Главная // Актуальные документы // ГОСТ Р (Государственный стандарт)СПРАВКА
Источник публикации
М.: Стандартинформ, 2016
Примечание к документу
Документ
введен в действие с 01.10.2017.
Название документа
"ГОСТ Р 57284-2016. Национальный стандарт Российской Федерации. Расчеты и испытания на прочность. Акустический метод определения поврежденности при малоцикловой усталости стали. Общие требования"
(утв. и введен в действие Приказом Росстандарта от 24.11.2016 N 1775-ст)
"ГОСТ Р 57284-2016. Национальный стандарт Российской Федерации. Расчеты и испытания на прочность. Акустический метод определения поврежденности при малоцикловой усталости стали. Общие требования"
(утв. и введен в действие Приказом Росстандарта от 24.11.2016 N 1775-ст)
Утвержден и введен в действие
агентства по техническому
регулированию и метрологии
от 24 ноября 2016 г. N 1775-ст
НАЦИОНАЛЬНЫЙ СТАНДАРТ РОССИЙСКОЙ ФЕДЕРАЦИИ
РАСЧЕТЫ И ИСПЫТАНИЯ НА ПРОЧНОСТЬ
АКУСТИЧЕСКИЙ МЕТОД ОПРЕДЕЛЕНИЯ ПОВРЕЖДЕННОСТИ
ПРИ МАЛОЦИКЛОВОЙ УСТАЛОСТИ СТАЛИ
ОБЩИЕ ТРЕБОВАНИЯ
Calculation and strength testing. Acoustic method
for determination of damage under low-cycle
fatigue of steel. General requirements
ГОСТ Р 57284-2016
Группа Т59
Дата введения
1 октября 2017 года
1 РАЗРАБОТАН Открытым акционерным обществом "Научно-исследовательский центр контроля и диагностики технических систем" (АО "НИЦ КД")
2 ВНЕСЕН Техническим комитетом по стандартизации ТК 132 "Техническая диагностика"
3 УТВЕРЖДЕН И ВВЕДЕН В ДЕЙСТВИЕ
Приказом Федерального агентства по техническому регулированию и метрологии от 24 ноября 2016 г. N 1775-ст
4 ВВЕДЕН ВПЕРВЫЕ
Правила применения настоящего стандарта установлены в статье 26 Федерального закона от 29 июня 2015 г. N 162-ФЗ "О стандартизации в Российской Федерации". Информация об изменениях к настоящему стандарту публикуется в ежегодном (по состоянию на 1 января текущего года) информационном указателе "Национальные стандарты", а официальный текст изменений и поправок - в ежемесячном информационном указателе "Национальные стандарты" В случае пересмотра (замены) или отмены настоящего стандарта соответствующее уведомление будет опубликовано в ближайшем выпуске ежемесячного информационного указателя "Национальные стандарты". Соответствующая информация, уведомление и тексты размещаются также в информационной системе общего пользования - на официальном сайте Федерального агентства по техническому регулированию и метрологии в сети Интернет (www.gost.ru)
В процессе эксплуатации многие элементы конструкций работают в условиях малоцикловой усталости. На стадии до зарождения и развития макротрещины выделяют период, связанный с изменением структуры, зарождением и накопления рассеянных микроповреждений. Процесс накопления повреждений начинается практически сразу после приложения переменной нагрузки, протекает скрытно, практически без видимых внешних признаков. Скрытые процессы деградации материала приводят к изменению физико-механических характеристик - модулей упругости, прочностных и других характеристик. Завершается период накопления повреждений образованием макротрещины. При этом по условиям безопасной эксплуатации для некоторых конструкций макротрещина не допускается. Более того, ставится задача оценки степени деградации материала в процессе его эксплуатации.
Процесс разрушения зависит от множества факторов, теоретически учесть вклад каждого из которых практически невозможно. Этим объясняется значительный разброс как расчетных, так и экспериментальных данных. Контроль повреждений в материале в течение этого периода с помощью традиционных средств неразрушающего контроля затруднен. Тем не менее, задачи оценки степени деградации с использованием методов неразрушающего контроля решаются. К таким методам контроля можно отнести акустические методы.
Настоящий стандарт разработан с целью обеспечения методической основы применения акустического метода для определения поврежденности материала элементов конструкций, подвергаемых малоцикловым воздействиям.
Настоящий стандарт устанавливает:
- содержание и порядок проведения процедур измерений при акустическом контроле поврежденности стальных конструкционных материалов;
