЩ НОЗНЬ ЛУМ МИТЬ │
└─────────────────────────────────────────────────────────────────────────┘
Таблица Б.835
┌─────────────────────────────────────────────────────────────────────────┐
│с д в з з б з з жь ь │
│ЗДИТЬ РАРЬ ФСЯС ШТАСЬ НОП РЮС ГЕС ПЮШ ПОМЬ ТЁЧ │
│ │
│ д в з я │
│ФИР ЗУН РЫТ МАН ЗАФЬ ЦЫС ЧАРЬ ЕНЬ СКИЛ ЛАР │
│ │
│ жь ы в ёб з в д ыв │
│ПЛАЙ ЛИХ БЁШ ШИХ НАФЬ ШОПЬ ПОСЬ ТРЁФ ЖАТ ЖИФЬ │
│ │
│ жь ь эз б │
│ЯШ ЗЁР ТАЙ ПЁЧ СОНЬ ПРУН КАЛЬ СКОХ ШЕС НЕП │
│ │
│ б з ы │
│БЯП НАН МЯЛЬ СЁСЬ НЯЙ ШИМЬ ВОНТ ДАРЬ ПЯМЬ ГУХ │
└─────────────────────────────────────────────────────────────────────────┘
Таблица Б.836
┌─────────────────────────────────────────────────────────────────────────┐
│ ь з сч я з в │
│СОНЬ ПЛИН ТОЩ ХИСЬ ЗНОР ЗОМЬ ЩАН ЖАМЬ ВАСЬ НАФЬ │
│ │
│ з жь г г ь б сч о з │
│ШТЫЛ ЛУС КОШ ЗАК РЫК ТАЗНЬ ВУЩ ПЫПЬ ЩЁЛ НИСЬ │
│ │
│ в г в д б │
│ГЕФЬ ЛУЛЬ ДЛОК СЮРЬ РАН ПРАФ ШАМ ПЯТ НАН ЧТЕП │
│ │
│ в в э с з │
│ЕН ЗУЦ ЛАЦ МАФЬ ВОФЬ ЦЕЛ МИЗ НЯМЬ СЁН ШОСЬ │
│ │
│ з д ыб б жь │
│СЕС СВЫМ ТОТЬ ПЮН ЖИПЬ ВИПЬ ДАШ ВОМ ПИХ ФУМ │
└─────────────────────────────────────────────────────────────────────────┘
Таблица Б.837
┌─────────────────────────────────────────────────────────────────────────┐
│ д эб г в ь │
│ПОТЬ ШЕПЬ МЯЛ ЖУМ ПРУК МЯФЬ ГОР ДЯЩ ЯМ ГИР │
│ │
│ в в д ь д д │
│ПУМ ТЫФЬ ФСУЛ ЁСЬ РИТЬ РЁЧ РЫН ФАХ НЮТ МИТ │
│ │
│ б в з ь д б │
│ЮПЬ СТУН ПАФ ГАХ ТРУЙ ТУСЬ РЯЧ ПРЕЛ ДВЯТ ДОП │
│ │
│ д д в б з │
│ТРЯЛЬ САТЬ ЗИТЬ ЛЕЦ ЛЫРЬ ДЫФЬ НОПЬ СТЫР МЮСЬ ПАМЬ │
│ │
│ жь з з в ь с │
│ХЕЛЬ ЗЁШ ГУС ДЭС ЛАН ФОФ ГАЛЬ ХЕСТЬ РУЧ ЗДЯН │
└─────────────────────────────────────────────────────────────────────────┘
Таблица Б.838
┌─────────────────────────────────────────────────────────────────────────┐
│ в б б д б │
│ДЮХ ЦАФ ГОП НЫПЬ КРОТЬ БЫЦ ЧУРЬ СИП КРЕЛ ТРОЛЬ │
│ │
│ жь яб д о д │
│ХУЦ ЦЫШ ВЯНЬ СТАХ ТЮР ЧАП ФЕТ ШЁМЬ ПЫМ БИТ │
│ │
│ г в з з э в ыв │
│ПРЯК ЗЯФ БУСЬ РОС ЯЦ ЖЕХ ВЕФ ЛЕЛ ВИСТЬ ШИФ │
│ │
│ б д г в з сч од ь д │
│СЫП БАТ РЫЙ РУК ФСЯН МЁСЬ ЩЁТ ЖАЩ НЁМ НУТ │
│ │
│ жь д б в б │
│ВЭШ ЗНИТ НУМ САЙ БЕПЬ ТАФ КЕЛ ЧТАПЬ БЁН ЛИЛЬ │
└─────────────────────────────────────────────────────────────────────────┘
Таблица Б.839
┌─────────────────────────────────────────────────────────────────────────┐
│ з ь з в д │
│ДИС НЫЧ НУСТ ЗУЙ ТЫМ ДРАС ГЕЛ РАФЬ СЯНТ СУР │
│ │
│ з ь │
│ТРЁХ ТРЁСЬ НИЙ ДЯР ВОЦ ФИРЬ РЮР ДЕЛ ЗАЧ НЕЛЬ │
│ │
│ в ы з д д в │
│ТЯФЬ ШИЛЬ ХОМ ШУР ШТЕС ДАНТ ДИЦ ДОЦ СВАТЬ НЯФЬ │
│ │
│ з з г г │
│КЭС КУНЬ БОСЬ МЫК РЕК РИЛ ЦУРЬ ТЕР ПРИН СЫЙ │
│ │
│ г д з з б з сч ь б б б │
│ПЕК ЛИТ СТЕСЬ ВЯС ТЁП ЧТЫС ЩЕЧ МЕПЬ ПРЫП ЛЯП │
└─────────────────────────────────────────────────────────────────────────┘
Таблица Б.840
┌─────────────────────────────────────────────────────────────────────────┐
│ з з д д г д │
│ЗЕС ЧИСЬ ДЁНЬ КАР СКЕТЬ ПЕНТ ТАМЬ ДЛИК ТЕТЬ БИЛЬ │
│ │
│ ё з ь б з │
│ТРИЛ ТАР ЧОХ КАС СОЧ РЁП ЛЁСЬ БЫНЬ ФЫЦ МЫЙ │
│ │
│ з в жь з г г б │
│ПЛАСЬ ТОФ ПЕР МОШ ТРЫС ЧТУР ДАК ХОК ШТЕП ХАЛЬ │
│ │
│ з ь ь │
│БОСЬ ЗЫЩ ВЕМ ШАН ЕЧ БУЛЬ ЗУР РИХ БАМ НЕН │
│ │
│ в в ё │
│СЯФЬ ФСИМ ЛЮРЬ ХУМ СКАЛ ЗДОЙ ЧЕР ВЫРЬ ШОНЬ КЕЙ │
└─────────────────────────────────────────────────────────────────────────┘
Таблица Б.841
┌─────────────────────────────────────────────────────────────────────────┐
│ жь з б сч в │
│ПИШ ТЁХ ФИЛ ЗУНЬ ШТУСЬ КЕМ СТЫП ЩИМ КАФ ЛАХ │
│ │
│ я ь ь жь з г │
│ЯХ ЧАЩ ТАЩ ПЕРЬ КИШ ТРЕЛ ТЯС ПЯК ГЕНЬ МЫН │
│ │
│ в з б з з в д │
│РЫФЬ ДОСЬ ЗИПЬ ШУХ НУР ЕСЬ ФУЛЬ ЧТЕСЬ БАФЬ СЁТЬ │
│ │
│ б жь д в з о жь │
│НЕПЬ ДЕШ ЗЕНЬ МИТ НИСТЬ СЮФЬ ПОСЬ ЖЁШ БЫР ДЯН │
│ │
│ жь д ь в в г │
│ШАШ БЯТЬ САЩ БОРЬ ДЯФ СЯСТ ПЫХ ПУФЬ НАК ЧИЦ │
└─────────────────────────────────────────────────────────────────────────┘
Таблица Б.842
┌─────────────────────────────────────────────────────────────────────────┐
│ д ь б в в │
│ХИТ МЮНЬ ТРУЧ БЁЛ ТЕПЬ МЯФЬ СТАФЬ ПРЫЙ ДУН ПЁЛ │
│ │
│ в б г в д │
│РЯФ РИН ДЛОП НОК ГУНЬ СУН ВЁН ХОФЬ ЛОТЬ БЮМЬ │
│ │
│ з в жь з │
│ВИЗНЬ ШТАЛ ТРОЛ НЁСЬ КАРЬ ВЫФ РЫШ ТРАС ШАЙ ХАЦ │
│ │
│ б в с д з │
│РЮП ТРЮЙ ПРОФ ХОЛ ДЁЛЬ ПРЯЙ ТАР ЗДОТ ВУСЬ ЧТУМ │
│ │
│ б сч яв б д з жь │
│КОР МЁРЬ ЗАП ЩАФ СКЕР ТУП ЛИТ ГИСЬ ПЕН КАШ │
└─────────────────────────────────────────────────────────────────────────┘
Таблица Б.843
┌─────────────────────────────────────────────────────────────────────────┐
│ б сч жь жь ь д │
│ ЗНАП ГОЙ ХУРЬ ЩИШ ЗОШ ПУН БЫЩ ЛЕЛЬ ДЕРЬ ДУНТ │
│ │
│ в з в в д ыв │
│ ЧТАН ЛЫФ ЛЕХ НАСЬ ВАМ ФСАФ ТЁТ ТАН БОМЬ ЖИФ │
│ │
│сч я б д г ь│
│ ЩАНЬ ВЫЛ ПРИП МОСТЬ ДИТ НЁК ЯЛ ДРОЙ КРУХ КРАЧ │
│ │
│ д б б в з б з │
│ РЕТ МЕП БУП ГУХ ПЛЁХ ФСЯЙ СЕС ЛЁРЬ ДАП ЗОС │
│ │
│ д з г г ь │
│ БУТЬ НЭС ПОК ЖАК НИЧ ГАР ВЕЦ ВОМЬ ЛИЛ НОХ │
└─────────────────────────────────────────────────────────────────────────┘
Таблица Б.844
┌─────────────────────────────────────────────────────────────────────────┐
│ жь з ь ь г о ь │
│НУШ ХАР ЛУС БОЩ СЮЧ НЯК ТИМЬ ЧЁМ ФЫЙ РАЧ │
│ │
│ д иб о │
│САРЬ ХИСТ ШАТЬ ГЕЦ СКУН РЕЦ ШЫПЬ СЁМЬ БИЙ ЧЁЙ │
│ │
│ з з г з в з │
│КАСЬ ТЫСЬ ЗЭМ ЗАК ЁЦ ТРИСЬ РЁПЬ СОФЬ ПЁСТ СЫС │
│ │
│ ю в э эб г г д │
│ЧУХ РЁМ ГОФЬ ТОЗНЬ ШЕН ШЕПЬ ЦУК ДВЕК СТЕТ ФАЦ │
│ │
│ б з з д ь з э жь │
│ХИПЬ ЗУМ ЗЁС ПОСЬ ЗНУТЬ СВАЧ ЛЮС ТРЯНЬ ЦЕШ МЯЛЬ │
└─────────────────────────────────────────────────────────────────────────┘
Таблица Б.845
┌─────────────────────────────────────────────────────────────────────────┐
│ ь д │
│ЗЯР СВИНЬ РУЙ БЕН ШУЛ ФОЧ ПРЕМ СУЦ РОХ ШТОТ │
│ │
│ г с г з в з д в з ёз │
│БЯК СИТЬ ЗДЯК ТЫСЬ РУФ МАС ДЛЮТ ЗУФЬ ДЮС ШОС │
│ │
│ з б в жь в б │
│ПЛОСЬ ДЫП ЖАФЬ СТУМ ПРАН ТОЙ МУХ ВИШ ЧТЫФ НИП │
│ │
│ б эд г б б │
│ПАЛЬ ЛУП РАЛЬ НЯРЬ ЖЕТ РЮК ЛЯП ЦОП ДЫРЬ ТЫЙ │
│ │
│ ь ь и в д д │
│ФЕЧ ВЕЧ НЕХ ЁЛЬ ВАХ ЦЫР СЭМ ФСИТ ДАТ ЗЫР │
└─────────────────────────────────────────────────────────────────────────┘
Таблица Б.846
┌─────────────────────────────────────────────────────────────────────────┐
│ д д э г д │
│СОМЬ ПЯР ФАТЬ ПЕТ МИЙ РИХ ШЕЙ ЗЮК ДОХ СКУТ │
│ │
│ д д в з в д ь │
│ЧЕЛЬ ВЕТ ВЯЙ СУТ ФОРЬ НЮФ ЧТУС ХАФЬ ВЯНТ ТОЧ │
│ │
│ д б в б г │
│ДОЗНЬ ПУРЬ ЧИЙ ЛУТЬ НЫП РЕЛЬ БЁФ ЧТИХ ТРУПЬ ВУК │
│ │
│ г ь б з г б │
│СВОК ТИН НУЛ КАМ ШУЩ ТУПЬ КРАС ФЫК НЁПЬ ТЯРЬ │
│ │
│ з с д д д │
│ГАЙ СТЕМ ЛЫСЬ КОЙ ЗДЯЙ ПЫХ ШУТЬ ПРАТ НАТЬ БЯРЬ │
└─────────────────────────────────────────────────────────────────────────┘
Таблица Б.847
┌─────────────────────────────────────────────────────────────────────────┐
│ ь в б ь з б ёг │
│СВЕХ БУЧ ТОФЬ БУП РОЧ РЁМ МОС ЦАЙ РЯП ЖОК │
│ │
│ б в б в б в │
│ЛЮН ПАП РЫФ ВЫН ШУП САФ ХАПЬ МУЙ ВАРЬ ХИФ │
│ │
│ в б з д з │
│ЁР ВИФЬ ДЕЙ ТРЕП ЧТЫСЬ ТРАТЬ ЗУС СУРЬ ДРАЛ КОЦ │
│ │
│ жь б ь │
│НИХ ЛЯШ СТОНЬ МАХ ПРАПЬ ДЯНЬ ЗЯЧ СКЕН ЕХ ВЫЦ │
│ │
│ в г сч сч в г о │
│ЛЁМЬ ПУЗНЬ РОФЬ ГУК ЩЕЙ ЩИФ СЕК ПЭР СЁЛЬ ЧЁМЬ │
└─────────────────────────────────────────────────────────────────────────┘
Таблица Б.848
┌─────────────────────────────────────────────────────────────────────────┐
│ яг в жь ь в д с д ь │
│ДОНЬ ЧАК ФСЮШ ЛАЩ ТЮФ ШТОХ НЕНТ ЗДОТЬ БЕЧ БОМ │
│ │
│ д г в д б │
│ЦОЛ СЫТЬ БЯР ФУНЬ ЛЯР КРУН ЗЭК ДЫФ ХУТ НОП │
│ │
│в д ь з ь д з сч │
│ФСАТЬ ФИЩ ТАСЬ ЯЩ ПРЮТЬ ЗНАСЬ ЧТАРЬ ФЕЙ КЕЗНЬ ЩЕМ │
│ │
│ ь г в еб в д д │
│ЛЁЧ СЫК КУФЬ ЗЭП ДАЦ РЕФ РЁТЬ ПЁЙ ТОСТЬ ПЛЁТ │
│ │
│ г д з з б в д э жь │
│ВОК ЗНУТ ПЮС ЮМ САР ТРЯС ПЫП БЫФЬ НАТ ЖЕШ │
└─────────────────────────────────────────────────────────────────────────┘
Таблица Б.849
┌─────────────────────────────────────────────────────────────────────────┐
│ эд з з б з жь в ь │
│ШЕТЬ РУС ВОСЬ СОП ЖАНЬ СТЫСЬ ТРЁШ ЛОФЬ ДВАР ПИЩ │
│ │
│ з ё з д в з з │
│ШАС ШОЛЬ МЮЦ ДЮСЬ ДЛЁТ ГИФ ЦОР МЭС ДУСЬ ЗИХ │
│ │
│в в з б в д б │
│ФСИФ МЯС ТРИХ ТАЛ ТОП ЯНЬ БАРЬ ДЯФЬ БОТ РОП │
│ │
│ в в б б жь жь з │
│НАМ КЕФ ПОФ ВЁП ЛИПЬ ТЁШ БОШ НИН ХОС ДЕР │
│ │
│ б в г б б б ыз │
│БЭЛ ПРЕП ЗЕФЬ ТЫК ЗОПЬ МЯП ТРОЙ НЯПЬ РАР ЖИСЬ │
└─────────────────────────────────────────────────────────────────────────┘
Таблица Б.850
┌─────────────────────────────────────────────────────────────────────────┐
│ д г д ь ь сч о │
│ХАТЬ ТЁК ГУТ ВУХ СТУР ПЫЩ РЯН ДЕЩ ПРЫМ ЩЁЦ │
│ │
│ д жь д │
│ЛЕТ ПЛАМ НЕШ МЁЛ ЦЫЛ ШТАН СЮЛ МАЛ ШТУТЬ ЧИРЬ │
│ │
│ з з з б жь з з │
│ПРИХ ГЕСЬ ШАМЬ РЮСЬ ДИС СИП МИШ ЕЛ НУСЬ ДЛУС │
│ │
│ в сч яз ь в в │
│БЯМЬ ЗЫФ ЖУН ЩАСЬ НЯЦ ПАЧ СЕСТ ЗАХ КИФ ЛУФ │
│ │
│ б ь з з ь │
│ДОЙ ГЕПЬ ХЕНЬ КИР НЕЧ ГАСЬ СЮС РЫЧ ГОМЬ ЗОЛЬ │
└─────────────────────────────────────────────────────────────────────────┘
Таблица Б.851
┌─────────────────────────────────────────────────────────────────────────┐
│ б б г ь д │
│ХАПЬ ДАП РЯР КУК ДУН ПУЧ НЯЛ ЛЕТЬ ЖАЛ ШУЦ │
│ │
│ г г з д ид ь д │
│МУР ФЭК ПРЁК ТЫФ ПАСЬ ТЕТ ЦЫТЬ ПРУЧ ТЯТЬ ТРАЙ │
│ │
│ д и б эв в ыв з з в │
│ГАЛ ТЁТ ЦЫХ РОП ЖЕФ ГАФ ШИФЬ ТИС НЯС ЧТЕФ │
│ │
│ д з в д з │
│ЕР ТАР ВАНТ ЗУСЬ МЮЛ ПАФЬ СЫРЬ ТЁНТ ВАС НЫХ │
│ │
│ г г б д ы │
│РЕХ ДЫК ХЕК БЮЙ ЧТЫПЬ ХУТЬ ПАЗНЬ ФАР ШИЛЬ НЕЙ │
└─────────────────────────────────────────────────────────────────────────┘
Таблица Б.852
┌─────────────────────────────────────────────────────────────────────────┐
│ д в б д ь │
│БЫЦ ВОТЬ МЯЙ НЫЛ СОФ ВОЛЬ ТЕП НАТ ШУР БЯЧ │
│ │
│ г ю ь з д д │
│ПЫК ТЫНЬ ПЮЛ РЫНЬ БЁЦ ЧУЧ НУС ФИТЬ НОНЬ ЛЯТ │
│ │
│ з з ь д сч з э з │
│ТИЙ СКИЙ ЧТАСЬ ЖАЦ СЕСЬ ХОЩ ТРЫТЬ ЩЕСЬ ШЕР ДРАСЬ │
│ │
│ в д г ь ь б г з │
│РЁФЬ ТУЙ РЮТЬ ДИМ ЛЁК СЮЩ ШТАЧ МАП ПРЮК ТЮСЬ │
│ │
│ я в д в д з ь б в │
│ЧАЛЬ ФСЫТ ЗЕРЬ ТРУФЬ ЦАТ ВИС ДЯСТЬ ЛЮЧ ЕП ФСЯМ │
└─────────────────────────────────────────────────────────────────────────┘
Таблица Б.853
┌─────────────────────────────────────────────────────────────────────────┐
│ ь в з з ь з з б │
│БАЙ ЮЧ СОСТ ЗЫЙ ФСИС ШТЫС ВУЧ ДЁСЬ СТОСЬ ЛАПЬ │
│ │
│ ы ь жь в д │
│ЖИЧ МЯШ ЛЫНЬ ТРИЦ ЮР ДЯРЬ МЁН ЧИФЬ КРАТ РУЦ │
│ │
│ жь ь б ь ыд │
│ГОШ СВЫЛ ЕЩ СЮХ МЫПЬ ПЛУЙ РЕН РИЧ ШИТ ТАМЬ │
│ │
│ в б д з ь ог │
│СТУФ ХУНЬ ФОП ЗИТ БУЛ БУС ПИНЬ ДЫЧ БЮЦ ЧЁК │
│ │
│ д з жь сч в з │
│ТОТЬ РИЛ ЯС НИШ МОН ГЕЙ ЩЕРЬ ПРАЛ СКОФ ЗНАС │
└─────────────────────────────────────────────────────────────────────────┘
Таблица Б.854
┌─────────────────────────────────────────────────────────────────────────┐
│ в жь з з │
│ФИФ ВЕЦ РУШ ХОС ПЕС ШАМ СУХ НАСТЬ ЛИН ДЯЛЬ │
│ │
│ г с з д б б жь │
│НУК ДЛЕН ЗДОСЬ ДВЯТЬ НИПЬ ВУЙ БЯЛЬ ЧЕН МИП ПОШ │
│ │
│ б жь д б в ь д │
│ВЫП ПЕШ СУМЬ ЗУЛЬ РОТЬ ТРЮРЬ ЗОПЬ КУФ НЕЩ НЁТЬ │
│ │
│ д г д з б г ь сч я │
│ДЮЙ ТУТЬ ШТОК ПРЯТ РЕС ПУЛЬ БЫП СТАК ЗЁЧ ЩАМ │
│ │
│ з з д д сч ог б эд │
│ПЯХ ЗАСЬ ВЯЛЬ ТРЕСЬ КОНТ СТЯТ ЩЁК МЕЙ ДЛАП ЦЕТ │
└─────────────────────────────────────────────────────────────────────────┘
Таблица Б.855
┌─────────────────────────────────────────────────────────────────────────┐
│ в з б ь в │
│ЛЁФЬ РОНЬ ЛОС ЗОХ ЧТУПЬ СВАХ ЗАМЬ ЛОРЬ ВЫШ КРУФ │
│ │
│ в ь с з о ь в │
│САР ТРЯФ КОЛЬ ГИЩ ЗДЯСЬ ШЁНЬ ДЯЧ ЛАФЬ ФЕР СИЛ │
│ │
│ б ь з б в в б │
│СЭП КИЧ ДОС ЛЕП ХИН КУРЬ ГУРЬ ТАФ ЁФ СЁП │
│ │
│ в оз жь з з д │
│БАФ ШЁСЬ БЕМЬ САШ НАЛЬ ГОМ ФУС ПРОСЬ ДАТ РОХ │
│ │
│ г д д г з │
│ЖУЛ ВЕН ЗНОК ФЫТЬ ЗЯТ ДЕК БОН ПЛЕСЬ РАЛ КЕНЬ │
└─────────────────────────────────────────────────────────────────────────┘
Таблица Б.856
┌─────────────────────────────────────────────────────────────────────────┐
│ в жь ь г д б │
│ГАФЬ ЧТАХ СКЕШ ВЕНЬ ВУЦ ТЮЧ СТАК ТЫР РИТЬ НЮП │
│ │
│ ь д в э д │
│СТУЧ ХИРЬ ТУЛЬ КУТЬ ЕФ ГУР ШЕЦ ТЯЛЬ ТАН ПРУТЬ │
│ │
│ г ь жь з г д д │
│СЫРЬ ТЕК НУЩ РАШ ФОСЬ ПОК ЗНОТЬ ЦУЛ ФИТ МИЛ │
│ │
│ э з з в в │
│ШЕЛЬ ДВЕС ПРОН ПРЁСЬ ХУН ДЯФЬ ЗОНЬ НОМ ЗОФЬ ГОРЬ │
│ │
│ в ед г д б │
│ЗАФ БЭТ ПАМ ГАК СТЯН ДЮТ СЫЛЬ БЯЛ КАПЬ ШУЙ │
└─────────────────────────────────────────────────────────────────────────┘
Таблица Б.857
┌─────────────────────────────────────────────────────────────────────────┐
│ б б з в ь г з │
│СЁРЬ ДЕПЬ ШУП МАС РУФ БЯЩ МЁК ГИЛ ЗУЛ ТРЮСЬ │
│ │
│ г в жь сч г ь г з з з │
│НЁК ТУФЬ ВАШ ЩИЦ ПЭК РИЧ ЛЕК ДЛЕСЬ НАС СКОСЬ │
│ │
│ г в б сч юв жь │
│ТРУК ТРЫФ ПЯП КИХ ПИЙ ЩУФ ЗУШ ФИЙ РОМЬ НЯМ │
│ │
│ з з з │
│СЕХ ПЫН НУСТЬ МЯРЬ ВЁР ЗЯМ ДУС ЧТЫЛЬ ПОС НЕС │
│ │
│ б з б ь в │
│РЭП КЕСТ ТОС ПРЮП НЫЦ ШТЕМ РЮЛ ВЫЧ КОФЬ БЁМЬ │
└─────────────────────────────────────────────────────────────────────────┘
Таблица Б.858
┌─────────────────────────────────────────────────────────────────────────┐
│ ь б ь д д │
│ ЕЩ ТАХ ТРИПЬ ЖУЦ ПРЯЧ ЛЮТЬ ШТЕТЬ МАХ НУРЬ ДАМЬ │
│ │
│ д д жь ы в жь │
│ ДИЙ ЧЕТ ЛАТЬ ДЁШ ЁНЬ ЖИРЬ СЫФЬ ТРЁЛ ВОРЬ БЫШ │
│ │
│ б б д г з б │
│ ГУЙ ЛАМЬ ВАПЬ РЁП ЦАН САЛЬ ПАТЬ ЗНЮК ЛЁСЬ БЫПЬ │
│ │
│ з д в д д │
│ ДИЛЬ РЁНЬ ДОРЬ РЕС РУТ КРЫЛ БАЛЬ ХЕФЬ БЯТ ВЯТЬ │
│ │
│сч ю яв з з │
│ ЩУЛ ФАРЬ ЛИЛЬ НЁЦ ЧАФЬ ФЕН ПЛУС ЗАС БОНЬ ДУМ │
└─────────────────────────────────────────────────────────────────────────┘
Таблица Б.859
┌─────────────────────────────────────────────────────────────────────────┐
│ оз в ь в з в в д │
│ЧЁС ШАФЬ ЛЫЩ ПУЙ ХАФ СУС ФСЯФ БУТ ДРЕЙ СИН │
│ │
│с ё г в д д жь з │
│ЗДИХ ШОЙ СВАЙ ЧТЫК ПЕФЬ СЮТЬ МЭТ МИШ ПУСТ ХОСЬ │
│ │
│ э з │
│РЫР ШЕНЬ ВЁСТ БИН МАЛ ШТУН ДЫСЬ ДЛАМ НИРЬ НАЛ │
│ │
│ ь ю ь ь в б в в │
│РАЩ ЧУЛЬ ЦОХ ШАЧ ПРЫЧ ФСЕХ ЖАП ГЕР ЛИФЬ САФЬ │
│ │
│ б ь г б │
│ЦАП МЮЧ ВУЛ ГИХ ЗИМЬ ПЛЕК МЯПЬ ДАСТ ЗЕЛЬ КРАР │
└─────────────────────────────────────────────────────────────────────────┘
Таблица Б.860
┌─────────────────────────────────────────────────────────────────────────┐
│ г д з з д б в │
│МОК РЮТ ЮС ТЁСЬ РЯЦ ЗЁЛЬ НЯТ ЧТИЛ ЯП БИФЬ │
│ │
│ сч од б э ь ыз з д │
│СЕЗНЬ ХАЛ БАМЬ ЩЁТЬ СЯПЬ ЧИМ ЖЕЩ ШИС ДАС ФЫТ │
│ │
│ жь б з д ь в │
│НЕЛ ЛЕЦ КОР ТРЕШ КЕПЬ ЛУСЬ ВИЛ ПЁТ ХОЧ ПЮФ │
│ │
│ ё в г д в з │
│ТРОЦ ЖОЛ ФСАК ДЫТ СТОФ СОРЬ РОС ЛОН ТУЗНЬ НУЙ │
│ │
│ в б б с в │
│ТЫЦ ЗАМ ТИФЬ ФУПЬ ЛЯР ВИП ЗДАЛ ЮЛ РАН СВОФ │
└─────────────────────────────────────────────────────────────────────────┘
Таблица Б.861
┌─────────────────────────────────────────────────────────────────────────┐
│ сч з в жь │
│ЗЯН ЩЕЦ СУСЬ РЫФЬ ЗЁМ НИЦ КАМЬ ХАШ ХИЛЬ БИНЬ │
│ │
│ б ь б в в д ь │
│ФУП ПЮЩ МИПЬ ДРАН ГОЙ СТЫФ ВУМ ШАФЬ ДЯТ БУЩ │
│ │
│ о д ь ё г в б │
│ЧЁРЬ БОТЬ ТАЧ ПУНЬ ШОР ХУК ПЫФЬ БЯЛ ДВАЛ ЧТИП │
│ │
│ ь з в в │
│КОЦ МУНЬ СВУХ ЦЫЧ ТЕРЬ СЫЛЬ ФАСЬ ФСЯХ МЫФЬ РИЛЬ │
│ │
│ з д б │
│ЛЁЦ БУН ТЮСЬ ДЁХ КИР МЯЦ КИНТ ВЕПЬ ТРЮХ РИЙ │
└─────────────────────────────────────────────────────────────────────────┘
Таблица Б.862
┌─────────────────────────────────────────────────────────────────────────┐
│ ь в с з ь │
│ЦУМ ВЁЧ САМЬ ТУН МЁР СЫФЬ ДЕМЬ ГОР ЗДЯС БЫЩ │
│ │
│ г д з ё жь │
│ПРЕК ДОСТЬ СИЙ ЛЯЙ ШТИС ЗУЙ ШОЙ ЗУЦ ГИШ НАХ │
│ │
│ ь в ед сч ю в в │
│ТУЧ БИФ НЭТ ХЕН ЗНОХ ПОЛЬ ЩУМ ФИХ ВУФЬ ЕФЬ │
│ │
│ ь з ь в │
│НЁРЬ МАЩ ПЯМ БУНЬ КРУМ РЁС МАН ЗАЧ ТЁЛ ЖУФЬ │
│ │
│ з д з б │
│КРАС ШТАТЬ ЛЁМ ШУН ДЮНЬ НЯР ГИН ГЕСЬ ПЁП ТАП │
└─────────────────────────────────────────────────────────────────────────┘
Таблица Б.863
┌─────────────────────────────────────────────────────────────────────────┐
│ б в в ь │
│ТОНЬ ЛИП ГУНЬ ПОР КУХ НЕФЬ ТРЫМ ГУФЬ КЕЧ ТРИЙ │
│ │
│ ь в г ь г з │
│КОЧ СОРЬ ЛАФ ДЛЁК НУЩ ВЫХ ЯН ЗУР ЕК ВАС │
│ │
│ б д ю я ь в │
│РЕП ЧТАР РАЛЬ РИТ ЧУЛ ЧАЧ НЯЙ ЗНЕН ДЯЛ ЛЯФ │
│ │
│ о д з д жь │
│ЖЁН ВЫН НУНЬ БЯТ СЮР МЯК НЫСЬ ВОТЬ ШАЛ ТЮШ │
│ │
│ в ь д э с │
│НИНЬ ТЭФ ЕЩ ПРЯМ ЗОТ ПАЛ ЦЕЙ ЗДОН РЫХ КИМ │
└─────────────────────────────────────────────────────────────────────────┘
Таблица Б.864
┌─────────────────────────────────────────────────────────────────────────┐
│ ы з б сч юд д │
│ЗЕМ ЖИНЬ ПЁХ ВИСЬ ХОЦ БЁП ЩУТЬ РИЦ ДЕМ ПЁНТ │
│ │
│ з э б б │
│МЮМ ХУС РУН ШЕЛ ТАПЬ ФЕМ САХ МЕН СТОМ ТИПЬ │
│ │
│ б ь в ь в │
│ЛЫП РЕМ ЛЕР ДЯЧ ДУФ РАХ ПРАЧ ПРУМ БУФ ТЯР │
│ │
│ жь з в ь д │
│ЁНЬ ПЕШ ЧТУСЬ ЗИН ДЕФЬ ПЛЕЧ ЛУТЬ СЁНЬ ЮЛ ХАРЬ │
│ │
│ з з э д б жь э │
│ПЛАС СВАСЬ ЛУЛ ШЕЦ ЧТЫТ ТЫРЬ ДОП ФСЕШ ЖЕР ТРИМ │
└─────────────────────────────────────────────────────────────────────────┘
Таблица Б.865
┌─────────────────────────────────────────────────────────────────────────┐
│ з з б ь г жь из з │
│ ПРЫСЬ ЛОС НАП ТРАЧ ЧИР ПЭК ФОР ПУШ ШЫС КАС │
│ │
│ г б з з д г │
│ ТРЁЦ БАЦ ВОК РЫПЬ ВЯЗНЬ ЦОС СЕСЬ ДОЦ НОТ ДАК │
│ │
│сч оз б б жь д │
│ ЩЁС ШАП СКЕХ ЧЕЦ ЗОМЬ НЕП ШТЫН ДЫШ ФЫНЬ ДЛУТ │
│ │
│ в г з ь д │
│ НИСТ ЗАР ФСУК ЛЕСЬ СЁСТ ГАР ВЯЛ НЯЧ ТАНТ БЕРЬ │
│ │
│ з з б │
│ СТЕЛ ПРИЛ РУХ СКАН СУЛ СЯЦ СТУС ТРОСЬ РЕЦ ЖАПЬ │
└─────────────────────────────────────────────────────────────────────────┘
Таблица Б.866
┌─────────────────────────────────────────────────────────────────────────┐
│ з д ы б в э з │
│ДЛЕС СИТ ЦИРЬ ТРОП БЫФЬ ПРАЦ СТОРЬ ЖЕЛ НЯСТ ДОСЬ │
│ │
│ з д з д ь │
│ВЕНЬ ХИС НЁТ ЛУР ЛИСЬ НОЙ ТИНЬ ЖАТ ПРУЛ БЮЧ │
│ │
│ з б в г г з з │
│ФЕЛ ЗИСЬ ЛЁПЬ ВАФ РЯМ ФУРЬ МЫК ЧИК МЯСЬ НЯС │
│ │
│ г з б │
│ПУН ЗЭМ СЁК ЗОМ ГЕЛ ВЯМ РЯНЬ БИЛ ПРЫС РЭП │
│ │
│ з ёб в д │
│РЁС ШОП СУФ ДЯМ РАМЬ РЮЛ КРАМ ДВИТЬ ЗЁЦ ШАН │
└─────────────────────────────────────────────────────────────────────────┘
Таблица Б.867
┌─────────────────────────────────────────────────────────────────────────┐
│ б ь в ь ь в д │
│ ЛЫПЬ ГОЧ ЧТАФ НАРЬ ХЕЩ НУЧ ДОФЬ ТРЁТ ГИР ГЕЦ │
│ │
│ д з з ь б в │
│ СКИМ ТЫТЬ СОСЬ ПЮСЬ ЁЧ ДЕП ЦОФ ПУЦ ЛИЙ СВУЛ │
│ │
│сч ю г в з д з жь │
│ ЩУХ ТЁРЬ ХУК МИХ РАФ ПЫСЬ ДЯТЬ ЛЫС СТЫШ ВЁХ │
│ │
│ ыв д в д │
│ РЫРЬ ШИФЬ СКАТЬ СЁФЬ ТАТ ВЁСТ ПИМ САНЬ ТАСТ ТРИЛЬ│
│ │
│ з эг д ь д │
│ БАРЬ КАНЬ КЕСЬ ШЕК БАТЬ РИНЬ МУЧ РИН ЮТЬ ХОХ │
└─────────────────────────────────────────────────────────────────────────┘
Таблица Б.868
┌─────────────────────────────────────────────────────────────────────────┐
│ б в в ы с з │
│ЯПЬ КИЗНЬ КАФ МЁФЬ ДЮР ДУР НЕР ШИМ ТРИН ЗДАС │
│ │
│ с д жь г оз │
│СЫЦ ЗНОЛ ЗДЕХ САЦ ТРЫНЬ СЕНТ ФОЛ ЮШ ТЯК ЖЁСЬ │
│ │
│ г сч б з о д │
│ДЛАК ЩЕПЬ ЧТЫМ ЗЯСЬ БУРЬ ЗЕР ЧЁЛЬ ПЯРЬ ЗАЦ ШТИТ │
│ │
│ шь з б в з д │
│НИЖ ЗОСЬ ШУР ПЁЗНЬ ВУПЬ ГОФ ГАМЬ МАС ЗУХ КОТЬ │
│ │
│ в ь з б жь │
│ТЕЙ ПРЯЛ ДЕЦ СУЛЬ ЁМ ТОФ ВОЧ ДРЕС НИПЬ ЦАШ │
└─────────────────────────────────────────────────────────────────────────┘
Таблица Б.869
┌─────────────────────────────────────────────────────────────────────────┐
│ ь з ь б з ив ь б │
│ТУРЬ ТЫЩ РОСЬ ЛОЩ ЖУПЬ КОСЬ ЦЫФ БОЦ ДЕЧ НУПЬ │
│ │
│ д д сч ю жь жь в эг │
│ЛАТЬ СТУТ БОЛ ЩУЙ ФОШ МЯН БЕШ МОФ ЦЕК ЧТИМ │
│ │
│в сч ов в д в б │
│ФСАЙ КИРЬ ТАЛЬ ХАРЬ ЩЁФ ФСЁЛ ТУН МЕТ ПЕФ ШУПЬ │
│ │
│ б ь з в б д б │
│ПРИМ СЕПЬ ХАЧ ПРЕСЬ КРУЛ ДАФ ВУРЬ РУП ЕТ ДЫП │
│ │
│ жь б д жь │
│НЯЛ ВЫЛ ЛЕН НЕШ ГАЦ ВИРЬ БУПЬ СТЕЙ СИТ ЖУШ │
└─────────────────────────────────────────────────────────────────────────┘
Таблица Б.870
┌─────────────────────────────────────────────────────────────────────────┐
│ б д д э в я жь ь │
│ПЛУП ВЫТ ФАМ ЧТУТ ШЕР ДЁФ ЧАШ ЛЯНЬ ЛЕХ ПОЩ │
│ │
│ ь з г б б д д │
│ТРЁЧ ШТЫР ПЛИС ТЮХ ВАК РИП РЫП БЮТЬ ЗНЕТЬ КОР │
│ │
│ ь ь з жь ь б в │
│ЗОЩ ЛЮР ФИЧ ГУС СЫМ РЕРЬ ТРАШ ПЕЩ ЗУПЬ НЫФЬ │
│ │
│ б б г ёд в │
│МЮПЬ БЯЦ ЗАПЬ СВАК ШОТ ПАРЬ СЯХ БЁФЬ НЕЙ НОЦ │
│ │
│ з в ю в в │
│ДУЦ ХУС КАФЬ НАЙ ДОСТ ЧУЦ ШТАФ ФСЕМ ПОМ ТЫЙ │
└─────────────────────────────────────────────────────────────────────────┘
Таблица Б.871
┌─────────────────────────────────────────────────────────────────────────┐
│ б б жь сч в з ё жь в в │
│САЛЬ ТОП ВЫП ВАШ ЩЕФ ЗУРЬ ТИС ШОШ ХЕФ СЫФ │
│ │
│ б б б г э б з │
│МЮП ПЯПЬ РЭП ПОК ТАСТЬ НУРЬ ШЕХ КАП ПАСТ КИС │
│ │
│ в з в з в │
│ШУЛЬ КАМ РАФ ГИС ГУЦ ПРУФ ЁСЬ ГУЛЬ ГЕФ СВОМ │
│ │
│ ь б д в в з з │
│ЯЧ БЫП СИСТ РЁЙ НАТ ВУЛ СИФ ФСАСЬ МАР ЧТАС │
│ │
│ д ь з жь з б │
│ХОНЬ ЕМ ДЛОТ МЕЩ ГАН ДЯС НЯШ ВИМ МУСЬ ЧАПЬ │
└─────────────────────────────────────────────────────────────────────────┘
Таблица Б.872
┌─────────────────────────────────────────────────────────────────────────┐
│ ь б ь з з │
│ЧИЩ БОНЬ ЛЁП ПЫМЬ ТЁЛЬ ЛЮЩ КАС ПЁМ НЁС РИЦ │
│ │
│ б д жь д жь з б з │
│ХУП МИТЬ ТОШ ТУН ЦОТ ЖАШ ФИСЬ ЕЦ СОПЬ ЛЕСЬ │
│ │
│ ь ь з сч │
│НЁЦ ПРЯЦ ЛОЛЬ БЫЧ ДОЛЬ БЁЧ ЧИС ЩИЙ СКИХ ЮЙ │
│ │
│ д б ь ыз д │
│ВЕНТ МОП ХИЧ РОЦ ЗИНЬ ХАНЬ БЯНЬ ЖИС ПЮТ НАЛЬ │
│ │
│ в в г д жь з │
│ЦАМ ФСЕФ ШТУЛ ДЫЦ ЗУК ВЯРЬ ЯМЬ МЯТ ВЫШ БИСЬ │
└─────────────────────────────────────────────────────────────────────────┘
Таблица Б.873
┌─────────────────────────────────────────────────────────────────────────┐
│ сч яг ь в д з г │
│ШТЕН ДЕЙ ЩАК ВУЧ ДЫФ ЗОТЬ ЧТЫЙ ДВАСЬ ПУР СВЕК │
│ │
│ в в б д │
│БАФЬ ДЯЛЬ СТУЙ ФАФЬ СИЙ СЕР РАЛ РЮМ ПОПЬ КАТЬ │
│ │
│ д в ь д г ы жь │
│ДЛИТ ТАФ БЯМ РЮЩ ЛЁЦ НЯТ ГЕЛЬ ЗДАК ШИР ЗАШ │
│ │
│ д в ь г │
│МЯМ ЧЕРЬ РЯЙ БУТ СТЕФ ШУЧ ДЕРЬ ЗАРЬ КРОК ТЫРЬ │
│ │
│ б д в о з з │
│ДЕПЬ СТЫМ ШТЕТ ЗАЛЬ ЗЁХ ШАФ ЧЁНЬ ГОСЬ ДАСТЬ ПЛУСЬ │
└─────────────────────────────────────────────────────────────────────────┘
Таблица Б.874
┌─────────────────────────────────────────────────────────────────────────┐
│ б д ь з д г б д │
│ВАНЬ НОМЬ НЫП ДЕТЬ ТРОЧ ТУС ХОТЬ ПЫК РИПЬ МЫТ │
│ │
│ д с з ь б жь б в │
│ФСЯТЬ РЕЛ ЗДИСЬ НЕЩ ШАП СЯШ СКОЙ ЛИПЬ БЕФ НЕЛ │
│ │
│ жь жь эв сч я жь з │
│ДЯШ ТУЦ ТАШ ВОРЬ ЖЕФЬ ЩАРЬ ТРЁМ ЦУШ ЛЫХ ЗНЕС │
│ │
│ д жь │
│ЖУЛ ЛЮЙ ПОР ТРЯМ ТЮМЬ ПЛЕЛ ЗНОТ ЛУШ ПРЮН ЗИРЬ │
│ │
│ з д д жь д │
│СУС ПЁТЬ ЛАМ РЕХ ДАХ ЧТЫЛ НЕСТЬ ДУТ ПРЫШ СТАТ │
└─────────────────────────────────────────────────────────────────────────┘
Таблица Б.875
┌─────────────────────────────────────────────────────────────────────────┐
│ ь ь жь │
│СЫЛ НУЦ НЯМ БУМЬ ГАЧ ТЭН ШАЩ ЖАМ РОНЬ КРУШ │
│ │
│ эг з б з д б з б д │
│ШЕК ЦУСЬ ПАПЬ ТЭЛ ЗЯС ФОТЬ ПРОП СЯСЬ РЫПЬ ЗОТ │
│ │
│ жь в д д д д з │
│ФЫХ ДРАШ КЕСТЬ МЁФ РОТЬ ТРЮТЬ ТЯЙ ВЮТ СИТЬ ВЁС │
│ │
│ в з в г д жь з │
│ТРЕЦ БАМ САФЬ ФЕС ЛЯФЬ ЧТИК ТРЫТ БЯШ ПРЁС ДИР │
│ │
│ в з д жь │
│НИЛЬ ЛАФЬ ТРУЛ ДУС КЕТЬ ХОШ НУЙ ТЕЛ ФУМЬ ПИЛ │
└─────────────────────────────────────────────────────────────────────────┘
Таблица Б.876
┌─────────────────────────────────────────────────────────────────────────┐
│ г д жь в д │
│ДАН РЫЙ РИК ШТИН КЕН НЁТЬ ЛАШ ЕФЬ ТОНТ КРОЛ │
│ │
│ в д э д жь з в │
│НУФ ШУТЬ ЖЕЙ ДРАТ ЧТАШ ДЫЙ КАЙ ПРЯС ВЫФЬ НОРЬ │
│ │
│в д ё эв б д в жь │
│ФСЮТ ШОМ ШЕФЬ ГУН ДОРЬ ФЭП ТРУТЬ ТЁФ ЛУРЬ ТЫШ │
│ │
│ д сч д д в │
│ЛЁТЬ ТУМ ЗЫН БЯР ЩИХ КУТ ПУНТ ВЯЦ ЗНАХ СУФ │
│ │
│ од д д в э │
│ЖЁТ НУМЬ СВЫТ ТЯХ НЯЛЬ СЯТ ЮМ БОФЬ ДИНЬ ЖЕЛЬ │
└─────────────────────────────────────────────────────────────────────────┘
Таблица Б.877
┌─────────────────────────────────────────────────────────────────────────┐
│ з з ь з жь │
