Главная // Актуальные документы // ГОСТ Р (Государственный стандарт)СПРАВКА
Источник публикации
М.: Стандартинформ, 2021
Примечание к документу
Документ
введен в действие с 30.11.2021.
Название документа
"ГОСТ Р 59353-2021. Национальный стандарт Российской Федерации. Системная инженерия. Защита информации в процессе передачи системы"
(утв. и введен в действие Приказом Росстандарта от 28.04.2021 N 319-ст)
"ГОСТ Р 59353-2021. Национальный стандарт Российской Федерации. Системная инженерия. Защита информации в процессе передачи системы"
(утв. и введен в действие Приказом Росстандарта от 28.04.2021 N 319-ст)
Утвержден и введен в действие
агентства по техническому
регулированию и метрологии
от 28 апреля 2021 г. N 319-ст
НАЦИОНАЛЬНЫЙ СТАНДАРТ РОССИЙСКОЙ ФЕДЕРАЦИИ
СИСТЕМНАЯ ИНЖЕНЕРИЯ
ЗАЩИТА ИНФОРМАЦИИ В ПРОЦЕССЕ ПЕРЕДАЧИ СИСТЕМЫ
System engineering. Protection of information
in system transition process
ГОСТ Р 59353-2021
Дата введения
30 ноября 2021 года
1 РАЗРАБОТАН Федеральным государственным учреждением "Федеральный исследовательский центр "Информатика и управление" Российской академии наук" (ФГУ ФИЦ ИУ РАН), Федеральным автономным учреждением "Государственный научно-исследовательский испытательный институт проблем технической защиты информации Федеральной службы по техническому и экспортному контролю" (ФАУ ГНИИИ ПТЗИ ФСТЭК России), Федеральным бюджетным учреждением "Научно-технический центр "Энергобезопасность" (ФБУ "НТЦ Энергобезопасность") и Обществом с ограниченной ответственностью "Научно-исследовательский институт прикладной математики и сертификации" (ООО НИИПМС)
2 ВНЕСЕН Техническим комитетом по стандартизации ТК 022 "Информационные технологии"
3 УТВЕРЖДЕН И ВВЕДЕН В ДЕЙСТВИЕ
Приказом Федерального агентства по техническому регулированию и метрологии от 28 апреля 2021 г. N 319-ст
4 ВВЕДЕН ВПЕРВЫЕ
Правила применения настоящего стандарта установлены в статье 26 Федерального закона от 29 июня 2015 г. N 162-ФЗ "О стандартизации в Российской Федерации". Информация об изменениях к настоящему стандарту публикуется в ежегодном (по состоянию на 1 января текущего года) информационном указателе "Национальные стандарты", а официальный текст изменений и поправок -
в ежемесячном информационном указателе "Национальные стандарты". В случае пересмотра (замены) или отмены настоящего стандарта соответствующее уведомление будет опубликовано в ближайшем выпуске ежемесячного информационного указателя "Национальные стандарты". Соответствующая информация, уведомление и тексты размещаются также в информационной системе общего пользования -
на официальном сайте Федерального агентства по техническому регулированию и метрологии в сети Интернет (www.gost.ru)
Настоящий стандарт расширяет комплекс национальных стандартов системной инженерии по защите информации при планировании и реализации процессов в жизненном цикле различных систем. Выбор и применение реализуемых процессов для системы в ее жизненном цикле осуществляют по
ГОСТ Р 57193. Методы системной инженерии в интересах защиты информации применяют:
- для процессов соглашения - процессов приобретения и поставки продукции и услуг для системы - по
ГОСТ Р 59329;
- для процессов организационного обеспечения проекта - процессов управления моделью жизненного цикла, инфраструктурой, портфелем проектов, человеческими ресурсами, качеством, знаниями - по
ГОСТ Р 59330,
ГОСТ Р 59331,
ГОСТ Р 59332,
ГОСТ Р 59333,
ГОСТ Р 59334,
ГОСТ Р 59335;
- для процессов технического управления - процессов планирования проекта, оценки и контроля проекта, управления решениями, управления рисками, управления конфигурацией, управления информацией, измерений, гарантии качества - по
ГОСТ Р 59336,
ГОСТ Р 59337,
ГОСТ Р 59338,
ГОСТ Р 59339,
ГОСТ Р 59340,
ГОСТ Р 59341,
ГОСТ Р 59342,
ГОСТ Р 59343;
- для технических процессов - процессов анализа бизнеса или назначения, определения потребностей и требований заинтересованной стороны, определения системных требований, определения архитектуры, определения проекта, системного анализа, комплексирования, верификации, аттестации, функционирования, сопровождения, изъятия и списания системы - по
ГОСТ Р 59344,
ГОСТ Р 59345,
ГОСТ Р 59346,
ГОСТ Р 59347,
ГОСТ Р 59348,
ГОСТ Р 59349,
ГОСТ Р 59350,
ГОСТ Р 59351,
ГОСТ Р 59352,
ГОСТ Р 59354,
ГОСТ Р 59355,
ГОСТ Р 59356,
ГОСТ Р 59357. Для процесса передачи системы - по настоящему стандарту.
Стандарт устанавливает основные требования системной инженерии по защите информации в процессе передачи системы и специальные требования к используемым количественным показателям.
Для планируемого и реализуемого процесса передачи системы применение настоящего стандарта обеспечивает проведение системного анализа, основанного на прогнозировании рисков.
Настоящий стандарт устанавливает основные положения системного анализа для процесса передачи системы применительно к вопросам защиты информации в системах различных отраслей.
Для практического применения в
приложениях А -
Д приведены примеры перечней активов, подлежащих защите, и угроз, типовые модели и методы прогнозирования рисков, типовые допустимые значения для показателей рисков, примерный перечень методик системного анализа.
Примечание - Оценка ущербов выходит за рамки настоящего стандарта. Для разработки самостоятельной методики по оценке ущербов учитывают специфику систем - см., например,
ГОСТ Р 22.10.01,
ГОСТ Р 54145. При этом должны учитываться соответствующие положения законодательства Российской Федерации.
Требования стандарта предназначены для использования организациями, участвующими в создании (модернизации, развитии) и эксплуатации систем и реализующими процесс передачи системы, а также теми заинтересованными сторонами, которые уполномочены осуществлять контроль выполнения требований по защите информации в жизненном цикле систем - см. примеры систем в
[1] -
[26].
В настоящем стандарте использованы нормативные ссылки на следующие стандарты:
ГОСТ 2.102 Единая система конструкторской документации. Виды и комплектность конструкторских документов
ГОСТ 2.114 Единая система конструкторской документации. Технические условия
ГОСТ 2.602 Единая система конструкторской документации. Ремонтные документы
ГОСТ 3.1001 Единая система технологической документации. Общие положения
ГОСТ 15.016 Система разработки и постановки продукции на производство. Техническое задание. Требования к содержанию и оформлению
ГОСТ 27.002 Надежность в технике. Термины и определения
ГОСТ 34.003 Информационная технология. Комплекс стандартов на автоматизированные системы. Автоматизированные системы. Термины и определения
ГОСТ 34.201 Информационная технология. Комплекс стандартов на автоматизированные системы. Виды, комплектность и обозначение документов при создании автоматизированных систем
ГОСТ 34.601 Информационная технология. Комплекс стандартов на автоматизированные системы. Автоматизированные системы. Стадии создания
ГОСТ 34.602 Информационная технология. Комплекс стандартов на автоматизированные системы. Техническое задание на создание автоматизированной системы
ГОСТ IEC 61508-3 Функциональная безопасность систем электрических, электронных, программируемых электронных, связанных с безопасностью. Часть 3. Требования к программному обеспечению
ГОСТ Р 2.601 Единая система конструкторской документации. Эксплуатационные документы
ГОСТ Р 15.301 Система разработки и постановки продукции на производство. Продукция производственно-технического назначения. Порядок разработки и постановки продукции на производство
ГОСТ Р 21.101 Система проектной документации для строительства. Основные требования к проектной и рабочей документации
ГОСТ Р 22.10.01 Безопасность в чрезвычайных ситуациях. Оценка ущерба. Термины и определения
ГОСТ Р ИСО/МЭК 12207 Информационная технология. Системная и программная инженерия. Процессы жизненного цикла программных средств
ГОСТ Р ИСО 13379-1 Контроль состояния и диагностика машин. Методы интерпретации данных и диагностирования. Часть 1. Общее руководство
ГОСТ Р ИСО 13381-1 Контроль состояния и диагностика машин. Прогнозирование технического состояния. Часть 1. Общее руководство
ГОСТ Р ИСО 14258 Промышленные автоматизированные системы. Концепции и правила для моделей предприятия
ГОСТ Р ИСО/МЭК 15026-4 Системная и программная инженерия. Гарантирование систем и программного обеспечения. Часть 4. Гарантии жизненного цикла
