Главная // Актуальные документы // ГОСТ (Государственный стандарт)СПРАВКА
Источник публикации
М.: Стандартинформ, 2017
Примечание к документу
Текст данного документа приведен с учетом поправок, опубликованных в "ИУС",
N 4, 2020;
N 1, 2021,
поправки, опубликованной в "ИУС", N 8, 2023;
поправки, опубликованной в "ИУС", N 12, 2023.
Документ
введен в действие с 1 января 2019 года.
Название документа
"ГОСТ 34130-2017. Межгосударственный стандарт. Фрукты и овощи сушеные. Методы испытаний"
(введен в действие Приказом Росстандарта от 04.10.2017 N 1321-ст)
"ГОСТ 34130-2017. Межгосударственный стандарт. Фрукты и овощи сушеные. Методы испытаний"
(введен в действие Приказом Росстандарта от 04.10.2017 N 1321-ст)
агентства по техническому
регулированию и метрологии
от 4 октября 2017 г. N 1321-ст
МЕЖГОСУДАРСТВЕННЫЙ СТАНДАРТ
ФРУКТЫ И ОВОЩИ СУШЕНЫЕ
МЕТОДЫ ИСПЫТАНИЙ
Dried fruits and vegetables. Test methods
ГОСТ 34130-2017
Дата введения
1 января 2019 года
Цели, основные принципы и основной порядок проведения работ по межгосударственной стандартизации установлены в
ГОСТ 1.0-2015 "Межгосударственная система стандартизации. Основные положения" и
ГОСТ 1.2-2015 "Межгосударственная система стандартизации. Стандарты межгосударственные, правила и рекомендации по межгосударственной стандартизации. Правила разработки, принятия, обновления и отмены"
1 РАЗРАБОТАН Федеральным государственным бюджетным научным учреждением "Всероссийский научно-исследовательский институт технологии консервирования" (ФГБНУ "ВНИИТеК")
2 ВНЕСЕН Федеральным агентством по техническому регулированию и метрологии
3 ПРИНЯТ Межгосударственным советом по стандартизации, метрологии и сертификации (протокол от 1 июня 2017 г. N 51)
За принятие проголосовали:
Краткое наименование страны по МК (ИСО 3166) 004-97 | Код страны по МК (ИСО 3166) 004-97 | Сокращенное наименование национального органа по стандартизации |
Азербайджан | AZ | Азстандарт |
Армения | AM | Минэкономики Республики Армения |
Беларусь | BY | Госстандарт Республики Беларусь |
Казахстан | KZ | Госстандарт Республики Казахстан |
Киргизия | KG | Кыргызстандарт |
Россия | RU | Росстандарт |
| | |
Таджикистан | TJ | Таджикстандарт |
Туркмения | TM | Главгосслужба "Туркменстандартлары" |
Узбекистан | UZ | Узстандарт |
4
Приказом Федерального агентства по техническому регулированию и метрологии от 4 октября 2017 г. N 1321-ст межгосударственный стандарт ГОСТ 34130-2017 введен в действие в качестве национального стандарта Российской Федерации с 1 января 2019 г.
Информация об изменениях к настоящему стандарту публикуется в ежегодном информационном указателе "Национальные стандарты", а текст изменений и поправок - в ежемесячном информационном указателе "Национальные стандарты". В случае пересмотра (замены) или отмены настоящего стандарта соответствующее уведомление будет опубликовано в ежемесячном информационном указателе "Национальные стандарты". Соответствующая информация, уведомление и тексты размещаются также в информационной системе общего пользования - на официальном сайте Федерального агентства по техническому регулированию и метрологии в сети Интернет (www.gost.ru)
Настоящий стандарт распространяется на сушеные фрукты и овощи, их смеси или полуфабрикаты из них, в том числе цукаты (далее - сушеные фрукты и овощи) и устанавливает методы определения внешнего вида упаковки и маркировки, массы нетто, органолептических и физико-химических испытаний.