│МЯС ДУЗНЬ ДЯС ПОЩ ЛЯС ЗЮЦ ЗИНЬ ЗЯШ ПОР ВЫСТ │
│ │
│ в д з в в ёв б │
│КОЙ ФСЭТ ПЯС РОФЬ ГУФ ДВЯХ ШОФЬ РАМ ТЕПЬ НЯЗНЬ │
│ │
│ з д сч б в б в │
│СУЛЬ НАЦ НИЦ МЫСЬ ДЕЛЬ БЭТ ЩИП ЗНОФ НЮПЬ ЛЮФ │
│ │
│ д б ь г ь д │
│ПРОТЬ ДЯЙ ПЕРЬ ТАП ЗОРЬ ЛЫЧ НЫР ЕК ЖУЧ ДЫТЬ │
│ │
│ д д сч я │
│РИТ ШУНЬ ВЯХ САЦ СТУНЬ ПРАНЬ ТЯТ ВЁМ ЯН ЩАЦ │
└─────────────────────────────────────────────────────────────────────────┘
Таблица Б.878
┌─────────────────────────────────────────────────────────────────────────┐
│ ёб ь д жь в │
│ЧОПЬ СКОМ ТРЮЧ ТИХ РАТ БЮШ ЛЕМ ЗУН РЯЛ КОФ │
│ │
│ жь в ь б з с в │
│ПОМ ЦАР ВАЦ СТАЦ МЁШ БЫФ БАЩ РЮПЬ ТАС ЗДАФ │
│ │
│ с з ь ь з г ы ь │
│МЮРЬ ЗДИС САНЬ БЫМ ФЫЧ ПОЧ СТЕС ХИК ШИЛ ДЯЧ │
│ │
│ б ь жь ь ыб з з д в │
│ДУМЬ ПЛЕП КРУЧ ЛЕШ ТАЧ ЦИП ШАС ХЕС ВУТ ФИФЬ │
│ │
│ д г жь │
│РЁНЬ ЧТУХ БИЦ ТРАМ ПЕН БЁТ ДЮК ТРЫШ ПУЦ ПЛОЙ │
└─────────────────────────────────────────────────────────────────────────┘
Таблица Б.879
┌─────────────────────────────────────────────────────────────────────────┐
│ ь в в в сч яд д б з │
│ПРЕЧ ПИФ ФСЕХ ЁР СВАФ ЩАТ ТЫТ ГАПЬ РЕЙ ЦОСЬ │
│ │
│ д в д ь эв ь │
│НОТ ЧТЕМ ЗУФ ЛЯН ЧИРЬ ПЫТ ЛИЛ ХАЩ ЦЕФ КИЩ │
│ │
│ д з д д │
│МОМ ТРЮТ СТЫРЬ ЛУЦ РИСЬ ДЛОЙ ХАТЬ СЁНТ ЗИЦ ЛИХ │
│ │
│ з д д б │
│ЕЙ ДЁР ГИЛ НЯСЬ ШТЫТ ВАН СКИТЬ ВЁП ГИЦ ГЕРЬ │
│ │
│ г з ь б я жь б │
│ПЮРЬ ЗЕЦ НЕК ДЫСЬ ВУМ ШАЩ БАПЬ ЧАР СЫШ БЯП │
└─────────────────────────────────────────────────────────────────────────┘
Таблица Б.880
┌─────────────────────────────────────────────────────────────────────────┐
│ з з г д │
│РУНЬ ДЛЮС ЧЕС ГОК ХОЛЬ СЁХ СЁЛ ПРАМ СОТ КУР │
│ │
│ б б в д д │
│ВОПЬ РЫП ТЫФ НЭТ СЮН РУЦ ГОТЬ ТРЕХ ФЕНЬ НЕРЬ │
│ │
│ в в в б з │
│ТЭР ЗАФЬ ШТАХ НИР МЕФЬ ФОФЬ РЯМ СЯЦ ЖУП ХАС │
│ │
│ б э г │
│БУЦ МЯНЬ КИСТ ВЫЛЬ СЫНЬ НАПЬ ТУЦ ШЕЙ ЛАЛЬ ЧТАК │
│ │
│ д б ь в б │
│ХУЛ ТРЯЦ ПРИТЬ ФУЙ БЕХ МАП ЗОЧ ГУФЬ МУПЬ ЗАНЬ │
└─────────────────────────────────────────────────────────────────────────┘
Таблица Б.881
┌─────────────────────────────────────────────────────────────────────────┐
│ з з г жь жь з сч яб ь │
│РЯСЬ НЫС МОК КЕЛЬ ЯШ БИШ ЗЕСЬ ЩАПЬ ЛУХ ПАЧ │
│ │
│ ь д ь в д д з │
│ВОЗНЬ САЧ ТАТ РЫЛЬ КОЧ ТОФ ВЭТ ДИТЬ РУС ДРАЙ │
│ │
│ в г б з б │
│РЫФ ПЕК НУН САПЬ ЛЯСЬ ЛИЦ МЕНЬ ВОП БЕЦ КАР │
│ │
│ б г д о в │
│ХАП РЕН ПРЫН ЗНУК ШТЕР ЦОТЬ ЧЁР РЮМ СУФЬ ШТЫЙ │
│ │
│ э я г жь г в жь │
│ЖЕРЬ ЧАНЬ НЭР ЛЁК ЧТУЛЬ ТЕШ РЁК ЗОФЬ ДЯШ ЗЮР │
└─────────────────────────────────────────────────────────────────────────┘
Таблица Б.882
┌─────────────────────────────────────────────────────────────────────────┐
│ б д юз │
│ЛЮХ ЛАПЬ НЕЛЬ ХОЙ СВЕТЬ ТЯСТЬ БУЦ ЧУС ВИЛЬ СТУЦ │
│ │
│ ь з д эв │
│НАЧ ЮН НЁН ЦАСЬ ВЫРЬ ВЁРЬ ХОР ДЭНТ ШЕФЬ КУСТЬ │
│ │
│ ё б б з б в з б в │
│ФУН ЖОЛЬ БЯПЬ СЫП ПЯСЬ ПЕП ГАФЬ ТРЫСЬ РЯП ЗНАФ │
│ │
│ д э б д в сч з │
│ЛУТ ШЕНЬ РОП ДЫТЬ МЯЙ ВЫМ ФСАХ ЩИР НОСЬ ТИМ │
│ │
│ с з │
│НЯХ ПУР ЧТАМ ЗДИН ШТЕСЬ ТЫМ КРИХ ЁРЬ КАМЬ ДЯЙ │
└─────────────────────────────────────────────────────────────────────────┘
Таблица Б.883
┌─────────────────────────────────────────────────────────────────────────┐
│ в ь б з з в │
│ЕЛ ХАЦ МЯЦ ВЮФ РАЩ БУПЬ КОСЬ СЁС ГОНЬ БОФЬ │
│ │
│ з з │
│ДЕЛ ЗАС ДОНЬ ДЛЕЙ ФЕЦ БЫСЬ НИРЬ РИР ТИЛЬ ЗОНЬ │
│ │
│ б в з г в в жь в д │
│ЖАП РЮФЬ ТРЁС ТРЯК ТЫФЬ МЫФ СЮШ СИНЬ ЛЁФ ПАНТ │
│ │
│с з эг сч з б в г з ы │
│ЗДАСЬ ПРЁР ТАЛЬ ШЕК ЩЕС СЕП ВОФЬ МЮК ФЫСЬ ЖИН │
│ │
│ в в ь в з б │
│СВАЦ ФИЛЬ БЯФЬ БЮХ ЗАФ ДАЧ НЯФЬ ДЁС ПЫП РЁХ │
└─────────────────────────────────────────────────────────────────────────┘
Таблица Б.884
┌─────────────────────────────────────────────────────────────────────────┐
│ д з д б ь д б │
│СЭТ ДВИСЬ ПРАТЬ ТЯПЬ ГОЧ ЧИТ КУЦ ПУРЬ ЖУХ ЧЕПЬ │
│ │
│ в д г д д ыг │
│НЮФ ДУТ ТРИК ЧТЫХ ДИРЬ ШАТЬ БЁТЬ ТОР СЭЦ ЦИК │
│ │
│ в ыб ь жь в жь г │
│ФАФ ЕХ ШИПЬ ТОЩ ГАЛ ГИШ ЗИФ ЗУШ КЕК ПЫЙ │
│ │
│ г в в д │
│ПЛЁК РАР СУМ НОСТ ПЮР ПОФ ШАМЬ СКЕФ ЗЯХ ВЯТ │
│ │
│ в в жь з │
│ХОФ СОФ ГИНЬ МЕМ ПЛАР ТРОШ ЗАМ ТУСЬ ШОЦ МАНЬ │
└─────────────────────────────────────────────────────────────────────────┘
Таблица Б.885
┌─────────────────────────────────────────────────────────────────────────┐
│ жь б в в з │
│ТЮНЬ ХИШ ПРЯХ МИПЬ ДЯРЬ ПИФЬ ФСЕС СКАМ НЁНЬ ДЛАР │
│ │
│ ь д з б б │
│ЛОЦ ГЕЩ ДОХ ТРИНЬ ТРАЛЬ ВАТЬ ЗУС ПРЮМ БАП ХИП │
│ │
│ жь б ь д в б │
│НЕМЬ ГУР ЛИН ШАШ ЛЕП РЫЧ ДЭТ ШУЛЬ НУФЬ НАПЬ │
│ │
│ з сч в д жь ь г │
│СТЯСЬ ЯНЬ ЩИРЬ ФСЁТЬ ЧТЕШ ЛЫР ЦУЩ БЭЛ МУН ВОК │
│ │
│ ь б д б д д │
│БАЩ ПАП НИТ СЕП КРОЦ ПРУЙ СТОТ СИСТЬ ФОТ СТАЛ │
└─────────────────────────────────────────────────────────────────────────┘
Таблица Б.886
┌─────────────────────────────────────────────────────────────────────────┐
│ д б жь сч з │
│ ДИР СИТЬ БЮП ПРЫХ ЗОМ СЕШ ДРАХ ЛЕМ ЩЕХ КУС │
│ │
│ б д д в с жь │
│ СЮП ХИТ РУТЬ ЗИФЬ ЗДАР ДЫМЬ ЗНАШ РЮЛЬ ТЫНЬ ЛЫН │
│ │
│сч я з з жь в д б │
│ ЩАЙ ПРЮСЬ ДЛОС РОРЬ НОР НЫШ НУФ ХАР СЭТЬ ЛЁП │
│ │
│ в ь з в жь жь │
│ ХЕСТ МУФЬ СТУЛЬ НИМ СУЧ ВЭС ПАФЬ ХУШ МЯШ ВУР │
│ │
│ ь д д б з │
│ ХЕЧ СТЕТЬ РЮТ ГИП ЯМЬ БОЦ ДЛЁС ШУХ МЯЛ ГОЦ │
└─────────────────────────────────────────────────────────────────────────┘
Таблица Б.887
┌─────────────────────────────────────────────────────────────────────────┐
│ с д г д з в │
│РЫМ ЗДЕТ СЭК ЦАЛ ЛАР ЧТАТ ФУР ЛИСЬ ВАФЬ СТАН │
│ │
│ д б в д д в г ы з │
│ВЫНТ ТЁП НАФ ЛОТЬ ГУТЬ ТАФЬ ВЫК ШИР ФИНЬ СВАС │
│ │
│ в б з з │
│ЦОФ ЮП ЗОНЬ ЗАЦ ЗОСЬ ПУНЬ ШТЕХ ДВАЙ МЮС ПЕХ │
│ │
│ д г в жь о ь д │
│ПЁНЬ ЛЯН ПЫТЬ НЕН ГЕК ЛЕФЬ ДЮШ ЖЁЧ ЗНУЛ СВУТ │
│ │
│ ь з ь д д в б │
│ЗОЩ ПРУС ТЫЧ ШУН ГЕТЬ ПЛАТЬ ПРЁХ ПЛЕМ ФСЕР НЯП │
└─────────────────────────────────────────────────────────────────────────┘
Таблица Б.888
┌─────────────────────────────────────────────────────────────────────────┐
│ з з жь д ыв о д │
│ХОЛ ТЮСЬ БЕСЬ РУШ КРУТ ШИФ ЧЁЛ НЫР БАЙ ЗЕТЬ │
│ │
│ в в б │
│ТЯФ ЛЮНЬ ЯЦ СОСТЬ ШАФ ТАР СОЛ ЗУПЬ НЯХ ТРУНЬ │
│ │
│ ь жь в з в в о ь │
│ДИН ЕЧ РУН ФОШ ЖАФ МОС ФЕФЬ НИФЬ МЫНЬ ШЁЧ │
│ │
│ ь д в э │
│РЕЩ ТРЯР ПОЦ ЗЮТ ПУФ ВЯН ПЯЙ ШЕЛ ЗЯЦ ТРЫЦ │
│ │
│ в б в о ь в з б │
│ДАФ ДЯПЬ ФСУХ ЧЁЩ ВУФ ДЁМ САС НЁПЬ НАЗНЬ ВИР │
└─────────────────────────────────────────────────────────────────────────┘
Таблица Б.889
┌─────────────────────────────────────────────────────────────────────────┐
│ б з в эг │
│ЛУПЬ ГАНЬ ФОС ДЕЗНЬ ЗУХ СТАФ РАЦ РЫМЬ ЗАЙ ЖЕК │
│ │
│ б д г б д г │
│ТЫП БИРЬ ДОТЬ ТРАНЬ МЕК МЁП ПЯЛ ЛИЙ ЧТЕТЬ РЕК │
│ │
│ ь в б ь │
│МАРЬ ЦАЧ БЯФЬ НАНЬ ПЫСТ КОП СКАЙ ЕН ЧИЧ ВАЛЬ │
│ │
│ жь з в э д г з эз │
│НЮШ СКЕСЬ ЧТУФ ШЕХ ТРЮН СЁТЬ ПАК БАСЬ ЖЕС БЯР │
│ │
│ в жь ь б в │
│БУРЬ БЫХ ПЁФ ХАШ КЕР КУЧ ВЕП ТИЦ БЫН КИФЬ │
└─────────────────────────────────────────────────────────────────────────┘
Таблица Б.890
┌─────────────────────────────────────────────────────────────────────────┐
│ яг в сч яб з │
│ ТУЙ ЖАЙ ЧАК ДЫЛ ШАЙ КРАФ ЩЁП СЫСЬ НЕЦ СИЦ │
│ │
│сч о в з д д б в │
│ ЩЁЙ ТРИФ ТОСЬ ТУТЬ ХОЦ ДИТЬ ДАПЬ ВЁФЬ ДЕР ШТИМ│
│ │
│ б в з б жь з в │
│ ФАПЬ ДИФ РЯХ ЁС ТУСТ ЦУП КОШ ВЫС ЧЕМ РЕФЬ│
│ │
│ д г в д б в в │
│ МИНТ ГОК ФСЁТ ЧТЫП ТРЕНЬ СЫФ СЯФ ГУМ ЛУЙ БОМ │
│ │
│ жь │
│ НУМЬ ШТЕЛ ПРИНЬ БЯН ПРОЛ ТЕР КАН РЁР РЮШ СОЦ │
└─────────────────────────────────────────────────────────────────────────┘
Таблица Б.891
┌─────────────────────────────────────────────────────────────────────────┐
│ б в в о ь жь з │
│ДИПЬ ГЕХ ГИФЬ ВОФ ЖЁЩ ГАЛЬ ЛЮШ ЧТУЦ ГОС ПЮСТ │
│ │
│ д з д ь д з │
│ПОТЬ ТРАСЬ КОЛЬ ЗНЁТ ЗУЛЬ МАЧ ЛЫТЬ ДЯЦ ВЫР ТЯСЬ │
│ │
│ д э ь д ь жь ы жь │
│ГУРЬ ДЫТ ШЕЧ ЦУТ ТОЙ ЦОЛЬ ПЕЩ ЗИМ МЮШ ЖИШ │
│ │
│ ы жь б юд з д з │
│ЗЕЛ ЖИЛЬ ДЫШ РЯН ЛЕПЬ ЧУТ ФЫС НОТ ХОСЬ СОЦ │
│ │
│ д з г ь ь г б │
│ЛЯТ ВАСЬ ДЛЕК НЁХ ХОЧ НИЙ ЛИЧ ДЫК ДОЙ ТЮП │
└─────────────────────────────────────────────────────────────────────────┘
Таблица Б.892
┌─────────────────────────────────────────────────────────────────────────┐
│ д я ь д б г │
│ЧТЕТ ЧАМ СУЩ ДЁТ ХЕЛ БУЛЬ БАХ КАП НЕК РАХ │
│ │
│ жь в з б з д в │
│ЗАН ЛАШ РАФЬ ТИСЬ РЫНЬ СЁПЬ ТРЮС ХАНТ ГУЙ ХУФЬ │
│ │
│ жь г в б ь д │
│РИШ ДЁРЬ ДЯК КЕФЬ ТЭН МАР ПРЯП СУЩ ЗНЕТ МЮЙ │
│ │
│ з з г жь д │
│РЯС СВОСЬ ЦОРЬ НЁЙ ЖАК СЕШ ХАЛ НИНТ РЕМ МЁМ │
│ │
│ ь з ь б в б з │
│НИЩ ВУСТ СТОС СВЯХ НУЧ НЫПЬ БЯФ ФИП ДАМ БУСЬ │
└─────────────────────────────────────────────────────────────────────────┘
Таблица Б.893
┌─────────────────────────────────────────────────────────────────────────┐
│ б д з д ь д │
│СТАРЬ СУПЬ РИТ ТАР ТРИС НЯЛЬ ТУЛЬ КУТ ЗУЧ НУТ │
│ │
│ г в д сч юд │
│ФАЛЬ СКОК ШТОН ПЮЛЬ ТРУЦ СЯФ ЛЕЛ ГИНЬ РАТ ЩУТ │
│ │
│ з ы в г д з ы │
│НУМ ПРИСЬ ШИЛ ЧИФ МЯК ФУТЬ ШАСЬ НИР ШИН ЗОЛ │
│ │
│ д жь сч юз с д в з ь │
│ДРОТЬ БЯЙ ГОШ ЩУС ЗДИТ ФСАМ БОС СТАЙ ТРЮЛ МЯЩ │
│ │
│ в б в г в об │
│ЧТЫФЬ РУЙ ПРАП РЕНЬ РИЛЬ ЁФЬ ДУЛЬ ПРЫК ЯФ ЧЁП │
└─────────────────────────────────────────────────────────────────────────┘
Таблица Б.894
┌─────────────────────────────────────────────────────────────────────────┐
│ з з в г │
│ЛЁХ СКЕМ ЕС ФСЯСЬ ТУНЬ ВЫЙ МУФ БЕНЬ ЛИРЬ ДЯК │
│ │
│ д г з з │
│ЗОТЬ БИК ПЛЕЦ ПЮСТЬ ТЁЛ ВУЙ ТЫС ЗЯЛЬ НЯСЬ МОРЬ │
│ │
│ д д ь жь ь д │
│СЫТ КРУТЬ ПИЧ ЛОХ ПРЮШ БОЩ СОЛ ЗЁЛ ЗАЙ ТЭТ │
│ │
│ з з и в г в │
│ФАХ ТРАН ДВАМ РУХ ШТУС ЛУРЬ ХУСЬ ЦЫН ФСИК ПЯФЬ │
│ │
│ в в з │
│КУЛ ТАР СТЯФ ЮРЬ ЧТАМЬ ПЫФ ДЮЛЬ ВЁЙ ВИХ ПУСЬ │
└─────────────────────────────────────────────────────────────────────────┘
Таблица Б.895
┌─────────────────────────────────────────────────────────────────────────┐
│ з в о ь сч я д э │
│ САСЬ КЭФ ШЁН ПОЧ ЩАЛЬ БЮМ ТАЛ СКОТЬ ШЕМ ФОМ │
│ │
│ ь в д г жь з г │
│ ВУХ ЧЕЧ ШУФ НАНЬ БЁЛЬ ТЯНТ МЕК ШТЕШ ЮСЬ ЁК │
│ │
│ б в б б д │
│ ЗОЦ КИП НЫФ РЁЙ ВЮП ВЯПЬ ЛОНЬ САНТ ПЛОМ РЁТ │
│ │
│ д жь г │
│ ТРЕМ ТЁЦ КРАЦ БАТ НЫШ ВОЛЬ ШУК БЫН ПОН ПЕЛЬ│
│ │
│сч о з ёд жь с жь з │
│ ЩЁМ ДЛАС ШОТЬ ПОШ СИХ ЗДАХ ХИЙ РЫШ ФЕСЬ ПРОХ│
└─────────────────────────────────────────────────────────────────────────┘
Таблица Б.896
┌─────────────────────────────────────────────────────────────────────────┐
│ г з в з ь │
│СКОР БЯК ДЕСТ ДАСЬ НЕФ САРЬ ВИНЬ ГАХ ЖУСЬ ВАЩ │
│ │
│ з в д ь в б з │
│ПРЕН ШУС ФСЕТ ТЯН САЩ РЮФ ЛАП НАСЬ ДЯЦ ТЕЗНЬ │
│ │
│ з б д в эд в д │
│СТИС ПЫМ ТЫПЬ ВУНТ ПРЕФ БЁМ ЖЕТЬ БУФЬ ДЕМ СЮТ │
│ │
│ б г б ыд з жь │
│МИМ ЮХ ЧИЛ ЛУП СЯК ПРУП ШИТ ТОС ЗИШ БЫР │
│ │
│ б в г з г │
│ШАЛ СВОН КЕП ДЕЛЬ ГАФ ШТАК ДОС МИН РЯК ДЁЗНЬ │
└─────────────────────────────────────────────────────────────────────────┘
Таблица Б.897
┌─────────────────────────────────────────────────────────────────────────┐
│ г з з сч я жь д жь │
│МЯР НАК ПЁСЬ НОЦ ПРОЙ КАЙ БОС ЩАШ НИТ ТЫШ │
│ │
│ в з г жь э д г │
│ФЕФ СЫС КАНЬ СКЕЙ ГАК БЕН ВУШ ЖЕНЬ СТУТЬ НОК │
│ │
│ ь с в │
│СЭЛ БЫХ ВЫЧ СОХ ШУЦ ЗДАМ ФАНЬ ВЕФ СЭЛ ЗОР │
│ │
│ б г з в з │
│ЗИЙ ДЛИП ТАНЬ ГИК ГОРЬ ДАН ТЕЛЬ ЗНОСЬ КАФЬ КОС │
│ │
│ з з з сч г │
│ЛОР ЦУС ТАСЬ ЁЛЬ МЫР ШТЫХ ВОСЬ ЩИК ХАЗНЬ ПЛЁЙ │
└─────────────────────────────────────────────────────────────────────────┘
Таблица Б.898
┌─────────────────────────────────────────────────────────────────────────┐
│ э жь б жь ь б │
│ЦЕН ЗЫМ ПРИШ НУПЬ ФЫН ХЕЦ ЧЕНЬ ДОШ НЮЧ ВАПЬ │
│ │
│ д г з ь г │
│СЁТ ВУК МЫЦ СОЗНЬ ЖАС ЗЭЩ ДВАК МАМ РЮНЬ ЗУМ │
│ │
│ в о жь в жь я д │
│БЯФ ЩЁЛ ПУШ ПАМЬ ФСЯШ ЧАЦ БАЛЬ СТЭТ ТИРЬ ШТИЛ │
│ │
│ в ов з в │
│РИРЬ СИЛЬ ЛЫФЬ ВЕЛ ЛЁЙ ЖЁФЬ ДЯСЬ РЁЛЬ МУЛЬ КУФ │
│ │
│ эд д д д │
│РЫН РЕР ШЕТ ЧТАЙ ЦУР ВЁТ ТАЦ ЧТАТ ДЮЛ СЕТ │
└─────────────────────────────────────────────────────────────────────────┘
Таблица Б.899
┌─────────────────────────────────────────────────────────────────────────┐
│ ь б з д г з в │
│ТЫЧ НОПЬ РЁХ НИСЬ НЯМЬ ПЛАТ РЫК РАМ ДЯСЬ ХАФ │
│ │
│ б з б д │
│СУН РУП РЯЛ ПЕС ЛЯРЬ БЫРЬ РИП МИЛЬ ТРЕТ ХОН │
│ │
│ ю в з в в в з з │
│ЧУЙ ФУФЬ ЦАС НИФЬ ПАФ ЛИМ ЛИФЬ КОС БИР ДРОС │
│ │
│ г в б сч ь │
│ТРЁК ТЯНЬ НАФ РАМЬ МЁЛЬ ШАПЬ ЩИЛЬ РУЩ ЯРЬ КРИН │
│ │
│ ь д б ь │
│ФОЙ ЗЕЧ ДУМЬ ЗУТЬ НЯР МЯПЬ ВЫЩ ГЕР БУМЬ ПУМ │
└─────────────────────────────────────────────────────────────────────────┘
Таблица Б.900
┌─────────────────────────────────────────────────────────────────────────┐
│ д в з ь б б б │
│ЕТ ЗЮЛ ФСАС ТРЫЧ НЯРЬ ХИП ТРИП КРОХ БЮЛЬ ДИП │
│ │
│ сч я з д и б б в з │
│ЧТУЛЬ ЩАЦ ХАСЬ ДЛАТЬ ПЯНЬ ШЫЦ ГУПЬ ЗНОП КУФ ЛЮСЬ │
│ │
│ з б з жь б │
│РОСЬ ПЫПЬ ЗЫСЬ ЧТЕН ЛЕШ ТРЯП ЛЁЛ ЛЫМ КИЦ ЕЙ │
│ │
│ о г с д сч д з │
│ТРУНЬ ЧЁЦ ХАК ЗДЕЙ СВЁТ ЁЦ ЩЕЛ ЗАТЬ ДЫР ФИС │
│ │
│ в д д жь б в д │
│ТЁМ ПЮФЬ ГЕТ ПЕТ СТОШ ХОПЬ ПРЫФ ТУХ ТРАМ НУНТ │
└─────────────────────────────────────────────────────────────────────────┘
Таблица Б.901
┌─────────────────────────────────────────────────────────────────────────┐
│ б с б ь ё з жь б │
│ГИПЬ ЗЕХ ЗДАП ХАЧ ШОХ СОСЬ ЗОШ ЛЮПЬ КАСТЬ МЁХ │
│ │
│ жь з д ов г б │
│МЕШ ЯС БОТЬ ЧЁФ ЗЯК ЛЁНЬ ЮЦ РОЦ СВАР ДЕП │
│ │
│ з з д в в │
│ВЫС ШТИСЬ ХИЛ МЯТ РОН ФСЕН ДЯН СЫМ ДЛАФ СТОЦ │
│ │
│ г д в в │
│ЛЕН СКУМ ДОР ВУР ЁК РЁТЬ РУФЬ ТУХ ЛЯМ ХУФ │
│ │
│ ь д д в в в │
│ЛОРЬ МЫЛ ВЫЙ ПЯЩ ТЮТ ПРОЦ ДВАТ ПЕЛ СЁФ ФСОФ │
└─────────────────────────────────────────────────────────────────────────┘
Таблица Б.902
┌─────────────────────────────────────────────────────────────────────────┐
│ в ы з з ь жь │
│ПЯФ ШИЙ СУЛ БАНЬ НУЦ РЯС ТАС ЗИЧ КЕШ ТИСТЬ │
│ │
│ и эб б г │
│ЦЫЙ ТУМ ВОХ ШЕП ХОЛЬ ЗЫРЬ ТРЯПЬ РИР ФЕК БАН │
│ │
│ д в з в д г │
│ТРАР ТЕТ МЮФ ЗНУН НЫСЬ ЁФЬ ЛЕР ТРЮЛЬ ГУТЬ НЯК │
│ │
│ в д ь д сч д в │
│МИФЬ РУТ ЧТЭТ ТУЩ ГАНЬ ДАМЬ ШАРЬ ХЕТ ЩЕТЬ ГОФ │
│ │
│ в в в з ёв з д │
│МОФЬ ГЕФ ПРЮХ СВУМ ТЭФ КАСЬ НЯРЬ ЖОФ РАСЬ КАТЬ │
└─────────────────────────────────────────────────────────────────────────┘
Таблица Б.903
┌─────────────────────────────────────────────────────────────────────────┐
│ з г д з сч я з │
│ДЕСЬ ЛИР БЁК ШТОТЬ САМЬ НАР ЖАСЬ ТАЦ ЩАЛ СКЕС │
│ │
│ б в ь в з г ь │
│ТОРЬ РЕПЬ БЁР ВОСТЬ ДЯФ СИЧ ЗУФЬ ПЛИСЬ ФОК БУЩ │
│ │
│ з в ь з з д │
│БЫС ЛУФ ФУЧ МИС ПАСЬ РЫЦ ЕР РУЛ ПРИТ ЗУНЬ │
│ │
│ ь ь эд г з г д │
│ТЁЩ ЛОЧ ХУЛ ЗОЛЬ ШЕТЬ ВИК КРЫС БАЦ РЁК НЁТ │
│ │
│ в з г д ь ы ь │
│ЛЕФЬ КРОМ ЛАСЬ ПЛЫК ЦАТЬ КУЙ ЦУЧ ЧТАЛ ШИЧ МЯМ │
└─────────────────────────────────────────────────────────────────────────┘
Таблица Б.904
┌─────────────────────────────────────────────────────────────────────────┐
│ ь з д ь з з │
│СТЫЧ ПЕСТЬ ДЫС ЛУТ ДУМ ТАНЬ ДЁЧ ХАС ЗОС ЧТЕЛ │
│ │
│ яд д з з ыг │
│ДЫСТ ЧАТЬ ГОМ ДРЕТЬ ВЮР БЯС СТАР ЖУС ЖИК СУЗНЬ │
│ │
│ г в з жь ь ь │
│БЮН НАХ ВАК САХ ФСЕС НЯШ ПУЧ ЧТУЙ ДУЧ ПОРЬ │
│ │
│ д з б б в │
│СЫХ НОТЬ ПУЛЬ СЁЙ СУСЬ ТРЁП СЕЛЬ НИП ПОН МАФ │
│ │
│ в в з с з ыз │
│ЧУМЬ НЫФ ВЯФ ЦОЙ ДАС ПЫЦ ЗДЕС ШИСЬ ПРЫЛ ТРУХ │
└─────────────────────────────────────────────────────────────────────────┘
Таблица Б.905
┌─────────────────────────────────────────────────────────────────────────┐
│ ё э г з │
│ШОЛЬ ВЯЙ НЕНЬ КАЦ ЖЕН СЯХ НУНЬ КИК РЫС ПРЕНЬ │
│ │
│ з г д з в з │
│ДЕС ТРЕН ЗАХ ГЕК ТРИТ ПЮМ ЗЮС ПИЦ БУФ ЧЕСЬ │
│ │
│ в в з з ь │
│ВЁНЬ НОСТЬ ВАФЬ ВУФ ДЛИН РЯЙ ПРАС ЧИНЬ ШУСЬ НИЩ │
│ │
│ жь ь б │
│КОС ЗНОМ ШТАЙ РЕЛЬ СТЯЛ ФИШ ТЯЧ ФАЙ ГУМ НЕПЬ │
│ │
│ сч о д сч ю б │
│РЮХ ЛОЦ ДЮРЬ ЩЁХ МОТЬ БЕМ ФЫЛ ТЁР ЩУРЬ ТЫПЬ │
└─────────────────────────────────────────────────────────────────────────┘
Таблица Б.906
┌─────────────────────────────────────────────────────────────────────────┐
│ э з ё д д д │
│КАЦ ТЁСТЬ ШЕМ ТИСЬ ШОМ НЮТЬ БУТЬ САТЬ ПРЫЛЬ КРАТЬ │
│ │
│ ь жь жь з г з │
│СЁМ ВУЩ ЛАЛ ВЕШ ВУШ ПЕСЬ ТИМ ЗОЛ ПЛАК ЖАСЬ │
│ │
│ ы г з з жь д д в │
│ШИНЬ РЯК МЕСЬ ЧТАС НУШ ВИЙ НИТ ТРАТ ВЫФЬ ФОЛЬ │
│ │
│ д б д ь д ёд з │
│ДЯНТ ЧТУП ПРЮТ ВЫЩ СТОТЬ ЖОТЬ НЕСЬ ПОХ ЗЯЛ ЗИЛЬ │
│ │
│ з б б ь з │
│ПЭС БЮРЬ ЗОЙ ДЯП РОН ДОПЬ ТЁЧ ДЛЕМ СУМЬ РАСЬ │
└─────────────────────────────────────────────────────────────────────────┘
Таблица Б.907
┌─────────────────────────────────────────────────────────────────────────┐
│ г ь в в │
│ДАЛ НАЛ ЗОХ ДУК РЕНЬ МЫЧ ФСОХ ХАНЬ ХАФЬ БЯН │
│ │
│ ь б в з │
│ЛЯЩ ГОП ФЕРЬ САР ЛАЦ ЯФ ЖУРЬ КРУС РИЙ МЮХ │
│ │
│ в ь в г в │
│ДУФЬ ГАЦ НОЩ ЧЕФ ТЫК ПАЦ ЗАМЬ ФАН РЫЦ БЮФ │
│ │
│с д в ь с з з д б д в жь │
│ЗДЯТ ПОФЬ СЕЧ ЗДОС СТЯС ХОТЬ БЫПЬ ТЮТЬ НЫФЬ ЛЫШ │
│ │
│ з ь ь з │
│ХИН ДВИЙ БЁС КАР МЯНЬ ПЯЧ ТОЧ ЩИСЬ НИМ ДИЛ │
└─────────────────────────────────────────────────────────────────────────┘
Таблица Б.908
┌─────────────────────────────────────────────────────────────────────────┐
│ б в г д д │
│ЛЮП НОЛ ВУЛЬ РЯЛЬ ПУЛ СОФЬ ДРАК РЁЛ ДЭТ ВЕТЬ │
│ │
│ з в ь д б г │
│ШТОСЬ ТРИР ЗНАР БАФ ГЕЧ ДЮТЬ БОРЬ ХУП РУК ГОЦ │
│ │
│ в г в ь жь в │
│ЦУФ ШУК МЯФ ПЮЗНЬ ЛЁЩ ФЫР БЫШ ЁХ ШУФЬ ЛЁР │
│ │
│ од ь з жь │
│ЁЛ ЧЁТЬ КАСТ САСТ ПРИЧ СКИР НАС МАМ МАШ КЕХ │
│ │
│ ь д в жь з жь б │
│ВАЧ ШТАМ ЦОМ НЕТЬ ТОФЬ СЮЙ ХОШ ЕС СВАШ ГЕП │
└─────────────────────────────────────────────────────────────────────────┘
Таблица Б.909
┌─────────────────────────────────────────────────────────────────────────┐
│ жь эд ь з д д │
│ПЮЙ ТРУШ ЦЕТЬ ДАЩ СИСЬ ТАЛ СЭМ ТЫТЬ ЛЕТЬ ЛОНЬ │
│ │
│ з сч я ь жь г б │
│ДЕСЬ ТЯЛ ЩАР ТРЯН МИЧ ТЕШ СВЕН СТУХ ЗЁК РЮП │
│ │
│ б з ы б в б б │
│ПЛИП БАСЬ ЖИЙ ДЛАН ПРАР ВОП ФСЯЛ СКАХ ЧИП ХЕП │
│ │
│ з г в сч б яз э ь в з │
│ЗНУХ ТАСЬ ТРОК ТОФ ЩЕП ЧАСЬ РЯХ ЦЕЧ ВЯФЬ ЮС │
│ │
│ з д г г з │
│МЁЦ ТУРЬ РЫС ДЯХ НОНТ СТАМ СЫРЬ ЛЫК ДЁК ЗУСЬ │
└─────────────────────────────────────────────────────────────────────────┘
Таблица Б.910
┌─────────────────────────────────────────────────────────────────────────┐
│ з б д з в з │
│ЛЯЛЬ ВОСТ КУСЬ ДИПЬ ФИТ ПЕМ ФУСЬ ФСИСЬ ТРЕЙ ЧТЕХ │
│ │
│ д жь в │
│БЯЦ БАМЬ ШТУТ СУХ НУР САШ ГОНЬ ЧИФ ШУНЬ ЧТЫР │
│ │
│ в з жь э жь в д э │
│ГАМЬ НЯФ ПИС ПРОШ МОЦ ШЕШ ПРИФ НИТ НЁМЬ ЖЕМ │
│ │
│ г ь з в │
│ЗЕК КИН ПУР ШАЧ ЛИС ПЫРЬ РЭЛ ВЁЛЬ РУФЬ НЯН │
│ │
│ з б юб д жь д сч б │
│ЗЭС ПАНЬ ТРЕПЬ ЧУПЬ ШАТ СЯШ КАТ ЩИПЬ ЗЫЛ СЭК │
└─────────────────────────────────────────────────────────────────────────┘
Таблица Б.911
┌─────────────────────────────────────────────────────────────────────────┐
│ г в │
│ДЕН ТРУМ РУК МИРЬ НЫЦ ЁМ ЧТЫН ДРОН ЛЮФЬ ДЛОХ │
│ │
│ г з в б в в з │
│ЗУК СЯС ШУФЬ МЁПЬ ТРЫХ БЁНЬ СЕЛ ТУФЬ ВАФ БУС │
│ │
│ б д б в г з │
│СЮПЬ КАТ КАР ГИП ЗАЛЬ ДАМ МАРЬ САФ СЫК ЧТИС │
│ │
│ д ь сч ь жь жь │
│НУТ ЛУЩ ЩИЧ ГУЦ СВОЛ КРОШ ЗНАН ДЕМЬ МЫРЬ ХЕШ │
│ │
│ з ыз д з д б │
│ЦОН ДВАС ШИСЬ ТЕН КОТЬ КУН МЕС МУТ МОП ЛИР │
└─────────────────────────────────────────────────────────────────────────┘
Таблица Б.912
┌─────────────────────────────────────────────────────────────────────────┐
│ д ь б д д │
│ТЁТ ПРИЦ ФАЧ ФЭП БЕР НАТЬ СИТ ПЕХ КИН ЗУРЬ │
│ │
│ д д б в б в ь г │
│ГЕТЬ ЖАМ ПИТ ХУПЬ ЖАФ ДИСТ НЯП ШТЕФ РАЧ ШТЕК │
│ │
│ ю г з д д з жь │
│ЧУН РЮК ЗЕЙ ВУСЬ РЕТ ЮТЬ НУС ФОК ЮШ ШУЛ │
│ │
│ ь ь оз б д б в д │
│СОЩ ЛИЧ БИМ ЧЁСЬ ЛЁХ ТЫП ВЁТЬ НЁП МЮЛЬ ФСАТ │
│ │
│ жь в жь │
│ДЯЛ ЗАШ ФЕЛЬ ФСЮЛ ПРЯШ СТЕР БЫМЬ ЛЁМ ПАЦ НЫЛ │
└─────────────────────────────────────────────────────────────────────────┘
Таблица Б.913
┌─────────────────────────────────────────────────────────────────────────┐
│ з б жь в │
│ГЕЙ ЗЯЙ СИС КЕЦ БЯЛЬ РЕПЬ НЕМ ПУЛ БУШ ФСИХ │
│ │
│ б э сч ю с б г │
│НАМ РАПЬ ШЕН ЩУР ЗДОЛ НЯНЬ ПЛАП НЮЦ НУК ЛАХ │
│ │
│ ь ь в д б з з │
│ЛЫЦ САЗНЬ СТАЧ ЗОН РОЧ СЫФ ЧТУТЬ ЛЕПЬ СТЫС ГОС │
│ │
│ д д д д б д │
│ФУЛ ТЁСТ ТРЯТ ДЫЛЬ ПЛИТ ДОР ПРЁТ ВЫТ ВЯП ДЛЕТ │
│ │
│ б д г яв │
│ТИЛ НЕСТ ПЯЛЬ ВОХ ТРЮП МЮН ДУЛ ЧЕТЬ НИК ЧАФ │
└─────────────────────────────────────────────────────────────────────────┘
Таблица Б.914
┌─────────────────────────────────────────────────────────────────────────┐
│ з ыв ь сч яд б │
│ФОЦ ВАСТ ТУЛ ВЮС ЖИФ РИЩ ЩАТЬ ЛОМЬ ХИЦ СТУП │
│ │
│ ь в ь д │
│ТЫЦ ТРЕР РЯЦ ЗИЛ ЧИМЬ ПЫМЬ ГАЧ ПОФЬ ЮЧ ДЯТ │
│ │
│ ё б ы в в ёз │
│ШОН ЖУР ХАП ПРОМ ШИНЬ ФИЦ ТРОХ НЕФЬ НИФ ЖОС │
│ │
│ ь б сч в д │
│ЦОЧ СЕН ВУПЬ ВАЙ ЦУХ ЩИН СВЕМ РОР ПЁФЬ РУТ │
│ │
│ в э б ь з │
│ЧТАФ ЦЕР СОПЬ ЗЁЙ ДАЩ ПРЮС ДЮМ МЯХ ДЁЦ ХОЙ │
└─────────────────────────────────────────────────────────────────────────┘
Таблица Б.915
┌─────────────────────────────────────────────────────────────────────────┐
│ д ь г г э жь │
│ШАТ ТРИЧ ЛОК НОН ПАНЬ ВЫК ХАХ ВЕЛЬ ШТУМ ШЕШ │
│ │
│ жь жь г д д │
│РИШ СУРЬ СКИШ САЛ ГУЛЬ КРАК БАТЬ КУНТ СКОЛ ЗЫХ │
│ │
│ б ь в г │
│ЯПЬ БОН РЁН КАЧ ДЕФ БЮЛ ТЕК РУНЬ БУЛ ДУЦ │
│ │
│ б э в в в с жь д │
│ПЯЗНЬ ПЁПЬ ШЕМЬ ХОФ РЯФ ЕФ РЕЙ ГАН ЗДИШ БЯТЬ │
│ │
│ з з з ь д д │
│ПРУСЬ ЗНУСЬ ТОСЬ ПУЩ ТЫХ ЛЯТЬ ЗАРЬ ТЫТ ТИЙ БЫНЬ │
└─────────────────────────────────────────────────────────────────────────┘
Таблица Б.916
┌─────────────────────────────────────────────────────────────────────────┐
│в б в б с г б б б б д │
│ФСЕП ЛУФЬ ЛИП ЗДЕК МАПЬ БЮПЬ ВОПЬ НАП НОТ НИН │
│ │
│ б в д эз б д │
│ТРАХ НЯПЬ РОРЬ НУФЬ ЛЫТ ШЕС ГЕЛЬ ХЕПЬ СКЕТ ЗОН │
│ │
│ з эз жь о жь б б │
│ТЫС ЯХ ЦЕСЬ ДЫШ СОХ ЧЁШ ТЁПЬ БУН ЗАПЬ ВАЗНЬ │
│ │
│ жь б б сч о ь ь │
│ТАШ СТОХ ПОПЬ ЗОЦ ЮПЬ ЧТАЛЬ ЩЁЧ РИМЬ ЛАЧ ТОНЬ │
│ │
│ б ы г з ь з б д │
│ЗЕМЬ ДЮП ШИМ ПЁРЬ ЧТУК КРИС ЗУЧ КАС БЕП ВУТЬ │
└─────────────────────────────────────────────────────────────────────────┘
Таблица Б.917
┌─────────────────────────────────────────────────────────────────────────┐
│сч ь д в д ь б г │
│ ЩЕР ПРОР ПРЯН ФУЩ НЕНЬ ДЯТЬ ФСОТЬ ПАЩ ФЕП ДЛЮК │
│ │
│ юв з з │
│ ДУР ЗИНЬ РЫМ ЧУФЬ ТИЗНЬ ПЛОС ДЛАХ ПУСТ НЯЦ БЮС │
│ │
│ з од д ыб │
│ ТИЦ ЗАСЬ СТЯМ ШЁТ СВОХ ЗЯНЬ БЁРЬ РУМ СЭТ ЖИП │
│ │
│ ь ь в │
│ НЮЩ ТРЯХ ЧТЕЙ ЛОХ ВАЧ БУФЬ ФУХ МИЛЬ ЗЭН ВУЛЬ │
│ │
│ ё б в в ид │
│ ЖОЙ МЯХ ТИН ШАНЬ ГУП СЮФ КИФ БАН ПЫЙ ЦЫТ │
└─────────────────────────────────────────────────────────────────────────┘
Таблица Б.918
┌─────────────────────────────────────────────────────────────────────────┐
│ в г б б д │
│ТРОФ СИРЬ ЧТЭК ДЕХ РЫХ БАХ ЕР ТАПЬ ТЭП БЕТ │
│ │
│ г жь эб д │
│СОЙ ХОК ТРЯШ ДЕН ШЕП ФИТЬ МОНЬ КАЛЬ РЮН ГЕХ │
│ │
│ г сч з з г │
│ПОК ЩИС НИХ ШТАР ХАСЬ ЛОР СВАМ ХИНЬ ПРАЙ СЭК │
│ │
│ з в г г б │
│ЗЫС ЖУНЬ НЯСТЬ РАЦ РЁЛЬ ФСЕЛ ШТИК ТРЫК ТЯЦ ГАП │
│ │
│ в з в з жь д │
│ПЫР БЮФЬ ГИС КЕРЬ ДОФ ТРЯСЬ СТУШ БЫРЬ ХУХ СЯТЬ │
└─────────────────────────────────────────────────────────────────────────┘
Таблица Б.919
┌─────────────────────────────────────────────────────────────────────────┐
│ жь в ь с д │
│СИШ РЕФ ТУЩ ЗУМ ВЫМ ЗДАН ПРЕЙ ШУРЬ ДЕНТ ХУН │
│ │
│ д в э ь з ь д │
│ДЕХ СЫНТ КОФ ПОМЬ ЛЁЛЬ ЖЕЦ ВИЧ САС НАЧ ГОТЬ │
│ │
│ я б з д з б │
│ЧАЛ МЫП СЫСЬ ЧЕМЬ ТЕТЬ МИСЬ ЧИХ ПАПЬ ДЯМ ЛЯЦ │
│ │
│ д жь жь д │
│ДВЕТЬ ГАШ ПЁШ ЛЮМ ДОЛЬ ЁТЬ КАРЬ ЦАЦ ФАЛ МУРЬ │
│ │
│ ь з ы ь б б ёб │
