Главная // Актуальные документы // ГОСТ (Государственный стандарт)СПРАВКА
Источник публикации
М.: Стандартинформ, 2017
Примечание к документу
Текст данного документа приведен с учетом
поправки, опубликованной в "ИУС", N 4, 2020.
Документ
введен в действие с 01.01.2019.
Название документа
"ГОСТ 34249-2017. Межгосударственный стандарт. Корма, комбикорма, комбикормовое сырье. Определение массовой доли хрома методом электротермической атомно-абсорбционной спектрометрии"
(введен в действие Приказом Росстандарта от 31.10.2017 N 1600-ст)
"ГОСТ 34249-2017. Межгосударственный стандарт. Корма, комбикорма, комбикормовое сырье. Определение массовой доли хрома методом электротермической атомно-абсорбционной спектрометрии"
(введен в действие Приказом Росстандарта от 31.10.2017 N 1600-ст)
Введен в действие
агентства по техническому
регулированию и метрологии
от 31 октября 2017 г. N 1600-ст
МЕЖГОСУДАРСТВЕННЫЙ СТАНДАРТ
КОРМА, КОМБИКОРМА, КОМБИКОРМОВОЕ СЫРЬЕ
ОПРЕДЕЛЕНИЕ МАССОВОЙ ДОЛИ ХРОМА МЕТОДОМ ЭЛЕКТРОТЕРМИЧЕСКОЙ
АТОМНО-АБСОРБЦИОННОЙ СПЕКТРОМЕТРИИ
Feeds, mixed feeds, mixed feed raw materials.
Determination of chromium mass fraction by electrothermal
atom absorption spectrometric method
ГОСТ 34249-2017
Дата введения
1 января 2019 года
Цели, основные принципы и основной порядок проведения работ по межгосударственной стандартизации установлены в
ГОСТ 1.0-2015 "Межгосударственная система стандартизации. Основные положения" и
ГОСТ 1.2-2015 "Межгосударственная система стандартизации. Стандарты межгосударственные, правила и рекомендации по межгосударственной стандартизации. Правила разработки, принятия, обновления и отмены"
1 РАЗРАБОТАН Федеральным государственным бюджетным учреждением "Всероссийский государственный Центр качества и стандартизации лекарственных средств для животных и кормов" (ФГБУ "ВГНКИ")
2 ВНЕСЕН Федеральным агентством по техническому регулированию и метрологии
3 ПРИНЯТ Межгосударственным советом по стандартизации, метрологии и сертификации (протокол от 30 августа 2017 г. N 102-П)
За принятие проголосовали:
Краткое наименование страны по МК (ИСО 3166) 004-97 | Код страны по МК (ИСО 3166) 004-97 | Сокращенное наименование национального органа по стандартизации |
Армения | AM | Минэкономики Республики Армения |
Беларусь | BY | Госстандарт Республики Беларусь |
Киргизия | KG | Кыргызстандарт |
Россия | RU | Росстандарт |
Узбекистан | UZ | Узстандарт |
4
Приказом Федерального агентства по техническому регулированию и метрологии от 31 октября 2017 г. N 1600-ст межгосударственный стандарт ГОСТ 34249-2017 введен в действие в качестве национального стандарта Российской Федерации с 1 января 2019 г.
5 ВВЕДЕН ВПЕРВЫЕ
Информация об изменениях к настоящему стандарту публикуется в ежегодном информационном указателе "Национальные стандарты", а текст изменений и поправок - в ежемесячном информационном указателе "Национальные стандарты". В случае пересмотра (замены) или отмены настоящего стандарта соответствующее уведомление будет опубликовано в ежемесячном информационном указателе "Национальные стандарты". Соответствующая информация, уведомление и тексты размещаются также в информационной системе общего пользования - на официальном сайте Федерального агентства по техническому регулированию и метрологии в сети Интернет (www.gost.ru)
Настоящий стандарт распространяется на корма, комбикорма, комбикормовое сырье и устанавливает метод электротермической атомно-абсорбционной спектрометрии с использованием способа микроволновой минерализации проб при определении массовой доли хрома в диапазоне измерений от 0,10 до 5,00 млн-1 (от 0,10 до 5,00 мг/кг).
