Главная // Актуальные документы // ГОСТ (Государственный стандарт)СПРАВКА
Источник публикации
М.: Стандартинформ, 2020
Примечание к документу
Документ
введен в действие с 01.07.2021.
Название документа
"ГОСТ 27566-2020. Межгосударственный стандарт. Вещества особо чистые. Определение примесей химических элементов методами атомно-эмиссионной спектрометрии в жидкофазных веществах"
(введен в действие Приказом Росстандарта от 27.10.2020 N 924-ст)
"ГОСТ 27566-2020. Межгосударственный стандарт. Вещества особо чистые. Определение примесей химических элементов методами атомно-эмиссионной спектрометрии в жидкофазных веществах"
(введен в действие Приказом Росстандарта от 27.10.2020 N 924-ст)
Приказом Федерального агентства
по техническому регулированию
и метрологии
от 27 октября 2020 г. N 924-ст
МЕЖГОСУДАРСТВЕННЫЙ СТАНДАРТ
ВЕЩЕСТВА ОСОБО ЧИСТЫЕ
ОПРЕДЕЛЕНИЕ ПРИМЕСЕЙ ХИМИЧЕСКИХ ЭЛЕМЕНТОВ МЕТОДАМИ
АТОМНО-ЭМИССИОННОЙ СПЕКТРОМЕТРИИ В ЖИДКОФАЗНЫХ ВЕЩЕСТВАХ
Superpure substances. Determination of impurities
of chemical elements by atomic emission spectrometry
methods in liquid-phase substances
ГОСТ 27566-2020
Дата введения
1 июля 2021 года
Цели, основные принципы и общие правила проведения работ по межгосударственной стандартизации установлены
ГОСТ 1.0 "Межгосударственная система стандартизации. Основные положения" и
ГОСТ 1.2 "Межгосударственная система стандартизации. Стандарты межгосударственные, правила и рекомендации по межгосударственной стандартизации. Правила разработки, принятия, обновления и отмены"
1 РАЗРАБОТАН Федеральным государственным унитарным предприятием "Научно-исследовательский институт химических реактивов и особо чистых химических веществ" Национальный исследовательский центр "Курчатовский институт" (НИЦ "Курчатовский институт" - ИРЕА)
2 ВНЕСЕН Техническим комитетом по стандартизации ТК 60 "Химия"
3 ПРИНЯТ Межгосударственным советом по стандартизации, метрологии и сертификации (протокол от 30 июня 2020 г. N 131-П)
За принятие проголосовали:
Краткое наименование страны по МК (ИСО 3166) 004-97 | Код страны по МК (ИСО 3166) 004-97 | Сокращенное наименование национального органа по стандартизации |
Армения | AM | ЗАО "Национальный орган по стандартизации и метрологии" Республики Армения |
Беларусь | BY | Госстандарт Республики Беларусь |
Казахстан | KZ | Госстандарт Республики Казахстан |
Киргизия | KG | Кыргызстандарт |
Россия | RU | Росстандарт |
Таджикистан | TJ | Таджикстандарт |
Узбекистан | UZ | Узстандарт |
4 Приказом Федерального агентства по техническому регулированию и метрологии от 27 октября 2020 г. N 924-ст межгосударственный стандарт ГОСТ 27566-2020 введен в действие в качестве национального стандарта Российской Федерации с 1 июля 2021 г.
Информация о введении в действие (прекращении действия) настоящего стандарта и изменений к нему на территории указанных выше государств публикуется в указателях национальных стандартов, издаваемых в этих государствах, а также в сети Интернет на сайтах соответствующих национальных органов по стандартизации.
В случае пересмотра, изменения или отмены настоящего стандарта соответствующая информация будет опубликована на официальном интернет-сайте Межгосударственного совета по стандартизации, метрологии и сертификации в каталоге "Межгосударственные стандарты"
Настоящий стандарт распространяется на особо чистые вещества и устанавливает порядок определения примесей химических элементов в жидкофазных веществах с использованием методов атомно-эмиссионной спектрометрии:
-
метод А - определение примесей химических элементов с массовой долей каждого элемента в пробе от 10
-3% до 10
-8% с использованием кварцевого спектрографа средней дисперсии с трехлинзовой конденсорной системой и трехступенчатым ослабителем;
-
метод Б - определение примесей химических элементов с использованием атомно-эмиссионного спектрометра с радиочастотным электромагнитным генератором для возбуждения индуктивно связанной аргоновой плазмы, оборудованный устройством для контроля скоростей потока аргона, компьютером для обработки выходных сигналов спектрометра с возможностью коррекции фоновых сигналов.
В настоящем стандарте использованы нормативные ссылки на следующие межгосударственные стандарты:
ГОСТ 1277 Реактивы. Серебро азотнокислое. Технические условия
ГОСТ 1770 (ИСО 1042-83, ИСО 4788-80) Посуда мерная лабораторная стеклянная. Цилиндры, мензурки, колбы, пробирки. Общие технические условия
ГОСТ 3118 Реактивы. Кислота соляная. Технические условия
ГОСТ 3773 Реактивы. Аммоний хлористый. Технические условия
