Главная // Актуальные документы // ГОСТ Р (Государственный стандарт)СПРАВКА
Источник публикации
М.: Стандартинформ, 2021
Примечание к документу
Документ
введен в действие с 30.11.2021.
Название документа
"ГОСТ Р 59334-2021. Национальный стандарт Российской Федерации. Системная инженерия. Защита информации в процессе управления качеством системы"
(утв. и введен в действие Приказом Росстандарта от 28.04.2021 N 309-ст)
"ГОСТ Р 59334-2021. Национальный стандарт Российской Федерации. Системная инженерия. Защита информации в процессе управления качеством системы"
(утв. и введен в действие Приказом Росстандарта от 28.04.2021 N 309-ст)
Утвержден и введен в действие
агентства по техническому
регулированию и метрологии
от 28 апреля 2021 г. N 309-ст
НАЦИОНАЛЬНЫЙ СТАНДАРТ РОССИЙСКОЙ ФЕДЕРАЦИИ
СИСТЕМНАЯ ИНЖЕНЕРИЯ
ЗАЩИТА ИНФОРМАЦИИ В ПРОЦЕССЕ УПРАВЛЕНИЯ КАЧЕСТВОМ СИСТЕМЫ
System engineering. Protection of information
in system quality management process
ГОСТ Р 59334-2021
Дата введения
30 ноября 2021 года
1 РАЗРАБОТАН Федеральным государственным учреждением "Федеральный исследовательский центр "Информатика и управление" Российской академии наук" (ФГУ ФИЦ ИУ РАН), Федеральным автономным учреждением "Государственный научно-исследовательский испытательный институт проблем технической защиты информации Федеральной службы по техническому и экспортному контролю" (ФАУ ГНИИИ ПТЗИ ФСТЭК России), Федеральным бюджетным учреждением "Научно-технический центр Энергобезопасность" (ФБУ "НТЦ Энергобезопасность"), Обществом с ограниченной ответственностью "Научно-исследовательский институт прикладной математики и сертификации" (ООО НИИПМС) и Акционерным обществом "Научно-производственное объединение "Эшелон" (АО "НПО Эшелон")
2 ВНЕСЕН Техническим комитетом по стандартизации ТК 022 "Информационные технологии"
3 УТВЕРЖДЕН И ВВЕДЕН В ДЕЙСТВИЕ
Приказом Федерального агентства по техническому регулированию и метрологии от 28 апреля 2021 г. N 309-ст
4 ВВЕДЕН ВПЕРВЫЕ
Правила применения настоящего стандарта установлены в статье 26 Федерального закона от 29 июня 2015 г. N 162-ФЗ "О стандартизации в Российской Федерации". Информация об изменениях к настоящему стандарту публикуется в ежегодном (по состоянию на 1 января текущего года) информационном указателе "Национальные стандарты", а официальный текст изменений и поправок - в ежемесячном информационном указателе "Национальные стандарты". В случае пересмотра (замены) или отмены настоящего стандарта соответствующее уведомление будет опубликовано в ближайшем выпуске ежемесячного информационного указателя "Национальные стандарты". Соответствующая информация, уведомление и тексты размещаются также в информационной системе общего пользования - на официальном сайте Федерального агентства по техническому регулированию и метрологии в сети Интернет (www.gost.ru)
Настоящий стандарт расширяет комплекс национальных стандартов системной инженерии по защите информации при планировании и реализации процессов в жизненном цикле различных систем. Выбор и применение реализуемых процессов для системы в ее жизненном цикле осуществляют по
ГОСТ Р 57193. Методы системной инженерии в интересах защиты информации применяют:
- для процессов соглашения - процессов приобретения и поставки продукции и услуг для системы - по
ГОСТ Р 59329;
- для процессов организационного обеспечения проекта - процессов управления моделью жизненного цикла, управления инфраструктурой системы, управления портфелем проектов, управления человеческими ресурсами, управления знаниями - по
ГОСТ Р 59330,
ГОСТ Р 59331,
ГОСТ Р 59332,
ГОСТ Р 59333,
ГОСТ Р 59335. Для процесса управления качеством системы - по настоящему стандарту;
- для процессов технического управления - процессов планирования проекта, оценки и контроля проекта, управления решениями, управления рисками, управления конфигурацией, управления информацией, измерений, гарантии качества -
ГОСТ Р 59336,
ГОСТ Р 59337,
ГОСТ Р 59338,
ГОСТ Р 59339,
ГОСТ Р 59340,
ГОСТ Р 59341,
ГОСТ Р 59342,
ГОСТ Р 59343;
- для технических процессов - процессов анализа бизнеса или назначения, определения потребностей и требований заинтересованной стороны, определения системных требований, определения архитектуры, определения проекта, системного анализа, реализации, комплексирования, верификации, передачи системы, аттестации, функционирования, сопровождения, изъятия и списания системы - по
ГОСТ Р 59344,
ГОСТ Р 59345,
ГОСТ Р 59346,
ГОСТ Р 59347,
ГОСТ Р 59348,
ГОСТ Р 59349,
ГОСТ Р 59350,
ГОСТ Р 59351,
ГОСТ Р 59352,
ГОСТ Р 59353,
ГОСТ Р 59354,
ГОСТ Р 59355,
ГОСТ Р 59356,
ГОСТ Р 59357.
Стандарт устанавливает основные требования системной инженерии к защите информации в процессе управления качеством рассматриваемой системы и специальные требования к используемым количественным показателям.
Для планируемого и реализуемого процесса управления качеством системы применение настоящего стандарта при создании (модернизации, развитии) и эксплуатации систем обеспечивает проведение системного анализа, основанного на прогнозировании рисков.
Настоящий стандарт устанавливает основные положения системного анализа для процесса управления качеством системы применительно к вопросам защиты информации в системах различных областей приложения.
Для практического применения в
приложениях А -
Д приведены примеры перечней активов, подлежащих защите, и угроз, типовые модели и методы системного анализа, типовые допустимые значения для показателей рисков, примерный перечень методик системного анализа.
Примечание - Оценка ущербов выходит за рамки настоящего стандарта. Для разработки самостоятельной методики по оценке ущербов учитывают специфику систем - см., например,
ГОСТ Р 22.10.01,
ГОСТ Р 54145. При этом должны учитываться соответствующие положения законодательства Российской Федерации.
Требования стандарта предназначены для использования организациями, участвующими в создании (модернизации, развитии) и эксплуатации систем и реализующими процесс управления качеством, а также теми заинтересованными сторонами, которые уполномочены осуществлять контроль выполнения требований по защите информации в жизненном цикле систем - см. примеры систем в
[1] -
[26].
В настоящем стандарте использованы нормативные ссылки на следующие стандарты:
ГОСТ 2.051 Единая система конструкторской документации. Электронные документы. Общие положения
ГОСТ 2.102 Единая система конструкторской документации. Виды и комплектность конструкторских документов
ГОСТ 2.114 Единая система конструкторской документации. Технические условия
ГОСТ 2.602 Единая система конструкторской документации. Ремонтные документы
ГОСТ 3.1001 Единая система технологической документации. Общие положения
ГОСТ 7.32 Система стандартов по информации, библиотечному и издательскому делу. Отчет о научно-исследовательской работе. Структура и правила оформления
ГОСТ 15.016 Система разработки и постановки продукции на производство. Техническое задание. Требования к содержанию и оформлению
ГОСТ 15.101 Система разработки и постановки продукции на производство. Порядок выполнения научно-исследовательских работ
ГОСТ 27.002 Надежность в технике. Термины и определения
ГОСТ 34.003 Информационная технология. Комплекс стандартов на автоматизированные системы. Автоматизированные системы. Термины и определения
ГОСТ 34.201 Информационная технология. Комплекс стандартов на автоматизированные системы. Виды, комплектность и обозначение документов при создании автоматизированных систем
ГОСТ 34.601 Информационная технология. Комплекс стандартов на автоматизированные системы. Автоматизированные системы. Стадии создания
ГОСТ 34.602 Информационная технология. Комплекс стандартов на автоматизированные системы. Техническое задание на создание автоматизированной системы
ГОСТ IEC 61508-3 Функциональная безопасность систем электрических, электронных, программируемых электронных, связанных с безопасностью. Часть 3. Требования к программному обеспечению
ГОСТ Р 2.601 Единая система конструкторской документации. Эксплуатационные документы
ГОСТ Р 15.301 Система разработки и постановки продукции на производство. Продукция производственно-технического назначения. Порядок разработки и постановки продукции на производство
ГОСТ Р 22.10.01 Безопасность в чрезвычайных ситуациях. Оценка ущерба. Термины и определения
ГОСТ Р ИСО 2859-1 Статистические методы. Процедуры выборочного контроля по альтернативному признаку. Часть 1. Планы выборочного контроля последовательных партий на основе приемлемого уровня качества
ГОСТ Р ИСО 2859-3 Статистические методы. Процедуры выборочного контроля по альтернативному признаку. Часть 3. Контроль с пропуском партий
ГОСТ Р ИСО 3534-1 Статистические методы. Словарь и условные обозначения. Часть 1. Общие статистические термины и термины, используемые в теории вероятностей
ГОСТ Р ИСО 3534-2 Статистические методы. Словарь и условные обозначения. Часть 2. Прикладная статистика
ГОСТ Р ИСО 7870-2 Статистические методы. Контрольные карты. Часть 2. Контрольные карты Шухарта
ГОСТ Р ИСО 11231 Менеджмент риска. Вероятностная оценка риска на примере космических систем
ГОСТ Р ИСО/МЭК 12207 Информационная технология. Системная и программная инженерия. Процессы жизненного цикла программных средств
ГОСТ Р ИСО 13379-1 Контроль состояния и диагностика машин. Методы интерпретации данных и диагностирования. Часть 1. Общее руководство
ГОСТ Р ИСО 13381-1 Контроль состояния и диагностика машин. Прогнозирование технического состояния. Часть 1. Общее руководство
ГОСТ Р ИСО 14258 Промышленные автоматизированные системы. Концепции и правила для моделей предприятия
ГОСТ Р ИСО/МЭК 15026-4 Системная и программная инженерия. Гарантирование систем и программного обеспечения. Часть 4. Гарантии жизненного цикла
ГОСТ Р ИСО 15704 Промышленные автоматизированные системы. Требования к стандартным архитектурам и методологиям предприятия
ГОСТ Р ИСО/МЭК 16085 Менеджмент риска. Применение в процессах жизненного цикла систем и программного обеспечения
ГОСТ Р ИСО/МЭК 20000-1 Информационная технология. Управление услугами. Часть 1. Требования к системе управления услугами
ГОСТ Р ИСО/МЭК 27001 Информационная технология. Методы и средства обеспечения безопасности. Системы менеджмента информационной безопасности. Требования
ГОСТ Р ИСО/МЭК 27002 Информационная технология. Методы и средства обеспечения безопасности. Свод норм и правил менеджмента информационной безопасности
ГОСТ Р ИСО/МЭК 27005-2010 Информационная технология. Методы и средства обеспечения безопасности. Менеджмент риска информационной безопасности
ГОСТ Р ИСО/МЭК 27036-2 Информационные технологии. Методы и средства обеспечения безопасности. Информационная безопасность во взаимоотношениях с поставщиками. Часть 2. Требования
ГОСТ Р ИСО/МЭК 27036-4 Информационные технологии. Методы и средства обеспечения безопасности. Информационная безопасность во взаимоотношениях с поставщиками. Часть 4. Рекомендации по обеспечению безопасности облачных услуг