- требования к аппаратуре и программному обеспечению, применяемым в процессе измерений;
- требования к оформлению результатов контроля.
Настоящий стандарт устанавливает общие требования к методу выполнения акустических измерений для определения величины накопленной эксплуатационной поврежденности стальных конструктивных элементов, подвергаемых малоцикловым усталостным воздействиям.
Регламентируемый настоящим стандартом метод позволяет на основании комплекса проведенных измерений сделать оценку уровня эксплуатационной поврежденности в точке измерений при неизвестных параметрах усталостных воздействий.
Номенклатура объектов, поврежденность материала которого может быть определена в соответствии с регламентируемым методом, устанавливается в техническом задании на контроль.
В настоящем стандарте использованы нормативные ссылки на следующие стандарты:
ГОСТ 12.1.001 Система стандартов безопасности труда. Ультразвук. Общие требования безопасности
ГОСТ 12.1.004 Система стандартов безопасности труда. Пожарная безопасность. Общие требования
ГОСТ 12.1.038 Система стандартов безопасности труда. Электробезопасность. Предельно допустимые значения напряжений прикосновения и токов
ГОСТ 12.2.003 Система стандартов безопасности труда. Оборудование производственное. Общие требования безопасности
ГОСТ 12.3.002 Система стандартов безопасности труда. Процессы производственные. Общие требования безопасности
ГОСТ 427 Линейки измерительные металлические. Технические условия
ГОСТ 2768 Ацетон технический. Технические условия
ГОСТ 2789 Шероховатость поверхности. Параметры и характеристики
ГОСТ 6616 Преобразователи термоэлектрические. Общие технические условия
ГОСТ 10587 Смолы эпоксидно-диановые неотвержденные. Технические условия
ГОСТ 17299 Спирт этиловый технический. Технические условия
ГОСТ 20415 Контроль неразрушающий. Методы акустические. Общие положения
ГОСТ 20799 Масла индустриальные. Технические условия
ГОСТ Р 8.563 Государственная система обеспечения единства измерений. Методики (методы) измерений
ГОСТ Р 12.1.019 Система стандартов безопасности труда. Электробезопасность. Общие требования и номенклатура видов защиты
ГОСТ Р 55725 Контроль неразрушающий. Преобразователи ультразвуковые пьезоэлектрические. Общие технические требования
ГОСТ Р МЭК 60745-2-3 Машины ручные электрические. Безопасность и методы испытаний. Часть 2-3. Частные требования к шлифовальным, дисковым шлифовальным и полировальным машинам с вращательным движением рабочего инструмента
Примечание - При пользовании настоящим стандартом целесообразно проверить действие ссылочных стандартов в информационной системе общего пользования - на официальном сайте Федерального агентства по техническому регулированию и метрологии в сети Интернет или по ежегодному информационному указателю "Национальные стандарты", который опубликован по состоянию на 1 января текущего года, и по выпускам ежемесячного информационного указателя "Национальные стандарты" за текущий год. Если заменен ссылочный стандарт, на который дана недатированная ссылка, то рекомендуется использовать действующую версию этого стандарта с учетом всех внесенных в данную версию изменений. Если заменен ссылочный стандарт, на который дана датированная ссылка, то рекомендуется использовать версию этого стандарта с указанным выше годом утверждения (принятия). Если после утверждения настоящего стандарта в ссылочный стандарт, на который дана датированная ссылка, внесено изменение, затрагивающее положение, на которое дана ссылка, то это положение рекомендуется применять без учета данного изменения. Если ссылочный стандарт отменен без замены, то положение, в котором дана ссылка на него, рекомендуется применять в части, не затрагивающей эту ссылку.
3 Обозначения и сокращения
3.1 В настоящем документе применены следующие обозначения:
t1 - задержка импульса сдвиговой волны, поляризованной вдоль текстуры материала объекта контроля, нс;
t2 - задержка импульса сдвиговой волны, поляризованной поперек текстуры материала объекта контроля, нс;
t3 - задержка импульса продольной волны, нс;

