Главная // Актуальные документы // ГОСТ Р (Государственный стандарт)СПРАВКА
Источник публикации
М.: Стандартинформ, 2014
Примечание к документу
Документ
введен в действие с 1 июля 2015 года.
Название документа
"ГОСТ Р 55725-2013. Национальный стандарт Российской Федерации. Контроль неразрушающий. Преобразователи ультразвуковые пьезоэлектрические. Общие технические требования"
(утв. и введен в действие Приказом Росстандарта от 08.11.2013 N 1411-ст)
"ГОСТ Р 55725-2013. Национальный стандарт Российской Федерации. Контроль неразрушающий. Преобразователи ультразвуковые пьезоэлектрические. Общие технические требования"
(утв. и введен в действие Приказом Росстандарта от 08.11.2013 N 1411-ст)
Утвержден и введен в действие
агентства по техническому
регулированию и метрологии
от 8 ноября 2013 г. N 1411-ст
НАЦИОНАЛЬНЫЙ СТАНДАРТ РОССИЙСКОЙ ФЕДЕРАЦИИ
КОНТРОЛЬ НЕРАЗРУШАЮЩИЙ
ПРЕОБРАЗОВАТЕЛИ УЛЬТРАЗВУКОВЫЕ ПЬЕЗОЭЛЕКТРИЧЕСКИЕ
ОБЩИЕ ТЕХНИЧЕСКИЕ ТРЕБОВАНИЯ
Non-destructive testing. Piezoelectric ultrasonic
transducers. General technical requirements
ГОСТ Р 55725-2013
Группа Т59
Дата введения
1 июля 2015 года
1. Разработан Обществом с ограниченной ответственностью "Акустические Контрольные Системы" (ООО "АКС").
2. Внесен Техническим комитетом ТК 371 "Неразрушающий контроль".
3. Утвержден и введен в действие
Приказом Федерального агентства по техническому регулированию и метрологии от 8 ноября 2013 г. N 1411-ст.
4. Введен впервые.
Правила применения настоящего стандарта установлены в ГОСТ Р 1.0-2012
(раздел 8). Информация об изменениях к настоящему стандарту публикуется в ежегодном (по состоянию на 1 января текущего года) информационном указателе "Национальные стандарты", а официальный текст изменений и поправок - в ежемесячном информационном указателе "Национальные стандарты". В случае пересмотра (замены) или отмены настоящего стандарта соответствующее уведомление будет опубликовано в ближайшем выпуске информационного указателя "Национальные стандарты". Соответствующая информация, уведомление и тексты размещаются также в информационной системе общего пользования - на официальном сайте Федерального агентства по техническому регулированию и метрологии в сети Интернет (gost.ru).
Стандарт устанавливает основные параметры и характеристики ультразвуковых пьезоэлектрических преобразователей, которыми определяется их назначение и область применения.
Целью данного стандарта является обеспечение взаимозаменяемости и совместимости ультразвуковых пьезоэлектрических преобразователей, выпускаемых различными изготовителями.
Настоящий стандарт распространяется на ультразвуковые пьезоэлектрические преобразователи (далее - ПЭП) общего назначения с плоской рабочей поверхностью, применяемые для ультразвукового неразрушающего контроля с номинальными частотами от 0,5 до 30,0 МГц и выпускаемые на основании технических условий, и устанавливает общие технические требования к ним.
Настоящий стандарт не распространяется на специализированные ПЭП, не относящиеся к типам, приведенным в разделе 0, а также на ПЭП, которые были разработаны и выпущены до введения его в действие.