ГОСТ Р 50779.41 Статистические методы. Контрольные карты для арифметического среднего с предупреждающими границами
ГОСТ Р 50779.70 Статистические методы. Процедуры выборочного контроля по альтернативному признаку. Введение в стандарты серии ГОСТ Р ИСО 2859
ГОСТ Р 51275 Защита информации. Объект информатизации. Факторы, воздействующие на информацию. Общие положения
ГОСТ Р 51583 Защита информации. Порядок создания автоматизированных систем в защищенном исполнении. Общие положения
ГОСТ Р 51901.5 Менеджмент риска. Руководство по применению методов анализа надежности
ГОСТ Р 51901.16 Менеджмент риска. Повышение надежности. Статистические критерии и методы оценки
ГОСТ Р 51904 Программное обеспечение встроенных систем. Общие требования к разработке и документированию
ГОСТ Р 53647.1 Менеджмент непрерывности бизнеса. Часть 1. Практическое руководство
ГОСТ Р 54124 Безопасность машин и оборудования. Оценка риска
ГОСТ Р 54145 Менеджмент рисков. Руководство по применению организационных мер безопасности и оценке рисков. Общая методология
ГОСТ Р 56939 Защита информации. Разработка безопасного программного обеспечения. Общие требования
ГОСТ Р 57100 Системная и программная инженерия. Описание архитектуры
ГОСТ Р 57102 Информационные технологии. Системная и программная инженерия. Управление жизненным циклом. Часть 2. Руководство по применению ИСО/МЭК 15288
ГОСТ Р 57193-2016 Системная и программная инженерия. Процессы жизненного цикла систем
ГОСТ Р 57272.1 Менеджмент риска применения новых технологий. Часть 1. Общие требования
ГОСТ Р 57839 Производственные услуги. Системы безопасности технические. Задание на проектирование. Общие требования
ГОСТ Р 58412 Защита информации. Разработка безопасного программного обеспечения. Угрозы безопасности информации при разработке программного обеспечения
ГОСТ Р 58494 Оборудование горно-шахтное. Многофункциональные системы безопасности угольных шахт. Система дистанционного контроля опасных производственных объектов
ГОСТ Р 59215 Информационные технологии. Методы и средства обеспечения безопасности. Информационная безопасность во взаимоотношениях с поставщиками. Часть 3. Рекомендации по обеспечению безопасности цепи поставок информационных и коммуникационных технологий
ГОСТ Р 59329 Системная инженерия. Защита информации в процессах приобретения и поставки продукции и услуг для системы
ГОСТ Р 59330 Системная инженерия. Защита информации в процессе управления моделью жизненного цикла системы
ГОСТ Р 59331-2021 Системная инженерия. Защита информации в процессе управления инфраструктурой системы
ГОСТ Р 59332 Системная инженерия. Защита информации в процессе управления портфелем проектов
ГОСТ Р 59333 Системная инженерия. Защита информации в процессе управления человеческими ресурсами системы
ГОСТ Р 59335 Системная инженерия. Защита информации в процессе управления знаниями о системе
ГОСТ Р 59336 Системная инженерия. Защита информации в процессе планирования проекта
ГОСТ Р 59337 Системная инженерия. Защита информации в процессе оценки и контроля проекта
ГОСТ Р 59338 Системная инженерия. Защита информации в процессе управления решениями
ГОСТ Р 59339 Системная инженерия. Защита информации в процессе управления рисками для системы
ГОСТ Р 59340 Системная инженерия. Защита информации в процессе управления конфигурацией системы
ГОСТ Р 59341-2021 Системная инженерия. Защита информации в процессе управления информацией системы
ГОСТ Р 59342 Системная инженерия. Защита информации в процессе измерений системы
ГОСТ Р 59343 Системная инженерия. Защита информации в процессе гарантии качества для системы
ГОСТ Р 59344 Системная инженерия. Защита информации в процессе анализа бизнеса или назначения системы
ГОСТ Р 59345 Системная инженерия. Защита информации в процессе определения потребностей и требований заинтересованной стороны для системы
ГОСТ Р 59346 Системная инженерия. Защита информации в процессе определения системных требований
ГОСТ Р 59347-2021 Системная инженерия. Защита информации в процессе определения архитектуры системы
ГОСТ Р 59348 Системная инженерия. Защита информации в процессе определения проекта
ГОСТ Р 59349 Системная инженерия. Защита информации в процессе системного анализа
ГОСТ Р 59350 Системная инженерия. Защита информации в процессе реализации системы
ГОСТ Р 59351 Системная инженерия. Защита информации в процессе комплексирования системы
ГОСТ Р 59352 Системная инженерия. Защита информации в процессе верификации системы
ГОСТ Р 59353 Системная инженерия. Защита информации в процессе передачи системы
ГОСТ Р 59354 Системная инженерия. Защита информации в процессе аттестации системы
ГОСТ Р 59355 Системная инженерия. Защита информации в процессе функционирования системы
ГОСТ Р 59356 Системная инженерия. Защита информации в процессе сопровождения системы
ГОСТ Р 59357 Системная инженерия. Защита информации в процессе изъятия и списания системы
ГОСТ Р МЭК 61069-1 Измерение, управление и автоматизация промышленного процесса. Определение свойств системы с целью ее оценки. Часть 1. Терминология и общие концепции
ГОСТ Р МЭК 61069-2 Измерение, управление и автоматизация промышленного процесса. Определение свойств системы с целью ее оценки. Часть 2. Методология оценки
ГОСТ Р МЭК 61069-3 Измерение, управление и автоматизация промышленного процесса. Определение свойств системы с целью ее оценки. Часть 3. Оценка функциональности системы
ГОСТ Р МЭК 61069-4 Измерение, управление и автоматизация промышленного процесса. Определение свойств системы с целью ее оценки. Часть 4. Оценка производительности системы
ГОСТ Р МЭК 61069-5 Измерение, управление и автоматизация промышленного процесса. Определение свойств системы с целью ее оценки. Часть 5. Оценка надежности системы
ГОСТ Р МЭК 61069-6 Измерение, управление и автоматизация промышленного процесса. Определение свойств системы с целью ее оценки. Часть 6. Оценка эксплуатабельности системы
ГОСТ Р МЭК 61069-7 Измерение, управление и автоматизация промышленного процесса. Определение свойств системы с целью ее оценки. Часть 7. Оценка безопасности системы
ГОСТ Р МЭК 61069-8 Измерение, управление и автоматизация промышленного процесса. Определение свойств системы с целью ее оценки. Часть 8. Оценка других свойств системы
ГОСТ Р МЭК 61508-1 Функциональная безопасность систем электрических, электронных, программируемых электронных, связанных с безопасностью. Часть 1. Общие требования
ГОСТ Р МЭК 61508-2 Функциональная безопасность систем электрических, электронных, программируемых электронных, связанных с безопасностью. Часть 2. Требования к системам
ГОСТ Р МЭК 61508-4 Функциональная безопасность систем электрических, электронных, программируемых электронных, связанных с безопасностью. Часть 4. Термины и определения
ГОСТ Р МЭК 61508-5 Функциональная безопасность систем электрических, электронных, программируемых электронных, связанных с безопасностью. Часть 5. Рекомендации по применению методов определения уровней полноты безопасности
ГОСТ Р МЭК 61508-6 Функциональная безопасность систем электрических, электронных, программируемых электронных, связанных с безопасностью. Часть 6. Руководство по применению ГОСТ Р МЭК 61508-2 и ГОСТ Р МЭК 61508-3
ГОСТ Р МЭК 61508-7 Функциональная безопасность систем электрических, электронных, программируемых электронных, связанных с безопасностью. Часть 7. Методы и средства
ГОСТ Р МЭК 62264-1 Интеграция систем управления предприятием. Часть 1. Модели и терминология
Примечание - При пользовании настоящим стандартом целесообразно проверить действие ссылочных стандартов в информационной системе общего пользования - на официальном сайте Федерального агентства по техническому регулированию и метрологии в сети Интернет или по ежегодному информационному указателю "Национальные стандарты", который опубликован по состоянию на 1 января текущего года, и по выпускам ежемесячного информационного указателя "Национальные стандарты" за текущий год. Если заменен ссылочный стандарт, на который дана недатированная ссылка, то рекомендуется использовать действующую версию этого стандарта с учетом всех внесенных в данную версию изменений. Если заменен ссылочный стандарт, на который дана датированная ссылка, то рекомендуется использовать версию этого стандарта с указанным выше годом утверждения (принятия). Если после утверждения настоящего стандарта в ссылочный стандарт, на который дана датированная ссылка, внесено изменение, затрагивающее положение, на которое дана ссылка, то это положение рекомендуется применять без учета данного изменения. Если ссылочный стандарт отменен без замены, то положение, в котором дана ссылка на него, рекомендуется применять в части, не затрагивающей эту ссылку.
3 Термины, определения и сокращения
3.1 В настоящем стандарте применены термины по
ГОСТ 27.002,
ГОСТ 34.003,
ГОСТ Р ИСО 9000,
ГОСТ Р ИСО/МЭК 27001,
ГОСТ Р ИСО 31000,
ГОСТ Р 50922,
ГОСТ Р 51275,
ГОСТ Р 51897,
ГОСТ Р 59329,
ГОСТ Р 59330,
ГОСТ Р 59331,
ГОСТ Р 59332,
ГОСТ Р 59333,
ГОСТ Р 59335,
ГОСТ Р 59336,
ГОСТ Р 59337,
ГОСТ Р 59338,
ГОСТ Р 59339,
ГОСТ Р 59340,
ГОСТ Р 59341,
ГОСТ Р 59342,
ГОСТ Р 59343,
ГОСТ Р 59344,
ГОСТ Р 59345,
ГОСТ Р 59346,
ГОСТ Р 59347,
ГОСТ Р 59348,
ГОСТ Р 59349,
ГОСТ Р 59350,
ГОСТ Р 59351,
ГОСТ Р 59352,
ГОСТ Р 59353,
ГОСТ Р 59354,
ГОСТ Р 59355,
ГОСТ Р 59356,
ГОСТ Р 59357,
ГОСТ Р МЭК 61508-4,
ГОСТ Р МЭК 62264-1, а также следующие термины с соответствующими определениями:
3.1.1
допустимый риск: Риск, который в данной ситуации считают приемлемым при существующих общественных ценностях. |
3.1.2
защита информации: Деятельность, направленная на предотвращение утечки защищаемой информации, несанкционированных и непреднамеренных воздействий на защищаемую информацию. |
3.1.3
защита информации от утечки: Защита информации, направленная на предотвращение неконтролируемого распространения защищаемой информации в результате ее разглашения и несанкционированного доступа к ней, а также на исключение (затруднение) получения защищаемой информации [иностранными] разведками и другими заинтересованными субъектами. Примечание - Заинтересованными субъектами могут быть: государство, юридическое лицо, группа физических лиц, отдельное физическое лицо. |
3.1.4
защита информации от несанкционированного воздействия: Защита информации, направленная на предотвращение несанкционированного доступа и воздействия на защищаемую информацию с нарушением установленных прав и (или) правил на изменение информации, приводящих к разрушению, уничтожению, искажению, сбою в работе, незаконному перехвату и копированию, блокированию доступа к информации, а также к утрате, уничтожению или сбою функционирования носителя информации. |
3.1.5