В настоящем стандарте использованы нормативные ссылки на следующие межгосударственные стандарты:
ГОСТ 8.579-2002 Государственная система обеспечения единства измерений. Требования к количеству фасованных товаров в упаковках любого вида при их производстве, расфасовке, продаже и импорте
ГОСТ OIML R 76-1-2011 Государственная система обеспечения единства измерений. Весы неавтоматического действия. Часть 1. Метрологические и технические требования. Испытания
ГОСТ 334-73 Бумага масштабно-координатная. Технические условия
ГОСТ ISO 762-2013 Продукты переработки фруктов и овощей. Определение содержания минеральных примесей
ГОСТ 3826-82 Сетки проволочные тканые с квадратными ячейками. Технические условия
ГОСТ 6613-86 Сетки проволочные тканые с квадратными ячейками. Технические условия
ГОСТ 6825-91 Лампы люминесцентные трубчатые для общего освещения
ГОСТ 12003-76 Фрукты сушеные. Упаковка, маркировка, транспортирование и хранение
ГОСТ 13342-77 Овощи сушеные. Упаковка, маркировка, транспортирование и хранение
ГОСТ 14919-83 Электроплиты, электроплитки и жарочные электрошкафы бытовые. Общие технические условия
ГОСТ 21241-89 Пинцеты медицинские. Общие технические требования и методы испытаний
ГОСТ 25336-82 Посуда и оборудование лабораторные стеклянные. Типы, основные параметры и размеры
ГОСТ 25555.5-2014 Продукты переработки фруктов и овощей. Методы определения диоксида серы
ГОСТ 25706-83 Лупы. Типы, основные параметры. Общие технические требования
ГОСТ 26323-2014 Продукты переработки фруктов и овощей. Методы определения содержания примесей растительного происхождения
ГОСТ 31748-2012 Продукты пищевые. Определение афлатоксина B
1 и общего содержания афлатоксинов B
1, B
2, G
1 и G
2 в зерновых культурах, орехах и продуктах их переработки. Метод высокоэффективной жидкостной хроматографии
ГОСТ 32711-2014 Продукты переработки фруктов и овощей. Определение общего диоксида серы ферментативным методом
ГОСТ 33332-2015 Продукты переработки фруктов и овощей. Определение массовой доли сорбиновой и бензойной кислот методом высокоэффективной жидкостной хроматографии
ГОСТ 33977-2016 Продукты переработки фруктов и овощей. Методы определения общих сухих веществ
ГОСТ 34125-2017 Фрукты и овощи сушеные. Правила приемки, отбор и подготовка проб
Примечание - При пользовании настоящим стандартом целесообразно проверить действие ссылочных стандартов в информационной системе общего пользования - на официальном сайте Федерального агентства по техническому регулированию и метрологии в сети Интернет или по ежегодному информационному указателю "Национальные стандарты", который опубликован по состоянию на 1 января текущего года, и по выпускам ежемесячного информационного указателя за текущий год. Если ссылочный стандарт заменен (изменен), то при пользовании настоящим стандартом следует руководствоваться заменяющим (измененным) стандартом. Если ссылочный стандарт отменен без замены, то положение, в котором дана ссылка на него, применяется в части, не затрагивающей эту ссылку.
3. Отбор и подготовка проб
Отбор и подготовка проб для испытаний - по
ГОСТ 34125.
4. Определение внешнего вида упаковки и маркировки
Визуально проверяют внешний вид и маркировку каждой единицы транспортной и потребительской упаковки выборки на соответствие требованиям
[1] или нормативных правовых актов, действующих на территории государства, принявшего стандарт,
ГОСТ 12003,
ГОСТ 13342.
Отмечают наличие основных дефектов в соответствии с
приложением А.
5. Определение массы нетто
5.1 Средства измерений
Весы по
ГОСТ OIML R 76-1 с наибольшим пределом взвешивания и пределом допускаемой погрешности однократного взвешивания, соответствующими таблице 1.
Масса нетто упаковочной единицы, кг | Наибольший предел взвешивания весов, г | Допускаемая погрешность однократного взвешивания, г |
До 1,0 | 1000 | +/- 0,1 |
Св. 1,0 до 5,0 включ. | 5000 | +/- 1,0 |
Св. 5,0 кг | 12000 | +/- 5,0 |
5.2 Порядок проведения испытания
Для определения массы нетто сушеных фруктов и овощей используют все упаковочные единицы, отобранные по
ГОСТ 34125.
Вскрывают каждую упаковочную единицу выборки, тщательно освобождают от содержимого, сушеные фрукты и овощи взвешивают, как указано в
таблице 1.
