Главная // Актуальные документы // ГОСТ (Государственный стандарт)СПРАВКА
Источник публикации
М.: ФГБУ "РСТ", 2022
Примечание к документу
Текст данного документа приведен с учетом
поправки, опубликованной в "ИУС", N 6, 2023.
Документ
введен в действие с 16.01.2023.
Название документа
"ГОСТ 34837-2022. Межгосударственный стандарт. Смеси молочные адаптированные для детского питания. Определение содержания калия, натрия, кальция, магния и марганца методом атомно-абсорбционной спектрометрии"
(введен в действие Приказом Росстандарта от 19.10.2022 N 1154-ст)
"ГОСТ 34837-2022. Межгосударственный стандарт. Смеси молочные адаптированные для детского питания. Определение содержания калия, натрия, кальция, магния и марганца методом атомно-абсорбционной спектрометрии"
(введен в действие Приказом Росстандарта от 19.10.2022 N 1154-ст)
агентства по техническому
регулированию и метрологии
от 19 октября 2022 г. N 1154-ст
МЕЖГОСУДАРСТВЕННЫЙ СТАНДАРТ
СМЕСИ МОЛОЧНЫЕ АДАПТИРОВАННЫЕ ДЛЯ ДЕТСКОГО ПИТАНИЯ
ОПРЕДЕЛЕНИЕ СОДЕРЖАНИЯ КАЛИЯ, НАТРИЯ, КАЛЬЦИЯ, МАГНИЯ
И МАРГАНЦА МЕТОДОМ АТОМНО-АБСОРБЦИОННОЙ СПЕКТРОМЕТРИИ
Adapted dairy products for baby food.
Determination of sodium, potassium, calcium, magnesium
and manganese by atomic absorption spectrometry
ГОСТ 34837-2022
Дата введения
16 января 2023 года
Цели, основные принципы и общие правила проведения работ по межгосударственной стандартизации установлены
ГОСТ 1.0 "Межгосударственная система стандартизации. Основные положения" и
ГОСТ 1.2 "Межгосударственная система стандартизации. Стандарты межгосударственные, правила и рекомендации по межгосударственной стандартизации. Правила разработки, принятия, обновления и отмены"
1 РАЗРАБОТАН Федеральным государственным бюджетным учреждением науки "Федеральный исследовательский центр питания, биотехнологии и безопасности пищи" (ФГБУН "ФИЦ питания и биотехнологии")
2 ВНЕСЕН Федеральным агентством по техническому регулированию и метрологии (Росстандарт)
3 ПРИНЯТ Межгосударственным советом по стандартизации, метрологии и сертификации (протокол от 29 апреля 2022 г. N 150-П)
За принятие проголосовали:
Краткое наименование страны по МК (ИСО 3166) 004-97 | Код страны по МК (ИСО 3166) 004-97 | Сокращенное наименование национального органа по стандартизации |
Армения | AM | ЗАО "Национальный орган по стандартизации и метрологии" Республики Армения |
Беларусь | BY | Госстандарт Республики Беларусь |
Казахстан | KZ | Госстандарт Республики Казахстан |
Киргизия | KG | Кыргызстандарт |
Россия | RU | Росстандарт |
Таджикистан | TJ | Таджикстандарт |
Узбекистан | UZ | Узстандарт |
4
Приказом Федерального агентства по техническому регулированию и метрологии от 19 октября 2022 г. N 1154-ст межгосударственный стандарт ГОСТ 34837-2022 введен в действие в качестве национального стандарта Российской Федерации с 16 января 2023 г.
5 ВВЕДЕН ВПЕРВЫЕ
Информация о введении в действие (прекращении действия) настоящего стандарта и изменений к нему на территории указанных выше государств публикуется в указателях национальных стандартов, издаваемых в этих государствах, а также в сети Интернет на сайтах соответствующих национальных органов по стандартизации.
В случае пересмотра, изменения или отмены настоящего стандарта соответствующая информация будет опубликована на официальном интернет-сайте Межгосударственного совета по стандартизации, метрологии и сертификации в каталоге "Межгосударственные стандарты"
