Главная // Актуальные документы // ГОСТ Р (Государственный стандарт)СПРАВКА
Источник публикации
М.: Стандартинформ, 2016
Примечание к документу
Документ
введен в действие с 01.01.2017.
Взамен ГОСТ Р 52021-2003 (ИСО 11376-97, ИСО 13561-96).
Название документа
"ГОСТ Р 52021-2015. Национальный стандарт Российской Федерации. Смолы и соединения эпоксидные. Методы определения массовой доли хлора"
(утв. и введен в действие Приказом Росстандарта от 24.11.2015 N 1953-ст)
"ГОСТ Р 52021-2015. Национальный стандарт Российской Федерации. Смолы и соединения эпоксидные. Методы определения массовой доли хлора"
(утв. и введен в действие Приказом Росстандарта от 24.11.2015 N 1953-ст)
Утвержден и введен в действие
агентства по техническому
регулированию и метрологии
от 24 ноября 2015 г. N 1953-ст
НАЦИОНАЛЬНЫЙ СТАНДАРТ РОССИЙСКОЙ ФЕДЕРАЦИИ
СМОЛЫ И СОЕДИНЕНИЯ ЭПОКСИДНЫЕ
МЕТОДЫ ОПРЕДЕЛЕНИЯ МАССОВОЙ ДОЛИ ХЛОРА
Epoxy resins and related materials.
Methods for determination of chlorine mass fraction
ISO 21627-1:2009
Plastics - Epoxy resins - Determination of chlorine
content - Part 1: Inorganic chlorine
(MOD)
ISO 21627-2:2009
Plastics - Epoxy resins - Determination of chlorine
content - Part 2: Easily saponifiable chlorine
(MOD)
ISO 21627-3:2009
Plastics - Epoxy resins - Determination of chlorine
content - Part 3: Total chlorine
(MOD)
ГОСТ Р 52021-2015
Дата введения
1 января 2017 года
1 ПОДГОТОВЛЕН Федеральным государственным унитарным предприятием "Всероссийский научно-исследовательский институт стандартизации материалов и технологий" (ФГУП "ВНИИ СМТ") совместно с Открытым акционерным обществом "НПО Стеклопластик", Автономной некоммерческой организацией "Центр нормирования, стандартизации и классификации композитов" и Открытым акционерным обществом "Институт пластмасс имени Г.С. Петрова" при участии Объединения юридических лиц "Союз производителей композитов" на основе аутентичного перевода на русский язык указанного в
пункте 4 стандарта, который выполнен ФГУП "СТАНДАРТИНФОРМ"
2 ВНЕСЕН Техническим комитетом по стандартизации ТК 230 "Пластмассы, полимерные материалы, методы их испытаний"
3 УТВЕРЖДЕН И ВВЕДЕН В ДЕЙСТВИЕ
Приказом Федерального агентства по техническому регулированию и метрологии от 24 ноября 2015 г. N 1953-ст
4 Настоящий стандарт является модифицированным по отношению к следующим международным стандартам:
ИСО 21627-1:2009 "Пластмассы. Эпоксидные смолы. Определение содержания хлора. Часть 1. Неорганический хлор" (ISO 21627-1:2009 "Plastics - Epoxy resins - Determination of chlorine content - Part 1: Inorganic chlorine");
ИСО 21627-2:2009 "Пластмассы. Эпоксидные смолы. Определение содержания хлора. Часть 2. Легкоомыляемый хлор" (ISO 21627-2:2009 "Plastics - Epoxy resins - Determination of chlorine content - Part 2: Easily saponifiable chlorine");
ИСО 21627-3:2009 "Пластмассы. Эпоксидные смолы. Определение содержания хлора. Часть 3. Общий хлор" (ISO 21627-3:2009 "Plastics - Epoxy resins - Determination of chlorine content - Part 3: Total chlorine").
Наименование настоящего стандарта изменено относительно наименований указанных международных стандартов для приведения в соответствие с ГОСТ 1.5-2001
(подраздел 3.6).
В стандарт добавлены общие требования по проведению испытаний
(раздел 4), а также метод определения массовой доли неорганического хлора и омыляемого хлора
(раздел 8), применяемый в Российской Федерации для контроля качества эпоксидных смол и эпоксидных соединений.
Дополнительные фразы, слова и нормативные ссылки, включенные в текст
разделов 1 -
7 настоящего стандарта, выделены курсивом
5 ВЗАМЕН ГОСТ Р 52021-2003 (ИСО 11376-97, ИСО 13561-96)
Правила применения настоящего стандарта установлены в ГОСТ Р 1.0-2012 (раздел 8). Информация об изменениях к настоящему стандарту публикуется в ежегодном (по состоянию на 1 января текущего года) информационном указателе "Национальные стандарты", а официальный текст изменений и поправок - в ежемесячном информационном указателе "Национальные стандарты". В случае пересмотра (замены) или отмены настоящего стандарта соответствующее уведомление будет опубликовано в ближайшем выпуске ежемесячного информационного указателя "Национальные стандарты". Соответствующая информация, уведомление и тексты размещаются также в информационной системе общего пользования - на официальном сайте Федерального агентства по техническому регулированию и метрологии в сети Интернет (www.gost.ru)
Настоящий стандарт распространяется на эпоксидные смолы и эпоксидные соединения и устанавливает методы определения содержания неорганического хлора (иона хлора), легкоомыляемого хлора и общего хлора, а также массовой доли неорганического хлора (иона хлора) и омыляемого хлора.