защита информации от непреднамеренного воздействия: Защита информации, направленная на предотвращение воздействия на защищаемую информацию ошибок ее пользователя, сбоя технических и программных средств информационных систем, природных явлений или иных нецеленаправленных на изменение информации событий, приводящих к искажению, уничтожению, копированию, блокированию доступа к информации, а также к утрате, уничтожению или сбою функционирования носителя информации. |
3.1.6 интегральный риск нарушения реализации процесса управления качеством системы с учетом требований по защите информации: Сочетание вероятности того, что будут нарушены надежность реализации процесса либо требования по защите информации, либо и то и другое, с тяжестью возможного ущерба.
3.1.7
качество: Степень соответствия совокупности присущих характеристик объекта требованиям. Примечания 1 Термин "качество" может применяться с прилагательными, такими как плохое, хорошее или превосходное. 2 Термин "присущий", являющийся противоположным термину "присвоенный", означает имеющийся в объекте. |
3.1.8 надежность реализации процесса управления качеством системы: Свойство процесса управления качеством системы сохранять во времени в установленных пределах значения показателей, характеризующих способность выполнения необходимых действий процесса в заданных условиях его реализации в приемлемые сроки с обеспечением требуемого качества.
3.1.9
норма эффективности защиты информации: Значение показателя эффективности защиты информации, установленное нормативными и правовыми документами. |
3.1.10
показатель эффективности защиты информации: Мера или характеристика для оценки эффективности защиты информации. |
3.1.11
пользователь: Лицо или группа лиц, извлекающих пользу из системы в процессе ее применения. Примечание - Роль пользователя и роль оператора может выполняться одновременно или последовательно одним и тем же человеком или организацией. |
3.1.12
риск: Сочетание вероятности нанесения ущерба и тяжести этого ущерба. |
3.1.13 система-эталон: Реальная или гипотетичная система, которая по своим показателям интегрального риска нарушения реализации рассматриваемого процесса с учетом требований по защите информации принимается в качестве эталона для полного удовлетворения требований заинтересованных сторон системы и рационального решения задач системного анализа, связанных с обоснованием допустимых рисков, обеспечением нормы эффективности защиты информации, обоснованием мер, направленных на достижение целей процесса, противодействие угрозам и определение сбалансированных решений при средне- и долгосрочном планировании, а также с обоснованием предложений по совершенствованию и развитию системы защиты информации.
3.1.14
системная инженерия: Междисциплинарный подход, управляющий полным техническим и организаторским усилием, требуемым для преобразования ряда потребностей заинтересованных сторон, ожиданий и ограничений в решение и для поддержки этого решения в течение его жизни. |
3.1.15
требование: Утверждение, которое отражает или выражает потребность и связанные с ней ограничения и условия. Примечание - Требования существуют на различных уровнях и выражают потребность в высокоуровневой форме (например, требование компонента программного обеспечения). |
3.1.16
требование по защите информации: Установленное правило или норма, которые должны быть выполнены при организации и осуществлении защиты информации, или допустимое значение показателя эффективности защиты информации. |
3.1.17 целостность моделируемой системы: Состояние моделируемой системы, которое отвечает целевому назначению модели системы в течение задаваемого периода прогноза.
3.1.18
эффективность защиты информации: Степень соответствия результатов защиты информации цели защиты информации. |
3.2 В настоящем стандарте использовано сокращение:
ТЗ - техническое задание.
4 Основные положения системной инженерии по защите информации в процессе управления качеством системы
4.1 Общие положения
Организации используют процесс управления качеством в рамках создания (модернизации, развития) и эксплуатации системы для обеспечения ее эффективности.
Управление качеством системы организуют согласно требованиям
ГОСТ Р ИСО 9001,
ГОСТ Р ИСО/МЭК 20000-1. В процессе управления качеством системы осуществляют защиту информации, направленную на обеспечение конфиденциальности, целостности и доступности защищаемой информации, предотвращение несанкционированных и непреднамеренных воздействий на защищаемую информацию. Должна быть обеспечена надежная реализация процесса.
Для прогнозирования рисков нарушения надежности реализации процесса и обоснования эффективных предупреждающих мер по снижению этих рисков или их удержанию в допустимых пределах используют системный анализ процесса с учетом требований по защите информации в условиях возможных угроз.
Определение выходных результатов процесса управления качеством системы и типовых действий по защите информации осуществляют по
ГОСТ 2.114,
ГОСТ 7.32,
ГОСТ 15.101,
ГОСТ 34.201,
ГОСТ 34.602,
ГОСТ Р ИСО 9001,
ГОСТ Р ИСО/МЭК 12207,
ГОСТ Р ИСО 15704,
ГОСТ Р ИСО/МЭК 20000-1,
ГОСТ Р 51904,
ГОСТ Р 57100,
ГОСТ Р 57102,
ГОСТ Р 57193,
ГОСТ Р 57839. Оценку интегрального риска нарушения реализации процесса управления качеством системы с учетом требований по защите информации осуществляют по настоящему стандарту с использованием рекомендаций
ГОСТ Р ИСО 2859-1,
ГОСТ Р ИСО 2859-3,
ГОСТ Р ИСО 3534-1,
ГОСТ Р ИСО 3534-2,
ГОСТ Р ИСО 7870-1,
ГОСТ Р ИСО 7870-2,
ГОСТ Р ИСО 9001,
ГОСТ Р ИСО/МЭК 16085,
ГОСТ Р ИСО/МЭК 27005,
ГОСТ Р ИСО 31000,
ГОСТ Р 50779.41,
ГОСТ Р 50779.70,
ГОСТ Р 51897,
ГОСТ Р 51901.1,
ГОСТ Р 51901.5,
ГОСТ Р 51901.7,
ГОСТ Р 54124,
ГОСТ Р 57102,
ГОСТ Р 57272.1,
ГОСТ Р 58494,
ГОСТ Р 58771,
ГОСТ Р 59339,
ГОСТ Р 59346,
ГОСТ Р 59349,
ГОСТ Р 59354,
ГОСТ Р 59355. При этом учитывают специфику создаваемой (модернизируемой) и/или применяемой системы - см., например,
[20] -
[26].
4.2 Стадии и этапы жизненного цикла системы
Процесс управления качеством системы используют на стадиях замысла, формирования требований, разработки концепции и ТЗ, разработки, эксплуатации и сопровождения системы. Стадии и этапы работ по созданию (модернизации, развитию) и эксплуатации системы устанавливают в договорах, соглашениях и ТЗ, с учетом специфики и условий функционирования системы. Перечень этапов и конкретных работ в жизненном цикле систем формируют с учетом требований
ГОСТ 2.114,
ГОСТ 15.016,
ГОСТ 34.601,
ГОСТ 34.602,
ГОСТ Р 15.301,
ГОСТ Р ИСО 9001,
ГОСТ Р ИСО/МЭК 12207,
ГОСТ Р ИСО 31000,
ГОСТ Р 51583,
ГОСТ Р 51901.1,
ГОСТ Р 51901.7,
ГОСТ Р 57102,
ГОСТ Р 57193,
ГОСТ Р 57272.1,
ГОСТ Р 57839. Процесс управления качеством может входить в состав работ, выполняемых в рамках других процессов жизненного цикла систем, и при необходимости включать в себя другие процессы.
4.3 Цели процесса и назначение мер защиты информации
4.3.1 Определение целей процесса управления качеством системы осуществляют по
ГОСТ 34.601,
ГОСТ Р ИСО 9001,
ГОСТ Р ИСО/МЭК 12207,
ГОСТ Р ИСО/МЭК 16085,
ГОСТ Р ИСО/МЭК 20000-1,
ГОСТ Р ИСО/МЭК 27002,
ГОСТ Р 51583,
ГОСТ Р 57102,
ГОСТ Р 57193,
ГОСТ Р МЭК 61508-1,
ГОСТ Р МЭК 62264-1 в соответствии со спецификой, создаваемой (модернизируемой) и/или применяемой системы.
В общем случае главная цель процесса управления качеством системы состоит в том, чтобы выпускаемая продукция, выполняемые услуги и непосредственно реализация процесса управления качеством системы удовлетворяли организационным и проектным целям в области качества с достижением требуемой удовлетворенности заказчика и пользователей системы.
4.3.2 Меры защиты информации в процессе управления качеством системы предназначены для обеспечения конфиденциальности, целостности и доступности защищаемой информации, предотвращения утечки защищаемой информации, несанкционированных и непреднамеренных воздействий на защищаемую информацию. Определение мер защиты информации осуществляют по
ГОСТ Р ИСО/МЭК 27001,
ГОСТ Р ИСО/МЭК 27002,
ГОСТ Р 51275,
ГОСТ Р 51583,
ГОСТ Р 56939,
ГОСТ Р 58412,
ГОСТ Р МЭК 61508-7,
[19] -
[24] с учетом специфики создаваемой (модернизируемой) и/или применяемой системы и реализуемой стадии жизненного цикла.
4.4 Основные принципы
При проведении системного анализа процесса управления качеством системы руководствуются основными принципами, определенными в
ГОСТ Р 59349 с учетом дифференциации требований по защите информации в зависимости от категории значимости системы и важности обрабатываемой в ней информации (см.
ГОСТ Р 59346,
[20] -
[26]). Все применяемые принципы подчинены принципу целенаправленности осуществляемых действий.
4.5 Основные усилия системной инженерии
Основные усилия системной инженерии для обеспечения защиты информации в процессе управления качеством системы сосредотачивают:
- на определении выходных результатов и действий, предназначенных для достижения целей процесса и защиты активов, информация которых или о которых необходима для достижения этих целей;
- выявлении потенциальных угроз и определении возможных сценариев возникновения и развития угроз для активов, подлежащих защите, выходных результатов и выполняемых действий процесса;
- определении и прогнозировании рисков, подлежащих системному анализу;
- проведении системного анализа для обоснования мер, направленных на противодействие угрозам и достижение целей процесса.
5 Общие требования системной инженерии к защите информации в процессе управления качеством системы
5.1 Общие требования системной инженерии к защите информации устанавливают в ТЗ на разработку, модернизацию или развитие системы. Эти требования и методы их выполнения детализируют в ТЗ на составную часть системы, в качестве каковой может выступать система защиты информации, в конструкторской, технологической и эксплуатационной документации, в спецификациях на поставляемые продукцию и/или услуги. Содержание требований формируют при выполнении процесса определения системных требований с учетом нормативно-правовых документов Российской Федерации (см., например,
[1] -
[26]), уязвимостей системы, преднамеренных и непреднамеренных угроз нарушения функционирования системы и/или ее программных и программно-аппаратных элементов - см.
ГОСТ Р 59346.
Поскольку элементы процесса управления качеством системы могут использоваться на этапах, предваряющих получение и утверждение ТЗ, соответствующие требования к защите информации, применимые к этому процессу, могут быть оговорены в рамках соответствующих договоров и соглашений.
Примечание - Если информация относится к категории государственной тайны, в вопросах защиты информации руководствуются регламентирующими документами соответствующих государственных регуляторов.
5.2 Требования системной инженерии к защите информации призваны обеспечивать управление техническими и организационными усилиями по планированию и реализации процесса управления качеством системы и поддержке при этом эффективности защиты информации.
Требования системной инженерии к защите информации в процессе управления качеством системы включают:
- требования к показателям качества средств защиты информации;