Результат взвешивания вычитают из нормированного значения массы нетто упаковочной единицы. Абсолютную величину разности сравнивают с допускаемым отклонением массы нетто по ГОСТ 8.579
(приложение А).
Для каждой упаковочной единицы отмечают отклонение в процентах от массы нетто, указанной в маркировке.
6. Определение массовой доли компонентов в смесях
6.1 Средства измерений, вспомогательное оборудование, посуда и материалы
Весы по
ГОСТ OIML R 76-1 с наибольшим пределом взвешивания 5000 г и пределом допускаемой погрешности однократного взвешивания +/- 0,1 г.
Чашки Петри подходящего диаметра или стаканы химические по
ГОСТ 25336 подходящей вместимости.
6.2 Порядок проведения испытания
Объединенную пробу, отобранную по
ГОСТ 34125, взвешивают с точностью до 0,1 г, высыпают на лист белой бумаги и разделяют на компоненты вручную или с помощью пинцета, выкладывая каждый компонент на чашку Петри, в стакан или на отдельный лист белой бумаги. Затем каждый компонент взвешивают по отдельности, регистрируя массу
m1 с точностью до первого десятичного знака.
6.3 Массовую долю компонентов X1, %, вычисляют по формуле

(1)
где m1 - масса компонента, г;
m - масса объединенной пробы, г.
Окончательный результат вычисления округляют до целого значения.
7. Определение формы и размеров
7.1 Средства измерений, вспомогательное оборудование и материалы
Весы по
ГОСТ OIML R 76-1 с наибольшим пределом взвешивания 1000 г и 2000 г и пределом допускаемой погрешности однократного взвешивания +/- 1 г.
Сита лабораторные контрольные из металлической проволочной сетки с номинальным диаметром отверстий от 2 до 8 мм по
ГОСТ 6613,
ГОСТ 3826.
Секундомер электрический или механический.
7.2 Порядок проведения испытания
7.2.1 Размер сушеных фруктов и овощей определяют путем просеивания продукта через сита с отверстиями соответствующего диаметра или с помощью штангенциркуля на соответствие их требованиям, указанным в нормативных документах на конкретный вид продуктов.
Примечание - Форму цукатов (столбики, кубики, пластинки, стружка) определяют визуально.
7.2.2 Размер (длину) сушеного картофеля в виде столбиков определяют следующим образом: из объединенной пробы берут навеску массой 200 г и делят на две равные части.
Каждую часть просеивают через два сита: верхнее с отверстиями диаметром 4 мм и нижнее с отверстиями диаметром 3 мм.
После просеивания сход с каждого сита высыпают на миллиметровую бумагу, отбирают компоненты длиной менее 10 мм и взвешивают. Отдельно взвешивают проход через нижнее сито. Из общего количества компонентов длиной менее 10 мм отбирают компоненты менее 5 мм и взвешивают.
Затем таким же методом определяют количество компонентов длиной менее 10 мм и менее 5 мм во второй части навески. Результаты суммируют.
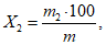
Массовую долю компонентов длиной менее 10 мм и менее 5 мм X2, %, вычисляют по формуле

(2)
где m2 - масса компонентов длиной менее 10 мм или длиной менее 5 мм, г;
m - масса объединенной пробы, г.
Окончательный результат вычисления округляют до целого значения.
7.2.3 При определении длины компонентов сушеных моркови, свеклы и белых кореньев, нарезанных в виде стружки, взятые из объединенной пробы сушеных фруктов и овощей навески массой по 200 г делят на две части и каждую часть просеивают через два сита: верхнее с отверстиями диаметром 4 мм и нижнее с отверстиями диаметром 3 мм.
После просеивания сход с верхнего сита высыпают на миллиметровую бумагу, отбирают компоненты длиной менее 5 мм и присоединяют к проходу через нижнее сито. Сход с нижнего сита высыпают на миллиметровую бумагу и отбирают пинцетом компоненты длиной 5 мм и более, а остаток присоединяют к проходу этого сита и взвешивают.
Вычисляют по
формуле (2) массу компонентов длиной менее 5 мм.
Таким же образом определяют количество компонентов длиной менее 5 мм во второй части навески.