В настоящем стандарте использованы нормативные ссылки на следующие стандарты:
ГОСТ 61-75 Реактивы. Кислота уксусная. Технические условия
ГОСТ 1277-75 Реактивы. Серебро азотнокислое. Технические условия
ГОСТ 1770-74 (ИСО 1042-83, ИСО 4788-80) Посуда мерная лабораторная стеклянная. Цилиндры, мензурки, колбы, пробирки. Общие технические условия
ГОСТ 4233-77 Реактивы. Натрий хлористый. Технические условия
ГОСТ 4328-77 Реактивы. Натрия гидроокись. Технические условия
ГОСТ 4459-75 Реактивы. Калий хромовокислый. Технические условия
ГОСТ 4517-87 Реактивы. Методы приготовления вспомогательных реактивов и растворов, применяемых при анализе
ГОСТ 5009-82 Шкурка шлифовальная тканевая. Технические условия
ГОСТ 7221-2014 Полосы из золота, серебра и сплавов на их основе. Технические условия
ГОСТ 7222-2014 Проволока из золота, серебра и сплавов на их основе. Технические условия
ГОСТ 9147-80 Посуда и оборудование лабораторные фарфоровые. Технические условия
ГОСТ 25336-82 Посуда и оборудование лабораторные стеклянные. Типы, основные параметры и размеры
ГОСТ 25794.1-83 Реактивы. Методы приготовления титрованных растворов для кислотно-основного титрования
ГОСТ 25794.3-83 Реактивы. Методы приготовления титрованных растворов для титрования осаждением, неводного титрования и других методов
ГОСТ 29169-91 (ИСО 648-77) Посуда лабораторная стеклянная. Пипетки с одной отметкой
ГОСТ 29251-91 (ИСО 385-1-84) Посуда лабораторная стеклянная. Бюретки. Часть 1. Общие требования
Примечание - При пользовании настоящим стандартом целесообразно проверить действие ссылочных стандартов в информационной системе общего пользования - на официальном сайте Федерального агентства по техническому регулированию и метрологии в сети Интернет или по ежегодному информационному указателю "Национальные стандарты", который опубликован по состоянию на 1 января текущего года, и по выпускам ежемесячного информационного указателя "Национальные стандарты" за текущий год. Если заменен ссылочный стандарт, на который дана недатированная ссылка, то рекомендуется использовать действующую версию этого стандарта с учетом всех внесенных в данную версию изменений. Если заменен ссылочный стандарт, на который дана датированная ссылка, то рекомендуется использовать версию этого стандарта с указанным выше годом утверждения (принятия). Если после утверждения настоящего стандарта в ссылочный стандарт, на который дана датированная ссылка, внесено изменение, затрагивающее положение, на которое дана ссылка, то это положение рекомендуется применять без учета данного изменения. Если ссылочный стандарт отменен без замены, то положение, в котором дана ссылка на него, рекомендуется применять в части, не затрагивающей эту ссылку.
В настоящем стандарте применены следующие термины с соответствующими определениями:
3.1 неорганический хлор: Хлор, присутствующий в эпоксидной смоле или эпоксидном соединении в форме иона хлора Cl-.
3.2
легкоомыляемый хлор: Хлор, присутствующий в эпоксидной смоле
или эпоксидном соединении и определяемый методом, указанным в
разделе 6, и присутствующий в эпоксидной смоле
или эпоксидном соединении преимущественно в форме 1,2-хлоргидрина в результате неполного дегидрогалогенирования.
3.3
общий хлор: Хлор, присутствующий в эпоксидной смоле
или эпоксидном соединении и определяемый методом, указанным в
разделе 7, включающий весь омыляемый органический хлор, например 1,2-хлоргидрин, 1,3-хлоргидрин и 1-хлор-2-глицидициловый эфир, которые образуются в результате неполного дегидрогалогенирования, а также неорганический хлор, присутствующий в эпоксидной смоле
или эпоксидном соединении.
3.4 омыляемый хлор: Хлор, присутствующий в эпоксидной смоле или эпоксидном соединении и определяемый методом, указанным в 8.2, за исключением неорганического хлора, определяемого методом, указанным в 8.1.
| | ИС МЕГАНОРМ: примечание. Текст, выделенный в стандарте одиночной вертикальной линией на полях слева (четные страницы) или справа (нечетные страницы) от соответствующего текста, в электронной версии документа выделен одиночной линией справа от соответствующего текста. | |
4.1 Общие указания по проведению испытаний - по ГОСТ 27025. 4.2 Для проведения испытаний используют реактивы квалификации "чистый для анализа" и дистиллированную воду по ГОСТ 6709. 4.3 При применении методов, установленных настоящим стандартом, следует соблюдать инструкции по технике безопасности, утвержденные в установленном порядке. 4.4 Допускается применять другие средства измерений с метрологическими характеристиками и испытательное оборудование с техническими характеристиками не хуже, а также реактивы по качеству не ниже, чем предусмотренные настоящим стандартом. Все используемые средства измерений должны быть включены в Государственный реестр средств измерений и быть поверены в установленном порядке. |
5 Метод определения массовой доли неорганического хлора
Метод заключается в растворении испытуемой пробы и потенциометрическом титровании полученного раствора раствором азотнокислого серебра.
5.2.1 Ацетон
по ГОСТ 2603 или другой растворитель, обеспечивающий полное растворение пробы.
5.2.2 Спирт изопропиловый
абсолютированный по ГОСТ 9805.
5.2.3 Кислота уксусная ледяная
по ГОСТ 61.
5.2.5 Азотнокислое серебро
по ГОСТ 1277, раствор концентрации 0,002 моль/дм
3 в изопропиловом спирте.
Растворяют примерно 17,0000 г азотнокислого серебра в дистиллированной воде и доводят объем раствора до 1 дм
3 (0,1 моль/дм
3). Помещают 20 см
3 полученного водного раствора азотнокислого серебра концентрации 0,1 моль/дм
3 в мерную колбу вместимостью 1 дм
3 и доводят объем раствора до 1 дм
3 изопропиловым спиртом
(5.2.2).
5.2.5.2 Определение точной концентрации
Взвешивают 115,0 - 120,0 мг хлористого натрия
(5.2.4), предварительно прокаленного при температуре от 500 °C до 600 °C, растворяют навеску в воде и доводят объем раствора до 1 дм
3. Пипеткой отбирают 5 см
3 полученного раствора в стакан вместимостью
250 см
3, добавляют 100 см
3 ацетона
(5.2.1), 2 см
3 ледяной уксусной кислоты
(5.2.3) и титруют потенциометрическим методом раствором азотнокислого серебра, приготовленным по
5.2.5.1.