- требования к составам выходных результатов процесса, выполняемых действий и используемых при этом активов, требующих защиты информации;
- требования к определению потенциальных угроз для выходных результатов и выполняемых действий процесса, а также возможных сценариев возникновения и развития этих угроз;
- требования к прогнозированию рисков при планировании и реализации процессов, обоснованию эффективных предупреждающих мер по снижению рисков или их удержанию в допустимых пределах.
5.3 Состав выходных результатов и выполняемых действий в процессе управления качеством системы определяют по
ГОСТ 2.114,
ГОСТ 7.32,
ГОСТ 15.016,
ГОСТ 15.101,
ГОСТ 34.201,
ГОСТ 34.602,
ГОСТ Р 15.301,
ГОСТ Р ИСО 9001,
ГОСТ Р ИСО/МЭК 12207,
ГОСТ Р ИСО 15704,
ГОСТ Р ИСО/МЭК 20000-1,
ГОСТ Р 51583,
ГОСТ Р 51904,
ГОСТ Р 53647.1,
ГОСТ Р 56939,
ГОСТ Р 57100,
ГОСТ Р 57102,
ГОСТ Р 57193,
ГОСТ Р 57839, с учетом специфики создаваемой (модернизируемой) и/или применяемой системы.
Примечание - В процессе управления качеством системы необходимо учитывать выходные результаты и выполняемые действия, необходимые для решения таких вопросов, как:
- гарантированное подтверждение достаточности автоматизированной деклассификации конфиденциальной информации (анонимизации, деперсонификации и т.п.);
- учет возможности повышения уровня конфиденциальности данных в процессе их обработки в системах искусственного интеллекта (по мере агрегирования, выявления скрытых зависимостей, восстановления изначально отсутствующей информации и т.п.);
- регламентация вопросов обеспечения конфиденциальности тестовых выборок исходных данных, используемых испытательными лабораториями при оценке соответствия прикладных систем искусственного интеллекта, с сохранением прозрачности и подотчетности этого процесса.
5.4 Меры защиты информации и действия по защите информации должны охватывать активы, информация которых или о которых необходима для получения выходных результатов и выполнения процесса управления качеством системы.
Примечание - В состав активов могут быть включены активы, используемые для достижения целей процесса управления качества в иных системах (подсистемах), не вошедших в состав рассматриваемой системы, но охватываемых по требованиям заказчика, например привлекаемые средства контроля качества разрабатываемого программного обеспечения.
5.5 Определение активов, информация которых или о которых подлежит защите, и формирование перечня потенциальных угроз и возможных сценариев возникновения и развития угроз для каждого из активов осуществляют по
ГОСТ 34.201,
ГОСТ 34.602,
ГОСТ IEC 61508-3,
ГОСТ Р ИСО/МЭК 27001,
ГОСТ Р 51583,
ГОСТ Р 56939,
ГОСТ Р 57102,
ГОСТ Р 57193,
ГОСТ Р 58412 с учетом требований
ГОСТ 15.016,
ГОСТ Р ИСО 9001,
ГОСТ Р ИСО/МЭК 12207,
ГОСТ Р ИСО/МЭК 27002,
ГОСТ Р ИСО/МЭК 27005,
ГОСТ Р ИСО 31000,
ГОСТ Р 51275,
ГОСТ Р 51901.1,
ГОСТ Р 51901.7,
ГОСТ Р 57839,
ГОСТ Р МЭК 61508-1,
ГОСТ Р МЭК 61508-2,
ГОСТ Р МЭК 61508-6,
ГОСТ Р МЭК 62264-1,
[19] -
[24].
Примеры перечней учитываемых активов и угроз в процессе управления качеством системы приведены в
приложениях А и
Б.
5.6 Эффективность защиты информации при выполнении процесса управления качеством системы анализируют по показателям рисков в зависимости от специфики системы, целей ее применения и возможных угроз при выполнении процесса. В системном анализе процесса используют модель угроз безопасности информации.
Системный анализ процесса осуществляют с использованием методов, моделей и методик (см.
приложения В,
Г,
Д) с учетом рекомендаций
ГОСТ IEC 61508-3,
ГОСТ Р ИСО 2859-1,
ГОСТ Р ИСО 2859-3,
ГОСТ Р ИСО 3534-1,
ГОСТ Р ИСО 3534-2,
ГОСТ Р ИСО 7870-1,
ГОСТ Р ИСО 7870-2,
ГОСТ Р ИСО 9001,
ГОСТ Р ИСО 13379-1,
ГОСТ Р ИСО 13381-1,
ГОСТ Р ИСО 14258,
ГОСТ Р ИСО/МЭК 15026,
ГОСТ Р ИСО/МЭК 15026-4,
ГОСТ Р ИСО/МЭК 16085,
ГОСТ Р ИСО 17359,
ГОСТ Р ИСО/МЭК 27002,
ГОСТ Р ИСО 31000,
ГОСТ Р 50779.41,
ГОСТ Р 50779.70,
ГОСТ Р 51901.1,
ГОСТ Р 51901.5,
ГОСТ Р 51901.16,
ГОСТ Р 54124,
ГОСТ Р 58771,
ГОСТ Р МЭК 61069-2,
ГОСТ Р МЭК 61069-4,
ГОСТ Р МЭК 61069-5,
ГОСТ Р МЭК 61069-6,
ГОСТ Р МЭК 61069-7,
ГОСТ Р МЭК 61069-8,
ГОСТ Р МЭК 61508-5,
ГОСТ Р МЭК 61508-7,
[19] -
[26].
5.7 Для обоснования эффективных предупреждающих мер по снижению рисков или их удержанию в допустимых пределах применяют системный анализ с использованием устанавливаемых специальных качественных и количественных показателей рисков. Качественные показатели для оценки рисков в области информационной безопасности определены в
ГОСТ Р ИСО/МЭК 27005. Целесообразность использования количественных показателей рисков в дополнение к качественным показателям может потребовать дополнительного обоснования. Состав специальных количественных показателей рисков в интересах системного анализа процесса управления качеством определен в
6.3.
Типовые модели и методы системного анализа процесса управления качеством системы, допустимые значения для расчетных показателей и примерный перечень методик системного анализа приведены в
приложениях В,
Г,
Д. Характеристики мер и действий по защите информации и исходные данные, обеспечивающие применение методов, моделей и методик, определяют на основе собираемой и накапливаемой статистики по рассматриваемым процессам и возможным условиям их реализации.
6 Специальные требования к количественным показателям
6.1 Общие положения
6.1.1 В приложении к защищаемым активам, действиям и выходным результатам процесса управления качеством системы, к которым предъявлены определенные требования по защите информации, осуществляют оценку эффективности защиты информации на основе прогнозирования рисков в условиях возможных угроз. Для обоснования эффективных предупреждающих мер по снижению риска или его удержанию в допустимых пределах используют системный анализ надежности реализации процесса с учетом требований по защите информации.
6.1.2 В общем случае основными выходными результатами процесса управления качеством системы являются:
- цели управления качеством;
- критерии и методы оценки качества;
- ресурсы и информация для поддержки и контроля действий в процессе управления качеством;
- результаты оценки и системного анализа процесса управления качеством;
- корректируемая политика и процедуры по управлению качеством, основанные на результатах системного анализа.
6.1.3 Для получения выходных результатов процесса управления качеством системы в общем случае выполняют следующие основные действия:
- планирование управления качеством, включая:
а) определение целей, политики и процедур по управлению качеством;
б) определение обязанностей и полномочий для реализации управления качеством;
в) определение критериев и методов оценки качества;
г) обеспечение ресурсами и информацией для управления качеством;
- оценку управления качеством, включая:
а) сбор и анализ результатов оценки процесса управления качеством в соответствии с определенными критериями;
б) оценку удовлетворенности заказчика;
в) периодический анализ действий по обеспечению качества выполнения проектов;
г) контроль улучшений качества для процессов, продукции и услуг;
- выполнение корректирующих и упреждающих действий по управлению качеством, включая:
а) планирование корректирующих действий для достижения целей управления качеством;
б) планирование упреждающих мер при выявлении недопустимого риска нарушения надежности реализации процесса управления качеством;
в) осуществление корректирующих действий для достижения целей управления качеством.
6.1.4 Текущие данные, накапливаемая и собираемая статистика, связанные с нарушениями требований по защите информации и нарушениями надежности реализации процесса, являются основой для принятия решений по факту наступления событий и источником исходных данных для прогнозирования рисков на задаваемый период прогноза. Риски оценивают вероятностными показателями с учетом возможных ущербов (см.
приложение В).
6.2 Требования к составу показателей
Выбираемые показатели должны обеспечивать проведение оценки эффективности защиты информации и прогнозирования интегрального риска нарушения реализации процесса управления качеством системы с учетом требований по защите информации.
Эффективность защиты информации оценивают с использованием количественных показателей, которые позволяют сформировать представление о текущих и потенциальных проблемах или о возможных причинах недопустимого снижения эффективности на ранних этапах проявления явных и скрытых угроз безопасности информации, когда можно принять предупреждающие корректирующие меры. Дополнительно могут быть использованы вспомогательные статистические показатели, характеризующие события, которые уже произошли, и их влияние на эффективность защиты информации при реализации процесса. Вспомогательные показатели позволяют исследовать произошедшие события и их последствия и сравнивать эффективность применяемых и/или возможных мер в действующей системе защиты информации.
6.3 Требования к количественным показателям прогнозируемых рисков
6.3.1 Для прогнозирования рисков в процессе управления качеством системы используют следующие количественные показатели:
- риск нарушения надежности реализации процесса управления качеством системы без учета требований по защите информации;
- риск нарушения требований по защите информации в процессе управления качеством системы;
- интегральный риск нарушения реализации процесса управления качеством системы с учетом требований по защите информации.
6.3.2 Риск нарушения надежности реализации процесса управления качеством системы без учета требований по защите информации характеризуют соответствующей вероятностью нарушения надежности реализации процесса управления качеством системы без учета требований по защите информации (в зависимости от вероятности невыполнения необходимых действий процесса, вероятности нарушения сроков выполнения необходимых действий процесса и вероятности наличия недопустимого брака в поставляемых продукции и/или услугах, в том числе внутри системы для обеспечения ее качества) в сопоставлении с возможными ущербами.
6.3.3 Риск нарушения требований по защите информации в процессе управления качеством системы характеризуют соответствующей вероятностью нарушения требований по защите информации в сопоставлении с возможным ущербом. При расчетах должны быть учтены защищаемые активы, действия реализуемого процесса и выходные результаты, к которым предъявляются определенные требования по защите информации.
6.3.4 Интегральный риск нарушения реализации процесса управления качеством системы характеризуют соответствующей вероятностью нарушения надежности реализации процесса без учета защиты информации и вероятностью нарушения требований по защите информации (см.
В.2,
В.3,
В.4) в сопоставлении с возможным ущербом.
6.4 Требования к источникам данных
Источниками исходных данных для расчетов количественных показателей являются (в части, свойственной процессу управления качеством системы):
-