- уровень поврежденности;
T - температура поверхности объекта контроля, °C;
kTs - термоакустический коэффициент сдвиговых волн, 1/°C;
kTl - термоакустический коэффициент продольных волн, 1/°C.
3.2 В настоящем стандарте применены следующие сокращения:
ОК - объект контроля;
ПЭП - пьезоэлектрический преобразователь;
СИ - средство измерений;
СОП - стандартный образец предприятия;
УИ - ультразвуковой импульс;
ЦТС - цирконат титанат свинца.
4.1 Метод основан на существующей зависимости между параметрами распространения упругих объемных волн и уровнем микроповреждений в структуре стали ОК, возникающих в процессе их эксплуатации.
4.2 В методе используют ручной способ ультразвукового эхо-импульсного контактного прозвучивания с применением прямых совмещенных ПЭП волн различных типов по
ГОСТ Р 55725.
4.3 Контроль осуществляют по технологической документации, разработанной в соответствии с требованиями
ГОСТ 20415.
4.4 Используют схему прозвучивания, соответствующую эхо-методу ультразвукового контроля. Способ возбуждения упругих колебаний - контактный. Вид излучаемого сигнала - радиоимпульс с высокочастотным (ультразвуковым) заполнением, с плавной огибающей и эффективной длительностью (на уровне 0,6 от максимальной амплитуды) от 2 до 4 периодов основной частоты.
4.5 Измеряемые характеристики поврежденности являются усредненными по толщине материала и площади ультразвукового пучка.
4.6 Непосредственно измеряемыми величинами являются задержки (время распространения в материале) УИ.
4.7 Влияние температуры на точность измерения информативных акустических параметров учитывают с помощью соответствующих термоакустических коэффициентов, имеющих размерность °C-1.
Их значения содержатся в базе данных СИ или могут быть получены экспериментально в соответствии с
приложением А.
4.8 Характеристики поврежденности определяют на основании обработки массивов информативных акустических параметров с использованием результатов предварительных экспериментов.
4.9 Рекомендуемый настоящим стандартом метод может служить основой для составления методики выполнения измерений по
ГОСТ Р 8.563.
4.10 При разработке методики выполнения измерений необходима ее верификация на основании представительной базы испытанных ОК.
5 Требования безопасности
5.1 К выполнению измерений для определения поврежденности, регламентируемыми настоящим стандартом, допускают операторов, обладающих навыками эксплуатации используемого оборудования, умеющих пользоваться соответствующими национальными отраслевыми нормативными и техническими документами, прошедших обучение работе с применяемыми СИ и аттестованных на знание правил безопасности в соответствующей отрасли промышленности.
5.3 Измерения проводят в соответствии с требованиями безопасности, указанными в инструкции по эксплуатации аппаратуры, входящей в состав используемых СИ.
5.4 При организации работ по проведению измерений должны быть соблюдены требования пожарной безопасности по
ГОСТ 12.1.004.
6 Требования к средствам измерений
6.1 В качестве СИ используют установки, скомпонованные из серийной аппаратуры, или специализированные ультразвуковые приборы, сертифицированные и поверяемые в установленном порядке.
6.2 В своем составе СИ должны содержать следующие ПЭП:
- прямой совмещенный преобразователь продольных волн типа П111-5,0 по
ГОСТ Р 55725;
- прямой совмещенный преобразователь сдвиговых волн типа П111-5,0 по
ГОСТ Р 55725, например, преобразователи типа V155-RB, V155-RM, V156-RM или специально изготовленные по технологии, приведенной в
приложении Б.
6.3 Вспомогательные устройства и материалы
6.3.2 Термопреобразователь поверхностный типа ТПП 13 или ТПП 10 по
ГОСТ 6616 для измерения температуры поверхности ОК.
6.3.3 Обезжиривающая жидкость (спирт по
ГОСТ 17299 или ацетон по
ГОСТ 2768) для подготовки поверхности.
6.3.4 Контактная жидкость для ввода продольных колебаний (индустриальное масло марок И-30А, И-40А, И-50А по
ГОСТ 20799, вода).
6.3.5 Контактная жидкость для ввода сдвиговых колебаний (эпоксидная смола по
ГОСТ 10587, жидкость SWC, мед), вязкость которой при температуре измерения должна соответствовать вязкости эпоксидной смолы при температуре 25 °C: от 12 до 25 кг/(м·с) по
ГОСТ 10587.
6.3.6 Емкости для хранения контактной жидкости, кисти для нанесения контактной жидкости на поверхность изделий, ветошь для протирки ультразвуковой аппаратуры и рук оператора, линейка металлическая 500 мм по
ГОСТ 427 для разметки ОК, маркер или мел для нанесения меток на проконтролированные изделия, журнал для ведения протокола контроля.
6.4 СИ должны обеспечивать проведение измерений эхо-методом с использованием УИ с плавной огибающей.
6.5 СИ должны обеспечивать дискретизацию ультразвукового сигнала с частотой, превосходящей не менее чем в 10 раз максимальную эффективную частоту используемого ПЭП.
6.6 СИ должны содержать аналого-цифровые преобразователи с разрядностью не менее 12.
6.7 Первичная акустическая информация для каждого измерения должна постоянно храниться на внешних носителях, защищенных от несанкционированного доступа.
6.8 Документация СИ должна содержать методику выполнения измерений, а также документы, устанавливающие:
- назначение и область применения СИ;
- состав и основные характеристики средств аппаратного и программного обеспечения, включающие погрешность измерения параметров УИ;
- методы и средства достижения совместимости СИ, в том числе информационной, электрической, энергетической, программной, конструкторской, эксплуатационной.
6.9 Описание функциональных возможностей СИ в эксплуатационных, конструкторских и программных документах должно содержать характеристики аппаратного и программного обеспечения.
6.10 Эксплуатационные характеристики СИ должны соответствовать требованиям технических условий и настоящего стандарта.
6.11 При определении уровня эксплуатационной поврежденности применяют СОП с исходной структурой материала ОК. Каждый СОП должен быть аттестован и иметь свидетельство об аттестации и паспорт. СОП должны проходить периодическую, а также в специальных случаях внеочередную аттестацию (ведомственную поверку) в установленном в отрасли порядке.
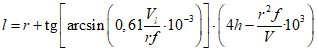
6.12 Расстояние l от центра СОП до боковых граней должно быть не менее значения, вычисляемого по формуле