7.2.4 Для определения размеров сушеных картофеля, моркови, свеклы и белых кореньев в виде кубиков взятые из объединенных проб сушеных фруктов и овощей навески массой по 200 г делят на две части и каждую часть просеивают через сито с отверстиями диаметром 4 мм. После просеивания сход сита высыпают на белую бумагу, определяют размеры компонентов штангенциркулем и отбирают кубики с размером стороны менее 5 мм и более 9 мм. Кубики с размером стороны менее 5 мм присоединяют к проходу сита, взвешивают и получают массу компонентов с размером стороны менее 5 мм. Отдельно взвешивают компоненты с размером стороны более 9 мм.
Таким же методом определяют массу компонентов с размером стороны менее 5 мм и более 9 мм во второй части навески. Результаты суммируют.
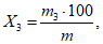
Массовую долю компонентов с размером стороны менее 5 мм и более 9 мм X3, %, вычисляют по формуле

(3)
где m3 - масса компонентов с размером стороны менее 5 мм и более 9 мм, г;
m - масса объединенной пробы, г.
Окончательный результат вычисления округляют до целого значения.
7.2.5 Для определения размеров сушеных картофеля, моркови, свеклы и белых кореньев в виде пластинок взятые из объединенных проб сушеных овощей навески массой по 200 г высыпают на белую бумагу и определяют размеры компонентов (толщину, длину и ширину) штангенциркулем. Отдельно отбирают компоненты толщиной более 4 мм, а также длиной и шириной более 12 мм. При испытании сушеного картофеля отбирают, кроме того, компоненты длиной и шириной менее 9 мм.
Отобранные компоненты указанных размеров взвешивают.
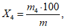
Массовую долю компонентов толщиной более 4 мм, длиной и шириной более 12 мм и длиной и шириной менее 9 мм (дополнительно для картофеля) X4, %, вычисляют по формуле

(4)
где m4 - масса компонентов толщиной более 4 мм, длиной и шириной более 12 мм и длиной и шириной менее 9 мм (дополнительно для картофеля), г;
m - масса объединенной пробы, г.
Окончательный результат вычисления округляют до целого значения.
7.2.6 Для определения длины компонентов сушеной капусты навеску массой 100 г, взятую из объединенной пробы, делят на две части. Каждую часть в отдельности просеивают через два сита: верхнее с отверстиями диаметром 4 мм, нижнее с отверстиями диаметром 3 мм.
После просеивания сход с верхнего сита высыпают на миллиметровую бумагу и отделяют компоненты длиной менее 5 мм. Отобранные компоненты присоединяют к проходу через нижнее сито.
Сход с нижнего сита высыпают на миллиметровую бумагу и отбирают компоненты длиной 5 мм и более, а остаток присоединяют к проходу этого сита, взвешивают и получают массу компонентов менее 5 мм.
Затем определяют количество компонентов длиной менее 5 мм во второй части пробы. Результаты суммируют.
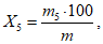
Массовую долю компонентов размером менее 5 мм X5, %, вычисляют по формуле

(5)
где m5 - масса компонентов длиной менее 5 мм, г;
m - масса объединенной пробы, г.
Окончательный результат вычисления округляют до целого значения.
7.2.7 Для определения размера сушеного лука из объединенной пробы берут навеску массой 100 г, высыпают ее на миллиметровую бумагу и отбирают компоненты менее 5 мм в наибольшем измерении, и взвешивают их.
Массовую долю компонентов размером менее 5 мм в наибольшем измерении в пробе сушеного лука X6, %, вычисляют по формуле

(6)
где m6 - масса компонентов менее 5 мм в наибольшем измерении, г;
m - масса объединенной пробы, г.
Окончательный результат вычисления округляют до целого значения.
Для определения размера дробленого лука из объединенной пробы берут навеску массой 100 г и делят ее на две части. Каждую часть просеивают через сита с отверстиями диаметром 5 и 2 мм. Взвешивают проход через сито с отверстиями диаметром 5 мм и сход с сита с отверстиями диаметром 2 мм и вычисляют их массовую долю ко взятой навеске по
формуле (2).
7.2.8 Для определения длины сушеной зелени петрушки и сельдерея навески массой по 100 г, взятые из объединенной пробы, высыпают на миллиметровую бумагу, отбирают компоненты более 5 см - для сельдерея и более 3 см - для петрушки. Взвешивают и вычисляют массовую долю компонентов, длина которых превышает установленный размер в нормативных документах на конкретные виды сушеных овощей по
формуле (2).