В настоящем стандарте использованы нормативные ссылки на следующие стандарты:
ГОСТ Р 55808-2013 Контроль неразрушающий. Преобразователи ультразвуковые пьезоэлектрические. Методы испытаний
ГОСТ 12.1.001-89 Система стандартов безопасности труда. Ультразвук. Общие требования безопасности
Примечание. При пользовании настоящим стандартом целесообразно проверить действие ссылочных стандартов в информационной системе общего пользования - на официальном сайте Федерального агентства по техническому регулированию и метрологии в сети Интернет или по ежегодному информационному указателю "Национальные стандарты", который опубликован по состоянию на 1 января текущего года, и по выпускам ежемесячного информационного указателя "Национальные стандарты" за текущий год. Если заменен ссылочный стандарт, на который дана недатированная ссылка, то рекомендуется использовать действующую версию этого стандарта с учетом всех внесенных в данную версию изменений. Если заменен ссылочный стандарт, на который дана датированная ссылка, то рекомендуется использовать версию этого стандарта с указанным выше годом утверждения (принятия). Если после утверждения настоящего стандарта в ссылочный стандарт, на который дана датированная ссылка, внесено изменение, затрагивающее положение, на которое дана ссылка, то это положение рекомендуется применять без учета данного изменения. Если ссылочный стандарт отменен без замены, то положение, в котором дана ссылка на него, рекомендуется применять в части, не затрагивающей эту ссылку.
В настоящем стандарте применены следующие термины с соответствующими определениями.
3.1. Пьезоэлектрический преобразователь: устройство, предназначенное для преобразования акустического сигнала в электрический и обратно, основанное на применении прямого и обратного пьезоэлектрических эффектов и применяемое для работы в составе средств неразрушающего контроля.
3.2. ПЭП общего назначения: ПЭП, в технических условиях на который не установлен конкретный тип контролируемого изделия или группы изделий.
3.3. Специализированный ПЭП: ПЭП, в технических условиях на который установлен конкретный тип контролируемого изделия или группы изделий.
3.4. Калибровочный образец (мера): образец из материала определенного состава с заданными физико-механическими и геометрическими характеристиками, предназначенный для калибровки (поверки) и определения параметров ПЭП и ультразвуковых приборов неразрушающего контроля. Для иммерсионных преобразователей в качестве калибровочного образца используют конструкцию, в состав которой входит иммерсионная ванна.
3.5. Номинальная частота: частота, выбранная изготовителем из стандартизованного ряда, указанного в
Приложении Б, и применяемая для идентификации ПЭП по основной области его применения.
3.6. Испытательный возбуждающий сигнал: импульс напряжения заданной формы, подаваемый на ПЭП для возбуждения акустических колебаний.
3.7. Измерительный эхоимпульс: временная зависимость напряжения на ПЭП, регистрируемая от стандартизованного отражателя, являющегося частью калибровочного образца (меры), после подачи испытательного возбуждающего сигнала и применяемая для определения параметров ПЭП.
3.8. Амплитуда эхоимпульса: максимальное значение огибающей измерительного эхоимпульса.
3.9. Длительность эхоимпульса: интервал времени, в течение которого амплитуда эхоимпульса превышает уровень минус 20 дБ от ее максимального значения.
3.10. Частотная передаточная функция: отношение Фурье-спектра измерительного эхоимпульса к Фурье-спектру испытательного возбуждающего сигнала.
3.11. Амплитудно-частотная характеристика: модуль передаточной функции.
3.12. Частота максимума амплитудно-частотной характеристики

: частота, соответствующая максимальному значению амплитудно-частотной характеристики.
3.13. Нижняя частота амплитудно-частотной характеристики

: нижняя частота среза амплитудно-частотной характеристики по уровню минус 6 дБ от ее максимального значения.
3.14. Верхняя частота амплитудно-частотной характеристики

: верхняя частота среза амплитудно-частотной характеристики по уровню минус 6 дБ от ее максимального значения.
3.15. Полоса пропускания

: разность между частотами

и

.
3.16. Рабочая частота

: среднеарифметическое значение нижней и верхней частот амплитудно-частотной характеристики.