, (1)
где r - радиус излучателя ПЭП, Vl - скорость упругих продольных волн в материале ОК, h - толщина СОП, f - номинальная частота преобразователя.
7 Требования к объектам контроля
7.1 Материал ОК не должен содержать недопустимых расслоений, включений и других видимых дефектов.
7.2 Шероховатость поверхности
Ra ОК в точках измерений - не более 2,5 мкм по
ГОСТ 2789.
Примечание - Метод не гарантирует требуемую точность определения поврежденности, если шероховатость поверхности ОК в точках измерений Ra превышает 2,5 мкм.
7.3 Температура поверхности ОК должна быть в пределах от 5 °C до 40 °C.
7.4 Перед установкой ПЭП поверхность ОК очищают от грязи, окалины, ржавчины и обезжиривают.
7.5 Расстояние
l от точки ввода акустической волны до боковых граней ОК должно быть не менее значения, вычисляемого по
формуле (1).
8 Подготовка к проведению измерений
8.1 Подготовка к измерениям должна включать в себя следующие организационно-технические мероприятия:
а) подготовку (при необходимости) поверхности металла к контролю согласно
7.2;
б) обеспечение безопасности работы персонала, осуществляющего контроль, в соответствии с инструкциями по технике безопасности;
в) подготовку к работе СИ.
8.2 Подготовка к работе СИ должна включать в себя:
а) основные работы по подготовке СИ после транспортировки или хранения в соответствии с эксплуатационной документацией на СИ;
б) основные работы по монтажу и наладке СИ перед проведением контроля в соответствии с эксплуатационной документацией на СИ;
в) прокладку (при необходимости) кабельных линий связи между преобразователями и измерительным блоком СИ;
г) установку параметров СИ в исходное состояние;
д) измерение температуры поверхности ОК с погрешностью не более 1 °C.
8.3 Качество поверхности СОП должно соответствовать требованиям
7.2.
9.1 Процесс определения эксплуатационной поврежденности материала ОК акустическим методом состоит из следующих этапов:
- проверка работоспособности аппаратуры;
- подготовка точек измерений;
- проведение измерений преобразователями различных типов;
- расчет поврежденности материала ОК в точках измерений.
9.2 Проверка работоспособности СИ
Проверку работоспособности проводят в соответствии с руководством по эксплуатации используемых СИ.
9.3 Проведение измерений
9.3.1 Смачивают поверхность ОК в точках измерений контактной жидкостью для ввода сдвиговых волн.
9.3.2 Устанавливают в точке измерений преобразователь сдвиговых волн, ориентируя его направлением поляризации вдоль текстуры материала в точке измерений.
Примечание - Для ОК с неизвестным направлением текстуры экспериментально устанавливают это направление, для чего проводят измерения задержки импульса сдвиговой волны, вращая преобразователь вокруг вертикальной оси. Направлению текстуры соответствует максимальное значение, равное t1, значение задержки при перпендикулярной ориентации преобразователя соответствует величине t2.
9.3.3 Проводят необходимое количество измерений для того, чтобы фактическая погрешность не превосходила допустимой.
9.3.4 В журнале контроля фиксируют полученное значение задержки t1.
9.3.5 Поворачивают преобразователь на 180 градусов.
9.3.6 Повторяют измерения по
9.3.3, фиксируют полученное значение задержки
t2.
9.3.7 Заменяют контактную жидкость на жидкость для ввода продольных колебаний.
9.3.8 В точке измерений устанавливают преобразователь продольных волн.
9.3.9 Повторяют измерения по
9.3.3, фиксируют полученное значение задержки
t3.
10 Обработка результатов измерений
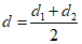
10.1 Если температура поверхности ОК T отличается от 20 °C не более чем на 10 °C, рассчитывают безразмерный акустический параметр по формуле:

, (2)
где

,

.
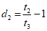
10.2 В том случае, если температура поверхности ОК T отличается от 20 °C более чем на 10 °C, параметры d1, d2 рассчитывают по формулам

, (3)

. (4)
10.3 Рассчитывают акустическую характеристику поврежденности по формуле

, (5)
где d0 - начальное значение параметра d, соответствующее неповрежденному материалу ОК или СОП, d* - предельное значение параметра d, соответствующее появлению макротрещины.
Примечание - Если значение величины d* отсутствует в базе данных СИ, оно должно быть получено в ходе предварительных экспериментов.
10.4 Величину поврежденности определяют путем решения средствами программного обеспечения используемых СИ следующего уравнения:

, (6)
где

,
W - относительная полная энергия, затраченная на пластическое деформирование,
Wa - соответствует ее значению на начальной стадии накопления усталостных повреждений (завершению стадии зарождения повреждений), величину
W определяют из решения уравнения

, (7)
где a - эмпирически подбираемая константа.
11 Оформление результатов измерений
11.1 Результаты измерений фиксируют в журнале,
форма которого приведена в приложении В.
11.2 Дополнительные сведения, подлежащие записи, порядок оформления и хранения журнала (или заключения) устанавливают в технической документации на контроль.
11.3 Если определение эксплуатационной поврежденности материала ОК являются частью научно-исследовательских работ, результаты измерений оформляют в соответствии с общими требованиями и правилами оформления отчетов о научно-исследовательских работах.
11.4 Результаты обследования сохраняют до следующего контроля.
(обязательное)
ОПРЕДЕЛЕНИЕ ТЕРМОАКУСТИЧЕСКИХ КОЭФФИЦИЕНТОВ
А.1 Определение термоакустических коэффициентов kTk (kTs, kTl) проводят на основании исследования регрессионных зависимостей задержек импульсов упругих волн соответствующих типов tk от температуры T СОП.
А.2 Измерение температурных зависимостей проводят на СОП материала ОК в лабораторных условиях.
А.3 Образцы нагревают до температуры 80 °C, затем для равномерного распределения температуры выдерживают при комнатной температуре до достижения температуры поверхности образца 60 °C.
А.4 По мере остывания образца с интервалом 5 °C проводят измерение температуры поверхности образца Ti и соответствующих задержек tk(i) для каждого i-го значения температуры.
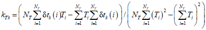
А.5 Термоакустические коэффициенты рассчитывают по формуле

, (А.1)
где

,
NT - общее число измерений для данного образца.
А.6 При измерениях используют от трех до пяти образцов с усреднением результатов.
(справочное)
ТЕХНОЛОГИЯ ИЗГОТОВЛЕНИЯ ПРЯМЫХ СОВМЕЩЕННЫХ
ПРЕОБРАЗОВАТЕЛЕЙ СДВИГОВЫХ ВОЛН
Б.1 Активные элементы оригинальных ПЭП изготавливают из полуфабрикатов пьезокерамики типа ЦТС в форме поляризованных плоских брусков путем их распилки алмазным кругом с охлаждением водной эмульсией во избежание деполяризации.
Б.2 Схема разрезки приведена на рисунке Б.1.
1 - электроды полуфабриката, полученные путем
вжигания серебра; 2 - направление поляризации;
3 - направление разрезки
Рисунок Б.1 - Схема разрезки поляризованных полуфабрикатов
при изготовлении активных элементов ПЭП
Б.3 Толщину пластинок определяют по формуле