Настоящий стандарт распространяется на адаптированные молочные смеси для детского питания и устанавливает метод определения (измерения) массовых долей натрия, калия, кальция, магния и марганца с помощью метода атомно-абсорбционной спектрометрии с атомизацией в пламени воздух-ацетилен.
В настоящем стандарте использованы нормативные ссылки на следующие межгосударственные стандарты:
ГОСТ 8.315-97 Государственная система обеспечения единства измерений. Стандартные образцы состава и свойств веществ и материалов. Основные положения
ГОСТ 12.1.004 Система стандартов безопасности труда. Пожарная безопасность. Общие требования
ГОСТ 12.1.005 Система стандартов безопасности труда. Общие санитарно-гигиенические требования к воздуху рабочей зоны
ГОСТ 12.1.007 Система стандартов безопасности труда. Вредные вещества. Классификация и общие требования безопасности
ГОСТ 12.1.018 Система стандартов безопасности труда. Пожаровзрывобезопасность статического электричества. Общие требования
ГОСТ 12.1.019 Система стандартов безопасности труда. Электробезопасность. Общие требования и номенклатура видов защиты
ГОСТ 12.4.009 Система стандартов безопасности труда. Пожарная техника для защиты объектов. Основные виды. Размещение и обслуживание
ГОСТ 1770 (ИСО 1042-83, ИСО 4788-80) Посуда мерная лабораторная стеклянная. Цилиндры, мензурки, колбы, пробирки. Общие технические условия
ГОСТ 3118 Реактивы. Кислота соляная. Технические условия
ГОСТ 5457 Ацетилен растворенный и газообразный технический. Технические условия
ГОСТ 9147 Посуда и оборудование лабораторные фарфоровые. Технические условия
ГОСТ 11125 Кислота азотная особой чистоты. Технические условия
ГОСТ 14261 Кислота соляная особой чистоты. Технические условия
ГОСТ 14919 Электроплиты, электроплитки и жарочные электрошкафы бытовые. Общие технические условия
ГОСТ 17433 Промышленная чистота. Сжатый воздух. Классы загрязненности
ГОСТ 18300 Спирт этиловый ректификованный технический. Технические условия
<*>
--------------------------------
<*> В РФ действует
ГОСТ Р 55878-2013 "Спирт этиловый технический гидролизный ректификованный. Технические условия".
ГОСТ 19908 Тигли, чаши, стаканы, колбы, воронки, пробирки и наконечники из прозрачного кварцевого стекла. Общие технические условия
ГОСТ 25336 Посуда и оборудование лабораторные стеклянные. Типы, основные параметры и размеры
ГОСТ 26809.1 Молоко и молочная продукция. Правила приемки, методы отбора и подготовка проб к анализу. Часть 1. Молоко, молочные, молочные составные и молокосодержащие продукты
ГОСТ 26929 Сырье и продукты пищевые. Подготовка проб. Минерализация для определения содержания токсичных элементов
ГОСТ 28311 Дозаторы медицинские лабораторные. Общие технические требования и методы испытаний
ГОСТ 29169 (ИСО 648-77) Посуда лабораторная стеклянная. Пипетки с одной отметкой
ГОСТ 29227 (ИСО 835-1-81) Посуда лабораторная стеклянная. Пипетки градуированные. Часть 1. Общие требования
ГОСТ 31671 (EN 13805:2002) Продукты пищевые. Определение следовых элементов. Подготовка проб методом минерализации при повышенном давлении
ГОСТ EN 15505 Продукты пищевые. Определение следовых элементов. Определение натрия и магния с помощью пламенной атомно-абсорбционной спектрометрии с предварительной минерализацией пробы в микроволновой печи
ГОСТ ISO 3696 Вода для лабораторного анализа. Технические требования и методы контроля
<**>
--------------------------------
<**> В Российской Федерации действует
ГОСТ Р 52501-2005 (ИСО 3696:1987) "Вода для лабораторного анализа. Технические условия".
ГОСТ ИСО 5725-1
<***> Точность (правильность и прецизионность) методов и результатов измерений. Часть 1. Основные положения и определения
ГОСТ ИСО 5725-2