В настоящем стандарте использованы нормативные ссылки на следующие межгосударственные стандарты:
ГОСТ 12.1.005-88 Система стандартов безопасности труда. Общие санитарно-гигиенические требования к воздуху рабочей зоны
ГОСТ 12.1.007-76 Система стандартов безопасности труда. Вредные вещества. Классификация и общие требования безопасности
ГОСТ 12.1.018-93 Система стандартов безопасности труда. Пожаровзрывобезопасность статического электричества. Общие требования
ГОСТ 12.1.019-79 <*> Система стандартов безопасности труда. Электробезопасность. Общие требования и номенклатура видов защиты
--------------------------------
<*> В Российской Федерации действует
ГОСТ Р 12.1.019-2009 "Система стандартов безопасности труда. Электробезопасность. Общие требования и номенклатура видов защиты".
ГОСТ 12.2.085-2002 Сосуды, работающие под давлением. Клапаны предохранительные. Требования безопасности
ГОСТ OIML R 76-1-2011 Государственная система обеспечения единства измерений. Весы неавтоматического действия. Часть 1. Метрологические и технические требования. Испытания
ГОСТ 1770-74 (ИСО 1042-83, ИСО 4788-80) Посуда мерная лабораторная стеклянная. Цилиндры, мензурки, колбы, пробирки. Общие технические условия
ГОСТ ISO 3696-2013 <**> Вода для лабораторного анализа. Технические требования и методы контроля
--------------------------------
<**> В Российской Федерации действует
ГОСТ Р 52501-2005 (ИСО 3696:1987) "Вода для лабораторного анализа. Технические условия".
ГОСТ 3772-74 Реактивы. Аммоний фосфорнокислый двузамещенный. Технические условия
ГОСТ ИСО 5725-2-2003 <***> Точность (правильность и прецизионность) методов и результатов измерений. Часть 2. Основной метод определения повторяемости и воспроизводимости стандартного метода измерений
--------------------------------
<***> В Российской Федерации действует
ГОСТ Р ИСО 5725-2-2002 "Точность (правильность и прецизионность) методов и результатов измерений. Часть 2. Основной метод определения повторяемости и воспроизводимости стандартного метода измерений".
ГОСТ ИСО 5725-6-2003 <*> Точность (правильность и прецизионность) методов и результатов измерений. Часть 6. Использование значений точности на практике
--------------------------------
<*> В Российской Федерации действует
ГОСТ Р ИСО 5725-6-2002 "Точность (правильность и прецизионность) методов и результатов измерений. Часть 6. Использование значений точности на практике".
ГОСТ 11125-84 Кислота азотная особой чистоты. Технические условия
ГОСТ 25336-82 Посуда и оборудование лабораторные стеклянные. Типы, основные параметры и размеры
ГОСТ 29227-91 (ИСО 835-1-81) Посуда лабораторная стеклянная. Пипетки градуированные. Часть 1. Общие требования
Примечание - При пользовании настоящим стандартом целесообразно проверить действие ссылочных стандартов в информационной системе общего пользования - на официальном сайте Федерального агентства по техническому регулированию и метрологии в сети Интернет или ежегодному информационному указателю "Национальные стандарты", который опубликован по состоянию на 1 января текущего года, и по выпускам ежемесячного информационного указателя "Национальные стандарты" за текущий год. Если ссылочный стандарт заменен (изменен), то при пользовании настоящим стандартом следует руководствоваться заменяющим (измененным) стандартом. Если ссылочный стандарт отменен без замены, то положение, в котором дана ссылка на него, применяется в части, не затрагивающей эту ссылку.
Сущность метода заключается в минерализации анализируемых проб в закрытой системе, с использованием микроволнового излучения, с последующим измерением массовой концентрации хрома в растворах полученных минерализатов методом атомно-абсорбционной спектрометрии с электротермической атомизацией и вычислением массовой доли хрома с использованием установленной градуировочной характеристики.
4 Средства измерений, вспомогательное оборудование, посуда, материалы и реактивы
4.1 Для определения массовой доли хрома применяют следующие средства измерений, вспомогательное оборудование, посуду, материалы и реактивы:
- весы неавтоматического действия высокого класса точности по
ГОСТ OIML R 76-1 с пределами допускаемой погрешности не более +/- 0,01 г;
- спектрометр атомно-абсорбционный с электротермическим атомизатором, работающий в диапазоне длин волн 185 - 900 нм с относительным среднеквадратическим отклонением случайной составляющей погрешности результатов измерения, не превышающим 8%, укомплектованный спектральной лампой, автосамплером и программным обеспечением;
- измельчитель-гомогенизатор лабораторный;
- печь микроволновую лабораторную для экспрессной подготовки проб с мощностью 1600 ватт и частотой магнетрона 220 - 240 V/50 Гц, укомплектованную сосудами для разложения проб и датчиками контроля давления и температуры;
- холодильник бытовой с рабочим диапазоном температур от 2 °C до 8 °C;
- образец стандартный состава раствора хрома с массовой концентрацией 0,5 мг/см3, относительной погрешностью аттестованного значения концентрации не более +/- 1% при доверительной вероятности P = 0,95;
- емкости полимерные вместимостью 25, 50, 250 и 1000 см3 с плотно завинчивающимися крышками;
- колбы мерные 1-25 (50, 100, 500)-2 по
ГОСТ 1770;
- пипетки градуированные 1-2-1-1 (2, 5, 10) по
ГОСТ 29227;
- фильтры обеззоленные "Синяя лента", диаметром от 7 до 11 см.