ГОСТ Р ИСО/МЭК 16085 Менеджмент риска. Применение в процессах жизненного цикла систем и программного обеспечения
ГОСТ Р ИСО/МЭК 20000-1 Информационная технология. Управление услугами. Часть 1. Требования к системе управления услугами
ГОСТ Р ИСО/МЭК 27001 Информационная технология. Методы и средства обеспечения безопасности. Системы менеджмента информационной безопасности. Требования
ГОСТ Р ИСО/МЭК 27002 Информационная технология. Методы и средства обеспечения безопасности. Свод норм и правил менеджмента информационной безопасности
ГОСТ Р ИСО/МЭК 27003 Информационная технология. Методы и средства обеспечения безопасности. Системы менеджмента информационной безопасности. Руководство по реализации системы менеджмента информационной безопасности
ГОСТ Р ИСО/МЭК 27005-2010 Информационная технология. Методы и средства обеспечения безопасности. Менеджмент риска информационной безопасности
ГОСТ Р ИСО/МЭК 27036-2 Информационные технологии. Методы и средства обеспечения безопасности. Информационная безопасность во взаимоотношениях с поставщиками. Часть 2. Требования
ГОСТ Р ИСО/МЭК 27036-4 Информационные технологии. Методы и средства обеспечения безопасности. Информационная безопасность во взаимоотношениях с поставщиками. Часть 4. Рекомендации по обеспечению безопасности облачных услуг
ГОСТ Р 51275 Защита информации. Объект информатизации. Факторы, воздействующие на информацию. Общие положения
ГОСТ Р 51583 Защита информации. Порядок создания автоматизированных систем в защищенном исполнении. Общие положения
ГОСТ Р 51897/Руководство ИСО 73:2009 Менеджмент риска. Термины и определения
ГОСТ Р 51901.5 (МЭК 60300-3-1:2003) Менеджмент риска. Руководство по применению методов анализа надежности
ГОСТ Р 51901.7/ISO/TR 31004:2013 Менеджмент риска. Руководство по внедрению ИСО 31000
ГОСТ Р 51901.16 (МЭК 61164:2004) Менеджмент риска. Повышение надежности. Статистические критерии и методы оценки
ГОСТ Р 51904 Программное обеспечение встроенных систем. Общие требования к разработке и документированию
ГОСТ Р 53622 Информационные технологии. Информационно-вычислительные системы. Стадии и этапы жизненного цикла, виды и комплектность документов
ГОСТ Р 54124 Безопасность машин и оборудования. Оценка риска
ГОСТ Р 54145 Менеджмент рисков. Руководство по применению организационных мер безопасности и оценки рисков. Общая методология
ГОСТ Р 56939 Защита информации. Разработка безопасного программного обеспечения. Общие требования
ГОСТ Р 57102/ISO/IEC TR 24748-2:2011 Информационные технологии. Системная и программная инженерия. Управление жизненным циклом. Часть 2. Руководство по применению ИСО/МЭК 15288
ГОСТ Р 57193-2016 Системная и программная инженерия. Процессы жизненного цикла систем
ГОСТ Р 57272.1 Менеджмент риска применения новых технологий. Часть 1. Общие требования
ГОСТ Р 58412 Защита информации. Разработка безопасного программного обеспечения. Угрозы безопасности информации при разработке программного обеспечения
ГОСТ Р 58494 Оборудование горно-шахтное. Многофункциональные системы безопасности угольных шахт. Система дистанционного контроля опасных производственных объектов
ГОСТ Р 59215 Информационные технологии. Методы и средства обеспечения безопасности. Информационная безопасность во взаимоотношениях с поставщиками. Часть 3. Рекомендации по обеспечению безопасности цепи поставок информационных и коммуникационных технологий
ГОСТ Р 59329 Системная инженерия. Защита информации в процессах приобретения и поставки продукции и услуг для системы
ГОСТ Р 59330 Системная инженерия. Защита информации в процессе управления моделью жизненного цикла системы
ГОСТ Р 59331 Системная инженерия. Защита информации в процессе управления инфраструктурой системы
ГОСТ Р 59332 Системная инженерия. Защита информации в процессе управления портфелем проектов
ГОСТ Р 59333 Системная инженерия. Защита информации в процессе управления человеческими ресурсами системы
ГОСТ Р 59334 Системная инженерия. Защита информации в процессе управления качеством системы
ГОСТ Р 59335 Системная инженерия. Защита информации в процессе управления знаниями о системе
ГОСТ Р 59336 Системная инженерия. Защита информации в процессе планирования проекта
ГОСТ Р 59337 Системная инженерия. Защита информации в процессе оценки и контроля проекта
ГОСТ Р 59338 Системная инженерия. Защита информации в процессе управления решениями
ГОСТ Р 59339 Системная инженерия. Защита информации в процессе управления рисками для системы
ГОСТ Р 59340 Системная инженерия. Защита информации в процессе управления конфигурацией системы
ГОСТ Р 59341-2021 Системная инженерия. Защита информации в процессе управления информацией системы
ГОСТ Р 59342 Системная инженерия. Защита информации в процессе измерений системы
ГОСТ Р 59343 Системная инженерия. Защита информации в процессе гарантии качества для системы
ГОСТ Р 59344-2021 Системная инженерия. Защита информации в процессе анализа бизнеса или назначения системы
ГОСТ Р 59345-2021 Системная инженерия. Защита информации в процессе определения потребностей и требований заинтересованной стороны для системы
ГОСТ Р 59346-2021 Системная инженерия. Защита информации в процессе определения системных требований
ГОСТ Р 59347-2021 Системная инженерия. Защита информации в процессе определения архитектуры системы
ГОСТ Р 59348 Системная инженерия. Защита информации в процессе определения проекта
ГОСТ Р 59349 Системная инженерия. Защита информации в процессе системного анализа
ГОСТ Р 59350 Системная инженерия. Защита информации в процессе реализации системы
ГОСТ Р 59351 Системная инженерия. Защита информации в процессе комплексирования системы
ГОСТ Р 59352 Системная инженерия. Защита информации в процессе верификации системы
ГОСТ Р 59354 Системная инженерия. Защита информации в процессе аттестации системы
ГОСТ Р 59355 Системная инженерия. Защита информации в процессе функционирования системы
ГОСТ Р 59356 Системная инженерия. Защита информации в процессе сопровождения системы
ГОСТ Р 59357 Системная инженерия. Защита информации в процессе изъятия и списания системы
ГОСТ Р МЭК 61069-1 Измерение, управление и автоматизация промышленного процесса. Определение свойств системы с целью ее оценки. Часть 1. Терминология и общие концепции
ГОСТ Р МЭК 61069-2 Измерение, управление и автоматизация промышленного процесса. Определение свойств системы с целью ее оценки. Часть 2. Методология оценки
ГОСТ Р МЭК 61069-3 Измерение, управление и автоматизация промышленного процесса. Определение свойств системы с целью ее оценки. Часть 3. Оценка функциональности системы
ГОСТ Р МЭК 61069-4 Измерение, управление и автоматизация промышленного процесса. Определение свойств системы с целью ее оценки. Часть 4. Оценка производительности системы
ГОСТ Р МЭК 61069-5 Измерение, управление и автоматизация промышленного процесса. Определение свойств системы с целью ее оценки. Часть 5. Оценка надежности системы
ГОСТ Р МЭК 61069-6 Измерение, управление и автоматизация промышленного процесса. Определение свойств системы с целью ее оценки. Часть 6. Оценка эксплуатабельности системы
ГОСТ Р МЭК 61069-7 Измерение, управление и автоматизация промышленного процесса. Определение свойств системы с целью ее оценки. Часть 7. Оценка безопасности системы
ГОСТ Р МЭК 61069-8 Измерение, управление и автоматизация промышленного процесса. Определение свойств системы с целью ее оценки. Часть 8. Оценка других свойств системы
ГОСТ Р МЭК 61508-1 Функциональная безопасность систем электрических, электронных, программируемых электронных, связанных с безопасностью. Часть 1. Общие требования
ГОСТ Р МЭК 61508-2 Функциональная безопасность систем электрических, электронных, программируемых электронных, связанных с безопасностью. Часть 2. Требования к системам
ГОСТ Р МЭК 61508-4 Функциональная безопасность систем электрических, электронных, программируемых электронных, связанных с безопасностью. Часть 4. Термины и определения
ГОСТ Р МЭК 61508-5 Функциональная безопасность систем электрических, электронных, программируемых электронных, связанных с безопасностью. Часть 5. Рекомендации по применению методов определения уровней полноты безопасности
ГОСТ Р МЭК 61508-7 Функциональная безопасность систем электрических, электронных, программируемых электронных, связанных с безопасностью. Часть 7. Методы и средства