│КРОЧ РЁСЬ ПЕЗНЬ ШИХ ВИЦ ШТОХ ЛЁЧ ДЕП РЕП ШОП │
└─────────────────────────────────────────────────────────────────────────┘
Таблица Б.920
┌─────────────────────────────────────────────────────────────────────────┐
│ д жь б д │
│РУТЬ БУШ ЗЁН ДАХ ЖАН СТАП НЁР ЯМ МЁТЬ ПЯН │
│ │
│ ь з з и жь з б г │
│МЮЩ ЗНУС ПЕСЬ ЦЫМ ВЯШ ЗНАМ БОСЬ НЕХ ВАП СКАК │
│ │
│ ь ё ь г з в │
│СУЧ ШОМ РЮЙ ТУНЬ ГУЧ ПЛИК ЛУСЬ ЛЯЙ КИФ СОЙ │
│ │
│ д в д з г │
│ЛЕТ НУН СЮЦ ДЁФЬ ХОМ ДРЕТ ПРУХ НЫС ЕНЬ ВЁК │
│ │
│ сч яб б │
│РЮХ ТРИЦ ЩАП ПРИЙ РАНЬ КУПЬ ПЮХ ФЫМ ВЫХ НЭР │
└─────────────────────────────────────────────────────────────────────────┘
Таблица Б.921
┌─────────────────────────────────────────────────────────────────────────┐
│ з сч я б д ь │
│ЕМ ТРЁН ХЕСЬ КАХ ЩАХ НЁП ЗУТЬ ТЯЩ ХОМЬ ТЭР │
│ │
│ ь б я жь в │
│ЛОЛ РОР ТАРЬ ЛИЩ КРАЛ ДЛАЙ СОП ЧАМЬ ГЕШ ВОФ │
│ │
│ из б о б д з д ё │
│ТЮЦ ЦЫСЬ СЯП ЧЁН ГАП ВУТЬ ПУЙ МЯСЬ РЯТЬ ШОР │
│ │
│ жь г ь в б в з в │
│РАШ ЗОК ХАЛЬ БЕМЬ НАЩ ФСЯП БОФ ПОС СТОР ГУФ │
│ │
│ ь юз ё ы │
│ХУЩ ЛУН КРУЙ ЗУМ ФЕХ ЧУСЬ ЛИРЬ РЮН ЖОЦ ЖИМ │
└─────────────────────────────────────────────────────────────────────────┘
Таблица Б.922
┌─────────────────────────────────────────────────────────────────────────┐
│ жь з ь д з │
│ ЗЕШ ШТЫСЬ ШТАЦ РЁЛ ХИР ВОЦ МЁЧ ВАТЬ ПЁЛЬ РЁСЬ │
│ │
│ ь з д д б д б д │
│ ДЫХ ПУЩ ГИСЬ ЧИТЬ МОТЬ НУП ХАТ ШАПЬ ВИН СЫТЬ │
│ │
│ в д б ы з │
│ ФУЦ СЕФЬ ПЯНТ ДЛЕП ТАЙ ТЫЛЬ ГЕНЬ ШИЦ ДЯХ ДИСЬ │
│ │
│ в сч д жь с г з д │
│ СКУФ ЩИЛ ПАТЬ ТОЦ СОШ ЗДОК НЭС ЗЮХ ТРЯЙ КЕТ │
│ │
│сч г б жь з жь б жь │
│ ЩЕК ЯП ПЫР ГАШ СУР ЁС ПЯШ ХОП ПРАЛЬ РЯШ │
└─────────────────────────────────────────────────────────────────────────┘
Таблица Б.923
┌─────────────────────────────────────────────────────────────────────────┐
│ д з д │
│ЗОР ВЕЛЬ НЯТЬ СТЫХ СКЕЛ СЫЙ ШУСЬ ДИРЬ ВЯР ПРОТ │
│ │
│ г д в г з │
│ЛЮЛ СИМ ЗИК КУТ НУХ ФСЁК ТОХ МЮР МИЦ ТРАСЬ │
│ │
│ б г з з жь д в │
│НЮЦ ДЯП ЗАН ФАК КИР СЮСЬ СВОС БАШ ЗАТЬ ДЮФ │
│ │
│ об в эб д сч ю д з в д │
│ЧЁП ТРЮФ ЖЕПЬ НАР РУТ ЩУЛЬ ДЁЛ ДОТЬ ЛАСЬ ФСОТ │
│ │
│ о в в б д │
│ШЁЛ ТУСТЬ БАНЬ ТИСТ ДАФ ПЕМ НИФ ДАРЬ БЯПЬ ТЕТ │
└─────────────────────────────────────────────────────────────────────────┘
Таблица Б.924
┌─────────────────────────────────────────────────────────────────────────┐
│ б с д в з жь б з в │
│КУЗНЬ ТУП ЗДЯТЬ МЯН ПЛЕФ БЫС РУШ РАПЬ ДЕС МЕФ │
│ │
│ б г б ь │
│НИЛЬ ЧТЫНЬ ДВИХ ДУПЬ ЛЯМЬ РИК ДЫН МУЦ РИП ТИЧ │
│ │
│ ь в ь ь жь з з ь │
│ЯЧ ВОМ ЛЕФЬ КАЧ БЫЧ ШТИШ СТУСЬ ПЛАХ ЖАС ТРЕЧ │
│ │
│ жь б в ы г │
│ПРЕШ НЯНЬ ЛЫЙ НУЗНЬ ВАП ДРЕН РУМ КАФ ШИЙ ЦАК │
│ │
│ в жь д з з эд │
│ТАФ ФУШ ПРЮЙ САТЬ ТРУСЬ МЫМ СВАЛ ПРЯСЬ ФЫЛЬ ШЕТ │
└─────────────────────────────────────────────────────────────────────────┘
Таблица Б.925
┌─────────────────────────────────────────────────────────────────────────┐
│ д д з жь д в │
│НОТЬ НЫТ ГУН ГОСЬ ЛЁШ ЗНАТ МАФ СЁР РЫЛЬ ВЫР │
│ │
│ жь д г д жь з │
│ВАШ ЕЦ ЧТАТЬ ЦОК БЫЙ ЮН СЭТЬ БУХ БЯШ КИСЬ │
│ │
│ з г ё з жь │
│ШАРЬ ФИМ БЕЛ ПИН ЗНЁС СТЕК ШОХ ВЁСЬ СОШ БЮР │
│ │
│ жь б б д з │
│ПРУШ ВАСТЬ ТРАПЬ ЗЮП ПИТ ПАМ МОС ЛЁНЬ НЕМЬ ТЁР │
│ │
│ б д д з з д в │
│ЦАЛЬ ЛАП РЕТЬ ЖУТ ЧТИСЬ ЗЫЛЬ НЕС СОНТ ЧТУФЬ БЁЙ │
└─────────────────────────────────────────────────────────────────────────┘
Таблица Б.926
┌─────────────────────────────────────────────────────────────────────────┐
│ г сч ю в в б │
│ТАХ ПЮК ЗОЙ ЩУН ВИФ ШУФ ТУЛ ПУХ ФАП СЮЛЬ │
│ │
│ ь д эб д ь в │
│ЗЭЛ ЛАН ДЁЩ ТРЯТЬ ЗНОН ЖЕП РЫТ ЛЯЧ ЛЯЛ КАФ │
│ │
│ з в д жь в ё в │
│ШАСЬ ТРАФ ЗОНЬ НЕТЬ ПЛАШ ЛУЛ ЗЫФЬ ЖОР БОФ ДЁСТ │
│ │
│ ь ь д ь д д ь д жь │
│ДЮЧ РЯЧ ПИРЬ ЦУТЬ САЧ ЗЁТ ДРОТ МЁЩ ДИТ ЛЁШ │
│ │
│ ь г г б жь з │
│ТУЧ ХЕК ПРАК ДЯПЬ ДИШ ТЮЛ ЗАР ЗИР КОС ТЯМ │
└─────────────────────────────────────────────────────────────────────────┘
Таблица Б.927
┌─────────────────────────────────────────────────────────────────────────┐
│ б в з в в б б │
│НУП ФСАН БЁСЬ ПЯЦ ВЫЛЬ СУФЬ МАЛЬ ЛАФ ДОПЬ ХОПЬ │
│ │
│ эз ь ь ь б │
│ЦЕС НЫЧ ВОМЬ КЕЩ ТАН ДАЦ СТОЧ КАПЬ БУХ СОМЬ │
│ │
│ з в ь г з ь д │
│ФЫРЬ ХУСЬ ЗЯРЬ СКАФ ТЮРЬ ХАЩ НИК ЕСЬ ПЫЧ ПИНТ │
│ │
│ д б д ы в жь з б │
│ВЁНТ ЧТЕР ШУПЬ КРЕТ ШИН ДЁМЬ РИФЬ ФЕШ МОС ЗЕП │
│ │
│ в б в в г б │
│ФУФ ЯРЬ ЖАЙ МЯП ПУФ ДОФЬ РЮЙ СТИК ТЫХ ГЕП │
└─────────────────────────────────────────────────────────────────────────┘
Таблица Б.928
┌─────────────────────────────────────────────────────────────────────────┐
│ г ёб жь д д д э │
│ЦУЙ МУК ШОПЬ ДОШ СОТ РЕТ ХИЗНЬ БЫЙ ВУТ ШЕЛЬ │
│ │
│ г б с г з г в │
│ФИК ЗАП ЗДИК ГОМЬ ЧТЫРЬ ДАЛ ШТАС ЁХ ТЭК НОФ │
│ │
│ г з д ь в │
│КАН ТРЮР ПАК ПУСЬ ГУТ СЯЧ ФЫЛЬ БУНЬ ХАМЬ ШАЦ │
│ │
│ д в з в │
│КУТ ЖУФ ПРОС ЮХ ТОРЬ ФСИЙ МЯР ТРЫЛ СУМ ПЕЦ │
│ │
│ в б жь з юг │
│МЁЙ ДИФЬ СКИН РИП СВОР ПЁН РЁШ ТРЕС ЧУК НЕМ │
└─────────────────────────────────────────────────────────────────────────┘
Таблица Б.929
┌─────────────────────────────────────────────────────────────────────────┐
│ в в в б │
│ЁЛ ВАМЬ ПРЯФ КОФЬ РЁРЬ РЕЛ ВЫФ КИЛ СЕП РЫЛ │
│ │
│ г д д б з з д сч юз │
│ДУК БИХ СИНТ ТРОТЬ БАП ХИС ТИСЬ МЮТЬ ЩУСЬ ШТЕЙ │
│ │
│ в з в б б г │
│БЕФЬ РЮС ВЕР КРОН ЮФЬ ЧИЛЬ ФОНЬ РОПЬ САПЬ ГУК │
│ │
│ жь г з з │
│ШУЙ БАШ ВЯК ЛИС РОЛ ПРЁН НЕСЬ БЯМ НЁЛЬ ТЁН │
│ │
│ э ь с д д я з │
│ШЕЧ ЗДАТ ШТОМ НАРЬ СЁЦ ЦУН СВЕЛ ЛЁТЬ ЧАХ ПЛЕС │
└─────────────────────────────────────────────────────────────────────────┘
Таблица Б.930
┌─────────────────────────────────────────────────────────────────────────┐
│ сч о д б жь │
│ХОНЬ ГАЙ НАЙ ЛАМ ЩЁР ДЛАТ ЧТАП ПРЮЛ НЯН ГЕШ │
│ │
│ ь з в д д │
│МИЧ СТАС СЫНЬ ФСЮХ ЧТУНЬ НЫТ СЮМ ГИТЬ ПОЦ ЛЮЛЬ │
│ │
│ ы в г │
│РАРЬ ЗНЕХ ПРУЦ ЖИМЬ ПОЛЬ НЯФ ЗОК ТЫР МАЦ НИЗНЬ │
│ │
│ жь д жь жь з з │
│ДВАН ВЁШ ТЫНТ РУРЬ ЧЕШ БЯМЬ ТРИШ ЛЁР БЫСЬ ДЛИС │
│ │
│ б з ёв жь сч юг б │
│ВАЦ СТЫЙ ВУП ЗУЛ ГАСЬ ЧОФЬ БЯНЬ НЮШ ЩУК ЛОПЬ │
└─────────────────────────────────────────────────────────────────────────┘
Таблица Б.931
┌─────────────────────────────────────────────────────────────────────────┐
│ д ь з эз г │
│МЯЛ ПЮНТ БЯЧ СВЯС СКИЛ НЫЙ РИНЬ ШЕС БЮК СТЕХ │
│ │
│ з б ё ь з в б жь │
│МЁС ПЛАЙ РОПЬ ЧОЧ ГЕС ВУФЬ ВЫЦ БЯП МУМ КРАШ │
│ │
│ з в ь ь б з │
│СЁСЬ ЖУЛЬ ХИФЬ ГУХ ШАНЬ ЖАЧ СОЧ ЧИПЬ ШТАСЬ ЦАХ │
│ │
│ д с д д ёб ь ы │
│СЫТ ЗДИТЬ СЕЦ ЗЕН СКОХ ДЕТЬ ШОПЬ ТОЦ СУЩ ШИМЬ │
│ │
│в г в в из в б з │
│ФСИЛ ДЕК НАФЬ РЯФЬ ПОМЬ ЦЫС ТРЁФ СУПЬ МЕНЬ СЕС │
└─────────────────────────────────────────────────────────────────────────┘
Таблица Б.932
┌─────────────────────────────────────────────────────────────────────────┐
│ б в д б в в ь з │
│ХОП МЮФЬ ЧТУН ХАТ ГАПЬ ЁФ БЫФ ВЯЧ САСЬ ЗАНЬ │
│ │
│ сч д з в б ь │
│БОЛ ЩЕН МИТЬ ПАЛ КУС ПРЯМЬ ЛЁФ ДЯР ДАПЬ ТРЕЩ │
│ │
│ ь сч оз з ь з в │
│ХУЧ ЩЁС НЯЙ КРУЦ ЧТЕС ЯЛ РЮЧ ПЫС ДРОХ ПУФЬ │
│ │
│ д сч яз б г б в │
│РЁТ ЩАС КОСТ ЗИП ЛЕК БАПЬ ГИЛЬ ПРЕХ ФСАЛ НОЗНЬ │
│ │
│ ь я з д в жь │
│ДАРЬ ХИЩ ЧАРЬ РЮС ДЛЕТЬ ЛЮЦ ТАЙ ЗУФ ЛИХ ПРАШ │
└─────────────────────────────────────────────────────────────────────────┘
Таблица Б.933
┌─────────────────────────────────────────────────────────────────────────┐
│ ь г г жь д в │
│ВОЧ ЗНИК КАХ ЛУМ ПРИК БОШ НИНЬ ШТИХ ТИНТ ВЕФЬ │
│ │
│ г д б жь б │
│ЗЫНЬ ТЭК КИТЬ САСТЬ МАН МЫХ КОП ФЫШ ТОХ ЗЯП │
│ │
│ з б жь с б б б │
│НУСЬ ТРЫП РУРЬ ШУШ ЗДАЦ ТРЁП ГУП ВЁЛ ТРАЦ ТУПЬ │
│ │
│ д сч д з з │
│РУЛ ТРЯЛ СИР ВОНТ ЛЕЙ ЩИТЬ ПОСЬ ПРУН ЛОН ЛЯС │
│ │
│ ь г д │
│БЫМ ГАЩ ПЁК ДИНТ ВЕХ ФОХ РЫЛ НЕЦ ШТЫМ ФИР │
└─────────────────────────────────────────────────────────────────────────┘
Таблица Б.934
┌─────────────────────────────────────────────────────────────────────────┐
│ жь ы ь │
│ПЁР ТЮН РАРЬ ЦОШ ШИХ ТИЛ ГУЧ ДВАХ ДЁН РОЛ │
│ │
│ б ь жь жь │
│ДЫНЬ БЕЛ НОП ТЁЧ ЮР ФАШ ЗЁР ТАРЬ БЁШ БУР │
│ │
│ жь эз б з д д │
│ЕШ ЖЕСЬ НАН НЕП КУР ЗНОС ЗУН РЫТ НЯТЬ СТЫЛ │
│ │
│ жь сч оз з б в д д з д │
│РЯШ ЩЁСЬ СТАСЬ СТАПЬ ДАФЬ ФЕТЬ ПРЫТ ЛОЙ ДЛАСЬ ТРОТ │
│ │
│ жь ь ь в в │
│МАШ НЁРЬ НАЩ ЗОЧ ТАФЬ ЛАР ХОН ДЮЦ СИФЬ БЮНЬ │
└─────────────────────────────────────────────────────────────────────────┘
Таблица Б.935
┌─────────────────────────────────────────────────────────────────────────┐
│ в д ыв ь в ь в ь │
│ЗАФЬ ПЯМЬ ДИХ СВОТЬ ЖИФЬ НИЧ ЧЕФЬ НЯЧ МЯФ ПЁЧ │
│ │
│ з д в з в │
│МАС ЗОРЬ ЧТЫТЬ КОФ ВАЛЬ ЛИМ КЕС САЙ ДОФ ПУЛ │
│ │
│ г д з э з жь │
│ФУК РЕТЬ ТЕЦ ДЫС ЦЕМ СОНЬ ЕНЬ ДИСЬ ЯШ ПЛЕХ │
│ │
│ ь б жь ю сч юз г жь д │
│ПУР ГИЧ БУП РЕШ ТЫЛЬ ЧУНЬ ЩУС ХАК ПЮШ ЖАТ │
│ │
│в з д ь ёд б │
│ФСЯС ВУЦ ЛЫЛ РИТ БУЧ ЧТАНЬ КАЛЬ ВАХ ШОТЬ ТЯП │
└─────────────────────────────────────────────────────────────────────────┘
Таблица Б.936
┌─────────────────────────────────────────────────────────────────────────┐
│ д ыв б з │
│ЛЮРЬ ПОТЬ ШИФ ЛАЦ ФЫЦ ЗОМЬ ПЫМ БАМ ДОП СТЕСЬ │
│ │
│ з з д в в ь │
│ХОМ ПЛАСЬ ТРУЙ ДРАС ТАМЬ ДЕЛ ФЕТ СЯФЬ МЯФЬ ЖАЩ │
│ │
│ ы з сч о │
│ХУМ ЗУЦ ВЯНЬ КЕЙ ВОМ ШИЛЬ ГУС ЩЁЛ КАР БЫЦ │
│ │
│ яб з д в сч ь │
│ЧАП ЗЕС НУМ СЮРЬ РИХ СЯНТ ЧТУР ВОФЬ ЩЕЧ ЗДОЙ │
│ │
│ з д б г з ь │
│ПЮН ПУМ ТРЫС РЫЙ ТЕТЬ РЁП ХОК БОСЬ ДЯЩ РЫН │
└─────────────────────────────────────────────────────────────────────────┘
Таблица Б.937
┌─────────────────────────────────────────────────────────────────────────┐
│ в г в с з з и жь │
│ПАФ ПРИН ЗАК ВЕФ ЗДЯН ЛУС ШАМ ЁСЬ ЦЫШ ПИХ │
│ │
│ б з в з д в г │
│ЖАМЬ ПРЕЛ ЛЯП ТУСЬ ФСУЛ ДЭС ШТЫЛ ДВЯТ НАФЬ ДЛОК │
│ │
│ г д в б │
│ПРЯК НУТ СКАЛ ТЯФЬ БЁН СОНЬ ТЕР ПАМЬ ТЁП ВОЦ │
│ │
│ б д д г в ь д б │
│ДОЦ НЫПЬ ДАНТ БИТ МЫК ГЕФЬ ТОЩ КРОТЬ НЯМЬ МЕПЬ │
│ │
│ з з д з б д в э │
│ВЫРЬ ТРЁСЬ ЛЁСЬ ПЕНТ РОС ЧТЕП ВЕМ СВАТЬ ТОФ ЦЕЛ │
└─────────────────────────────────────────────────────────────────────────┘
Таблица Б.938
┌─────────────────────────────────────────────────────────────────────────┐
│ в ез б з б з в │
│ЗЯФ ШОСЬ ФИРЬ ПРЫП ЛАН ВАСЬ ЮПЬ БУСЬ ГОР ФСЯН │
│ │
│ б з д │
│ШУР ГИР КРЕЛ БЕПЬ КАС РЮР ЛЕЦ ТОТЬ ЛУЛЬ ВИСТЬ │
│ │
│ з ыб б г в │
│ДИС ПЛИН ЛЫРЬ ЖИПЬ ГОП ГАХ РУК ТРЯЛЬ КУНЬ НЯФЬ │
│ │
│ д г г │
│НЮТ ЦУРЬ МЯЛ ЧЕР СТАХ ПРУК ДАК БУЛЬ ТРОЛЬ СТЫР │
│ │
│ в сч я │
│ХЕЛЬ ФОФ ЛИЛЬ НУСТ ЩАН ТАЗНЬ СЫЙ НЕЛЬ ГАЛЬ ТРИЛ │
└─────────────────────────────────────────────────────────────────────────┘
Таблица Б.939
┌─────────────────────────────────────────────────────────────────────────┐
│ б з жь в ь │
│НОПЬ КЕЛ ЧИСЬ ФАХ МОШ ТРЁХ ЧУРЬ ДЮХ ТЫФЬ ВУЩ │
│ │
│ в з д в ь │
│МАФЬ СЕС СКЕТЬ БИЛЬ ЯМ ПРАФ ЗЫЩ ТЫМ ПЕР РИЛ │
│ │
│ жь з в ё б │
│ЗЁШ ЧТЫС ФСИМ НЕН ДЯР ХУЦ ТАР ЧОХ ЧТАПЬ ЛЕЛ │
│ │
│ з в б з сч д о д │
│НИСЬ ГЕЛ ЦАФ СУР ПЫПЬ ЕН ХИСЬ ЩЕТ ШЁМЬ РИТЬ │
│ │
│ д ь жь б д жь г │
│ЗНИТ РЯЧ СТУН КОШ СИП МЫЙ МИТ ДАШ ПЕК ДИЦ │
└─────────────────────────────────────────────────────────────────────────┘
Таблица Б.940
┌─────────────────────────────────────────────────────────────────────────┐
│ ь ё д з г │
│СОЧ ШОНЬ ЯЦ НИЙ ХАЛЬ БАТ МЮСЬ РЕК ТЮР ШАН │
│ │
│ э ь эб д з б з │
│ЗНОР ЖЕХ НЫЧ ШЕПЬ ПЯТ ХЕСТЬ СЁН МИС СЫП ШТЕС │
│ │
│ з в ь з ь д з з │
│МЁСЬ РАФЬ РЁЧ КЭС НАН ЕЧ БЫНЬ ЛИТ БОСЬ ВЯС │
│ │
│ в жь б г б │
│РАН СВЫМ САЙ ДЫФЬ НЁМ ВЭШ ФУМ ВИПЬ ДЛИК ШТЕП │
│ │
│ д д ь г в ь │
│ДЁНЬ ЗУЙ САТЬ ЗИТЬ ЖУМ РУЧ ЗУР РЫК ТАФ ЗАЧ │
└─────────────────────────────────────────────────────────────────────────┘
Таблица Б.941
┌─────────────────────────────────────────────────────────────────────────┐
│ д ь з з │
│НЕХ ХИТ КРАЧ ЗЕНЬ ДЮС КЕМ БОМЬ ДЫРЬ ХАЦ ЗЁС │
│ │
│ з г д ь в │
│ЗЭМ ПЛОСЬ КАРЬ НЯК ПРЕМ СЁМЬ ТЁТ ФЕЧ МЯФЬ ЛЁРЬ │
│ │
│ жь в з б │
│ЁЛЬ ДЕШ ЛЕХ ЗЫР ПУФЬ ТЫСЬ ЗАП ГЕНЬ БЕН ПУН │
│ │
│в в г б з и │
│ФСАФ ЗЯР ПОК ШУХ ЦОП ФЫЙ ТОЙ НИСТЬ ЛЮС ЦЫР │
│ │
│ в б з жь в │
│БОРЬ РЯФ ПРАН БУП РОХ МАС ВИШ ГОФЬ ПРЫЙ ВЁН │
└─────────────────────────────────────────────────────────────────────────┘
Таблица Б.942
┌─────────────────────────────────────────────────────────────────────────┐
│ д жь я ь г в г │
│ ТРОЛ СТЕТ ПЕРЬ ЯЛ КАШ ЧАЩ ФУЛЬ НОК ЛЫФ НАК │
│ │
│ сч з в б сч яв б │
│ ЩИМ ТРАС МЯЛЬ ВЫФ ДЛОП ЩАФ ЯХ ШАЙ ЛАХ ЗИПЬ │
│ │
│сч я з з жь г д │
│ ЩАНЬ ЗОС ВАХ КАСЬ ЛИЛ ПИШ ДВЕК ЧТУМ ЗНУТЬ СКУН │
│ │
│ в сч жь з ыв в жь о жь │
│ СОФЬ ЩИШ ТРИСЬ ЖИФ ТОЗНЬ РЫФЬ ФИЛ ЗОШ ЖЁШ ТРЯНЬ│
│ │
│ в д д ь д б в │
│ ФСИТ ХИСТ ДЛЮТ ФОЧ МОСТЬ СЁТЬ РАЛЬ ПЁСТ ДЫП СЮФЬ │
└─────────────────────────────────────────────────────────────────────────┘
Таблица Б.943
┌─────────────────────────────────────────────────────────────────────────┐
│ э жь в б в │
│ВЫЛ ДЯН РЕЦ ЦЕШ СКЕР КАФ ВИЗНЬ ПРИП СТАФЬ ПЛЁХ │
│ │
│ г ь з иб ь з │
│ЗАК ПЁЛ ДЕРЬ НИЧ ТЫСЬ ШЫПЬ ХОЛ САЩ ДОСЬ КРУХ │
│ │
│ жь в з б з │
│НУШ ТЁХ ДЁЛЬ ДЯФ ХУРЬ НЁСЬ ГУХ РЮП РЁМ СЫС │
│ │
│ д г ь з б г д с д │
│ЛОТЬ ЦУК ТРУЧ СЭМ НАСЬ ТЕПЬ МУХ РЮК ДУНТ ЗДОТ │
│ │
│ б з б о д г │
│КОР ТУП НОХ ЛУС СТЫП ТРЕЛ ФАЦ ЧЁЙ ЛИТ БЯК │
└─────────────────────────────────────────────────────────────────────────┘
Таблица Б.944
┌─────────────────────────────────────────────────────────────────────────┐
│ в ь б з │
│ТАР ВЕЦ СВИНЬ ХОФЬ СТУМ САРЬ БЫЩ ЗНАП РИН ТЯС │
│ │
│ д жь д з б ь в эб │
│МИТ ШАШ ШУЛ ШТОТ ДУН ЕСЬ ЛУП СЮЧ ЖАФЬ ШЕПЬ │
│ │
│ ь ь д с г │
│МЁРЬ СВАЧ ВЕЧ ТЫЙ ГЕЦ ЧТАН СИТЬ ЗДЯК ВОМЬ ДРОЙ │
│ │
│ ь г б з │
│МЫН ТИМЬ ГОЙ РАЧ ПЯК НЕПЬ ЗУНЬ СЕС ТАН ГУНЬ │
│ │
│ з жь ь ёз б б │
│НЭС РЫШ ШТАЛ ТАЩ ЛЕЛЬ ШОС БЮМЬ ПЫХ ХИПЬ РЁПЬ │
└─────────────────────────────────────────────────────────────────────────┘
Таблица Б.945
┌─────────────────────────────────────────────────────────────────────────┐
│ в д д д б б з э │
│РУФ ДАТ ДИТ ШАТЬ НИП МЕП ВУСЬ ШЕН ВАМ НЯРЬ │
│ │
│ з г з з з д │
│ШТУСЬ НЁК ХАР МЮНЬ ЧТЕСЬ ГИСЬ БЫР ПОСЬ РЕТ ЁЦ │
│ │
│в о ю в эд в з │
│ФСЯЙ ЧЁМ СУН ЧУХ БАФЬ ЖЕТ ЗУФЬ ЗУМ ПАЛЬ ПОСЬ │
│ │
│ д г б д в │
│НУР БЯТЬ ЖАК ПРЯЙ ДАП БУТЬ ЧИЦ СЯСТ СУЦ ЧТЫФ │
│ │
│ ь в б жь │
│РУЙ БОЩ ТРЮЙ ПРОФ БЁЛ ПЕН ЛЯП КИШ ГАР БИЙ │
└─────────────────────────────────────────────────────────────────────────┘
Таблица Б.946
┌─────────────────────────────────────────────────────────────────────────┐
│ сч д д в в │
│ХЕНЬ СВЕХ ЩЕМ НУЛ ШТУТЬ РИХ ХУТ КИФ КОЦ ЗЕФЬ │
│ │
│ з з з г │
│ТРИХ ПРИХ ЧТЫСЬ СТЫСЬ РЯН МЭС ЗЭК ДОЙ РЁМ ПЁЙ │
│ │
│ д з в д │
│КИР ТИН БЯР ЗОЛЬ ПРАТ МЯС РОФЬ ВЯНТ ВУХ ШТОХ │
│ │
│ д з д б ь з │
│КРУН ХАТЬ ПЮС ЛУТЬ ЗАХ ДВАР СИП ШУЩ ТРОЙ ГАСЬ │
│ │
│ з в в б │
│КОЙ ЛЮН ДИС КУФЬ ПРЫМ ШТАН ЕЛ ПОФ ЦАЙ ХАПЬ │
└─────────────────────────────────────────────────────────────────────────┘
Таблица Б.947
┌─────────────────────────────────────────────────────────────────────────┐
│ з д о д в д д │
│ДЕЙ ХОС СУТ ЧТАРЬ ЧЁМЬ ВЕТ БЁФ ВЫН СЫТЬ НАТЬ │
│ │
│ г ыз д в г д │
│ЗЮК СУРЬ ЖИСЬ ТРАТЬ РЫФ ГУК ЧЕЛЬ ДРАЛ СКУТ ЧИЙ │
│ │
│в д д ь в в д б д │
│ФСАТЬ ПЛЁТ НЕЧ ФСИФ НАТ СОМЬ НИН ВЫЦ ЗОПЬ ДЛЁТ │
│ │
│ в ь б б д в г б │
│ДЯФЬ ЛАЩ ЯНЬ НОП ВЁП ДОЗНЬ ФАТЬ ТЮФ ФЫК НЯПЬ │
│ │
│ ь ё ь ь г д з б │
│РЫЧ ШОЛЬ СЮЛ ПЫЩ ЯЩ ВУК ЖУН БОТ ГЕСЬ ТУПЬ │
└─────────────────────────────────────────────────────────────────────────┘
Таблица Б.948
┌─────────────────────────────────────────────────────────────────────────┐
│ ь в сч з з │
│ФИЩ ТЯРЬ ГИФ РАР ЩЕЙ ДОХ ЁР ТАСЬ МОС ДАЦ │
│ │
│ ёг ь з │
│ТАЛ ЖОК БЕЧ САР МЁЛ ЦОР МАХ ЛЫСЬ ПУРЬ КЕЗНЬ │
│ │
│ эд б с в жь б б в б │
│ШЕТЬ ПЯР ПРАПЬ ЗДЯЙ ФСЮШ ТРЕП ЗЭП НИХ КЕФ РОП │
│ │
│ жь в з ь жь ь │
│ВАРЬ БОШ ТОФЬ СЮС ФУНЬ РОЧ МИШ ПАЧ БОМ СКЕН │
│ │
│ сч в э жь з э в г д │
│ЛЁМЬ ЩИФ ЖЕШ ВОСЬ ШЕЙ НЮФ ДЕР ЗИХ СЕК ЛЕТ │
└─────────────────────────────────────────────────────────────────────────┘
Таблица Б.949
┌─────────────────────────────────────────────────────────────────────────┐
│ ь б г з з д б з │
│ЗЯЧ ПЫП ТЁК МУЙ РЮСЬ ШАС НЕНТ ДОНЬ ПАП ЧТУС │
│ │
│ сч о б в жь │
│КАМ ГАЙ СТУР ЩЁЦ РЯП РЕЛЬ ЗЫФ ЖАНЬ ШАМЬ ТЁШ │
│ │
│ б б в з жь в │
│ПУЗНЬ МЯП ГЕПЬ ЛУФ ДЮСЬ ЦОЛ ПЛАМ НЕШ БЫФЬ ФЕЙ │
│ │
│ ь жь яг ь в г д д в б │
│ТОЧ ТРЁШ ЧАК ПИЩ ХАФЬ СВОК ПЕТ РЁТЬ ДЫФ ШУП │
│ │
│ д з в с д в д │
│ЗНУТ ЗУС ВИФЬ ВЯЙ ЗДОТЬ ЧИРЬ ХИФ ШУТЬ БЭЛ БАРЬ │
└─────────────────────────────────────────────────────────────────────────┘
Таблица Б.950
┌─────────────────────────────────────────────────────────────────────────┐
│ и д з г б сч яз │
│ЦЫЛ ГОМЬ ПРЮТЬ МЮЦ ДЛУС СЫК ЕХ ЛИПЬ ЛЯР ЩАСЬ │
│ │
│ з з ь б з ь б │
│МИЙ ЗНАСЬ РУС БУЧ ЧТИХ ПЭР НЁПЬ КРАС ЛЁЧ ТОП │
│ │
│ в в в б б г │
│РЕФ ЛОФЬ САФ НАМ ТРУПЬ НЯЦ МАЛ ПРЕП БЯМЬ ТЫК │
│ │
│ б г ь з │
│НЫП СТЕМ ЮМ ДЯНЬ ТОСТЬ ВОК БЯРЬ ПЫХ ДЕЩ НУСЬ │
│ │
│ д б жь б з з │
│ГУТ СОП ЛЯШ СТОНЬ БУП СЁЛЬ СЕСТ ФОРЬ ТРЯС ДУСЬ │
└─────────────────────────────────────────────────────────────────────────┘
Таблица Б.951
┌─────────────────────────────────────────────────────────────────────────┐
│ г д ь д д з │
│ЗНОК БЫЦ ТАМЬ ВАНТ ФЕР ПУЧ КРАТ ДАТ ДРАСЬ ВЯЛЬ │
│ │
│ б з ь │
│СУМЬ СЭП СЕСЬ ШАМ ЗАМЬ ЧЕН МЁН ЖУЛ ВОЛЬ ДЫЧ │
│ │
│ д жь д з │
│ФЫТЬ ТАР ЛЫНЬ КЕНЬ ФАР ПЕШ ЗЕРЬ ТЯТЬ ЗОХ ШТЫС │
│ │
│ в з б з сч ог г │
│ДЯРЬ ЛЁФЬ ЯС РОП ПРОСЬ ЛИН КУРЬ МЮЛ ЩЁК ДЕК │
│ │
│ г б жь о в г д з │
│БЮЙ ПЫК ХИН ФОП ВЫШ ШЁНЬ ТАФ ШТОК НАТ НУС │
└─────────────────────────────────────────────────────────────────────────┘
Таблица Б.952
┌─────────────────────────────────────────────────────────────────────────┐
│ з ь в г ыв жь ы │
│ЧТАСЬ ЗЁЧ ТЫФ РЕН ФСЯМ ФЭК ШИФЬ РЫНЬ МЯШ ШИЛЬ │
│ │
│ д сч з эд ь в э и │
│ЛЕТЬ ЩЕСЬ ЦЕТ ХОЩ ПЮЛ ТРУФЬ МУР ШЕР ШУЦ ЦЫХ │
│ │
│ жь ог д б в б г з д б │
│ГОШ ЧЁК ЗЯТ ВЫП СКОФ ХАПЬ СТАК ТЮСЬ КОНТ НИПЬ │
│ │
│ в д в з д │
│КУФ ЗЫЙ ТРЮРЬ РУЦ ПРЯТ ГАЛ РЯР ФСИС ТЁНТ МЕЙ │
│ │
│ з ь в ь ь в │
│ПЛЕСЬ ДЛЕН ДЯЧ СВАХ СЮХ ЧТЕФ БЕМЬ НЕЩ КИЧ ПАФЬ │
└─────────────────────────────────────────────────────────────────────────┘
Таблица Б.953
┌─────────────────────────────────────────────────────────────────────────┐
│ б д ь б │
│СВЫЛ НЫХ ВУЙ ДЛАП ЦАТ ЖАЛ ТИЙ ЕЩ ТЕП БУЛ │
│ │
│ ь з ь г д ыд │
│ЗУЛЬ БЯЧ СТОСЬ МОН ГИЩ БЯЛЬ ДИМ ХЕК ТЁТ ШИТ │
│ │
│ в б г б д в д д │
│ФИФ ДАП ЛЁК ЧТЫПЬ СОСТ ЖАЦ ЗИТ РЁФЬ ТУТЬ НЁТЬ │
│ │
│ б в б б │
│НОНЬ БЫП МЯЙ БОН ТРИЦ СОФ ГУРЬ ГОМ ЛАПЬ МАП │
│ │
│ я з з жь д сч я жь │
│ЧАЛЬ ВИС ЗНАС РУШ НЯЛ ТЕТ ЩАМ ПОШ ДЯСТЬ САР │
└─────────────────────────────────────────────────────────────────────────┘
Таблица Б.954
┌─────────────────────────────────────────────────────────────────────────┐
│ ь сч д б г ь ид │
│ШТАЧ ЩЕРЬ РОНЬ ФИТЬ ЛЕП НУК ВУЧ БАЙ ТЫНЬ ЦЫТЬ │
│ │
│ з б в в оз з з │
│ЗУСЬ РЕХ ЧТУПЬ КРУФ ШУР ГАФ ШЁСЬ ПЕС ДОС ПУЛЬ │
│ │
│в д д д ы ь в ь │
│ФСЫТ СТЯТ ВЕН РОХ ДВЯТЬ ЖИЧ ТРЯФ КОЛЬ ПРАЛ РИЧ │
│ │
│ ь ь г в │
│ТРАЙ СУХ ЮЧ ДЯЛЬ ПРУЧ ЕР КУК ПИНЬ ЧИФЬ БЁЦ │
│ │
│ д г з д б │
│РИЛ ТРЫТЬ СКИЙ ПРЁК ДЁСЬ СИЛ ЛЯТ ПАЗНЬ ПЯХ ЗОПЬ │
└─────────────────────────────────────────────────────────────────────────┘
Таблица Б.955
┌─────────────────────────────────────────────────────────────────────────┐
│с з б с з б г з жь │
│ЗДЯСЬ РАЛ МЫПЬ ЗДОСЬ СЁП ХУНЬ ПРЮК РЕС ЮР САШ │
│ │
│ д з ь з в д │
│ДУН ПЛУЙ ВЕЦ ВОТЬ ТИС ЛЮЧ ВАС СЫРЬ СТУФ РОТЬ │
│ │
│ з ю ь з в з в з │
│БУС НАСТЬ ЧУЧ ДЮЙ НЯС НАЛЬ ЛАФЬ ЗАСЬ БАФ ТРЕСЬ │
│ │
│ эв г жь ь д д в │
│ЖЕФ ДЫК НИШ СЮЩ БЮЦ ТОТЬ НЕЙ ХУТЬ ЛОРЬ ЁФ │
│ │
│ з з д б з з б │
│ЛОС ХОС ТУЙ РЮТЬ НЫЛ ЕП ФУС ПАСЬ ГЕЙ МИП │
└─────────────────────────────────────────────────────────────────────────┘
Таблица Б.956
┌─────────────────────────────────────────────────────────────────────────┐
│ в б з ь │
│ТИФЬ СЁРЬ БЫПЬ ПРОН ДАС ТЮЧ ВОРЬ ТУЗНЬ НЯМ ВУЛ │
│ │
│ з д жь в ь в │
│ВЁСТ НЕЛ ПИЙ СУС НЯТ МИШ СЫФЬ ТЫЦ БЯЩ ХЕФЬ │
│ │
│ б з д в э з з д │
│ФУПЬ ДВЕС ЛАТЬ СВОФ БЯЛ ШЕНЬ ТОС ТАН ТЁСЬ ЛЮТЬ │
│ │
│ ы г жь з б б │
│ЖИРЬ МОК ЛИЛЬ РАШ ЛОН ДРЕЙ ЛУСЬ ХУН МЯПЬ ВИП │
│ │
│ г г б б д г │
│ГАК НЁК КЕПЬ ДОРЬ ЯП ЧИМ ПЁТ ЦОХ ГИЛ ЛЕК │
└─────────────────────────────────────────────────────────────────────────┘
Таблица Б.957
┌─────────────────────────────────────────────────────────────────────────┐
│ б в д д д сч д б │
│ПЯП ЛИФЬ КУТЬ ПАТЬ БЁМЬ ХИРЬ ЗНОТЬ ЩИЦ ЧЕТ КАПЬ │
│ │
│ сч юв жь б ь б ь │
│ТЫР ФИЙ КРАР ЩУФ ВАШ ПРЮП СТУЧ РОМЬ НЮП НУЩ │
│ │
│ д в з в │
│ГУЙ ВЯТЬ ЛЯР РЫР БОНЬ ГАФЬ ГЕР НЕС ЗИМЬ ПЕФЬ │
│ │
│ жь ь жь ь │
│ДЛАМ ЖУЦ ШТУН БЫШ ШАЧ СЫРЬ СКЕШ ПРЯЧ НОМ ДАСТ │
│ │
│ ё э ь б в г в │
│ЮЛ ШОЙ ЖЕЩ ЗЁЛЬ РЁП МИЛ ФСАК НИРЬ ЛЕЦ ДЯФЬ │
└─────────────────────────────────────────────────────────────────────────┘
Таблица Б.958
┌─────────────────────────────────────────────────────────────────────────┐
│ д д г б г д │
│ЛАМЬ ГОРЬ СЮТЬ ЗЕЛЬ НЫЦ РИТЬ ТРУК ВАПЬ МЁК РУТ │
│ │
│ з яв сч од д г з │
│БИН ТРЮСЬ НУРЬ ЧАФЬ ЩЁТЬ МЭТ МЯРЬ ПАМ ТЕК ЛЁСЬ │
│ │
│ оз б з ю │
│ЧЁС ЧТАХ ВЁР СТЯН ТРИПЬ КИХ РЕС СЕХ ЧУЛЬ НАЛ │
│ │
│ з б б с жь в │
│НАС ЖАП ШУП ЗДАЛ ДЁШ РУФ ВИЛ СОРЬ ДАМЬ ЧТЫЛЬ │
│ │
│ б ь г в з │
│РЭП ШТЕМ ДУМ ЛЫЩ СТАК ГУР САФЬ ХОСЬ РЮЛ СЕЗНЬ │
└─────────────────────────────────────────────────────────────────────────┘
Таблица Б.959
┌─────────────────────────────────────────────────────────────────────────┐
│ з з д з жь с д ь в э │
│ДУС ПЛУС РЮТ ДЛЕСЬ ТРЕШ ЗДИХ ШТЕТЬ ЕЩ ТУФЬ ШЕЦ │
│ │
│ з в в г ё в в │
│ПРЁСЬ ЗАФ РЯЦ БИФЬ ЗУЛ ПОК ЖОЛ ХАФ КОР ФСЕХ │
│ │
│ г г з г │
│КЕСТ ПЛЕК ЗАМ НУЙ ЧТЫК ДИЙ ХАЛ БАМЬ ЗАС ЗНЮК │
│ │
│ д в в э г │
│ПРУТЬ ФСЯФ ТАХ СИН ТЯЛЬ ШЕЛЬ ВЕНЬ БАЛЬ ТРЁЛ ПЭК │
│ │
│ жь в д з б з │
│ФАРЬ ЗУШ ТРЫФ ТУЛЬ МАХ ФЫТ СКОСЬ СЫЛЬ ЦАП ДЫСЬ │
└─────────────────────────────────────────────────────────────────────────┘
Таблица Б.960
┌─────────────────────────────────────────────────────────────────────────┐
│ б в з ь д │
│СЯПЬ РАН ЦАН СВАЙ ПЮФ РЁНЬ ПОС ПРЫЧ ЁНЬ ДЫТ │
│ │
│ в б ь в │
│ВУЦ САЛЬ ШАФЬ ДЕПЬ ЦУЛ ВЫЧ ЗОФЬ ЗОНЬ ДИЛЬ МАЛ │
│ │
│ д ь ь д в ыз ь │
│КРЫЛ БУТ РИЧ РАЩ ФИТ СТОФ ШИС МЮЧ ТРОЦ ГИХ │
│ │
│ з д д сч ю д ь │
│ФОСЬ БЭТ НЁЦ ЗЯМ БЯТ ЩУЛ ШУЙ ДЮТ ЧТИЛ ХОЧ │
│ │
│ з з в з в │
│ЮС ПУЙ ПЫН НУСТЬ МАС КОФЬ РОС ЕФ ФЕН ПУСТ │
└─────────────────────────────────────────────────────────────────────────┘
Таблица Б.961
┌─────────────────────────────────────────────────────────────────────────┐
│ в д г д в │
│РУХ ЦУМ ЛЯФ СВУХ НОТ НИЦ ЕК ТАНТ ЕФЬ ЛУЛ │
│ │
│ сч оз б в д │
│ЛЕР ЩЁС ЗНОХ БЁП ФОР МЕН ЯН СТЕЛ СЫФЬ ВОТЬ │
│ │
│ в б б д ь в │
│СКАН МУНЬ ЛАФ ЖАПЬ ВЕПЬ РЕМ ЛЁМ ДЯТ ТРАЧ НЕФЬ │
│ │
│ з ь ь б б │
│ВЫХ ПРЫСЬ ЕЩ ПУНЬ НЯЧ ДЕМ НЕП ТЕРЬ ДОП СЯЦ │
│ │
│ г из з жь з ё │
│ДЁХ ПРЕК ЗОМЬ НУНЬ ШЫС ЦОС ДЫШ ЧТУСЬ ГОР ШОЙ │
└─────────────────────────────────────────────────────────────────────────┘
Таблица Б.962