Аналогичным образом проводят контрольный опыт без хлористого натрия.
5.2.5.3 Вычисление концентрации
Концентрацию раствора азотнокислого серебра c1, моль/дм3, вычисляют по формуле, округляя результат до третьего десятичного знака

(1)
где m - масса хлористого натрия, мг;
58,5 - молярная масса хлористого натрия, г/моль;
V - объем раствора азотнокислого серебра, израсходованный на титрование, см3;
V0 - объем раствора азотнокислого серебра, израсходованный в контрольном опыте, см3.
5.2.5.4 Хранение
Раствор азотнокислого серебра хранят в сосуде из темного (коричневого) стекла в темном месте.
5.3 Аппаратура, средства измерений и материалы
5.3.1 Аппаратура для потенциометрического титрования, включающая потенциометр, оснащенный стеклянным
(вспомогательным) и хлорсеребряным
(измерительным) электродами, титровальную установку и бюретку вместимостью 10 см
3 с ценой деления 0,02 см3 по ГОСТ 29251, допускается использовать бюретку вместимостью не менее 25 см3 с погрешностью измерения не более +/- 0,05 см3 по ГОСТ 29251.
5.3.2 Весы лабораторные, обеспечивающие взвешивание в граммах с точностью до четвертого десятичного знака.
5.3.4 Цилиндр мерный вместимостью 100 см
3 по ГОСТ 1770.
5.3.5 Пипетки вместимостью 1, 2, 5 см
3 по ГОСТ 29169.
5.3.6 Мешалка магнитная с перемешивающими стержнями, покрытыми политетрафторэтиленом.
5.3.7 Шкурка шлифовальная зернистостью не более 25 по ГОСТ 5009.
5.4.1 В стакане
(5.3.3) взвешивают пробу массой 10 г.
Результат взвешивания в граммах записывают с точностью до четвертого десятичного знака.
Добавляют в стакан от 50 до 100 см
3 ацетона
(5.2.1) и растворяют испытуемую пробу при температуре окружающей среды, используя
при необходимости магнитную мешалку
(5.3.6).
5.4.2 Добавляют в стакан 2 см
3 дистиллированной воды и 1 см
3 ледяной уксусной кислоты
(5.2.3) и сразу начинают титровать полученный раствор.
5.4.3 Помещают стакан в титровальную установку, электроды
(5.3.1) приблизительно наполовину погружают в раствор. Бюретку наполняют раствором азотнокислого серебра концентрации 0,002 моль/дм
3 (см.
5.2.5) и располагают так, чтобы ее конец был приблизительно на 10 мм выше уровня раствора в стакане или колбе.
Подбирают скорость вращения мешалки, обеспечивающую сильное перемешивание без расплескивания.
Записывают начальные показания бюретки и потенциометра.
5.4.4 Добавляют небольшими порциями раствор азотнокислого серебра и после установления потенциала раствора записывают показания бюретки и потенциометра. В начале титрования при незначительных изменениях потенциала раствор азотнокислого серебра прибавляют приблизительно по 0,1 см3. Когда изменение потенциала превысит 5 мВ на 0,02 см3 титранта, прибавляют азотнокислое серебро приблизительно по 0,02 см3 и менее.
5.4.5 Титрование продолжают до тех пор, пока изменение потенциала будет менее 2 мВ на 0,02 см
3 раствора азотнокислого серебра. Удаляют титруемый раствор, тщательно промывают электроды водой, осушают их хлопковой тканью и слегка полируют до блеска шлифовальной шкуркой
(5.3.7). Между испытаниями электроды хранят погруженными в дистиллированную воду.
5.4.6 Точку эквивалентности определяют по показанию прибора или по графику зависимости между суммарными объемами добавляемого раствора азотнокислого серебра и соответствующими значениями потенциала. За точку эквивалентности принимают точку на графике в середине самой крутой части кривой (точка перегиба). Определяют на кривой с точностью до 0,01 см3 объем раствора азотнокислого серебра, израсходованный до достижения точки эквивалентности.
При испытании выполняют два параллельных определения с двумя навесками пробы.
5.4.7 Аналогичным образом проводят контрольный опыт без испытуемой пробы.
5.5 Обработка результатов
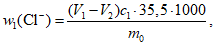
5.5.1 Содержание неорганического хлора (иона хлора) w1(Cl-), мг/кг, вычисляют по формуле

(2)
где
V1 - объем раствора азотнокислого серебра (см.
5.2.5), израсходованный на титрование раствора с испытуемой пробой, см
3;
V2 - объем раствора азотнокислого серебра (см.
5.2.5), израсходованный на титрование раствора в контрольном опыте, см
3;
c1 - концентрация раствора азотнокислого серебра, рассчитанная по
5.2.5.3, моль/дм
3;
35,5 - молярная масса хлора, г/моль;
m0 - масса испытуемой пробы, г.
Результат округляют до первого десятичного знака.
Прецизионность метода была определена при проведении межлабораторных испытаний, в которых приняли участие 10 лабораторий, использовавших три значения концентраций. Данные всех 10 лабораторий содержали выбросы, которые были исключены при расчете стандартного отклонения повторяемости и стандартного отклонения воспроизводимости. Данные о прецизионности метода приведены в таблице 1.
Таблица 1
Прецизионность метода
Содержание неорганического хлора w1(Cl-), мг/кг | Повторяемость sr | Воспроизводимость sR |
Менее 1 | 0,05 | 0,13 |
От 1 до 3 | 0,14 | 0,27 |
От 3 до 5 | 0,25 | 0,55 |
Примечание - В настоящей таблице использованы следующие условные обозначения: sr - стандартное отклонение повторяемости (внутри лаборатории); sR - стандартное отклонение воспроизводимости (между лабораториями). |
Протокол испытания должен содержать:
a) ссылку на настоящий стандарт и используемый метод определения;
b) данные, необходимые для идентификации испытуемого продукта (наименование, сорт, марка, обозначение нормативного документа или технической документации на продукцию, наименование предприятия-изготовителя и страны);
c) использованный растворитель, если он отличается от указанного в
5.2.1;
d) результаты испытания;
e) дату проведения испытания;
f) другую необходимую информацию.