3.17. Относительная полоса пропускания

: отношение полосы пропускания к рабочей частоте, выраженное в процентах.
3.18. Коэффициент преобразования

: значение модуля передаточной функции на номинальной частоте.
3.19. Реверберационно-шумовая характеристика (РШХ):

зависимость электрического напряжения на акустически ненагруженном ПЭП, нормированная на амплитуду испытательного возбуждающего сигнала, поданного на ПЭП.
3.20. Нормированная диаграмма амплитуда-расстояние-диаметр (АРД): семейство зависимостей амплитуды измерительного эхоимпульса на ПЭП от расстояния между ним и дисковым отражателем, построенных для отражателей различных диаметров, и нормированных на амплитуду возбуждающего сигнала.
3.21. Акустическая ось: прямая, проходящая через две точки максимальной амплитуды акустического поля в дальней зоне ПЭП.
3.22. Точка выхода: точка пересечения акустической оси с рабочей поверхностью ПЭП.
3.23. Стрела ПЭП: расстояние от точки выхода наклонного ПЭП до внешней поверхности передней стенки корпуса.
3.24. Время задержки в ПЭП: общее время задержки акустического сигнала при его прохождении через конструктивные элементы ПЭП при излучении и приеме.
3.25. Диаграмма направленности ПЭП: зависимость амплитуды акустического поля ПЭП в дальней зоне от направления относительно точки выхода при неизменном расстоянии от этой точки.
3.26. Ширина диаграммы направленности: угловой размер сектора диаграммы направленности ПЭП в плоскости, проходящей через акустическую ось, в пределах которого значения диаграммы направленности падают не более чем на 3 дБ по отношению к ее значению на акустической оси.
3.27. Угол акустической оси: угол между акустической осью и нормалью к рабочей поверхности преобразователя.
3.28. Угол ввода: угол между нормалью к поверхности меры, на которую установлен преобразователь, и линией, соединяющей ось бокового цилиндрического отражателя в мере с точкой выхода при установке преобразователя в положение, при котором амплитуда эхосигнала от отражателя наибольшая.
3.29. Номинальный угол ввода: угол ввода, выбранный изготовителем из стандартизованного ряда, приведенного в
Приложении Б, и применяемый для идентификации ПЭП по направленности его акустического поля.
3.30. Угол скоса: угол отклонения проекции акустической оси наклонного ПЭП на его рабочую поверхность от конструктивно заданного направления.
3.31. Фокусное расстояние: расстояние от точки выхода до точки, находящейся на акустической оси, в которой амплитуда акустического поля фокусирующего ПЭП максимальна.
3.32. Размеры фокальной области: продольный (вдоль акустической оси) и поперечный размеры пространственной области вблизи фокуса, на границах которой амплитуда акустического поля падает на 3 дБ по отношению к амплитуде в фокусе.
3.33. Диапазон рабочих температур: диапазон температур, в котором отклонения характеристик ПЭП не выходят за пределы значений, заданных в технических условиях на ПЭП конкретного типа.
4.1. ПЭП классифицируют по следующим признакам:
4.1.1. По способу осуществления акустического контакта:
- контактные;
- иммерсионные.
4.1.2. По направлению ввода акустических волн в исследуемый объект:
- прямые;
- наклонные;
- комбинированные.
4.1.3. По электроакустическому исполнению:
- совмещенные;
- раздельно-совмещенные.
4.1.4. По наличию фокусировки:
- фокусирующие;
- нефокусирующие.
4.1.5. По основному типу применяемых волн:
- продольных волн;
- поперечных волн;
- поверхностных волн;
- головных волн.
4.2. Тип ПЭП определяют сочетанием перечисленных выше признаков.
4.3. Каждому типу ПЭП соответствует условное обозначение, рекомендуемая структура которого приведена в
Приложении А. Допускается применение других условных обозначений, принятых изготовителем.