┌─────────────────────────────────────────────────────────────────────────┐
│ д б ь в │
│НЭТ ЮЛ ДРАН НЯЙ ТАП ПЮЩ ПЫФЬ ЛЯЙ СОРЬ ТРЮХ │
│ │
│ жь б в ь │
│ХАШ ФИХ ТРИМ ПОЛЬ СИЙ ШУН ФУП ВУФЬ БИНЬ ТАЧ │
│ │
│ б жь б в д б │
│РЕП ТЮШ СУЛ ЛЫП РЫХ ЗЯН СЁНЬ ЖУФЬ ЧТЫТ ТАПЬ │
│ │
│ з о з в в жь │
│ПРУМ ПОР РАХ ВАС ЗИН ЧЁРЬ СУСЬ КУХ ФСЯХ ФСЕШ │
│ │
│ з з з г д б в г в б │
│ТРОСЬ ХУС СЕСЬ ПЭК РИТ ЧТИП ФСУК БУФ ШАП СЫЛЬ │
└─────────────────────────────────────────────────────────────────────────┘
Таблица Б.963
┌─────────────────────────────────────────────────────────────────────────┐
│ э ь │
│ЧТАР РИЛЬ ФЕМ ЖЕР ДЮНЬ ХИЛЬ ТУЧ РАЛЬ ДЕМЬ СЮР │
│ │
│ ь ь ь д б з д │
│ДЯЧ БЫЩ КЕЧ ЗОТ РЫПЬ САХ БУНЬ ТЮСЬ БОТЬ ДЯЛ │
│ │
│ сч д жь │
│ЗЕМ ЩЕЦ КРУМ КИР ГУНЬ ХЕН БЯТ НЁРЬ ПЕШ ТЯР │
│ │
│ жь д з г ь │
│ГИШ ЛУТЬ САМЬ СТУС ДЛЁК МЁР ШТЫН ГАР ТРИЙ ЗАЧ │
│ │
│ з в б │
│КРАС НЯР КИМ ПЁХ КАМЬ СТЫФ ХАРЬ ТИПЬ ГИН ТРЁЦ │
└─────────────────────────────────────────────────────────────────────────┘
Таблица Б.964
┌─────────────────────────────────────────────────────────────────────────┐
│ э з │
│МАН ЦЕЙ ЛОС ЗУЦ ЧЕЦ МЮМ ТРЫМ ТОНЬ ДОСТЬ ВУМ │
│ │
│ и ь з с з г ь │
│ЦЫЧ ЛЁЦ ЧИР КАС ЗДЯС ХУК ЗАР ХОЦ СКЕХ ПЛЕЧ │
│ │
│ д э ь г с │
│ШТАТЬ ТЫРЬ ПРИЛ БЕРЬ ШЕЛ КОЧ БАЦ ВОК ЗДОН ЗНЕН │
│ │
│ ь сч юд б д в в з з │
│БУЩ ЩУТЬ ЛИП ПЁНТ ШАФЬ КОЦ РЫФЬ НЫСЬ ЗУР ШТИС │
│ │
│ в сч ю в б в г д з ь │
│ТЭФ ЩУМ БИФ МИПЬ ГУФЬ ДАК НАХ КИНТ ПЛАС ПРАЧ │
└─────────────────────────────────────────────────────────────────────────┘
Таблица Б.965
┌─────────────────────────────────────────────────────────────────────────┐
│ ю д в ь з │
│ВЯЗНЬ РЕЦ ЧУЛ РУН ДЛУТ ВЫН ТЁЛ ДЕФЬ НУЩ ЛЕСЬ │
│ │
│ я ь ы ь з в з о в │
│ЗЁМ ЧАЧ ЖИНЬ ВЁЧ БЯЛ ГЕСЬ МЫФЬ ФАСЬ ЖЁН ДУФ │
│ │
│ г з э │
│МЯК РИЦ ЗУЙ ЁНЬ ДВАЛ СЁСТ ДОЦ СВАСЬ НИСТ ШЕЦ │
│ │
│ ё з жь │
│ШОР БУН ПРЯМ РЁС ШАЛ НИНЬ РИЙ МЯЦ ПУШ ФЫНЬ │
│ │
│ б з ь б │
│НАП ВИСЬ МАЩ ПЯМ ТУН ПЁП ВЯЛ ГОЙ ПАЛ СТОМ │
└─────────────────────────────────────────────────────────────────────────┘
Таблица Б.966
┌─────────────────────────────────────────────────────────────────────────┐
│ в б д г д г │
│КАФЬ ЛЫПЬ ШТИТ СЁК ЗНЕТЬ ПРАЦ ТЯК НЕЙ ВЁХ ЛЕН │
│ │
│ ь в з я жь в ь з │
│ТАЛЬ ЗОЩ РАФ КОСЬ ЧАШ МОФ ФОЛ ДУЦ НУЧ МАС │
│ │
│ с д з д │
│НАЙ ЗЭМ ЗДЕХ ТЫЙ ДВИТЬ КИРЬ КЕСЬ ПРУЛ ЧТУТ ДУР │
│ │
│ д б в в ь б ю │
│СЕНТ ПЛУП ДЕЦ ВАФ БЁФЬ ДЕЧ РЕРЬ ГЕЛ БУПЬ ЧУЦ │
│ │
│ б ь ь д в │
│ДЯМ СКИМ СЫМ ШУР ЛЕХ РИП ПЕЩ ХАЧ ТРЁТ ЦОФ │
└─────────────────────────────────────────────────────────────────────────┘
Таблица Б.967
┌─────────────────────────────────────────────────────────────────────────┐
│ г д о з г з │
│ХУК ЕТ ЛУР ЧЁЛЬ ХОХ ХИС МЫК ПЮСЬ ЗНОЛ ЗЁЦ │
│ │
│ э з жь з з эг жь з б │
│ЖЕЛ ЛЫС ЖУШ ПЫСЬ СОСЬ ШЕК ВЕНЬ СТЬШ ДОСЬ ЛЁПЬ │
│ │
│ г д в б з б жь │
│ДЛАК КОТЬ ДОСТ ФСАЙ НИПЬ ДЛЕС РУП ТРИЛЬ ГАЦ ФОШ │
│ │
│ д в в оз з ы │
│МЕТ МЁФЬ ФСЁЛ ЖЁСЬ ПРЕСЬ ФЕЛ ЦИРЬ ДЮР БИЛ СТЕЙ │
│ │
│в д б в з з б в │
│ФСЕМ СТУТ РЫП ДЁФ ЗЯСЬ НЯС ЗАПЬ ПЕФ ЛЮР ВЯМ │
└─────────────────────────────────────────────────────────────────────────┘
Таблица Б.968
┌─────────────────────────────────────────────────────────────────────────┐
│сч б б д д сч ю в б │
│ ЩЕПЬ РЭП МЯН СИТ БАТЬ НЯСТ ЩУХ ЧТЫМ ДОФЬ ВУПЬ │
│ │
│ жь в в з │
│ ХАРЬ ГЕЦ ТРИН ЁМ ТЮХ БЕШ СЁФЬ СУФ ЗИСЬ ЗАЦ │
│ │
│ д д в б б │
│ ТУРЬ СИТ ТАТ РАМЬ КАФ МИХ ПЁЗНЬ РЫРЬ СЕПЬ ШУПЬ │
│ │
│ в в ь жь с з │
│ ЛИЙ ВУРЬ ЧТАФ ШТАФ САЦ ХЕЩ ТРАШ ПАРЬ ЗДАС САНЬ │
│ │
│ жь з б ь ь│
│ БАРЬ РИНЬ ЦАШ РОСЬ СТОРЬ НОЙ ДЫП ЧТИМ МУЧ ТРЁЧ │
└─────────────────────────────────────────────────────────────────────────┘
Таблица Б.969
┌─────────────────────────────────────────────────────────────────────────┐
│ ь д з д б д │
│ПИМ ВОЧ ВЫТ ПУЦ ГУС ЛАТЬ НЕР ЯПЬ ТЫТЬ ТИНЬ │
│ │
│ з э ь б ь в │
│ЗОМ РЁС ШЕР ПОЩ ГИР ФУРЬ БЯЦ ЖУПЬ ФИЧ ДАФ │
│ │
│ з сч ю з з │
│КАНЬ ВИРЬ ХУС НОЦ ЩУЙ СЫЦ ШТЫР ПЛИС ДРЕС ПЯРЬ │
│ │
│ ь ив б д б жь ь │
│БЮЧ ЦЫФ КИЗНЬ НУПЬ ЖАТ ПУН ТРОП ГАМЬ ЮШ ЁЧ │
│ │
│ д д ы │
│ПРЯЛ ДЯТЬ ТЁРЬ НЁТ ШИМ КОР СВУЛ КРАМ НЯЛ ТУН │
└─────────────────────────────────────────────────────────────────────────┘
Таблица Б.970
┌─────────────────────────────────────────────────────────────────────────┐
│ г в з г │
│ВАК ПОМ БУРЬ БОЛ НЫФЬ ЗОСЬ ТАСТ КРУЛ ТРЫНЬ СВАК │
│ │
│ в ь ь г з жь сч ов │
│БЫФЬ ЗЕР ТЫЩ ГОЧ ЧИК РИН ПРЫС РЯНЬ НИШ ЩЁФ │
│ │
│ в б з ёд д б жь │
│ГОФ БОЦ ДЕП ПРИМ МЯСЬ ШОТ БЮТЬ ВЫЛ МЮПЬ НЕШ │
│ │
│ ёб б │
│РЯМ ШОП СУЛЬ ВЁСТ ЗУХ ТЕЙ ШАН РЮЛ ЛЯНЬ ЗУПЬ │
│ │
│ ь ыв д д з в эг │
│ФАМ ЛОЩ ШИФЬ СКАТЬ НАРЬ ЮТЬ СЯХ ЛИСЬ ТОФ ЦЕК │
└─────────────────────────────────────────────────────────────────────────┘
Таблица Б.971
┌─────────────────────────────────────────────────────────────────────────┐
│ ь жь б б з │
│ТРУЛ ЧИЩ ЗАШ СИСТ РЫПЬ ЗУРЬ ПОПЬ ПРЁС ЮЙ ЛАМ │
│ │
│ жь з ь б ь │
│ТАШ ФЫХ ДОЛЬ ТУС ШАЩ ЛИПЬ РАЛ НИЛЬ ЛЮЩ ЗАРЬ │
│ │
│ з б д │
│ДУС БЫП СТУЙ ПИЛ ВИМ ТУЦ ШТУЛ ПАСТ БУМЬ ЗОТЬ │
│ │
│ д з жь б д д жь │
│СЕР СЫЛ ШТЕТ ГИС БЯШ РИПЬ ТРЮТЬ НАТ НЕСТЬ ХОШ │
│ │
│ ь б д д д з │
│МЕЩ ХУП РОТЬ РЯЙ РОНЬ ФОТЬ ВЮТ ПОР ПЁМ ФИСЬ │
└─────────────────────────────────────────────────────────────────────────┘
Таблица Б.972
┌─────────────────────────────────────────────────────────────────────────┐
│ г з б з з │
│ЛОЛЬ ПРЮН ПОК ГЕЛЬ БИСЬ ПЯПЬ ЁСЬ ТУН ДЯЛЬ МУСЬ │
│ │
│ ё жь сч д ь жь б в в │
│ШОШ ЩИЙ СТАТ БЁЧ ТОШ ДЫЦ МЮП СКИХ СЫФ РАФ │
│ │
│ д д жь жь б │
│ДЛИТ ТЫРЬ КЕТЬ ДЯШ ДАСТЬ САЛЬ ЛУШ НАЛЬ ДАХ ШАП │
│ │
│ жь ь сч я д б в в з д │
│ЦУШ ВУЧ ЩАРЬ КАТЬ ТРЯМ ШУЛЬ ВЫП ДЫФ ФСАСЬ ДУТ │
│ │
│ б ь в жь │
│ТЕЛ РЕЛ ПРОП ТЭН РЮЩ СВОМ САФЬ ЛЫХ ДРАШ ВУЛ │
└─────────────────────────────────────────────────────────────────────────┘
Таблица Б.973
┌─────────────────────────────────────────────────────────────────────────┐
│ в з жь жь г в з в │
│ТАФ ЧТАС СЯШ ПРЫШ ЗУК ХЕФ НЁЦ БЯМ КАС СТЕФ │
│ │
│ д ы │
│ВОРЬ РИЦ ПУР ЗЁХ ТЭЛ СКОЙ РОЦ ДЛОТ КАМ ШИР │
│ │
│ б сч яг ь д д з │
│ВАНЬ ТОП ЗИНЬ ГАН ЩАК БЫЧ БУТ ВЕНТ ЛЮЙ ЗНЕС │
│ │
│ б д б в г г ыз │
│СОПЬ ЗНОТ ЛЁП НУЙ ФАФЬ ТЁЛЬ ТЯЙ ЧТИК СВЕК ЖИС │
│ │
│ з б з эг │
│ЦАМ ВЯРЬ ПЛУСЬ НЫП ТИС НУРЬ ЗИРЬ НЕЛ ЯМЬ ШЕК │
└─────────────────────────────────────────────────────────────────────────┘
Таблица Б.974
┌─────────────────────────────────────────────────────────────────────────┐
│ о в д д э │
│БЯНЬ ЧЁНЬ НУЦ ЕЦ МЁФ ФСЯТЬ ЧТЫЙ ШТЕН МИТЬ ШЕХ │
│ │
│ ь жь з в ь │
│РЁЙ ХОНЬ ГАЧ КРУШ НЁС ПРУФ БАМ ТРОЧ КЕСТЬ ПЛЕЛ │
│ │
│в в в ь в з б з г │
│ФСЕФ ЧТЫЛ ЛАФЬ ДИР НЕЩ БАФЬ ЦУСЬ ПАПЬ ГОСЬ ЗДАК │
│ │
│ з д д б ь жь д │
│КИС ХОТЬ ДЕЙ МЫТ КАП ЯЧ ВАШ ДЕРЬ РЮМ ЦОТ │
│ │
│ з б з д з жь з │
│СТЫМ ЧИС ПРЯЦ РЭП ДВАСЬ ЗОТ ЛЕСЬ НЯШ СУС ТРЁМ │
└─────────────────────────────────────────────────────────────────────────┘
Таблица Б.975
┌─────────────────────────────────────────────────────────────────────────┐
│ з с з з д з │
│ ЗЯС ФУМЬ ЛЁЦ ЗДИСЬ ВЁС ЧЕРЬ ПЮТ ТЮМЬ СИЙ ФЕС │
│ │
│сч в д д в эв │
│ ЩЕФ НЯТ НОМЬ БОНЬ ГУЛЬ МЯТ МАР СИФ МЯМ ЖЕФЬ │
│ │
│ ь г жь в в з д │
│ ШУЧ ПЫК ЖАШ ЖУЛ ГЕФ ЛЯФЬ СЯСЬ ПЁТЬ ТРЕЦ РЕХ │
│ │
│ г б яб з д │
│ ГУД ЕМ ЗАЛЬ ХАНЬ КРОК ДЕПЬ ЧАПЬ ДЯС ЖАМ СИТЬ │
│ │
│ д б ь жь д в в │
│ НЯМ ДЕТЬ МОП ХИЧ ПЫМЬ ВЫШ ТРЫТ ТАСТЬ ШАФ БЕФ │
└─────────────────────────────────────────────────────────────────────────┘
Таблица Б.976
┌─────────────────────────────────────────────────────────────────────────┐
│ д з ь д з в г │
│ПРИТЬ МЯС ДЯЧ ЗЫН ФЕНЬ НЁТЬ ТАС ЛАЛЬ ЛЮФ НЕК │
│ │
│ сч яд ь ь з │
│СТЫРЬ ТЭР ДЕЛЬ ЩАТ СЁЛ ХАЩ БАЩ ХУЛ ЗЮЦ ХЕС │
│ │
│ в д в г жь │
│ФУЙ ТУМ ВАЦ ЗАНЬ БОФЬ ТРЮТ ВЯХ ВЫФЬ ГОК БЮШ │
│ │
│ в э в сч б б │
│БЫФ РУНЬ БИЦ ГУН ШЕЙ РЕЙ ФОФЬ ЩИХ БАПЬ МАП │
│ │
│ в ь д жь ёв │
│ТЯХ КОЙ МЕФЬ КРУЧ СОТ РУЦ СЯЦ ГИЛ ЗЯШ ШОФЬ │
└─────────────────────────────────────────────────────────────────────────┘
Таблица Б.977
┌─────────────────────────────────────────────────────────────────────────┐
│ д з сч я д д в │
│НИЦ ГИЦ ДРАТ СТЕС ЩАЦ ШУТЬ ТРУТЬ РОФЬ ЦАР ДИНЬ │
│ │
│ в в б д з в б эв │
│ЕФЬ ЗНОФ БЯП БЭТ ПЯС САЦ НУФ НЮПЬ КРОЛ ШЕФЬ │
│ │
│ в б д │
│МЮРЬ ФИФЬ БЕХ МОМ ПУЦ ДАН ВЁП ДЫТЬ ВУМ ЧИРЬ │
│ │
│ д с в з в д г д я │
│СЁНТ ТИХ ДЛОЙ ЗДАФ НЯСЬ ФСЮТ РИК РАТ ВЯЦ ЧАР │
│ │
│ в д жь в д │
│ГУФЬ ЧТЕМ ГОТЬ СЁХ БЫМ ТЫШ КИСТ ЗИЦ ЗАФЬ КУТ │
└─────────────────────────────────────────────────────────────────────────┘
Таблица Б.978
┌─────────────────────────────────────────────────────────────────────────┐
│с з в д жь д ь │
│ЗДИС СУФ ПЫТ СЫШ СТУНЬ ТОНТ СУЛЬ САНЬ ЗИНЬ ТАЧ │
│ │
│ д б д ё ы │
│ЛУЦ ВЫСТ РЯЛ ПЕН НЭТ ЛИЛ ТАП СВЫТ ШОМ ШИЛ │
│ │
│ ь ь з жь д │
│ПРЕЧ РЫЙ ЗОРЬ НЯЛЬ ТРЮЧ МЫСЬ ЛЕШ ПРОТЬ ДЁР ЛИХ │
│ │
│ б д з ь з б в г │
│ТЕПЬ СКИТЬ ДЯС ЗОЧ СТАЦ ЛЯС РЯМ НАПЬ КОФ ЕК │
│ │
│ д в жь ь д б │
│РИТ ПРАНЬ ПЛОЙ ФСЕХ ЛАШ ДЫЙ ГЕРЬ КИЩ ТЯТ ВОПЬ │
└─────────────────────────────────────────────────────────────────────────┘
Таблица Б.979
┌─────────────────────────────────────────────────────────────────────────┐
│ г з д ёб в д │
│НЫР ДЮК ДЛЮС РАМ НИР НОТ ЛЕМ ЧОПЬ ФСЭТ КАЙ │
│ │
│ од б в │
│БЯР ЖЁТ ХОЛЬ КУР ПОР ФЭП МЯНЬ СВАФ ШТАХ ВАН │
│ │
│ ь г б в жь г │
│ШУНЬ ШАЩ ТРЯЦ ЧТАК ЛЯН ПОМ РЫП ТЫФ ТРЫШ ХИК │
│ │
│ д з з д з б в │
│НОРЬ ТЫТ СКОМ ЦОСЬ ПРЯС ЛЁТЬ ШТИН ШАС РЮПЬ ГУФ │
│ │
│ сч б э д │
│ЧТУХ ЩИП НАЦ ЖЕЙ ЗУН НЕРЬ НЯЗНЬ ЮМ ПЮРЬ ХАТЬ │
└─────────────────────────────────────────────────────────────────────────┘
Таблица Б.980
┌─────────────────────────────────────────────────────────────────────────┐
│ б ь в з б ь д жь │
│СЮН МУПЬ ФЫЧ ЗУФ ХАС ПЛЕП ЖУЧ ШТЫТ МЁШ ВЫЛЬ │
│ │
│ ь в в д з │
│КЕН ПОЧ ПИФ ДУЗНЬ ТЁФ ВЁМ ЗНАХ ПУНТ ДУМЬ РИСЬ │
│ │
│ ыб б з │
│ЦИП ГАПЬ ДВЯХ ЕЙ ЛУРЬ СЫНЬ ТРЕХ ЗЕЦ БУЦ ДЫСЬ │
│ │
│ ь д э д б │
│ДОРЬ НУМЬ ТРАМ ЛЫЧ ВУТ РЁНЬ ЖЕЛЬ СЯТ ПРАМ ЖУП │
│ │
│ з ь жь д эв │
│ЧЕС ЁР ДЯЙ ПЕРЬ ПОЩ ЯН ТУЦ ЧТАШ БЁТ ЦЕФ │
└─────────────────────────────────────────────────────────────────────────┘
Таблица Б.981
┌─────────────────────────────────────────────────────────────────────────┐
│ д д б жь в │
│НИТ ЛЮХ ПАНТ ПРЫН БАП БИШ ТИЛЬ МУН ЗНАФ ГИНЬ │
│ │
│ ыб з д в з ь г │
│ШИПЬ НЕМЬ ПЯСЬ ЧИТ ФСЕС ТОР НИРЬ БАЩ ТЯСТЬ МЮК │
│ │
│ б в з б б │
│СЕП РЕН ДОНЬ СТАЛ ЗОФЬ ЕХ ЧТАМ РУС МИПЬ БУПЬ │
│ │
│ з в б ь │
│БЫСЬ ТЮНЬ БЯФЬ САПЬ БЭЛ ЖУХ РЫЧ ШТЕР ЗАМ ПРУЙ │
│ │
│ г ь б д з │
│ЛЁК НАЧ ЛЕП ТАЛЬ НЁНЬ ВАТЬ ШУЛЬ СУМ ЧУС ХОР │
└─────────────────────────────────────────────────────────────────────────┘
Таблица Б.982
┌─────────────────────────────────────────────────────────────────────────┐
│ б жь ь з з жь │
│ БЯПЬ ЗЯХ РЫЛЬ СЮШ ДЯЙ САЧ МЕНЬ ЦАСЬ ЗАС ДЯШ │
│ │
│сч яб з б с б ь │
│ ЩАПЬ ТРЫСЬ МАНЬ ПЕП НЁН ЗДИН ВОЗНЬ РЯП ПАЧ НУН │
│ │
│ б ы в б з в │
│ ЖАП ЖИН КРОЦ ФАФ ПЫП РЯСЬ СКЕФ ТИМ ПЛАР ДИРЬ │
│ │
│ жь в жь в г ь з │
│ ЗУШ ВЮФ ГИШ ЗОНЬ НОСТ РЫФ МОК РАЩ РЮМ ТУСЬ │
│ │
│ д з в г сч г д │
│ СИСТЬ ДУТ ЗУС ПИФЬ ТРЯК КАР ЩИРЬ КЕК ГУР ЦОТЬ │
└─────────────────────────────────────────────────────────────────────────┘
Таблица Б.983
┌─────────────────────────────────────────────────────────────────────────┐
│ в д ё з з сч з │
│РЮФЬ ШТЫЙ ШАТЬ ШОЦ ШТЕСЬ ЛУХ ФУН ТРЁС БУЦ ЩЕС │
│ │
│ ь в д д г в │
│ТОЩ СТУЦ ГОНЬ ЗАФ ТРИНЬ БЁТЬ ДЫТЬ НЭР ПЕК ЛЁФ │
│ │
│ д з б эг д │
│СЭТ НЫС МЯЙ ЧТУЛЬ МЯЦ СЫП ШЕК ЛУТ РАР ПЫЙ │
│ │
│ эв д д д в сч │
│ШЕФЬ ШАМЬ НЕЛЬ СТОТ ДЛЕЙ СВЕТЬ ДЭТ ЛЫР БОФЬ ЩИР │
│ │
│ д з в д ыг │
│НЯХ ТЫМ РЁХ ПРАТЬ ЗЕСЬ ТОФ ВЯТ ЦИК КРИХ ЛОЦ │
└─────────────────────────────────────────────────────────────────────────┘
Таблица Б.984
┌─────────────────────────────────────────────────────────────────────────┐
│в в жь д жь в з д │
│ФСАХ НЯФЬ ХИШ ДЭНТ ШАШ НЮФ КОСЬ ЕЛ ЮН ВЭТ │
│ │
│ г э ь в │
│ЗНУК ЖЕРЬ ДЯРЬ ДЛАР ВИЛЬ ЛИЦ ЯНЬ ГОЧ ЛИН ПОФ │
│ │
│ жь б г ь з │
│ПУР ТРОШ ПАП ВОК ЧТЫХ ДЕЛ ГЕЩ ДОХ ДЁС СИНЬ │
│ │
│ б д б в │
│ДРАЙ КУЦ ХАЦ ЧЕПЬ ДИТЬ ХАП КЕЛЬ ВОФЬ РИР ВЫРЬ │
│ │
│ в ё д з б г в в │
│ФИЛЬ ГАФЬ ЖОЛЬ ТАТ СЁС ХИП КУСТЬ РЁК ХОФ ЗИФ │
└─────────────────────────────────────────────────────────────────────────┘
Таблица Б.985
┌─────────────────────────────────────────────────────────────────────────┐
│ д в г б з в д │
│ТРАЛЬ ФОТ ТЫФЬ ТРИК НАПЬ ПРЁР НОСЬ ПЮР ФЕЦ ФСЁТЬ │
│ │
│ жь в з б б в о с з │
│ЯШ МЫФ ДВИСЬ ЛАПЬ ВОП ЁРЬ СУФЬ ЧЁР ЗДАСЬ ГАЛ │
│ │
│ б г жь в з │
│СЕП ПУРЬ ВЁРЬ ПЛЁК БЕЦ ЧТЕШ ПРЮМ СОФ СТЯСЬ МЕМ │
│ │
│ з я з жь в │
│ЛЯСЬ ЧАНЬ БЮХ ВЫМ ФЫСЬ СВАЦ ЗЮР ТЕШ СКАМ НУФЬ │
│ │
│ б э б ь ь ь │
│ПРЯХ ТЯПЬ ШЕНЬ РОП ХОЙ КАМЬ ЦУЩ КОЧ ДАЧ СЭЦ │
└─────────────────────────────────────────────────────────────────────────┘
Таблица Б.986
┌─────────────────────────────────────────────────────────────────────────┐
│ о ь жь в │
│ПРИНЬ РЫМ ШЁЧ СТУЛЬ ДЕР СЕШ НЯХ ЛУЙ ПЕХ ПЁФ │
│ │
│ в б з в сч об д э │
│БЯФЬ ФАПЬ ЗОСЬ СТАФ ЩЁП ЛИЙ СОЛ НУМЬ ЧТАТ ШЕЛ │
│ │
│ в ь ь ыв │
│БЯН МУФЬ ЯЦ СОЦ ШУХ ЦАЧ ТЫЧ ТЫНЬ ДЫЛ ШИФ │
│ │
│ в б ь б │
│ТАР ТУЙ ФСУХ РОРЬ ГУМ ЗАЙ ЦУП СУЧ ВЕП ТЕР │
│ │
│ б д д з в з г │
│ГИП ВЫНТ ТУСТ ПОЦ НЕЦ ДИТЬ ВЫС ЧТУФ ЛИСЬ ВЫК │
└─────────────────────────────────────────────────────────────────────────┘
Таблица Б.987
┌─────────────────────────────────────────────────────────────────────────┐
│ эз в в б д в д │
│ЗОНЬ ЖЕС ЗИФЬ ФЕФЬ НЯП ХИТ НУФ ЛОТЬ ЛЮНЬ МЯЛ │
│ │
│ в в б з з з │
│ЛЕМ ДВАЙ КИФЬ ПУНЬ НАФ ШУН СЮП МЮС КУС ДЛОС │
│ │
│ з д г │
│ДИН ТРЫЦ ПРОЛ МАРЬ НАЗНЬ ДИР БАСЬ СВУТ КЕР МЕК │
│ │
│ жь б э сч я б д жь │
│ЕН РУШ КОП ТРУНЬ ШЕХ ЩАЙ БЮП КРУТ ХУШ ТИЦ │
│ │
│ б в жь б в д ь в з │
│РЁР БИРЬ ДАПЬ КРАФ ФОШ ЛЁП ФСЁТ ЧИЧ ДИФ ВЭС │
└─────────────────────────────────────────────────────────────────────────┘
Таблица Б.988
┌─────────────────────────────────────────────────────────────────────────┐
│ ь б д сч в в │
│ЕЧ ВУР МЁП БЫН ГЕТЬ ЩЕХ ЦОФ РУН ФУР ПУФ │
│ │
│ в д д з │
│НАНЬ СТЫН БАЙ ВУФ ТУТЬ ПЯЛ НЕН РЮТ ПРЮСЬ МЫНЬ │
│ │
│ б д г з д з │
│ЛУПЬ СИТЬ ГЕК ЯМЬ БЕСЬ ЗАЦ ЗЮТ ПЁНЬ СКЕСЬ ВАЛЬ │
│ │
│ г г жь в д о ь │
│ФИНЬ ПАК СЭК КАН СОСТЬ ЛАР КОШ СЫФ ЗЕТЬ ЖЁЧ │
│ │
│ ь д з г сч о │
│ЗОЩ ПЛАТЬ ВИР ФОС ДРАХ ДЫМЬ БЯР РЕК ПРЁХ ЩЁЙ │
└─────────────────────────────────────────────────────────────────────────┘
Таблица Б.989
┌─────────────────────────────────────────────────────────────────────────┐
│ жь з ы з б о б жь │
│ДЮШ САС ЖАЙ ШИР ЁС ТЫП ЧЁЛ ХОЛ ТЁП ЗНАШ │
│ │
│ ь в жь г д │
│НИМ ХЕЧ ШАЙ СИЦ ВАФЬ НЫШ ГОК ЗУХ РЯХ СЁТЬ │
│ │
│ з ь в в з б в │
│ПРУС КУЧ ШТЕЛ БОМ ТРАНЬ ТЯФ ТРИФ ТОСЬ НЁПЬ НИФЬ │
│ │
│ з эг б д │
│ЛЫН РАЦ ТЮСЬ ЖЕК РЮЛЬ ХЕСТ ПРЫХ ПЯЙ ЗУПЬ ГУТЬ │
│ │
│ б б д з з │
│ДЯПЬ ШТЕХ ЮП РУТЬ НЫР ШТИМ СВАС ДЛЁС БУРЬ СКАЙ │
└─────────────────────────────────────────────────────────────────────────┘
Таблица Б.990
┌─────────────────────────────────────────────────────────────────────────┐
│ жь в д в в б │
│ХОЦ РЮШ ЖАФ ДОТЬ РЕФЬ ТРЯР ЗНУЛ ТРЮН ШАФ ЧТЫП │
│ │
│ з с д жь в ь │
│ЗОМ МОС ГАНЬ ЗДЕТ ХАР ПЛЕМ МЯШ ПАФЬ РЕЩ ПЫСТ │
│ │
│ в жь д в жь │
│ВЯН РЫМЬ ТАФЬ НЮШ СЭТЬ ТРЕНЬ ВЁФЬ БЫХ МИНЬ ХАШ │
│ │
│ д о ь в в з │
│НОР СТЕТЬ ЧЁЩ ЛЕФЬ ЗЯЦ ДАФ ГОЦ БОЦ СЫСЬ ЧЕМ │
│ │
│ яг д в в с д │
│ЧАК ДЕЗНЬ ЛЯН ПЫТЬ ЦАЛ ФСЕР СЯФ ЗДАР ДЁМ ЧТЕТЬ │
└─────────────────────────────────────────────────────────────────────────┘
Таблица Б.991
┌─────────────────────────────────────────────────────────────────────────┐
│ ёд д жь з д в │
│ШОТЬ ЧТЕТ ЗОЛ ДЫШ ЮСЬ ГАЛЬ РАТ ПОН МЮЙ СТЯФ │
│ │
│ ь сч о │
│ПИЧ ЗОЦ ТЭН ВЫЙ ТАЛ ЗЯЛЬ ЛЕЛ ЩЁМ БУЛЬ СТАЙ │
│ │
│ жь ы г д з ь │
│ПОШ ЖИЛЬ ШТОН ПРОХ ДЫК КРУТЬ СТОС ВЫР ПОЧ НЯЛЬ │
│ │
│ в з б д б б с │
│СЯФ САСЬ ПРАП ЦУТ БЫН ЛИРЬ ВЯПЬ ЛЕПЬ ДЮЛЬ ЗДАХ │
│ │
│ б жь э д д б з │
│НЁХ ЗАН ВЮП ГОШ ШЕМ ТЯНТ САНТ ДВАМ КАП ТРЮС │
└─────────────────────────────────────────────────────────────────────────┘
Таблица Б.992
┌─────────────────────────────────────────────────────────────────────────┐
│ г в г д з з з ь з г │
│ДЯК ФСИК ЗНЁТ ШАСЬ БУСЬ ТРАСЬ ПЕЩ ТИСЬ СКОК ДОЙ │
│ │
│ ь з в д д э ь │
│ЧТУЦ СУЩ ПУСЬ МАР РАФЬ СВЯХ ПОТЬ ЗНЕТ ПЮСТ ШЕЧ │
│ │
│ ь д в б и │
│НУМ МЯЩ СИХ СЫТ ЯФ ДИПЬ ЦЫН МЁМ ЧТАМЬ ТЁЛ │
│ │
│ ь сч юд в з д │
│ЗЁЛ ТАР БОЩ ЩУТ РУХ ГУРЬ ГИФЬ ТРИС НОТ ВЁЙ │
│ │
│ жь г г в ы жь б юд │
│РЫШ БИК МЕК БЮМ ЧИФ ЖИШ КРАЦ ЗАЙ КИП ЧУТ │
└─────────────────────────────────────────────────────────────────────────┘
Таблица Б.993
┌─────────────────────────────────────────────────────────────────────────┐
│ з ь з жь ы с д │
│ПРИСЬ СОЦ ВУЙ ВИХ НУЧ ГОС РИШ ШИЛ БАХ ЗДИТ │
│ │
│ ь з г д ы │
│ЛОХ РАХ ЗУЧ РИЛЬ НАНЬ ТЫС НЁЙ ДЛЕК ДЫТ ШИН │
│ │
│ г ь д в сч юз з д │
│ЛЁХ ГЕХ ЖАК ХОЧ РИТ КЕФЬ ЩУС РЯС ТРАН ТЭТ │
│ │
│ з ь д д │
│ГУЙ ХУСЬ СУЩ ХИЙ ПЮЛЬ ХЕЛ ЛОНЬ ВОЛЬ НУТ НИНТ │
│ │
│ ь б об з жь ь в в │
│НИЩ НЫПЬ ЧЁП ЕС ЛЮШ МАЧ ПЯФЬ МОРЬ БЯФ ВУХ │
└─────────────────────────────────────────────────────────────────────────┘
Таблица Б.994
┌─────────────────────────────────────────────────────────────────────────┐
│ в д д жь д │
│ХАЛ ДУЛЬ КЭФ ХАНТ РЁЙ ЗОТЬ ТУЛЬ СТАРЬ ЛАШ ЛЫТЬ │
│ │
│ д сч я г в │
│РЯН ЛЯТ ЩАЛЬ ФОМ НЕК ЦОЛЬ ТЁЦ ТУНЬ НЫФ ЛУРЬ │
│ │
│ в з ь в г │
│ВУСТ ПЫФ ДЛАС ПЕЛЬ ПЮСТЬ ФАЛЬ ЧЕЧ ШУФ ПРЫК НИР │
│ │
│ з в б г в з │
│ТЯСЬ МУФ СУПЬ ДЯК ДЯЦ ЗЕЛ ВОФ БОС ГИНЬ РЫНЬ │
│ │
│ б д г в ь │
│РУЙ ПРЯП ДЁРЬ КОЛЬ КУТ ЁК ХУФЬ ЛИЧ КУЛ СОЛ │
└─────────────────────────────────────────────────────────────────────────┘
Таблица Б.995
┌─────────────────────────────────────────────────────────────────────────┐
│ з г д з д │
│БЁЛЬ ФЕСЬ МЯК ПЛЕЦ РЁТ БЯЙ РЕМ ШТУС ТРУЦ БАТ │
│ │
│ о ь д я б з з д жь │
│ЖЁЩ ФУТЬ СКЕМ ЧАМ ЗИМ ФИП ХОСЬ ФЫС ДРОТЬ ПРЮШ │
│ │
│в б жь жь жь │
│ФСАМ БЕНЬ СЁПЬ ФАХ МЮШ НЫШ ШТЕШ ТАР ТРЕМ ЮРЬ │
│ │
│ з жь в б д │
│ТОЙ ВАСЬ РЕНЬ СЕШ ТРЮЛ ЧТЫФЬ ТЮП НИЙ СКОТЬ ПЛОМ │
│ │
│ о з з д г в з │
│ШЁН ФСЯСЬ СВОСЬ ЦОРЬ ДЁТ ДАМ ШУК ЗУЛЬ ЁФЬ НЯСЬ │
└─────────────────────────────────────────────────────────────────────────┘
Таблица Б.996
┌─────────────────────────────────────────────────────────────────────────┐
│ д в │
│ГЕТ МЯР ШТИЛ ЧИЛ КУФ САРЬ РЮНЬ ДЫР ЗОР ДУМЬ │
│ │
│ з з д б г │
│ЦАС РОСЬ ШУЦ ПЛАТ ТРИП МИЛЬ ДВАК ТЁМ КАЙ РЁЛЬ │
│ │
│ д д в з ь │
│ПЕТ ЮХ МЫЦ НУНТ МИН ФУФЬ ТАСЬ ДЯЦ ТРЫЧ ХЕЦ │
│ │
│ ь д эд д д з б г ь б │
│ЗЭЩ ЕТ ШЕТ ВУНТ ЗАТЬ ДЯСЬ ТРЯП СЯК ВЫЩ ХОПЬ │
│ │
│ в жь в и в сч я жь жь │
│ДЕЛЬ ФЕФ ЛЕШ ЛЫФЬ БЮЛЬ ШЫЦ ЛЫМ НАФ ЩАШ ВУШ │
└─────────────────────────────────────────────────────────────────────────┘
Таблица Б.997
┌─────────────────────────────────────────────────────────────────────────┐
│ ь з эд г г │
│ВЫЧ ЯРЬ ТЯН БАЛЬ ПЛЕЙ ШУС ЖЕТЬ СКЕЙ ВУК РЯК │
│ │
│ в с ь б │
│ГАХ ВЕФ ПУМ ЗДАМ КАНЬ ЁЛЬ ПРЕН СЭЛ ВАЩ ТЫПЬ │
│ │
│ в в жь ю ь з │
│БЯФ КУФ СТОШ ЧУЙ ДЮЛ СКОР РУЩ КОС НЯР ЛЯРЬ │
│ │
│ з б з з │
│КОС НУПЬ ЛИМ ЗУМ РАМЬ СТИС ДЕСТ ФЫН ТОС ГЕР │
│ │
│ б б б д г б б │
│ТУХ РУП ГУПЬ ХИП ПАМЬ СЮТ ХАК БИР ПЫПЬ ПРУП │
└─────────────────────────────────────────────────────────────────────────┘
Таблица Б.998
┌─────────────────────────────────────────────────────────────────────────┐
│ о з жь з │
│ШЁЛ БЫР БЫРЬ БУМЬ МЫР ЖУСЬ СЭЛ ПУШ БОС ЛЁЙ │
│ │
│ в жь ь д б г б │
│НИФЬ ТЫШ НЮЧ ЦУР ДЛАТЬ РИП ГИК КЕП ПЫМ ТИРЬ │
│ │
│ ь г в жь з │
│ТЫЧ БЯК ГОРЬ ГАФ ПРИШ СОХ ВЕЛ ЗИЙ ТЯНЬ ДРОС │
│ │
│ д сч з в б з │
│СТУТЬ ЩИЛЬ ПЁСЬ ПРЫФ СОЗНЬ ПРОЙ ЛЁЛ ЁЦ ВАПЬ ЗНОСЬ │
│ │
│ д в з │
│ЛОР ШТЫХ СЕТ РЁХ ВИНЬ РЮФ КРИН ХОН ВОСЬ ЧТУЛЬ │
└─────────────────────────────────────────────────────────────────────────┘
Таблица Б.999
┌─────────────────────────────────────────────────────────────────────────┐
│ э э з б │
│ТЕЛЬ ТАЦ ЗЮЛ ЖЕНЬ ЧТЕН СУН ЧЕНЬ ЦЕН СЫС ЛАП │
│ │
│ б б д о з б │
│ЛУП ШАЛ НЕРЬ ДИП НИТ БЁМ ЧЁЦ НЯМЬ ЗЫСЬ ШАПЬ │
│ │
│ з б в з з д сч я з д д │
│ЦУС МЯПЬ ПЮФЬ ФИС ПЕС СЁТ ЩАЦ ХАСЬ ЧТАТ СТЭТ │
│ │
│ г в з з з г │
│ТЕЗНЬ РЫК ЗЫМ ХАФ НАСЬ МИМ ДАСЬ ДЯСЬ МАМ ГАК │
│ │
│ в д жь з г з в │
│РЕР ФАНЬ БЫХ ФСЕТ ДОШ ЛЮСЬ НОК ДОС ФОЙ ЛИФЬ │
└─────────────────────────────────────────────────────────────────────────┘
Таблица Б.1000
┌─────────────────────────────────────────────────────────────────────────┐
│ в жь в з с │
│ПЯНЬ ТРАМ ФСЯШ РЯЛ ЕЙ СИЛЬ КАФЬ МЁЛЬ ЖАС ЗДЕЙ │
│ │
│ в я б г в сч г жь ыд в │
│НЕФ ЧАЦ НОПЬ НАК БУФЬ ЩИК ЗИШ ШИТ РИРЬ ПАФ │
│ │
│ ов г д б ь д │
│ЖЁФЬ РАМ БЕН ТРЁК ДЕМ СВЁТ ЗНОП ЗЕЧ ТРУНЬ ЗУТЬ │
│ │
│ в г │
│ПРЕФ СВОН ЧТАЙ ДАН МУЛЬ РЫН ДЁЗНЬ ШТАК КРОХ КИЦ │
│ │
│в з з б сч ь д д │
│ФСАС НИСЬ ДЛИП ТАНЬ НОЦ ХАЗНЬ ЩЕЛ САЩ ВЁТ ТРЕТ │
└─────────────────────────────────────────────────────────────────────────┘
(обязательное)
МЕТОДИКА ОБРАБОТКИ ДАННЫХ ИЗМЕРЕНИЙ
С целью исключения сомнительных результатов измерений разборчивости производят следующую обработку полученных данных:
а) вычисляют среднее значение разборчивости по
формуле (1);
б) вычисляют среднее квадратическое отклонение (СКО) по формуле

(В.1)
Примечание - Допускается вычисление взамен СКО среднего арифметического отклонения по формуле

(В.2)
в) единичные измерения, для которых

или

, исключаются и производится вычисление нового среднего значения по формуле

, (В.3)
где N - число единичных измерений;
k - число исключенных измерений.
(обязательное)
ТЕСТОВЫЕ ФРАЗЫ ДЛЯ ОЦЕНКИ КАЧЕСТВА РЕЧИ И УЗНАВАЕМОСТИ
ГОЛОСА ДИКТОРА
Г.1 Основные фразы
Г.1.1 Если хочешь быть
здоров, советует Татьяна Илье /, чисть
зубы пастой "Жемчуг"!
Г.1.2 Вчера на московском заводе малолитражных
автомобилей / состоялось собрание
молодежи и комсомольцев.
Г.1.3 В клумбах сочинской здравницы "Пуща", сообщает нам автоинспектор /, обожгли шихту.
Г.1.4 Тропический какаду - это крупный попугай? / Ты не злословишь?
Г.1.5 Актеры и актрисы драматического театра / часто покупают в этой аптеке антибиотики.
Г.1.6
Нам с вами сидеть и обсуждать эти слухи /
некогда!
Г.1.7 Так ты считаешь, что техникой мы обеспечены на
весь сезон?
| | ИС МЕГАНОРМ: примечание. В официальном тексте документа, видимо, допущены опечатки: имеются в виду фразы п.п. Г.1.6, Г.1.1, Г.1.2, Г.1.7, а не 6, Г1, Г2 и 7 соответственно. | |
Примечание - Полужирным шрифтом выделены слова, на которые делается фразовое ударение.
Фраза 6 и вставочные конструкции во
фразах Г1 и
Г2 произносятся в убыстренном темпе.
Фраза 7 произносится без пауз между словами.
Г.2 Дополнительные фразы
Г.2.1 Раз. Это жирные сазаны ушли под палубу.
Г.2.2 Алло, слушаю! Кто у телефона? Ах, это Вы! Я был вчера у Вас.