6 Метод определения содержания легкоомыляемого хлора
Метод основан на реакции эпоксидных смол, за исключением глицидиловых эфиров с раствором гидроокиси натрия в 2-бутоксиэтаноле при комнатной температуре. Глицидиловые эфиры вступают в реакцию с раствором гидроокиси натрия в метаноле при температуре 50 °C.
Смесь
затем подкисляют и определяют концентрацию ионов хлора, полученных при омылении, методом потенциометрического титрования раствора раствором азотнокислого серебра. Вводят поправку на содержание ионов хлора в пробе, определенное в соответствии с
разделом 5.
6.2.1 Кислота уксусная ледяная
по ГОСТ 61.
6.2.2 2-Бутоксиэтанол (монобутиловый эфир этиленгликоля)
квалификации х.ч. или ч.д.а., хранят в склянке из темного стекла в темном месте.
6.2.3 2-Бутанон (метилэтилкетон)
квалификации х.ч. или ч.д.а.
6.2.5 Натрия гидроокись
по ГОСТ 4328, раствор концентрации 120 г/дм
3:
- в 2-бутоксиэтаноле (для эпоксидных смол);
- в метаноле (для глицидиловых эфиров).
120 г гидроокиси натрия растворяют в 75 см
3 дистиллированной воды, добавляют 2-бутоксиэтанол
(6.2.2) или метанол
(6.2.4) в объеме, достаточном для полного растворения. Охлаждают раствор и доводят его объем до 1 дм
3 соответствующим растворителем.
6.2.7 Азотнокислое серебро
по ГОСТ 1277, водный раствор концентрации
c(AgNO
3) = 0,01 моль/дм
3.
Растворяют примерно 1,7000 г азотнокислого серебра в дистиллированной воде и доводят объем раствора до 1 дм3.
6.2.7.2 Определение точной концентрации
Взвешивают 584,0 мг хлористого натрия, предварительно прокаленного при температуре от 500 °C до 600 °C, и растворяют навеску в 1 дм
3 дистиллированной воды. Пипеткой переносят 5 см
3 полученного раствора хлористого натрия в стакан вместимостью
250 см3, добавляют 100 см
3 ацетона
(6.2.6) и 2 см
3 ледяной уксусной кислоты
(6.2.1) и титруют полученный раствор методом потенциометрического титрования раствором азотнокислого серебра, приготовленного по
6.2.7.1.
Аналогичным образом проводят контрольный опыт без хлористого натрия.
6.2.7.3 Вычисление концентрации
Концентрацию раствора азотнокислого серебра c2, моль/дм3, вычисляют по формуле, округляя результат до третьего десятичного знака

(3)
где m - масса хлористого натрия, мг;
58,5 - молярная масса хлористого натрия, г/моль;
V - объем раствора азотнокислого серебра, израсходованный на титрование, см3;
V0 - объем раствора азотнокислого серебра, израсходованный в контрольном опыте, см3.
6.2.7.4 Хранение
Раствор азотнокислого серебра хранят в сосуде из темного (коричневого) стекла в темном месте.
6.2.8 Калий хлористый водный, раствор концентрации c(KCl) = 0,01 моль/дм3.
6.3 Аппаратура, средства измерений
6.3.1 Аппаратура для потенциометрического титрования, включающая потенциометр, оснащенный стеклянным
(вспомогательным) и хлорсеребряным
(измерительным) электродами, титровальную установку и бюретку вместимостью 10 см
3 с ценой деления 0,02 см3 по ГОСТ 29251.
6.3.2 Весы лабораторные, обеспечивающие взвешивание в граммах с точностью до четвертого десятичного знака.
6.3.4 Колба мерная вместимостью 1000 см
3 по ГОСТ 25336.
6.3.5 Пипетки вместимостью 2, 5 и 25 см
3 по ГОСТ 29169.
6.3.6 Цилиндр мерный вместимостью 100 см
3 по ГОСТ 1770.
6.3.7 Баня водяная, обеспечивающая температуру (50 +/-
2) °C.
6.3.8 Колба коническая вместимостью
250 см
3 с притертой пробкой
по ГОСТ 25336.
6.3.10 Магнитная мешалка с перемешивающими стержнями, покрытыми политетрафторэтиленом.
6.4.1 Эпоксидные смолы
6.4.1.1 В стакане
(6.3.3) взвешивают пробу, масса которой выбрана таким образом, чтобы в ней содержалось не более 1,78 мг легкоомыляемого хлора.
Пипеткой добавляют в стакан 25 см
3 2-бутоксиэтанола
(6.2.2) и растворяют испытуемую пробу, используя магнитную мешалку
(6.3.10), и при необходимости при нагревании. Охлаждают раствор до температуры окружающей среды и пипеткой добавляют в стакан 25 см
3 раствора гидроокиси натрия в 2-бутоксиэтаноле (см.
6.2.5). Тщательно перемешивают раствор, накрывают стакан часовым стеклом и выдерживают смесь при температуре окружающей среды в течение 2 ч.
6.4.1.2 При проведении контроля качества допускается сокращать время омыления до 30 мин, если установлено, что получаются аналогичные результаты. Это указывают в протоколе испытания.
6.4.1.3 Добавляют в смесь при помешивании 100 см
3 2-бутанона
(6.2.3) и 25 см
3 ледяной уксусной кислоты
(6.2.1). Смесь перемешивают еще в течение нескольких минут, пока весь осадок, образовавшийся при добавлении ледяной уксусной кислоты, не растворится.
6.4.1.4 Погружают электроды (см.
6.3.1) в испытуемый раствор и титруют методом потенциометрического титрования раствором азотнокислого серебра
(6.2.7). После добавления ледяной уксусной кислоты титрование следует проводить как можно быстрее, чтобы не получить заниженные результаты испытания.