ГОСТ 3885 Реактивы и особо чистые вещества. Правила приемки, отбор проб, фасовка, упаковка, маркировка, транспортирование и хранение
ГОСТ 4160 Реактивы. Калий бромистый. Технические условия
ГОСТ 4212 Реактивы. Методы приготовления растворов для колориметрического и нефелометрического анализа
ГОСТ 4221 Реактивы. Калий углекислый. Технические условия
ГОСТ 4461 Реактивы. Кислота азотная. Технические условия
ГОСТ 6709 Вода дистиллированная. Технические условия
ГОСТ 10157 Аргон газообразный и жидкий. Технические условия
ГОСТ 11125 Кислота азотная особой чистоты. Технические условия
ГОСТ 14261 Кислота соляная особой чистоты. Технические условия
ГОСТ 14262 Кислота серная особой чистоты. Технические условия
ГОСТ 15150 Машины, приборы и другие технические изделия. Исполнения для различных климатических районов. Категории, условия эксплуатации, хранения и транспортирования в части воздействия климатических факторов внешней среды
ГОСТ 18300 Спирт этиловый ректификованный технический. Технические условия <*>
--------------------------------
<*> В Российской Федерации действует
ГОСТ Р 55878-2013 "Спирт этиловый технический гидролизный ректификованный. Технические условия".
ГОСТ 19627 Гидрохинон (парадиоксибензол). Технические условия
ГОСТ 19908 Тигли, чаши, стаканы, колбы, воронки, пробирки и наконечники из прозрачного кварцевого стекла. Общие технические условия
ГОСТ 22516 Реактивы. Олово (IV) оксид. Технические условия
ГОСТ 23463 Графит порошковый особой чистоты. Технические условия
ГОСТ 24104 Весы лабораторные. Общие технические требования <**>
--------------------------------
<**> В Российской Федерации действует
ГОСТ Р 53228-2008 "Весы неавтоматического действия. Часть 1. Метрологические и технические требования. Испытания".
ГОСТ 24147 Аммиак водный особой чистоты. Технические условия
ГОСТ 25664 Метол (4-метиламинофенол сульфат). Технические условия
ГОСТ 27025 Реактивы. Общие указания по проведению испытаний
ГОСТ 27068 Реактивы. Натрий серноватистокислый (натрия тиосульфат) 5-водный. Технические условия
ГОСТ 27565 Вещества особо чистые. Концентрирование микропримесей методом упаривания
ГОСТ 29227 (ИСО 835-1-81) Посуда лабораторная, стеклянная. Пипетки градуированные. Часть 1. Общие требования
ГОСТ ИСО 14644-1 Чистые помещения и связанные с ними контролируемые среды. Часть 1. Классификация чистоты воздуха
Примечание - При пользовании настоящим стандартом целесообразно проверить действие ссылочных стандартов и классификаторов на официальном интернет-сайте Межгосударственного совета по стандартизации, метрологии и сертификации (www.easc.by) или по указателям национальных стандартов, издаваемых в государствах, указанных в
предисловии, или на официальных сайтах соответствующих национальных органов по стандартизации. Если на документ дана недатированная ссылка, то следует использовать документ, действующий на текущий момент, с учетом всех внесенных в него изменений. Если заменен ссылочный документ, на который дана датированная ссылка, то следует использовать указанную версию этого документа. Если после принятия настоящего стандарта в ссылочный документ, на который дана датированная ссылка, внесено изменение, затрагивающее положение, на которое дана ссылка, то это положение применяется без учета данного изменения. Если ссылочный документ отменен без замены, то положение, в котором дана ссылка на него, применяется в части, затрагивающей эту ссылку.
Пробу анализируемого продукта отбирают в соответствии с правилами отбора проб по
ГОСТ 3885 и указаниями, изложенными в соответствующем разделе нормативного документа на конкретный продукт.
4.1 Общие указания по проведению анализа - по
ГОСТ 27025.
4.3 Масса навески, способ подготовки пробы и условия проведения концентрирования должны быть указаны в нормативном документе на испытуемое вещество.
4.4 Анализ проводят в помещениях, соответствующих классу чистоты 5 ИСО по
ГОСТ ИСО 14644-1, а также в ламинарных боксах или в вытяжных устройствах с отфильтрованным воздухом.
4.5 При проведении испытаний следует исключить внесение неконтролируемых загрязнений (из атмосферы, лабораторной посуды, реактивами и т.д.).
4.6 При проведении анализа используют реактивы квалификации х.ч., если в нормативных документах на испытуемое вещество нет других указаний. Допускается применять реактивы наивысшей степени чистоты, выпускаемые промышленностью, или специально очищенные реактивы.