данные функционирования системы защиты информации, в том числе срабатывания ее исполнительных механизмов;
- текущие и статистические данные о состоянии параметров системы защиты информации (привязанные к временам изменения состояний);
- текущие и статистические данные о самой системе или системах-аналогах, характеризующие не только данные о нарушениях надежности реализации процесса, но и события, связанные с утечкой защищаемой информации, несанкционированными или непреднамеренными воздействиями на защищаемую информацию (привязанные к временам наступления событий, характеризующих нарушения и предпосылки к нарушениям требований по защите информации);
- текущие и статистические данные результатов технического диагностирования системы защиты информации;
- наличие и готовность персонала системы защиты информации, данные об ошибках персонала (привязанные к временам наступления событий, характеризующих нарушения и предпосылки к нарушениям требований по защите информации, последовавшими из-за этих ошибок) в самой системе или в системах-аналогах;
- данные модели угроз безопасности информации и метаданные, позволяющие сформировать перечень потенциальных угроз и возможные сценарии возникновения и развития угроз для каждого из защищаемых активов.
Типовые исходные данные для моделирования приведены в
приложении В.
7 Требования к системному анализу
Требования к системному анализу процесса управления качеством включают:
- требования к прогнозированию рисков и обоснованию допустимых рисков;
- требования к выявлению явных и скрытых угроз;
- требования к поддержке принятия решений в процессе управления качеством системы.
Общие применимые рекомендации для проведения системного анализа изложены в
ГОСТ Р 59349. При обосновании и формулировании конкретных требований к системному анализу дополнительно руководствуются положениями
ГОСТ 2.114,
ГОСТ 15.016,
ГОСТ 34.602,
ГОСТ IEC 61508-3,
ГОСТ Р ИСО 3534-2,
ГОСТ Р ИСО 9001,
ГОСТ Р ИСО/МЭК 12207,
ГОСТ Р ИСО 13381-1,
ГОСТ Р ИСО/МЭК 15026,
ГОСТ Р ИСО/МЭК 27001,
ГОСТ Р ИСО/МЭК 27002,
ГОСТ Р ИСО 31000,
ГОСТ Р 51901.1,
ГОСТ Р 51901.7,
ГОСТ Р 56939,
ГОСТ Р 57102,
ГОСТ Р 57193,
ГОСТ Р 57272.1,
ГОСТ Р 57839,
ГОСТ Р 58412,
ГОСТ Р МЭК 61508-1,
ГОСТ Р МЭК 61508-2,
ГОСТ Р МЭК 61508-6,
ГОСТ Р МЭК 61508-7 с учетом специфики создаваемой (модернизируемой) и/или применяемой системы - см., например,
[21] -
[26].
(справочное)
ПРИМЕР ПЕРЕЧНЯ ЗАЩИЩАЕМЫХ АКТИВОВ
Перечень защищаемых активов в процессе управления качеством системы может включать (в части, свойственной этому процессу):
- выходные результаты процесса - по
6.1.2;
- активы государственных информационных систем, информационных систем персональных данных, автоматизированных систем управления производственными и технологическими процессами на критически важных объектах, потенциально опасных объектах, а также объектах, представляющих повышенную опасность для жизни и здоровья людей и для окружающей природной среды, значимых объектов критической информационной инфраструктуры Российской Федерации, - по
[21] -
[24];
- финансовые и плановые документы, связанные с проведением работ по созданию (модернизации, развитию) системы;
- документацию при обследовании объекта автоматизации (для автоматизируемых систем) - по
ГОСТ 34.601;
- документацию при выполнении научно-исследовательских работ - по
ГОСТ 7.32,
ГОСТ 15.101 с учетом специфики создаваемой (модернизируемой) и/или применяемой системы;
- персональные данные, базу данных и базу знаний, систему хранения архивов по системе;
- систему передачи данных и облачные данные организации, связанные с системой;
- выходные результаты иных процессов в жизненном цикле систем (в том числе обеспечивающих) с учетом их специфики, относящихся к качеству рассматриваемой системы.
(справочное)
Перечень угроз безопасности информации в процессе управления качеством системы может включать (в части, свойственной этому процессу):
- угрозы государственным информационным системам, информационным системам персональных данных, автоматизированным системам управления производственными и технологическими процессами на критически важных объектах, потенциально опасных объектах, а также объектах, представляющих повышенную опасность для жизни и здоровья людей и для окружающей природной среды, значимых объектов критической информационной инфраструктуры Российской Федерации, - см.
[21] -
[24];
- угрозы безопасности функционированию программного обеспечения, оборудования и коммуникаций, используемых в процессе работы, - по
ГОСТ Р ИСО/МЭК 27002 и
ГОСТ Р 54124;
- угрозы, связанные с приобретением или предоставлением облачных услуг, которые могут оказать влияние на информационную безопасность организаций, использующих эти услуги, - по
ГОСТ Р ИСО/МЭК 27036-4;
- прочие соответствующие угрозы безопасности информации, связанные с человеческим фактором, для информационных систем и автоматизированных систем управления производственными и технологическими процессами критически важных объектов из Банка данных угроз, сопровождаемого соответствующим государственным регулятором.
(справочное)
ТИПОВЫЕ МОДЕЛИ И МЕТОДЫ ПРОГНОЗИРОВАНИЯ РИСКОВ
В.1.1 Для прогнозирования рисков в процессе управления качеством системы применяют любые возможные методы, обеспечивающие приемлемое достижение поставленных целей. С учетом набираемой статистики в настоящем стандарте типовые модели и методы системного анализа обеспечивают оценку следующих показателей согласно
6.3:
- риска нарушения надежности реализации процесса управления качеством системы без учета требований по защите информации - см.
В.2;
- риска нарушения требований по защите информации в процессе управления качеством системы - см.
В.3;
- интегрального риска нарушения реализации процесса управления качеством системы с учетом требований по защите информации - см.
В.4.
В.1.2 Риск нарушения надежности реализации процесса управления качеством системы без учета требований по защите информации характеризуют:
- риском невыполнения необходимых действий процесса, определяемым вероятностью невыполнения необходимых действий процесса;
- риском нарушения сроков выполнения необходимых действий, определяемым вероятностью нарушения сроков выполнения необходимых действий процесса;
- риском наличия недопустимого брака в поставляемых продукции и/или услугах (в том числе внутри системы для обеспечения ее качества), определяемым вероятностью наличия недопустимого брака в поставляемых продукции и/или услугах.
Риск нарушения требований по защите информации в процессе управления качеством системы определяют соответствующей вероятностью нарушения требований по защите информации.
Вероятностные оценки обеспечивают уровень адекватности, достаточный для решения задач системного анализа, при условии многократной повторяемости анализируемых событий или в предположении такой повторяемости.
В.1.3 Интегральный риск нарушения реализации процесса управления качеством системы с учетом требований по защите информации характеризуют сочетанием риска нарушения надежности реализации процесса управления качеством системы без учета требований по защите информации и риска нарушения требований по защите информации в этом процессе.
В.1.4 При оценке рисков расчетным вероятностным показателям сопоставляют возможный ущерб, оцениваемый тяжестью последствий для системы и ее заинтересованных сторон в случае реализации угроз.
В.1.5 Для моделируемой системы нарушение реализации процесса управления качеством с учетом требований по защите информации характеризуется переходом системы в такое элементарное состояние, при котором имеет место или оказывается возможным ущерб по следующим причинам: из-за невыполнения необходимых действий процесса либо из-за нарушения сроков выполнения необходимых действий, либо из-за наличия недопустимого брака в поставляемых продукции и/или услугах, либо из-за нарушения требований по защите информации, либо из-за комбинации перечисленных причин.
В.1.6 В общем случае, исходя из целей системного анализа, риски оценивают на разных исходных данных. При использовании одних и тех же моделей для расчетов это может приводить к различным оценкам и интерпретациям рисков. Различия связаны с неодинаковой тяжестью возможного ущерба для заинтересованных сторон (из-за невыполнения необходимых действий процесса, нарушения сроков выполнения необходимых действий, наличия брака в поставляемой продукции и/или услугах, нарушений требований по защите информации), недоступностью или неполнотой статистических данных, используемых каждой из этих сторон в качестве исходных данных при системном анализе.
В.1.7 Выполнение или невыполнение действий и требований при моделировании отслеживается с использованием индикаторной функции