5. Технические требования
5.1. ПЭП должны быть изготовлены в соответствии с требованиями настоящего стандарта и технических условий на ПЭП.
5.2. На боковой плоской поверхности наклонных ПЭП, предназначенных для ручного контроля, должна быть нанесена метка или шкала с меткой для обозначения точки выхода.
5.3. На ПЭП должна быть нанесена маркировка согласно
Приложению А. Маркировка и покрытие ПЭП должны быть стойкими к износу и воздействию контактных жидкостей.
5.4. Требования по устойчивости ПЭП к индустриальным радиопомехам, внешним воздействиям и электробезопасности должны соответствовать требованиям, установленным в стандартах и технических условиях на устройства и приборы неразрушающего контроля, для работы с которыми предназначен ПЭП.
5.5. Средний уровень звукового давления или колебательная скорость, или интенсивность ультразвука в зоне контакта ПЭП и оператора должны соответствовать
ГОСТ 12.1.001-89 и не должны превышать соответственно 110 дБ,

и 0,1 Вт/см2.
5.6. ПЭП должны быть паспортизованы в соответствии с настоящим стандартом, а также
ГОСТ Р 55808, причем каждый ПЭП должен быть обеспечен индивидуальным техническим паспортом.
5.7. Технический паспорт предоставляется изготовителем ПЭП с указанием даты паспортизации и исполнителя, выполнившего измерения.
5.8. Перечень информации, которая должна приводиться в техническом паспорте каждого ПЭП в пределах области применения настоящего стандарта, приведен в таблице 1.
Таблица 1
Номенклатура основных показателей, устанавливаемых
в техническом паспорте на ПЭП
Наименование показателя | Категория преобразователя |
Контактный | Иммерсионный |
прямой | наклонный | прямой |
продольных волн | поперечных волн | продольных волн | поперечных волн | продольных волн |
совмещенный | раздельно-совмещенный | совмещенный | совмещенный | раздельно-совмещенный | совмещенный | раздельно-совмещенный | совмещенный | раздельно-совмещенный |
не фокусирующий | фокусирующий | не фокусирующий | фокусирующий | не фокусирующий | не фокусирующий | фокусирующий | не фокусирующий | фокусирующий | не фокусирующий | фокусирующий | не фокусирующий | фокусирующий | не фокусирующий | фокусирующий | не фокусирующий | фокусирующий |
1. Наименование изготовителя | С | С | С | С | С | С | С | С | С | С | С | С | С | С | С | С | С |
2. Тип ПЭП | С | С | С | С | С | С | С | С | С | С | С | С | С | С | С | С | С |