7.2.9 При определении размеров зерен зеленого сушеного горошка из объединенной пробы берут навеску массой 100 г и делят ее на две части.
Каждую часть просеивают через сито с отверстиями диаметром 7 мм для последующего определения сорта зеленого сушеного горошка.
7.2.10 Для определения мелочи в брикетированных сушеных овощах брикет помещают в сетку и обрабатывают паром в герметично закрывающейся емкости с крышкой. По мере пропаривания компонентов фруктов и овощей составляющие периферийный слой брикета отслаиваются. Для ускорения проникновения тепла в центральную часть брикета его периодически вынимают из сосуда и отделяют отслоившиеся компоненты фруктов и овощей, а оставшуюся часть брикета снова помещают в сетку и продолжают пропаривание до окончательного разрыхления.
После обработки паром овощи помещают на лист бумаги и осторожно, не ломая, разделяют на отдельные компоненты (столбики, кубики, стружку или пластинки). В разобранной, хорошо перемешанной пробе определяют размер компонентов, как указано в
7.2.1 -
7.2.9.
7.2.11 При определении размера сушеного цикория из объединенной пробы берут навеску массой 200 г и делят каждую на две части. Каждую часть в отдельности просеивают через сита с отверстиями диаметром 4 мм (столбики, пластинки) и 9 мм (кубики).
После просеивания сход с сит высыпают на миллиметровую бумагу и измеряют длину, ширину и толщину столбиков или пластинок, или размер сторон кубика, отбирают компоненты иной (нестандартной) формы и взвешивают их. Отдельно взвешивают проход через сита.
Результаты суммируют и вычисляют массовую долю мелочи и компонентов иной (нестандартной) формы X7, %, к массе взятой навески

(7)
где m7 - масса мелочи и компонентов иной (нестандартной) формы, г;
m - масса объединенной пробы, г.
Окончательный результат вычисления округляют до целого значения.
8. Определение крупности помола
8.1 Средства измерений и вспомогательное оборудование
Весы по
ГОСТ OIML R 76-1 с наибольшим пределом взвешивания 200 г, и пределом допускаемой погрешности однократного взвешивания +/- 0,1 г.
Сита лабораторные контрольные из металлической проволочной сетки с номинальным диаметром отверстий от 1 до 8 мм по
ГОСТ 6613,
ГОСТ 3826.
8.2 Порядок проведения испытания
8.2.1 При определении крупности помола из объединенной пробы берут навеску массой 100 г и делят ее на две части. Каждую часть просеивают через сито из проволочной сетки с соответствующим номинальным диаметром отверстий.
После окончания просеивания взвешивают проход через сито. Результаты суммируют и вычисляют массовую долю прохода через сито X8, %, по формуле

(8)
где m8 - масса продукта, прошедшая через сито, г;
m - масса объединенной пробы, г.
Окончательный результат вычисления округляют до целого значения.
9. Определение дефектов внешнего вида и посторонних примесей
9.1 Средства измерений, вспомогательное оборудование и материалы
Весы по
ГОСТ OIML R 76-1 с наибольшим пределом взвешивания 1000 г и пределом допускаемой погрешности однократного взвешивания +/- 0,1 г.
9.2 Порядок проведения испытания
Сушеные фрукты или овощи помещают на лист белой бумаги подходящего размера или стекло и определяют количество компонентов с дефектами по внешнему виду в соответствии с требованиями нормативных документов на конкретные виды сушеных овощей и фруктов.
Отобранные компоненты с дефектами и посторонние примеси взвешивают и вычисляют их массовую долю X9, %, по формуле

(9)
где m9 - масса отобранных компонентов с дефектами и посторонних примесей, г;
m - масса объединенной пробы, г.
Окончательный результат вычисления округляют до целого значения.
В случае подозрения на наличие плесени на поверхности рассматривают сушеные фрукты и овощи под лупой на фоне листа из белой бумаги.
10. Определение органолептических показателей
10.1 Средства измерений, вспомогательное оборудование, посуда и материалы
Весы по
ГОСТ OIML R 76-1 с наибольшим пределом взвешивания 5000 г и пределом допускаемой погрешности однократного взвешивания +/- 1 г.
Стаканы химические по
ГОСТ 25336, подходящей вместимости.
Светильник с люминесцентной лампой по
ГОСТ 6825.
Тарелки фарфоровые белого цвета.