<***> Точность (правильность и прецизионность) методов и результатов измерений. Часть 2. Основной метод определения повторяемости и воспроизводимости стандартного метода измерений
ГОСТ ИСО 5725-3
<***> Точность (правильность и прецизионность) методов и результатов измерений. Часть 3. Промежуточные показатели прецизионности стандартного метода измерений
ГОСТ ИСО 5725-4
<***> Точность (правильность и прецизионность) методов и результатов измерений. Часть 4. Основные методы определения правильности стандартного метода измерений
ГОСТ ИСО 5725-5
<***> Точность (правильность и прецизионность) методов и результатов измерений. Часть 5. Альтернативные методы определения прецизионности стандартного метода измерений
ГОСТ ИСО 5725-6
<***> Точность (правильность и прецизионность) методов и результатов измерений. Часть 6. Использование значений точности на практике
--------------------------------
ГОСТ ISO 8070/IDF 119 Молоко и молочные продукты. Определение кальция, натрия, калия и магния. Спектрометрический метод атомной абсорбции
ГОСТ OIML R 76-1 Государственная система обеспечения единства измерений. Весы неавтоматического действия. Часть 1. Метрологические и технические требования. Испытания
Примечание - При пользовании настоящим стандартом целесообразно проверить действие ссылочных стандартов в информационной системе общего пользования - на официальном сайте Федерального агентства по техническому регулированию и метрологии в сети Интернет или по ежегодному информационному указателю "Национальные стандарты", который опубликован по состоянию на 1 января текущего года, и по выпускам ежемесячного информационного указателя "Национальные стандарты" за текущий год. Если заменен ссылочный стандарт, на который дана недатированная ссылка, то рекомендуется использовать версию этого стандарта с учетом всех внесенных в данную версию изменений. Если заменен ссылочный стандарт, на который дана датированная ссылка, то рекомендуется использовать версию этого стандарта с указанным выше годом утверждения (принятия). Если после утверждения настоящего стандарта в ссылочный стандарт, на который дана датированная ссылка, внесено изменение, затрагивающее положение, на которое дана ссылка, то это положение рекомендуется применять без учета данного изменения. Если ссылочный стандарт отменен без замены, то положение, в котором дана ссылка на него, рекомендуется применять в части, не затрагивающей эту ссылку.
В настоящем стандарте применены термины по
[2] и нормативным документам, действующим на территории государства, принявшего стандарт
<*>, а также следующие термины с соответствующими определениями:
3.1
адаптированные молочные смеси: Пищевая продукция для детского питания для детей раннего возраста, произведенная в жидкой или порошкообразной форме на основе коровьего молока или молока других продуктивных животных и максимально приближенная по химическому составу к женскому молоку в целях удовлетворения физиологических потребностей детей первого года жизни в необходимых веществах и энергии
<*>.
--------------------------------
<*> В Российской Федерации действует
ГОСТ Р 57573-2017 "Продукция пищевая специализированная. Продукция пищевая для детского питания. Термины и определения".
Метод основан на предварительной минерализации пробы продукта методом сухого озоления при температуре 450 °C, растворении золы в азотной или соляной кислоте и определении элементов в полученном растворе методом атомно-абсорбционной спектрометрии. Также возможна подготовка пробы по
ГОСТ 31671.
5 Требования безопасности