Перед применением реактивы следует проверять на отсутствие определяемых элементов в условиях концентрирования, либо учесть их фактическое содержание при аналитическом определении элементов.
4.7 При проведении измерений допускается применение средств измерений с метрологическими характеристиками и испытательного оборудования с техническими характеристиками не хуже, а химических реактивов и воды - по качеству не ниже указанных в настоящем стандарте.
4.8 Для хранения исходных растворов, растворов сравнения и воды, применяемой для их приготовления, а также для проведения концентрирования используют посуду из химически инертных полимерных материалов (например, из фторопласта, полиэтилена высокого давления), кварцевого стекла или стеклоуглерода.
5 Методы атомно-эмиссионной спектрометрии
5.1.1 Сущность метода
Метод заключается в концентрировании примесей путем упаривания препарата, сорбции примесей на графитовом коллекторе и в последующем анализе концентрата с использованием дугового источника возбуждения и спектрографа.
5.1.2 Аппаратура, посуда, реактивы, растворы и материалы
Спектрограф кварцевый средней дисперсии с трехлинзовой конденсорной системой и трехступенчатым ослабителем типов ИСП-28, ИСП-30. СТЭ-1 и других, точность и чувствительность которых не ниже, чем у приборов, указанных в настоящем стандарте.
Спектропроектор с увеличением в 20 раз, например ПС-18, СПП-1, СП-2 или других типов, с увеличением не ниже, чем у указанных выше приборов.
Источник дуги постоянного тока, обеспечивающий получение дуги постоянного тока при рабочем токе 10 - 15 А и напряжении 220 В.
Микроденситометр, обеспечивающий измерение оптической плотности до 2 единиц, например ИФО-460, ИФО-451, МФ-2.
Лампа инфракрасная.
Посуда для транспортирования и хранения отобранных проб воды вместимостью от 0,2 до 0,5 дм3 из полимерных материалов (полиэтилена, полипропилена, поливинилхлорида, фторопласта).
Станок для заточки угольных электродов.
Лопатка или шпатель из кварцевого стекла или из полимерного материала.
Ступка и пестик из органического стекла.
Цилиндр 1-10-1 по
ГОСТ 1770 из кварцевого стекла.
Пипетки градуированные по
ГОСТ 29227 2-го класса точности.
Весы лабораторные по
ГОСТ 24104 высокого класса точности (II), с ценой деления (дискретностью отсчета) не более 0,01 г, с наибольшим пределом взвешивания 200 г.
Устройство для гомогенизации и растирания порошкообразных веществ лабораторного изготовления.
Угли графитированные, ос. ч. 7-3 (электроды), диаметром не менее 6 мм (верхние электроды заточены на конус, в нижних - высверлен цилиндрический кратер диаметром 4,5 мм, глубиной 2 мм). Допускается применение графитовых электродов с каналом другой глубины и другого диаметра.
Фотопластинки спектральные типа СПЭС и типа П чувствительностью 10 - 16 единиц. Допускается применение фотопластинок других типов чувствительностью, не ниже указанной в настоящем стандарте.
Аммоний хлористый (аммония хлорид) по
ГОСТ 3773.
Вода дистиллированная по
ГОСТ 6709, дважды перегнанная в аппаратуре из кварцевого стекла, или вода степени чистоты 2 по технической документации <*>.
--------------------------------
<*> В Российской Федерации действует
ГОСТ Р 52501-2005 (ИСО 3696:1987) "Вода для лабораторного анализа. Технические условия".
Калий углекислый (калия карбонат) по
ГОСТ 4221.
Кислота азотная по
ГОСТ 11125, ос. ч. 27-5, или кислота азотная по
ГОСТ 4461, очищенная перегонкой в приборе из кварцевого стекла при температуре ниже точки кипения.
Кислота соляная по
ГОСТ 14261, ос. ч., или кислота соляная по
ГОСТ 3118, очищенная перегонкой в приборе из кварцевого стекла под вакуумом.
Натрий сернистокислый (натрия сульфит) 7-водный по технической документации.
Натрий серноватистокислый (натрия тиосульфат) по
ГОСТ 27068.
Натрий хлористый (натрия хлорид), ос. ч. 6-4, порошок и раствор с массовой долей 2% в смеси этилового спирта и воды в соотношении 3:1.
Этанол (спирт этиловый) квалификации ос. ч. или спирт этиловый ректификованный технический по
ГОСТ 18300 высшей категории качества, очищенный перегонкой.
Проявитель мелкозернистый; готовят смешением растворов А и Б в соотношении 1:1.
Раствор А готовят растворением в воде (до 0,5 дм3) 1,0 г метола, 12 г гидрохинона, 200 г кристаллического сернистокислого натрия.
Раствор Б готовят растворением в воде (до 0,5 дм3) 100 г углекислого калия и 1,0 г бромистого калия.
Фиксаж быстродействующий; готовят растворением в воде (до 1 дм3) 300 г тиосульфата натрия и 20 г хлористого аммония.
Кислота золотохлористоводородная.
Серебро азотнокислое (серебра нитрат) по
ГОСТ 1277.
Олова (IV) оксид по ГОСТ 22516.