Примечание - При пользовании настоящим стандартом целесообразно проверить действие ссылочных стандартов в информационной системе общего пользования - на официальном сайте Федерального агентства по техническому регулированию и метрологии в сети Интернет или по ежегодному информационному указателю "Национальные стандарты", который опубликован по состоянию на 1 января текущего года, и по выпускам ежемесячного информационного указателя "Национальные стандарты" за текущий год. Если заменен ссылочный стандарт, на который дана недатированная ссылка, то рекомендуется использовать действующую версию этого стандарта с учетом всех внесенных в данную версию изменений. Если заменен ссылочный стандарт, на который дана датированная ссылка, то рекомендуется использовать версию этого стандарта с указанным выше годом утверждения (принятия). Если после утверждения настоящего стандарта в ссылочный стандарт, на который дана датированная ссылка, внесено изменение, затрагивающее положение, на которое дана ссылка, то это положение рекомендуется применять без учета данного изменения. Если ссылочный стандарт отменен без замены, то положение, в котором дана ссылка на него, рекомендуется применять в части, не затрагивающей эту ссылку.
3 Термины, определения и сокращения
3.1 В настоящем стандарте применены термины по
ГОСТ 27.002,
ГОСТ 34.003,
ГОСТ Р ИСО 9000,
ГОСТ Р ИСО/МЭК 27001,
ГОСТ Р ИСО 31000,
ГОСТ Р 51897,
ГОСТ Р 59329,
ГОСТ Р 59330,
ГОСТ Р 59331,
ГОСТ Р 59332,
ГОСТ Р 59333,
ГОСТ Р 59334,
ГОСТ Р 59335,
ГОСТ Р 59336,
ГОСТ Р 59337,
ГОСТ Р 59338,
ГОСТ Р 59339,
ГОСТ Р 59340,
ГОСТ Р 59341,
ГОСТ Р 59342,
ГОСТ Р 59343,
ГОСТ Р 59344,
ГОСТ Р 59345,
ГОСТ Р 59346,
ГОСТ Р 59347,
ГОСТ Р 59348,
ГОСТ Р 59349,
ГОСТ Р 59350,
ГОСТ Р 59351,
ГОСТ Р 59352,
ГОСТ Р 59354,
ГОСТ Р 59355,
ГОСТ Р 59356,
ГОСТ Р 59357,
ГОСТ Р МЭК 61508-4, а также следующие термины с соответствующими определениями:
3.1.1
допустимый риск: Риск, который в данной ситуации считают приемлемым при существующих общественных ценностях. |
3.1.2
заинтересованная сторона, правообладатель: Индивидуум или организация, имеющие право, долю, требование или интерес в системе или в обладании ее характеристиками, удовлетворяющими их потребности и ожидания. Пример - Конечные пользователи, организации конечного пользователя, поддерживающие стороны, разработчики, производители, обучающие стороны, сопровождающие и утилизирующие организации, приобретающие стороны, организации поставщика, органы регуляторов. Примечание - Некоторые заинтересованные стороны могут иметь противоположные интересы в системе. |
3.1.3
защита информации; ЗИ: Деятельность, направленная на предотвращение утечки защищаемой информации, несанкционированных и непреднамеренных воздействий на защищаемую информацию. |
3.1.4
защита информации от утечки: Защита информации, направленная на предотвращение неконтролируемого распространения защищаемой информации в результате ее разглашения и несанкционированного доступа к ней, а также на исключение (затруднение) получения защищаемой информации [иностранными] разведками и другими заинтересованными субъектами. Примечание - Заинтересованными субъектами могут быть: государство, юридическое лицо, группа физических лиц, отдельное физическое лицо. |
3.1.5
защита информации от несанкционированного воздействия; ЗИ от НСВ: Защита информации, направленная на предотвращение несанкционированного доступа и воздействия на защищаемую информацию с нарушением установленных прав и (или) правил на изменение информации, приводящих к разрушению, уничтожению, искажению, сбою в работе, незаконному перехвату и копированию, блокированию доступа к информации, а также к утрате, уничтожению или сбою функционирования носителя информации. |
3.1.6
защита информации от непреднамеренного воздействия: Защита информации, направленная на предотвращение воздействия на защищаемую информацию ошибок ее пользователя, сбоя технических и программных средств информационных систем, природных явлений или иных нецеленаправленных на изменение информации событий, приводящих к искажению, уничтожению, копированию, блокированию доступа к информации, а также к утрате, уничтожению или сбою функционирования носителя информации. |
3.1.7 интегральный риск нарушения реализации процесса передачи системы с учетом требований по защите информации: Сочетание вероятности того, что будут нарушены надежность реализации процесса либо требования по защите информации, либо и то и другое, с тяжестью возможного ущерба.
3.1.8 надежность реализации процесса передачи системы: Свойство процесса передачи системы сохранять во времени в установленных пределах значения показателей, характеризующих способность выполнить процесс в заданных условиях его реализации.
3.1.9
норма эффективности защиты информации: Значение показателя эффективности защиты информации, установленное нормативными и правовыми документами. |
3.1.10
показатель эффективности защиты информации: Мера или характеристика для оценки эффективности защиты информации. |
3.1.11
пользователь: Лицо или группа лиц, извлекающих пользу из системы в процессе ее применения. Примечание - Роль пользователя и роль оператора может выполняться одновременно или последовательно одним и тем же человеком или организацией. |
3.1.12
поставщик: Организация или лицо, которые вступают в соглашение с приобретающей стороной на поставку продукта или услуги. Примечания 1 Поставщиком может быть подрядчик, производитель, торговец или продавец. 2 Иногда приобретающая сторона и поставщик являются частью одной и той же организации. |
3.1.13
приобретающая сторона: Заинтересованная сторона, которая приобретает или получает продукт, или услугу от поставщика. Примечание - Другими широко используемыми терминами, обозначающими это понятие, являются покупатель, заказчик, владелец, плательщик или внешний/внутренний спонсор. |
3.1.14
риск: Сочетание вероятности нанесения ущерба и тяжести этого ущерба. |
3.1.15
система: Комбинация взаимодействующих элементов, организованных для достижения одной или нескольких поставленных целей. Примечания 1 Система может рассматриваться как какой-то продукт или как предоставляемые услуги, обеспечивающие этот продукт. 2 На практике, интерпретация данного термина зачастую уточняется с помощью ассоциативного существительного, например система самолета. В некоторых случаях слово система может заменяться контекстно зависимым синонимом, например самолет, хотя это может впоследствии затруднить восприятие системных принципов. |
3.1.16 система-эталон: Реальная или гипотетичная система, которая по своим показателям интегрального риска нарушения реализации рассматриваемого процесса с учетом требований по защите информации принимается в качестве эталона для полного удовлетворения требований заинтересованных сторон системы и рационального решения задач системного анализа, связанных с обоснованием допустимых рисков, обеспечением нормы эффективности защиты информации, обоснованием мер, направленных на достижение целей процесса, противодействие угрозам и определение сбалансированных решений при средне- и долгосрочном планировании, а также с обоснованием предложений по совершенствованию и развитию системы защиты информации.
3.1.17
системный элемент: Представитель совокупности элементов, образующих систему. Пример - Системный элемент может представлять собой технические и программные средства, данные, людей, процессы (например, процессы для обеспечения услуг пользователям), процедуры (например, инструкции оператору), средства, материалы и природные объекты (например, вода, живые организмы, минералы) или любые их сочетания. Примечание - Системный элемент является отдельной частью системы, которая может быть создана для полного выполнения заданных требований. |
3.1.18
требование по защите информации: Установленное правило или норма, которая должна быть выполнена при организации и осуществлении защиты информации, или допустимое значение показателя эффективности защиты информации. |
3.1.19 целостность моделируемой системы: Состояние моделируемой системы, которое отвечает целевому назначению модели системы в течение задаваемого периода прогноза.
3.1.20
эффективность защиты информации: Степень соответствия результатов защиты информации цели защиты информации. |
3.2 В настоящем стандарте использовано сокращение:
ТЗ - техническое задание.
4 Основные положения системной инженерии по защите информации в процессе передачи системы
4.1 Общие положения
Организации используют данный процесс в рамках создания (модернизации, развития) и эксплуатации системы для передачи системы приобретающей стороне.