, (Б.1)
где Vt - скорость сдвиговых упругих волн в пьезокерамике.
Б.4 Полученные пьезопластинки шлифуют, но не полируют, т.к. полировка заметно снижает коэффициент электромеханической связи для преобразователей сдвиговых волн.
Б.5 На одну из сторон пластинок методом вакуумного напыления наносят контактный слой металла (можно использовать серебро или никель) толщиной не менее 0,5 мкм.
Б.6 На напыленный слой металла электролитически наносят слой меди толщиной не менее 0,1 мм.
Б.7 Конструкция преобразователя изображена на рисунке Б.2.
1 - пьезопластинка; 2 - контактный слой; 3 - механический
демпфер; 4 - металлический экран; 5 - компаунд;
6 - высокочастотный кабель
Рисунок Б.2 - Конструкция пьезопреобразователя
сдвиговых волн
Б.8 Механический демпфер 3 в форме пирамиды изготавливают из пластифицированной эпоксидной смолы, в которую в объемном соотношении 1:1 вносят наполнитель из мелкодисперсной свинцовой стружки или из вольфрамовых шариков со средним диаметром 0,05 мм. Достаточно высокая плотность материала пирамиды обеспечивает ее высокие демпфирующие свойства, а создававшийся градиент плотности по высоте пирамиды способствует уменьшению эффекта паразитных переотражений упругих волн от ее боковых граней.
Б.9 Преобразователь экранируют цельнометаллическим медным или латунным экраном 4, пространство между которым и демпфером заполняют вязким компаундом 5.
Б.10 Электрические сигналы на преобразователь подают через высокочастотный кабель 6. Сигнальный вход к контактной поверхности припаивают сплавом Вуда с температурой плавления 60 °C, при которой невозможна локальная деполяризация пьезопластинки в месте пайки.
Примечание - В отличие от традиционной конструкции пьезопреобразователей, используемых в ультразвуковой дефектоскопии, контактный слой металла наносят лишь на внутреннюю поверхность пьезопластинки. Возможность использования такого варианта преобразователя обусловлена тем, что исследуют лишь проводящие материалы, поэтому достаточно обеспечить контакт корпуса преобразователя с поверхностью исследуемого объекта. Кроме того, отсутствие нижнего слоя контактного покрытия, на который обычно наносят защитный слой, обеспечивает повышенный коэффициент электромеханической связи преобразователя.
(рекомендуемое)
ФОРМА ПРОТОКОЛА ИЗМЕРЕНИЙ
УТВЕРЖДАЮ
Руководитель
___________________________________
наименование организации
________________ __________________
личная подпись инициалы, фамилия
"__" _________ 20__ г.
Протокол
измерения накопленной поврежденности
_______________________________________________________________
(наименование ОК)
1 Дата измерения __________________________________________________________
2 Организация, проводящая измерения _______________________________________
3 Владелец объекта ________________________________________________________
4 Данные об ОК:
назначение ____________________________________________________________
завод-изготовитель, технология изготовления ___________________________
режим термо- или виброобработки _______________________________________
геометрические параметры ______________________________________________
состояние поверхности _________________________________________________
дополнительные сведения об ОК _________________________________________
5 Внешние условия при проведении измерений:
___________________________________________________________________________
температура рабочей среды _____________________________________________
температура окружающей среды __________________________________________
дополнительные нагрузки _______________________________________________
6 Эскиз объекта контроля с указанием местоположения точек измерений и их
нумерации (в приложении) __________________________________________________
___________________________________________________________________________
7 Сведения о материалах ОК
страна-изготовитель ___________________________________________________
марка материала (национальный, иной стандарт) _________________________
технология изготовления _______________________________________________
8 Таблица 1 - Значения акустических характеристик в точках измерений
Номер точки измерений | Материал | d1 | d2 | d | d0 | d* |
| | | | | | |
9 Наименование и код базы данных __________________________________________
10 Таблица 2 - Результаты измерений
Номер точки измерений | Значение акустического параметра поврежденности  | Значение поврежденности  |
| | |
Обследование провел оператор: _________________ _________________________
личная подпись инициалы, фамилия
Руководитель лаборатории
неразрушающего контроля: _________________ _________________________
личная подпись инициалы, фамилия
УДК 620.172.1:620.179.16:006.354 | | Т59 |
Ключевые слова: эксплуатационная поврежденность, малоцикловая усталость, акустический метод, ультразвуковой импульс, задержка импульса, сдвиговые волны, продольные волны |