6.4.1.5 Одновременно проводят контрольный опыт в аналогичных условиях, но без анализируемой пробы. Если обнаружено, что на титрование раствора испытуемой пробы требуется менее 1 см3 раствора азотнокислого серебра (как для контрольного опыта), повторяют испытание, добавив перед титрованием в испытуемый раствор и в раствор для контрольного опыта по 1 см3 раствора хлористого калия концентрации 0,01 моль/дм3. Титруют сразу же после добавления раствора хлористого калия.
6.4.1.6 Определяют содержание неорганического хлора в соответствии с
разделом 5.
6.4.2 Глицидиловые эфиры
6.4.2.1 Глицидиловые эфиры необходимо предварительно обработать одним из двух методов:
- метод A, используя стакан;
- метод B, используя коническую колбу и шариковый холодильник.
Примечание - Предпочтительным является более безопасный метод B.
В стакане
(6.3.3) взвешивают навеску испытуемой пробы, масса которой выбрана таким образом, чтобы в ней содержалось не более 1,78 мг легкоомыляемого хлора. Пипеткой добавляют 25 см
3 раствора гидроокиси натрия в метаноле (см.
6.2.5) в стакан и растворяют испытуемую пробу, используя магнитную мешалку
(6.3.10), накрывают стакан часовым стеклом и выдерживают его на водяной бане
(6.3.7) при температуре (50 +/- 2) °C в течение 2 ч.
В конической колбе
(6.3.8) взвешивают навеску испытуемой пробы, масса которой выбрана таким образом, чтобы в ней содержалось не более 1,78 мг легкоомыляемого хлора. Пипеткой добавляют в колбу 25 см
3 раствора гидроокиси натрия в метаноле (см.
6.2.5) и растворяют испытуемую пробу, используя магнитную мешалку
(6.3.10). Вставляют в колбу шариковый холодильник
(6.3.9) и выдерживают колбу на водяной бане
(6.3.7) при температуре (50 +/- 2) °C в течение 2 ч.
6.5 Обработка результатов
Содержание легкоомыляемого хлора w2(Cl-), мг/кг, вычисляют по формуле

(4)
где 35,5 - молярная масса хлора, г/моль;
c2 - концентрация раствора азотнокислого серебра, рассчитанная по
6.2.7.3, моль/дм
3;
V1 - объем раствора азотнокислого серебра
(6.2.7), израсходованный на титрование испытуемой пробы, см
3;
V2 - объем раствора азотнокислого серебра, израсходованный в контрольном опыте, см3;
c1 - содержание неорганического хлора (см.
6.4.1.6), мг/кг.
Результат округляют до трех значащих цифр.
Протокол испытания должен содержать:
a) ссылку на настоящий стандарт и используемый метод определения;
b) данные, необходимые для идентификации испытуемого продукта (наименование, сорт, марка, обозначение нормативного документа или технической документации на продукцию, наименование предприятия-изготовителя и страны);
c) содержание неорганического хлора, определенное в соответствии
с разделом 5;
d) время омыления, если оно менее 2 ч;
e) результаты испытания;
f) дату проведения испытания;
g) всю другую необходимую информацию.
7 Метод определения содержания общего хлора
Метод заключается в растворении испытуемой пробы в монобутиловом эфире диэтиленгликоля и омылении полученного раствора спиртовым раствором гидроокиси калия при нагревании с использованием шарикового холодильника. Общее содержание хлора затем определяют методом потенциометрического титрования раствором азотнокислого серебра.
7.2.1 Монобутиловый эфир диэтиленгликоля
квалификации х. ч. или ч. д. а.
7.2.2 Калия гидроокись
по ГОСТ 24363, раствор концентрации 1 моль/дм
3 в 1,2-пропандиоле.
Растворяют 56 г гидроокиси калия в 1,2-пропандиоле, доводят объем раствора до 1 дм3 1,2-пропандиолом и перемешивают раствор.
7.2.3 Кислота уксусная ледяная
по ГОСТ 61.
7.2.5 Азотнокислое серебро
по ГОСТ 1277, водный раствор концентрации 0,1 моль/дм
3.
Растворяют 17 г азотнокислого серебра в дистиллированной воде и доводят объем раствора до 1 дм3 (0,1 моль/см3).
7.2.5.2 Определение точной концентрации
Взвешивают 5,8450 г хлористого натрия, предварительно прокаленного при температуре от 500 °C до 600 °C, растворяют его в воде и доводят объем раствора до 1 дм
3 для получения раствора концентрации 0,1 моль/дм
3. Используя пипетку, переносят 5 см
3 раствора хлористого натрия в стакан вместимостью
250 см
3 и добавляют 100 см
3 ацетона
(7.2.4) и 2 см
3 ледяной уксусной кислоты
(7.2.3). Затем титруют полученный раствор методом потенциометрического титрования раствором азотнокислого серебра, приготовленным по
7.2.5.1.
Аналогичным образом проводят контрольный опыт без хлористого натрия.
7.2.5.3 Вычисление концентрации
Концентрацию раствора азотнокислого серебра c3, моль/дм3, вычисляют по формуле, округляя результат до третьего десятичного знака

(5)
где m - масса израсходованного хлористого натрия, мг;
58,5 - молярная масса хлористого натрия, г/моль;
V - объем раствора азотнокислого серебра, израсходованный на титрование, см3;
V0 - объем раствора азотнокислого серебра, израсходованный на титрование в контрольном опыте, см3.
7.2.5.4 Хранение
Раствор азотнокислого серебра хранят в склянке из темного стекла в темном месте.
7.2.6 Азотнокислое серебро
по ГОСТ 1277, водный раствор концентрации 0,01 моль/дм
3.
Растворяют 1,7000 г азотнокислого серебра в воде и доводят объем раствора до 1 дм3.