, которая позволяет учесть критичность последствий, связанных с невыполнением заданных условий согласно собираемой статистике:

(В.1)
Условие

, используемое в индикаторной функции, формируют путем анализа выполнения конкретных условий.
В.1.8 При формировании исходных данных для моделирования и проведении разностороннего системного анализа используют статистические методы контроля и управления качеством по
ГОСТ Р ИСО 2859-1,
ГОСТ Р ИСО 2859-3,
ГОСТ Р ИСО 3534-1,
ГОСТ Р ИСО 3534-2,
ГОСТ Р ИСО 7870-1,
ГОСТ Р ИСО 7870-2,
ГОСТ Р 50779.41,
ГОСТ Р 50779.70, методы оценки рисков по
ГОСТ IEC 61508-3,
ГОСТ Р ИСО 13379-1,
ГОСТ Р ИСО 13381-1,
ГОСТ Р ИСО 17359,
ГОСТ Р 51901.1,
ГОСТ Р 51901.7,
ГОСТ Р 51901.16,
ГОСТ Р 54124,
ГОСТ Р 58494,
ГОСТ Р 58771, ГОСТ Р МЭК 61069-1 - ГОСТ Р МЭК 61069-8,
ГОСТ Р МЭК 61508-1,
ГОСТ Р МЭК 61508-2, ГОСТ Р МЭК 61508-5 - ГОСТ Р МЭК 61508-7,
ГОСТ Р МЭК 62264-1.
В.2 Прогнозирование риска нарушения надежности реализации процесса без учета требований по защите информации
В.2.1 Общие положения
В.2.1.1 Надежность реализации процесса управления качеством системы без учета требований по защите информации представляет собой свойство процесса сохранять во времени в установленных пределах значения показателей, характеризующих способность выполнения необходимых действий процесса с обеспечением сроков выполнения необходимых действий и качества поставляемых продукции и/или услуг (в том числе внутри системы для обеспечения ее функционирования).
В.2.1.2 При проведении оценок расчетных показателей на заданный период прогноза предполагают усредненное повторение количественных исходных данных, свойственных прошедшему аналогичному периоду для моделируемой системы или для системы, выбранной в качестве аналога. Для исследования запроектных сценариев развития угроз, связанных с нарушением качества системы, при моделировании могут быть использованы гипотетичные исходные данные.
В.2.1.3 Используется предположение, что нарушение надежности реализации процесса управления качеством системы без учета требований по защите информации является следствием невыполнения необходимых действий и/или нарушения сроков выполнения необходимых действий процесса и/или наличия недопустимого брака в поставляемых продукции и/или услугах.
В.2.2 Оценка риска невыполнения необходимых действий процесса
В.2.2.1 Общие положения
Риск невыполнения необходимых действий процесса оценивают в качестве вспомогательного показателя при проведении оценок интегрального риска нарушения реализации процесса управления качеством системы с учетом требований по защите информации - см.
В.4. В реализуемом процессе должны быть выполнены необходимые действия. Невыполнение или незавершение выполнения необходимых действий процесса управления качеством системы - это угроза возможного ущерба. С точки зрения тяжести ущерба в случае невыполнения необходимых действий процесса, поставляемые системой продукция и/или услуги (в том числе внутри системы), могут быть условно сгруппированы по
k типам,
k >= 1. В общем случае для каждого типа требования к выполнению процесса управления качеством системы формулируют на уровне инструкций должностных лиц, участвующих в реализации процесса.
В.2.2.2 Метод оценки
При оценке риска вычисляют вероятность невыполнения необходимых действий процесса управления качеством по отдельной группе продукции и/или услуг или по всему множеству типов продукции и/или услуг и делают сопоставление с возможным ущербом.
На основе применения статистических данных вероятность невыполнения необходимых действий процесса для продукции и/или услуги k-го типа за задаваемое время Tзад k определяют по формуле
Rдействий k(
Tзад k) =
Gнаруш k(
Tзад k)/
Gk(
Tзад k), (В.2)
где Gнаруш k(Tзад k) и Gk(Tзад k) - соответственно количество случаев невыполнения необходимых действий процесса и общее количество необходимых действий процесса, подлежащих выполнению за заданное время Tзад k для продукции и/или услуги k-го типа согласно статистическим данным.
Вероятность невыполнения необходимых действий процесса по всему множеству продукции и/или услуг различных типов согласно статистическим данным определяют по формулам:
- для случая, когда учитывают все поставки (как с завершенным выполнением всех необходимых действий процесса, так и с их невыполнением)

(В.3)
- для случая, когда учитывают лишь те поставки, для которых необходимые действия процесса не были выполнены или завершены требуемым образом (именно они определяют возможные ущербы от нарушения реализации процесса):

(В.4)
где Tзад - задаваемое суммарное время на реализацию процесса для всего множества продукции и/или услуг различных типов, включающее в себя все частные значения Tзад k с учетом их наложений;
Wk - количество учитываемых поставок продукции и/или услуг k-го типа при многократных поставках.
Для продукции и/или услуг
k-го типа учитывают требование к выполнению действий процесса с использованием индикаторной функции

. Индикаторная функция

позволяет учесть последствия, связанные с невыполнением необходимых действий процесса (см.
В.1). Условие

означает совокупность условий выполнения в требуемом объеме и завершения всех действий процесса при соблюдении ограничений на задаваемое время
Tзад k для их выполнения.
Примечания
2 Практическая ценность расчетов применения
формул (В.2) -
(В.4) проявляется при общем количестве необходимых действий процесса
Gk(
Tзад k), подлежащих выполнению за заданное время
Tзад k, не менее десяти и количестве случаев невыполнения необходимых действий процесса
Gнаруш k(
Tзад k) > 0,
k = 1, ...,
k,
k >= 1. Тем самым считают подтвержденными практические условия повторяемости анализируемых событий. При невыполнении этих условий делают предположение о многократной повторяемости анализируемых событий и для расчетов используют адаптированные математические модели для прогнозирования рисков нарушения надежности реализации системных процессов - см., например,
В.3, а также ГОСТ Р 59331-2021,
пункт В.2, ГОСТ Р 59341-2021,
пункт В.3, ГОСТ Р 59347-2021,
пункт В.2.
В.2.3 Оценка нарушения сроков выполнения необходимых действий процесса
В.2.3.1 Общие положения
Вероятность нарушения сроков выполнения необходимых действий процесса оценивают в виде вспомогательного показателя при проведении оценок интегрального риска нарушения реализации процесса управления качеством системы с учетом требований по защите информации - см.
В.4.
Каждая поставка продукции и/или услуги, осуществляемая в интересах системы (в том числе промежуточных результатов внутри системы), чтобы избежать ущербов, должна быть выполнена в приемлемые сроки. Нарушение сроков выполнения необходимых действий процесса - это угроза возможного ущерба. С точки зрения важности, срочности действий и тяжести ущерба в случае нарушения сроков выполнения необходимых действий поставляемые продукция и/или услуги могут быть условно сгруппированы по i типам, i >= 1. В общем случае для каждого типа требования к своевременности поставки продукции и/или услуги формулируют в виде: срок поставки продукции и/или услуги i-го типа должен быть не более задаваемого Tзад i, i = 1, ..., i. Неприемлемость нарушения задаваемых сроков выполнения необходимых действий фиксируют в виде штрафных санкций, особых условий страхования ответственности и иных обязательств, направленных на недопущение нарушений сроков поставки в процессе управления качеством системы.
В.2.3.2 Метод оценки
При оценке риска вычисляют вероятность нарушения сроков выполнения необходимых действий с однократной и множественными поставками для разнородных продукции и/или услуг.
На основе применения статистических данных вероятность нарушения сроков выполнения необходимых действий с однократной поставкой для продукции и/или услуги i-го типа за задаваемое время Tзад i вычисляют по формуле
Rсв i(
Tзад i) =
Nнаруш i(
Tзад i)/
Ni(
Tзад i), (В.5)
где Nнаруш i(Tзад i) и Ni(Tзад i) - соответственно количество нарушений сроков выполнения необходимых действий и общее количество необходимых действий за заданное время Tзад i, предусматривающих поставки продукции и/или услуг i-го типа согласно статистическим данным.
Вероятность нарушения сроков выполнения необходимых действий по всему множеству поставляемых продукции и/или услуг различных типов, реализуемых в процессе согласно статистическим данным (с учетом множественности поставок, характеризуемых исходными данными по каждому из типов продукции и/или услуг), вычисляют по формулам:
- для случая, когда учитывают все поставки (как с выполненными, так и с нарушенными сроками выполнения необходимых действий)

(В.6)
- для случая, когда учитывают лишь те поставки, для которых сроки выполнения необходимых действий были нарушены (именно они определяют возможные ущербы от несвоевременной поставки)

(В.7)
где Tзад - задаваемое суммарное время для поставки всего множества продукции и/или услуг различных типов, включающее в себя все частные значения Tзад i с учетом их наложений;
Mi - количество учитываемых поставок продукции и/или услуг i-го типа при многократных поставках.
Для продукции и/или услуги
i-го типа учитывают требование к срокам выполнения необходимых действий с использованием индикаторной функции

. Индикаторная функция

позволяет учесть последствия, связанные с несоблюдением сроков выполнения необходимых действий. Условие

означает совокупность условий по ограничениям на задаваемые сроки
Tзад i.
Примечания
1 При соблюдении всех учитываемых условий вероятностные оценки рисков по
формулам (В.6) и
(В.7) совпадают.
2 Практическая ценность расчетов применения
формул (В.5) -
(В.7) проявляется при общем количестве поставок
Ni(
Tзад i) за заданное время
Tзад i не менее десяти и количестве случаев нарушений сроков выполнения необходимых действий
Nнаруш i(
Tзад i) > 0,
i = 1, ...,
I,
I >= 1. Тем самым считают подтвержденными практические условия повторяемости анализируемых событий. При невыполнении этих условий делают предположение о многократной повторяемости анализируемых событий и для расчетов используют адаптированные математические модели для прогнозирования рисков - см., например,
приложение В.3, а также ГОСТ Р 59331-2021,
пункт В.2, ГОСТ Р 59341-2021,
пункт В.3 и ГОСТ Р 59347-2021,
пункт В.2.
В.2.4 Оценка наличия недопустимого брака
В.2.4.1 Общие положения
Вероятность наличия недопустимого брака в поставляемых продукции и/или услугах (в том числе внутри системы для обеспечения ее качества) оценивают в виде вспомогательного показателя при проведении оценок интегрального риска нарушения реализации процесса управления качеством системы с учетом требований по защите информации - см.
В.4.
При реализации каждого процесса поставляемые продукция и/или услуги должны удовлетворять требованиям по качеству. Нарушение качества поставляемой продукции и/или услуги в системе - это угроза возможного ущерба. В общем случае под выполнением требований по качеству понимают поставки продукции и/или услуг без брака или с допустимым уровнем брака, оговоренным в договорных условиях. С точки зрения нарушения качества поставляемых продукции и/или услуг и тяжести возможного ущерба поставляемые продукция и/или услуги могут быть условно сгруппированы по J типам, J >= 1. В общем случае для каждого типа количественные условия к отсутствию недопустимого брака формулируют в одном из двух видов:
- условие 1: количество единиц брака в j-й поставке продукции и/или услуг Hбрака j(Tзад j) не должно превышать задаваемого уровня Hбрака зад j(Tзад j) >= 0, зависящего в общем случае от объема и сроков выполнения необходимых действий Tзад j (j = 1, ..., J). Для больших объемов поставки значение Hбрака зад j(Tзад j) может быть по согласию заинтересованных сторон интерпретировано как количество допустимого брака в некоторых выборках;
- условие 2: допустимая вероятность брака Rбрака j(Tзад j) в j-й поставке продукции и/или услуг не должна превышать Rбрака зад j(Tзад j) > 0, т.е. задают максимально допустимый уровень Rбрака зад j(Tзад j) такой, чтобы Rбрака j(Tзад j) <= Rбрака зад j(Tзад j).
Неприемлемость нарушений задаваемых ограничений фиксируют в виде штрафных санкций, особых условий страхования ответственности и иных обязательств, направленных на недопущение брака в процессе управления качеством.
В.2.4.2 Метод оценки
При оценке риска вычисляют вероятность наличия брака при однократной и множественных поставках для разнородных продукции и/или услуг.
На основе применения статистических данных вероятность наличия брака при однократной поставке продукции и/или услуг j-го типа за задаваемое время Tзад j вычисляют по формуле
Rбрака j(
Tзад j) =
Hнаруш j(
Tзад j)/
Hj(
Tзад j), (В.8)
где Hнаруш j(Tзад j) и Hj(Tзад j) - соответственно количество поставок с недопустимым браком и общее количество поставок за заданное время Tзад j для продукции и/или услуг j-го типа согласно статистическим данным.
Вероятность наличия брака по всему множеству продукции и/или услуг различных типов, реализуемых согласно статистическим данным в процессе приобретения с учетом множественности поставок, характеризуемых исходными данными по каждому из типов продукции и/или услуг, вычисляют по формулам:
- для случая, когда учитывают все поставки (как с выполненными, так и с нарушенными количественными условиями по отсутствию недопустимого брака)