4.2 Для определения массовой доли хрома применяют следующие реактивы:
- аммония гидрофосфат (диаммонийфосфат) по
ГОСТ 3772, ос.ч.;
- воду бидистиллированную по ГОСТ ISO 3696, 2-й степени чистоты;
- модификатор магниевый (магний азотнокислый 6-водный) для атомно-абсорбционной спектрометрии с концентрацией магния 10 г/дм3 <*>;
- модификатор палладиевый для атомно-абсорбционной спектрометрии с концентрацией палладия 10 г/дм3 <*>.
--------------------------------
<*> Производитель - фирма Merck. Эта информация приведена для удобства пользователей настоящего стандарта.
4.3 Допускается применение других средств измерений и посуды, не уступающих вышеуказанным по метрологическим и техническим характеристикам и обеспечивающим необходимую точность измерения, а также оборудования, реактивов и материалов по качеству не ниже вышеуказанных.
5 Требования безопасности и условия выполнения измерений
5.1 Применяемые в работе реактивы относятся к веществам 1-го и 2-го класса опасности по
ГОСТ 12.1.007, при работе с ними необходимо соблюдать требования безопасности, установленные для работ с токсичными, едкими и легковоспламеняющимися веществами по
ГОСТ 12.1.005.
5.3 Помещения, в которых проводят измерение и подготовку проб, должны быть оборудованы приточно-вытяжной вентиляцией.
5.4 При выполнении измерений на атомно-абсорбционном спектрометре следует соблюдать правила электробезопасности в соответствии с
ГОСТ 12.1.019, пожаровзрывобезопасности - по
ГОСТ 12.1.018 и инструкции по эксплуатации прибора.
5.5 К выполнению измерений на атомно-абсорбционном спектрометре допускаются специалисты, имеющие высшее или среднее специальное образование, прошедшие соответствующий инструктаж, владеющие техникой атомно-абсорбционного анализа и изучившие инструкции по эксплуатации применяемой аппаратуры.
5.6 Подготовку атомно-абсорбционного спектрометра к работе и оптимизацию условий измерения проводят в соответствии с руководством (инструкцией) по эксплуатации прибора.
При этом должны быть соблюдены следующие условия:
- температура окружающего воздуха .................. от 15 °C до 35 °C;
- относительная влажность воздуха .................. от 20% до 80%.
6 Подготовка к проведению измерения
6.1 Приготовление растворов
6.1.1 Приготовление раствора нитрата палладия массовой концентрации 3 г/дм3
В мерную колбу вместимостью 100 см3 вносят 30 см3 раствора палладиевого модификатора, доводят до метки бидистиллированной водой и перемешивают.
Срок хранения раствора - не более 6 мес.
6.1.2 Приготовление раствора нитрата магния массовой концентрации 2 г/дм3
В мерную колбу вместимостью 100 см3 вносят 20 см3 раствора магниевого модификатора, доводят до метки бидистиллированной водой и перемешивают.
Срок хранения раствора - не более 6 мес.
6.1.3 Приготовление раствора палладий-магниевого модификатора
Раствор палладий-магниевого модификатора готовят путем смешивания равных объемов раствора нитрата палладия по
6.1.1 и раствора нитрата магния по
6.1.2.
Срок хранения раствора - не более 6 мес.
6.1.4 Приготовление 2%-ного раствора диаммонийфосфата
В мерную колбу вместимостью 100 см3 вносят 2 г диаммонийфосфата, добавляют 50 см3 бидистиллированной воды, перемешивают до полного растворения и доводят объем водой до метки.
Срок хранения раствора - не более 1 мес.
6.1.5 Приготовление фонового раствора азотной кислоты
В мерную колбу вместимостью 500 см3 вносят 3,6 см3 концентрированной азотной кислоты, доводят до метки бидистиллированной водой и перемешивают.
Срок хранения раствора - не более 6 мес.
6.1.6 Растворы, приготовленные по
6.1.1 -
6.1.5, хранят при комнатной температуре в плотно укупоренных полимерных емкостях.