7.2.6.2 Определение точной концентрации
Взвешивают 584,0 мг хлористого натрия, предварительно прокаленного при температуре от 500 °C до 600 °C, растворяют его в воде и доводят объем раствора до 1 дм
3 для получения раствора концентрации 0,1 моль/дм
3. Пипеткой переносят 5 см
3 полученного раствора в стакан
(7.3.10) вместимостью
250 см
3 и добавляют 100 см
3 ацетона
(7.2.4) и 2 см
3 ледяной уксусной кислоты
(7.2.3). Затем титруют полученный раствор методом потенциометрического титрования раствором азотнокислого серебра, полученного по
7.2.6.1.
Аналогичным образом проводят контрольный опыт без хлористого натрия.
7.2.6.3 Вычисление концентрации
Концентрацию вычисляют по
формуле (5), округляя результат до третьего десятичного знака.
7.2.6.4 Хранение
Раствор азотнокислого серебра хранят в бутыли из темного (коричневого) стекла в темном месте.
7.2.7 1,2-Пропандиол.
7.3 Аппаратура, средства измерений
7.3.1 Аппаратура для потенциометрического титрования, включающая потенциометр, оснащенный серебряным и хлорсеребряным или сульфат-ртутным электродами, а также титровальную установку.
7.3.2 Весы лабораторные, обеспечивающие взвешивание в граммах с точностью до четвертого десятичного знака.
7.3.3 Колба мерная вместимостью 1000 см
3 по ГОСТ 25336.
7.3.4 Плитка нагревательная или масляная баня, обеспечивающая нагревание до температуры выше 200 °C.
7.3.5 Колба коническая вместимостью
250 см
3 с притертой пробкой
по ГОСТ 25336.
7.3.7 Цилиндр мерный вместимостью 50 см
3 по ГОСТ 1770.
7.3.11 Магнитная мешалка с перемешивающими стержнями, покрытыми политетрафторэтиленом.
7.4.1 В конической колбе вместимостью
250 см
3 (7.3.5) взвешивают,
записывая результат взвешивания в граммах с точностью до четвертого десятичного знака:
- пробу, взятую в таком количестве, чтобы она содержала от 0,5 до 1,5 мг хлора, если ожидаемое содержание общего хлора менее 1%;
- пробу, взятую в таком количестве, чтобы она содержала от 5 до 15 мг хлора, если ожидаемое содержание общего хлора более 1%.
7.4.2 Добавляют 25 см
3 монобутилового эфира диэтиленгликоля
(7.2.1) и растворяют пробу с помощью магнитной мешалки
(7.3.11).
7.4.3 Добавляют 25 см
3 раствора гидроокиси калия в 1,2-пропандиоле
(7.2.2),
присоединяют к колбе шариковый холодильник. Нагревают полученный раствор на плитке или масляной бане
(7.3.4) до кипения и кипятят в течение 10 мин при перемешивании.
7.4.4 Охлаждают раствор, затем добавляют 5 см
3 ацетона
(7.2.4) так, чтобы он стекал вниз по шариковому холодильнику.
7.4.5 Переносят раствор из колбы в стакан вместимостью
250 см
3 (7.3.10). Три раза омывают внутренние стенки колбы ледяной уксусной кислотой
(7.2.3) общим объемом 50 см
3, добавляя смывы к раствору в стакане.
7.4.6 Погружают электроды
(7.3.1) в раствор. Подбирают скорость мешалки таким образом, чтобы обеспечить сильное перемешивание без расплескивания.
7.4.7 Проводят потенциометрическое титрование полученного раствора раствором азотнокислого серебра концентрации 0,01 моль/дм
3 (7.2.6), если ожидаемое содержание общего хлора менее 1%, или раствором азотнокислого серебра концентрации 0,1 моль/дм
3 (7.2.5), если ожидаемое содержание общего хлора более 1%.
7.4.8 Аналогичным образом проводят контрольный опыт без испытуемой пробы.
7.5 Обработка результатов
Содержание общего хлора в пробе w3(Cl-), мг/кг, вычисляют по формуле

(6)
где
c3 - концентрация раствора азотнокислого серебра, рассчитанная по
7.2.5.3, моль/дм
3;
V1 - объем раствора азотнокислого серебра (
7.2.5 или
7.2.6), израсходованный на титрование испытуемой пробы, см
3;
V2 - объем раствора азотнокислого серебра, израсходованный на титрование в контрольном опыте, см3;
35,5 - молярная масса хлора, г/моль;
m0 - масса испытуемой пробы, г.
Результат округляют до трех значащих цифр.
Прецизионность метода была определена при проведении межлабораторных испытаний, в которых приняли участие 10 лабораторий, использовавших три значения концентраций. Данные всех 10 лабораторий содержали выбросы, которые были исключены при расчете стандартного отклонения повторяемости и стандартного отклонения воспроизводимости. Данные о прецизионности метода приведены в таблице 2.
Таблица 2
Прецизионность метода
Тип эпоксидной смолы | Повторяемость sr | Воспроизводимость sR | Среднее содержание общего хлора, мг/кг |
BPA (жидкая эпоксидная смола, типа бисфенол A) | 32 | 46 | 1 497 |
ECN (твердая эпоксидная смола типа о-крезол новолак) | 28 | 37 | 1 071 |
Примечание - В настоящей таблице использованы следующие условные обозначения: sr - стандартное отклонение повторяемости (внутри лаборатории); sR - стандартное отклонение воспроизводимости (между лабораториями). |
Протокол испытания должен содержать:
a) ссылку на настоящий стандарт и используемый метод определения;
b) данные, необходимые для идентификации испытуемого продукта (наименование, сорт, марка, обозначение нормативного документа или технической документации на продукцию, наименование предприятия-изготовителя и страны);
c) результаты испытания;
d) дату проведения испытания;
e) всю другую необходимую информацию.