5.1 При подготовке и проведении измерений необходимо соблюдать требования техники безопасности при работе с химическими реактивами по
ГОСТ 12.1.007.
5.2 Помещения, в которых проводят измерения, должны быть снабжены приточно-вытяжной вентиляцией. Работу необходимо проводить, соблюдая правила личной гигиены и противопожарной безопасности в соответствии с требованиями
ГОСТ 12.1.004,
ГОСТ 12.1.018 и иметь средства пожаротушения по
ГОСТ 12.4.009.
5.3 При работе с электроприборами необходимо соблюдать требования безопасности по
ГОСТ 12.1.019.
5.4 Содержание вредных веществ в воздухе не должно превышать допустимых значений по
ГОСТ 12.1.005.
5.5 При работе с газовыми баллонами (ацетилен) необходимо соблюдать требования
[1].
6 Средства измерений, вспомогательное оборудование, реактивы и материалы
6.1 Средства измерений
Весы неавтоматического действия по
ГОСТ OIML R 76-1 специального класса точности с наибольшим пределом взвешивания 210 г и поверочным интервалом весов +/- 0,001 г.
Спектрометр атомно-абсорбционный, укомплектованный горелкой для пламени воздух-ацетилен, корректором фонового поглощения и источниками резонансного излучения (лампами с полым катодом) с рабочим диапазоном длин волн от 190 до 900 нм.
Дозаторы пипеточные переменной вместимости дозирования 0,200 - 5,0 см
3 с метрологическими характеристиками по
ГОСТ 28311.
Пипетки с одной отметкой 1-2-2, 2-2-5, 2-2-10, 2-2-20, 2-2-25 по
ГОСТ 29169.
6.2 Вспомогательное оборудование и посуда
Электропечь сопротивления камерная лабораторная, обеспечивающая поддержание заданного температурного режима 150 - 500 °C, при отклонениях температуры от номинального значения, не превышающих +/- 25 °C.
Печь микроволновая лабораторная (при подготовке пробы по
ГОСТ 31671).
Воздух сжатый класса "0". Допускается использовать компрессоры любого типа, обеспечивающие необходимое давление и чистоту воздуха по
ГОСТ 17433.
Колбы мерные 2-50 (100, 250, 500, 1000)-2 с одной меткой по
ГОСТ 1770.
Тигли, чаши, стаканы, колбы, воронки, пробирки по
ГОСТ 19908.
6.3 Реактивы и материалы
Государственные стандартные образцы (ГСО) или межгосударственные стандартные образцы (МСО) состава водных растворов катионов калия, кальция, магния, марганца, натрия с аттестованным значением массовой концентрации 1 мг/см
3 и допускаемой относительной погрешностью +/- 1% при доверительной вероятности
P = 0,95 по
ГОСТ 8.315.
Стронций хлористый 6-водный SrCl2·6H2O ОСЧ 9-3 по нормативным документам, действующим на территории государства, принявшего стандарт.
Вода второй степени чистоты по ГОСТ ISO 3696.
Примечание - Допускается использование других средств измерений с метрологическими характеристиками, вспомогательного оборудования с техническими характеристиками, не уступающими вышеуказанным, а также реактивов и материалов по качеству не ниже вышеуказанных.
6.4 Подготовка посуды и реактивов
Всю используемую для отбора, хранения и измерения проб посуду промывают азотной кислотой, разбавленной водой по ГОСТ ISO 3696 в соотношении 1:1, затем большим количеством водопроводной воды и в заключении ополаскивают три-четыре раза водой второй степени чистоты по ГОСТ ISO 3696.
7 Отбор и подготовка проб
7.1 Отбор проб
Отбор и подготовка проб - по
ГОСТ 26809.1 и в соответствии с нормативными документами
[2],
[3].
Масса навески из средней пробы адаптированных молочных смесей для детского питания для определения натрия, калия, кальция и магния составляет для сухих образцов 2,0 г, для жидких образцов - 10,0 г. Масса навески из средней пробы для определения марганца - 5,0 г (для сухих образцов) и 20,0 г (для жидких образцов).