3. Масса и габаритные размеры ПЭП | С | С | С | С | С | С | С | С | С | С | С | С | С | С | С | С | С |
4. Размеры пьезоэлемента | С | С | С | С | С | С | С | С | С | С | С | С | С | С | С | С | С |
5. Тип разъемов | С | С | С | С | С | С | С | С | С | С | С | С | С | С | С | С | С |
6. Форма измерительного эхоимпульса | И | И | И | И | И | И | И | И | И | И | И | И | И | И | И | И | И |
7. Длительность эхоимпульса | И | И | И | И | И | И | И | И | И | И | И | И | И | И | И | И | И |
8. Амплитудно-частотная характеристика (АЧХ) | И | И | И | И | И | И | И | И | И | И | И | И | И | И | И | И | И |
9. Верхняя и нижняя частоты АЧХ, частота максимума АЧХ | И | И | И | И | И | И | И | И | И | И | И | И | И | И | И | И | И |
10. Рабочая частота | Р | Р | Р | Р | Р | Р | Р | Р | Р | Р | Р | Р | Р | Р | Р | Р | Р |
11. Относительная полоса пропускания | Р | Р | Р | Р | Р | Р | Р | Р | Р | Р | Р | Р | Р | Р | Р | Р | Р |
12. Коэффициент преобразования | И | И | И | И | И | И | И | И | И | И | И | И | И | И | И | И | И |
13. РШХ | И | И | И | И | И | И | И | И | И | И | И | И | И | И | И | И | И |
14. АРД-диаграмма | И, Р | И, Р | И, Р | И, Р | И, Р | И, Р | И, Р | И, Р | И, Р | И, Р | И, Р | И, Р | И, Р | И, Р | И, Р | И, Р | И, Р |
15. Стрела ПЭП | - | - | - | - | - | И | И | И | И | И | И | И | И | - | - | - | - |
16. Время задержки в ПЭП | И | И | И | И | И | И | И | И | И | И | И | И | И | И | И | И | И |
17. Угол ввода | - | - | - | - | - | И | И | И | И | И | И | И | И | - | - | - | - |
18. Угол скоса | - | - | - | - | - | И | И | И | И | И | И | И | И | - | - | - | - |
19. Фокусное расстояние | - | И, Р | - | И, Р | - | - | И, Р | - | И, Р | - | И, Р | - | И, Р | - | И, Р | - | И, Р |
20. Размеры фокальной области | - | И, Р | - | И, Р | - | - | И, Р | - | И, Р | - | И, Р | - | И, Р | - | И, Р | - | И, Р |
21. Диапазон рабочих температур | С | С | С | С | С | С | С | С | С | С | С | С | С | С | С | С | С |
Обозначение: С - справочные данные; И - измерение; Р - расчет; И, Р - измерение или расчет; " - " - данные не приводятся. |
5.9. Технический паспорт должен содержать информацию о нормативных документах, в соответствии с которыми выполняют измерение параметров ПЭП, а также условия хранения и транспортирования.
5.10. При наличии существенного влияния температуры на какой-либо параметр ПЭП, которое может привести к увеличению погрешности результатов измерений при применении ПЭП в составе аппаратуры неразрушающего контроля, изготовителем должна быть предоставлена информация о зависимости этого параметра от температуры.