(обязательное)
Таблица Д.1
Номер п/п | Фразы |
1 | В бухту с моря налетел ветерок |
2 | Дно у реки хорошее |
3 | Мальчик побежал к лагерю |
4 | Сигнал тревоги поднял отряд |
5 | Прошло всего несколько минут |
6 | Штурман просил продолжать разворот |
7 | Ледяная вода сводила руки |
8 | Лошадь тихонько пофыркивала |
9 | Часовой стоял на берегу |
10 | Яркая луна освещала льды |
11 | В доме стало холодно |
12 | В печке дотлевали последние угли |
13 | Солнце медленно опускалось за море |
14 | Лошадь неслась вскачь |
15 | Дети остались сиротами |
16 | Снег сыпал в лицо |
17 | Маяк был уже близко |
18 | Ветер стучал в ставни |
19 | На столе мигала лампа |
20 | Лодка замедлила ход |
21 | Она стала тихой и молчаливой |
22 | Около дома навалены сугробы |
23 | Громко залаяли собаки |
24 | Песня лилась плавно и заунывно |
25 | Командир корабля одобрил решение |
26 | Толпа шла за санями |
27 | Над домами качались столбы дыма |
28 | На берегу было пусто |
29 | Начиналась подготовка к весне |
30 | В лесу гремели выстрелы |
31 | Стояли жгучие морозы |
32 | Улыбка не сходила с лица |
33 | На подоконнике лежала стопка газет |
34 | Скоро начнется небольшой дождик |
35 | Скоро его одежда высохла |
36 | Это была хорошая книга |
37 | Высоко неслись тучи |
38 | Они долго и молча курили |
39 | Сани глубоко провалились в сугроб |
40 | Вдали виднелся маяк |
41 | Из окон домов выглядывали рыбаки |
42 | Солнце погружалось в море |
43 | Дул сырой ветер |
44 | Море глухо клокотало |
45 | На берегу стояли люди |
46 | Птицы подлетали к болоту |
47 | Кот улегся в ногах |
48 | Он чувствовал себя виноватым |
49 | Широко распахнулась дверь |
50 | В небе плыла стая лебедей |
Таблица Д.2
Номер п/п | Фразы |
1 | Иногда их брали с собой в море |
2 | Незнакомец проводил его до причала |
3 | Ребята тихо пробирались домой |
4 | Навстречу артиллерии двигалась колонна |
5 | Вначале рыбаки пошли прямо |
6 | Все дружно засмеялись |
7 | Фильм шел очень долго |
8 | В бассейне было тепло |
9 | Собака громко залаяла |
10 | Капитан посмотрел на солдата |
11 | У Левки радостно забилось сердце |
12 | Сегодня ночью мы опять уходили |
13 | Летчик наблюдает слабые осадки |
14 | После ужина мать ушла к соседям |
15 | Ребята пришли на берег |
16 | Руководитель потребовал прекратить посадку |
17 | По дороге домой друзья молчали |
18 | Над ухом нудно пищал комар |
19 | В кубрике было темно и душно |
20 | Здесь их встретил знакомый рыбак |
21 | Он проснулся ночью |
22 | На катере было пять пулеметов |
23 | Он молчал несколько секунд |
24 | Он проснулся рано |
25 | Впереди чернел силуэт города |
26 | Рыжик виляет хвостом |
27 | Врач ничего не мог сделать |
28 | Послышался легкий всплеск воды |
29 | Теплая волна отбросила его от лодки |
30 | В тишине слышалось его дыхание |
31 | Шлюпка вышла из полосы тумана |
32 | Лодку залило волной |
33 | Волны накатывались на гряду |
34 | Над водой прокатился грохот выстрела |
35 | Из костра вырвалось пламя |
36 | Выстрелы внезапно прекратились |
37 | Собака поставила лапы на стул |
38 | Большая волна подняла шлюпку |
39 | Взвод первым форсировал реку |
40 | Левка глазами искал дедушку |
41 | Они поклялись отомстить врагу |
42 | Столб воды закрыл борт |
43 | Приветливая улыбка сошла с лица |
44 | Партизаны расселись и закурили |
45 | Боец поддерживал пулеметную ленту |
46 | Одобрительный гул прошел по толпе |
47 | На мачте развевался флаг |
48 | Вскоре песню подхватили партизаны |
49 | Мать открыла крышку у кастрюли |
50 | У кормы поднялся столб воды |
Таблица Д.3
Номер п/п | Фразы |
1 | Ребята перелезли через забор |
2 | Высоко в небе пел жаворонок |
3 | Солнце еще находится в зените |
4 | Веселые гости дороги хозяину |
5 | Люди уходили в партизаны семьями |
6 | Учитель объяснял новый урок |
7 | Коля долго рылся в кармане |
8 | Маляры работали весь день |
9 | Мальчики проснулись вечером |
10 | В воде отражались звезды |
11 | Матрос привел мальчиков на корабль |
12 | До минной пристани было недалеко |
13 | Он увидел знакомого моряка |
14 | Катер подошел к причалу |
15 | Весь народ поднялся на борьбу |
16 | Солдат передал приказ командиру |
17 | Погрузка продолжалась около часа |
18 | Мальчики стали носить ящики |
19 | Спортсмен должен пробежать дистанцию |
20 | Химия и физика - интересные науки |
21 | Тропа привела к холодному роднику |
22 | Он остановился у кучи хвороста |
23 | Ему надо было спешить |
24 | В порт вошел пароход |
25 | Он кончил работу в срок |
26 | В проливе показалась шаланда |
27 | С улицы послышались крики |
28 | Велосипедист остановился на тропинке |
29 | Солдаты шли по дороге |
30 | Катер на секунду остановился |
31 | Многие из них сложили головы |
32 | Коля решительно шагнул к дому |
33 | Мальчики помогли рыбакам |
34 | Раньше всех поняли это солдаты |
35 | Танки решительно рванулись вперед |
36 | Крестьяне спешили убрать хлеб |
37 | Земля покрылась белым ковром |
38 | Дети шумели во дворе |
39 | Инженер делал сложный расчет |
40 | Мотор быстро заглох |
41 | Часовые лениво ходили внизу |
42 | Переднее колесо резко опущено |
43 | Пушку Коля спрятал недалеко |
44 | Фильм снимают целый год |
45 | На сеновале поднялся переполох |
46 | Самолет оказался в воздушной яме |
47 | Друзья вместе отправились домой |
48 | Пушка оказалась в полной исправности |
49 | Всю неделю идут дожди |
50 | Коля вычерпал из лодки воду |
Таблица Д.4
Номер п/п | Фразы |
1 | Судно держало путь на восток |
2 | Старый мостик был сломан |
3 | Все окна были открыты |
4 | Над головой были ветви берез |
5 | Положи под голову подушку |
6 | Широкий коридор ведет в зал |
7 | Птицы уничтожают вредных червей |
8 | Молотьбу закончили вовремя |
9 | Ветви ивы склонились над водой |
10 | Охотник выследил медведя |
11 | На верстаке лежали гвозди |
12 | В бочонке были малосольные грузди |
13 | На сеновале началась возня ребятишек |
14 | В стенгазете поместили остроумную басню |
15 | В ателье принимают заказы |
16 | Очки без дужек называются пенсне |
17 | В музее собрано много экспонатов |
18 | Термометр показывал низкую температуру |
19 | За год построили много жилья |
20 | Абитуриент решил пять задач |
21 | В углу лежала рогожа |
22 | Луна показалась из-за туч |
23 | В саду росло несколько груш |
24 | Геннадий обратился к товарищу |
25 | За стихотворение присудили премию |
26 | Судно потерпело аварию |
27 | Сын летит на полюс |
28 | Летом мы будем жить в деревне |
29 | Мы любовались белой сиренью |
30 | Солнце всходит на востоке |
31 | За липами возвышались ели |
32 | Рядом с гаванью выстроен склад |
33 | Он надел шляпу на голову |
34 | Учебный истребитель произвел взлет |
35 | Апатиты недавно нашли в Хибинах |
36 | Строители начали строить дом |
37 | Все молча слушали песню цыганки |
38 | Руководитель разрешил произвести маневр |
39 | Зимняя природа очень красива |
40 | На стройку приехали специалисты |
41 | Шумит темный лес |
42 | Наши лыжники заняли первое место |
43 | Песни летят по аулам |
44 | Яблоня принадлежит к плодовым деревьям |
45 | Летчик совершил дальний перелет |
46 | Сестра полет грядки |
47 | На собрании говорили о дисциплине |
48 | Она была в новом платье |
49 | Почтальон принес письмо |
50 | Буран разыгрался к ночи |
Таблица Д.5
Номер п/п | Фразы |
1 | Белая пелена лежала на полях |
2 | В школу приезжали герои фронта |
3 | Белый пар расстилается над лужами |
4 | Экипаж танка понял задачу |
5 | Этот блок работает хорошо |
6 | Начинаются степные пожары |
7 | Ученики поливают огород |
8 | Тяжелый подъем закончился |
9 | Тропинка уперлась в глинистый уступ |
10 | Солнце поднялось над лесом |
11 | В подъезде стояли санитарки |
12 | Стало известно место встречи |
13 | На участке ведется наблюдение |
14 | В класс вошел преподаватель |
15 | Полено раскололось надвое |
16 | Надо зарядить ружье |
17 | Телега начала скрипеть |
18 | Мать отвела ребенка в сад |
19 | Ребята сидели на берегу |
20 | В магазине продаются яблоки |
21 | Директор сравнил доход с расходом |
22 | Высокая рожь колыхалась |
23 | Цветы пестрели в долине |
24 | Чудный запах леса освежает |
25 | День был удивительно хорош |
26 | Снег заскрипел под полозьями |
27 | Испорченный контакт нарушил цикл |
28 | За дверью раздалось мяуканье кошки |
29 | Начала выпадать обильная роса |
30 | Началась избирательная кампания |
31 | Ребята нашей школы играют в футбол |
32 | Прикосновение было болезненным |
33 | Степные места хороши весной |
34 | Оператор стирает старые записи |
35 | Между полем и дорогой выросла липа |
36 | Я смогу перескочить через канаву |
37 | Мальчик весело напевал |
38 | Заяц сделал отчаянный скачок |
39 | Кнопки стоят на сигнале "Стоп" |
40 | Налаживаю ход мотора по схеме |
41 | Многие слышали победный возглас |
42 | Девочка макала хлеб в молоко |
43 | Сапоги быстро промокли |
44 | На краю неба догорали звезды |
45 | Мы братски обнялись |
46 | Утки над озером подняли шум |
47 | Звуки песни постепенно умолкали |
48 | Хозяйка долго отпирала сундук |
49 | В ненастье ива опустила ветки |
50 | На западе поднималась луна |
Таблица Д.6
Номер п/п | Фразы |
1 | Автокар быстро движется направо |
2 | Опытный инженер руководил работой |
3 | Дорожные размышления не очень приятны |
4 | Болота страшны в зной |
5 | Тихие лошади встали |
6 | Зимовщик запустил сложный механизм |
7 | На воде лежали белые лилии |
8 | Неподвижно стояли деревья |
9 | Полотнища знамен ярко пылали |
10 | Древние египтяне построили пирамиды |
11 | Лисенок играл на поляне |
12 | Зайцы скакали с кочки на кочку |
13 | Волчата спрятались в овраге |
14 | За наседкой торопливо бежали цыплята |
15 | На пне росли опята |
16 | Монтер проверил новый выключатель |
17 | Ребенка оставили дома |
18 | С дерева упал галчонок |
19 | Торговый договор заключили |
20 | На совещании выступал директор |
21 | Шофер полез под машину |
22 | Все якоря были подняты |
23 | Автор согласился с критикой |
24 | Профессор помогает молодежи |
25 | Слышался шум волн |
26 | Путешественники ехали на пароходе |
27 | Казаки уходили от преследователей |
28 | Палата была невелика |
29 | Начался сеанс связи |
30 | Их объединила опасная боевая жизнь |
31 | На концерте выступали танцоры |
32 | Женщины полоскали белье |
33 | Получена телеметрическая информация |
34 | Рабочие выкопали глубокую яму |
35 | Мастера закончили выделку кож |
36 | Документы сложили в портфель |
37 | Статью передали по радио |
38 | В деревне построили силосную башню |
39 | Южное направление давно закрыто |
40 | Ветки вишен пестрят цветами |
41 | Сварили варенье из вишен |
42 | В сухую пору бывают пожары |
43 | Новый год встречают везде |
44 | Мы живем в хорошее время |
45 | Я видел это кресло |
46 | Подводная лодка погрузилась в воду |
47 | Работа его удовлетворяла |
48 | У ворот вьются флаги |
49 | Знамена плывут на параде |
50 | Он поехал через лес |
Таблица Д.7
Номер п/п | Фразы |
1 | В комнату вбежала девушка |
2 | Письмо запечатано сургучом |
3 | Конструктор склонился над чертежом |
4 | Флаг взвился над башней |
5 | На полотенце лежал каравай |
6 | Пруд зарос камышом |
7 | Над рощей плыли облака |
8 | Председатель колхоза сидел у стола |
9 | Директор школы открыл собрание |
10 | Жизнь в нашем городе бьет ключом |
11 | Герои вернулись домой с победой |
12 | К больному подошла сестра |
13 | Улица была плохо освещена |
14 | Няня гуляла с малышами |
15 | Продавец отпускал товар |
16 | Лес начинался за дачей |
17 | Снаряд пробил броню |
18 | Собачонка погналась за птенцами |
19 | На стадионе построились спортсмены |
20 | Широкая канава преградила путь |
21 | Двери гаража открывались автоматически |
22 | Аэростат закрепили на тросах |
23 | Все скамейки в саду были заняты |
24 | Вода в колодце высохла |
25 | Из блиндажа застрочил автомат |
26 | Совхоз получил щедрый урожай |
27 | Вдали сверкает горный водопад |
28 | Радисты принимали на слух |
29 | На реке появляются первые льдины |
30 | Летний переход был завершен |
31 | Финны взяли новую машину |
32 | Механик вышел из заводского гаража |
33 | Министерство распределяет научные кадры |
34 | Химики награждены почетными орденами |
35 | Звонок раздался совершенно неожиданно |
36 | Лошадь запрягли в телегу |
37 | Больной берег свое здоровье |
38 | Общее состояние генерала ухудшилось |
39 | Парад состоится на площади |
40 | Докладчик говорил о доблести |
41 | Над высотой взвилась ракета |
42 | Жители насыпали курган |
43 | Мы шатались от усталости |
44 | Голоса на улице стали громче |
45 | Начальник штаба составил донесение |
46 | Слух о поражении распространился быстро |
47 | Госпиталь оборудован на острове |
48 | Лекция о металлах окончилась |
49 | Абитуриенты готовились к экзаменам |
50 | Он занялся ловлей певчих птиц |
Таблица Д.8
Номер п/п | Фразы |
1 | Мать отлично играла на пианино |
2 | По мосту дробно простучали колеса |
3 | Игрушки очень обрадовали целинников |
4 | Эта беседа всех развеселила |
5 | Сторож посветил нам фонариком |
6 | В институте я изучал физику |
7 | Поезд плавно отходит от платформы |
8 | В колхозе организовали учебу трактористов |
9 | Началась перестройка завода |
10 | Статью трудно было изменить |
11 | Солдаты не заметили натянутой проволоки |
12 | Железо раскалилось докрасна |
13 | Всходы моркови надо проредить |
14 | К февралю надо вычистить парники |
15 | В июле зачастили дожди |
16 | Среди долины возвышался дуб |
17 | Вдали звенит колокольчик |
18 | Снег заскрипел под полозьями |
19 | Дежурный принес одежную щетку |
20 | Мы закрепили болты |
21 | Надо выучить стихотворение |
22 | Нужно скрепить бочку обручами |
23 | Волосы у него рано поседели |
24 | Зимний вечер был тихий |
25 | На посадочной полосе зеленые огни |
26 | В гастрономе лежит ветчина |
27 | В школе начались занятия |
28 | В школьном огороде посадили морковь |
29 | Кирпич подвозят круглосуточно |
30 | В городах улицы убирают машины |
31 | Посетитель вошел в вестибюль |
32 | Выполняю правый разворот |
33 | Большая площадь опустела |
34 | Два рыбака выбирали снасть |
35 | Передайте срочно сведения |
36 | За окнами светила звезда |
37 | Луч солнца блестит в луже |
38 | Направление держать прежнее |
39 | Врач прикоснулся марлей к ране |
40 | Произошло короткое замыкание |
41 | Механик запустил двигатель |
42 | Подсобные рабочие готовили раствор |
43 | Солдаты поднялись в атаку |
44 | Обед запоздал на два часа |
45 | Разговор коснулся литературы |
46 | Все расположились вокруг костра |
47 | Я могу положиться на вас |
48 | В раскаленном воздухе пахло гарью |
49 | Давайте играть в жмурки |
50 | Казаки преследовали врага |
Таблица Д.9
Номер п/п | Фразы |
1 | На лесозаводе пилят лес |
2 | Теплоход направляется к пристани |
3 | Двор был окружен решеткой |
4 | Город основан двести лет назад |
5 | Глаза у обезьянки были грустные |
6 | Речка была неглубокая |
7 | Пешеход нарушил правила движения |
8 | За кустами виднелась речка |
9 | Сон больного был тревожный |
10 | Наберите максимальную высоту |
11 | Туристы двинулись дальше |
12 | Подъем на гору был трудный |
13 | Впереди видите цель |
14 | Спутник оказался молчаливым |
15 | Движения его были замедленными |
16 | Путники осторожно шли по доскам |
17 | Отдых был кратковременным |
18 | Прошлое лето было сырым |
19 | Мы решали интересные задачи |
20 | Движения мастера были спокойными |
21 | Новый ученик был подвижным |
22 | Впереди шел сухонький старичок |
23 | Листья шумели над головой |
24 | Повторите последнюю фигуру |
25 | В утреннем небе мелькают галки |
26 | Вижу яркие бакены |
27 | Листья шумели над головой |
28 | Голос малиновки звучит звонко |
29 | Ему тесно в одной комнате |
30 | Это был человек исключительной силы |
31 | Метод считайте верным |
32 | Случай разрешил мои проблемы |
33 | Герасим работал за четверых |
34 | На обрыве гнездятся зимородки |
35 | По берегу расхаживают утки |
36 | Фюзеляж гидроплана проверен |
37 | Снег покрыл землю |
38 | Иней украсил деревья |
39 | За горой течет река |
40 | Стояла великолепная погода |
41 | Три брата пошли купаться |
42 | Я получил посылку с учебниками |
43 | Из типографии получили книги |
44 | Я не пропустил ни одного занятия |
45 | Бригада состояла из четырех рабочих |
46 | Пионеры отправились в поход |
47 | Учащиеся были в театре |
48 | Девочка потеряла кошелек |
49 | Подъехал автобус с пассажирами |
50 | Весна наступила раньше срока |
Таблица Д.10
Номер п/п | Фразы |
1 | Спорт требует упорства |
2 | Концерт передавался по радио |
3 | Первый поезд отходит рано |
4 | Спортсмен сменил футболку |
5 | Консервы хранились в ящиках |
6 | Сначала сдают математику |
7 | Население страны увеличивается |
8 | Офицер отдал приказ |
9 | Школа построена недавно |
10 | Буря бушевала до утра |
11 | Недалеко от деревни находится лес |
12 | Стояли теплые весенние дни |
13 | В классе стоит двадцать парт |
14 | Мама пошла в магазин |
15 | Егор сидел рядом со мной |
16 | Передо мной промелькнуло детство |
17 | Тучи собирались в вышине |
18 | Дорога вилась между кустами |
19 | Неприятное чувство шевельнулось во мне |
20 | По улицам шли демонстранты |
21 | Над колоннами развевались флаги |
22 | Солнечные лучи освещают город |
23 | Аромат цветов наполнил воздух |
24 | Артисты обещают концерт |
25 | Студенчество стремится к знаниям |
26 | Синицы зимуют в Эстонии |
27 | Химики проходят практику |
28 | Геологи сдержали слово |
29 | Андрей писал письма товарищам |
30 | Нина взяла из портфеля учебник |
31 | Обстоятельства заставили покинуть родину |
32 | Девочка облила себя водой |
33 | Летчик видит хорошо |
34 | Я купил пачку цветных карандашей |
35 | Футболист забил гол |
36 | Гидролог осмотрел плотину |
37 | В кишлаке веселый праздник |
38 | Врач беспокоится о больном |
39 | Мальчик не боялся коня |
40 | Юннаты получили сортовые семена |
41 | Мужчина помог вытащить телегу |
42 | Летчицы выполняют фигуры |
43 | Семья оставалась дома |
44 | Моторист слышит помехи |
45 | В степи была биостанция |
46 | Я пойду сегодня на каток |
47 | Громко щелкнул выключатель |
48 | Директор поблагодарил служащих |
49 | В книге недоставало страниц |
50 | Ученик понял решение задачи |
Таблица Д.11
Номер п/п | Фразы |
1 | За столом никто не лишний |
2 | Охотник убил лису |
3 | Под землею шевелится не замерзшее зерно |
4 | Павел опустил занавеску |
5 | Однажды мы ночевали на озере |
6 | У борта лодки вынырнула рыба |
7 | Теплоходы идут по волжским водам |
8 | Грузооборот увеличивается с каждым годом |
9 | Он раздвинул кусты жимолости |
10 | Мы спустились в подземелье |
11 | Я остановился у входа в дом |
12 | Две струи света лились сверху |
13 | Большие колонны поднимались вверх |
14 | Мальчик сломал санки |
15 | Ленинград основан в восемнадцатом веке |
16 | Он был вынужден скрываться |
17 | Грудь его точит недуг |
18 | Я почувствовал себя неловко |
19 | Он не терпел неправды |
20 | Скамейка выкрашена краской |
21 | Гепард бежит скачками |
22 | В кабинет директора вошел рабочий |
23 | Ученик пишет сочинение |
24 | Ребята тихо разошлись |
25 | Комбайн убирает пшеницу |
26 | Мы сидим на берегу озера |
27 | Мачеха невзлюбила пасынка |
28 | Рысь вышла из травы |
29 | Надо быстрее перевести картофель |
30 | Мы любим вечерние прогулки |
31 | Молодежь пела песни |
32 | Шофер хорошо управлял машиной |
33 | Туристы заночевали в лесу |
34 | Охотник подстрелил утку |
35 | Мальчик поймал окуня |
36 | Цветы завяли от холода |
37 | Дети слушали рассказ бабушки |
38 | Старушка дремала в кресле |
39 | Мать попросила купить керосин |
40 | Товарищ отрезал мне сыр |
41 | Я не люблю сырость |
42 | Мать умывает ребенка |
43 | Солнце нагревает землю |
44 | Учитель проверяет тетради |
45 | Колхоз успешно выполнил план |
46 | Шахтеры стучали молотками |
47 | Буря долго не утихала |
48 | Андрей прыгает с шестом |
49 | Школьный хор спел любимую песню |
50 | В этом году долго цвели яблони |
Таблица Д.12
Номер п/п | Фразы |
1 | Вечером я буду решать задачи |
2 | Вера вышивает полотенце |
3 | Мы будем собирать камни |
4 | Сегодня натираем полы |
5 | Ребята долго ловили рыбу |
6 | Хозяйка отпирала шкатулку |
7 | На груди висит значок |
8 | На небе блеснула молния |
9 | День становится короче |
10 | Во дворах лежит снег |
11 | Соседка щелкнула дверью |
12 | Николай кончил говорить |
13 | Зарево расстилается все шире |
14 | Он зажигал дрова в камине |
15 | Самолеты летели на фронт |
16 | Солдаты пели в лесу |
17 | Они знали химию |
18 | Сложите дрова в сарай |
19 | На огороде подровняли грядки |
20 | Книги переложили на верхнюю полку |
21 | Мы лежим на берегу моря |
22 | В долине вырос поселок |
23 | Геологи расположились у реки |
24 | Мальчики за лето подросли |
25 | Яму во дворе заровняли |
26 | Мой отец работает на заводе |
27 | Наша группа идет в театр |
28 | Юноша приобрел профессию |
29 | Пиротехник спас зверей |
30 | Цех построили зимой |
31 | Ветер поднимался постепенно |
32 | Снежинки опускаются медленно |
33 | Степи изобилуют хищниками |
34 | Гена разбил стекло |
35 | Я вышел из дома в 8 часов |
36 | Человек размахивал руками |
37 | Через год я кончаю школу |
38 | На дне долины ложится пар |
39 | Мы сидим на берегу озера |
40 | Изредка пробежит по воде ветерок |
41 | Сеня часто заходил к нам |
42 | Вчера мы ходили на экскурсию |
43 | Мы вышли из школы утром |
44 | Мальчик шел по берегу реки |
45 | Я купил себе косу |
46 | Студенты взяли блокноты |
47 | Инструктор показал фюзеляж |
48 | Лед поблескивал на пруду |
49 | Штукатур стучал в передней |
50 | Узнаю китайские орнаменты |
Таблица Д.13
Номер п/п | Фразы |
1 | Идет разгрузка транспорта |
2 | Прошло веселое лето |
3 | Пионеры купались в реке |
4 | Ярко светит солнце |
5 | Рыба клюет хорошо |
6 | Луг покрылся цветами |
7 | Летом дети жили в лагере |
8 | В вершинах деревьев кричит иволга |
9 | Ребята лопатами направляют ручьи |
10 | Кончилось золотое лето |
11 | Мальчики нарисовали картинки |
12 | Конькобежцы приняли старт |
13 | Дети ели вкусный торт |
14 | У речки правый берег выше |
15 | Весной луг покрылся цветами |
16 | На реке был хороший пляж |
17 | Звонко запел чиж |
18 | Расцвел серебристый ландыш |
19 | Лестница ведет на второй этаж |
20 | Малыш спал в кроватке |
21 | Танк ждал у дороги |
22 | В небе запел соловей |
23 | За домом построили большой гараж |
24 | Сторож построил на огороде шалаш |
25 | Папа получил на вокзале багаж |
26 | Осеннее солнце прячется за тучами |
27 | Опадают листья с деревьев |
28 | Утром раздается крик журавлей |
29 | Стоял жаркий день |
30 | Раньше здесь была топь |
31 | Мороз сковал землю |
32 | На деревьях уселась стая ворон |
33 | Вдали виднелось село |
34 | У ручья растут сосны |
35 | На берег реки набежали волны |
36 | Вдруг налетела туча |
37 | Синицы искали ночлег |
38 | Муравей тащил тяжелую ношу |
39 | Отцу рассказали все |
40 | Малыши носили снежные комья |
41 | В школе большая столовая |
42 | С горы катаются ребята |
43 | Солнце встает поздно |
44 | Грачи улетели за кормом |
45 | Голодная лиса залезла в курятник |
46 | На деревьях появились листья |
47 | Сердито завывал холодный ветер |
48 | Производительность труда увеличилась |
49 | Наступил долгий зимний вечер |
50 | Елка сверкала огнями |
Таблица Д.14
Номер п/п | Фразы |
1 | Дети жили в деревне у бабушки |
2 | В ящиках лежали помидоры |
3 | Накопали много червей |
4 | Дует северный ветер |
5 | Птицы улетают на юг |
6 | Машины зажгли фары |
7 | Трещат глупые сороки |
8 | В школе создали уголок природы |
9 | На березах стрекочут сороки |
10 | Девочки приготовили обед |
11 | На окнах стоят цветы |
12 | Журавли летят высоко |
13 | У буренки родился теленок |
14 | Дети вернулись в город |
15 | Эсминец бороздил океан |
16 | Радист подготовил прием |
17 | Химик уточнил расчеты |
18 | Бабушка сломала березовый прутик |
19 | Школьники ходили парами |
20 | Сильный холод сковал пруд |
21 | Из трубы завода вьется дымок |
22 | Волк опустил в прорубь свой хвост |
23 | Ракета сбивает цель |
24 | Выпал пушистый снег |
25 | Вокруг озера стоят камыши |
26 | Началась веселая игра |
27 | Вечером все были дома |
28 | Зимой снег засыпает лес |
29 | На волнах качалась лодка |
30 | В поле зреют хлеба |
31 | На грядке растут огурцы |
32 | Слесарь наточил пилу |
33 | У ореха было вкусное ядро |
34 | Буря разбила стекла |
35 | Малиновка свила в кустах гнездо |
36 | Часовщик починил часы |
37 | В поле шумели косилки |
38 | Физик проверил ввод |
39 | Рыбак ставил сеть |
40 | В половодье затопило луг |
41 | В горах погиб скот |
42 | Лучи солнца глядят в комнату |
43 | Над полянами льются песни птиц |
44 | На тропинке встретились два горца |
45 | В понедельник прилетели синицы |
46 | На участке краснеют помидоры |
47 | Машина приехала на ферму |
48 | Ярко светит солнце |
49 | Термометр показывает ноль |
50 | Срочно выполняйте снижение |
Таблица Д.15
Номер п/п | Фразы |
1 | Сегодня дети идут в школу |
2 | Школьники собирают гусениц |
3 | Ребята весело плещутся в реке |
4 | Собака ищет палку |
5 | Миша с дедушкой удят рыбу |
6 | В траве краснеют ягоды |
7 | Колхозники косят траву |
8 | Часто моросит мелкий дождь |
9 | В саду цветут цветы |
10 | С севера дует холодный ветер |
11 | Пилот произвел взлет |
12 | За деревней тянется лес |
13 | Птицы улетели на юг |
14 | Лесник угостил свежим медом |
15 | За садом ухаживает садовник |
16 | Ночью была вьюга |
17 | Голуби летят пестрой стаей |
18 | Девочка сама сварила суп |
19 | За дверью послышался голос |
20 | Наш коллектив живет дружно |
21 | Мяч мелькал над сеткой |
22 | На грядках растет морковь |
23 | В магазинах продают обувь |
24 | Ребенка мыли ежедневно |
25 | Ночью был сильный снегопад |
26 | В саду распускается шиповник |
27 | Над рекой летают чайки |
28 | Ребята выбежали во двор |
29 | Прошел теплый летний дождь |
30 | Снег покрыл весь берег |
31 | Змей летел высоко |
32 | В зале звучал фокстрот |
33 | Волна чуть не утопила лодку |
34 | Вдоль дороги стоят столбы |
35 | Давно не было дождей |
36 | Эдик стал геологом |
37 | Начались школьные каникулы |
38 | Елка сверкала огнями |
39 | За окном гудит вьюга |
40 | Ребята гуляли в лесу |
41 | Воробьи пищали за окном |
42 | В лесу сторож заметил лису |
43 | Небо стало синеть |
44 | Начальники вошли в цех |
45 | Дорога шла между кустами |
46 | Дети зимой кормили птичек |
47 | Реки покрылись ледяной корой |
48 | Заяц быстро бежал по опушке |
49 | Стрелка приближалась к часу |
50 | В лесу было много черники |
Таблица Д.16
Номер п/п | Фразы |
1 | Весной возвратятся перелетные птицы |
2 | Стоит ненастная погода |
3 | Солнце меньше греет землю |
4 | Вехи поставлены быстро |
5 | Туман окутал окрестность |
6 | Воины поздравляют своего товарища |
7 | Сухой тростник шумит на ветру |
8 | С грустным криком летели журавли |
9 | Женщина работает на ферме |
10 | В школу приехал писатель |
11 | Зина получила назначение |
12 | Настало раннее утро |
13 | Яхту можно перегнать |
14 | Мы собрали осенние листья |
15 | Солнце посылает теплые лучи |
16 | Пришло радостное лето |
17 | В небе вспыхнула зарница |
18 | Дорожки покрыты лужами |
19 | Птицы вьют гнезда |
20 | Колхозники пашут поля |
21 | Вдали стучит трактор |
22 | Маляры красят стены |
23 | Отец читал газету |
24 | Плотники строили сарай |
25 | Белка грызет орехи |
26 | Пришла золотая осень |
27 | Ровными рядами растут яблони |
28 | Девочка пошла в лес |
29 | Герой участвует в бою |
30 | На столе стояла чашка |
31 | Школьники сажали кустарник |
32 | С улицы послышался крик |
33 | Рыбаки прорубили лунку |
34 | Завод работает ритмично |
35 | На огороде росла клубника |
36 | Был чудесный летний день |
37 | Колхозники ворошили сено |
38 | Борцы вышли на ринг |
39 | На спутниках летают космонавты |
40 | Ученица разбила колено |
41 | Почтальон разносит письма |
42 | Воробьи чирикают на крыше |
43 | Тракторист пашет землю |
44 | Война началась внезапно |
45 | Колхозники убирают хлеб |
46 | Лето было сухим и жарким |
47 | Мальчики идут на охоту |
48 | Рабочие разобрали снежные завалы |
49 | Развернулись молодые листочки |
50 | Майские жуки выползают из земли |
Таблица Д.17
Номер п/п | Фразы |
1 | В расчетах допущена ошибка |
2 | Вертолет медленно опускался |
3 | Бусинки рассыпались по полу |
4 | Крышу покрыли соломой |
5 | Акробаты состязались в ловкости |
6 | Из комнаты вышел казак |
7 | В полдень дождь перестал |
8 | Кофе разливали из кофейника |
9 | Пионеры разложили костер |
10 | Специальность выбирают по душе |
11 | В магазине висел костюм |
12 | Контора разместилась в вагоне |
13 | Забойщики дают уголь |
14 | Изредка в речке плеснет рыба |
15 | Я убедился в его искренности |
16 | Туристов привлекало Подмосковье |
17 | Туман ухудшал видимость |
18 | Самолет плавно набирал скорость |
19 | Пассажиры расположились в креслах |
20 | Люстра украшала комнату |
21 | Хек мечет икру |
22 | Невнимательность была причиной ошибок |
23 | Сеня жаловался на нездоровье |
24 | Автомобиль свернул в переулок |
25 | Поваленное дерево преградило путь |
26 | Воду превратили в пар |
27 | Писатель переселился в деревню |
28 | Вдоль дорожек цвели незабудки |
29 | Командир проявил нерешительность |
30 | Физик сделал киноаппарат |
31 | Наблюдатель заметил огневую точку |
32 | Елка стояла у окна |
33 | В городе процветала торговля |
34 | В условие задачи вкралась ошибка |
35 | Атака противника была отбита |
36 | Матч начался с опозданием |
37 | Подозрительность никого не украшает |
38 | Спортсмены прокладывали лыжню |
39 | Поздняя осень несет непогоду |
40 | Машина не выдержала перегрузки |
41 | Слезы появились на ее глазах |
42 | Масло покупают в магазинах |
43 | Всходы семян погибли |
44 | Химкомбинат переезжает за город |
45 | Отец подарил мяч |
46 | Злая собака сорвалась с цепи |
47 | Окна класса выходят на юг |
48 | В квартире было совсем тихо |
49 | Два дня мы были в перестрелке |
50 | Дети сидели на холодном камне |
Таблица Д.18
Номер п/п | Фразы |
1 | Птицы уничтожают вредителей |
2 | Лес постепенно темнеет |
3 | Рядом вьется асфальтированное шоссе |
4 | Музыка гремела до утра |
5 | В колхозе готовится званый обед |
6 | Я возвращался с охоты |
7 | Огонь снова разгорелся |
8 | Утро пришло безоблачное |
9 | В воздухе разливалась свежесть |
10 | Ребятишки весело зашлепали по лужам |
11 | Люди радовались дождю |
12 | Через неделю друзья уезжают |
13 | Передо мною расстилались поля |
14 | Мы подошли к перевозчику |
15 | Началась перегрузка арбузов |
16 | Воздух наполнился запахом ландышей |
17 | Ночь была безлунная |
18 | Экскурсанты приехали на поезде |
19 | Солнце осветило верхушки деревьев |
20 | Отец подарил Виктору книгу |
21 | В зоопарке мы видели оленя |
22 | Над нами пролетели сороки |
23 | Шла вечерняя передача |
24 | Канал соединяет Волгу и Дон |
25 | На верхушке березы сидит ворона |
26 | По шоссе мчатся автомашины |
27 | Дымят трубы фабрик и заводов |
28 | Солнышко растопило снег |
29 | Наш отряд пойдет в поход |
30 | Раздался удар грома |
31 | С неба льются лучи солнца |
32 | Золотится спелая рожь |
33 | Дружно работают ребята |
34 | Шофер ведет машину |
35 | Щенки открыли глаза |
36 | Первая капля ударила по крыше |
37 | Снова сверкнула молния |
38 | Этап был завершен |
39 | На лужайке пасется корова |
40 | Мы шли по дороге на восток |
41 | Сверху доносились песни жаворонка |
42 | Построили новый вокзал |
43 | Промчался голубой автомобиль |
44 | Телеграмму доставили своевременно |
45 | Колхозники справились с трудностями |
46 | На поле рос клевер |
47 | Заяц перебежал дорогу |
48 | Зеленым частоколом выстроились деревья |
49 | Задачу объяснить трудно |
50 | Это место опасно для мореплавателей |
Таблица Д.19
Номер п/п | Фразы |
1 | Дети устраивают в садах скворечники |
2 | Дело сделано заново |
3 | Поезд мчится быстро |
4 | Бабушка прочитала письмо |
5 | В феврале шел снег |
6 | Тоня показала мне книги |
7 | Мороз щипал уши |
8 | Блестит зимнее солнце |
9 | Трудовой год кончился |
10 | Он лег в постель |
11 | Легкий пар клубится у реки |
12 | Дети радуются солнцу |
13 | Отряды будут работать в поле |
14 | Шофер сел за руль |
15 | Солнце осветило поля |
16 | Товарищи уезжали в Белоруссию |
17 | Ветер гонит волны на запад |
18 | Жнивье сгорело от взрыва |
19 | Здания находились в центре |
20 | В бедном домике жил лесник |
21 | Дождь стучит по окну |
22 | Дом полностью перестроен |
23 | Туристы пошли по маршруту |
24 | Надо мной нависли ветви елок |
25 | В горах цветет кизил |
26 | Надо помогать птицам |
27 | Солнце быстро садилось |
28 | Печально прокричала иволга |
29 | Материал сильно смят |
30 | Птицы улетели на юг |
31 | Пассажиры оживленно разговаривают |
32 | Огонек скоро погас |
33 | Волчата ничего не понимали |
34 | Техник погибал от ран |
35 | Они проделали огромный путь |
36 | Дружина собралась в лагере |
37 | Станция очень живописна |
38 | Электростанции дают ток |
39 | Секунда прошла незаметно |
40 | Девочка обиделась на брата |
41 | Смотрели интересный фильм |
42 | Фонарь светил ярко |
43 | Воробьи от солнца опьянели |
44 | Товарищ произнес горячую речь |
45 | Тихо шуршит камыш |
46 | Стояла суровая зима |
47 | День приближался к концу |
48 | Кирпич подвозили круглосуточно |
49 | Быстро гасла заря |
50 | Роща была красива |
Таблица Д.20
Номер п/п | Фразы |
1 | На заводе создана футбольная команда |
2 | Из музея похищены ценности |
3 | Насекомые являются опасными вредителями |
4 | Школьник разбил стекло |
5 | В деревне лаяли собаки |
6 | Наступила ранняя осень |
7 | Плывут низкие облака |
8 | За окнами мелькают телеграфные столбы |
9 | Яблони качаются в цвету |
10 | Веет теплый ветер |
11 | Степь переходила в лес |
12 | Ветер носился над морем |
13 | Рулевой внимательно смотрит вперед |
14 | Мать рассказала о зимовке |
15 | Туристы побывали в Ярославле |
16 | Промышленные предприятия работают |
17 | Зимой мы жили в городе |
18 | Солнце заходит на западе |
19 | Пассажиры беседовали об урожае |
20 | Преподаватель рассказал о подвиге |
21 | Рыболовы сидели на берегу |
22 | На опушке рощи было много сыроежек |
23 | Мы шли по аллее парка |
24 | В России много березовых рощ |
25 | Врач оказал помощь больному |
26 | Тренировки начались по плану |
27 | Зеленеют колхозные поля |
28 | Поезд плавно подходит к станции |
29 | В мутной воде плавают караси |
30 | Яхта остается в море |
31 | Животное привезли вчера |
32 | Бабушка надела очки |
33 | Брат схватился за голову |
34 | В школьном саду растут яблони |
35 | Весной к нам прилетают грачи |
36 | Пионеры отдыхали в лагере |
37 | Ребята накопали червей |
38 | Спорт увлекал офицера |
39 | Иней сверкал на деревьях |
40 | Туристы побывали на Кавказе |
41 | Юноши стреляли метко |
42 | Быстро растаял снег |
43 | Стога гибнут от дождей |
44 | В небе блеснули звездочки |
45 | Хищник охотится за перепелкой |
46 | Прошлым летом я жил в деревне |
47 | Я вчера был на реке |
48 | Завтра ребята пойдут за грибами |
49 | На стадионе состоялся футбольный матч |
50 | Каждый человек должен трудиться |
Таблица Д.21
Номер п/п | Фразы |
1 | Назначен капитан сборной команды |
2 | Снег потерял свою белизну |
3 | Операция прошла успешно |
4 | Птицы помогают людям вырастить |
5 | С деревьев осыпаются листья |
6 | Весело стучат колеса поезда |
7 | Павел присел на стул |
8 | Звонок разбудил щенка |
9 | На столе лежали книги |
10 | Павел встал рядом с матерью |
11 | Здание филармонии красиво |
12 | В одной избе мелькнул огонек |
13 | Здоровье отца беспокоило |
14 | Кот поцарапал ребенка |
15 | Повсюду слышалось эхо |
16 | Луга оказались под водой |
17 | В институте изучают язык |
18 | Искусство возрождается в Якутии |
19 | Сад тихонько зашумел |
20 | Весенняя молния вспыхнула в небе |
21 | Ласточки стремительно летали над землей |
22 | Взрослые спрятались по домам |
23 | Связисты искали геолога |
24 | Андрюша читал газету |
25 | Утром ребята пойдут за грибами |
26 | Маленькие дети сонливо посапывают |
27 | На синем небе появились первые звезды |
28 | Я люблю летние вечера |
29 | По серому небу ползли тучи |
30 | Желтая трава низко пригибалась |
31 | Сапоги казались легкими |
32 | Мороз щипал лицо |
33 | Суховей уменьшил урожай |
34 | Постепенно луга зеленели |
35 | Телеги грохочут по мосту |
36 | У юнги широкие плечи |
37 | Выпавший снег быстро растаял |
38 | Природа медленно пробуждалась |
39 | Снег покрыл землю |
40 | В избу вошел лесник |
41 | Сверкнула яркая молния |
42 | Река вышла из берегов |
43 | Конфеты подарил друг |
44 | Тучи заслонили небо |
45 | Ветер клонит желтый тростник |
46 | На заводе появилась техника |
47 | По лесу шел охотник |
48 | Тишина воцарилась в зале |
49 | Ветер помогал перебежке |
50 | На западе загремел первый гром |
Таблица Д.22
Номер п/п | Фразы |
1 | Ребенок ходит в ясли |
2 | Дети катаются на коньках |
3 | Отряд выступил в поход |
4 | Высоко в небе летят самолеты |
5 | Санитарная комиссия следит за чистотой |
6 | Билеты продают в кассе |
7 | Липовая аллея вела к саду |
8 | Дождь растопил последний снег |
9 | Кончилась длинная ночь |
10 | Школьники отправились в пионерский лагерь |
11 | Кругом тянулись широкие поля |
12 | Шумели тенистые леса |
13 | Наступило жаркое лето |
14 | Танцовщица устроилась в цирк |
15 | Грачи чинят старые гнезда |
16 | Пригрело весеннее солнце |
17 | Журавль взмахнул крыльями |
18 | Солнце греет землю |
19 | Белые облака неслись по небу |
20 | Высокие осины шумели над головой |
21 | Скоро прилетят птицы |
22 | Настала ранняя осень |
23 | Кудрявые березы тихо качались |
24 | В траве краснела спелая земляника |
25 | Солнце осветило вершины деревьев |
26 | Над цветами громко жужжали пчелы |
27 | В небе раздавались песни жаворонка |
28 | Осенью птицы улетели на юг |
29 | Колхозные поля зазеленели |
30 | Ночью шел проливной дождь |
31 | Завтра пионеры поедут в лагерь |
32 | Леса защищают урожай от засухи |
33 | Сухой камыш шуршит на ветру |
34 | Дорожка шла к аллее |
35 | Охотники грелись у костра |
36 | Самолет прошел над границей |
37 | В доме были осмотрены все уголки |
38 | Многие лекарства делают из трав |
39 | На большом заводе много рабочих |
40 | Моторы нужны машинам |
41 | Поезда метро быстро перевозят людей |
42 | Ребята собирают металлический лом |
43 | В поле качалась белая ромашка |
44 | Лепестки шиповника сыпались на дорогу |
45 | Ранней весной вернулись скворцы |
46 | Комнатные цветы зимой не цветут |
47 | Грузовики подвозят готовые части дома |
48 | Заяц спрятался в кустах |
49 | План утверждают в области |
50 | Космонавты совершают полеты к звездам |
Таблица Д.23
Номер п/п | Фразы |
1 | Белые медведи не боятся холода |
2 | Осенью птицы летят на юг |
3 | Диктора поразило сообщение |
4 | В этом году зима запоздала |
5 | Ненастье мешало детям гулять |
6 | Солнечных дней стало мало |
7 | Лестницу украсили ветками сосны |
8 | Художники устроили выставку |
9 | Недалеко от ручья пасли стадо коров |
10 | В гнезде вывелись птенцы |
11 | Солнце светит все ярче |
12 | Капли дождя застучали по листьям |
13 | Дорога вела в город |
14 | В траве распустились желтые одуванчики |
15 | Весной трава зеленеет |
16 | На небе появилась радуга |
17 | На степные просторы выехали машины |
18 | В саду шумели деревья |
19 | Зимой в колхозе много работы |
20 | Птица живет в лесу |
21 | На опушке леса выросла береза |
22 | Солнце ласково смеется |
23 | Шумит темный лес |
24 | Было солнечное апрельское утро |
25 | По радио передали важное сообщение |
26 | Грачи важно ходят по пашне |
27 | Пчела ищет медоносные цветы |
28 | Трикотажники выполнили план |
29 | Труд всем полезен |
30 | Дети смастерили кормушку |
31 | Крупные яблоки покраснели |
32 | В огороде будет большой урожай |
33 | Подул студеный ветер |
34 | Голые деревья стоят в лесу |
35 | Черные облака закрыли солнце |
36 | В небе вспыхнула молния |
37 | Бабушка приготовила ужин |
38 | Звенит школьный звонок |
39 | Ребята решают задачи |
40 | Пастух пасет коров |
41 | Бабушка шьет платье |
42 | На наших глазах вырос город |
43 | Цветы цветут в парке |
44 | Тетерка гуляла на опушке леса |
45 | На проталинах показались цветы |
46 | Фирма переехала в Ялту |
47 | Космические полеты прославили страну |
48 | В столице много музеев |
49 | Клевер пышно рос у дороги |
50 | Незабудки выглядывали из осоки |
Таблица Д.24
Номер п/п | Фразы |
1 | Наступило первое сентября |
2 | Милиционеры сменили форму |
3 | Ребята помогают колхозникам |
4 | Опадают желтые листья |
5 | Раньше здесь был глухой край |
6 | По рельсам бегут поезда |
7 | Наступила ранняя осень |
8 | На участке работали школьники |
9 | В банке плавал ерш |
10 | Дети ходили в рощу за щавелем |
11 | Уныло глядят голые кусты |
12 | Футбол привлекает болельщиков |
13 | Наш класс готовит выставку |
14 | Мы живем в Москве |
15 | Осенью часто идут дожди |
16 | Грачи свили гнезда на березах |
17 | Льет сильный дождь |
18 | Собака радостно встречает хозяина |
19 | Осенью пожелтели листья на березах |
20 | На улице появились люди с лопатами |
21 | Осенью школьники отправились в лес |
22 | Городской парк находился недалеко |
23 | Пастухи выгоняют скот на пастбища |
24 | На окнах стоят цветы |
25 | Идет холодная зима |
26 | Опадают листья с деревьев |
27 | Полил сильный дождь |
28 | Летом ребята гуляют в лесу |
29 | Дети с трудом добрались до школы |
30 | Дорожки занесло снегом |
31 | Хор выступил по телевидению |
32 | Лисицы резвились в лесу |
33 | Колхозники собрали хороший урожай |
34 | Сизый голубь сел на крышу |
35 | На пруду появился тонкий лед |
36 | Дети делали снежную бабу |
37 | Художники бегут в ателье |
38 | Туристы жили у самой горы |
39 | Шумят густые травы |
40 | Вода в реке спала |
41 | Этот карандаш починен |
42 | Девочка долго спала |
43 | После дождя поле покрылось зеленью |
44 | Осенью часто идет дождь |
45 | Дети устроили для птиц кормушки |
46 | В овчарню повадился волк |
47 | Воробьи ночевали под крышей |
48 | Кот увидел на дереве гнездо |
49 | Спелые колосья клонятся к земле |
50 | Подарили дорогие духи |
Таблица Д.25
Номер п/п | Фразы |
1 | Ученик читал книгу по слогам |
2 | Крестьянки пололи грядки |
3 | Дети спрятались под густой елью |
4 | Мальчики грузили в машину капусту |
5 | Маляр разлил белила |
6 | В саду распускается шиповник |
7 | По реке ходят большие пароходы |
8 | В доме жили котята |
9 | Птицы собираются в стаи |
10 | За садом журчит ручей |
11 | В прозрачной воде плещутся рыбки |
12 | Наша семья большая |
13 | Мы работаем в колхозе |
14 | В саду желтеют деревья |
15 | Птичьи голоса смолкли |
16 | Дождь стучал по крыше |
17 | Орел вьет гнездо на скалах |
18 | Для рабочих сшили фартуки |
19 | Сегодня будет дежурить наш отряд |
20 | Дети вымыли посуду |
21 | Вечером стадо возвращается домой |
22 | Я люблю яркий свет солнца |
23 | Летом рано светает |
24 | Ночью в траве блестят светлячки |
25 | Зимой солнце греет мало |
26 | Девочки собирали картофель в мешки |
27 | Около сосен валялось много шишек |
28 | В лесу цветут ландыши |
29 | Над цветами кружились пчелы |