8 Метод определения массовой доли иона хлора и омыляемого хлора
8.1 Определение массовой доли иона хлора 8.1.1 Сущность метода Метод заключается в растворении испытуемой пробы эпоксидного соединения и потенциометрическом титровании полученного раствора раствором азотнокислого серебра. 8.1.2 Средства измерений, аппаратура, реактивы, материалы 8.1.2.1 Весы лабораторные, обеспечивающие взвешивание в граммах с точностью до четвертого десятичного знака. 8.1.2.2 Стакан вместимостью 150 или 250 см 3 по ГОСТ 25336. 8.1.2.3 Цилиндр мерный вместимостью 100 см 3 по ГОСТ 1770. 8.1.2.4 Пипетки вместимостью 5; и 50 см 3 по ГОСТ 29169. 8.1.2.5 Мешалка магнитная с перемешивающими стержнями, покрытыми политетрафторэтиленом. 8.1.2.6 Потенциометр с погрешностью измерения не более 5 мВ, оснащенный индикаторным и вспомогательным электродами, блок автоматического титрования и бюретка вместимостью 10 см 3 с ценой деления 0,02 см 3 по ГОСТ 29251. Рекомендуется использовать измерительный электрод, изготовленный из серебряной проволоки по ГОСТ 7222 или серебряной пластины по ГОСТ 7221, и вспомогательный электрод марки ЭВЛ-1МЗ, заполненный насыщенным раствором азотнокислого калия. Измерительный электрод осторожно полируют шлифовальной шкуркой зернистостью не более 25 по ГОСТ 5009 и ополаскивают водой. Электрод подготавливают один раз в сутки перед первым измерением. Допускается также применять другие методы подготовки электродов, в случае возникновения разногласий применяют приведенный выше метод. 8.1.2.7 Ацетон по ГОСТ 2603 или другие растворители, обеспечивающие полное растворение пробы. 8.1.2.8 Азотнокислое серебро по ГОСТ 1277, водный раствор концентрации c(AgNO 3) = 0,01 моль/дм 3; готовят по ГОСТ 25794.1 разбавлением раствора концентрации c(AgNO 3) = 0,1 моль/дм 3, приготовленного по ГОСТ 25794.3. 8.1.2.9 Калий хромовокислый по ГОСТ 4459, раствор с массовой долей 10%, приготовленный по ГОСТ 4517. 8.1.2.10 Шкурка шлифовальная зернистостью не более 25 по ГОСТ 5009. 8.1.3 Проведение испытания 8.1.3.1 В стакане взвешивают пробу испытуемой смолы, масса которой выбрана в соответствии с таблицей 3, результат взвешивания в граммах записывают с точностью до четвертого десятичного знака. Таблица 3 |
Ожидаемая массовая доля иона хлора, % | Масса пробы смолы, г | |
До 0,008 включ. | Примерно 10,0 |
Св. 0,008 до 0,050 включ. | От 4,0 до 6,0 |
Св. 0,050 | От 2,0 до 4,0 |
8.1.3.2 Добавляют в стакан от 50 до 100 см3 растворителя и растворяют пробу, используя при необходимости магнитную мешалку, затем пипеткой добавляют в колбу 5 см3 дистиллированной воды и сразу же начинают титровать полученный раствор. 8.1.3.3 Электроды приблизительно наполовину погружают в раствор. Бюретку с раствором азотнокислого серебра располагают так, чтобы ее конец был приблизительно на 10 мм выше уровня раствора в стакане или в колбе. Записывают начальные показания потенциометра. Раствор азотнокислого серебра прибавляют медленно при непрерывном перемешивании, ожидая установления потенциала раствора после каждого прибавления. В начале титрования при незначительном изменении потенциала раствор азотнокислого серебра прибавляют по 0,1 см3. Если в дальнейшем изменение потенциала превысит 5 мВ и более, титрант прибавляют по 0,04 см3. Вблизи точки эквивалентности титрант прибавляют по каплям, а потенциал измеряют через 20 - 30 с. После значительного изменения потенциала (50 мВ и более) титрование не прекращают, а прибавляют титрант еще 3 или 4 раза порциями примерно 0,02 см3. Точку эквивалентности определяют по максимальному скачку потенциала. При массовой доле иона хлора выше 0,100% допускается определять точку эквивалентности визуальным методом, используя в качестве индикатора раствор хромовокислого калия, титрование проводят до изменения окраски раствора от желтой до красно-коричневой. В случае возникновения разногласий точку эквивалентности определяют по показанию прибора или по графику, построенному по полученным данным. 8.1.3.4 При испытании выполняют два параллельных определения с двумя навесками пробы. 8.1.4 Обработка результатов 8.1.4.1 Массовую долю иона хлора X1, %, вычисляют по формуле  (7) где V1 - объем раствора азотнокислого серебра, израсходованный на титрование раствора с испытуемой пробой, см3; c - точная молярная концентрация раствора азотнокислого серебра, вычисленная по ГОСТ 25794.1, моль/дм 3; 35,5 - молярная масса хлора, г/моль; m1 - масса пробы испытуемой смолы, г. 8.1.4.2 За результат испытания принимают среднеарифметическое значение результатов двух параллельных определений, относительное значение расхождения между которыми не превышает норматива контроля повторяемости, равного 30%. Результат записывают с точностью до третьего десятичного знака. Границы относительной суммарной погрешности результата испытания составляют +/- 30% при доверительной вероятности P = 0,95. 8.2 Определение массовой доли омыляемого хлора 8.2.1 Сущность метода Метод заключается в омылении испытуемой пробы раствором гидроокиси калия в смеси этиленгликоля с диоксаном и потенциометрическом титровании полученного раствора раствором азотнокислого серебра. 8.2.2 Средства измерений, аппаратура, реактивы, материалы 8.2.2.1 Весы лабораторные, обеспечивающие взвешивание в граммах с точностью до четвертого десятичного знака. 8.2.2.2 Стакан вместимостью 150 см 3 по ГОСТ 25336. 