5.11. Для ПЭП, предназначенных для применения при повышенных температурах поверхности объекта контроля, должна предоставляться информация о зависимости между максимальной температурой поверхности объекта контроля и допустимым временем нахождения ПЭП в контакте с этой поверхностью.
5.12. В паспорте должно быть указано максимальное допустимое электрическое напряжение, которое можно подавать на ПЭП.
5.13. При необходимости изготовитель может включать в паспорт дополнительную информацию, не содержащуюся в
таблице 1. Примерная
форма технического паспорта ПЭП приведена в Приложении В.
(рекомендуемое)
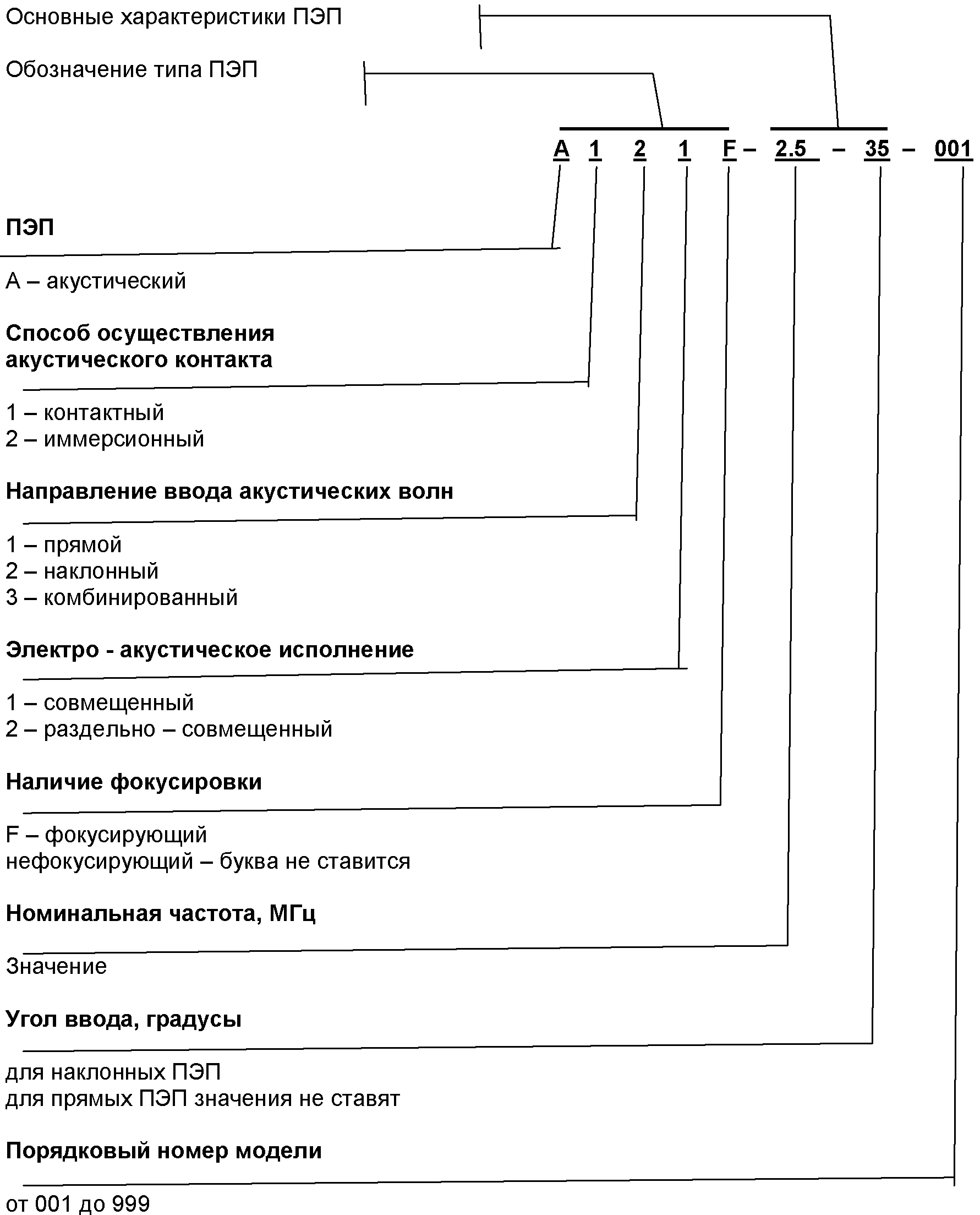
СТРУКТУРА УСЛОВНОГО ОБОЗНАЧЕНИЯ ПЭП ОБЩЕГО НАЗНАЧЕНИЯ
Пример условного обозначения ультразвукового ПЭП, контактного, наклонного, совмещенного, фокусирующего, номинальной частотой 2,5 МГц, углом ввода 35°, порядковым номером модели 001:
121F-2.5-35-001
(справочное)
НОМИНАЛЬНЫЕ ЧАСТОТЫ И НОМИНАЛЬНЫЕ УГЛЫ
ВВОДА УЛЬТРАЗВУКОВЫХ ПЭП
Б.1. Ряд номинальных частот ультразвуковых ПЭП, МГц
0,5 | 0,6 | 0,8 | 1,0 | 1,25 | 1,5 | 1,8 | 2,0 | 2,25 | 2,5 | 3,0 |
3,5 | 4,0 | 5,0 | 6,0 | 7,5 | 10,0 | 15,0 | 20,0 | 22,0 | 25,0 | 30,0 |
Б.2. Ряд номинальных углов ввода ультразвуковых ПЭП
30° | 35° | 38° | 40° | 45° | 50° | 60° | 65° | 70° | 72° | 80° | 90° |
(рекомендуемое)
НАИМЕНОВАНИЕ ИЗГОТОВИТЕЛЯ |
ПАСПОРТ |
АБВГ. ХХХХХХ.ХХХ ПС |
Ультразвуковой пьезоэлектрический преобразователь | А121-2,5-40-001 | Серийный номер | 1030243 |
Общие сведения Ультразвуковой пьезоэлектрический преобразователь (далее - преобразователь) предназначен для неразрушающего контроля материалов и изделий в составе ультразвуковых дефектоскопов общего применения |
Основные технические данные и характеристики |
Тип преобразователя | Контактный наклонный совмещенный | |
Номинальная частота | 2,5 МГц |
Номинальный угол ввода в сталь 20 | 40 °C |
Диаметр пьезоэлемента | 12 мм |
Емкость пьезоэлемента | (350 +/- 50) пФ |
Согласующая индуктивность | есть |
Максимальное допустимое электрическое напряжение | 400 В |
Размеры рабочей поверхности | 31 * 18 мм |
Тип разъема | LEMO 00.250 |
Диапазон рабочих температур | От минус 20 °C до плюс 50 °C |
Габаритные размеры | 31 * 18 * 28 мм |
Масса | 31 г |
Условия измерений и применяемое оборудование |
|