30 | Мы любим свою страну |
31 | Велосипедисты вмешались в борьбу |
32 | Школьники разговаривали дружно |
33 | Метель замела тропинки |
34 | Береза склонилась к воде |
35 | Корабли выстроились у причала |
36 | Эфир быстро выдыхается |
37 | Мама принесла капусту |
38 | Утром ученики делают зарядку |
39 | Дети сели в автобус |
40 | Дорога покрылась лужами |
41 | Октябрята провели воскресенье в лесу |
42 | Береза украсилась сережками |
43 | Школьники поехали на экскурсию |
44 | Разведчики пошли в разведку |
45 | Солдат всегда аккуратен |
46 | Коллекция книг стояла на полках |
47 | В середине комнаты стоял стол |
48 | Студенты отдыхают летом |
49 | Кошка поймала воробья |
50 | В голубом небе плыли облака |
Таблица Д.26
Номер п/п | Фразы |
1 | Всю ночь шел снег |
2 | Быстро наступила ночь |
3 | Из-за туч показалась луна |
4 | Внезапно распахнулась дверь |
5 | Матросы стойко борются со стихией |
6 | На горизонте видна черная точка |
7 | Весело шагали геологи |
8 | У него были светлые глаза |
9 | Мы любим нашу Родину |
10 | Миллионы людей трудятся |
11 | На манекен падал свет |
12 | Настало пионерское лето |
13 | В хижине ночевали зимовщики |
14 | Вдали белела яблоня |
15 | Открылся плавательный бассейн |
16 | Ядро пролетело над нами |
17 | Кучер взмахнул вожжами |
18 | Храбрец идет в разведку |
19 | Коридор превратили в картинную галерею |
20 | Эскадрон пошел в атаку |
21 | Путники двигались при свете луны |
22 | На выставке были самоцветы |
23 | На границе возвышались горы |
24 | Туристы расположились в гостинице |
25 | Мы едем в Сибирь |
26 | Капитан приказал идти на помощь |
27 | Мать глядит на ребенка |
28 | Нас волнуют вести о нашем герое |
29 | По сторонам аллеи росли ивы |
30 | Тройка помчалась по дороге |
31 | Троллейбусную линию довели до окраины |
32 | В тайге обнаружили марганец |
33 | Вновь открылась больница |
34 | В окошке виднелся огонек |
35 | Трудящиеся отмечают праздник |
36 | Мы гордимся своей страной |
37 | К нам пришли друзья |
38 | Первый день занятий прошел хорошо |
39 | Студенты помогали собирать урожай |
40 | События происходили на границе |
41 | Запряженная лошадь стояла у крыльца |
42 | Техники починили дизель |
43 | Звонко запел девичий голос |
44 | Поток шумел впереди |
45 | В классе вымыли полы |
46 | Сергей вычистил пальто |
47 | Столяр сделал книжные полки |
48 | По дороге двигались полки |
49 | Мальчик окончил школу |
50 | В угловой комнате было темно |
Таблица Д.27
Номер п/п | Фразы |
1 | Всегда работает буфет |
2 | По экскаватору мы спустились на станцию |
3 | Вечером состоялось посещение театра |
4 | В зоопарк привезли зверей |
5 | Нас очаровала игра на скрипке |
6 | Паровоз вышел из депо |
7 | За пристанью построили склады |
8 | Вагон требовал ремонта |
9 | Хозяин уволил рабочих |
10 | Ребенка туго запеленали |
11 | Машина опрокинулась в кювет |
12 | Квартиру оклеили обоями |
13 | Ночью в вагоне стало холодно |
14 | По крыше барабанил дождь |
15 | Отрыли окопы в рост |
16 | В тоннель ворвался свежий воздух |
17 | Сломали старый дом |
18 | Корабль пришел в док |
19 | Щи были очень вкусные |
20 | Хирург вырезал опухоль |
21 | Народу было много |
22 | Пальто повесили на вешалку |
23 | Бинокль был очень сильным |
24 | Партизаны освободили село |
25 | Гром раздался в степи |
26 | Зерна кофе размололи на мельнице |
27 | Мешок был полон плодов |
28 | Нужна глубокая вспашка |
29 | Река вышла из берегов |
30 | Ледокол прокладывает путь каравану |
31 | Жюри собралось в полном составе |
32 | Старинное пианино стояло у стены |
33 | Открыли новое кафе |
34 | Шоссе протянулось до самой границы |
35 | В клетке сидела синица |
36 | Ателье славится своими мастерами |
37 | Ливни освежают рощу |
38 | Санаторий находится на берегу озера |
39 | Пронзительно кричал какаду |
40 | Пожар распространялся по вершинам деревьев |
41 | Берега каналов выложены камнем |
42 | Запрещаю вход в зону |
43 | На пригорке краснеют стволы сосен |
44 | Корабль поднял паруса |
45 | Часто барахлил мотор |
46 | Уйдите на второй круг |
47 | Ружье хорошо бьет |
48 | Выполняйте первый полет |
49 | Посреди комнаты стоял стол |
50 | Сверяю курс по схеме |
Таблица Д.28
Номер п/п | Фразы |
1 | Быстрая ходьба нас согревает |
2 | Тишина леса нарушалась птичьим пением |
3 | Мы подходим к поляне |
4 | Старый лесник показал грибные места |
5 | Темное облако закрыло солнце |
6 | В углу висело вышитое полотенце |
7 | Полное безмолвие царило в лесу |
8 | Стихийное бедствие разразилось над страной |
9 | Началось резкое похолодание |
10 | На дне оврага журчал ручей |
11 | Экипажу разрешаю взлет |
12 | В комнате стоял старинный рояль |
13 | С ноги соскочила туфля |
14 | Зафиксируйте координаты станции |
15 | Новые ботинки были узкие |
16 | На витрине стояла красивая посуда |
17 | Квартира требует ремонта |
18 | Он положил рукопись на портфель |
19 | Состоялся военный парад |
20 | Собрание выбрало президиум |
21 | Младшая сестра поступила в институт |
22 | В книге не хватает страниц |
23 | Врач прописал микстуру |
24 | Самолет летел над лесом |
25 | Мы долго сидели под березой |
26 | Путники остановились около шалаша |
27 | Батарея открыла огонь |
28 | Передайте радиограмму зенитчикам |
29 | Дедушка жил на окраине деревни |
30 | В квартире праздновали новоселье |
31 | Собаку вели на поводке |
32 | Лошадь громко заржала |
33 | Дети написали письмо учителю |
34 | Лыжники торопились домой |
35 | Берегите главный механизм |
36 | Трудно копать землю |
37 | Дома собрались гости |
38 | Пшеница почти созрела |
39 | На дороге было большое движение |
40 | Строительство шло по плану |
41 | Подготовьте инструмент бортмеханику |
42 | Дети поливали капусту |
43 | Отец купил арбуз |
44 | Машинист заметил впереди пешехода |
45 | Собаке надели ошейник |
46 | Отец встретил старого товарища |
47 | В сарае раздался шум |
48 | Он отрезал кусок хлеба |
49 | Начался сбор винограда |
50 | На заводе очищают керосин |
Таблица Д.29
Номер п/п | Фразы |
1 | Больные дети направлены в санаторий |
2 | Пионеры бодро шагали по мостовой |
3 | Комиссия обследовала кладовую магазина |
4 | Скворец истребляет вредных насекомых |
5 | В гостиной стоял старинный рояль |
6 | Ребята долго беседовали с прохожим |
7 | Дежурного вызвали к директору |
8 | Дежурный ученик принес мел |
9 | Привезли мороженое мясо |
10 | Часть корабля разбита снарядом |
11 | Физику поняли хорошо |
12 | Кругом расстилалась степь |
13 | Он жил в поселке при станции |
14 | В саду было много цветов |
15 | Мальчик вырос в слободе |
16 | Болото скоро исчезло |
17 | Зверь шел на юг |
18 | Молодые березки еще сохраняют листья |
19 | Село кончилось низким строением |
20 | Он был похож на деда |
21 | Он посмотрел на часы |
22 | Густой мох покрывал старые пни |
23 | У берега дно было неровное |
24 | Весь этаж был занят магазином |
25 | Напротив возвышался старый дом |
26 | Берег спускался уступами |
27 | Пузыри спускаются со дна |
28 | Изредка звенели голоса синиц |
29 | Был ясный январский день |
30 | Всюду сверкало солнце |
31 | Цемент возили на стройку |
32 | Хищник внимательно прислушался |
33 | Полы в избе были из глины |
34 | Сварили кисель из клюквы |
35 | Комсомол всегда впереди |
36 | Из кустов доносятся трели соловья |
37 | Утром погода была хорошая |
38 | Вдалеке была видна мельница |
39 | Ветер доносил горький запах полыни |
40 | Доносятся грустные крики журавлей |
41 | Приближается пора осени |
42 | Петя оделся во все новое |
43 | Крышка люка была приподнята |
44 | Враги разбили город |
45 | Трава пробивалась повсюду |
46 | Яровые всходят хорошо |
47 | Девушки совершили лыжный переход |
48 | Ткацкую фабрику построили быстро |
49 | Над станцией летели самолеты |
50 | Ребята разожгли костер |
Таблица Д.30
Номер п/п | Фразы |
1 | Машина изготавливает тесто |
2 | Приборы следят за машиной |
3 | Костюм подчеркивал фигуру |
4 | Жизнь водолаза спасли |
5 | Девочка погасила фонарь |
6 | Мать качала люльку |
7 | Я плыл по реке |
8 | Над алыми цветами кружились жуки |
9 | Видимость стала хорошая |
10 | Солнце стояло невысоко |
11 | Узкими полосами росла гречиха |
12 | Запуск осуществлен удачно |
13 | Корабль изменил курс |
14 | Пионеры получили подарок |
15 | Земля изрыта ямами |
16 | Любители музыки посещают кружок |
17 | На небе медленно плывут облака |
18 | Из-за леса доносился гудок паровоза |
19 | Кабина пилота освещена |
20 | Хитрый маневр удался |
21 | Солнце недавно взошло |
22 | Уточнили графики вылетов |
23 | Центр разработал шифр |
24 | Экипаж просит взлет |
25 | Стадо овец сгрудилось в кучу |
26 | Я хорошо вижу зверя |
27 | Отец громко крикнул |
28 | Волк не бросил добычу |
29 | С горы видно море |
30 | Перед нами расстилались степи |
31 | Зеленый фонарь закрыт |
32 | Машина мчалась среди полей |
33 | Цель видно плохо |
34 | Рядом с кедрами росли березы |
35 | Туристы ехали на скором поезде |
36 | Послышались шаги отца |
37 | Начался полет ракеты |
38 | В пути произошла задержка |
39 | Бомбардировщик изменил курс |
40 | Мелькали огоньки рыбацких лодок |
41 | На снегу виднелись следы |
42 | Истребители летели на аэродром |
43 | Я заглянул в ящик |
44 | Мы все поместились в комнате |
45 | Родители ждали отпуска |
46 | На этажерке лежали книги |
47 | Валерий ремонтировал велосипед |
48 | Сережа нарисовал картину |
49 | Кролику принесли клевер |
50 | Пионеры беседовали с героем |
Таблица Д.31
Номер п/п | Фразы |
1 | Заводы дают много изделий |
2 | Руды добывают в недрах земли |
3 | Гильзы наполнили порохом |
4 | Хозяева дома были приветливыми |
5 | Мы хотели пойти в ущелье |
6 | Капитан прощался с кораблем |
7 | Ветер был сильным |
8 | Офицер начертил схему |
9 | Альпинисты были молодыми |
10 | Нельзя было идти вперед |
11 | Мы любовались летним закатом |
12 | Пограничники охраняли рубежи |
13 | Штурман следил за разворотом |
14 | Ставка приняла решение |
15 | Связь работает нормально |
16 | Мы разложили небольшой костер |
17 | Порыв ветра разбудил меня |
18 | Ветки покачивались от свежего ветра |
19 | Приборы зафиксировали землетрясение |
20 | Расстояние измерили правильно |
21 | Посадочная полоса расчищена |
22 | По дороге поднималась пыль |
23 | Полет оказался нелегким |
24 | В сухом воздухе пахнет полынью |
25 | Лошадей выгоняют на ночь в поле |
26 | Приборы позволяют определять заболевания |
27 | К нему обратился старый отец |
28 | Развеваются красные флаги |
29 | Поступили ценные сведения |
30 | Оркестр грянул гимн |
31 | Впереди простирались горы |
32 | Багажом отправляют громоздкие вещи |
33 | Вчера я приехал домой |
34 | Десантники бежали к лесу |
35 | Передо мной колышется спелая рожь |
36 | Майор был хитер |
37 | Солнце становится ласковей |
38 | Дан приказ на взлет |
39 | Я срезал сучок у березы |
40 | Охотники ночевали на свежем сене |
41 | Экипаж находился в зоне |
42 | Пилот выпустил шасси самолета |
43 | Отряд произвел маневр |
44 | Солдат долго целился |
45 | Химическое оружие запрещено |
46 | Лодку разбило прибоем |
47 | Началось обледенение фюзеляжа |
48 | Летчик включил двигатель |
49 | Удары были очень сильные |
50 | Ее глаза были грустные |
Таблица Д.32
Номер п/п | Фразы |
1 | Николай вскочил на коня |
2 | Раздался сигнал тревоги |
3 | Белье стирают в прачечной |
4 | Месяц стоял высоко |
5 | По лестнице поднимались люди |
6 | Летчику разрешили взлет |
7 | Мы катались на лыжах |
8 | Юра слушал занимательный рассказ |
9 | За царем важно выступали бояре |
10 | На площади расположился оркестр |
11 | Поезд медленно подходил к перрону |
12 | Лишние ветки обрезали |
13 | На конверте стояла подпись |
14 | Бухгалтер вписал сумму в документы |
15 | На стволе сделали надрез |
16 | Столяр врезал замок в дверь |
17 | Вся обстановка изменилась |
18 | Щенка отучали бросаться на цыплят |
19 | Вышел в расчетный квадрат |
20 | Справку подписал директор |
21 | Сделали предохранительную прививку |
22 | Отблески солнца слепили глаза |
23 | Он вел беззаботную жизнь |
24 | Пункт обозначен на схеме |
25 | Солдат ждет офицера |
26 | Созданы бетонные укрытия |
27 | Вещи быстро распродали |
28 | Судебное разбирательство закончилось |
29 | Приземлились в заданном районе |
30 | Костры дымились по утрам |
31 | Он быстро распечатал письмо |
32 | Город рассыпал миллионы огней |
33 | К крыльцу подкатили широкие розвальни |
34 | Составили расписание занятий |
35 | Гонец прибыл с донесением |
36 | Впереди виднелись неприступные горы |
37 | Нас пригласили к обеду |
38 | Ребенок громко заплакал |
39 | Погружение проходило нормально |
40 | Произведен запуск ракеты |
41 | Приближался час обеда |
42 | Собака помчалась за зайцем |
43 | На миноносце спустили флаги |
44 | Охотники преследовали зверя |
45 | Командир приказал открыть огонь |
46 | Школьник увлекся постройкой моделей |
47 | Пехота отдыхала на привале |
48 | Делегация приезжает завтра |
49 | На горизонте виднелся лес |
50 | Адъютант застыл на пороге |
Таблица Д.33
Номер п/п | Фразы |
1 | Ефрейтор растянул брезент |
2 | Самолет пошел на снижение |
3 | Сгустились сумерки над мазанками |
4 | Офицеры целую ночь сидели над картой |
5 | Рукой он сжимал карандаш |
6 | В клубе собрались деревенские старожилы |
7 | Войска готовились к штурму |
8 | Ракетчики готовы к проверке |
9 | Автоинспектор прибыл на место происшествия |
10 | Рабочие установили подъемный кран |
11 | В баках кончился бензин |
12 | Координаты зафиксированы на схеме |
13 | Цель поражена точно |
14 | Соседи сыграли партию в шахматы |
15 | Библиотекарь отыскал нужную книгу |
16 | Школьники изучали иностранный язык |
17 | Студенты разъехались на каникулы |
18 | Фермеры выбрали делегатов на съезд |
19 | В саду заиграл оркестр |
20 | Гусеницы объели листья |
21 | Троллейбус подъехал к остановке |
22 | Мяч отскочил от стены |
23 | Ребята быстро сбежали с горы |
24 | Сани въехали в лес |
25 | Курс близок к расчетному |
26 | Пилот подбежал к вертолету |
27 | Мальчик весело напевал |
28 | В частях началась демобилизация |
29 | В школе открыли коллективную радиостанцию |
30 | Парад открыли нахимовцы |
31 | Знамя полощется на ветру |
32 | Выполнен последний вираж |
33 | Железнодорожник пропустил поезд |
34 | С берега видны позиции |
35 | Юбиляру преподнесли ценный подарок |
36 | Ученики поняли вопрос |
37 | Ветер проникал за воротник |
38 | Гимнастерки солдат выцвели |
39 | Посадка была зафиксирована |
40 | Дорога шла мимо поля ржи |
41 | Булки покупают в булочной |
42 | С рассвета идет мелкий дождь |
43 | Друзья бродили по рощам |
44 | Подул предрассветный ветер |
45 | Солнечные лучи проникали сквозь облака |
46 | Блестели мокрые крыши |
47 | Зазывно гудел гудок |
48 | Ярко светит солнце |
49 | Красиво пели молодые девушки |
50 | В полдень солнце сильно припекало |
Таблица Д.34
Номер п/п | Фразы |
1 | Колонны дошли до площади |
2 | Произведено мягкое приземление |
3 | Птица пролетела над лесом |
4 | Пароход подошел к пристани |
5 | Послышались пушечные залпы |
6 | В конце селенья растет старый вяз |
7 | Переправа начнется в шесть |
8 | Раздался гудок паровоза |
9 | Здание стояло над обрывом |
10 | На улице стоял мужчина |
11 | Юннаты записывали наблюдения в дневник |
12 | Исследователи собрали богатый материал |
13 | Задушевная песня тронула слушателей |
14 | Самолетом управлял пилот |
15 | Талантливые танцоры исполняли пляску |
16 | Вечернее отделение объявило прием |
17 | Спортсмены готовились к старту |
18 | Продукты заложили в хранилище |
19 | Собрали большой урожай помидоров |
20 | Вылет внезапно отложили |
21 | Раздался голос директора |
22 | Вертолет изменил курс |
23 | В часть приехал журналист |
24 | Машина мчалась с большой скоростью |
25 | Стихи удивляли мелодичностью |
26 | Луна освещает пушистый снег |
27 | Химик наблюдает за прибором |
28 | Путь в тайгу был закрыт |
29 | Иванов тронулся в путь |
30 | Ямщик посмотрел по сторонам |
31 | Вокруг простиралась пустыня |
32 | В горах таятся громадные богатства |
33 | Позывные вышли в эфир |
34 | Отдыхающие пришли на пляж |
35 | Радиограмму передали в центр |
36 | Пограничники охраняют наши рубежи |
37 | Учения начались зимой |
38 | Ямщик долго не возвращался |
39 | Мы спустились в долину |
40 | Месяц показался на ясном небе |
41 | Охотник застрелил волка |
42 | Проводник разносил чай |
43 | Рыболов поймал щуку |
44 | На опушке ребята собирали землянику |
45 | Девочка пасла на лугу корову |
46 | Пастух громко щелкнул кнутом |
47 | Стадо двинулось к реке |
48 | Из-за леса поднималось солнце |
49 | Прохлада бодрит нас |
50 | Группа ребят пошла к лесу |
Таблица Д.35
Номер п/п | Фразы |
1 | Посадка осуществлена удачно |
2 | Луна светила в окно |
3 | Занавеска на окне не шевелилась |
4 | На днях доставили танки |
5 | Белая поземка замела след |
6 | В комнате было тихо |
7 | Зимняя ночь была темна |
8 | Верхушки берез были в инее |
9 | День был праздничный |
10 | Машину заправили бензином |
11 | Белка заскакала по веткам |
12 | Солдаты занимались гимнастикой |
13 | По его лицу пробежала тень |
14 | Избушка выросла среди тайги |
15 | Самолет вошел в облака |
16 | В лесу никого не было |
17 | На рейде стоит дебаркадер |
18 | Матрос надел бескозырку |
19 | Гидролокатор зафиксировал препятствие |
20 | Ужин был в полном разгаре |
21 | Начались приготовления к отъезду |
22 | Из города пришли почтой книги |
23 | Парад проходил на площади |
24 | На берегу озера полыхал костер |
25 | Рыба ловилась плохо |
26 | Луна осветила тропинку |
27 | Кругом были густые заросли |
28 | Эсминец патрулировал залив |
29 | Геологи жили в палатке |
30 | Осень была ранняя |
31 | Печь топится углем |
32 | Над крышей пролетают птицы |
33 | Инженерная часть экипирована |
34 | Наступило свежее солнечное утро |
35 | Прибыл эшелон с грузом |
36 | Белка стала пушистой |
37 | Ее голос звенел |
38 | Лодку прибило к берегу |
39 | За окном стоял туман |
40 | Наступил холодный декабрь |
41 | На берегу построили пристань |
42 | Солдаты взяли винтовки |
43 | Войска шли по городу |
44 | Приближалось время отъезда |
45 | Мальчики стояли на площадке |
46 | Часовой услышал шорохи |
47 | Воздух быстро нагревался |
48 | Химическое заражение опасно |
49 | Ночь была прохладная |
50 | Судно спешит в порт назначения |
Таблица Д.36
Номер п/п | Фразы |
1 | Ловкий выстрел срезал гуся |
2 | Заря была холодная |
3 | Все потонуло в грохоте |
4 | В доме треснуло зеркало |
5 | С полуночи разыгрался ветер |
6 | Продрогшие путники пробудились рано |
7 | Небо было безоблачное |
8 | Ветер бил прямо в нос |
9 | Было нестерпимо холодно |
10 | Мучительная неделя кончилась |
11 | Тайга была безжизненная |
12 | Лось стоял боком |
13 | Костер уныло потрескивал |
14 | Под шубой тепло и глухо |
15 | Бесконечно длинно тянется время |
16 | Палатку трепало сильным ветром |
17 | Вдруг грозно и резко завыло кругом |
18 | Ночь была снежная |
19 | На минуту выплыла луна |
20 | Телеграмма обошла всех |
21 | Кругом дремали вековые сосны |
22 | Закат пламенел негреющим светом |
23 | В лачуге сделалось жарко |
24 | Глухо вздохнул оживший бубен |
25 | Ярко топилась печь |
26 | Улица была безжизненная |
27 | Девушка широко открыла глаза |
28 | Обед приготовлен очень вкусный |
29 | Нашу палатку отбросило |
30 | Вдали затявкали собаки |
31 | Оба долго сидели молча |
32 | Кругом был холод, безлюдие |
33 | Был поздний вечер |
34 | Места тут глухие |
35 | Яркое солнце слепило взор |
36 | Все были у ворот на улице |
37 | В церкви народу много |
38 | Лошадь помчалась по сугробам |
39 | Все тучей помчались к воротам |
40 | На небе были звезды |
41 | За городом горели костры |
42 | Вдали серебрился лес |
43 | Тройка стояла у ворот |
44 | Была хорошая погода |
45 | Солнце было золотое |
46 | Он ложится и закрывает глаза |
47 | Женщины прошли друг мимо друга |
48 | Он сел и закинул ногу |
49 | Пахло лаком и травами |
50 | Был поздний вечер |
Таблица Д.37
Номер п/п | Фразы |
1 | Ему нравилась научная работа |
2 | Директор сравнил доход с расходом |
3 | Среди ночи громко залаяли собаки |
4 | Чай пили в кухне |
5 | Ярко топилась печь |
6 | Испорченный контакт нарушил цикл |
7 | За столом было шумно |
8 | Оператор стирает старые записи |
9 | Кнопки стоят на сигнале "Стоп" |
10 | Острова были покрыты водой |
11 | Все село высыпало на берег |
12 | До самой ночи шумела ярмарка |
13 | Вдоль берега горели костры |
14 | Небо было звездное |
15 | Налаживаю ход мотора по схеме |
16 | Дул сильный ветер |
17 | Баржа стала подходить к берегу |
18 | Глаза его горели |
19 | Утро было солнечное |
20 | На лугу распустились желтые лютики |
21 | Течение стало быстрее |
22 | Лодка была пустой |
23 | Ветер был тихий |
24 | Погода стояла холодная |
25 | Луч солнца прорезал облака |
26 | Охотники шли густыми зарослями |
27 | Река круто повернула вправо |
28 | Путнику страшно хотелось есть |
29 | Воздух был неподвижен |
30 | Уха была очень жирная |
31 | Август перевалил за середину |
32 | Вода сделалась холодной |
33 | Многие слышали победный возглас |
34 | На душе его было неспокойно |
35 | Автокар быстро движется направо |
36 | Белка беспечно скачет по веткам |
37 | На горе пылал огромный костер |
38 | Лампа горела тускло |
39 | На печи сидел жирный кот |
40 | Девушка шла за водой |
41 | Река здесь была глубокая |
42 | Над водой поднимался пар |
43 | Дни были безветренные |
44 | День стал короче |
45 | Густым ковром лежал снег |
46 | Зимовщик запустил сложный механизм |
47 | Каша была вкусная |
48 | Работа была тяжелая |
49 | Река текла на запад |
50 | Погода стояла холодная |
Таблица Д.38
Номер п/п | Фразы |
1 | На коленях он держал газету |
2 | Курортная публика разъехалась |
3 | В окна било солнце |
4 | Он стоит за дверью |
5 | Дверь широко распахнулась |
6 | У собаки острый слух |
7 | Учитель приоткрыл окно |
8 | Монтер проверил новый выключатель |
9 | Дачники стояли на террасе |
10 | Зима была снежная |
11 | На темной лестнице послышались шаги |
12 | Снова зажглась лампочка |
13 | Щеки у него порозовели |
14 | Фильм снимают целый год |
15 | Все ночные дежурные разошлись |
16 | В квартале жили бедняки |
17 | Огоньки мигали все реже |
18 | Мужчина сбежал по лестнице |
19 | Приступ отчаяния длился недолго |
20 | Люди выходили из театра |
21 | Брат рылся в карманах |
22 | Улицы были безлюдны |
23 | Глаза у него широко открыты |
24 | Сильно дуло в спину |
25 | Окно было открыто |
26 | Шаги на лестнице затихли |
27 | Учеба в школе давалась с трудом |
28 | Самолет оказался в воздушной яме |
29 | Всю неделю идут дожди |
30 | Девушка повесила трубку |
31 | Мальчик разбил бокал |
32 | Борьба подходила к концу |
33 | Учебный истребитель произвел взлет |
34 | Апатиты недавно нашли в Хибинах |
35 | Телеграфист передавал распоряжения |
36 | На карте загорелась лампочка |
37 | Рассказы понравились публике |
38 | Руководитель разрешил произвести маневр |
39 | Речь шла о романе |
40 | Зимняя природа очень красива |
41 | В небе сверкало июньское солнце |
42 | Сад быстро стал пустеть |
43 | После жары дохнуло холодом |
44 | Старик тяжело вздохнул |
45 | В школу приезжали герои фронта |
46 | Фонарь светил тускло |
47 | Он спустился в овраг |
48 | Лом глубоко уходил в грунт |
49 | Экипаж танка понял задачу |
50 | Южное направление давно закрыто |
Таблица Д.39
Номер п/п | Фразы |
1 | Он добежал до площади |
2 | На двери висел тяжелый замок |
3 | В шесть часов прошел трамвай |
4 | Шторы были опущены |
5 | В квартире пахло свежим кофе |
6 | Он был одет в теплый свитер |
7 | Старуха подслушивала за дверью |
8 | Я видел это кресло |
9 | Мальчик бесшумно оделся |
10 | Дыхание становилось ровнее |
11 | Она вышла на кухню |
12 | В квартире не было телефона |
13 | Он бежал к дому |
14 | Герои вернулись домой с победой |
15 | Поблизости стоял человек |
16 | Совхоз получил щедрый урожай |
17 | На реке появляются первые льдины |
18 | Мальчик присел на стул |
19 | Его трубка потухла |
20 | Летний переход был завершен |
21 | По стеклу бежали струи дождя |
22 | За окном темнела улица |
23 | Звонок раздался совершенно неожиданно |
24 | Деньги лежали в ящике |
25 | Земля была усеяна листьями |
26 | Больной берег свое здоровье |
27 | Дочь вызвала врача |
28 | Три портрета висели рядом |
29 | Разразилась сильная гроза |
30 | Дверь была приоткрыта |
31 | Лампочка горела над дверью |
32 | Общее состояние генерала ухудшилось |
33 | Солнце било прямо в окно |
34 | Перед ним сидел грузный человек |
35 | Мать отлично играла на пианино |
36 | Все пассажиры столпились на палубе |
37 | Он шел по набережной |
38 | Денег у него не было |
39 | Чернила были размыты |
40 | Игрушки очень обрадовали целинников |
41 | Поездка была рассчитана на две недели |
42 | На теплоходе было много пассажиров |
43 | Газета вышла через час |
44 | За столом сидели двое |
45 | В каюте зазвонил телефон |
46 | Пиджак валялся на стуле |
47 | Белье еще не высохло |
48 | Эта беседа всех развеселила |
49 | Рассказы понравились публике |
50 | В комнате было много народу |
Таблица Д.40
Номер п/п | Фразы |
1 | В кабинете послышались шаги |
2 | Доска была скользкой |
3 | Они прошли мимо баржи |
4 | Двое друзей переглянулись |
5 | Втроем они зашагали по набережной |
6 | Он первый вошел в палату |
7 | Прошла томительная минута |
8 | Губы больного приоткрылись |
9 | Разговор велся вполголоса |
10 | Он отрицательно покачал головой |
11 | Они поняли друг друга |
12 | Привычным жестом он вытащил часы |
13 | Обитая кожей дверь закрылась |
14 | В институте я изучал физику |
15 | Окна были раскрыты настежь |
16 | Трубки не оказалось на месте |
17 | Вечер был душный |
18 | Он купил персики |
19 | Статью трудно было изменить |
20 | Юноша сидел в углу кабинета |
21 | Дежурный принес одежную щетку |
22 | Зимний вечер был тихий |
23 | На посадочной полосе зеленые огни |
24 | Выполняю правый разворот |
25 | На берегу виднелись фабричные трубы |
26 | Она поискала ключ в сумке |
27 | В шкафу висел синий костюм |
28 | Передайте срочно сведения |
29 | В доме было сумрачно |
30 | Они ждали автобуса |
31 | Было время обеда |
32 | Подъемные краны замерли |
33 | Направление держать прежнее |
34 | Записка была написана вчера |
35 | Через полчаса магазин закрывается |
36 | Такси выехало за пределы города |
37 | Машина ехала по шоссе |
38 | Наберите максимальную высоту |
39 | Капли дождя стучали по асфальту |
40 | Дверь была открыта |
41 | Впереди видите цель |
42 | Повторите последнюю фигуру |
43 | Лампа упала на пол |
44 | Вижу яркие бакены |
45 | Моросил холодный дождь |
46 | Послышался топот коней |
47 | Колокольный звон плыл в воздухе |
48 | Свет в окне погас |
49 | Дверь отворилась бесшумно |
50 | Возле фонаря поблескивала лужа |
Таблица Д.41
Номер п/п | Фразы |
1 | Он говорил со мной откровенно |
2 | Квартира находилась на втором этаже |
3 | Утром распустились почки |
4 | Баржа стояла выше по течению |
5 | У самой реки грохотал подъемный кран |
6 | Несколько раз прозвучала сирена |
7 | На палубе было темно |
8 | На набережной останавливались прохожие |
9 | Метод считайте верным |
10 | На письменном столе лежала фотография |
11 | Яркое солнце освещает столовую |
12 | Они улыбнулись друг другу |
13 | Окно было распахнуто настежь |
14 | Откуда-то прилетел воробей |
15 | Лаборатория находилась на четвертом этаже |
16 | На часах было половина третьего |
17 | Лифт поднимался бесшумно |
18 | У порога лежал красный мяч |
19 | В комнате стояли цветы |
20 | Послышались детские голоса |
21 | Фюзеляж гидроплана проверен |
22 | День выдался очень жаркий |
23 | Поле окружено колючей проволокой |
24 | Комната была с высокими потолками |
25 | Она подошла к столу |
26 | За горой течет река |
27 | Самолет разбился в горах |
28 | На деревьях зазеленели листочки |
29 | Он очень любил детей |
30 | Поблизости стояла баржа |
31 | Больной пришел в поликлинику |
32 | Спорт требует упорства |
33 | Сестра часто подходила к двери |
34 | Спортсмен сменил футболку |
35 | Сначала сдают математику |
36 | Наступило тягостное молчание |
37 | На дороге стали попадаться машины |
38 | В садике люди сажали цветы |
39 | Братья действовали вместе |
40 | Из кухни неслись аппетитные запахи |
41 | Баржа замедлила ход |
42 | Солнечный диск скрылся за крышами |
43 | Белая рубашка подчеркивала загар |
44 | Они двинулись в путь |
45 | Было восемь часов вечера |
46 | В комнате было пусто |
47 | Офицер отдал приказ |
48 | У него было тяжелое детство |
49 | Разговор будет трудный |
50 | Наступила гнетущая тишина |
Таблица Д.42
Номер п/п | Фразы |
1 | Он отправился в магазин |
2 | Телефон звонил не переставая |
3 | Артисты обещают концерт |
4 | Квартира была маленькая |
5 | Наступила долгая пауза |
6 | Было около пяти часов вечера |
7 | Машина стояла в гараже |
8 | Улица была пустынной |
9 | Цвет лица у него был серый |
10 | Он работал машинистом пять лет |
11 | Из палаты вышел врач |
12 | Синицы зимуют в Эстонии |
13 | Ребенок потерял сознание |
14 | В заводской столовой было пусто |
15 | Химики проходят практику |
16 | Это была красивая женщина |
17 | Удар попал в цель |
18 | В кухне стоит холодильник |
19 | Он получил необходимые сведения |
20 | На улице было сыро |
21 | В углу стояло два чемодана |
22 | Вещи были хорошего качества |
23 | Он часто писал письма |
24 | Спутник ждал его в коридоре |
25 | На улице еще встречались прохожие |
26 | В гостинице горел свет |
27 | Вопросов он больше не задавал |
28 | Поднялся сильный холодный ветер |
29 | Дом стоял на левом берегу реки |
30 | Грузовики двигались в сторону фронта |
31 | Американцы действовали слишком быстро |
32 | В стороне возвышался замок |
33 | На пути был еще один перекресток |
34 | Геологи сдержали слово |
35 | Сухие листья шуршали под ногами |
36 | Машину осветили фонариком |
37 | Вокруг не было домов |
38 | Земля на дороге размокла |
39 | Все трое были очень возбуждены |
40 | Летчик видит хорошо |
41 | Пуля попала ему в левое плечо |
42 | Женщина налила теплой воды |
43 | Он распахнул дверь настежь |
44 | Все постели были застелены |
45 | Аппарат висел за дверью |
46 | Он потерял много крови |
47 | Света в коридоре не было |
48 | Это был многоквартирный дом |
49 | Он назвал свою фамилию |
50 | Футболист забил гол |
Таблица Д.43
Номер п/п | Фразы |
1 | Мы ехали по широкой равнине |
2 | Везде блестели капельки росы |
3 | Люда принесла домой собачку |
4 | В нашем колхозе открылся клуб |
5 | Зимой мы часто вспоминаем о лагере |
6 | Летом дети ловят в озере раков |
7 | Весной тракторист выезжает в поле |
8 | Мотор смазывают машинным маслом |
9 | Под лучами солнца блестит снег |
10 | Отряд пионеров отправился в поход |
11 | Сорняки приносят вред урожаю |
12 | В тайге много пушных зверей |
13 | На базарной площади собирался народ |
14 | Путники не чувствовали усталости |
15 | Хлопок растет на юге |
16 | Ученик купил две тетради |
17 | У собаки было хорошее чутье |
18 | К пристани подходили лодки |
19 | На площадке стоял милиционер |
20 | Нина умеет играть на скрипке |
21 | Я ехал верхом на лошади |
22 | В нашем районе растет кукуруза |
23 | На столе было много тетрадей |
24 | Охотник подошел к мальчикам |
25 | Промчался табун лошадей |
26 | На болоте добывают торф |
27 | Милиционеры сменили форму |
28 | Ребенок дал собаке кусочек пирога |
29 | Митя ухаживал за больным щенком |
30 | Лошадь бежит ленивой рысью |
31 | Дуб стоит возле красивой липы |
32 | Никита отнес скворца домой |
33 | Фирма переехала в Ялту |
34 | В деревне есть библиотека |
35 | Отец работает на новой фабрике |
36 | Комбайн убирает пшеницу |
37 | Зимой на пруду был каток |
38 | За селом раскинулось широкое поле |
39 | В овраге журчит ручей |
40 | Хозяин отвязал лошадь от дерева |
41 | Отец отпилил от бревна чурбан |
42 | Мячик откатился далеко |
43 | К полудню погода изменилась |
44 | Наш сад с каждым днем разрастается |
45 | Мама сварила вкусный борщ |
46 | До деревни было десять километров |
47 | Поле было засеяно овсом |
48 | Товарищ помог мне в беде |
49 | Врач лечит больных людей |
50 | Метель замела все дороги |
Таблица Д.44
Номер п/п | Фразы |
1 | Саша выглянул в открытое окно |
2 | Собрание состоялось в клубе завода |
3 | Шура задержалась в школе |
4 | Майор служил в военном городке |
5 | На воскресенье он приезжал к семье |
6 | Трикотажники выполнили план |
7 | Молодые рабочие пришли на воскресник |
8 | В канавах дотаивал последний снег |
9 | Труд всем полезен |
10 | Глаза у него были серые |
11 | Облака плыли над нашей улицей |
12 | В репродукторе звучали марши |
13 | Моей дочке пошел седьмой год |
14 | По дороге идет рабочий |
15 | Фильм имел большой успех |
16 | Моему деду исполнилось шестьдесят лет |
17 | В корпусе санатория погас свет |
18 | На сеансе было много подростков |
19 | Мы сидели в последнем ряду |
20 | Они никогда больше не встретятся |
21 | Недавно я получила от него письмо |
22 | Я сидела в темном зале одна |
23 | Кинотеатр был новый |
24 | Маляр разлил белила |
25 | Профессор хорошо подготовил студентов |
26 | Анна работает в колхозе счетоводом |
27 | За окном завывает ветер |
28 | Отец прислонился к двери |
29 | Подарили дорогие духи |
30 | Олег взглянул на циферблат часов |
31 | Автобус приближался к остановке |
32 | Каждое лето Дима приезжал к бабушке |
33 | Таня поехала в пионерский лагерь |
34 | Дедушка проводил внучку на самолет |
35 | Они тихо сидели на кухне |
36 | Утром колхозники пошли в поле |
37 | На полях зеленела пшеница |
38 | После отхода поезда платформа опустела |
39 | Носильщики вскидывали на плечи чемоданы |
40 | Вокруг кипела вокзальная суета |
41 | В темноте белели бескозырки моряков |
42 | Этот карандаш починен |
43 | Николай стал доктором наук |
44 | Школьники помогали колхозу |
45 | Бабушка любит смотреть в окно |
46 | Художники бегут в ателье |
47 | Петя занимается в спортивной школе |
48 | Воспитательница делала кораблики |
49 | В парке пахло молодой травой |
50 | На лугу паслись коровы |
Таблица Д.45
Номер п/п | Фразы |
1 | Утки плавали в пруду |
2 | Желтели кусты черемухи |
3 | За дверью послышался голос |
4 | Павлин распустил свой хвост |
5 | Наташа стала учить уроки |
6 | Рабочие нашего завода перевыполнили план |
7 | Утром отец ходил косить траву |
8 | Он поблагодарил за обед |
9 | Командир эскадрона прискакал из дивизии |
10 | Мяч мелькал над сеткой |
11 | Депутаты пришли на фабрику |
12 | Мама купила котиковую шубу |
13 | Солдаты решили отдохнуть в сосновом бору |
14 | Радиокомитет помещался в старинном здании |
15 | Главный редактор задумчиво стоял у окна |
16 | Директора срочно вызвали в цех |
17 | Мы добрались до места назначения |
18 | Ребенка мыли ежедневно |
19 | Он с удовольствием осматривал макеты |
20 | В музее было много хороших картин |
21 | Такси мчалось через весь город |
22 | Пожилой маляр красил стены |
23 | У самого берега плескались рыбы |
24 | Брат и сестра сидели на скамейке |
25 | В зале звучал фокстрот |
26 | Молодожены собрались ехать в город |
27 | Он остался один в большой квартире |
28 | Хор выступил по телевидению |
29 | На столе лежала стопка газет |
30 | Колхозники быстро убрали урожай |
31 | Сын получил пятерку по географии |
32 | Школьники сделали кормушку для птиц |
33 | Синицы любят свежее сало |
34 | Посреди двора стоит дерево |
35 | Ласточка вылетела из гнезда |
36 | Я мечтаю стать космонавтом |
37 | Морского капитана ждало разочарование |
38 | Дима вывел собаку на прогулку |
39 | У Павлика отец был летчиком |
40 | Эдик стал геологом |
41 | Девочки слушали интересный рассказ |
42 | Начальники вошли в цех |
43 | Петр оправдал его надежды |
44 | Галя прочитала много книг |
45 | Гагарин первым облетел земной шар |
46 | Летом Володя ездил на дачу |
47 | Сережа с дедушкой удят рыбу |
48 | С деревьев опадают желтые листья |
49 | Осеннее солнце прячется за тучи |
50 | В саду цветут астры |
Таблица Д.46
Номер п/п | Фразы |
1 | Хорошая весна выдалась в Казахстане |
2 | Прошли теплые дожди |
3 | Мы ехали по зеленой улице |
4 | Дни стояли теплые |
5 | Земля подсыхала равномерно |
6 | Вехи поставлены быстро |
7 | Женщина работает на ферме |
8 | Земля побелела от снега |
9 | Ветки яблони усыпаны яблоками |
10 | На ветках сидят красногрудые снегири |
11 | Зимой птицам трудно находить корм |
12 | В Африке много пернатых зимовщиков |
13 | Вечером в квартире собрались люди |
14 | С ракетодрома поднялась ракета |
15 | Журавли расхаживают по берегам |
16 | В кабине ракеты находились собаки |
17 | Ученые надевают на лапы птицам кольца |
18 | Мухоловки ловят птиц |
19 | Птица поет на родине |
20 | Круглый год в Африке зелено |
21 | На кольце были выбиты знаки |
22 | Зимой был пойман аист |
23 | От ракеты отделилась кабина |
24 | Зина получила назначение |
25 | К месту посадки устремились люди |
26 | Они провели в полете целые сутки |
27 | Звезды стали гаснуть |
28 | Собаки бросились к хозяевам |
29 | Среди кустов стояли вековые сосны |
30 | Потянул свежий ветер |
31 | Лучи яркого солнца заливали лес |
32 | Начальники вошли в цех |
33 | Яхту можно перегнать |
34 | Сверкают капли росы |
35 | Стоят могучие дубы |
36 | В воздухе было свежо |
37 | Хорошо шагать по росистой дорожке |
38 | Эдик стал геологом |
39 | Настала темная осенняя ночь |
40 | Ветер помогает мореплавателям |
41 | Судно легко скользило по волнам |
42 | За окном было еще темно |
43 | Не всегда ветер бывает попутным |
44 | В зале звучал фокстрот |
45 | Ветер поднимает тучи песка в пустыне |
46 | В птичнике становилось все светлее |
47 | Ребенка мыли ежедневно |
48 | Юноша приобрел профессию |
49 | Ветер вырывает столетние деревья |
50 | Птицы охотятся за гусеницами |
Таблица Д.47
Номер п/п | Фразы |
1 | Машины зажгли фары |
2 | Дети звонко смеялись |
3 | Пилот произвел взлет |
4 | У нас жила собака |
5 | Срочно выполняйте снижение |
6 | Зеленая осока склонилась к воде |
7 | Лодки стояли на приколе |
8 | Волны кипели у борта |
9 | Термометр показывает ноль |
10 | Над горами поднялось солнце |
11 | Дальние горы стали виднее |
12 | На берегу проснулись чайки |
13 | В горах погиб скот |
14 | Первые цветы появляются в марте |
15 | Рыхлый снег посыпался с ели |
16 | Стайка птиц вспорхнула с дерева |
17 | Грозовая туча надвинулась на деревню |
18 | Ракета сбивает цель |
19 | В омутах плескались караси |
20 | Над осокой летали стрекозы |
21 | Физик проверил ввод |
22 | Чайки ждали улова |
23 | Дети отдыхали в Артеке |
24 | В лесу было прохладно |
25 | Дикие пчелы кружились у дупла |
26 | В лесу пахло грибами |
27 | После обеда дети пошли гулять |
28 | Над нами сияло голубое небо |
29 | Высоко поднимались утесы гор |
30 | В морозной тишине стрекотали сороки |
31 | Ребята возились в шлюпке |
32 | Море было спокойное |
33 | Эсминец бороздил океан |
34 | Он много раз катался на лодке |
35 | Море светилось серебристым светом |
36 | Мяч мелькал над сеткой |
37 | Морякам предстоял дальний рейс |
38 | За дверью послышался голос |
39 | Бревно попало в водопад |
40 | Здесь будет построена плотина |
41 | Химик уточнил расчеты |
42 | Брызги долетали до лица |
43 | Над водой сияла радуга |
44 | Дни стояли безветренные |
45 | Солнце не палило зноем |
46 | В небе медленно плыли облака |
47 | Радист подготовил прием |
48 | Могучий дуб стоит на обрыве |
49 | Желтые мухи гудят в воздухе |
50 | Мошки вьются столбом |
Таблица Д.48
Номер п/п | Фразы |
1 | В вазах стоят цветы |
2 | Над кроватью висит ковер |
3 | Корабль отплывает от берега |
4 | На берегу горит костер |
5 | К вечеру мороз усиливается |
6 | На деревьях сверкал иней |
7 | К утру ветер стих |
8 | Брат работает на заводе |
9 | У нас была хорошая квартира |
10 | На ковре изображен корабль |
11 | В шкафу висит пальто |
12 | Телефон висел на стене |
13 | В комнате была духота |
14 | Вдали загудел пароход |
15 | Осеннее утро занималось в горах |
16 | Солнце было далеко за вершинами |
17 | Кони сами убавили шаг |
18 | Альпинисты спускались в крутое ущелье |
19 | Идет разгрузка транспорта |
20 | На старой березе пел соловей |
21 | Лужи ослепительно сверкали на солнце |
22 | Танк ждал у дороги |
23 | Туман висел над землей |
24 | Отцу рассказали все |
25 | Слышится шум воды |
26 | Скалы были покрыты лесом |
27 | У подножья горы приютилась деревня |
28 | Узнаю китайские орнаменты |
29 | Дед поправлял изгородь |
30 | Море в этот день слегка штормило |
31 | Вода стала зеленой |
32 | Камушки были очень красивые |
33 | На волнах появились гребешки |
34 | Дети бежали к берегу |
35 | Кот щурился на солнце |
36 | Наступила лунная ночь |
37 | На поляне было тихо |
38 | Данилка медленно шел по берегу |
39 | Штукатур стучал в передней |
40 | Вдалеке был виден берег |
41 | Порхали огромные ночные бабочки |
42 | Над головой пролетали летучие мыши |
43 | Инструктор показал фюзеляж |
44 | Студенты взяли блокноты |
45 | Луна поднялась на середину неба |
46 | Гена разбил стекло |
47 | Степи изобилуют хищниками |
48 | Ветер поднимался постепенно |
49 | На дворе в луже стоит ребенок |
50 | Пастух размахивает кнутом |
Таблица Д.49
Номер п/п | Фразы |
1 | Весной школьники готовят семена |
2 | Мы плыли медленно по озеру |
3 | Утки шумно поднялись с пруда |
4 | Вдали блестела река |
5 | Они знали химию |
6 | Внезапно грянул гром |
7 | Вдали виднелись горы |
8 | Слева шумела река |
9 | Впереди ехал автомобиль |
10 | Туристы ехали на лошадях |
11 | Лошади осторожно ступали по дороге |
12 | Поезд подходил к вокзалу |
13 | Цех построили зимой |
14 | Пиротехник спас зверей |
15 | На перроне стояла толпа людей |
16 | Деревня стояла на берегу реки |
17 | У самой кручи стояли избы |
18 | В лесу растут белые грибы |
19 | Дома строят из дерева |
20 | Дерево дает нам бумагу |
21 | Теплоходы плывут по реке |
22 | На берегу расположены санатории |
23 | Гепард бежит скачками |
24 | Скамейка выкрашена краской |
25 | Мальчик сломал санки |
26 | Третий день дул сухой ветер |
27 | На севере деревья растут плохо |
28 | Работа была трудная |
29 | Он быстро делает уроки |
30 | Рыболов уехал на рассвете |
31 | Друзья решили ехать на охоту |
32 | Вода в реке была теплая |
33 | Соседка щелкнула дверью |
34 | Горячий воздух казался липким |
35 | Над морем виднелась полоска зари |
36 | На всех домах развевались флаги |
37 | Солнце еще не взошло |
38 | Утки пронеслись с шумом |
39 | Рыбаки в шалаше проснулись |
40 | Летом в лесу кипит жизнь |
41 | Наступили теплые дни |
42 | Машина вырвалась вперед |
43 | На груди висит значок |
44 | Внизу текла извилистая речка |
45 | Шахтеры стучали молотками |
46 | На поляне был аэродром |
47 | Ветер подул с юга |
48 | С машиной случилась авария |
49 | На поляне пылал костер |
50 | Раздался резкий свисток паровоза |
Таблица Д.50
Номер п/п | Фразы |
1 | Товарищ следил за костром |
2 | На землю полился весенний дождь |
3 | Жители леса обрадовались теплу |
4 | Звезды слабо мигали |
5 | Весна долго не приходила |
6 | Надвигался густой туман |
7 | На реке затрещали льды |
8 | Наутро выглянуло яркое солнце |