В процессе передачи системы осуществляют защиту информации, направленную на обеспечение конфиденциальности, целостности и доступности защищаемой информации, предотвращение несанкционированных и непреднамеренных воздействий на защищаемую информацию. Должна быть обеспечена надежная реализация процесса.
Для прогнозирования рисков, связанных с реализацией процесса, и обоснования эффективных предупреждающих мер по снижению этих рисков или их удержанию в допустимых пределах используют системный анализ процесса с учетом требований по защите информации.
Определение выходных результатов процесса передачи системы и типовых действий по защите информации осуществляют по
ГОСТ 2.114,
ГОСТ Р ИСО 9001,
ГОСТ 15.016,
ГОСТ 34.601,
ГОСТ 34.602,
ГОСТ IEC 61508-3,
ГОСТ Р 15.301,
ГОСТ Р ИСО/МЭК 12207,
ГОСТ Р ИСО/МЭК 20000-1,
ГОСТ Р ИСО/МЭК 27001,
ГОСТ Р ИСО/МЭК 27002,
ГОСТ Р ИСО/МЭК 27003,
ГОСТ Р ИСО/МЭК 27036-2,
ГОСТ Р 51583,
ГОСТ Р 51904, ГОСТ Р 53622,
ГОСТ Р 56939,
ГОСТ Р 57102,
ГОСТ Р 57193,
ГОСТ Р 58412,
ГОСТ Р 59329,
ГОСТ Р МЭК 61508-2,
ГОСТ Р МЭК 61508-6. Оценку интегрального риска нарушения реализации процесса передачи системы осуществляют по настоящему стандарту с использованием рекомендаций
ГОСТ Р ИСО/МЭК 16085,
ГОСТ Р ИСО/МЭК 27005,
ГОСТ Р ИСО 31000,
ГОСТ Р 51901.1,
ГОСТ Р 51901.5,
ГОСТ Р 51901.7,
ГОСТ Р 54124,
ГОСТ Р 57272.1,
ГОСТ Р 58771,
ГОСТ Р 59334,
ГОСТ Р 59346. При этом учитывают специфику передаваемой системы и организации, применяющей процесс - см., например,
[21] -
[26].
4.2 Цели процесса и назначение мер защиты информации
Главной целью процесса передачи системы является предоставление поставщиком приобретающей стороне полностью скомплексированной и верифицированной системы, готовой к функционированию в заданной эксплуатационной среде согласно требованиям заинтересованных сторон. В результате процесса передачи рассматриваемая система обретает статус системы, готовой к эксплуатации, с гарантиями функциональности и совместимости с взаимодействующими системами.
4.2.2 Меры защиты информации в процессе передачи системы предназначены для обеспечения конфиденциальности, целостности и доступности защищаемой информации, предотвращения утечки защищаемой информации, несанкционированных и непреднамеренных воздействий на защищаемую информацию. Определение мер защиты информации осуществляют по
ГОСТ Р ИСО/МЭК 27001,
ГОСТ Р ИСО/МЭК 27002,
ГОСТ Р 51583,
ГОСТ Р 56939,
ГОСТ Р 58412,
ГОСТ Р МЭК 61508-7,
[20] -
[24] с учетом специфики предаваемой системы и реализуемой стадии ее жизненного цикла.
4.3 Стадии и этапы жизненного цикла системы
В общем случае процесс передачи используют на стадиях разработки, эксплуатации и сопровождения системы. Процесс передачи системы опирается на результаты процессов реализации и комплексирования системы.
Стадии и этапы работ устанавливают в договорах, соглашениях и ТЗ с учетом специфики и условий передачи и функционирования системы. Перечень этапов и конкретных работ в жизненном цикле системы формируют с учетом требований
ГОСТ 2.114,
ГОСТ 15.016,
ГОСТ 34.601,
ГОСТ 34.602,
ГОСТ Р 15.301,
ГОСТ Р ИСО 9001,
ГОСТ Р ИСО/МЭК 12207,
ГОСТ Р ИСО/МЭК 20000-1,
ГОСТ Р ИСО/МЭК 27036-2,
ГОСТ Р ИСО 31000,
ГОСТ Р 51583,
ГОСТ Р 51901.1,
ГОСТ Р 51901.7, ГОСТ Р 53622,
ГОСТ Р 57102,
ГОСТ Р 57193,
ГОСТ Р 57272.1,
ГОСТ Р 59329,
[21] -
[24]. Процесс передачи системы может входить в состав работ, выполняемых в рамках других процессов жизненного цикла системы, и при необходимости включать в себя другие процессы.
4.4 Основные принципы системного анализа
При проведении системного анализа процесса передачи системы руководствуются основными принципами, определенными в
ГОСТ Р 59349 с учетом дифференциации требований по защите информации в зависимости от категории значимости системы и важности обрабатываемой в ней информации - см.
ГОСТ Р 59346,
[19] -
[24]. Все применяемые принципы подчинены принципу целенаправленности осуществляемых действий.
4.5 Основные усилия для обеспечения защиты информации
Основные усилия системной инженерии для обеспечения защиты информации в процессе передачи системы сосредотачивают:
- на определении выходных результатов и действий, предназначенных для достижения целей процесса и защиты активов, информация которых или о которых необходима для достижения этих целей;
- на выявлении потенциальных угроз и определении возможных сценариев возникновения и развития угроз для активов, подлежащих защите, выходных результатов и выполняемых действий процесса;
- на определении и прогнозировании рисков, подлежащих системному анализу;
- на проведении системного анализа для обоснования мер, направленных на противодействие угрозам и достижение целей процесса.
5 Общие требования системной инженерии по защите информации в процессе передачи системы
5.1 Общие требования системной инженерии по защите информации устанавливают в ТЗ на разработку, модернизацию или развитие системы. Эти требования и методы их выполнения детализируют в ТЗ на составную часть системы, в качестве каковой может выступать система защиты информации, в конструкторской, технологической и эксплуатационной документации, в спецификациях на поставляемые продукцию и/или услуги. Содержание требований по защите информации формируют при выполнении процесса определения системных требований с учетом нормативно-правовых документов Российской Федерации (см., например,
[1] -
[26]), уязвимостей системы, преднамеренных и непреднамеренных угроз нарушения функционирования системы и/или ее программных и программно-аппаратных элементов - см.
ГОСТ Р 59346.
Примечание - Если информация относится к категории государственной тайны, в вопросах защиты информации руководствуются регламентирующими документами соответствующих государственных регуляторов.
5.2 Требования системной инженерии по защите информации призваны обеспечивать управление техническими и организационными усилиями по планированию и реализации процесса передачи системы и поддержке при этом эффективности защиты информации.
Требования системной инженерии по защите информации в процессе передачи системы включают:
- требования к составам выходных результатов, выполняемых действий и используемых при этом активов, требующих защиты информации;
- требования к определению потенциальных угроз для выходных результатов и выполняемых действий процесса, а также возможных сценариев возникновения и развития этих угроз;
- требования к прогнозированию рисков при планировании и реализации процесса, обоснованию эффективных предупреждающих мер по снижению рисков или их удержанию в допустимых пределах.
5.3 Состав выходных результатов и выполняемых действий в процессе передачи системы определяют по
ГОСТ 2.114,
ГОСТ 15.016,
ГОСТ 34.601,
ГОСТ 34.602,
ГОСТ Р 15.301,
ГОСТ Р ИСО/МЭК 12207,
ГОСТ Р ИСО/МЭК 20000-1,
ГОСТ Р 51583,
ГОСТ Р 51904, ГОСТ Р 53622,
ГОСТ Р 56939,
ГОСТ Р 57102,
ГОСТ Р 57193 с учетом специфики передаваемой системы.
5.4 Меры защиты информации и действия по защите информации должны охватывать активы, информация которых или о которых необходима для получения выходных результатов и выполнения действий процесса передачи системы.
Примечание - В состав активов могут быть включены активы, используемые для иных систем (подсистем), не вошедших в состав рассматриваемой системы, но охватываемых по требованиям заказчика - например, привлекаемые информационные системы и/или базы данных обеспечивающих систем.
5.5 Определение активов, информация которых или о которых подлежит защите, и формирование перечня потенциальных угроз и возможных сценариев возникновения и развития угроз для каждого из активов осуществляют по
ГОСТ 34.201,
ГОСТ 34.602,
ГОСТ IEC 61508-3,
ГОСТ Р ИСО/МЭК 20000-1,
ГОСТ Р ИСО/МЭК 27001,
ГОСТ Р 51583,
ГОСТ Р 56939,
ГОСТ Р 57102,
ГОСТ Р 57193,
ГОСТ Р 58412 с учетом требований
ГОСТ 15.016,
ГОСТ Р ИСО 9001,
ГОСТ Р ИСО/МЭК 12207,
ГОСТ Р ИСО/МЭК 27002,
ГОСТ Р ИСО/МЭК 27005,
ГОСТ Р ИСО/МЭК 27036-2,
ГОСТ Р ИСО 31000,
ГОСТ Р 51275,
ГОСТ Р 51901.1,
ГОСТ Р 51901.7,
ГОСТ Р 59329,
ГОСТ Р МЭК 61508-1,
ГОСТ Р МЭК 61508-2,
ГОСТ Р МЭК 61508-6 и специфики передаваемой системы (см., например,
[19] -
[26]).
Примеры перечней учитываемых активов и угроз в процессе передачи системы приведены в
приложениях А и
Б.
5.6 Эффективность защиты информации при выполнении процесса передачи системы анализируют по показателям рисков в зависимости от специфики передаваемой системы, целей ее применения и возможных угроз при выполнении процесса. В системном анализе процесса используют модель угроз безопасности информации.