Испытательный возбуждающий сигнал | Прямоугольный импульс с амплитудой 20 В и длительностью 200 нс |
Параметры приемного тракта | Усилитель с полосой пропускания 0,75 - 15,00 МГц и входным сопротивлением 1 кОм. Эффективное значение шума, приведенного к входу усилителя, не более 20 мкВ |
Демпфирующий резистор | 51 Ом (подключен параллельно преобразователю) |
Кабель | RG174 с волновым сопротивлением 50 Ом и длиной 1 м |
Калибровочные образцы (меры) | Стандартный образец СО-3 из стали 20, скорость поперечных волн 3217 м/с Стандартный образец СО-2 из стали 20, скорость поперечных волн 3248 м/с |
Температура окружающей среды при измерениях: плюс 24 °C |
Расположение плоскости падения относительно корпуса преобразователя | Угол ввода в сталь 20,  | 41,2° |
| Угол скоса (положительное направление отсчета угла - против часовой стрелки по рисунку),  | -0,6° |
Стрела ПЭП | 14 мм |
Время задержки в ПЭП | 6,8 мкс |
Фокусное расстояние | - |
Продольный размер фокальной области | - |
Поперечный размер фокальной области | - |
| |
Длительность эхоимпульса | 0,56 мкс | Рабочая частота,  | 2,55 МГц |
Нижняя частота АЧХ,  | 1,93 МГц | Относительная полоса пропускания,  | 49% |
Верхняя частота АЧХ,  | 3,17 МГц | Коэффициент преобразования,  | 59,6 дБ |
Частота максимума АЧХ,  | 2,47 МГц | | |
РШХ без акустической нагрузки и АРД-диаграмма |
|
За уровень 0 дБ принята амплитуда импульса возбуждения преобразователя (20 В). Разметка времени по горизонтальной оси соответствует распространению сигнала только в материале объекта контроля. Справа от кривых АВД указана площадь соответствующего дискового отражателя в квадратных миллиметрах. |
Условия хранения и транспортирования |
Преобразователи следует хранить в чистых сухих помещениях с температурой окружающей среды от минус 30 °C до плюс 70 °C, относительной влажностью не более 95% при плюс 35 °C и при отсутствии в воздухе агрессивных паров и газов, способных вызвать коррозию или иные повреждения. Транспортирование упакованных преобразователей производится любым видом транспорта при температуре окружающей среды от минус 30 °C до плюс 65 °C и относительной влажности воздуха не более 95% при плюс 35 °C. При транспортировании должна быть предусмотрена защита от попадания атмосферных осадков и пыли. |
Гарантийные обязательства |
Гарантийный срок - 3 месяца от даты продажи |
Измерение выполнил _____________ | Дата измерений _____________ |