10.2 Порядок проведения испытания
10.2.1 Оценку органолептических показателей проводят в следующей последовательности: вначале определяют внешний вид, затем цвет, консистенцию, запах и вкус.
Для определения органолептических показателей сушеных фруктов и овощей часть объединенной пробы помещают на лист белой бумаги и при рассеянном, ярком, дневном свете или люминесцентном освещении устанавливают внешний вид, форму и цвет сушеных фруктов и овощей, а для брикетированной продукции дополнительно правильность формы брикетов, состояние поверхности, равномерность по толщине, целостность, способность легко разминаться.
При оценке цвета учитывают его интенсивность и на соответствие его нормативному документу на конкретные сушеные фрукты и овощи. При возникновении разногласий в оценке цвета сушеные фрукты и овощи осматривают при дневном рассеянном свете.
10.2.2 При определении консистенции отмечают плотность, эластичность, хрупкость, мягкость, твердость. Плотность, эластичность, мягкость и твердость определяют на ощупь, а хрупкость сушеного картофеля - по ломкости его при сгибании.
10.2.3 Запах и вкус сушеных фруктов и овощей определяют органолептически. При определении запаха и вкуса оценивают их чистоту и интенсивность, а также отмечают отсутствие посторонних привкусов и запахов.
11. Определение развариваемости сушеных овощей
11.1 Средства измерений, вспомогательное оборудование, посуда и материалы
Весы по
ГОСТ OIML R 76-1 с наибольшим пределом взвешивания 1000 г и пределом допускаемой погрешности однократного взвешивания +/- 1 г.
Стаканы химические по
ГОСТ 25336, подходящей вместимости.
11.2 Порядок проведения испытания
Навеску сушеных овощей переносят в химический стакан, заливают водой комнатной температуры и отмечают уровень жидкости на стакане.
Сушеные овощи и воду для испытания берут в соотношениях, приведенных в таблице 2.
Таблица 2
Наименование сушеных овощей | Масса навески, г | Объем воды, см3 |
Картофель | 5,0 | 50 |
Капуста | 2,5 | 60 |
Морковь | 5,0 | 100 |
Свекла | 5,0 | 100 |
Зеленый горошек | 5,0 | 60 |
Стакан с пробой ставят на электрическую плитку и варят до готовности. В процессе варки в стакан добавляют воду для поддержания постоянного уровня жидкости в стакане.
Примечание - Развариваемость овощей определяют продолжительностью варки в минутах, необходимой для доведения их до готовности.
Продолжительность варки отсчитывают с момента закипания воды с пробой до полной готовности овощей или по нормативному документу на конкретные сушеные овощи. Готовность продукта определяют органолептически.
12. Определение металлических примесей и размера частиц
12.1 Средства измерений, вспомогательное оборудование и материалы
Весы по
ГОСТ OIML R 76-1 с наибольшим пределом взвешивания 100 г, и пределом допускаемой погрешности однократного взвешивания +/- 0,0005 г.
Весы по
ГОСТ OIML R 76-1 с наибольшим пределом взвешивания 1000 г, и пределом допускаемой погрешности однократного взвешивания +/- 1 г.
Лупа среднего увеличения по
ГОСТ 25706 или бинокулярный микроскоп с измерительной шкалой.
Магнит подковообразный из сплава марки ЮНДК по
ГОСТ 17809, с магнитной индукцией в центре каждого полюса на расстоянии 0,5 мм от поверхности полюса не менее 120 мТл, или устройство для извлечения металломагнитных примесей <*>.
--------------------------------
<*> Например, устройство для извлечения металломагнитных примесей УДИМ-1. Данная информация не является рекламой указанного продукта и приведена для удобства пользователей настоящего стандарта.
Стекло часовое диаметром 50 - 60 мм.
Стаканы химические по
ГОСТ 25336, подходящей вместимости.
Сетка измерительная с ячейками размером 0,3 x 0,3 мм.
12.2 Порядок проведения испытания
12.2.1 Из объединенной пробы взвешивают в стакане 1 кг сушеных фруктов или овощей (для фруктов или овощей в виде порошка и зелени - 0,5 кг), взвешенных с погрешностью +/- 1 г, переносят на лист белой бумаги и разравнивают тонким слоем.