Алюминия оксид.
Бериллия оксид (бериллия окись).
Ванадия (III) оксид.
Висмута (V) оксид.
Галлия (III) оксид.
Железа (III) оксид.
Индия (III) оксид.
Кадмия оксид.
Кальция оксид.
Кобальта (III) оксид.
Кремния (IV) оксид.
Магния оксид.
Марганца (IV) оксид.
Меди (II) оксид порошок.
Молибдена (VI) оксид.
Никеля (III) оксид.
Свинца (II) оксид.
Стронция оксид.
Титана (III) оксид.
Хрома (III) оксид.
5.1.3 Порядок подготовки к проведению измерений
5.1.3.1 Приготовление образцов сравнения
Образец сравнения с массовой долей 1% каждой определяемой примеси, кроме золота (в расчете на элемент), готовят путем тщательного растирания в ступке из органического стекла 1,272 г порошкового графита с оксидами определяемых элементов в количествах, приведенных в
таблице 1.
Формула | Масса, г |
Al2O3 | 0,038 |
BaO | 0,022 |
BeO | 0,056 |
V2O5 | 0,035 |
Bi2O3 | 0,022 |
Ga2O3 | 0,027 |
Fe2O3 | 0,028 |
In2O3 | 0,022 |
CdO | 0,022 |
CaO | 0,028 |
Co2O3 | 0,028 |
SiO2 | 0,042 |
MgO | 0,034 |
MnO2 | 0,032 |
CuO | 0,025 |
MoO3 | 0,025 |
Ni2O3 | 0,028 |
SnO2 | 0,026 |
PbO | 0,020 |
AgNO3 | 0,031 |
SrO | 0,030 |
TiO2 | 0,034 |
Cr2O3 | 0,030 |
Если контролируют не все указанные элементы, то при приготовлении образца сравнения берут навески оксидов только определяемых элементов. К полученной смеси добавляют порошковый графит для сохранения массы образца сравнения, равной 2,0 г.
При определении золота полученный образец сравнения помещают в кварцевую чашку, добавляют по 10 см3 соляной и азотной кислот и 0,042 г золотохлористоводородной кислоты. Раствор выпаривают досуха и тщательно растирают.
Образцы сравнения с массовой долей примеси 1·10-1; 1·10-2; 3·10-3; 1·10-3; 1·10-4; 3·10-4 и 3·10-5% готовят путем смешивания в устройстве гомогенизации каждого предыдущего образца сравнения с порошковым графитом в соотношении 1:3 или 1:10. Затем в каждый образец сравнения добавляют хлористый натрий в количестве 2% массы образца и снова тщательно растирают.
Допускается введение хлористого натрия непосредственно в каждую навеску пробы и каждый образец сравнения и приготовление образцов сравнения с введением примесей в виде растворов, приготовленных по
ГОСТ 4212.
При приготовлении образцов сравнения анализируемой и контрольных проб в соответствии с
5.1.3.2 и
5.1.3.3 допускается увеличивать количество вводимого хлористого натрия до 5%, а порошкового графита - до 0,05 г.
5.1.3.2 Подготовка анализируемой пробы
В три кварцевые чашки помещают по навеске анализируемого вещества и добавляют в каждую чашку по 0,02 г порошкового графита. Чашки помещают в устройство для упаривания и упаривают досуха в соответствии с
ГОСТ 27565. Далее порошковый графит собирают шпателем в горку и вносят 0,02 см
3 раствора хлористого натрия.
Содержимое чашек снова упаривают досуха. Таким образом получают концентраты анализируемой пробы (КАП).
5.1.3.3 Подготовка контрольной пробы
В три кварцевые чашки помещают по 0,02 г порошкового графита и вносят по 0,02 см3 раствора хлористого натрия, содержимое чашек выпаривают досуха. Таким образом получают концентраты контрольной пробы (ККП).
5.1.3.4 Подготовка электродов к анализу
Угольные электроды протирают этиловым спиртом и обжигают их в дуговом разряде при силе тока 12 А в течение 15 с, контролируя спектры на отсутствие в них линий определяемых элементов.
5.1.4 Порядок проведения определений
В каналы электродов помещают концентраты анализируемой и контрольной проб и образцов сравнения и фотографируют спектрограмму при силе тока 10 - 12 А и экспозиции 15 - 20 с.
Условия получения спектрограммы (тип освещения щели спектрографа, ширина щели спектрографа, размеры кратера, тип фотопластинки, применение защитного инертного газа) должны соответствовать указанным в нормативных документах на продукт.
Спектры снимают на одной фотопластинке в одинаковых условиях не менее трех раз.
5.1.5 Обработка результатов определения
Фотопластинку со снятыми спектрами проявляют, промывают водой, фиксируют, снова промывают в проточной воде и высушивают на воздухе. Сухую фотопластинку после просмотра на спектропроекторе фотометрируют на микроденситометре, пользуясь логарифмической шкалой и измеряя по подходящей ступени трехступенчатого ослабителя почернение аналитических линий определяемого элемента (
Sл+Ф) и соседнего фона (
SФ). При этом используют длины волн, указанные в
приложении А.
Допускается применение других аналитических линий указанных элементов, обеспечивающих необходимую чувствительность.
Находят среднеарифметическое значение разностей почернений