7.2 Подготовка проб для анализа
Из объединенной лабораторной пробы для испытания отбирают две параллельные навески. В чашки с пробами добавляют этиловый спирт по
ГОСТ 18300 из расчета 5 см
3 на 1 г сухого вещества, выдерживают 24 ч на химическом столе, выпаривают досуха в сушильном шкафу при температуре 110 °C. Минерализацию проб проводят методом сухого озоления в муфельной печи при температуре 450 °C [чашки с высушенными пробами помещают в холодную электропечь, озоление проб проводят, постепенно повышая температуру (3° - 4° в минуту)]. Минерализацию считают законченной, когда зола станет белого или слегка окрашенного цвета, без обугленных частиц. При наличии обугленных частиц повторяют обработку водой второй степени чистоты по ГОСТ ISO 3696, выдерживают 1 - 2 ч, выпаривают досуха в сушильном шкафу и проводят озоление в муфельной печи.
8 Условия и подготовка к проведению измерений
8.1 Условия проведения измерений
При подготовке к проведению измерений соблюдают следующие условия:
- температура окружающего воздуха (20 +/- 5) °C;
- относительная влажность не более 80%.
Выполнение измерений на атомно-абсорбционных спектрометрах проводят в условиях, рекомендованных технической документацией к прибору.
В помещениях, предназначенных для проведения измерений, не допускается загрязненность воздуха рабочей зоны пылью, агрессивными веществами, вибрация, электромагнитные помехи или другие факторы, влияющие на оптические измерения.
8.2 Подготовка к проведению измерений
8.2.1 Подготовка атомно-абсорбционного спектрометра к работе
Подготовку прибора к работе, его включение и выведение на рабочий режим осуществляют по прилагаемым к спектрометру техническим инструкциям. Используются наиболее чувствительные линии поглощения элементов со следующими длинами волн: для натрия - 589,0 нм; для калия - 766,5 нм; для кальция - 422,7 нм; для магния - 285,2 нм; для марганца - 279,5 нм.
8.2.2 Приготовление стандартных растворов
Приготовление рабочих (стандартных) растворов элементов проводят согласно инструкции, изложенной в паспорте на стандартный образец, используя для разбавления водные растворы азотной или соляной кислоты с массовой долей 1%. Массовая концентрация ионов натрия, калия, кальция, магния и марганца в ГСО составляет 1 мг/см3.
Стандарты с концентрацией, равной 100 мкг/см
3, хранят в течение 1 мес в мерных колбах с притертой пробкой по
ГОСТ 1770.
Содержание элементов в испытуемых и стандартных растворах не должно выходить за пределы следующих рабочих диапазонов: для натрия - 1 - 5 мкг/см3 (при использовании атомно-абсорбционной функции спектрометра) и 1 - 10 мкг/см3 [эмиссионная (пламенно-фотометрическая) функция спектрометра, если прибор обладает такой функцией], для калия - 1 - 10 мкг/см3 [при использовании атомно-абсорбционной функции спектрометра и эмиссионной (пламенно-фотометрической) функции спектрометра, если прибор обладает такой функцией], для кальция - 1 - 10 мкг/см3, для магния - 1 - 2 мкг/см3, для марганца - 0,1 - 2 мкг/см3.
В рабочих диапазонах достаточно иметь два-три раствора сравнения. Растворы концентрацией металлов от 1 до 10 мкг/см3 и концентрацией менее 1 мкг/см3 готовят в день использования.
8.2.3 Нулевой стандарт
В качестве нулевого стандарта применяют раствор азотной или соляной кислоты с массовой долей 1%, используемый для растворения проб и разбавления стандартных растворов сравнения в данной серии испытаний.
8.2.4 Приготовления раствора стронция хлористого