(В.9)
- для случая, когда учитывают лишь те поставки, для которых условия по отсутствию недопустимого брака были нарушены (именно они определяют возможные ущербы от наличия брака)

(В.10)
где Tзад - задаваемое суммарное время поставки всего множества продукции и/или услуг различных типов, включающее в себя все частные значения Tзад j с учетом их наложений;
Lj - количество учитываемых поставок продукции и/или услуг j-го типа при многократных поставках.
Индикаторная функция

позволяет учесть последствия, связанные с наличием брака в поставках, - см.
формулу (В.1). Условие

, используемое в индикаторной функции, формируют из договорных документов путем анализа задаваемых условий 1 или 2 к отсутствию недопустимого брака при поставках.
Примечания
2 Практическая ценность расчетов применения
формул (В.8) -
(В.10) проявляется при общем количестве поставок
Hj(
Tзад j) за заданное время
Tзад j не менее 10 и количестве случаев поставок с недопустимым браком
Hнаруш i(
Tзад i) > 0,
j = 1, ...,
j,
j >= 1. Тем самым считают подтвержденными практические условия повторяемости анализируемых событий. При невыполнении этих условий делают предположение о многократной повторяемости анализируемых событий и для расчетов используют адаптированные математические модели для прогнозирования рисков нарушения надежности реализации системных процессов - см. примеры адаптации в
В.3, в ГОСТ Р 59331-2021,
пункт В.3, ГОСТ Р 59341-2021,
пункт В.3 и ГОСТ Р 59347-2021,
пункт В.2.
В.3 Прогнозирование рисков нарушения требований по защите информации
В.3.1 Общие положения
В.3.1.1 Прогнозирование рисков нарушения требований по защите информации осуществляют на основе применения математических моделей для прогнозирования риска нарушения требований по защите информации, см. ГОСТ Р 59341-2021,
пункт В.2. Все положения по моделированию, изложенные в
ГОСТ Р 59341 применительно к процессу управления информацией, в полной мере применимы к процессу управления качеством системы (в части, свойственной прогнозированию риска нарушения требований по защите информации). Для расчета типовых показателей рисков анализируемые сущности рассматривают в виде моделируемой системы простой или сложной структуры. В моделях и методах системного анализа применительно к таким моделируемым системам используют данные, получаемые по факту наступления событий, по выявленным предпосылкам к наступлению событий, и данные собираемой и накапливаемой статистики по процессам и возможным условиям их реализации.
В.3.1.2 В моделях простой структуры под анализируемой системой понимают определенный выходной результат или действие, а также совокупность задействованных активов, к которым предъявлены требования, и применяют меры защиты информации. Система простой структуры представляет собой систему из единственного элемента или множества элементов, логически объединенных для анализа как один элемент. Анализ системы простой структуры осуществляют по принципу "черного ящика", когда известны входы и выходы, но неизвестны внутренние детали функционирования системы. Система сложной структуры представляется как совокупность взаимодействующих элементов, каждый из которых представляется в виде "черного ящика", функционирующего в условиях неопределенности.
В.3.1.3 При анализе "черного ящика" для вероятностного прогнозирования рисков осуществляют формальное определение пространства элементарных состояний. Это пространство элементарных состояний формируют в результате статистического анализа произошедших событий с их привязкой к временной оси. Предполагается повторяемость событий. Чтобы провести системный анализ для ответа на условный вопрос "Что будет, если...", при формировании сценариев возможных нарушений статистика реальных событий по желанию исследователя может быть дополнена гипотетичными событиями, характеризующими ожидаемые и/или прогнозируемые условия функционирования системы. Применительно к анализируемому сценарию осуществляют расчет вероятности пребывания элементов моделируемой системы в определенном элементарном состоянии в течение задаваемого периода прогноза. Для негативных последствий при оценке рисков этой расчетной вероятности сопоставляют возможный ущерб.
В.3.1.4 Для математической формализации используют следующие основные положения:
- к началу периода прогноза предполагается целостность моделируемой системы, включая изначальное выполнение требований по защите информации в системе (в качестве моделируемой системы простой или сложной структуры могут быть рассмотрены, например, выходные результаты с задействованными активами и действия процесса, к которым предъявлены определенные требования по защите информации);
- в условиях неопределенностей возникновение и разрастание различных угроз безопасности информации описывается в терминах случайных событий;
- для различных вариантов развития угроз безопасности информации средства, технологии и методы противодействия угрозам с формальной точки зрения представляют собой совокупность действий и/или защитных преград, предназначенных для воспрепятствования реализации угроз.
Под целостностью моделируемой системы понимают такое ее состояние, которое в течение задаваемого периода прогноза отвечает целевому назначению модели системы. В данном случае в виде моделируемой системы может быть рассмотрен непосредственно процесс управления качеством системы. При моделировании, направленном на прогнозирование риска нарушения требований по защите информации, целевое назначение моделируемой системы проявляется в выполнении требований по защите информации. Такая интерпретация подразумевает выполнение требований по защите информации не только применительно к защищаемым активам и действиям, с помощью которых создают и получают выходные результаты, но и к самим выходным результатам, которые применяют (или планируют к созданию, получению и/или применению). В итоге для каждого из элементов и моделируемой системы в целом в приложении к прогнозированию риска нарушения требований по защите информации пространство элементарных состояний на временной оси образовано следующими двумя основными состояниями:
- "Выполнение требований по защите информации в системе обеспечено", если в течение всего периода прогноза обеспечено выполнение требований по защите информации;
- "Выполнение требований по защите информации в системе нарушено" - в противном случае.
Обоснованное использование выбранных мер и защитных преград является предупреждающими контрмерами, нацеленными на обеспечение успешной реализации процесса управления качеством системы.
В.3.1.5 В моделях простой структуры систему рассматривают как "черный ящик", если для него сделано предположение об использовании одной и той же модели угроз безопасности информации и одной и той же технологии системного контроля выполнения требований по защите информации и восстановления системы после состоявшихся нарушений или выявленных предпосылок к нарушениям. В моделях сложной структуры под моделируемой системой понимают определенную упорядоченную совокупность составных элементов, каждый из которых логически представляет собой определенное действие или выходной результат и совокупность задействованных активов, к которым предъявлены требования и применяют меры защиты информации. При этом выходной результат сам может стать активом в итоге выполняемых действий.
В общем случае для различных элементов системы сложной структуры могут быть применены различные модели угроз безопасности информации или различные технологии системного контроля выполнения требований по защите информации и восстановлению необходимой целостности этих элементов.
В.3.1.6 При расчетах с использованием математических моделей для прогнозирования риска нарушения требований по защите информации и рекомендаций ГОСТ Р 59341-2021,
пункты В.2,
В.3, осуществляют учет предпринимаемых мер периодической диагностики и восстановления возможностей по обеспечению выполнения требований по защите информации. В результате математического моделирования рассчитывают вероятность приемлемого выполнения требований по защите информации (т.е. пребывания в состоянии "Выполнение требований по защите информации в системе обеспечено") в течение всего периода прогноза и ее дополнение до единицы, представляющее собой вероятность нарушения требований по защите информации (т.е. вероятность пребывания в состоянии "Выполнение требований по защите информации в системе нарушено"). В свою очередь вероятность нарушения требований по защите информации в течение всего периода прогноза в сопоставлении с возможным ущербом определяет риск нарушения требований по защите информации в процессе управления качеством системы.
В.3.2 Исходные данные и расчетные показатели
Для расчета вероятностных показателей применительно к моделируемой системе, где анализируемые сущности (выходные результаты, действия) могут быть представлены в виде системы - "черного ящика", используют исходные данные, формально определяемые в общем случае следующим образом:

- частота возникновения источников угроз в процессе управления качеством системы;

- среднее время развития угроз с момента возникновения источников угроз до нарушения нормальных условий (например, до нарушения установленных требований по защите информации в системе или до инцидента);
Tмеж - среднее время между окончанием предыдущей и началом очередной диагностики возможностей по обеспечению выполнения требований по защите информации в системе;
Tдиаг - среднее время системной диагностики возможностей по обеспечению выполнения требований по защите информации (т.е. диагностики целостности моделируемой системы);
Tвосст - среднее время восстановления нарушенных возможностей по обеспечению выполнения требований по защите информации в моделируемой системе;
Tзад - задаваемая длительность периода прогноза.
Расчетные показатели:
Pвозд (

,

,
Tмеж,
Tдиаг,
Tвосст,
Tзад) - вероятность отсутствия нарушений по защите информации в моделируемой системе в течение периода прогноза
Tзад;
Rнаруш (

,

,
Tмеж,
Tдиаг,
Tвосст,
Tзад) - вероятность нарушения требований по защите информации в моделируемой системе в течение периода прогноза
Tзад.
Расчет показателей применительно к процессу управления качеством для моделируемой системы простой и сложной структуры осуществляют по формулам ГОСТ Р 59341-2021,
пункт В.2.
Примечание - При необходимости могут быть использованы адаптированные модели, позволяющие оценивать защищенность от опасных программно-технических воздействий, от несанкционированного доступа и сохранение конфиденциальности информации в системе - см. ГОСТ Р 59341-2021,
пункт В.3.
В.4 Прогнозирование интегрального риска
В.4.1 Общие положения
Прогнозирование интегрального риска нарушения реализации процесса управления качеством системы с учетом требований по защите информации
Rинтегр.уч(
Tзад) применяют при решении задач системного анализа - см.
раздел 7. Интегральный риск оценивают с использованием расчетных вероятностей невыполнения необходимых действий процесса, нарушения сроков выполнения необходимых действий, наличия недопустимого брака в поставляемых продукции и/или услугах (см.
В.2) и нарушения требований по защите информации (см.
В.3) в сопоставлении с возможными ущербами.
В.4.2 Метод оценки
Вероятность Rинтегр(Tзад) нарушения надежности реализации процесса управления качеством системы без учета требований по защите информации вычисляют по формулам:
- для случая, когда учитывают все действия и поставки (как с выполненными, так и с нарушенными условиями по выполнению необходимых действий процесса, срокам выполнения необходимых действий, отсутствию недопустимого брака)