для каждой примеси в концентратах и образцах сравнения. Строят градуировочный график для каждого определяемого элемента по средним значениям

: на оси абсцисс откладывают логарифмы концентрации примеси для образцов сравнения (lg с), на оси ординат - разность почернения для образцов сравнения

.
По градуировочным графикам находят массовые доли примесей в концентратах анализируемой пробы (Cкап) и концентратах контрольной пробы (Cккп).
Массовую долю каждой примеси X, %, в анализируемом веществе вычисляют по формуле

, (1)
где m - масса навески концентрата анализируемой пробы, г;
Cкап - массовая доля примеси в концентрате анализируемой пробы, найденная по градуировочному графику, %;
Cккп - массовая доля примеси в концентрате контрольной пробы, найденная по градуировочному графику, %;
m1 - масса навески анализируемого вещества, г.
Допускаемая суммарная погрешность определения и расхождение между результатами параллельных определений указаны в нормативных документах на продукт.
5.2.1 Сущность метода
Метод заключается в возбуждении атомов пробы в индуктивно-связанной плазме и измерении интенсивности аналитической линии определяемого химического элемента (далее - элемента) при распылении раствора анализируемой пробы в плазму. Зависимость интенсивности линий от концентрации элемента в растворе устанавливают с использованием градуировочного графика.
5.2.2 Средства измерения, вспомогательное оборудование, реактивы и материалы
Атомно-эмиссионный спектрометр с радиочастотным электромагнитным генератором для возбуждения индуктивно связанной аргоновой плазмы, оборудованный устройством для контроля скоростей потока аргона, компьютером для обработки выходных сигналов спектрометра с возможностью коррекции фоновых сигналов.
Пипетки градуированные 1(2)-1(2)-1(2)-1(2; 5; 10) по
ГОСТ 29227.
Оборудование для стадии подготовки проб (электроплитка) в соответствии с нормативным документом на конкретный продукт.
Система лабораторной очистки кислот методом перегонки без кипения.
Растворы, содержащие определяемые элементы с массовой концентрацией 1 мг/см
3; готовят по
ГОСТ 4212, или сертифицированные многоэлементные растворы с погрешностью содержания индивидуальных элементов +/- 1,1%.
Кислота азотная по
ГОСТ 11125, ос. ч. 27-5, дополнительно очищенная методом перегонки без кипения.
Кислота соляная по
ГОСТ 14261, ос. ч. 20-4, дополнительно очищенная методом перегонки без кипения.
Аммиак водный особой чистоты, ос. ч. 23-5 по
ГОСТ 24147.
Вода степени чистоты 2 по технической документации <*>.
--------------------------------
<*> В Российской Федерации действует
ГОСТ Р 52501-2005 (ИСО 3696:1987) "Вода для лабораторного анализа. Технические условия".
Смесь соляной и азотной кислот с объемной долей азотной кислоты 3,5% и объемной долей соляной кислоты 15% (раствор О); готовят по
5.2.3.1.1.
Флаконы полимерные высокой чистоты вместимостью 25 см3.
Примечания
1 Допускается не проводить очистку азотной и соляной кислот методом перегонки без кипения при условии, что концентрация определяемых элементов в них в условиях концентрирования не превышает 50% от нижней границы диапазона измерений определяемых элементов согласно нормативному документу на конкретный продукт.
2 Допускается использование другого вспомогательного оборудования и материалов в соответствии с нормативным документом на испытуемое вещество.
3 Допускается использование других реактивов квалификации х.ч. в соответствии с нормативным документом на испытуемое вещество. Реактивы следует применять квалификации о.с.ч., выпускаемые промышленностью, или сп. ч. Перед применением реактивы следует проверять на отсутствие определяемых элементов в условиях концентрирования или учитывать их фактическое содержание при аналитическом определении.
5.2.3 Порядок подготовки к проведению измерений
5.2.3.1 Приготовление вспомогательных растворов
5.2.3.1.1 Приготовление раствора О
В мерную колбу вместимостью 1 дм3 вносят примерно 500 см3 воды, затем добавляют 35 см3 концентрированной азотной и 150 см3 концентрированной соляной кислот, перемешивают, объем доводят водой до метки.
5.2.3.2 Приготовление растворов для градуировки спектрометра
Предварительно с учетом химических свойств отдельных элементов и элементного состава индивидуальных стандартов готовят промежуточные растворы.
5.2.3.2.1 Составы промежуточных растворов (рекомендуемые)
Раствор П1 - промежуточный раствор, содержащий литий, натрий, калий, магний, кальций, стронций, барий.
Раствор П2 - промежуточный раствор, содержащий ванадий, хром, марганец, железо, кобальт, никель, медь, цинк.
Раствор П3 - промежуточный раствор, содержащий бериллий, алюминий, галлий, селен, олово, таллий, свинец, висмут.
Раствор П4 - промежуточный раствор, содержащий бор, кремний, титан, цирконий, молибден, тантал, сурьму.
Раствор П5 - промежуточный раствор, содержащий родий, палладий, кадмий, индий, лантан, иридий, платину.
Раствор П6 - промежуточный раствор, содержащий золото.
Раствор П7 - промежуточный раствор, содержащий серебро.
Раствор П8 - промежуточный раствор, содержащий фосфор.
Не допускается использование растворов лития, натрия и калия, полученных из сульфатов перечисленных элементов.
В случае использования раствора ГСО золота концентрацией 0,1 мг/см3 этот раствор используют как промежуточный раствор П6.
5.2.3.2.2 Способ приготовления
Пипеткой отбирают по 1,00 см3 растворов, содержащих 1 мг/см3 определяемых элементов, и помещают в мерную колбу вместимостью 100 см3. При приготовлении растворов П1 - П6, П8 объем раствора в колбе доводят до метки раствором О.
Массовая концентрация каждого из определяемых элементов в растворах П1 - П8 составляет 10,0 мг/дм3.
Приготовленные промежуточные растворы переносят в полимерные флаконы и хранят не более 3 мес.
5.2.3.2.3 Приготовление градуировочных растворов
В мерные колбы вместимостью 100 см