8.2.2.3 Цилиндр мерный вместимостью 100 см 3 по ГОСТ 1770. 8.2.2.4 Пипетка вместимостью 10 см 3 по ГОСТ 29169. 8.2.2.5 Мешалка магнитная. 8.2.2.6 Потенциометр с погрешностью измерения не более 5 мВ, оснащенный индикаторным и вспомогательным электродами, блок автоматического титрования и бюретка вместимостью 10 см 3 с ценой деления 0,02 см 3 по ГОСТ 29251. Рекомендуется использовать измерительный электрод, изготовленный из серебряной проволоки по ГОСТ 7222 или серебряной пластины по ГОСТ 7221, и вспомогательный электрод марки ЭВЛ-1МЗ, заполненный насыщенным раствором азотнокислого калия. Измерительный электрод осторожно полируют шлифовальной шкуркой и ополаскивают водой. Электрод подготавливают один раз в сутки перед первым измерением. Допускается также применять другие методы подготовки электродов, в случае возникновения разногласий применяют приведенный выше метод. 8.2.2.7 Песчаная баня. 8.2.2.8 Колба со шлифом вместимостью от 100 до 250 см 3 по ГОСТ 25336. Раствор готовят следующим образом: растворяют 2,80 г гидроокиси калия в 60 см3 этиленгликоля, затем прибавляют 40 см3 1,4-диоксана. 8.2.2.14 Азотнокислое серебро по ГОСТ 1277, водный раствор концентрации c(AgNO 3) = 0,100 моль/дм 3, приготовленный по ГОСТ 25794.3. 8.2.2.15 Азотнокислое серебро по ГОСТ 1277, водный раствор концентрации c(AgNO 3) = 0,025 моль/дм 3, готовят разбавлением раствора концентрации c(AgNO 3) = 0,100 моль/дм 3, приготовленного по ГОСТ 25794.3. 8.2.2.16 Азотнокислое серебро по ГОСТ 1277, водный раствор концентрации c(AgNO 3) = 0,010 моль/дм 3; готовят по ГОСТ 25794.1 разбавлением раствора концентрации c(AgNO 3) = 0,100 моль/дм 3, приготовленного по ГОСТ 25794.3. 8.2.2.17 Кислота серная по ГОСТ 4204, водный раствор концентрации c(1/2 H 2SO 4) = 1 моль/дм 3, приготовленный по ГОСТ 25794.1. 8.2.2.18 Шкурка шлифовальная зернистостью не более 25 по ГОСТ 5009. 8.2.3 Проведение испытания 8.2.3.1 В колбе взвешивают пробу, масса которой выбрана в соответствии с таблицей 4, результат взвешивания в граммах записывают с точностью до четвертого десятичного знака. Пипеткой вносят в колбу 10 см 3 раствора гидроокиси калия в смеси этиленгликоля и 1,4-диоксана. Колбу соединяют с шариковым холодильником, нагревают полученный раствор до кипения и кипятят его в течение не менее 20 мин. Затем выключают обогрев, охлаждают раствор до температуры окружающей среды и ополаскивают холодильник и шлиф 30 см3 ацетона в ту же колбу. Содержимое колбы переносят в стакан для титрования вместимостью 150 см3, смывая 30 - 40 см3 ацетона, к полученному раствору добавляют 10 см3 раствора серной кислоты. Стакан устанавливают на магнитную мешалку и титруют содержимое стакана раствором азотнокислого серебра соответствующей концентрации, как указано в 8.1.3.3. При испытании выполняют два параллельных определения с двумя навесками пробы. |
Ожидаемая массовая доля омыляемого хлора, % | Масса пробы смолы, г | Концентрация раствора азотнокислого серебра, моль/дм3 | |
До 2 включ. | 0,1 - 1,0 0,3 - 3,0 | 0,010 0,025 |
Св. 2 до 6 включ. | 0,2 - 0,3 | 0,100 |
Св. 6 | 0,1 | 0,100 |
8.2.3.2 Аналогичным образом проводят контрольный опыт без навески пробы испытуемой смолы. 8.2.3.3 При массовой доле омыляемого хлора выше 0,100% допускается определять точку эквивалентности визуальным методом, используя в качестве индикатора раствор хромовокислого калия, титрование проводят до изменения окраски раствора от желтой до красно-коричневой. 8.2.4 Обработка результатов 8.2.4.1 Массовую долю омыляемого хлора X2, %, вычисляют по формуле  (8) где V2 - объем раствора азотнокислого серебра, израсходованный на титрование раствора испытуемой пробы, см3; V0 - объем раствора азотнокислого серебра, израсходованный на титрование раствора в контрольном опыте, см3; c - очная молярная концентрация раствора азотнокислого серебра, вычисленная по ГОСТ 25794.1, моль/дм 3; 35,5 - молярная масса хлора, г/моль; m2 - масса пробы испытуемой смолы, г; X1 - массовая доля иона хлора, %, вычисленная по формуле (7). 8.2.4.2 За результат испытания принимают среднеарифметическое значение результатов двух параллельных определений, абсолютное расхождение между которыми не превышает значений норматива контроля повторяемости, указанных в таблице 5. Результат записывают с точностью до первого десятичного знака. Границы относительной суммарной погрешности результата испытания при доверительной вероятности P = 0,95 указаны в таблице 5. |
Массовая доля омыляемого хлора, % | Норматив контроля повторяемости, % абс. | Границы относительной суммарной погрешности результатов испытания, % отн. при P = 0,95 | |
До 0,2 включ. | 0,03 | +/- 30 |
Св. 0,2 до 0,7 включ. | 0,05 | +/- 20 |
Св. 0,7 до 1,0 включ. | 0,08 | +/- 15 |
Св. 1,0 до 3,0 включ. | 0,10 | +/- 10 |
Св. 3,0 до 9,0 включ. | 0,20 | +/- 10 |
Св. 9,0 | 0,30 | +/- 10 |
| | ИС МЕГАНОРМ: примечание. Нумерация пунктов дана в соответствии с официальным текстом документа. | |
|
8.5 Протокол испытания Протокол испытания должен содержать: - ссылку на настоящий стандарт и используемый метод определения; - данные, необходимые для идентификации испытуемого продукта (наименование, сорт, марка, обозначение нормативного документа или технической документации на продукцию, наименование предприятия-изготовителя и страны); - результаты испытания; - дату проведения испытания. |