12.2.2 Металломагнитные примеси извлекают подковообразным магнитом, на полюсы которого предварительно надевают плотно прилегающие колпачки из папиросной бумаги для облегчения съема металломагнитных примесей с магнита.
Медленно проводят магнитом параллельные бороздки во всех направлениях на расстоянии 5 - 7 мм от поверхности, не касаясь магнитом продукта.
Данную процедуру повторяют трижды. Перед каждой процедурой объединенную пробу перемешивают и распределяют тонким слоем, как указано выше.
12.2.3 Металломагнитные примеси тщательно просматривают с помощью лупы или бинокулярного микроскопа для обнаружения частиц металла, не притягиваемых магнитом.
Такие примеси достают пинцетом и присоединяют к примесям, извлеченным с помощью магнита.
Все примеси помещают на заранее взвешенное часовое стекло и взвешивают с погрешностью не более 0,0005 г.
12.3 Обработка результатов
12.3.1 Массовую долю металлических примесей X10, %, вычисляют по формуле

(10)
где m10 - масса извлеченных металлических примесей, г;
m - масса объединенной пробы, г.
Окончательный результат вычисления округляют до четвертого десятичного знака.
12.3.2 Массовую долю металлических примесей X11, мг/кг (млн-1), вычисляют по формуле
X11 = X10·104, (11)
где X10 - массовая доля металлических примесей, %;
104 - коэффициент пересчета из % в мг/кг (млн-1).
Окончательный результат вычисления округляют до целого значения.
12.4 Для определения размера частиц в наибольшем линейном измерении примеси переносят на специальную измерительную сетку, рассматривают под лупой или микроскопом и записывают их размер.
13. Определение зараженности вредителями хлебных запасов
и наличия загнивших и заплесневевших продуктов
13.1 Средства измерений, вспомогательное оборудование, посуда и материалы
Весы по
ГОСТ OIML R 76-1 с наибольшим пределом взвешивания 1000 г, и пределом допускаемой погрешности однократного взвешивания +/- 1 г.
Рассев-сепаратор лабораторный с комплектом контрольных сит для анализа зараженности вредителями.
Бумага темная.
13.2 Порядок проведения испытания
13.2.1 Транспортные упаковки, отобранные по
ГОСТ 34125, тщательно проверяют, осматривая щели в ящиках, складки в упаковочных материалах, и отмечают наличие бабочек, жуков, личинок и куколок и других вредителей хлебных запасов.
13.2.2 Из отобранной объединенной пробы берут навеску массой 1 кг (для фруктов или овощей в виде порошка и зелени - 0,5 кг), взвешенную с погрешностью +/- 1 г. Сушеные фрукты и овощи освобождают от индивидуальной упаковки, которую тщательно осматривают, особенно в местах складок и сгибов с целью обнаружения вредителей хлебных запасов. Сушеные фрукты и овощи, имеющие температуру ниже 10 °C, необходимо предварительно выдерживать при температуре 20 °C - 30 °C в течение 15 мин и после этого испытывать.
13.2.3 Поверхность брикетов тщательно осматривают под лупой со всех сторон. Отмечают наличие амбарных вредителей, бороздки и ходы от присутствующих или присутствовавших вредителей. Брикеты разминают, рассыпают сушеные фрукты и овощи тонким слоем на темную бумагу или стекло, положенное на темную бумагу, и проверяют наличие загнивших или заплесневевших фруктов и овощей.
13.2.4 Небрикетированную продукцию также помещают в виде тонкого слоя на темную бумагу или стекло, положенное на темную бумагу, и, не касаясь продукта, осматривают его. Проверяют присутствие вредителей хлебных запасов и наличие загнивших или заплесневевших фруктов и овощей.
13.2.5 Обнаруженных при осмотре сушеных фруктов и овощей живых или мертвых насекомых (взрослые насекомые, личинки, коконы, экскременты крупных насекомых, а также явно поврежденные насекомыми компоненты продукта) помещают пинцетом в пробирку.
13.2.6 Затем сушеные фрукты и овощи просеивают на рассеве-сепараторе и отсев рассматривают на листе темной бумаги через лупу для выявления живых клещей, мелких насекомых или их частей и немагнитных частиц металла. Операцию осмотра повторяют, помещая отсев на лист белой бумаги.
Обнаруженные частицы металла извлекают пинцетом, помещают в пробирку и присоединяют к металломагнитным примесям.