Системный анализ процесса осуществляют с использованием методов, моделей и методик (см.
приложения В,
Г,
Д) с учетом рекомендаций
ГОСТ Р ИСО 9000,
ГОСТ Р ИСО 13379-1,
ГОСТ Р ИСО 13381-1,
ГОСТ Р ИСО 14258,
ГОСТ Р ИСО/МЭК 15026,
ГОСТ Р ИСО/МЭК 15026-4,
ГОСТ Р ИСО/МЭК 16085,
ГОСТ Р ИСО 17359,
ГОСТ Р ИСО/МЭК 27002,
ГОСТ Р 51901.1,
ГОСТ Р 54124,
ГОСТ Р 51901.5,
ГОСТ Р 51901.16,
ГОСТ Р 58771,
ГОСТ Р МЭК 61069-2,
ГОСТ Р МЭК 61069-3,
ГОСТ Р МЭК 61069-4,
ГОСТ Р МЭК 61069-5,
ГОСТ Р МЭК 61069-6,
ГОСТ Р МЭК 61069-7,
ГОСТ Р МЭК 61069-8,
ГОСТ Р МЭК 61508-5,
ГОСТ Р МЭК 61508-7,
[21] -
[26].
5.7 Для обоснования эффективных предупреждающих мер по снижению рисков или их удержанию в допустимых пределах применяют системный анализ с использованием устанавливаемых специальных качественных и количественных показателей рисков.
Качественные показатели для оценки рисков в области информационной безопасности определены в
ГОСТ Р ИСО/МЭК 27005. Целесообразность использования количественных показателей рисков в дополнение к качественным показателям может потребовать дополнительного обоснования. Состав специальных количественных показателей рисков в интересах системного анализа процесса передачи системы определен в
6.3.
Типовые модели и методы системного анализа процесса передачи системы, допустимые значения для расчетных показателей и примерный перечень методик системного анализа приведены в
приложениях В,
Г,
Д. Характеристики мер защиты информации и действий по защите информации и исходные данные, обеспечивающие применение методов, моделей и методик, определяют на основе собираемой и накапливаемой статистики по рассматриваемым процессам и возможным условиям их реализации.
6 Специальные требования к количественным показателям
6.1 Общие положения
6.1.1 В приложении к защищаемым активам, действиям и выходным результатам процесса передачи системы, к которым предъявлены определенные требования по защите информации, выполняют оценку эффективности защиты информации на основе прогнозирования рисков в условиях возможных угроз.
6.1.2 В общем случае основными выходными результатами процесса передачи системы являются:
- стратегия передачи системы;
- участок местоположения системы, подготовленный для эксплуатации в соответствии с требованиями к инсталляции системы, требованиями по сохранению здоровья, безопасности, защищенности, а также в соответствии с экологическими инструкциями;
- результаты обучения операторов, пользователей и других заинтересованных сторон, задействованных в эксплуатации системы;
- результаты отгрузки и получения системных элементов и обеспечивающих систем;
- результаты установки системы в ее эксплуатационном местоположении и демонстрации корректности проведенной установки;
- результаты демонстрации функционирования установленной системы и устойчивости выполнения конкретных функций;
- карта прослеживаемости между передаваемой системой, стратегией передачи, архитектурой системы, проектом и системными требованиями;
- нормативные документы (акты) о приемке системы в эксплуатацию.
6.1.3 Для получения выходных результатов процесса передачи системы в общем случае выполняют следующие основные действия:
- подготовительные мероприятия, включая:
- определение стратегии передачи;
- определение потребности в изменении основных средств или участка
местоположения системы;
- определение методики и плана предварительных и приемочных испытаний
системы (при необходимости);
- организацию обучения операторов, пользователей и других
заинтересованных сторон, задействованных в эксплуатации системы;
- определение требований к обеспечивающим системам или услугам,
которые предполагается использовать в процессе передачи системы, получение
или приобретение доступа к ним;
- подготовку к отгрузке и получению системных элементов и
обеспечивающих систем;
- непосредственно передачу системы, включая:
- подготовку участка местоположения для эксплуатации системы в
соответствии с требованиями к ее инсталляции, требованиями сохранения
здоровья, безопасности, защищенности, а также в соответствии с
экологическими нормами;
- отгрузку и получение системных элементов и обеспечивающих систем;
- установку системы в ее эксплуатационном местоположении;
- демонстрацию соответствия установки системы предъявляемым
требованиям;
- обучение операторов, пользователей и других заинтересованных
сторон, задействованных в эксплуатации системы;
- приведение системы в эксплуатационное состояние и оценку готовности
системы;
- демонстрацию функционирования установленной системы и устойчивости
выполнения конкретных функций, анализ полученных результатов;
- принятие системы в эксплуатацию;
- управление результатами передачи, включая:
- документирование результатов передачи и любых обнаруженных
отклонений;
- регистрацию инцидентов и проблем, возникающих при передаче и их
разрешение;
- поддержку прослеживаемости между переданными системными элементами,
стратегией передачи, архитектурой системы, проектом и системными
требованиями;
- обеспечение сохранности и своевременной модификации основных
информационных объектов процесса.
6.1.4 Текущие данные, накапливаемая и собираемая статистика, связанные с нарушениями требований по защите информации и нарушениями надежности реализации процесса, являются основой для принятия решений по факту наступления событий и источником исходных данных для прогнозирования рисков на задаваемый период прогноза. Риски оценивают вероятностными показателями с учетом возможных ущербов (см.
приложение В).
6.2 Требования к составу показателей
Выбираемые показатели должны обеспечивать проведение оценки эффективности защиты информации и прогнозирования интегрального риска нарушения реализации процесса передачи системы с учетом требований по защите информации.
Эффективность защиты информации оценивают с помощью количественных показателей, которые позволяют сформировать представление о текущих и потенциальных проблемах или о возможных причинах недопустимого снижения эффективности на ранних этапах проявления явных и скрытых угроз безопасности информации, когда можно принять предупреждающие корректирующие действия. Дополнительно могут быть использованы вспомогательные статистические показатели, характеризующие события, которые уже произошли, и их влияние на эффективность защиты информации при реализации процесса. Вспомогательные показатели позволяют исследовать произошедшие события и их последствия и сравнивать эффективность применяемых и/или возможных мер в действующей системе защиты информации.
6.3 Требования к количественным показателям прогнозируемых рисков
6.3.1 Для прогнозирования рисков в процессе передачи системы используют следующие количественные показатели:
- риск нарушения надежности реализации процесса передачи системы без учета требований по защите информации;
- риск нарушения требований по защите информации в процессе передачи системы;
- интегральный риск нарушения реализации процесса передачи системы с учетом требований по защите информации.
6.3.2 Риск нарушения надежности реализации процесса передачи системы без учета требований по защите информации характеризуют соответствующей вероятностью нарушения надежности реализации процесса (в зависимости от вероятности невыполнения необходимых действий процесса и вероятности нарушения сроков выполнения необходимых действий процесса) в сопоставлении с возможным ущербом.
6.3.3 Риск нарушения требований по защите информации в процессе передачи системы характеризуют соответствующей вероятностью нарушения требований по защите информации в сопоставлении с возможным ущербом. При расчетах должны быть учтены защищаемые активы, действия реализуемого процесса и выходные результаты, к которым предъявляются определенные требования по защите информации.
6.3.4 Интегральный риск нарушения реализации процесса передачи системы с учетом требований по защите информации характеризуют соответствующей вероятностью нарушения надежности реализации процесса без учета требований по защите информации и вероятностью нарушения требований по защите информации (см.
В.2,
В.3,
В.4) в сопоставлении с возможным ущербом.
6.4 Требования к источникам данных
Источниками исходных данных для расчетов количественных показателей являются (в части, свойственной процессу передачи системы):
-