(В.11)
- для случая, когда учитывают лишь те поставки, для которых условия по выполнению необходимых действий процесса, срокам выполнения необходимых действий, отсутствию недопустимого брака были нарушены (именно они определяют возможные ущербы от наличия брака)

(В.12)
где
Tзад - задаваемое общее время для выполнения всех действий, включающее в себя все частные значения
Tзад k,
Tзад i,
Tзад j с учетом их наложений - см.
формулы (В.2) -
(В.12).
Примечание - При соблюдении всех условий вероятностные оценки рисков по
формулам (В.11),
(В.12) совпадают.
Интегральную вероятность нарушения реализации процесса управления качеством системы с учетом требований по защите информации Rинтегр.уч(Tзад) вычисляют по формуле
Rинтегр.уч(
Tзад) = 1 - [1 -
Rинтегр(
Tзад)] x
x [1 - Rнаруш(Tзад)]. (В.13)
Здесь вероятность нарушения надежности реализации процесса в течение периода прогноза без учета требований по защите информации
Rинтегр(
Tзад) рассчитывают по
формулам (В.11) или
(В.12) в зависимости от целей системного анализа. Вероятность нарушения требований по защите информации в системе в течение периода прогноза

, ее рассчитывают по рекомендациям
В.3 для выбранной структуры системы при проведении системного анализа.
Интегральный риск нарушения реализации процесса управления качеством системы с учетом требований по защите информации определяют путем сопоставления расчетной интегральной вероятности нарушения реализации процесса в течение периода прогноза, рассчитанной по
формуле (В.13), с возможным ущербом за этот период.
(справочное)
ТИПОВЫЕ ДОПУСТИМЫЕ ЗНАЧЕНИЯ ПОКАЗАТЕЛЕЙ РИСКОВ
ДЛЯ ПРОЦЕССА УПРАВЛЕНИЯ КАЧЕСТВОМ СИСТЕМЫ
С точки зрения остаточного риска, характеризующего приемлемый уровень целостности рассматриваемой системы, предъявляемые требования системной инженерии подразделяют на требования при допустимых рисках, обосновываемых по прецедентному принципу согласно
ГОСТ Р 59349, и требования при рисках, свойственных реальной или гипотетичной системе-эталону. При формировании требований системной инженерии необходимо обоснование достижимости целей системы и рассматриваемого процесса управления качеством системы, а также целесообразности использования количественных показателей рисков в дополнение к качественным показателям, определяемым по
ГОСТ Р ИСО/МЭК 27005. При этом учитывают важность и критичность системы, ограничения на стоимость ее создания и эксплуатации, указывают другие условия в зависимости от специфики.
Требования системной инженерии при принимаемых рисках, свойственных системе-эталону, являются наиболее жесткими, они не учитывают специфики рассматриваемой системы, а ориентируются лишь на мировые технические и технологические достижения для удовлетворения требований заинтересованных сторон и рационального решения задач системного анализа. Полной проверке на соответствие этим требованиям подлежит система в целом, составляющие ее подсистемы и реализуемые процессы жизненного цикла. Выполнение этих требований является гарантией обеспечения высокого качества и безопасности рассматриваемой системы. Вместе с тем проведение работ системной инженерии с ориентацией на риски, свойственные системе-эталону, характеризуются существенно большими затратами по сравнению с требованиями, ориентируемыми на допустимые риски, обосновываемые по прецедентному принципу. Это заведомо удорожает разработку рассматриваемой системы, увеличивает время до принятия ее в эксплуатацию и удорожает саму эксплуатацию системы.
Требования системной инженерии при допустимых рисках, свойственных конкретной системе или ее аналогу и обосновываемых по прецедентному принципу, являются менее жесткими, а их реализация - менее дорогостоящей по сравнению с требованиями для рисков, свойственных системе-эталону. Использование данного варианта требований обусловлено тем, что на практике может оказаться нецелесообразной (из-за использования ранее зарекомендовавших себя технологий, по экономическим или иным соображениям) или невозможной ориентация на допустимые риски, свойственные системе-эталону. Вследствие этого минимальной гарантией эффективной реализации процесса управления качеством системы является выполнение требований системной инженерии при допустимом риске заказчика, обосновываемом по прецедентному принципу.
Типовые допустимые значения количественных показателей рисков для процесса управления качеством системы отражены в
таблице Г.1. При этом период прогноза для расчетных показателей подбирают таким образом, чтобы вероятностные значения рисков не превышали допустимые. В этом случае для задаваемых при моделировании условий имеет место гарантия эффективной реализации рассматриваемого процесса в течение задаваемого периода прогноза.
Таблица Г.1
Пример задания допустимых значений рисков
Показатель | Допустимое значение риска (в вероятностном выражении) |
при ориентации на обоснование по прецедентному принципу | при ориентации на обоснование для системы-эталона |
Риск нарушения требований по защите информации в процессе управления качеством системы | Не выше 0,05 | Не выше 0,01 |
Интегральный риск нарушения реализации процесса управления качеством системы с учетом требований по защите информации | Не выше 0,10 | Не выше 0,05 |
(справочное)
МЕТОДИК СИСТЕМНОГО АНАЛИЗА ДЛЯ ПРОЦЕССА УПРАВЛЕНИЯ
КАЧЕСТВОМ СИСТЕМЫ
Д.1 Методика прогнозирования риска нарушения требований по защите информации в процессе управления качеством системы.
Д.2 Методика прогнозирования интегрального риска нарушения реализации процесса управления качеством системы с учетом требований по защите информации и возможных ущербов.
Д.3 Методики обоснования допустимых рисков и нормы эффективности защиты информации для задаваемых моделей угроз безопасности информации (в терминах риска нарушения требований по защите информации и интегрального риска нарушения реализации процесса управления качеством системы с учетом требований по защите информации).
Д.4 Методики выявления явных и скрытых недостатков процесса управления качеством системы с использованием прогнозируемых рисков.
Д.5 Методики обоснования предупреждающих мер, направленных на достижение целей процесса управления качеством системы и противодействие угрозам нарушения требований по защите информации.
Д.6 Методики обоснования предложений по совершенствованию и развитию системы защиты информации по результатам системного анализа процесса управления качеством системы.
Примечания
2 С учетом специфики системы допускается использование других научно обоснованных методов, моделей, методик.
| Федеральный закон от 21 декабря 1994 г. N 68-ФЗ "О защите населения и территорий от чрезвычайных ситуаций природного и техногенного характера" |
[2] | Федеральный закон от 21 июля 1997 г. N 116-ФЗ "О промышленной безопасности опасных производственных объектов" |
[3] | Федеральный закон от 21 июля 1997 г. N 117-ФЗ "О безопасности гидротехнических сооружений" |
[4] | Федеральный закон от 2 января 2000 г. N 29-ФЗ "О качестве и безопасности пищевых продуктов" |
[5] | Федеральный закон от 10 января 2002 г. N 7-ФЗ "Об охране окружающей среды" |
[6] | Федеральный закон от 27 декабря 2002 г. N 184-ФЗ "О техническом регулировании" |
[7] | Федеральный закон от 27 июля 2006 г. N 149-ФЗ "Об информации, информационных технологиях и о защите информации" |
[8] | Федеральный закон от 9 февраля 2007 г. N 16-ФЗ "О транспортной безопасности" |
[9] | Федеральный закон от 22 июля 2008 г. N 123-ФЗ "Технический регламент о требованиях пожарной безопасности" |
[10] | Федеральный закон от 30 декабря 2009 г. N 384-ФЗ "Технический регламент о безопасности зданий и сооружений" |
[11] | Федеральный закон от 28 декабря 2010 г. N 390-ФЗ "О безопасности" |
[12] | Федеральный закон от 21 июля 2011 г. N 256-ФЗ "О безопасности объектов топливно-энергетического комплекса" |
[13] | Федеральный закон от 28 декабря 2013 г. N 426-ФЗ "О специальной оценке условий труда" |
[14] | Федеральный закон от 28 июня 2014 г. N 172-ФЗ "О стратегическом планировании в Российской Федерации" |
[15] | Федеральный закон от 26 июля 2017 г. N 187-ФЗ "О безопасности критической информационной инфраструктуры Российской Федерации" |
[16] | Постановление Правительства Российской Федерации от 31 декабря 2020 г. N 2415 "О проведении эксперимента по внедрению системы дистанционного контроля промышленной безопасности" |
[17] | Р 50.1.053-2005 Информационные технологии. Основные термины и определения в области технической защиты информации |
[18] | Р 50.1.056-2005 Техническая защита информации. Основные термины и определения |
| Руководящий документ. Защита от несанкционированного доступа к информации. Часть 1. Программное обеспечение средств защиты информации. Классификация по уровню контроля отсутствия недекларированных возможностей (Утвержден решением председателя Государственной технической комиссии при Президенте Российской Федерации от 4 июня 1999 г. N 114) |
| Специальные требования и рекомендации по технической защите конфиденциальной информации (СТР-К), утвержденные приказом Председателя Гостехкомиссии России от 30 августа 2002 г. N 282 |
| Требования о защите информации, не составляющей государственную тайну, содержащейся в государственных информационных системах (Утверждены приказом ФСТЭК России от 11 февраля 2013 г. N 17) |
[22] | Состав и содержание организационных и технических мер по обеспечению безопасности персональных данных при их обработке в информационных системах персональных данных (Утверждены приказом ФСТЭК России от 18 февраля 2013 г. N 21) |
[23] | Требования к обеспечению защиты информации в автоматизированных системах управления производственными и технологическими процессами на критически важных объектах, потенциально опасных объектах, а также объектах, представляющих повышенную опасность для жизни и здоровья людей и для окружающей природной среды (Утверждены приказом ФСТЭК России от 14 марта 2014 г. N 31) |
| Требования по обеспечению безопасности значимых объектов критической информационной инфраструктуры Российской Федерации (Утверждены приказом ФСТЭК России от 25 декабря 2017 г. N 239) |
[25] | Методические рекомендации по проведению плановых проверок субъектов электроэнергетики, осуществляющих деятельность по производству электрической энергии на тепловых электрических станциях, с использованием риск-ориентированного подхода (Утверждены приказом Ростехнадзора от 5 марта 2020 г. N 97) |
| Методические рекомендации по проведению плановых проверок деятельности теплоснабжающих организаций, теплосетевых организаций, эксплуатирующих на праве собственности или на ином законном основании объекты теплоснабжения, при осуществлении федерального государственного энергетического надзора с использованием риск-ориентированного подхода (Утверждены приказом Ростехнадзора от 20 июля 2020 г. N 278) |
УДК 006.34:004.056:004.056.5:004.056.53:006.354 | |
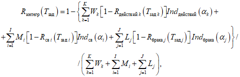
Ключевые слова: актив, безопасность, защита, информация, качество, модель, риск, система, управление качеством системы |