3 пипетками отбирают объемы промежуточных растворов согласно
таблице 2, доводят до метки раствором О и перемешивают. Каждый из градуировочных растворов готовят два раза (параллельные).
Таблица 2
Характеристики градуировочных растворов
для определения примесей элементов
Обозначение градуировочного раствора | Вводимый объем промежуточного раствора, см3 | Массовая концентрация элементов, мг/дм3 | Границы интервала, в котором с вероятностью P = 0,95 находится значение абсолютной погрешности,  , мг/дм 3 |
ГО-0 | - | 0 | - |
ГО-1 | 1,0 | 0,1 | 0,002 |
ГО-2 | 5,0 | 0,5 | 0,007 |
ГО-3 | 10,0 | 1,0 | 0,015 |
Градуировочные растворы готовят с учетом химических свойств отдельных элементов, элементного состава индивидуальных стандартов и перечня элементов, по которым необходимо выполнить анализ.
Градуировку по фосфору и сере осуществляют отдельно.
Для проведения испытания используют свежеприготовленные градуировочные растворы (приготовленные не более чем за 8 ч до их применения).
Допускается использование других способов приготовления градуировочных растворов (составы промежуточных растворов, приготовленных из многоэлементных стандартных растворов, могут отличаться от указанных в
5.2.3.2.1) при условии получения метрологических характеристик, не уступающих указанным в
таблице 2.
5.2.4 Проведение анализа
5.2.4.1 Общие указания
Подготовку к работе и работу на приборе проводят согласно инструкции по его эксплуатации. Программа измерений должна включать таблицу длин волн аналитических линий и точек коррекции фона, таблицы концентраций градуировочных растворов, таблицу параметров плазмы.
Рекомендуемые длины волн аналитических линий для определяемых элементов приведены в
приложении А.
Допускается использование других линий, при этом следует избегать использования линий, на которых появляются наложения спектральных линий анализируемого продукта или наблюдается сложное изменение фона.
Коррекцию фона при возникновении матричных эффектов и учет взаимного влияния измеряемых элементов за счет спектральных наложений проводят, используя программное обеспечение спектрометра в соответствии с руководством по эксплуатации спектрометра. Выбор точек коррекции фона проводят на градуировочных растворах смеси элементов путем измерения интенсивности фонового сигнала с одной или обеих сторон измеряемой спектральной линии элемента. Следует избегать выбора точек коррекции фона для определяемого элемента в области, в которой возможно появление спектральных наложений линий других элементов.
5.2.4.2 Условия проведения анализа
Анализ следует проводить при нормальных климатических условиях по
ГОСТ 15150.
5.2.4.2.1 Выбор параметров плазмы
Используют потоки газа, мощность высокочастотного (ВЧ) поля и высоту радиального наблюдения плазмы, рекомендуемые изготовителем спектрометра.
Примечание - В большинстве случаев использование рекомендуемых изготовителем параметров обеспечивает режим работы, наиболее подходящий для многоэлементного анализа. При необходимости следует оптимизировать эти параметры для конкретного применения.
5.2.4.2.2 Определение рабочих характеристик спектрометра
В зависимости от типа и марки спектрометра определяют оптимальную настройку для основных рабочих характеристик.
В случае необходимости проводят оптимизацию некоторых рабочих характеристик спектрометра, таких как напряжение на фотоэлектронном умножителе (ФЭУ), время интегрирования, число интегрирований, (x - y) - центрирование факела плазмы.
5.2.4.2.3 Определение параметров ввода проб
При определении параметров ввода пробы:
- используют значение расхода пробы при вводе в распылитель, рекомендованное в руководстве по эксплуатации спектрометра, или оптимизируют режим работы распылителя для достижения оптимального соотношения между интенсивностью сигнала и скоростью ввода проб;
- определяют подходящее время промывки системы ввода пробы, расход пробы при промывке и время задержки считывания. Проводят испытания для подтверждения отсутствия значительных эффектов памяти.
5.2.4.3 Порядок проведения определений
Перед началом работы спектрометр необходимо продуть аргоном в течение установленного времени в соответствии с инструкцией по эксплуатации. Время прогрева прибора после включения и время стабилизации спектрометра после поджига плазмы должны быть установлены в соответствии с инструкцией по эксплуатации.
Во время стабилизации плазмы необходимо вводить градуировочный контрольный раствор в плазму, если указано в инструкции по эксплуатации, так как в противном случае свойства плазмы во время анализа будут другими.
Вводят градуировочные растворы в плазму в порядке увеличения их концентраций и измеряют интенсивность излучения для каждого раствора. На компьютере, подсоединенном к спектрометру, получают градуировочный график для определяемых элементов предпочтительно методом линейного регрессионного анализа. Интенсивность излучения по контрольному градуировочному раствору вычитают (вручную либо автоматически программным обеспечением) из интенсивностей излучения по другим растворам сравнения, при этом градуировочный график должен выходить из начала координат. Градуировку повторяют, если коэффициент корреляции R2 хотя бы по одному определяемому элементу составляет менее 0,999.
Поочередно вводят градуировочный контрольный раствор и анализируемые растворы пробы в плазму и измеряют интенсивность излучения. Для определения массовой концентрации определяемых элементов используют полученный градуировочный график.
Если массовая концентрация определяемых элементов пробы превышает верхний предел линейного диапазона градуировочного графика, то раствор разбавляют и повторяют определение.
5.2.5 Обработка результатов определения
Массовую концентрацию определяемого элемента в навеске пробы для каждого определения Xi,m, мг/кг, вычисляют по формуле