9 | Охотник убил лису |
10 | Среди туч был виден самолет |
11 | Агроном обходил поля |
12 | У шофера кончился бензин |
13 | В городе была большая библиотека |
14 | Бригадиру надо беречь время |
15 | Вокруг все было покрыто снегом |
16 | Завтра пионеры отправляются в колхоз |
17 | Мы возвращались поздно вечером |
18 | Сегодня был прекрасный весенний день |
19 | Директор поблагодарил служащих |
20 | Ученик понял решение задачи |
21 | Ярко горел костер |
22 | Матросу велели грести к берегу |
23 | Мальчик пожелал бабушке спокойной ночи |
24 | Командовал отрядом опытный разведчик |
25 | Ученики обрабатывают пришкольный участок |
26 | Моторист слышит помехи |
27 | В степи была биостанция |
28 | Летчицы выполняют фигуры |
29 | Пастух стерег колхозное стадо |
30 | Больной чувствовал заботу близких |
31 | Желтый цветок рос на поляне |
32 | На школьнице было коричневое платье |
33 | Нас разбудил телефонный звонок |
34 | При заводе был прекрасный сад |
35 | Я купила интересную книгу |
36 | Каждый район имеет свою историю |
37 | Стояла прекрасная погода |
38 | Пассажиры расположились на палубе |
39 | Были видны песчаные берега |
40 | Гидролог осмотрел плотину |
41 | Пионеры пели песню |
42 | Вдали показалась роща |
43 | В кишлаке веселый праздник |
44 | Мы говорили по-русски |
45 | Громко щелкнул выключатель |
46 | Справа от дороги росли березы |
47 | Завтра зажгут пионерский костер |
48 | Лагерь находился на высоком берегу |
49 | По радио сообщили последние известия |
50 | В комнате стоит диван |
Таблица Д.51
Номер п/п | Фразы |
1 | Каникулы прошли весело |
2 | Делегация пришла в цех |
3 | Он показывал направление флажком |
4 | Ветер поднимался постепенно |
5 | Пароход скрылся за горизонтом |
6 | Представь свои соображения |
7 | Степи изобилуют хищниками |
8 | Посылаем вам продукты и снаряжение |
9 | Трубач играл сбор |
10 | Шофер остановил машину у ворот |
11 | На опушке зажгли костер |
12 | Гена разбил стекло |
13 | Волейболисты играли неуверенно |
14 | Студенты взяли блокноты |
15 | На факультете начались занятия |
16 | Надвигался страшный циклон |
17 | Закончился футбольный матч |
18 | Молодежь приехала на фестиваль |
19 | Идет разгрузка транспорта |
20 | Беседа проходила по-деловому |
21 | Его интересовали народные промыслы |
22 | На хуторе лаяли собаки |
23 | Цветы поливала молодая женщина |
24 | Он повязал галстук |
25 | Температура была нормальной |
26 | Танк ждал у дороги |
27 | Отцу рассказали все |
28 | Лыжи плохо скользили |
29 | Мать обняла дочь |
30 | Машины зажгли фары |
31 | Он вынул спички |
32 | Корм был приготовлен |
33 | Мензурка упала на пол |
34 | Медсестра была внимательной |
35 | Магазин был заперт на замок |
36 | Артист вышел на сцену |
37 | Мы изучали немецкий язык |
38 | Мастер проверил качество работы |
39 | Эсминец бороздил океан |
40 | С запада надвигалась гроза |
41 | Радист подготовил прием |
42 | Химик уточнил расчеты |
43 | Он читал сегодняшнюю газету |
44 | Отчет был утвержден |
45 | Ракета сбивает цель |
46 | Ветер надул паруса |
47 | Адрес остался прежним |
48 | Прожектор осветил дорогу |
49 | По радио передавали новости |
50 | Дом был закрыт зеленью |
Таблица Д.52
Номер п/п | Фразы |
1 | Вороны сидели на высокой сосне |
2 | Физик проверил ввод |
3 | В горах погиб скот |
4 | Ночь спустилась на город |
5 | Термометр показывает ноль |
6 | В домах зажглись огоньки |
7 | Срочно выполняйте снижение |
8 | Ученики решили пойти в музей |
9 | Самолет стал снижаться |
10 | Небо покрылось грозовыми тучами |
11 | Пилот произвел взлет |
12 | За дверью послышался голос |
13 | Осень начинается в сентябре |
14 | Мяч мелькал над сеткой |
15 | Дует холодный ветер |
16 | Поезд приближается к остановке |
17 | Горячий песок обжигает ноги |
18 | Наша школа стоит на холме |
19 | Толпы народа движутся по улицам |
20 | Ярко светит летнее солнце |
21 | Ребенка мыли ежедневно |
22 | Луг покрылся сочной травой |
23 | В зале звучал фокстрот |
24 | Пионеры подошли к реке |
25 | Дети плещутся в воде |
26 | Горнист играет сбор |
27 | Сова видит только ночью |
28 | Дышать надо полной грудью |
29 | Эдик стал геологом |
30 | Певчие птицы давно улетели |
31 | Вехи поставлены быстро |
32 | Начальники вошли в цех |
33 | Машины выезжают на линии |
34 | В Арктике наступила весна |
35 | Женщина работает на ферме |
36 | В декабре снег покрыл землю |
37 | Мышка выскочила на снег |
38 | Мороз сковал реку льдом |
39 | Рыбы плавают подо льдом |
40 | Зина получила назначение |
41 | Листья в лесу облетели |
42 | На стоянке горел костер |
43 | Яхту можно перегнать |
44 | Герой участвует в бою |
45 | Вчера был сильный дождь |
46 | Сегодня теплый день |
47 | Вокруг расстилалось ржаное поле |
48 | Сзади раздался крик |
49 | Он сильно ушиб ногу |
50 | Солдат опустился на колено |
Таблица Д.53
Номер п/п | Фразы |
1 | Собаки грелись на солнышке |
2 | Молочница принесла молоко |
3 | Ученица разбила колено |
4 | Мы ехали на машине |
5 | В расчетах допущена ошибка |
6 | Пионеры разложили костер |
7 | В магазине висел костюм |
8 | Туристов привлекало Подмосковье |
9 | Автобус забрал пассажиров |
10 | Курортный городок был большим |
11 | На большом камне лежала змея |
12 | Хек мечет икру |
13 | Физик сделал киноаппарат |
14 | Елка стояла у окна |
15 | Машина не выдержала перегрузки |
16 | Высоко в небе сияло солнце |
17 | Начались зимние каникулы |
18 | По берегам канала росли тополя |
19 | Спектакль прошел с большим успехом |
20 | Мы осторожно прошли по мосту |
21 | Масло покупают в магазинах |
22 | Поезд подходил к станции |
23 | Дети рады теплому дню |
24 | Колхозники готовились к севу |
25 | Охотники шли по следу |
26 | Всходы семян погибли |
27 | Облако плыло по небу |
28 | Легкий ветерок шевелил листву |
29 | Над лугом летали бабочки |
30 | Блестела вода на озере |
31 | Лодка подплыла к берегу |
32 | Химкомбинат переезжает за город |
33 | Мы подъезжали к городу |
34 | Старшему сыну купили учебники |
35 | Отец подарил мяч |
36 | Низкие облака плыли по небу |
37 | Ребята на лыжах шли в лес |
38 | С горы открывался прекрасный вид |
39 | Мы торопились на ночлег |
40 | Нависли тяжелые грозовые тучи |
41 | Возле мачт стояли матросы |
42 | Музыка гремела до утра |
43 | Шофер ведет машину |
44 | Щенки открыли глаза |
45 | Деревья качали ветвями |
46 | Этап был завершен |
47 | Дул холодный ветер |
48 | Задачу объяснить трудно |
49 | На старой березе сидит грач |
50 | Школьники устроили выставку |
Таблица Д.54
Номер п/п | Фразы |
1 | Грибы росли в густом ельнике |
2 | Дело сделано заново |
3 | Вдали был виден костер |
4 | В палате жили геологи |
5 | На небе зажглись первые звезды |
6 | В феврале шел снег |
7 | За болотом мы нашли грибы |
8 | Путники подошли к березовой роще |
9 | Трудовой год кончился |
10 | Поселок расположен у моря |
11 | Ребята шли по широкой дороге |
12 | Товарищи уезжали в Белоруссию |
13 | Жнивье сгорело от взрыва |
14 | Здания находились в центре |
15 | Дикие пчелы кружились над цветами |
16 | В лесу пахло грибами |
17 | Дует холодный ветер |
18 | Дождь стучит по окну |
19 | Вода в реке потемнела |
20 | Дом полностью перестроен |
21 | Мы шли по широким аллеям |
22 | В горах цветет кизил |
23 | От речки потянуло сыростью |
24 | Кончилась ненастная осень |
25 | Снег укрыл черную землю |
26 | Деревья стоят в зимнем уборе |
27 | Материал сильно смят |
28 | Техник погибал от ран |
29 | Дружина собралась в лагере |
30 | Станция очень живописна |
31 | Низко летели птицы |
32 | Мы вышли к реке |
33 | Школу окружали деревья |
34 | Около изб горели костры |
35 | Электростанции дают ток |
36 | Секунда прошла незаметно |
37 | Девочка обиделась на брата |
38 | В комнате стоял письменный стол |
39 | Смотрели интересный фильм |
40 | Фонарь светил ярко |
41 | Охотник спугнул зайца |
42 | Отряд ушел в поход |
43 | В лесу было прохладно |
44 | Мы сели отдыхать под дубом |
45 | Дом был построен в срок |
46 | Отряд вошел в лес |
47 | Из тростника выплыли утки |
48 | Кирпич подвозили круглосуточно |
49 | Мы носили воду ведрами |
50 | Узкая тропинка вела в деревню |
Таблица Д.55
Номер п/п | Фразы |
1 | У стола стояли стулья |
2 | На окошке сидели птицы |
3 | Зимой мы жили в городе |
4 | В порту стояло много кораблей |
5 | Елки стояли в снегу |
6 | Был ясный майский день |
7 | Из музея похищены ценности |
8 | Школьник разбил стекло |
9 | Степь переходила в лес |
10 | Мать рассказала о зимовке |
11 | Яхта остается в море |
12 | Животное привезли вчера |
13 | Учительница проверяла тетради |
14 | Отряд отправился в поход |
15 | Юноши стреляли метко |
16 | Наш отряд отправился в лес |
17 | Спорт увлекал офицера |
18 | Над болотом поднялся туман |
19 | В избушку пришел охотник |
20 | Стога гибнут от дождей |
21 | В небе блеснули звездочки |
22 | Хищник охотился за перепелкой |
23 | Операция прошла успешно |
24 | Звонок разбудил щенка |
25 | Здание филармонии красиво |
26 | Здоровье отца беспокоило |
27 | На берегу горели костры |
28 | Рыбаки натянули палатки |
29 | В лесу поспела земляника |
30 | Кот поцарапал ребенка |
31 | Повсюду слышалось эхо |
32 | Осенью начался листопад |
33 | На лугах работают сенокосилки |
34 | В институте изучают язык |
35 | Я шел по узкой дороге |
36 | Ребята идут к реке |
37 | Искусство возрождается в Якутии |
38 | Здесь много новых домов |
39 | Город был виден с парохода |
40 | Люди спешат на поезд |
41 | На вокзале много народа |
42 | Связисты искали геолога |
43 | Сапоги казались легкими |
44 | Суховей уменьшил урожай |
45 | В полях жали рожь |
46 | Прозвенел школьный звонок |
47 | Во дворе было много народа |
48 | На небе появились тучи |
49 | У юнги широкие плечи |
50 | На воде осталась лодка |
Таблица Д.56
Номер п/п | Фразы |
1 | Вечером начался снегопад |
2 | Конфеты подарил друг |
3 | Медленно оживала тайга |
4 | Летом мы ехали по тундре |
5 | Полярники встретили нас радушно |
6 | На заводе появилась техника |
7 | За нами прилетел самолет |
8 | Тишина воцарилась в зале |
9 | Колхозники сажали картофель |
10 | Ветер помогал перебежке |
11 | Наступил новый учебный год |
12 | Ребенок ходит в ясли |
13 | Танцовщица устроилась в цирк |
14 | План утверждают в области |
15 | Диктора поразило сообщение |
16 | В питомнике выращивали яблони |
17 | Раньше этот участок был пустырем |
18 | Ребята помогали взрослым |
19 | На полуостров пришла весна |
20 | Охотники уничтожают хищников |
21 | Легкие облака плыли по небу |
22 | Трикотажники выполнили план |
23 | Раздавался птичий гомон |
24 | Рыбаки начали лов рыбы |
25 | Это случилось ранней весной |
26 | Мальчики пошли ловить рыбу |
27 | В лесу девочка собирала ягоды |
28 | Вода размыла дорогу |
29 | Хозяйка вымыла окна |
30 | Труд всем полезен |
31 | По реке плывут пароходы |
32 | В поле зеленела рожь |
33 | Зимой птицам голодно |
34 | Легкие облака плыли по небу |
35 | Вчера рыбаки начали лов |
36 | Фирма переехала в Ялту |
37 | Дети убрали комнату |
38 | Сережа взял свою тетрадь |
39 | Летом много ягод |
40 | Хор выступил по телевидению |
41 | Футбол привлекает болельщиков |
42 | Милиционеры сменили форму |
43 | Автомобиль ехал по улице |
44 | По площади проходят войска |
45 | Художники бегут в ателье |
46 | Школьники пришли на завод |
47 | Карасей пустили в бочку |
48 | Этот карандаш починен |
49 | В сквере играли дети |
50 | Открылась химическая лаборатория |
Таблица Д.57
Номер п/п | Фразы |
1 | Маляр разлил белила |
2 | Подарили дорогие духи |
3 | Велосипедисты вмешались в борьбу |
4 | Школьники разговаривали дружно |
5 | Отец передвигал ящики |
6 | Корабли выстроились у причала |
7 | Он медленно пошел вперед |
8 | Женщина не могла успокоиться |
9 | Мальчик сел за парту |
10 | Эфир быстро выдыхается |
11 | Его взгляд остановился на окне |
12 | Слышались звонкие голоса юношей |
13 | Солдаты дружно подхватили песню |
14 | Солдат всегда аккуратен |
15 | Студенты отдыхают летом |
16 | Кошка поймала воробья |
17 | Учащиеся приступили к занятиям |
18 | Ребята побежали вперед на демонстрацию |
19 | По улице шли рабочие |
20 | Весело шагали геологи |
21 | Окно было плотно закрыто |
22 | На трибуне стояли люди |
23 | На манекен падал свет |
24 | В хижине ночевали зимовщики |
25 | Вдали белела яблоня |
26 | На площади стояла тишина |
27 | Храбрец идет в разведку |
28 | Эскадрон пошел в атаку |
29 | В тайге обнаружили марганец |
30 | Вновь открылась больница |
31 | Техники починили дизель |
32 | Поток шумел впереди |
33 | Всегда работает буфет |
34 | Хирург вырезал опухоль |
35 | Ливни освежают рощу |
36 | Машинист вел поезд |
37 | Колю остановил сторож |
38 | Запрещаю вход в зону |
39 | Уйдите на второй круг |
40 | Выполняйте первый полет |
41 | Сверяю курс по схеме |
42 | На кране работал мой отец |
43 | К остановке подходил трамвай |
44 | Девочка смотрела на моряков |
45 | Я пошел провожать друга |
46 | Экипажу разрешаю взлет |
47 | В поселке начали строить дом |
48 | Занятие провел директор школы |
49 | Зафиксируйте координаты станции |
50 | Передайте радиограмму зенитчикам |
Таблица Д.58
Номер п/п | Фразы |
1 | Подготовьте инструмент бортмеханику |
2 | Берегите главный механизм |
3 | Здесь кончалась дорога |
4 | В городе зажглись огни |
5 | Физику поняли хорошо |
6 | Болото скоро исчезло |
7 | Медленно тянулось время |
8 | Зверь шел на юг |
9 | Цемент возили на стройку |
10 | По тропе поднимались рабочие |
11 | Хищник внимательно прислушался |
12 | Капитан запел песню |
13 | Комсомол всегда впереди |
14 | У него началась сессия |
15 | Враги разбили город |
16 | Около дома послышались шаги |
17 | Трава пробивалась повсюду |
18 | Яровые всходят хорошо |
19 | Ребята разожгли костер |
20 | Костюм подчеркивал фигуру |
21 | Жизнь водолаза спасли |
22 | Видимость стала хорошая |
23 | Запуск осуществлен удачно |
24 | Корабль изменил курс |
25 | Дед поднял голову |
26 | Земля изрыта ямами |
27 | Мальчик остановился у забора |
28 | Кабина пилота освещена |
29 | Мальчик пропустил моряка вперед |
30 | Кот забрался в курятник |
31 | Хитрый маневр удался |
32 | Уточнили графики вылетов |
33 | Центр разработал шифр |
34 | Дворник снял свой халат |
35 | Экипаж просит взлет |
36 | Цель видно плохо |
37 | Зеленый фонарь закрыт |
38 | За стеной раздались голоса |
39 | Тихо звякнула щеколда |
40 | Парнишка узнал своего товарища |
41 | Бомбардировщик изменил курс |
42 | В пути произошла задержка |
43 | Над сопками показалась луна |
44 | Истребители летели на аэродром |
45 | Гильзы наполнили порохом |
46 | Капитан прощался с кораблем |
47 | Офицер начертил схему |
48 | Мальчик долго стоял у окна |
49 | Дежурный заглянул в класс |
50 | В комнату вошел человек |
Таблица Д.59
Номер п/п | Фразы |
1 | Полет оказался нелегким |
2 | Поступили ценные сведения |
3 | Оркестр грянул гимн |
4 | Зимнее солнце грело по-весеннему |
5 | Трубочист подошел к трубе |
6 | Пограничники охраняли рубежи |
7 | Шум на улицах усиливался |
8 | Штурман следил за разворотом |
9 | Мальчик строил фантастические планы |
10 | Ставка приняла решение |
11 | Связь работает нормально |
12 | Приборы зафиксировали землетрясение |
13 | Расстояние измерили правильно |
14 | Трубач опустил трубу |
15 | В воскресенье был жаркий день |
16 | Посадочная полоса расчищена |
17 | Ребята приходили сюда часто |
18 | Десантники бежали к лесу |
19 | На большом камне лежал мальчик |
20 | Майор был хитер |
21 | Дан приказ на взлет |
22 | Экипаж находился в зоне |
23 | Пилот выпустил шасси самолета |
24 | Лавка была заперта |
25 | Солдат долго целился |
26 | Химическое оружие запрещено |
27 | Отряд произвел маневр |
28 | Рыбаки ловили рыбу |
29 | Ночью он пришел в бухту |
30 | Из трубы шел черный дым |
31 | Катер повернул к пристани |
32 | Он разговаривал по телефону |
33 | Человек шел по лесу |
34 | Лодку разбило прибоем |
35 | Началось обледенение фюзеляжа |
36 | Катер приближался к берегу |
37 | Летчик включил двигатель |
38 | Раздался сигнал тревоги |
39 | Летчику разрешили взлет |
40 | Вышел в расчетный квадрат |
41 | Пункт обозначен на схеме |
42 | Солдат ждет офицера |
43 | На горе стоит ольха |
44 | Береза стояла на поляне |
45 | Созданы бетонные укрытия |
46 | Веселой гурьбой шли ребята |
47 | Приземлились в заданном районе |
48 | Книга была толстой |
49 | Наш дом стоял на окраине |
50 | Ученик быстро шел по коридору |
Таблица Д.60
Номер п/п | Фразы |
1 | Погружение проходило нормально |
2 | Разговор был приятным |
3 | Я услышал женский голос |
4 | Произведен запуск ракеты |
5 | На миноносце спустили флаги |
6 | Он был доволен сыном |
7 | Пехота отдыхала на привале |
8 | Владимир ждал своего приятеля |
9 | Он вложил лист в папку |
10 | Группа детей играла в городки |
11 | Адъютант застыл на пороге |
12 | Ефрейтор растянул брезент |
13 | На столе лежал сахар |
14 | Самолет пошел на снижение |
15 | Ракетчики готовы к проверке |
16 | Хлеб был ароматным |
17 | У куста смородины стояла скамейка |
18 | В баках кончился бензин |
19 | Координаты зафиксированы на схеме |
20 | Цель поражена точно |
21 | Курс близок к расчетному |
22 | Волны ударялись о камни |
23 | Шкала прибора светилась |
24 | Магазин находился на перекрестке |
25 | Оркестр играл мазурку |
26 | Свет погас неожиданно |
27 | Мастер отсутствовал две недели |
28 | Повар приготовил ужин |
29 | Пилот подбежал к вертолету |
30 | В частях началась демобилизация |
31 | У реки стояла баня |
32 | Лекция в клубе закончилась |
33 | Директор начал очередную передачу |
34 | Квартира была из трех комнат |
35 | Связка ключей лежала на столе |
36 | Светофор был выключен |
37 | Парад открыли нахимовцы |
38 | Знамя полощется на ветру |
39 | Мальчик спускался с горки |
40 | Лыжник спешил к финишу |
41 | Выполнен последний вираж |
42 | На опушке показались туристы |
43 | Охотник посадил собаку в лодку |
44 | Мы напились воды из колодца |
45 | На окнах стояли розы |
46 | Железнодорожник пропустил поезд |
47 | С берега видны позиции |
48 | Гимнастерки солдат выцвели |
49 | Стены выкрашены голубой краской |
50 | Посадка была зафиксирована |
Таблица Д.61
Номер п/п | Фразы |
1 | Произведено мягкое приземление |
2 | Переправа начнется в шесть |
3 | Куст сирени стоял у окна |
4 | Вертолет изменил курс |
5 | Он гордился новым назначением |
6 | Вскоре дети легли спать |
7 | В часть приехал журналист |
8 | Химик наблюдал за прибором |
9 | Позывные вышли в эфир |
10 | Радиограмму передали в центр |
11 | Продолжалась игра в настольный теннис |
12 | На окраине распевали петухи |
13 | Гул моторов умолк |
14 | Учения начались зимой |
15 | Посадка осуществлена удачно |
16 | На днях доставили танки |
17 | Машину заправили бензином |
18 | Солдаты занимались гимнастикой |
19 | Он был дипломированным врачом |
20 | Самолет вошел в облака |
21 | Это была его ошибка |
22 | На рейде стоит дебаркадер |
23 | Матрос надел бескозырку |
24 | Наше положение улучшилось |
25 | Гидролокатор зафиксировал препятствие |
26 | Парад проходил на площади |
27 | Он не знал настоящей жизни |
28 | Он подбадривал детей словами |
29 | Стадо коров пришло на водопой |
30 | Заросли мешали вести наблюдение |
31 | Эсминец патрулировал залив |
32 | Инженерная часть экипирована |
33 | Прибыл эшелон с грузом |
34 | Велосипед не имел тормоза |
35 | Нож был очень удобным |
36 | Леска была тонкой |
37 | Солдаты взяли винтовки |
38 | Часовой услышал шорохи |
39 | Химическое заражение опасно |
40 | В полете случилась авария |
41 | Боцман подал сигнал |
42 | Подлодка ушла в рейс |
43 | Начальника ожидали в приемной |
44 | Мы увидели световой сигнал |
45 | В небо взмыл перехватчик |
46 | Орбита близка к расчетной |
47 | Он отправился домой |
48 | Радист прекратил связь |
49 | Включили шесть генераторов |
50 | Привезены баллоны с кислородом |
Таблица Д.62
Номер п/п | Фразы |
1 | У самолета смят фюзеляж |
2 | Широко разлилась река |
3 | В лесу трещит мороз |
4 | На полянах пестреют цветы |
5 | Солнце осветило верхушки деревьев |
6 | Деревья качали ветвями |
7 | С рябины облетали листья |
8 | На дороге появились путники |
9 | Стояла сильная жара |
10 | На небе появились тучи |
11 | Отряд пионеров идет в поход |
12 | С моря дул свежий ветерок |
13 | Полил сильный дождь |
14 | Мелодия понравилась всем |
15 | Дежурные сварили картофель |
16 | Вожатый запевает веселую песню |
17 | Весело запели птицы |
18 | Дети выбежали на улицу |
19 | Дождь напоил землю водой |
20 | У реки устроили привал |
21 | Школьники ждали скворцов |
22 | Орел летел низко |
23 | Школьники сделали скворечники |
24 | Медведь пришел на пчельник |
25 | Солнце стояло низко |
26 | Орел держал в когтях рыбу |
27 | Геологи открыли минерал |
28 | На столе горела свеча |
29 | Осенью льет дождь |
30 | Воробьи сели на деревья |
31 | Стояла теплая погода |
32 | Ребята берегут сад |
33 | Солнце сильно грело |
34 | На кустах чирикали воробьи |
35 | В хижину вошел лесник |
36 | Школьники идут на экскурсию |
37 | Трава сгорела от солнца |
38 | Хозяин нашел щенка |
39 | Текст напечатали на машинке |
40 | Получили ценную бандероль |
41 | Дети увидели муравьев |
42 | В лесу замерз ручей |
43 | Платье вышито бисером |
44 | По утрам начались заморозки |
45 | В лагере объявили карантин |
46 | Он хорошо стрелял |
47 | Озера покрылись льдом |
48 | Листья с деревьев опали |
49 | Под кустом сидел заяц |
50 | Вскоре мы вышли на поляну |
Таблица Д.63
Номер п/п | Фразы |
1 | Мы возвращались домой вечером |
2 | Молния осветила окрестности |
3 | Археологи вели раскопки |
4 | В зоопарк привезли слона |
5 | На кедрах созрели шишки |
6 | В саду поспела черешня |
7 | Дети собирали щавель |
8 | Мастер вошел в цех |
9 | В тени летали стрекозы |
10 | Во дворе заливали каток |
11 | На столе лежали графики |
12 | Поезд идет по рельсам |
13 | Пионеры принесли гербарий |
14 | Зимой катаются на лыжах |
15 | Медведь живет в лесу |
16 | На березах появились листья |
17 | На лугах зеленеет трава |
18 | Старик нюхал табак |
19 | Зацвела пахучая мята |
20 | В лесу созрела брусника |
21 | Река затопила берега |
22 | Звонко пел жаворонок |
23 | Люди с лыжами идут на гору |
24 | На десерт подали конфитюр |
25 | Длинные грядки засеяны морковью |
26 | Школьники рыхлят почву |
27 | Дни стали короче |
28 | Солнце встает поздно |
29 | Дует восточный ветер |
30 | Дети сели под елку |
31 | Бревна на мосту разъехались |
32 | Машина поехала в объезд |
33 | В квартиру въезжали новоселы |
34 | Собаки окружили медведя |
35 | Охотник выстрелил из ружья |
36 | У подъезда много людей |
37 | С гор бегут ручьи |
38 | Деревня обеспечивает страну хлебом |
39 | Машина подкатила к подъезду |
40 | За рекой виднелся луг |
41 | На мельнице мололи зерно |
42 | Дрова везут в город |
43 | Снег покрыл поля |
44 | Повар приготовил фрикадельки |
45 | Ребята разорили гнездо |
46 | Ветер обрывает листья с берез |
47 | В лесу снег стал темнеть |
48 | Медведь вылез из берлоги |
49 | День был ясный |
50 | Туман окутывал окрестность |
Таблица Д.64
Номер п/п | Фразы |
1 | Свежий ветер шевелил ветви |
2 | Месяц показался на небе |
3 | Лесной сторож объезжал лес |
4 | На ветке сидел зяблик |
5 | Со скалы открывался чудесный вид на море |
6 | Был легкий мороз |
7 | Пушистый иней лежал на деревьях |
8 | Стоит трескучий мороз |
9 | Игрушки валялись на полу |
10 | Сентябрь стоял сухой |
11 | Чернику собирают в лесу |
12 | Трава издавала свежий запах |
13 | На крыльце дремал кот |
14 | На полях убирали картофель |
15 | Сегодня в колхозе праздник |
16 | Обувь чистят щеткой |
17 | Стоял солнечный день |
18 | Надвигался страшный циклон |
19 | На факультете начались занятия |
20 | Парикмахер сделал стрижку |
21 | Проснулись лесные жители |
22 | Слышна весенняя песня жаворонка |
23 | Пчела собирает липовый мед |
24 | Было раннее летнее утро |
25 | Молодежь приехала на фестиваль |
26 | Закончился футбольный матч |
27 | Тенистая дорожка ведет к ручью |
28 | Медведи спят в берлоге |
29 | Женщина занималась хозяйством |
30 | Появились майские жуки |
31 | Пришла ранняя весна |
32 | Группа заняла свой участок |
33 | Осенью мы собирали грибы |
34 | Среди леса виднелось озеро |
35 | Летом скот выгоняют на луг |
36 | Колхозное стадо пасется у реки |
37 | Доярки идут доить коров |
38 | Было ясное майское утро |
39 | Парное молоко направили в детсад |
40 | На поле шелестели сухие колосья |
41 | Над головой сияло летнее солнце |
42 | Банка сделана из жести |
43 | Открыли химический элемент |
44 | Дни стояли пасмурные |
45 | Отряд построили по команде |
46 | Смолкли звонкие голоса птиц |
47 | Ребята не слышали звонка |
48 | Рябчики живут в лесах |
49 | Бабушка рассказывала сказку |
50 | Показывали новый фильм |
Таблица Д.65
Номер п/п | Фразы |
1 | На берегу реки стоит школа |
2 | Наступила холодная зима |
3 | Небо затянуло тучами |
4 | Разбили фарфоровую чашку |
5 | Наступила поздняя осень |
6 | Над цветами порхали бабочки |
7 | Мальчики подошли к обрыву |
8 | Комиссия подвела итоги |
9 | Все поля опустели |
10 | Рыбаки вышли в море |
11 | Прилетели перелетные птицы |
12 | Это был большой овраг |
13 | Ночью замерзают лужи |
14 | Вода была чистая |
15 | Снег стал рыхлым |
16 | Дети играли в мяч |
17 | Припекает весеннее солнце |
18 | Инженер осматривал цех |
19 | Товарищ быстро разжег костер |
20 | Женщина поступила хитро |
21 | Врач оказал больному помощь |
22 | Небо затянуто тучами |
23 | Дорога шла через рожь |
24 | В роще послышался плач |
25 | Кругом была полная тишина |
26 | Утром мы ловили рыбу |
27 | В лесу закричал филин |
28 | Луч солнца разбудил нас |
29 | Ночной сторож поднял тревогу |
30 | Белка прыгает по веткам |
31 | Цветы яблонь приятно пахли |
32 | Миша жил в деревне |
33 | Он ходил на берег реки |
34 | От клуба ведет широкая аллея |
35 | С крыш свисают сосульки |
36 | Хозяйка испекла пироги |
37 | Сереже нравились птицы |
38 | Грачи шагают по пашне |
39 | В парке бил фонтан |
40 | Дети готовились к празднику |
41 | Письмо опустили в ящик |
42 | Лаборатория сдала отчет |
43 | Машина стояла в гараже |
44 | На поляне стоят молодые дубки |
45 | Гусеницы появились на капусте |
46 | В чаще ельника росли грибы |
47 | Я спрятал лодку в тростнике |
48 | На столе лежала конфетница |
49 | Весной дети любят гулять |
50 | В магазине продавался хек |
Таблица Д.66
Номер п/п | Фразы |
1 | Комсомольцы поехали на целину |
2 | В библиотеке много интересных книг |
3 | К лесу можно идти по тропинке |
4 | На полу играют котята |
5 | Гуси стояли около кормушки |
6 | Куры клевали овес |
7 | Возле лошади стоял жеребенок |
8 | Голуби сидели на крыше |
9 | На опушке виднелся трактор |
10 | По пашне ходили грачи |
11 | Ребенок играл на лужайке |
12 | Под горой журчал ручей |
13 | Над водой мелькали стрекозы |
14 | Землекопы рыли котлован |
15 | Бригаду наградили вымпелом |
16 | Самолет летел над пустыней |
17 | В лесу пахнет смолой |
18 | Деревья покрылись инеем |
19 | Мальчик сидел за столом |
20 | Девочка звонит по телефону |
21 | За домом был большой двор |
22 | В лесу пахло хвоей |
23 | Я любовался природой |
24 | Билеты оказались старыми |
25 | Студенты слушали лекцию |
26 | Ежи зимой спят |
27 | Агроном измерил участок |
28 | На улице было тихо |
29 | Мать открыла овчарню |
30 | На берегу реки стоял домик |
31 | Семье рыбака грозила опасность |
32 | Мы ехали по железной дороге |
33 | По реке плыли гуси |
34 | Шефы пришли в колхоз |
35 | В газете напечатали фельетон |
36 | Бакенщик зажег маяк |
37 | В саду цветет георгин |
38 | На опушке леса лежали бревна |
39 | В саду пахло черемухой |
40 | В палатке жили разведчики |
41 | Космонавт рассказывал о полете |
42 | Тучи ползли по небу |
43 | Дятел клювом долбил шишку |
44 | Сильный мороз сковал речку |
45 | Пришла ненастная осень |
46 | В саду жужжали пчелы |
47 | У зайца много врагов |
48 | На площади проходил митинг |
49 | На небе мигают звезды |
50 | В июле зачастили дожди |
Таблица Д.67
Номер п/п | Фразы |
1 | В лесу было много земляники |
2 | На холмике рос цветок |
3 | Выпал первый снег |
4 | Дороги вели в рощу |
5 | В парке цвела сирень |
6 | На плите закипел чайник |
7 | На балконе цвели фиалки |
8 | Задымились сторожевые костры |
9 | Ночь надвигалась быстро |
10 | Продавец взял варенье |
11 | Цыплята бегали по двору |
12 | Рядом послышались шорохи |
13 | В траве копошатся букашки |
14 | На берегу реки построили дом |
15 | Летом я был в лесной школе |
16 | За домом была роща |
17 | Дети нашли птичье гнездо |
18 | Брюки были из шерсти |
19 | На улице зажглись фонари |
20 | Птицы щебечут в чаще |
21 | Бабушка жила на окраине деревни |
22 | Девушки водили хороводы |
23 | Под крышей дома было гнездо |
24 | Над башней развевался флаг |
25 | На опушке леса растет ель |
26 | В лесу было много болот |
27 | Пароход подошел к пристани |
28 | Этнограф составил карту |
29 | Спортсмен достиг финиша |
30 | В колхозе идет уборка хлеба |
31 | В нашей местности появился волк |
32 | Снежинки таяли на ладони |
33 | Мальчик обратился к учителю |
34 | Портрет сына висит над дверью |
35 | Еж хорошо ловит мышей |
36 | У пристани было много судов |
37 | Майские жуки появляются весной |
38 | Пчеловод привел нас на пасеку |
39 | Брат изучает физиологию |
40 | Щенка помести на кухне |
41 | Улья стояли на поляне |
42 | В столе были ящики для книг |
43 | Ученики поймали чижа |
44 | Пчелы вьются над ульями |
45 | Под окном растет береза |
46 | Окна в школе были чистые |
47 | Школьники собрались на площадке |
48 | В садах зреют плоды |
49 | Зерна кукурузы очень питательны |
50 | Днем летучие мыши спят |
Таблица Д.68
Номер п/п | Фразы |
1 | Первыми улетают на юг грачи |
2 | Воробьи остаются на зиму |
3 | На проталинах цвели подснежники |
4 | В тайге много хищников |
5 | Пионеры пели песню |
6 | Юноши готовятся к празднику |
7 | Много игрушек продается в магазине |
8 | Занятия подошли к концу |
9 | Фотографии получились плохие |
10 | В шкафу висят пиджаки |
11 | Много ягод было на черемухе |
12 | К рябине слетались снегири |
13 | На березе сидели чижи |
14 | За окнами бушевала метель |
15 | Метеорологи прогнозируют погоду |
16 | Рабочие забивают сваи |
17 | Капли дождя стекали по стеклу |
18 | Дирижер взмахнул палочкой |
19 | Дети устроили новогоднюю елку |
20 | Ребята кормили птенца |
21 | Из норы выскочила куница |
22 | Был интересный концерт |
23 | Колхозники взялись за работу |
24 | Грачи собирают вредных личинок |
25 | Школьники выращивали цветы |
26 | Белка лакомится орешками |
27 | Малыши заботятся о птицах |
28 | Над городом плыли темные тучи |
29 | По рекам плывут пароходы |
30 | У нее красивые глаза |
31 | В плодах шиповника содержатся витамины |
32 | В интернате было тихо |
33 | В реке много рыбы |
34 | Костер горел всю ночь |
35 | Больной принял хинин |
36 | Комбайн срезает колосья |
37 | Начался зимний сезон |
38 | В Сибири построили новый город |
39 | Машина едет по лесной дороге |
40 | В городе открыли аптеку |
41 | Пассажиры несут чемоданы |
42 | Профессор привел цитату |
43 | Шахтеры зажгли фонарь |
44 | Гидротехники оказали помощь |
45 | На сцене стояло пианино |
46 | Дети собирают хворост |
47 | Дождь полил ручьями |
48 | Наступил холодный месяц |
49 | Медведь спит в берлоге |
50 | Кукушка сидела на березе |
Таблица Д.69
Номер п/п | Фразы |
1 | На улице метет метель |
2 | Лучи солнца высушили траву |
3 | Работают электронные машины |
4 | Вечером старик уехал на лодке |
5 | Установилась хорошая погода |
6 | Порыв ветра разбудил меня |
7 | Собака свернулась у моих ног |
8 | В овраге бежали ручьи |
9 | За полем темнел лес |
10 | В школе есть кинотеатр |
11 | Циклон идет с севера |
12 | Бакены показывают дорогу |
13 | За лесом было большое озеро |
14 | Настала теплая ночь |
15 | Мы катались на лодке |
16 | Физики провели эксперимент |
17 | В лесу щебечут птицы |
18 | В деревне гасли огоньки |
19 | Дорога идет через рощу |
20 | На праздник приехали гости |
21 | С ветки спрыгнула белка |
22 | Из норы вылезла лиса |
23 | Дни стали короче |
24 | С елки упал ком снега |
25 | На опушке собрались зайцы |
26 | Дикая утка вывела утят |
27 | Мальчики собирали орехи |
28 | В реке плавают пузатые караси |
29 | В городе открылась ярмарка |
30 | На горе стоит красивый дом |
31 | На улице был мороз |
32 | На поляне зеленеют листья земляники |
33 | В саду густо разрослась малина |
34 | Пионеры ухаживают за животными |
35 | За кормой бушует море |
36 | По широкой реке плывут лодки |
37 | Пассажиры сдают вещи в багаж |
38 | На берегу ручья сидел пастух |
39 | На пригорке паслось стадо |
40 | На стене висела большая карта |
41 | Летом ребята были в лагере |
42 | На весах лежали гири |
43 | Футболисты выиграли матч |
44 | Цветы клевера пахнут медом |
45 | В садах разводят смородину |
46 | Начался обеденный перерыв |
47 | Ястреб схватил цыпленка |
48 | В вазе лежали фрукты |
49 | Зажглась яркая лампа |
50 | Школьники отправились на экскурсию |
Таблица Д.70
Номер п/п | Фразы |
1 | В Москве построено метро |
2 | Летом у меня гостил товарищ |
3 | Мы собрались в большой комнате |
4 | Дождь хлестал в окно |
5 | Боксер вышел на ринг |
6 | В комнате было тепло |
7 | Ребята собирали коллекции растений |
8 | Началось строительство цирка |
9 | Кошка сидела на скамейке |
10 | На проталине зеленела трава |
11 | Школьники сдавали геометрию |
12 | На станциях стояли эшелоны |
13 | В музее выставлены минералы |
14 | Утром колхозники были на работе |
15 | Ребята быстро сгребли сено |
16 | На березе висят сережки |
17 | У черепахи твердый панцирь |
18 | С елей падают хлопья снега |
19 | Филателист собирает марки |
20 | Метель началась с утра |
21 | Виноград уложили в ящики |
22 | Корабль плыл по Черному морю |
23 | Оборудован физкультурный зал |
24 | В парке расцвел шиповник |
25 | Ученые выдвинули гипотезу |
26 | На небе виден самолет |
27 | На ветке сидели воробьи |
28 | Глубокий снег покрыл поля |
29 | Девочка перебежала дорогу |
30 | В пещере послышалось эхо |
31 | Светит яркое весеннее солнышко |
32 | На стене висели фотографии |
33 | Открылась химическая лаборатория |
34 | По реке плывут льдины |
35 | Ученики посетили музей |
36 | Ученики посадили деревья |
37 | В лесу отцвели подснежники |
38 | В овраге растаял последний снег |
39 | Мама открыла в доме окна |
40 | На небе сияли звезды |
41 | Пустыня выжжена солнцем |
42 | На юге идет сбор фруктов |
43 | С моря потянул свежий ветер |
44 | Школьники едут в лагерь |
45 | На улице стало свежо |
46 | Ребята ходили на экскурсию |
47 | В павильоне было прохладно |
48 | У меня есть хорошие друзья |
49 | Вечерами пионеры сидят у костра |
50 | Артист показывал фокусы |
Таблица Д.71
Номер п/п | Фразы |
1 | Мы пробирались к речке |
2 | Ребята уложили вещи в рюкзак |
3 | К вечеру пришла гроза |
4 | Ветер колышет листья деревьев |
5 | Туристы сделали привал на опушке |
6 | Чемоданы сдали в багаж |
7 | В крови содержится гемоглобин |
8 | Идет финальный конкурс |
9 | Состоялся пионерский сбор |
10 | В овраге печально кричали птицы |
11 | Мы просидели в палатке всю ночь |
12 | В полночь дождь перестал |
13 | Тренер приготовил секундомер |
14 | Мы спустились к реке |
15 | Кошка съела котлету |
16 | Друзья зашли в кафе |
17 | Наша страна очень большая |
18 | Тигр расхаживал по клетке |
19 | Вокруг было много следов |
20 | Кролики щипали траву |
21 | Колхозники убирают чечевицу |
22 | В коридоре было пусто |
23 | Колхозники выехали в поле |
24 | За дверями классов слышны голоса |
25 | Скачут серые вороны |
26 | Спортсмен приготовил шест |
27 | Скоро начнутся соревнования |
28 | С крыш капала вода |
29 | После дождя запахло грибами |
30 | В траве прячутся боровики |
31 | Было летнее утро |
32 | На болоте заквакали лягушки |
33 | В траве прячутся мухоморы |
34 | В лесу стоит глубокая тишина |
35 | Солнце показалось над лесом |
36 | На ели застучал дятел |
37 | Крестьяне стали сеять овес |
38 | На поляне было много земляники |
39 | Из книги вырвана страница |
40 | Они свернули в чащу |
41 | Щенки выбежали во двор |
42 | Трава блестела от росы |
43 | Пасмурные дни ускорили листопад |
44 | На лесной поляне выросли рыжики |
45 | Над тайгой кружились снежинки |
46 | Дети шли по узкой тропинке |
47 | Острые косилки срезали траву |
48 | За трактором шагали грачи |
49 | В лесу запели птицы |
50 | В лесу стоит глубокая тишина |
Таблица Д.72
Номер п/п | Фразы |
1 | Дорога в город была длинной |
2 | Дом лесничего скрыт деревьями |
3 | В пруду разводили карпов |
4 | На улице льет дождь |
5 | Собака сделала стойку |
6 | Маленькая дочь лежала в кроватке |
7 | Дует сильный ветер |
8 | На столе стоял букет астр |
9 | Мой консультант был доволен |
10 | Ледовый путь был открыт |
11 | Для реакции необходим фильтр |
12 | Я ходил по знакомым местам |
13 | Огни города мерцали в темноте |
14 | Самолет сделал разворот |
15 | Спиннинг забросили на середину реки |
16 | Чайка парила в воздухе |
17 | Машина остановилась у склада |
18 | Накидка защищала от ветра |
19 | Льдины несло мутной водой |
20 | Приближался праздник весны |
21 | Оркестр играл бравурный марш |
22 | Стол освещался дневным светом |
23 | Телефон был занят |
24 | Катер уходил за поворот |
25 | В комнате стоял длинный стол |
26 | В книге лежала ветка сирени |
27 | На рояле играла девочка |
28 | Мальчик поднял мяч |
29 | Боксер ушел в глухую защиту |
30 | Собака внимательно следила за хозяином |
31 | Его движения были точными |
32 | Он получил новый костюм |
33 | На плите стоял чайник |
34 | Сломался химический карандаш |
35 | На поляне росла земляника |
36 | Штурман просил продолжать разворот |
37 | Он работал на опытной станции |
38 | Мы рассматривали его почерк |
39 | Веселые гости дороги хозяину |
40 | Солнце еще находится в зените |
41 | Взвод первым форсировал реку |
42 | Он работал печником |
43 | Руководитель потребовал прекратить посадку |
44 | У проходной собралась вечерняя смена |
45 | Мы купили лодку с мотором |
46 | Жалобы регистрировали в книге |
47 | Летчик наблюдает слабые осадки |
48 | Скоро начнется небольшой дождик |
49 | Командир корабля одобрил решение |
50 | Мастерские перегружены заказами |
Таблица Д.73
Номер п/п | Фразы |
1 | Распорядок дня был обычный |
2 | Сторож следил за маяком |
3 | Дрова заполнили весь сарай |
4 | Самолет оказался в воздушной яме |
5 | Фильм снимают целый год |
6 | Переднее колесо резко опущено |
7 | Белка привыкла к людям |
8 | Спортсмен должен пробежать дистанцию |
9 | Он снял очки |
10 | Химия и физика - интересные науки |
11 | Сестра разговаривала по телефону |
12 | Он прицелился в кабана |
13 | Нина прислушивалась к спору |
14 | Зерно засыпали в мешки |
15 | Рулевое управление было исправно |
16 | Белый пакет был маленьким |
17 | Он заснул ненадолго |
18 | Вечерняя смена стекалась к фабрике |
19 | На краю площадки выкопали траншею |
20 | За окном намело большие сугробы |
21 | Поле было вспахано |
22 | По небу плыли белые облака |
23 | У клуба собралось много молодежи |
24 | Студенты готовились к экзаменам |
25 | Всю неделю идут дожди |
26 | Бортмеханик запустил моторы |
27 | Он проходил мимо дома |
28 | Он высказал свои предположения |
29 | Парень стоял у проходной |
30 | Врач зашел в кабинет |
31 | На прилавке лежали образцы |
32 | Тротуар очистили от снега |
33 | Учебный истребитель произвел взлет |
34 | У справочного окошка толпились люди |
35 | Открытие станции будет завтра |
36 | Директор подбирал материалы для доклада |
37 | В лаборатории проводили испытания |
38 | Он был спокойным |
39 | Он рассказал интересную историю |
40 | Тетрадь была чистой |
41 | Руководитель разрешил произвести маневр |
42 | Окунь повис на крючке |
43 | Приемник питался от аккумулятора |
44 | Апатиты недавно нашли в Хибинах |
45 | Мальчик молча сидел за столом |
46 | Он чувствовал физическую усталость |
47 | Собрание одобрило проект решения |
48 | Зимняя природа очень красива |
49 | В школу приезжали герои фронта |
50 | Голоса звучали всю ночь |
Таблица Д.74
Номер п/п | Фразы |
1 | У Саши был пушистый кролик |
2 | На город надвигалась темная туча |
3 | Дети сели пить чай |
4 | Идут сильные дожди |
5 | Снег лежит пушистым ковром |
6 | Путники решили отдохнуть |
7 | Охотники взяли волка живьем |
8 | Первый полет был удачным |
9 | Оленьи рога ценятся дорого |
10 | Весной в саду много работы |
11 | Ребята повесили в саду скворечник |
12 | Экипаж танка понял задачу |
13 | Летом ребят ждет отдых |
14 | На берегу ручья стоит дом |
15 | Листья с деревьев опали |
16 | Орел взмахнул сильными крыльями |
17 | Школа готовит спектакль |
18 | Ребята поставили стулья рядом |
19 | На дворе лежит глубокий снег |
20 | Поезд стал замедлять ход |
21 | Они перешли через овраг |
22 | Дежурный развел костер |
23 | Совхоз убрал хороший урожай |
24 | Сильный ветер сломал дуб |
25 | На дворе был большой сугроб |
26 | Стоит теплая пора |
27 | На пруду часто ловили рыбу |
28 | Зимой заяц сменил шубу |
29 | Хлопья снега слетели с елки |
30 | Ветер обрывает листья с берез |
31 | Снежинки тихо падают на землю |
32 | В морозный день снег скрипит |
33 | На пруду был крепкий лед |
34 | Ручей журчит на дне оврага |
35 | Этот блок работает хорошо |
36 | Колхозник вез из лесу дрова |
37 | На горе стоят высокие сосны |
38 | Горная река течет быстро |
39 | Мышка залезла в нору |
40 | На стене висит большой ковер |
41 | Директор сравнил доход с расходом |
42 | Испорченный контакт нарушил цикл |
43 | В море началась качка |
44 | Утром ребята бегут в лес |
45 | На траве блестит роса |
46 | Магазин получил много овощей |
47 | Собака погналась за волком |
48 | Овчарки часто спасают людей |
49 | Началась варка варенья |
50 | В комнате был полный разгром |
Таблица Д.75
Номер п/п | Фразы |
1 | Тропинка к колодцу была узкой |
2 | Около сада был забор |
3 | Оператор стирает старые записи |
4 | Разноцветными огнями блестит озеро |
5 | Кнопки стоят на сигнале "Стоп" |
6 | Пионеры сели писать письмо |
7 | В классе был чистый воздух |
8 | Налаживаю ход мотора по схеме |
9 | У платка была красивая кайма |
10 | Зарядка полезна для здоровья |
11 | Охотник зарядил ружье |
12 | Многие слышали победный возглас |
13 | Вода в котле быстро закипела |
14 | Мороз сковал реки льдом |
15 | На рельсах играл маленький мальчик |
16 | Лесник обходит лес |
17 | Брызги летят во все стороны |
18 | На плотах везут в поселок дрова |
19 | Тяжело перелетным птицам в пути |
20 | Салазки летели до самой реки |
21 | Зимний день был коротким |
22 | Автокар быстро движется направо |
23 | Река снесла мосты |
24 | Жители ушли в лес |
25 | Развернулись на деревьях почки |
26 | Вереницей летят над рекой утки |
27 | Весь день летают пчелы |
28 | В саду цветет липа |
29 | Улица была полна народу |
30 | Громко залаяла собака |
31 | Стрекочут в траве кузнечики |
32 | Деревья зеленеют вдоль улицы |
33 | Дежурные следили за порядком |
34 | На всех домах виднелись флаги |
35 | В классе стало чисто |
36 | Улица была белой от снега |
37 | Бабочки носятся над цветами |