данные функционирования системы защиты информации, в том числе срабатывания ее исполнительных механизмов;
- текущие и статистические данные о состоянии параметров системы защиты информации (привязанные ко временам изменения состояний);
- текущие и статистические данные о самой системе или о системах-аналогах, характеризующие не только данные о незавершении выполнения необходимых действий процесса, но и о событиях, связанных с утечкой защищаемой информации, несанкционированными или непреднамеренными воздействиями на защищаемую информацию (привязанные ко временам наступления событий, характеризующих нарушения и предпосылки к нарушениям требований по защите информации);
- текущие и статистические данные результатов технического диагностирования системы защиты информации;
- наличие и готовность персонала системы защиты информации, данные об ошибках персонала (привязанные ко временам наступления событий, последовавших из-за этих ошибок и характеризующих нарушения и предпосылки к нарушениям требований по защите информации) в самой системе или в системах-аналогах;
- данные из модели угроз безопасности информации и метаданные, позволяющие сформировать перечень потенциальных угроз и возможные сценарии возникновения и развития угроз для каждого из защищаемых активов.
Типовые исходные данные для моделирования приведены в
приложении В.
7 Требования к системному анализу
Требования к системному анализу процесса передачи системы включают:
- требования к прогнозированию рисков и обоснованию допустимых рисков;
- требования к выявлению явных и скрытых угроз;
- требования к поддержке принятия решений в процессе передачи системы.
Общие применимые рекомендации для проведения системного анализа изложены в
ГОСТ Р 59349.
При обосновании и формулировании конкретных требований к системному анализу дополнительно руководствуются положениями
ГОСТ 15.016,
ГОСТ 34.602,
ГОСТ IEC 61508-3,
ГОСТ Р ИСО 9001,
ГОСТ Р ИСО/МЭК 12207,
ГОСТ Р ИСО 13381-1,
ГОСТ Р ИСО/МЭК 15026,
ГОСТ Р ИСО/МЭК 27001,
ГОСТ Р ИСО/МЭК 27002,
ГОСТ Р ИСО 31000,
ГОСТ Р 51901.1,
ГОСТ Р 51901.7,
ГОСТ Р 56939,
ГОСТ Р 57102,
ГОСТ Р 57193,
ГОСТ Р 57272.1,
ГОСТ Р 58412,
ГОСТ Р МЭК 61508-1,
ГОСТ Р МЭК 61508-2,
ГОСТ Р МЭК 61508-6,
ГОСТ Р МЭК 61508-7 с учетом специфики передаваемой системы - см., например,
[21] -
[26].
(справочное)
ПРИМЕР ПЕРЕЧНЯ ЗАЩИЩАЕМЫХ АКТИВОВ
Перечень защищаемых активов в процессе передачи системы может включать (в части, свойственной этому процессу):
- выходные результаты процесса - по
6.1.2;
- активы государственных информационных систем, информационных систем персональных данных, автоматизированных систем управления производственными и технологическими процессами на критически важных объектах, потенциально опасных объектах, а также объектах, представляющих повышенную опасность для жизни и здоровья людей и для окружающей природной среды, значимых объектов критической информационной инфраструктуры Российской Федерации - см.
[21] -
[24];
- договоры и соглашения на передачу системы;
- плановые документы, связанные с выполнением работ по передаче системы;
- документацию при обследовании объекта автоматизации (для автоматизируемых систем) - по
ГОСТ 34.601;
- документацию системы менеджмента качества организации - по
ГОСТ Р ИСО 9001;
- базу данных и базу знаний, систему хранения архивов;
- систему передачи данных и облачные данные организации;
- отчетные документы по передаче системы (в том числе акты передачи-приемки);
- выходные результаты иных процессов в жизненном цикле системы с учетом ее специфики.
(справочное)
Перечень угроз безопасности информации в процессе передачи системы может включать (в части, свойственной этому процессу):
- угрозы государственным информационным системам, информационным системам персональных данных, автоматизированным системам управления производственными и технологическими процессами на критически важных объектах, потенциально опасных объектах, а также объектах, представляющих повышенную опасность для жизни и здоровья людей и для окружающей природной среды, значимым объектам критической информационной инфраструктуры Российской Федерации - по
[21] -
[24];
- угрозы безопасности функционированию программного обеспечения, оборудования и коммуникаций, используемых в процессе передачи системы - по
ГОСТ Р ИСО/МЭК 27002,
ГОСТ Р 54124;
- угрозы, связанные с возможностями или несвоевременностью приобретения, или получения доступа к обеспечивающим системам или услугам, использование которых предполагается в процессе передачи системы или при ее последующей эксплуатации - по
ГОСТ Р 59215;
- угрозы штатному функционированию обеспечивающих систем или услуг, используемых при передаче системы, связанные с возможностью аварий, технических неисправностей, помех или природных явлений - по ГОСТ Р ИСО/МЭК 27005-2010,
приложение C;
- угрозы, связанные с невозможностью или несвоевременностью предоставления доступа к участку местоположения для установки/эксплуатации системы и/или несвоевременностью его подготовки - по
ГОСТ Р ИСО/МЭК 27002,
ГОСТ Р 59215;
- угрозы, связанные с организационными проблемами, препятствующими своевременному обучению операторов, пользователей и других заинтересованных сторон, задействованных в использовании и обеспечении эксплуатации системы - по
ГОСТ Р ИСО/МЭК 27002;
- угрозы возникновения ущерба репутации и/или потери доверия поставщика (производителя) к конкретному заказчику, информация и информационные системы которого были скомпрометированы - по
ГОСТ Р 59215;
- угрозы, связанные с приобретением или предоставлением облачных услуг, которые могут оказать влияние на информационную безопасность организаций, использующих эти услуги при передаче системы - по
ГОСТ Р ИСО/МЭК 27036-4;
- прочие соответствующие угрозы безопасности информации и уязвимости для информационных систем и автоматизированных систем управления производственными и технологическими процессами критически важных объектов из Банка данных угроз, сопровождаемого государственным регулятором.
(справочное)
ТИПОВЫЕ МОДЕЛИ И МЕТОДЫ ПРОГНОЗИРОВАНИЯ РИСКОВ
В.1 Общие положения
В.1.1 Для прогнозирования рисков в процессе передачи системы могут применяться любые возможные методы, обеспечивающие приемлемое достижение поставленных целей. Применение типовых методов и моделей настоящего стандарта обеспечивает оценку следующих показателей:
- риска нарушения надежности реализации процесса передачи системы без учета требований по защите информации - см.
В.2;
- риска нарушения требований по защите информации в процессе передачи системы - см.
В.3;
- интегрального риска нарушения реализации процесса передачи системы с учетом требований по защите информации - см.
В.4.
В.1.2 Риск нарушения надежности реализации процесса передачи системы без учета требований по защите информации характеризуют:
- риском невыполнения необходимых действий процесса, определяемым вероятностью невыполнения необходимых действий процесса;
- риском нарушения сроков выполнения необходимых действий, определяемым вероятностью нарушения сроков выполнения необходимых действий процесса.
Риск нарушения требований по защите информации в процессе передачи системы определяют соответствующей вероятностью нарушения требований по защите информации.
Вероятностные оценки обеспечивают уровень адекватности, достаточный для решения задач системного анализа при условии многократной повторяемости анализируемых событий или в предположении такой повторяемости.
В.1.3 Интегральный риск нарушения реализации процесса передачи системы с учетом требований по защите информации характеризуют сочетанием риска нарушения надежности реализации процесса передачи системы без учета требований по защите информации и риска нарушения требований по защите информации в этом процессе.
В.1.4 При оценке рисков расчетным вероятностным показателям сопоставляют возможный ущерб, оцениваемый тяжестью последствий для системы и ее заинтересованных сторон в случае реализации угроз.
В.1.5 Для моделируемой системы нарушение реализации процесса передачи системы с учетом требований по защите информации характеризуется переходом моделируемой системы в такое элементарное состояние, при котором имеет место или оказывается возможным ущерб по следующим причинам: из-за невыполнения необходимых действий процесса либо из-за нарушения сроков выполнения необходимых действий, либо из-за нарушения требований по защите информации, либо из-за комбинации перечисленных причин.
В.1.6 В общем случае, исходя из целей системного анализа, риски оценивают на разных исходных данных. При использовании одних и тех же моделей для расчетов это может приводить к различным оценкам и интерпретациям рисков. Различия связаны с неодинаковой тяжестью возможного ущерба для заинтересованных сторон (из-за невыполнения необходимых действий процесса, нарушения сроков выполнения необходимых действий процесса, нарушений требований по защите информации), недоступностью или неполнотой статистических данных, используемых каждой из этих сторон в качестве исходных данных при системном анализе.
В.1.7 Выполнение или невыполнение действий и требований при моделировании отслеживается с использованием индикаторной функции
, которая позволяет учесть критичность последствий, связанных с невыполнением заданных условий согласно собираемой статистике