, (2)
где Ci - концентрация i-го элемента в анализируемом растворе (параллельные определения), найденная по градуировочному графику, мг/дм3;
Cx <*> - концентрация элемента в контрольном растворе, найденная по градуировочному графику, мг/дм3;
--------------------------------
<*> В качестве контрольного при определении необходимо использовать раствор, прошедший все этапы подготовки пробы, содержащий равные количества реактивов, как и раствор анализируемой пробы, но не содержащий исходной пробы.
A - общий объем раствора после разбавления или концентрирования, см3;
m - масса пробы, г.
Массовую концентрацию определяемого элемента в объеме пробы для каждого определения Xi,v, мг/дм3, вычисляют по формуле

, (3)
где V - объем пробы, см3.
Вычисляют среднее значение содержания элемента для двух определений

по формуле

, (4)
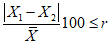
и проверяют приемлемость результатов параллельных определений по условию:

, (5)
где
r - норматив контроля (предел повторяемости результатов двух параллельных определений), используют значения, указанные в
таблице Б.1 (приложение Б).
При выполнении
условия (5) 
округляют до двух значащих цифр в ряду значений 1,0...3,4 и до одной значащей цифры в ряду значений 3,5...9,4 и принимают в качестве результата измерений.
При превышении норматива контроля r определения необходимо повторить, выявив и устранив причину неудовлетворительных результатов.
Результат определения массовой концентрации элемента в объеме пробы Xv, мг/дм3, или массовой концентрации элемента в навеске пробы Xm, мг/кг, представляют в виде

(6)
где 0,01 - коэффициент пересчета в доли единицы значения погрешности в массовых долях, %;

- границы суммарной погрешности измерения содержания элемента, %, при доверительной вероятности
P = 0,95. Используют значение

, %, указанное в нормативном документе на конкретный продукт.
Метрологические характеристики метода Б с учетом границ поддиапазонов измерений по отдельным элементам приведены в
приложении Б.
(рекомендуемое)
ДЛИНЫ ВОЛН АНАЛИТИЧЕСКИХ ЛИНИЙ ОПРЕДЕЛЯЕМЫХ ЭЛЕМЕНТОВ
И ПОТЕНЦИАЛЬНЫЕ СПЕКТРАЛЬНЫЕ ВЛИЯНИЯ ПРИ ИХ ИСПОЛЬЗОВАНИИ
Таблица А.1
Определяемый элемент | Длина волны аналитической линии, нм | Возможные спектральные наложения |
1 Серебро (Ag) | 328,07 | Zr, Fe |
338,29 | Cr, V, Sb |
2 Алюминий (Al) | 167,08 | Fe |
308,22 | V, Mn |
396,15 | Fe, Mo |
3 Золото (Au) | 242,79 | Mn, Sr, Al, Ti |
267,60 | Mn |
208,21 | Si, Pd |
4 Барий (Ba) | 233,53 | V |
455,40 | Cr, Zr |
493,41 | |
5 Бериллий (Be) | 234,86 | Ti, Ni, Mo |
313,04 | V |
313,11 | Ti, Zr |
6 Висмут (Bi) | 223,06 | Mo |
306,77 | |
7 Кальций (Ca) | 315,89 | Cr, Co, Zr, Mo |
317,93 | B, Fe |
393,37 | |
422,67 | |
8 Кадмий (Cd) | 214,44 | K, Fe, Co |
226,50 | Co, As |
228,80 | |
325,25 | |
9 Кобальт (Co) | 228,62 | Ti, Ba |
230,79 | Ni, Mo |
238,89 | Al, V, Fe, Mo |
252,14 | |
345,35 | |
10 Хром (Cr) | 205,56 | Ni, Mo |
267,72 | P |
283,56 | Fe, Co |
284,33 | Fe |
425,43 | |
11 Медь (Cu) | 324,75 | Fe, Mo |
327,40 | Na |
12 Железо (Fe) | 238,20 | Fe, Co |
259,94 | Mo |
302,06 | |
348,33 | |
13 Галлий (Ga) | 294,36 | Ti, Fe |
417,21 | |
14 Индий (In) | 230,61 | Mn, Mo, Fe |
325,61 | Fe |
303,94 | |
15 Иридий (Ir) | 224,27 | Cu, Ni |
212,68 | V |
205,22 | Mo |
16 Калий (K) | 766,49 | Fe, Cu |
769,90 | |
17 Лантан (La) | 333,75 | Fe |
412,32 | V, Mn, Ti |
379,48 | Gr, Li |
18 Литий (Li) | 460,29 | Zr |
670,78 | V |
19 Фосфор (P) | 177,49 | Cu, C |
213,62 | Mo |
20 Магний (Mg) | 279,08 | T, Fe, Mn, Co |
279,55 | Zr, Mo |
280,27 | |
285,21 | |
21 Марганец (Mn) | 257,61 293,31 279,48 | |
22 Молибден (Mo) | 202,03 204,60 317,03 | |
23 Натрий (Na) | 588,99 | C, Ar |
589,59 | Mo |
330,24 | Pd, Ti, Zn, S |
24 Никель (Ni) | 231,60 | O, Co, Pd, Sb |
221,65 | Si, Mo |
305,08 | V |
25 Свинец (Pb) | 217,00 | Ag |
220,35 | N, Bi |
283,31 | Fe |
26 Палладий (Pd) | 340,46 | Mo, Fe |
324,27 | Ni, Fe, Co, Mn |
229,65 | Cr, Ni, Ba |
342,12 | |
27 Платина (Pt) | 214,42 | W, Mo, Cd, S |
203,65 | Cd, Co, Al |
265,94 | P, Al |
224,55 | Fe, Ba, W |
283,31 | |
28 Родий (Rh) | 343,49 | Mo |
369,24 | S, Mo, Si, Ni |
233,48 | |
29 Сурьма (Sb) | 206,83 | Mo, Sn |
217,58 | Pb |
30 Олово (Sn) | 189,99 | Ti, Fe, N, Mo |
235,48 | |
286,33 | |
284,00 | |
31 Стронций (Sr) | 407,77 | Cr |
421,55 | Zr |
460,73 | N, Fe |
430,50 | |
32 Тантал (Ta) | 268,52 | Ti, V, Co |
240,06 | Fe |
226,23 | Pd |
33 Титан (Ti) | 334,94 | Cr, Ni |
336,12 | C, V, Mo |
337,28 | Pd |
368,52 | Cr, Mn |
323,45 | |
308,80 | |
34 Таллий (Tl) | 190,86 | Mo |
276,79 | Ni, Fe |
377,57 | |
35 Ванадий (V) | 290,88 | C, O |
292,40 | Cr, Fe |
310,23 | K, Ca |
311,07 | Ti, Mn, Co, Zr, Mo |
318,54 | |
36 Цинк (Zn) | 206,20 | Ti, Ni |
213,86 | Fe, Ni, Cu |
37 Цирконий (Zr) | 343,82 | Mo |
339,20 | |
343,82 | |
(справочное)
Метрологические характеристики
метода Б с учетом границ поддиапазонов измерений по отдельным элементам представлены в
таблице Б.1.
Таблица Б.1
Метрологические характеристики
Поддиапазоны массовых концентраций элементов, мг/дм3 | Предел повторяемости (относительное значение допускаемого расхождения между двумя результатами параллельных определений при P = 0,95) r, % | Показатель точности (границы допускаемой относительной погрешности при вероятности P = 0,95, расширенная неопределенность с коэффициентом охвата K = 2)  , % | Критическая разность для результатов анализа, полученных в двух разных лабораториях в условиях повторяемости <*>, CD0,95, % |
Массовые концентрации первого поддиапазона [от предела обнаружения до значений, превышающих его в несколько (до 10) раз] | 20...30 | 25...40 | 35...56 |
Массовые концентрации второго поддиапазона (от предела обнаружения до значений, превышающих его в 10 - 50 раз) | 15...20 | 15...25 | 21...35 |
Массовые концентрации третьего поддиапазона (значения, превышающие более чем в 50 раз предел обнаружения) | 10...15 | 10...15 | 15...21 |
Значения показателей точности метода и процедуры их контроля, приведенные в настоящем стандарте, подлежат уточнению <*> по диапазонам измерений концентраций химических элементов, указанным в нормативной документации на группы химической продукции или отдельные химические соединения.
--------------------------------
<*> В Российской Федерации действует
ГОСТ Р ИСО 5725-6-2002 "Точность (правильность и прецизионность) методов и результатов измерений. Часть 6. Использование значений точности на практике".
Сохранение значений характеристик точности результатов анализа контролируют по стабильности градуировочных характеристик для каждого элемента.
Стабильность градуировочных характеристик проверяют по результатам анализа контрольных растворов (один из рабочих градуировочных растворов
таблицы 2) каждый раз после выполнения 8 измерений (16 параллельных определений) и в конце измерений.
Контроль проводят для каждого элемента, определяемого в испытуемом образце.
Результат контроля считают положительным при выполнении условия