6.2 Приготовление градуировочных растворов
6.2.1 Приготовление исходного раствора хрома массовой концентрации 1 мкг/см3
В мерную колбу вместимостью 50 см
3 помещают 0,1 см
3 стандартного образца состава раствора ионов хрома с концентрацией 0,5 мг/см
3, доводят объем до метки фоновым раствором азотной кислоты (см.
6.1.5) и тщательно перемешивают.
Срок хранения раствора в темном месте при комнатной температуре в плотно укупоренной полимерной емкости - не более 6 мес.
6.2.2 Приготовление градуировочных растворов массовой концентрации хрома 2, 4, 6 и 10 мкг/дм3
В мерные колбы вместимостью 50 см
3 вносят 0,1, 0,2, 0,3 и 0,5 см
3 исходного раствора хрома (см.
6.2.1), доводят объем до меток на колбах фоновым раствором азотной кислоты (см.
6.1.5) и тщательно перемешивают.
Растворы готовят непосредственно перед выполнением измерений.
6.2.3 Контроль качества бидистиллированной воды и фонового раствора азотной кислоты
Перед началом работы проверяют качество бидистиллированной воды и фонового раствора азотной кислоты (см.
6.1.5). Для этого последовательно дозируют в графитовую печь атомизатора одинаковые объемы бидистиллированной воды [фонового раствора азотной кислоты, разбавленного бидистиллированной водой в соотношении (2:100)] и градуировочного раствора хрома (см.
6.2.2) (например, 20 мм
3) и измеряют выходной сигнал спектрометра в каждом случае.
Качество бидистиллированной воды (фонового раствора азотной кислоты) признают удовлетворительным, если отношение выходных сигналов спектрометра для бидистиллированной воды (фонового раствора азотной кислоты) и градуировочного раствора не превышает 0,05.
6.3 Градуировка прибора
6.3.1 Градуировку атомно-абсорбционного спектрометра проводят в соответствии с руководством (инструкцией) по эксплуатации с использованием градуировочных растворов, приготовленных по
6.2.2.
В качестве "нулевого раствора" при проведении градуировки используют фоновый раствор азотной кислоты (см.
6.1.5). Растворы палладий-магниевого модификатора (см.
6.1.3) и диаммонийфосфата (см.
6.1.4) вносят в градуировочные и анализируемые растворы автосамплером непосредственно перед введением этих растворов в атомизатор.
Приготовленные градуировочные растворы вводят в графитовую печь атомизатора с помощью автосамплера. Регистрируют атомное поглощение каждого раствора два раза и вычисляют среднеарифметическое измеренных значений. Строят градуировочный график.
Устанавливают градуировочную характеристику, представляющую собой зависимость среднеарифметического значения атомного поглощения от массовой концентрации хрома в растворе.
6.3.2 Контроль стабильности градуировочной характеристики
Контроль стабильности градуировочной характеристики проводят ежедневно перед началом работы.
В качестве образца для контроля стабильности градуировочной характеристики используют градуировочный раствор хрома (см.
6.2.2). Массовую концентрацию хрома в образце для контроля стабильности градуировочной характеристики выбирают, исходя из предполагаемой массовой концентрации элемента в анализируемых пробах.
Регистрируют не менее двух раз атомное поглощение образца для контроля стабильности градуировочной характеристики, вычисляют среднеарифметическое значение и при помощи градуировочной зависимости рассчитывают массовую концентрацию хрома.
Градуировочная зависимость признается стабильной, если выполняется условие

(1)
где C0 - действительное значение массовой концентрации хрома в растворе образца для контроля стабильности градуировочной характеристики, мкг/дм3;
Cn - измеренное значение массовой концентрации хрома в растворе образца для контроля стабильности градуировочной характеристики, мкг/дм3.
Если
условие (1) не выполняется, то процедуру контроля повторяют. Результаты повторного контроля считают окончательными.
При отрицательных результатах контроля находят причины, приведшие к нарушению стабильности градуировочной характеристики, устраняют их и заново проводят градуировку спектрометра.
Результаты, полученные после предыдущего контроля стабильности, считают сомнительными и измерения, проведенные в этот период, повторяют.
6.4.1 Отбор проб кормов и кормовых добавок проводят в соответствии с
ГОСТ 13496.0.
6.4.2 Пробы, отобранные по
6.4.1, при отсутствии возможности проведения анализа в день отбора хранят в герметично укупоренной таре при температуре от 2 °C до 8 °C до проведения испытания, но не более срока хранения продукции.