(В.1)
Условие

, используемое в индикаторной функции, формируют путем анализа выполнения конкретных условий.
В.1.8 При формировании исходных данных для моделирования и проведении разностороннего системного анализа используют методы оценки рисков из настоящего приложения и/или иные приемлемые методы - см., например,
ГОСТ IEC 61508-3,
ГОСТ Р ИСО 13379-1,
ГОСТ Р ИСО 13381-1,
ГОСТ Р ИСО 17359,
ГОСТ Р 51901.1,
ГОСТ Р 51901.7,
ГОСТ Р 51901.16,
ГОСТ Р 54124,
ГОСТ Р 58494,
ГОСТ Р 58771,
ГОСТ Р 59349, ГОСТ Р МЭК 61069-1 - ГОСТ Р МЭК 61069-8,
ГОСТ Р МЭК 61508-1,
ГОСТ Р МЭК 61508-2, ГОСТ Р МЭК 61508-5 - ГОСТ Р МЭК 61508-7.
В.2 Прогнозирование рисков нарушения надежности реализации процесса без учета требований по защите информации
В.2.1 Общие положения
В.2.1.1 Надежность реализации процесса передачи системы без учета требований по защите информации представляет собой свойство процесса сохранять во времени в установленных пределах значения показателей, характеризующих способность выполнения необходимых действий процесса с обеспечением сроков их выполнения в интересах системы.
В.2.1.2 При проведении оценок расчетных показателей на заданный период прогноза предполагают усредненное повторение количественных исходных данных, свойственных прошедшему аналогичному периоду для анализируемой системы или для системы, выбранной в качестве аналога. Для исследования запроектных сценариев развития угроз при моделировании могут быть использованы гипотетичные исходные данные.
В.2.1.3 Используется предположение, что нарушение надежности реализации процесса передачи системы без учета требований по защите информации является следствием невыполнения необходимых действий процесса и/или нарушения сроков выполнения необходимых действий процесса.
В.2.2 Оценка риска невыполнения необходимых действий процесса
В.2.2.1 Общие положения
Риск невыполнения необходимых действий процесса оценивают в виде вспомогательного показателя при проведении оценок интегрального риска нарушения реализации процесса передачи системы с учетом требований по защите информации - см.
В.4. В реализуемом процессе должны быть выполнены необходимые действия. Невыполнение или незавершение выполнения необходимых действий процесса - это угроза возможного ущерба. С точки зрения тяжести ущерба в случае невыполнения необходимых действий процесса все действия могут быть распределены по
K группам,
K >= 1 (при необходимости). В общем случае для каждой группы требования к выполнению процесса передачи системы формулируют на уровне инструкций должностных лиц, участвующих в реализации процесса.
В.2.2.2 Метод оценки
При оценке риска вычисляют вероятность невыполнения необходимых действий процесса передачи системы по отдельной группе действий или по всем действиям и делают сопоставление с возможным ущербом.
На основе применения статистических данных вероятность Rдействий k невыполнения необходимых действий процесса для k-й группы действий за задаваемое время Tзад k вычисляют по формуле
Rдействий k(
Tзад k) =
Gнаруш k(
Tзад k)/
Gk(
Tзад k), (В.2)
где Gнаруш k(Tзад k) и Gk(Tзад k) - соответственно количество случаев невыполнения необходимых действий процесса и общее количество необходимых действий из k-й группы, подлежащих выполнению за заданное время Tзад k согласно статистическим данным.
Вероятность Rдействий невыполнения необходимых действий процесса по всему множеству действий согласно статистическим данным вычисляют по следующим формулам:
- для варианта, когда учитывают все действия (как с завершенным выполнением, так и с их невыполнением)

(В.3)
- для варианта, когда учитывают лишь те случаи, для которых необходимые действия процесса не были выполнены или завершены требуемым образом (именно они являются причиной возможных ущербов)

(В.4)
здесь Tзад - задаваемое суммарное время на реализацию процесса для всего множества действий из различных групп, включающее в себя все частные значения Tзад k с учетом их наложений;
Wk - количество учитываемых действий из k-й группы при многократных реализациях процесса.
Для
k-й группы учитывают требование к выполнению действий процесса с использованием индикаторной функции

.
Индикаторная функция

позволяет учесть последствия, связанные с невыполнением необходимых действий процесса - см.
(В.1). Условие

означает совокупность условий выполнения в требуемом объеме и завершения всех действий процесса при соблюдении ограничений на задаваемое время
Tзад k.
Примечания
2 Практическая ценность расчетов применения
формул (В.2) -
(В.4) проявляется при общем количестве необходимых действий процесса
Gk(
Tзад k), подлежащих выполнению за заданное время
Tзад k, не менее 10 и количестве случаев невыполнения необходимых действий процесса
Gнаруш k(
Tзад k) > 0,
k = 1, ...,
K,
K >= 1. Тем самым считают подтвержденными практические условия повторяемости анализируемых событий. При невыполнении этих условий делают предположение о многократной повторяемости анализируемых событий и для расчетов используют адаптированные математические модели для прогнозирования рисков нарушения надежности реализации системных процессов - см., например,
приложение В.3, ГОСТ Р 59341-2021
(В.3 приложения В), ГОСТ Р 59345-2021
(В.2 приложения В), ГОСТ Р 59346-2021
(В.2 приложения В), ГОСТ Р 59347-2021
(В.2 приложения В).
В.2.3 Оценка нарушения сроков выполнения необходимых действий процесса
В.2.3.1 Общие положения
Вероятность нарушения сроков выполнения необходимых действий процесса передачи системы оценивают в виде вспомогательного показателя при проведении оценок интегрального риска нарушения реализации процесса передачи системы с учетом требований по защите информации (см.
В.4).
Каждое осуществляемое действие, чтобы избежать ущербов, должно быть выполнено в задаваемые сроки. Нарушение сроков выполнения необходимых действий - это угроза возможного ущерба. С точки зрения важности, срочности действий и тяжести ущерба в случае нарушения сроков выполнения необходимые действия могут быть условно распределены по I группам, I >= 1 (при необходимости). В общем случае для каждой группы требования к своевременности формулируют в виде: срок выполнения действий из i-й группы должен быть не более задаваемого Tзад i, i = 1, ..., I. Неприемлемость нарушения задаваемых сроков выполнения необходимых действий фиксируют в виде штрафных санкций, особых условий страхования ответственности и иных обязательств, направленных на недопущение нарушений сроков выполнения действий в процессе передачи системы.
В.2.3.2 Метод оценки
При оценке риска вычисляют вероятность нарушения сроков выполнения действий процесса по отдельной группе действий или по всем действиям и делают сопоставление с возможным ущербом.
На основе применения статистических данных вероятность Rсв i нарушения сроков однократного действия из i-й группы за задаваемое время Tзад i вычисляют по формуле
Rсв i(
Tзад i) =
Nнаруш i(
Tзад i)/
Ni(
Tзад i), (В.5)
где Nнаруш i(Tзад i) и Ni(Tзад i) - соответственно количество нарушений сроков выполнения действий и общее количество действий за заданное время Tзад i для множества действий из i-й группы согласно статистическим данным.
Вероятность Rсв(Tзад) нарушения сроков выполнения необходимых действий по всему множеству действий, реализуемых в процессе согласно статистическим данным, вычисляют по формулам:
- для варианта, когда учитывают все действия (как с выполненными, так и с нарушенными сроками выполнения)

(В.6)
- для варианта, когда учитывают лишь те случаи, для которых сроки выполнения были нарушены (именно они являются причиной возможных ущербов)

(В.7)
где Tзад - задаваемое суммарное время для выполнения всех действий, включающее в себя все частные значения Tзад i с учетом их наложений;
Mi - количество учитываемых действий при многократных выполнениях процесса.
Для действий из
i-й группы учитывают требование к срокам их выполнения с использованием индикаторной функции

. Индикаторная функция

позволяет учесть последствия, связанные с несвоевременным выполнением действий процесса. Условие