Приготовление раствора стронция хлористого 6-водного с массовой долей 5%: 38,0 г SrCl2·6H2O, взвешенного с погрешностью не более 0,1 г, растворяют в дистиллированной воде в цилиндре до объема 250 см3. Приготовленный раствор тщательно перемешивают. Раствор хранят в склянке с притертой пробкой не более 3 мес.
8.2.5 Приготовление испытуемого раствора
Золу растворяют в чашке при нагревании в азотной (1:1) или соляной кислоте (1:1) по объему 20 см3. Раствор выпаривают до влажных солей. Осадок растворяют в 15 - 20 см3 азотной или соляной кислоты массовой долей 1%, количественно переносят в мерную колбу вместимостью 25 см3 и доводят до метки той же кислотой.
8.2.6 Приготовление контрольного раствора
Контрольные чашки (стаканы, колбы), полученные вместе с минерализатами проб, проводят через все стадии приготовления испытуемых растворов с добавлением тех же количеств реактивов. Полученный в холостом опыте раствор анализируют в той же серии измерений, что и растворы проб.
8.2.7 Приготовление градуировочных растворов
Приготовление градуировочных растворов проводят из рабочих (стандартных) растворов элементов, используя для разбавления водные растворы азотной или соляной кислоты с массовой долей 1%. Первый стандарт из ГСО с концентрацией, равной 100 мкг/см3, после приготовления оставляют на 24 ч (раствор хранят в мерной колбе с притертой пробкой не более 1 мес), затем готовят серии стандартов для каждого элемента в количестве двух-трех в следующих диапазонах: для натрия - 1 - 10 мкг/см3, для калия - 1 - 10 мкг/см3, для кальция - 1 - 10 мкг/см3, для магния - 1 - 2 мкг/см3, для марганца - 0,1 - 2 мкг/см3 (растворы готовят в день использования).
8.2.8 Разбавление испытуемых растворов
Если содержание элемента в испытуемом растворе при измерениях оказывается выше верхнего предела диапазона рабочих содержаний
(8.2.2), то проводят разбавление испытуемого раствора нулевым стандартом. Коэффициент разбавления выбирают таким образом, чтобы содержание элемента в разбавленном растворе находилось в середине рабочего диапазона (для натрия - 1 - 10 мкг/см
3, для калия - 1 - 10 мкг/см
3, для кальция - 1 - 10 мкг/см
3, для магния - 1 - 2 мкг/см
3, для марганца - 0,1 - 2 мкг/см
3). Коэффициент разбавления
K >= 1 вычисляют по формуле:
K = Y2/Y1, (1)
где Y1 - объем аликвоты, взятый для разбавления, см3;
Y2 - объем разбавленного раствора, см3.
Коэффициент разбавления для натрия, калия, кальция и магния не должен превышать 100 ед.
9.1 Построение градуировочного графика
Распыляя в пламя нулевой стандарт, устанавливают показания прибора на ноль, затем в порядке возрастания концентрации измеряют абсорбцию стандартных растворов сравнения. В конце градуировки отмечают положение нулевой линии при распылении нулевого стандарта.
9.2 Особенности определения кальция
При определении кальция в качестве корректора межэлементных влияний применяют стронций (допускается применение и других корректоров, например лантана (
ГОСТ EN 15505, ГОСТ ISO 8070/IDF 119). Раствор стронция
(8.2.4) в виде хлорида вводят в испытуемые растворы, эталоны сравнения и бланковый раствор до конечной концентрации стронция 0,5% (в расчете на металл).
10 Обработка и оформление результатов
10.1 При наличии в приборе компьютерной системы расчета концентрации по значению абсорбции используют рекомендованные в технической инструкции прибора компьютерные программы. При ручной обработке данных строят график зависимости абсорбции от концентрации. По графику определяют концентрацию элемента в испытуемых и контрольных растворах. В расчетах используют средние арифметические значения параллельных измерений.
10.2 Содержание элемента в пробе X, мг/кг, вычисляют по формуле:

(2)
где Cx - массовая концентрация элемента в испытуемом растворе, мкг/см3;

- среднее арифметическое значение массовой концентрации элемента для параллельных контрольных растворов, мкг/см
3;
Y - исходный объем испытуемого раствора, см3;
K - коэффициент разбавления;
P - навеска пробы, г.
10.3 За окончательный результат испытания принимают среднее арифметическое значение

, округленное до второго десятичного знака.
Результат определения содержания элементов представляют в следующем виде:

;
P = 95%, (3)
где

- среднее арифметическое значение результатов двух параллельных определений, мг/кг;

- значение границы абсолютной погрешности определений, мг/кг, вычисляемое по формуле:

(4)
где

- относительная погрешность;

- среднее арифметическое значение.
11 Метрологические характеристики и контроль точности
11.1 Метрологические характеристики
При соблюдении всех регламентируемых условий проведения измерения в точном соответствии с данной методикой погрешность (и ее составляющие) результатов измерения при доверительной вероятности
P = 0,95 не превышает значений, приведенных в
таблице 1 для соответствующих диапазонов концентраций (согласно ГОСТ ИСО 5725-1, ГОСТ ИСО 5725-2, ГОСТ ИСО 5725-3, ГОСТ ИСО 5725-4, ГОСТ ИСО 5725-5, ГОСТ ИСО 5725-6).
В
таблице 1 представлены основные метрологические характеристики методики определения металлов методом атомно-абсорбционной спектроскопии.
Определяемый элемент | Содержание элемента в адаптированных молочных смесях для детского питания, мг/кг |  , +/- % (P = 0,95) | r, % (P = 0,95) |  , % | R, % (P = 0,95) |  , % |
Натрий | 100 | 35 | 22 | 8 | 50 | 18 |
1000 | 20 | 20 | 7 | 28 | 10 |
3000 | 16 | 17 | 6 | 22 | 8 |
Калий | 500 | 27 | 20 | 7 | 39 | 14 |
1000 | 25 | 14 | 5 | 36 | 13 |
8000 | 18 | 8 | 3 | 25 | 9 |
Кальций | 500 | 24 | 25 | 9 | 34 | 12 |
1000 | 18 | 17 | 6 | 25 | 9 |
7000 | 16 | 11 | 4 | 22 | 8 |
Магний | 100 | 24 | 25 | 9 | 34 | 12 |
1000 | 20 | 22 | 8 | 28 | 10 |
Марганец | 0,1 | 43 | 55 | 20 | 61 | 22 |
1,0 | 29 | 22 | 8 | 42 | 15 |
3,0 | 24 | 11 | 4 | 34 | 12 |
Примечания 1  - показатель точности (границы относительной погрешности), P = 0,95, +/- %; r - предел повторяемости (значение допустимого расхождения между двумя результатами параллельных определений), %, P = 0,95;  - показатель повторяемости (среднеквадратичное отклонение повторяемости), %; R - предел воспроизводимости (значение допустимого расхождения между двумя результатами измерений, полученных в разных лабораториях), % (P = 0,95);  - показатель воспроизводимости (среднеквадратичное отклонение воспроизводимости), %. 2 В интервалах между указанными в настоящей таблице уровнями допускается линейная интерполяция показателей повторяемости и воспроизводимости. 3 Показатели воспроизводимости взяты из унифицированного метода "Атомно-абсорбционный метод определения содержания натрия, калия, кальция, магния, железа, марганца, меди, цинка, свинца, кадмия, кобальта, никеля и хрома". Методика унифицировалась и аттестовывалась в пятилетнем межлабораторном эксперименте с участием 13 лабораторий более чем на 30 видах специально подобранных и подготовленных пищевых продуктов, в том числе адаптированных молочных смесей. Благодаря наличию метрологических характеристик руководство представляет собой основу для создания стандартов на методы контроля качества пищевых продуктов, отличающиеся только деталями подготовки проб, способов расчета [4]. |
11.2 Проверка приемлемости результатов параллельных определений
Проверку приемлемости результатов измерений, полученных в условиях повторяемости (сходимости), осуществляют в соответствии с требованиями ГОСТ ИСО 5725-6-2003 (подраздел 5.2). Расхождение между результатами измерений не должно превышать предела повторяемости (
r) (см.
таблицу 1).
Проверку приемлемости результатов измерений, полученных в условиях воспроизводимости, проводят с учетом требований ГОСТ ИСО 5725-6-2003 (подраздел 5.3). Расхождение между результатами измерений, полученными двумя лабораториями, не должно превышать предела воспроизводимости (
R) (см.
таблицу 1).
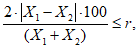
За результат измерений принимают среднее арифметическое результатов двух параллельных определений, расхождение между которыми не превышает предела повторяемости:

(5)
где X1, X2 - результаты параллельных определений, мг/кг;
r - значение предела повторяемости
(таблица 1), при этом

.
При невыполнении
условия (6) выясняют причины превышения предела повторяемости, устраняют их и повторно выполняют измерения.
Расхождение между результатами двух измерений, выполненных в двух разных лабораториях, не должно превышать предела воспроизводимости.

(6)
где X1, X2 - результаты двух измерений, выполненных в разных лабораториях, мг/кг;
R - значение предела воспроизводимости (см.
таблицу 1), при этом

.
| Технический регламент Таможенного союза | О безопасности оборудования, работающего под избыточным давлением. Утвержден Решением Совета Евразийской экономической комиссии от 2 июля 2013 г. N 41 |
| Технический регламент Таможенного союза | О безопасности молока и молочной продукции. Утвержден Решением Совета Евразийской экономической комиссии от 09.10.2013 г. N 67 |
| Технический регламент Таможенного союза | О безопасности пищевой продукции. Утвержден Решением Комиссии Таможенного союза от 09.12.2011 г. N 880 |
| Руководство по методам анализа качества и безопасности пищевых продуктов//Под ред. И.М. Скурихина, В.А. Тутельяна. - М.: Брандес, Медицина, 1998. - 342 с. |
УДК 613.221:543.421:006.354 | |
Ключевые слова: адаптированные молочные смеси для детского питания, калий, натрий, кальций, магний, марганец, атомно-абсорбционная спектрометрия, повторяемость, воспроизводимость |