7 Порядок проведения измерения
7.1 Микроволновая минерализация проб
7.1.1 Пробы, отобранные по
6.4, измельчают в измельчителе-гомогенизаторе.
Для проб, имеющих в основе неорганический состав (минеральные добавки), процедуру минерализации проводят с использованием концентрированной азотной кислоты.
Для проб с органическим составом [белково-витаминно-минеральные концентраты (БВМК), комбикорма, корма для непродуктивных животных] процесс минерализации проводят с использованием концентрированных соляной и азотной кислот.
7.1.2 Кислотную минерализацию в микроволновой печи осуществляют в следующем порядке:
- от (0,2 +/- 0,01) до (0,5 +/- 0,01) г пробы с органическим составом и от (0,2 +/- 0,01) до (1,0 +/- 0,01) г пробы с неорганическим составом после гомогенизации помещают в сосуд для разложения проб;
- добавляют 8 см3 концентрированной азотной кислоты к пробе с неорганическим составом или 8 см3 концентрированной азотной кислоты и 2 см3 концентрированной соляной кислоты к пробе с органическим составом, герметизируют сосуд, поместив в него датчики контроля давления и температуры;
- параллельно проводят минерализацию добавляемых к пробам реактивов для контроля их чистоты (контрольный раствор);
- помещают карусель с сосудами для разложения проб в микроволновую печь и проводят минерализацию в зависимости от выбранной программы для данного типа образца;
- по окончании минерализации сосуды охлаждают и вскрывают в соответствии с руководством (инструкцией) изготовителя микроволновой лабораторной печи.
Полученный раствор фильтруют через бумажный фильтр "Синяя лента", количественно переносят в мерную колбу вместимостью 25 или 50 см
3, доводят объем до метки фоновым раствором азотной кислоты (см.
6.1.5) и тщательно перемешивают.
7.2 Измерение атомного поглощения хрома
Атомное поглощение хрома в минерализатах проб и растворе контрольной пробы на реактивы (см.
7.1.2) измеряют в двух повторностях. Используя установленную градуировочную характеристику (см.
6.3.1), вычисляют массовую концентрацию хрома.
8 Обработка результатов измерения
8.1 Массовую долю (содержание) хрома в пробе X, млн-1 (мг/кг), рассчитывают по формуле

(2)
где C - массовая концентрация хрома в испытуемом растворе, найденная с помощью установленной градуировочной характеристики, мкг/см3;
C0 - массовая концентрация хрома, найденная с помощью установленной градуировочной характеристики для используемых реагентов (контроль чистоты реактивов), мкг/см3;
V - объем раствора пробы после минерализации по
7.1.2, см
3;
1000 - коэффициент согласования размерности единиц массы и объема;
B - масса пробы, г.
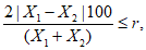
8.2 За результат измерения принимают среднеарифметическое значение результатов вычислений двух параллельных измерений, если выполняется условие приемлемости

(3)
где X1, X2 - результаты вычислений двух параллельных измерений массовой доли хрома, млн-1 (мг/кг);
r - значение предела повторяемости, %, указанное в таблице 1.
Таблица 1
Метрологические характеристики метода
Диапазон определения массовой доли (содержания) хрома, млн-1 (мг/кг) | Значение относительной расширенной неопределенности U, %, при коэффициенте охвата k = 2 | Предел повторяемости r, % (при P = 0,95, k = 2) | Предел воспроизводимости R, % (при P = 0,95, k = 2) |
От 0,10 до 5,00 включ. | 16 | 14 | 13 |
8.3 Проверку приемлемости результатов измерений, полученных в условиях повторяемости, проводят в соответствии с ГОСТ ИСО 5725-2.
8.4 Результат измерения в документах, предусматривающих его использование, представляют в виде

(4)
где

- среднеарифметическое значение результатов вычислений массовой доли (содержания) хрома, признанных приемлемыми, по
8.2, млн
-1 (мг/кг);
U - значение относительной расширенной неопределенности, % (в соответствии с
таблицей 1);

- значение расширенной неопределенности в абсолютных единицах, мкг/кг.
Числовое значение результата измерений должно оканчиваться цифрой того же разряда, что и значение погрешности в единицах измеряемой величины (массовой доли), содержащее не более двух значащих цифр.
8.5 Контроль стабильности результатов измерений в пределах лаборатории осуществляют по 6.2.3 ГОСТ ИСО 5725-6 с использованием контрольных карт Шухарта.
УДК 636.085:006.354 | |
Ключевые слова: корма, комбикорма, комбикормовое сырье, определение массовой доли хрома, метод атомно-абсорбционной спектрометрии, способ микроволнового разложения проб |