38 | Снег скрипит под ногами |
39 | Ветер сметает с крыльца снежок |
40 | На углу улицы повесили фонарь |
41 | Над рекой пронеслись стрижи |
42 | Ребята на лугу сгребают сено |
43 | Рыболовы натянули палатку |
44 | Поезд подкатил к Москве |
45 | Все заняты своими делами |
46 | Скоро взойдет солнце |
47 | В гнезде лежали три яичка |
48 | По ступенькам в вагон поднялась мама |
49 | За окном понеслись столбы |
50 | Зимовщик запустил сложный механизм |
Таблица Д.76
Номер п/п | Фразы |
1 | Рядами зеленели посадки |
2 | Мальчик целые дни пропадал в лесу |
3 | На дворе залаяла собака |
4 | В лесу появилось много опят |
5 | За окном птичка свила гнездо |
6 | Береза стоит на краю леса |
7 | Монтер проверил новый выключатель |
8 | Летом хорошо отдыхать в тени |
9 | Наш класс выпустил газету |
10 | Хорошо было в лесу весной |
11 | Южное направление давно закрыто |
12 | Нашу газету читала вся школа |
13 | В наш город приехали гости |
14 | Летом мы жили у бабушки |
15 | Много капусты собрал колхоз |
16 | Картина висит на стене |
17 | К картофелю подали масло |
18 | В корзиночку насыпали вишни |
19 | У дятла был крепкий клюв |
20 | Грабли нужны в саду |
21 | В магазин привезли много товаров |
22 | В саду поспела малина |
23 | Я видел это кресло |
24 | В мебельном магазине много вещей |
25 | Школьники убрали овощи в срок |
26 | Народ готовится к празднику |
27 | К огороду ведет тропинка |
28 | Зеленый огурец лежал на грядке |
29 | Ребята пошли в орешник |
30 | Осина стояла зеленая |
31 | В лесу было много грибов |
32 | Герои вернулись домой с победой |
33 | У платка была красивая кайма |
34 | Песчаный берег был крутым |
35 | Стоит хорошая погода |
36 | На песке были видны ракушки |
37 | Сапожник закончил работу |
38 | Лимон положили в стакан |
39 | В субботний вечер люди отдыхают |
40 | Ребята окружили товарища |
41 | Тарелка супа стоит на столе |
42 | К топору сделали новое топорище |
43 | На улице было большое движение |
44 | Уличный шум доносится в комнаты |
45 | Упорная работа дала результат |
46 | В четверг ребята ходили в музей |
47 | Город украсили флагами |
48 | На столе стоят стаканы с молоком |
49 | Была хорошая погода |
50 | Путник шел домой |
Таблица Д.77
Номер п/п | Фразы |
1 | Дорога была дальняя |
2 | У дороги стояли березы |
3 | Дятел поедал вредных насекомых |
4 | Ребята дни проводили в лесу |
5 | В лесу поспели орехи |
6 | Ребята сложили вещи под деревом |
7 | Учитель вошел в класс |
8 | Для работы нужны были молотки |
9 | У нас была дружная семья |
10 | Зимой охотник отправился в лес |
11 | На полях желтеет овес |
12 | Зреют спелые стручки гороха |
13 | Высоко в небе летают жаворонки |
14 | Радостно бьется сердце |
15 | Совхоз получил щедрый урожай |
16 | В области было много озер |
17 | Из тростника плетут корзины |
18 | Завтра наступит большой праздник |
19 | Зима стояла суровая |
20 | Известный артист вышел на сцену |
21 | Крутая лестница вела в дом |
22 | Хлеб стал черствым |
23 | На реке появляются первые льдины |
24 | Прилетели грачи с юга |
25 | Сегодня был ненастный день |
26 | Мы приветствовали наших гостей |
27 | Надо быть честным |
28 | Днем чайки были на воде |
29 | Летний переход был завершен |
30 | Ступени лестницы ведут к морю |
31 | Лодка тихо скользит по воде |
32 | Луна осветила окрестность |
33 | Финны взяли новую машину |
34 | Шаги на лестнице стихли |
35 | Птицы приветствуют восход солнца |
36 | Тростник наклонился к воде |
37 | Хрустнула ветка на сосне |
38 | Птичка вспорхнула с куста |
39 | Пастух гонит стадо на пастбище |
40 | День будет теплым |
41 | Механик вышел из заводского гаража |
42 | Ребята изучают окрестности лагеря |
43 | Сухой тростник горит ярко |
44 | Был солнечный день |
45 | Ребята бегом пустились домой |
46 | Солнце скрылось за тучи |
47 | Министерство распределяет научные кадры |
48 | Химики награждены почетными орденами |
49 | В лесу жгут костры |
50 | Звонок раздался совершенно неожиданно |
Таблица Д.78
Номер п/п | Фразы |
1 | В лесу стало темно |
2 | Больной берег свое здоровье |
3 | Общее состояние генерала ухудшилось |
4 | Местность была очень красивой |
5 | Ребята едут в деревню |
6 | Огромные луга покрыты травой |
7 | На полях растет кукуруза |
8 | Лес и речка были недалеко |
9 | Мальчика уложили в постель |
10 | Пионеры нарисовали картины |
11 | Доктор прописал лекарство |
12 | Окрестность озарилась солнцем |
13 | Песни звучали за рекой |
14 | Тихо шелестит тростник |
15 | Мать отлично играла на пианино |
16 | Игрушки очень обрадовали целинников |
17 | Телеграмму принесли домой |
18 | Эта беседа всех развеселила |
19 | В школу вела широкая аллея |
20 | У нас были светлые комнаты |
21 | Осенние дни были короткими |
22 | Холодный ветер жжет лицо |
23 | Скоро установится санный путь |
24 | В институте я изучал физику |
25 | Мама стоит у кассы магазина |
26 | Липовая аллея ведет к реке |
27 | Дети разбились на группы |
28 | Мы собирали осенние листья |
29 | Закончилась утренняя зарядка |
30 | Дежурная проветрила комнату |
31 | Школьники вынули тетради |
32 | Началась большая перемена |
33 | Наш класс ходил в театр |
34 | Мы взяли билеты в кассе |
35 | Выпал первый ранний снег |
36 | Статью трудно было изменить |
37 | Дежурный принес одежную щетку |
38 | Зимний вечер был тихий |
39 | Хвойный лес окружает село |
40 | В лесу было много ягод |
41 | На берегу сделали пляж |
42 | Ночью был теплый дождь |
43 | Снег таял быстро |
44 | Днем светило яркое солнце |
45 | На реке взломало лед |
46 | С юга прилетели грачи |
47 | Грязь на дорогах подсохла |
48 | У скворцов вывелись птенцы |
49 | Пар поднимался над рекою |
50 | Река была мелкой |
Таблица Д.79
Номер п/п | Фразы |
1 | Часть воды просочилась под землю |
2 | Весной наша река разлилась |
3 | Вода покрыла луг |
4 | На лугу видна зеленая трава |
5 | На березах распустились почки |
6 | Наступило раннее весеннее утро |
7 | По воде плывут плоты |
8 | Ветерок шелестит листьями деревьев |
9 | Девочки идут по аллее парка |
10 | Дорога ведет в деревню |
11 | Стоит хорошая погода |
12 | Приятно пахнут цветы на клумбе |
13 | Грачи вьют гнезда |
14 | Летят с юга птицы |
15 | Вода блестит в реке |
16 | Летают бабочки над водою |
17 | Береза покрыта сережками |
18 | Холодные дни миновали |
19 | Город был очень красивый |
20 | Всюду зеленеет молодая травка |
21 | Пастух гонит коров к лесу |
22 | С гор бегут ручьи |
23 | Толпа народа стоит на берегу |
24 | По реке плывет большая льдина |
25 | Дети пошли на луг |
26 | На горе пастух пас стадо |
27 | В реке вода стала теплой |
28 | Лодка тихо скользит по воде |
29 | На посадочной полосе зеленые огни |
30 | Выполняю правый разворот |
31 | Школа заняла первое место |
32 | Коровы шли к воде |
33 | Он увидел красный флаг |
34 | Дети нашли белый гриб |
35 | Мальчики закинули удочки |
36 | Под камнем сидел большой рак |
37 | В лесу ребята увидали белку |
38 | Собака почуяла зверя |
39 | Вода несет льдину к берегу |
40 | Пароход причалил к берегу |
41 | Летом они ездили на север |
42 | На палубе было много ребят |
43 | В лесу зажурчали ручейки |
44 | Передайте срочно сведения |
45 | Направление держать прежнее |
46 | Дети набрали корзины грибов |
47 | Мы нарубили веток осины |
48 | Звезды появились на небе |
49 | В тишине запели соловьи |
50 | В саду стояли ульи |
Таблица Д.80
Номер п/п | Фразы |
1 | Стало сильно греть солнце |
2 | Наберите максимальную высоту |
3 | Пчелы больно ужалили шалуна |
4 | Ребята забрались на птичник |
5 | Впереди видите цель |
6 | В парк вышли гулять дети |
7 | Мы прошли узкий мостик |
8 | В руках дети держат игрушки |
9 | Повторите последнюю фигуру |
10 | На елке сидел дрозд |
11 | На дворе идет дождь |
12 | Под окном растет черемуха |
13 | Под ногами шуршит листва |
14 | Вижу яркие бакены |
15 | Он тряхнул ветку дерева |
16 | Дорога шла лесом |
17 | До колхоза было далеко |
18 | Мы зашли в избушку лесника |
19 | Домой мы пришли к вечеру |
20 | На краю леса краснеет рябина |
21 | Метод считайте верным |
22 | Ночью бывает мороз |
23 | Медведь залез в берлогу |
24 | Лужи покрылись льдом |
25 | Фюзеляж гидроплана проверен |
26 | Ветер качает ветки деревьев |
27 | За горой течет река |
28 | Мальчик начал писать рассказ |
29 | Мороз щиплет щеки |
30 | Мама подарила мне коньки |
31 | Спорт требует упорства |
32 | Спортсмен сменил футболку |
33 | В домах топят печи |
34 | Вода в реке замерзла |
35 | Мороз сковал реку |
36 | Девочки взяли санки |
37 | Зимний день был коротким |
38 | Задул холодный ветер |
39 | Скоро наступит Новый Год |
40 | Птицам зимой голодно |
41 | Глубокий снег покрыл землю |
42 | Под окно слетелись птицы |
43 | Снежинки тихо ложатся на землю |
44 | Сначала сдают математику |
45 | Река скована льдом |
46 | Кормушку сделали дети |
47 | Стоят сильные морозы |
48 | В лесу стоит тишина |
49 | Дятел стучит по стволу дерева |
50 | На дворе появились лужи |
Таблица Д.81
Номер п/п | Фразы |
1 | Снег лежит на полях |
2 | Мороз румянит щеки |
3 | Быстро летят санки |
4 | Летом он ловил рыбу |
5 | Офицер отдал приказ |
6 | Ночью в сени прокрался кот |
7 | На краю села стоит школа |
8 | Ребята спешат на урок |
9 | Начался учебный год |
10 | Малыш получил хорошие учебники |
11 | Артисты обещают концерт |
12 | Синицы зимуют в Эстонии |
13 | На столах стояли цветы |
14 | Ребята ели молча |
15 | Химики проходят практику |
16 | Летом мы отдыхали на Волге |
17 | Мы работали в старом саду |
18 | Геологи сдержали слово |
19 | Мы пололи грядки клубники |
20 | Котенок был очень пушистый |
21 | На столе лежала шляпа |
22 | Щенок прыгнул на стол |
23 | Карась попался на удочку |
24 | В лесу стало холодно |
25 | В класс пришел новичок |
26 | Мама ушла в магазин |
27 | На столе стояла кружка молока |
28 | Котята напились молока |
29 | По морю плывет пароход |
30 | У стола играли котята |
31 | Дежурный передал сообщение |
32 | Чайки ныряют в волну |
33 | Кружка упала на пол |
34 | Огромная рыба ударила хвостом |
35 | Надо взять билеты в кассе |
36 | Большая волна бьет о корму |
37 | Ученики поедут в дом отдыха |
38 | Котята стали лакать молоко |
39 | Ученики поедут поездом |
40 | Бабушка живет в Крыму |
41 | Сережа насыпал орехи в тарелку |
42 | Орехи были вкусные |
43 | Обед был очень вкусный |
44 | Щенок сидел в траве |
45 | Дед накосил травы |
46 | Мальчишки пошли убирать сено |
47 | Летчик видит хорошо |
48 | Люди шли на демонстрацию |
49 | Сено лежало ворохом |
50 | Наташа мыла чашки |
Таблица Д.82
Номер п/п | Фразы |
1 | Футболист забил гол |
2 | Гидролог осмотрел плотину |
3 | Машина часто останавливалась |
4 | В кишлаке веселый праздник |
5 | Черные тучи затянули небо |
6 | Мы добрались до небольшого строения |
7 | Летчицы выполняют фигуры |
8 | Крыша виднелась сквозь деревья |
9 | Он стоял по колено в воде |
10 | Моторист слышит помехи |
11 | В степи была биостанция |
12 | Громко щелкнул выключатель |
13 | Директор поблагодарил служащих |
14 | Мы оказались в лесу |
15 | Мы спешили покинуть сарай |
16 | Пришлось вносить изменения в план |
17 | Самолеты отправились на поиски рыбаков |
18 | Вечером стали поступать сведения |
19 | Ученик понял решение задачи |
20 | В полночь мне позвонили геологи |
21 | Ситуация может измениться |
22 | Туристы переправились через реку |
23 | Охотник убил лису |
24 | Мальчик сломал санки |
25 | Строители потрудились неплохо |
26 | Скамейка выкрашена краской |
27 | По дороге двигались колхозные подводы |
28 | Я обратился к первому встречному |
29 | Он устало опустился на табурет |
30 | Я подошел к своему месту |
31 | Желание ребенка исполнилось |
32 | Гепард бежит скачками |
33 | Шахтеры стучали молотками |
34 | Первые ласточки уже прилетели |
35 | Грибник нашел три гриба |
36 | На груди висит значок |
37 | Соседка щелкнула дверью |
38 | Просвет между деревьями сокращался |
39 | В болоте громко квакали лягушки |
40 | Они знали химию |
41 | Пустая кружка упала со стола |
42 | Лист бумаги исписан карандашом |
43 | Сахар высыпали из мешка |
44 | Плоскодонка застряла на мели |
45 | Двигатель работал с перерывами |
46 | Мост через реку восстановили |
47 | Леска неожиданно оборвалась |
48 | Шумел морской прибой |
49 | Отлет птиц задерживался |
50 | Юноша приобрел профессию |
Таблица Д.83
Номер п/п | Фразы |
1 | Цех построили зимой |
2 | Дни становились короче |
3 | Ветер поднимался постепенно |
4 | Степи изобилуют хищниками |
5 | Мы полетели очередным рейсом |
6 | Гена разбил стекло |
7 | Спасатели приехали вовремя |
8 | В шалаше было тихо |
9 | Нефтяники перебазировались на север |
10 | Бабушка была на кухне |
11 | Из парка доносилась музыка |
12 | На улице зажигались огни |
13 | Отец приехал из командировки |
14 | Мужики обсуждали новости |
15 | Ливень прошел стороной |
16 | Взрывом выбило стекло |
17 | В темноте виднелись огоньки |
18 | Рыба боится шума |
19 | Ветка сирени лежала на окне |
20 | Студенты взяли блокноты |
21 | На привале я делал записи |
22 | В доме была овчарка |
23 | Празднование закончилось вечером |
24 | Он сообщил важные новости |
25 | Инструктор показал фюзеляж |
26 | Машина везла сено с луга |
27 | Отец любил свою дочь |
28 | В лесу я собирал землянику |
29 | Он повернул голову влево |
30 | Прозвучал первый звонок |
31 | Аисты гнездились на крыше |
32 | В комнате было тепло |
33 | Завтра выступают сборные команды |
34 | Лыжник уступил лыжню |
35 | Штукатур стучал в передней |
36 | Мальчик держал ягненка |
37 | На щите загорались лампочки |
38 | Вещмешки лежали в углу |
39 | Записи в журнале ведутся плохо |
40 | Он закурил трубку |
41 | В мастерских стояли станки |
42 | Узнаю китайские орнаменты |
43 | Ученики играли в футбол |
44 | В саду созрела клубника |
45 | Идет разгрузка транспорта |
46 | Окна в квартире были закрыты |
47 | Танк ждал у дороги |
48 | За окном шумел ливень |
49 | Отцу рассказали все |
50 | В поле гудел трактор |
Таблица Д.84
Номер п/п | Фразы |
1 | Машины зажгли фары |
2 | В вагоне было много людей |
3 | Он заговорил только ночью |
4 | Завтрак был завернут в бумагу |
5 | Эсминец бороздил океан |
6 | Он долго лежал на траве |
7 | Он жил на маяке один |
8 | Самолет пролетел низко над головой |
9 | Радист подготовил прием |
10 | Он делал отметки на деревьях |
11 | Машина остановилась у подъезда |
12 | Голуби кружили над домом |
13 | В аптеке не оказалось лекарства |
14 | Химик уточнил расчеты |
15 | Из палатки слышались голоса |
16 | Ракета сбивает цель |
17 | Он налил себе чай |
18 | Шла обычная трудовая жизнь |
19 | Физик проверил ввод |
20 | В горах погиб скот |
21 | Он приехал из деревни |
22 | Директор сидел в президиуме |
23 | Сети сушились на солнце |
24 | Он делал интересный опыт |
25 | Термометр показывает ноль |
26 | Он прищурил глаза и заговорил |
27 | Срочно выполняйте снижение |
28 | Тропа вела нас к реке |
29 | Пилот произвел взлет |
30 | Колеса поезда стучали |
31 | Костя распахнул дверь |
32 | Он перелистывал страницы книги |
33 | Мы были в детском театре |
34 | Чашка с соком была на столе |
35 | Лампочка светилась у самого потолка |
36 | Поле было покрыто снегом |
37 | Сестра собирала грибы |
38 | За дверью послышался голос |
39 | Рыба плескалась в воде |
40 | Шов был очень прочным |
41 | Мяч мелькал над сеткой |
42 | Рыба ловилась плохо |
43 | Пчелы летали над цветами |
44 | Ребенка мыли ежедневно |
45 | В зале звучал фокстрот |
46 | Берег был чистым |
47 | Поезд приближался к станции |
48 | Дорога была извилистой |
49 | На чердаке было развешено белье |
50 | Голуби кружили над крышей |
Таблица Д.85
Номер п/п | Фразы |
1 | Медведи скрылись в чаще леса |
2 | Ветки царапали лицо |
3 | Эдик стал геологом |
4 | В комнате сидели гости |
5 | Старый дом был заколочен |
6 | Морозы стояли сильные |
7 | На деревьях был иней |
8 | Под листьями находили грибы |
9 | За поворотом начинался лес |
10 | Переезд закрыт шлагбаумом |
11 | Мотоциклист снял очки |
12 | Начальники вошли в цех |
13 | Выставка была в большом зале |
14 | На мачту был поднят флаг |
15 | Вехи поставлены быстро |
16 | Ученик писал в новой тетради |
17 | На дереве висели гроздья рябины |
18 | Охотник убил утку |
19 | Женщина работает на ферме |
20 | Зина получила назначение |
21 | Книга была взята в библиотеке |
22 | Наша беседа закончилась |
23 | Яхту можно перегнать |
24 | Начальник запретил входить в порт |
25 | Провода были оборваны |
26 | Густой лес шумит |
27 | Герой участвует в бою |
28 | Ученица разбила колено |
29 | В расчетах допущена ошибка |
30 | Пионеры разложили костер |
31 | Утром созвали военный совет |
32 | В магазине висел костюм |
33 | Туристов привлекало Подмосковье |
34 | Хек мечет икру |
35 | Физик сделал киноаппарат |
36 | Елка стояла у окна |
37 | Артиллерия была готова к бою |
38 | Масло покупают в магазинах |
39 | На кораблях были тысячи пушек |
40 | Машина не выдержала перегрузки |
41 | Бой продолжался всю ночь |
42 | Всходы семян погибли |
43 | Быстро опустела поляна в лесу |
44 | Химкомбинат переезжает за город |
45 | По полю прошел трактор |
46 | Отец подарил мяч |
47 | Наташа стояла около стола |
48 | На столе стоял белый телефон |
49 | Генерал похвалил солдата |
50 | Деревья стояли в инее |
Таблица Д.86
Номер п/п | Фразы |
1 | Утром разыгралась гроза |
2 | Мы вышли на заводской двор |
3 | Погрузка машин закончилась |
4 | Мы ждали команды командира |
5 | Дежурный производил проверку |
6 | Послышался лай соседской собаки |
7 | В лесу мы шли по компасу |
8 | Он согласился с нашими предложениями |
9 | В бутылке была вода |
10 | Мы проходили по аллее парка |
11 | В горах произошел обвал |
12 | Катер стоял на якоре |
13 | Кран поднял блок |
14 | Музыка гремела до утра |
15 | Бабочка летала среди цветов |
16 | В саду созрела смородина |
17 | Шофер ведет машину |
18 | Он пришел к финишу первым |
19 | Над головой шелестели листья |
20 | В банке были рыбные консервы |
21 | Поезд затормозил у станции |
22 | Пароход медленно выходил из порта |
23 | Сестра принесла лекарство |
24 | На улице было много людей |
25 | Телеграфист принял сообщение |
26 | Наша группа уходит в поход |
27 | Щенки открыли глаза |
28 | Этап был завершен |
29 | Задачу объяснить трудно |
30 | Дело сделано заново |
31 | В феврале шел снег |
32 | Трудовой год кончился |
33 | Товарищи уезжали в Белоруссию |
34 | Жнивье сгорело от взрыва |
35 | Здания находились в центре |
36 | Дождь стучит по окну |
37 | Дом полностью перестроен |
38 | Он попал в госпиталь |
39 | На завод пришли рабочие |
40 | В горах цветет кизил |
41 | Материал сильно смят |
42 | Техник погибал от ран |
43 | Дружина собралась в лагере |
44 | Я собираюсь путешествовать |
45 | Станция очень живописна |
46 | Электростанции дают ток |
47 | Секунда прошла незаметно |
48 | Лесник подбросил в печь дрова |
49 | Гуси плавали в заливе |
50 | Девочка обиделась на брата |
Таблица Д.87
Номер п/п | Фразы |
1 | Река вышла из берегов |
2 | В ущелье дул порывистый ветер |
3 | Буфетчик налил стакан кофе |
4 | В магазине продают свежую рыбу |
5 | Трубач громко играл сбор |
6 | Смотрели интересный фильм |
7 | Он внимательно рассматривал картины |
8 | Мы были на выставке |
9 | Фонарь светил ярко |
10 | Мы подошли к кораблю |
11 | Охотник спугнул зайца |
12 | Собака следовала за хозяином |
13 | На улице было много автомашин |
14 | Он играл на скрипке |
15 | Саша слушал сказки |
16 | На лужайке играли дети |
17 | Туристы думали об отдыхе |
18 | Кирпич подвозили круглосуточно |
19 | За поворотом послышался сигнал |
20 | У входа была большая очередь |
21 | С крыш сбрасывали снег |
22 | На куст шиповника села синица |
23 | Влажный ветер подул с юга |
24 | В зарослях прятался охотник |
25 | Из музея похищены ценности |
26 | Школьник разбил стекло |
27 | Степь переходила в лес |
28 | Прорабы собрались на совещание |
29 | Мотоцикл был отремонтирован |
30 | Завтра будет хорошая погода |
31 | У окна было светло |
32 | Туман медленно рассеивался |
33 | В лесу были молодые березы |
34 | Мать рассказала о зимовке |
35 | Он жил на пятом этаже |
36 | Дальше дорога идет по лесу |
37 | В класс вошел учитель |
38 | На окне сидел серый кот |
39 | Яхта остается в море |
40 | Он сидел у цветника |
41 | Солнце нагрело воду |
42 | Юноши стреляли метко |
43 | Спорт увлекал офицера |
44 | Стога гибнут от дождей |
45 | В небе блеснули звездочки |
46 | Хищник охотился за перепелкой |
47 | Операция прошла успешно |
48 | Животное привезли вчера |
49 | День был спокойным |
50 | Лодка скрылась за поворотом |
Таблица Д.88
Номер п/п | Фразы |
1 | До перерыва осталось пять минут |
2 | Звонок разбудил щенка |
3 | Командировка сотрудников затянулась |
4 | Здание филармонии красиво |
5 | Магазины были еще закрыты |
6 | Здоровье отца беспокоило |
7 | Кот поцарапал ребенка |
8 | В городе продолжались уличные бои |
9 | Повсюду слышалось эхо |
10 | Лагерь окружал высокий забор |
11 | По лицу катились крупные слезы |
12 | Горы были покрыты лесом |
13 | В институте изучают язык |
14 | Электростанция дала первый ток |
15 | В лесу раздался смех лыжников |
16 | На меня смотрели огромные глаза |
17 | Тусклые лампы освещали улицу |
18 | Искусство возрождается в Якутии |
19 | На девушке было красное платье |
20 | Карандаш был хорошо заточен |
21 | В комнате было очень холодно |
22 | План был выполнен досрочно |
23 | Вспыхнувший пожар удалось потушить |
24 | Премьера спектакля прошла успешно |
25 | Звери не боялись людей |
26 | Поляна была завалена камнями |
27 | В небе стали сверкать молнии |
28 | Машина резко затормозила |
29 | Поток людей стал уменьшаться |
30 | Наводнение вызвано сильными ливнями |
31 | Палатка находилась на углу улицы |
32 | Связисты искали геолога |
33 | Сапоги казались легкими |
34 | Библиотека была завалена книгами |
35 | Строительство дома подходило к концу |
36 | Северный ветер принес ненастье |
37 | Птицы стали собираться в стаи |
38 | Фотографии получились четкие |
39 | Суховей уменьшил урожай |
40 | Скоро опять польет дождь |
41 | У юнги широкие плечи |
42 | Конфеты подарил друг |
43 | На верхушку дерева залез медведь |
44 | Конь продолжал жевать траву |
45 | На заводе появилась техника |
46 | Тишина воцарилась в зале |
47 | Небо затянулось черными тучами |
48 | Ветер помогал перебежке |
49 | Мать зарабатывала деньги стиркой |
50 | Путь до поселка был долгий |
Таблица Д.89
Номер п/п | Фразы |
1 | Трикотажники выполнили план |
2 | Треск веток слышался в лесу |
3 | Труд всем полезен |
4 | Фирма переехала в Ялту |
5 | Шофер распахнул дверцу |
6 | Милиционеры сменили форму |
7 | Девушки работали в ночную смену |
8 | Отъезжающие люди толпились у вагона |
9 | Футбол привлекает болельщиков |
10 | Жена назвала девочку Светланой |
11 | Мяч беспомощно повис в сетке |
12 | Хор выступил по телевидению |
13 | Художники бегут в ателье |
14 | Этот карандаш починен |
15 | Подарили дорогие духи |
16 | Тропинка вилась среди кочек |
17 | Шинель была заштопана |
18 | Колеса прыгали по камням |
19 | Велосипедисты вмешались в борьбу |
20 | Маляр разлил белила |
21 | Школьники разговаривали дружно |
22 | Корабли выстроились у причала |
23 | Эфир быстро выдыхается |
24 | Скала была прорезана трещиной |
25 | Дома смотрели окнами в озеро |
26 | Члены парламента требуют помещения |
27 | Сергей внес аппарат |
28 | В комнате не было окон |
29 | Солдат всегда аккуратен |
30 | В углу стоял письменный стол |
31 | На втором этаже горел свет |
32 | Во дворе станции было пусто |
33 | На ступеньках валялись обрезки досок |
34 | Кошка поймала воробья |
35 | Весело шагали геологи |
36 | Студенты отдыхают летом |
37 | Воздух был по осеннему прозрачен |
38 | В лесу было много грибов |
39 | На манекен падал свет |
40 | В хижине ночевали зимовщики |
41 | Солнце поднялось над сопками |
42 | Вдали белела яблоня |
43 | Замерзшие пальцы плохо сгибались |
44 | Храбрец идет в разведку |
45 | На горизонте появилось темное пятнышко |
46 | Диктора поразило сообщение |
47 | Городок располагался на дне ложбины |
48 | Ребенок ходит в ясли |
49 | План утверждают в области |
50 | Танцовщица устроилась в цирк |
Таблица Д.90
Номер п/п | Фразы |
1 | Чемоданы сдали в багаж |
2 | В крови содержится гемоглобин |
3 | Идет финальный конкурс |
4 | Состоялся пионерский сбор |
5 | Колхозники убирают чечевицу |
6 | На листе было несколько фотографий |
7 | Все столпились вокруг альбома |
8 | Он запер шкаф |
9 | Машина подошла к подъезду |
10 | На столе разложены подарки |
11 | У нас есть родственник |
12 | Руководитель предприятия ответил на письмо |
13 | Кролики щипали траву |
14 | Друзья зашли в кафе |
15 | Тренер приготовил секундомер |
16 | В доме все крепко спали |
17 | Эскадрон пошел в атаку |
18 | В тайге обнаружили марганец |
19 | Вновь открылась больница |
20 | Техники починили дизель |
21 | Поток шумел впереди |
22 | Всегда работает буфет |
23 | Хирург вырезал опухоль |
24 | Ливни освежают рощу |
25 | Молодая женщина стояла у окна |
26 | В павильоне было прохладно |
27 | Артист показывал фокусы |
28 | Пустыня выжжена солнцем |
29 | На небе сияли звезды |
30 | В соседней комнате слушали радио |
31 | Широко распахнулась дверь |
32 | Ученики посетили музей |
33 | Открылась химическая лаборатория |
34 | На стене висели фотографии |
35 | Они остановились возле ступеней |
36 | В пещере послышалось эхо |
37 | Девочка перебежала дорогу |
38 | Ученые выдвинули гипотезу |
39 | В парке расцвел шиповник |
40 | Оборудован физкультурный зал |
41 | Павел выпил воды из графина |
42 | На станциях стояли эшелоны |
43 | Началось строительство цирка |
44 | Школьники сдавали геометрию |
45 | В музее выставлены минералы |
46 | У черепахи твердый панцирь |
47 | Филателист собирает марки |
48 | Виноград уложили в ящики |
49 | Боксер вышел на ринг |
50 | Лыжня проходила лесом |
Таблица Д.91
Номер п/п | Фразы |
1 | В вазе лежали фрукты |
2 | Буфетчик налил воды |
3 | Зажглась яркая лампа |
4 | Этот эпизод мне нравится |
5 | Начался обеденный перерыв |
6 | Рыба любит тишину |
7 | На весах лежали гири |
8 | Футболисты выиграли матч |
9 | Мальчики собирали орехи |
10 | Дни стали короче |
11 | Старик занимался торговлей |
12 | Он попал в госпиталь |
13 | За кормой бушует море |
14 | Валентин заболел малярией |
15 | Пожилой мужчина вышел из палатки |
16 | В городе открылась ярмарка |
17 | На праздник приехали гости |
18 | Физики провели эксперимент |
19 | Сестра взглянула на градусник |
20 | В лесу щебечут птицы |
21 | Циклон идет с севера |
22 | Установилась хорошая погода |
23 | Солдат щеткой чистил сапоги |
24 | Вешалка закрыта шторой |
25 | В лесу было много цветов |
26 | Больной лежал под одеялом |
27 | Работают электронные машины |
28 | Кровать стояла в дальнем углу |
29 | Ребята срывали зрелые сливы |
30 | На улице метет метель |
31 | На сцене стояло пианино |
32 | Он надел черный костюм |
33 | Сигнал поворота был неисправным |
34 | На улице были продуктовые магазины |
35 | Он помыл посуду |
36 | Жена приготовила вкусный обед |
37 | Гидротехники оказали помощь |
38 | Шахтеры зажгли фонарь |
39 | Профессор привел цитату |
40 | Желтые листья лежали на траве |
41 | Трамвай громыхал на стрелках |
42 | Выстрел был удачным |
43 | У него было слабое здоровье |
44 | Начался зимний сезон |
45 | Дети собирали хворост |
46 | Больной принял хинин |
47 | В реке много рыбы |
48 | Провода были оборваны |
49 | У нее красивые глаза |
50 | Лес стоял в серебристом уборе |
Таблица Д.92
Номер п/п | Фразы |
1 | Школьники выращивали цветы |
2 | На последнем этаже горел свет |
3 | На вокзале было много людей |
4 | На стройке валялись доски |
5 | Был интересный концерт |
6 | Из норы выскочила куница |
7 | Дирижер взмахнул палочкой |
8 | Рабочие забивают сваи |
9 | В шкафу висят пиджаки |
10 | Артист показывал фокусы |
11 | Фотографии получились плохие |
12 | Занятия подошли к концу |
13 | Пионеры пели песню |
14 | В тайге много хищников |
15 | Мальчик взял у тети книгу |
16 | Люди радовались хорошей погоде |
17 | В банках были овощные консервы |
18 | В субботу мы убирали сквер |
19 | Щука любит глубокие места |
20 | Редкий лес богат земляникой |
21 | Брат изучает физиологию |
22 | У реки был сарай с лодками |
23 | Оркестр проходил по главной улице |
24 | Дорога была ровной |
25 | Журналисты обсуждали планы работ |
26 | В столовой готовили вкусные обеды |
27 | Девочка включила настольную лампу |
28 | Под водой росли красивые водоросли |
29 | Негатив был плохо проявлен |
30 | Ученики поймали чижа |
31 | Козлята играли на пригорке |
32 | Подшипник был плохо закреплен |
33 | Под окном растет береза |
34 | На улице зажглись фонари |
35 | Вечером вода затопила улицу |
36 | Девушки водили хороводы |
37 | Велосипедист проехал по дороге |
38 | Пожарник взял огнетушитель |
39 | Этнограф составил карту |
40 | В машине отказали тормоза |
41 | Луноход завершил работу |
42 | Лыжник готовил крепление |
43 | Воробьи сели на край кормушки |
44 | Переплетчик нарезал бумагу |
45 | Белка брала орехи из рук |
46 | В темной комнате спал ребенок |
47 | Обезьянки игрались в клетке |
48 | Он жил в новой гостинице |
49 | Спортсмен достиг финиша |
50 | Брюки были из шерсти |
Таблица Д.93
Номер п/п | Фразы |
1 | Выпал первый снег |
2 | Дороги вели в рощу |
3 | На плите закипел чайник |
4 | На балконе цвели фиалки |
5 | Продавец взял варенье |
6 | Цыплята бегали по двору |
7 | Рядом послышались шорохи |
8 | В саду жужжали пчелы |
9 | Ее приняли в педагогический институт |
10 | На площади проходил митинг |
11 | Медсестра принесла лекарство |
12 | На пульте горели лампочки |
13 | Кувшин с водой был опрокинут |
14 | Профессор стоял в коридоре |
15 | Лошадь ушла далеко в лес |
16 | Студенты слушали лекцию |
17 | Агроном измерил участок |
18 | Он сел в кабину машины |
19 | Несколько лепестков упало на колени |
20 | Билеты оказались старыми |
21 | Он изучал физику в институте |
22 | Шефы пришли в колхоз |
23 | На лугу было много коров |
24 | Комсомольцы поехали на целину |
25 | Девочка звонит по телефону |
26 | Бригаду наградили вымпелом |
27 | В саду цветет георгин |
28 | Бакенщик зажег маяк |
29 | В газете напечатали фельетон |
30 | В домах стояла тишина |
31 | В магазине продавался хек |
32 | На столе лежала конфетница |
33 | Дети готовились к празднику |
34 | Письмо опустили в ящик |
35 | Лаборатория сдала отчет |
36 | Пассажиры разошлись по местам |
37 | Машина стояла в гараже |
38 | Экзамен был трудным |
39 | В парке бил фонтан |
40 | Хозяйка испекла пироги |
41 | Люди шли на работу группами |
42 | Он подхватил на руки сестру |
43 | В лесу закричал филин |
44 | Густые волосы падали на плечи |
45 | Телевизор стоял в углу комнаты |
46 | Дуб стоял в поле |
47 | Инженер осматривал цех |
48 | Женщина поступила хитро |
49 | Небо затянуло тучами |
50 | Дети играли в мяч |
Таблица Д.94
Номер п/п | Фразы |
1 | Мальчик забежал в соседнюю комнату |
2 | Коли нигде не было видно |
3 | Черный щенок бегал по двору |
4 | Мальчик с трудом выговаривал слова |
5 | На дороге показался человек |
6 | Женщина тащила за собою санки |
7 | Путник вышел на поляну |
8 | Рыбаки вышли в море |
9 | Стены оклеены голубыми обоями |
10 | Доктор снял верхнюю одежду |
11 | Станислав вымылся холодной водой |
12 | Прилетели перелетные птицы |
13 | Брат сделал еще одну прорубь |
14 | Комиссия подвела итоги |
15 | Разбили фарфоровую чашку |
16 | Они жили под самой крышей |
17 | На столе стояла керосиновая лампа |
18 | Я бродил по улицам города |
19 | Прожектора освещали фасад театра |
20 | Наступила холодная зима |
21 | Показывали новый фильм |
22 | Бабушка рассказывала сказку |
23 | Из труб домов шел дым |
24 | Медведи спят в берлоге |
25 | Открыли химический элемент |
26 | Банка сделана из жести |
27 | Отряд построился по команде |
28 | Женщина занималась хозяйством |
29 | В кухне зашумел старый примус |
30 | Появились майские жуки |
31 | Жилец вернулся в комнату |
32 | Мальчишки стали спускаться к городу |
33 | Машины пошли в объезд препятствия |
34 | В гости заходил мой друг |
35 | Молодежь приехала на фестиваль |
36 | Закончился футбольный матч |
37 | По степи лошади шли медленно |
38 | Пастух подошел к нашему костру |
39 | Мы плыли в сплошном тумане |
40 | На небе появились облака |
41 | Мы пошли на экзамен |
42 | Улица была тихой |
43 | Налево чернело глубокое ущелье |
44 | На факультете начались занятия |
45 | Надвигался страшный циклон |
46 | Парикмахер сделал стрижку |
47 | Обувь чистят щеткой |
48 | Чернику собирают в лесу |
49 | Фигуристы выступали с новой программой |
50 | К рассвету работы были окончены |
Таблица Д.95
Номер п/п | Фразы |
1 | Ребята чинили школьный сарай |
2 | На ветке сидел зяблик |
3 | Повар приготовил фрикадельки |
4 | Мальчики нашли дупло |
5 | Девочки взяли коньки |
6 | Учитель дал трудную задачу |
7 | Дежурные убрали класс |
8 | Щенок был рыжий |
9 | На мельнице мололи зерно |
10 | На десерт подали конфитюр |
11 | Старик нюхал табак |
12 | Был сильный мороз |
13 | У школы стоит машина |
14 | На сучке сидит белка |
15 | В саду поспела клубника |
16 | Пионеры принесли гербарий |
17 | Собака кинулась за котом |
18 | У белки был пушистый хвост |
19 | Девочка спешит на урок |
20 | Дети идут на каток |
21 | Пионеры работают в школьном саду |
22 | Колхозники работают в поле |
23 | Рабочие стоят у станка |
24 | Зимой катаются на лыжах |
25 | Медведь живет в лесу |
26 | Во дворе заливали каток |
27 | Лошадь возит тяжести |
28 | Белка жила в живом уголке |
29 | Зимой часто трещат морозы |
30 | Кораблики быстро плыли по воде |
31 | Девочки пойдут в первый класс |
32 | Ребята кидали снег в кучу |
33 | В саду поспела черешня |
34 | Дети собирали щавель |
35 | Улицы были полны народу |
36 | В саду цвели тюльпаны |
37 | На столе лежали графики |
38 | Мастер вошел в цех |
39 | Ребята гуляли у пруда |
40 | На куст шиповника сели пчелы |
41 | Белка сидит в дупле |
42 | Мальчишки ждут учителя |
43 | Археологи вели раскопки |
44 | На снегу видны следы лисицы |
45 | Ребята нашли много маслят |
46 | Рыжий кот сидит у крыльца |
47 | В лагере объявили карантин |
48 | В лесу много грибов |
49 | Медведь зимой спит в берлоге |
50 | Весной птицы вьют гнезда |
Таблица Д.96
Номер п/п | Фразы |
1 | На сцене выступали артисты |
2 | В зоопарк привезли слона |
3 | В лесу замерз ручей |
4 | На подоконнике стоит графин |
5 | Платье вышито бисером |
6 | Он жил у своих родственников |
7 | Мы пекли картофель |
8 | В бассейне плавали школьники |
9 | К нам привезли обед |
10 | Стройный юноша вошел в кабину |
11 | Хозяин нашел щенка |
12 | Текст напечатали на машинке |
13 | На почту привезли посылку |
14 | На столе горела свеча |
15 | Геологи открыли минерал |
16 | В хижину вошел лесник |
17 | Получили ценную бандероль |
18 | Столик был убран |
19 | Прораб зашел в свой вагончик |
20 | Разговор был деловым |
21 | В полете случилась авария |
22 | Подлодка ушла в рейс |
23 | Боцман подал сигнал |
24 | В перерыве школьники проветривали классы |
25 | Палатка туристов стояла на берегу |
26 | Химическое заражение опасно |
27 | На окраине была свалка |
28 | Механик катера завел мотор |
29 | Палатка отапливалась печкой |
30 | Появилась первая зелень |
31 | Орбита близка к расчетной |
32 | В небо взмыл перехватчик |
33 | Радист прекратил связь |
34 | Привезены баллоны с кислородом |
35 | Включили шесть генераторов |
36 | У самолета смят фюзеляж |
37 | Мелодия понравилась всем |
38 | Коровы шли на водопой |
39 | Эсминец патрулировал залив |
40 | Инженерная часть экипирована |
41 | Прибыл эшелон с грузом |
42 | Солдаты взяли винтовки |
43 | Ночь была ненастная |
44 | Часовой услышал шорохи |
45 | Мальчик был худой |
46 | Он прыгнул с вышки |
47 | Он набил табаком трубку |
48 | Сергей стоял у окна |
49 | Самолет скрылся за облаками |
50 | Мы вышли из леса |
Таблица Д.97
Номер п/п | Фразы |
1 | Солдаты занимались гимнастикой |
2 | Небо было чистым |
3 | Самолет вошел в облака |
4 | На рейде стоит дебаркадер |
5 | Матрос надел бескозырку |
6 | Гидролокатор зафиксировал препятствие |
7 | Парад проходил на площади |
8 | Дверь была обита войлоком |
9 | Стены оклеены голубыми обоями |
10 | Женщина вышла из соседней комнаты |
11 | Шкаф разделял комнату |
12 | На вешалке висела одежда |
13 | Машину заправили бензином |
14 | На днях доставили танки |
15 | Посадка осуществлена удачно |
16 | Учения начались зимой |
17 | Радиограмму передали в центр |
18 | Позывные вышли в эфир |
19 | В комнату проникал свет |
20 | В часть приехал журналист |
21 | Химик наблюдал за прибором |
22 | Морозный воздух обжигал лицо |
23 | Над озером полетели две сороки |
24 | Вертолет изменил курс |
25 | Дом живет размеренной жизнью |
26 | Самолетом управлял пилот |
27 | Переправа начнется в шесть |
28 | Произведено мягкое приземление |
29 | Невдалеке светились окна домов |
30 | Посадка была зафиксирована |
31 | В центре кабины стоял пульт |
32 | В полумраке виднелись бочки |
33 | В холодильниках лежали запасы мяса |
34 | Парад открыли нахимовцы |
35 | Знамя полощется на ветру |
36 | Выполнен последний вираж |
37 | Железнодорожник пропустил поезд |
38 | С берега видны позиции |
39 | Гимнастерки солдат выцвели |
40 | Ветер принес прохладу |
41 | В частях началась демобилизация |
42 | Пилот подбежал к вертолету |
43 | Мы жили недалеко от аэродрома |
44 | Дорога пролегла через ельник |
45 | Ветки деревьев гнулись под снегом |
46 | Январское солнце клонилось к западу |
47 | На узкой тропинке показался человек |
48 | Курс близок к расчетному |
49 | Цель поражена точно |
50 | Под гору санки катились сами |
Таблица Д.98
Номер п/п | Фразы |
1 | Летчику разрешили взлет |
2 | Загремел тяжелый засов |
3 | Вышел в расчетный квадрат |
4 | Пункт обозначен на схеме |
5 | От ударов волн содрогался корпус |
6 | Солдат ждет офицера |
7 | Моросил мелкий дождь |
8 | К ночи мороз стал усиливаться |
9 | Созданы бетонные укрытия |
10 | Рыбы в озере было много |
11 | Приземлились в заданном районе |
12 | Рассвет был холодным |
13 | В воздухе висел морозный туман |
14 | Она смотрела в окно |
15 | Дверь была широко открыта |
16 | До полуночи оставалось семь часов |
17 | Погружение проходило нормально |
18 | Глаза привыкли к темноте |
19 | На лица падал слабый свет |
20 | У окна стоял маленький столик |
21 | За окном покачивались ветви яблонь |
22 | Из кухни доносилось пение сверчка |
23 | Поле покрылось толстым слоем снега |
24 | Произведен запуск ракеты |
25 | В деревне гудела молотилка |
26 | Соседи пришли на помощь |
27 | На деревьях запели птицы |
28 | На миноносце спустили флаги |
29 | Пехота отдыхала на привале |
30 | Автобус идет к торговому центру |
31 | Со станции привезли инструмент |
32 | Адъютант застыл на пороге |
33 | В окрестных лесах рубили деревья |
34 | Ефрейтор растянул брезент |
35 | Самолет пошел на снижение |
36 | От сильного мороза трещали деревья |
37 | Ключ не влезал в замочную скважину |
38 | На высоком потолке горела лампочка |
39 | Ракетчики готовы к проверке |
40 | Скворечники развесили на деревьях |
41 | Медсестра сделала больному укол |
42 | Вдали показались огни города |
43 | В баках кончился бензин |
44 | Охотники собрались у костра |
45 | Из заводской трубы шел дым |
46 | Рыбаки возвратились с богатым уловом |
47 | На столе лежала открытая книга |
48 | Координаты зафиксированы на схеме |
49 | Снег падал крупными хлопьями |
50 | Раздался сигнал тревоги |
Таблица Д.99
Номер п/п | Фразы |
1 | Уточнили графики вылетов |
2 | Пчелы запасли мед на зиму |
3 | Центр разработал шифр |
4 | Экипаж просит взлет |
5 | Метель замела дороги |
6 | Зеленый фонарь закрыт |
7 | Кусты смородины зацвели в апреле |
8 | Цель видно плохо |
9 | В пути произошла задержка |
10 | Бомбардировщик изменил курс |
11 | Волосы девушки были причесаны |
12 | Ставка приняла решение |
13 | Связь работает нормально |
14 | Пограничники охраняли рубежи |
15 | Офицер начертил схему |
16 | Капитан прощался с кораблем |
17 | Гильзы наполнили порохом |
18 | Охотники вернулись из леса |
19 | Истребители летели на аэродром |
20 | Приборы зафиксировали землетрясение |
21 | Расстояние измерили правильно |
22 | Посадочная полоса расчищена |
23 | Путники медленно шли по тропинке |
24 | Она получила хорошее воспитание |
25 | Полет оказался нелегким |
26 | Поступили ценные сведения |
27 | Оркестр грянул гимн |
28 | Погода была дождливой |
29 | Мы проходили по колхозному двору |
30 | Сестра предложила сменить повязку |
31 | Дан приказ на взлет |
32 | Пионеры играли в футбол |
33 | Экипаж находился в зоне |
34 | Лебеди плавали в озере |
35 | Голубое платье украшало девушку |
36 | Погода была неустойчивой |
37 | Пароход отплыл в шесть часов |
38 | Антоновка осенью бывает ароматной |
39 | Пилот выпустил шасси самолета |
40 | Десантники бежали к лесу |
41 | Выставка книг привлекла внимание |
42 | У нее была хорошая прическа |
43 | Отряд произвел маневр |
44 | Зимой солнце стоит низко |
45 | Солдат долго целился |
46 | Возле магазина остановилась женщина |
47 | Химическое оружие запрещено |
48 | Лодку разбило прибоем |
49 | Началось обледенение фюзеляжа |
50 | Летчик включил двигатель |
Таблица Д.100
Номер п/п | Фразы |
1 | Запрещаю вход в зону |
2 | Уйдите на второй круг |
3 | Выполняйте первый полет |
4 | Сверяю курс по схеме |
5 | Он смотрел балет |
6 | Экипажу разрешаю взлет |
7 | Зафиксируйте координаты станции |
8 | Мальчик радовался новым игрушкам |
9 | Передайте радиограмму зенитчикам |
10 | Он ехал с зажженными фарами |
11 | Берегите главный механизм |
12 | Цемент возили на стройку |
13 | Зверь шел на юг |
14 | Болото скоро исчезло |
15 | Физику поняли хорошо |
16 | Подготовьте инструмент бортмеханику |
17 | В ущелье дул порывистый ветер |
18 | Он поймал крупного окуня |
19 | Василий чертил схему |
20 | Задание было выполнено в срок |
21 | Хищник внимательно прислушался |
22 | Комсомол всегда впереди |
23 | Враги разбили город |
24 | Трава пробивалась повсюду |
25 | Ребенок громко кричал |
26 | Яровые всходят хорошо |
27 | Ребята разожгли костер |
28 | Мальчик поднял правую руку |
29 | Бабочка села на куст смородины |
30 | Барабанщик шел впереди |
31 | Костюм подчеркивал фигуру |
32 | Жизнь водолаза спасли |
33 | По двору прошла кошка |
34 | Видимость стала хорошая |
35 | Доярки приготовили доильные аппараты |
36 | Мы ехали в густом тумане |
37 | Грунтовые дороги были размыты |
38 | У крутого берега сидел старик |
39 | Мы начинаем завтра занятия |
40 | Запуск осуществлен удачно |
41 | Рыбак закинул удочку |
42 | Наступило время отпусков |
43 | Корабль изменил курс |
44 | Кран поднимал плиты |
45 | Земля изрыта ямами |
46 | Мы были в картинной галерее |
47 | Трамвай затормозил у светофора |
48 | Кабина пилота освещена |
49 | Небо осветила ракета |
50 | Хитрый маневр удался |
УДК 621.391.22:006.354 | | Э50 | |
Ключевые слова: тракты, проводная связь, радиосвязь, аналоговый речевой сигнал, цифровой речевой сигнал, нормы качества, методы измерений |