, (Б.1)
| | ИС МЕГАНОРМ: примечание. Абзац дан в соответствии с официальным текстом документа. | |
где Ci >= результат измерений массовой концентрации элементов в контрольном растворе, мг/дм3;
Cр - приписанное значение массовой концентрации элемента в контрольном растворе, мг/дм3;
Kс - норматив контроля, значение которого составляет +/- 10% и подлежит уточнению по отдельным элементам в соответствии с нормативным документом на конкретный продукт.
В случае превышения норматива контроля необходимо заново построить градуировочный график и повторить измерения.
(справочное)
МЕТОД ОЦЕНКИ ПРЕДЕЛА ОБНАРУЖЕНИЯ Cpro
Вводят в распылитель контрольный раствор в течение примерно 60 с. Снимают показание значения интенсивности сигнала при заранее выбранном времени интегрирования 5 - 15 с. Для оценки вариабельности съемку показаний повторяют 10 раз, используя каждый раз вновь приготовленный градуировочный контрольный раствор. Вводят раствор 1 концентрацией C1, соответствующей примерно 10·Cpro, где Cpro - предел обнаружения (мг/дм3), и снимают 10 показаний значения интенсивности сигнала с тем же временем интегрирования, используя каждый раз вновь приготовленный раствор.
По данным, полученным для контрольного раствора и раствора 1, вычисляют значения средних интенсивностей
J1 соответственно, а также стандартное отклонение интенсивности сигнала для контрольного раствора

.
Рассчитывают предел обнаружения Cpro для каждого элемента по следующей формуле:

, (В.1)
где

<*> - стандартное отклонение интенсивности сигнала для градуировочного контрольного раствора;
--------------------------------
<*> В Российской Федерации действует
ГОСТ Р ИСО 5725-6-2002 "Точность (правильность и прецизионность) методов и результатов измерений. Часть 6. Использование значений точности на практике".
C1 - концентрация раствора 1, мг/дм3;
J1 - среднее значение интенсивностей сигналов раствора 1;
Jx - среднее значение градуировочного контрольного раствора.
УДК 543.421.1:006.354 | |
Ключевые слова: особо чистые вещества, определение, примеси химических элементов, жидкофазные вещества, методы, атомно-эмиссионная спектрометрия |