13.2.7 Осматривают пробу для выявления паутины, которая показывает на присутствие различных огневок.
Обнаруженных при испытании вредителей направляют в лабораторию для определения их вида.
14. Определение массовой доли минеральных примесей (песка)
Массовую долю минеральных примесей (песка) определяют по
ГОСТ ISO 762 со следующим дополнением.
Воду после мытья сушеных фруктов или овощей отстаивают не менее 1 ч, после чего осторожно, не взбалтывая осадка, сливают не более 3/4 объема, который отбрасывают. Осадок количественно переносят в стакан или в делительную воронку.
15. Определение растительных примесей
Содержание растительных примесей определяют по
ГОСТ 26323.
16. Определение массовой доли влаги
Массовую долю влаги определяют по
ГОСТ 33977 со следующим дополнением.
Пробу сушеных фруктов и овощей освобождают от косточек, семян и плодоножек.
Из измельченной пробы следует незамедлительно взять навески для определения влаги. При необходимости хранения пробы ее немедленно помещают в чистую сухую герметично укупоренную банку и снабжают этикеткой.
17. Определение массовой доли консервантов
Массовую долю консервантов определяют:
- сорбиновой, бензойной кислот и их солей - по
ГОСТ 33332;
со следующим дополнением: смеси сушеных фруктов и овощей на компоненты не разделяют и измельчают как однокомпонентную.
18. Определение афлатоксинов B
1, B
2, G
1, G
2 и охратоксина A
Определение афлатоксина B
1 и общего содержания афлатоксинов B
1, B
2, G
1 и G
2 - по
ГОСТ 31748.
Определение охратоксина A - по нормативным документам, действующим на территории государства, принявшего стандарт <*>.
--------------------------------
<*> В Российской Федерации действует
ГОСТ Р ЕН 15829-2011 "Продукты пищевые. Определение охратоксина A в коринке, изюме, кишмише, смесях сушеных фруктов и инжире сушеном. Метод высокоэффективной жидкостной хроматографии с применением иммуноаффинной колоночной очистки экстракта и детектирования по флюоресценции".
(справочное)
ВИДЫ ОСНОВНЫХ ДЕФЕКТОВ СУШЕНЫХ ОВОЩЕЙ И ФРУКТОВ
А.1 Виды основных дефектов сушеных овощей и фруктов приведены в таблице А.1.
Таблица А.1
Наименование сушеных овощей и фруктов | Виды дефектов, с которыми отбирают для испытаний |
Картофель сушеный | Столбики, кубики или пластинки с дефектами: поджаренные, с черными или серыми пятнами, с остатками кожицы и глазков |
Морковь сушеная | Стружка, кубики, пластинки или их части с дефектами: поджаренные, зеленоватые, с черными пятнами, с остатками кожицы |
Капуста сушеная | Стружка и ее части с дефектами: поджаренные, с черными пятнами, листья и пластинки кочерыги |
Лук сушеный | Кружки, кольца, пластинки и их части с дефектами: поджаренные, с черными пятнами, с остатками чешуи, донца и шейки |
Чеснок сушеный | Кусочки поджаренные, запаренные, с остатками чешуи, донца |
Зеленый горошек сушеный | Поджаренные зерна, оболочки от зерен, дробленые зерна, зерна с треснувшей оболочкой, зерна, пораженные сельскохозяйственными вредителями и болезнями |
Коренья белые сушеные | Стружка, кубики или пластинки поджаренные, с черными пятнами, остатками кожицы |
Зелень сушеная | Желтоватые и побуревшие пластинки и части листа |
Свекла сушеная | Стружка, кубики и пластинки с белыми прожилками |
Цикорий сушеный | Столбики, пластинки или кубики с грубоволокнистой, одеревеневшей тканью, горелые, сырые, плесневелые, поврежденные вредителями, а также посторонние примеси - остатки ботвы, тонкие концы корнеплодов |
Цукаты | Механические повреждения, загрязненные, засахаренные, темные пятна |
Финики сушеные, инжир сушеный, изюм, чернослив, абрикос сушеный | Фрукты со следами жизнедеятельности сельскохозяйственных вредителей, механические повреждения, фрукты с признаками брожения, заплесневелые, косточки (для фиников без косточек) |
[1]
ТР ТС 022/2011 Технический регламент Таможенного союза "Пищевая продукция в части ее маркировки"