означает выполнение действий при ограничении на уровне задаваемого срока
Tзад i.
Примечания
1 При соблюдении всех учитываемых условий вероятностные оценки рисков по
формулам (В.6),
(В.7) совпадают.
2 Практическая ценность расчетов применения
формул (В.5) -
(В.7) проявляется при общем количестве действий процесса
Ni(
Tзад i) за заданное время
Tзад i не менее 10 и количестве случаев нарушений сроков выполнения необходимых действий
Nнаруш i(
Tзад i) > 0,
i = 1, ...,
I,
I >= 1. Тем самым считают подтвержденными практические условия повторяемости анализируемых событий. При невыполнении этих условий делают предположение о многократной повторяемости анализируемых событий и для расчетов используют адаптированные математические модели для прогнозирования рисков - см., например,
приложение В.3, ГОСТ Р 59341-2021
(В.3 приложения В), ГОСТ Р 59344-2021
(В.2 приложения В) и ГОСТ Р 59347-2021
(В.2 приложения В).
В.3 Прогнозирование рисков нарушения требований по защите информации
В.3.1 Общие положения
В.3.1.1 Прогнозирование рисков нарушения требований по защите информации осуществляют на основе применения математических моделей для прогнозирования риска нарушения требований по защите информации ГОСТ Р 59341-2021
(В.2 приложения В). Все положения по моделированию, изложенные в
ГОСТ Р 59341 применительно к процессу управления информацией, в полной мере применимы к процессу передачи системы (в части, свойственной этому процессу). Для расчета типовых показателей рисков анализируемые сущности рассматривают в виде моделируемой системы простой или сложной структуры. В моделях и методах системного анализа применительно к таким моделируемым системам используют данные, получаемые по факту наступления событий, по выявленным предпосылкам к наступлению событий и данные собираемой и накапливаемой статистики по процессу и возможным условиям его реализации.
В.3.1.2 В моделях простой структуры под анализируемой системой понимают определенный выходной результат или действие, а также совокупность задействованных активов, к которым предъявлены требования и применяют меры защиты информации. Система простой структуры представляет собой систему из единственного элемента или множества элементов, логически объединенных для анализа как один элемент. Анализ системы простой структуры осуществляют по принципу "черного ящика", когда известны входы и выходы, но неизвестны внутренние детали функционирования системы. Система сложной структуры представляется как совокупность взаимодействующих элементов, каждый из которых представляется в виде "черного ящика", функционирующего в условиях неопределенности.
В.3.1.3 При анализе "черного ящика" для вероятностного прогнозирования рисков осуществляют формальное определение пространства элементарных состояний. Это пространство элементарных состояний формируют в результате статистического анализа произошедших событий с их привязкой к временной оси. Предполагается повторяемость событий. Чтобы провести системный анализ для ответа на условный вопрос "Что будет, если ...", при формировании сценариев возможных нарушений статистика реальных событий по желанию исследователя может быть дополнена гипотетичными событиями, характеризующими ожидаемые и/или прогнозируемые условия функционирования системы. Применительно к анализируемому сценарию осуществляют расчет вероятности пребывания элементов моделируемой системы в определенном элементарном состоянии в течение задаваемого периода прогноза. Для негативных последствий при оценке рисков этой расчетной вероятности сопоставляют возможный ущерб.
В.3.1.4 Для математической формализации используют следующие основные положения:
- к началу периода прогноза предполагается целостность моделируемой системы, включая изначальное выполнение требований по защите информации в системе (в качестве моделируемой системы простой или сложной структуры могут быть рассмотрены выходные результаты с задействованными активами и действия процесса, к которым предъявлены определенные требования по защите информации);
- в условиях неопределенностей возникновение и разрастание различных угроз безопасности информации описывается в терминах случайных событий;
- для различных вариантов развития угроз безопасности информации средства, технологии и методы противодействия угрозам с формальной точки зрения представляют собой совокупность действий и/или защитных преград, предназначенных для воспрепятствования реализации угроз.
Под целостностью моделируемой системы понимается такое ее состояние, которое в течение задаваемого периода прогноза отвечает целевому назначению модели системы. В данном случае непосредственно процесс передачи может быть рассмотрен в качестве моделируемой системы. При моделировании, направленном на прогнозирование риска нарушения требований по защите информации, целевое назначение моделируемой системы проявляется в выполнении требований по защите информации. Такая интерпретация подразумевает выполнение требований по защите информации не только применительно к защищаемым активам и действиям, с помощью которых создают и получают выходные результаты, но и к самим выходным результатам, которые применяют (или планируют к созданию, получению и/или применению). В итоге для каждого из элементов и моделируемой системы в целом в приложении к прогнозированию риска нарушения требований по защите информации пространство элементарных состояний на временной оси образуют два основных состояния:
- "Выполнение требований по защите информации в системе обеспечено", если в течение всего периода прогноза обеспечено выполнение требований по защите информации;
- "Выполнение требований по защите информации в системе нарушено" - в противном случае.
Обоснованное использование выбранных мер и защитных преград является предупреждающими контрмерами, нацеленными на обеспечение успешной реализации процесса передачи системы.
В.3.1.5 В моделях простой структуры систему рассматривают как "черный ящик", если для него сделано предположение об использовании одной и той же модели угроз безопасности информации и одной и той же технологии системного контроля выполнения требований по защите информации и восстановления системы после состоявшихся нарушений или выявленных предпосылок к нарушениям. В моделях сложной структуры под моделируемой системой понимается определенная упорядоченная совокупность составных элементов, каждый из которых логически представляет собой определенное действие или выходной результат и совокупность задействованных активов, к которым предъявлены требования и применяют меры защиты информации. При этом выходной результат сам может стать активом в итоге выполняемых действий.
В общем случае для различных элементов системы сложной структуры могут быть применены различные модели угроз безопасности информации или различные технологии системного контроля выполнения требований по защите информации и восстановлению необходимой целостности этих элементов.
В.3.1.6 При расчетах с использованием математических моделей для прогнозирования риска нарушения требований по защите информации и рекомендаций ГОСТ Р 59341-2021 (
В.2,
В.3 приложения В) осуществляется учет предпринимаемых мер периодической диагностики и восстановления возможностей по обеспечению выполнения требований по защите информации. В результате математического моделирования рассчитывают вероятность приемлемого выполнения требований по защите информации (т.е. пребывания в состоянии "Выполнение требований по защите информации в системе обеспечено") в течение всего периода прогноза и ее дополнение до единицы, представляющее собой вероятность нарушения требований по защите информации (т.е. пребывания в состоянии "Выполнение требований по защите информации в системе нарушено"). В свою очередь вероятность нарушения требований по защите информации в течение всего периода прогноза в сопоставлении с возможным ущербом определяет риск нарушения требований по защите информации в процессе передачи системы.
В.3.2 Исходные данные и расчетные показатели
Для расчета вероятностных показателей применительно к моделируемой системе, где анализируемые сущности (выходные результаты, действия) могут быть представлены в виде системы "черного ящика", используют исходные данные, формально определяемые в общем случае следующим образом:

- частота возникновения источников угроз нарушения требований по защите информации в процессе передачи системы;

- среднее время развития угроз с момента возникновения источников угроз до нарушения нормальных условий реализации процесса (например, до нарушения установленных требований по защите информации в системе или до инцидента);
Tмеж - среднее время между окончанием предыдущей и началом очередной диагностики возможностей по обеспечению выполнения требований по защите информации в системе;
Tдиаг - среднее время системной диагностики возможностей по обеспечению выполнения требований по защите информации (т.е. диагностики целостности моделируемой системы);
Tвосст - среднее время восстановления нарушенных возможностей по обеспечению выполнения требований по защите информации в моделируемой системе;
Tзад - задаваемая длительность периода прогноза.
Расчетные показатели:
Pвозд(

,

,
Tмеж,
Tдиаг,
Tвосст,
Tзад) - вероятность отсутствия нарушений по защите информации в моделируемой системе в течение периода прогноза
Tзад;
Rнаруш(

,

,
Tмеж,
Tдиаг,
Tвосст,
Tзад) - вероятность нарушения требований по защите информации в моделируемой системе в течение периода прогноза
Tзад.
Расчет показателей применительно к процессу передачи для моделируемой системы простой и сложной структуры вычисляют по формулам ГОСТ Р 59341-2021
(В.2 приложения В).
Примечание - При необходимости могут быть использованы модели, позволяющие оценивать защищенность от опасных программно-технических воздействий, несанкционированного доступа и сохранение конфиденциальности информации в системе - см. ГОСТ Р 59341-2021
(В.3 приложения В).
В.4 Прогнозирование интегрального риска
В.4.1 Общие положения
Прогнозирование интегрального риска нарушения реализации процесса передачи системы с учетом требований по защите информации применяют при решении задач системного анализа - см.
раздел 7. Интегральный риск оценивают с использованием расчетных вероятностей невыполнения необходимых действий процесса, нарушения сроков выполнения необходимых действий процесса (см.
В.2) и нарушения требований по защите информации (см.
В.3) в сопоставлении с возможным ущербом.
В.4.2 Метод оценки
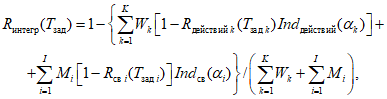
Вероятность нарушения надежности реализации процесса без учета требований по защите информации вычисляют по формулам:
- для варианта, когда учитывают все действия (включая действия с нарушениями и отсутствием нарушений)

(В.8)
- для варианта, когда учитывают лишь те случаи, для которых условия по выполнению необходимых действий процесса и/или срокам их выполнения были нарушены (именно эти нарушения являются причиной возможных ущербов)

(В.9)
где
Tзад - задаваемое общее время для прогноза, включающее в себя все частные значения
Tзад k,
Tзад i с учетом их наложений - см.
формулы (В.2) - (В.9).
Примечание - При соблюдении всех учитываемых условий вероятностные оценки рисков по формулам (В.8), (В.9) совпадают.
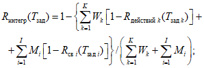
Интегральную вероятность нарушения надежности реализации процесса передачи системы с учетом требований по защите информации Rинтегр.уч(Tзад) вычисляют по формуле
Rинтегр.уч(
Tзад) = 1 - [1 -
Rинтегр(
Tзад)] x
x [1 - Rнаруш(Tзад)]. (В.10)
Здесь вероятность нарушения надежности реализации процесса в течение периода прогноза без учета требований по защите информации
Rинтегр(
Tзад) рассчитывают по
формулам (В.8) и/или
(В.9) в зависимости от целей системного анализа. Вероятность нарушения требований по защите информации в системе в течение периода прогноза
Rнаруш(
Tзад) рассчитывают по рекомендациям
В.3 для выбранной при проведении системного анализа структуры моделируемой системы.
Интегральный риск нарушения реализации процесса передачи системы с учетом требований по защите информации определяют путем сопоставления расчетной вероятности нарушения реализации процесса в течение периода прогноза, рассчитанной по
формуле (В.10), с возможным ущербом за этот период.
Примечание - Примеры прогнозирования рисков в приложении к различным процессам см. в
ГОСТ Р 54124,
ГОСТ Р 58494,
ГОСТ Р 59331,
ГОСТ Р 59333,
ГОСТ Р 59335,
ГОСТ Р 59338,
ГОСТ Р 59341,
ГОСТ Р 59345,
ГОСТ Р 59346,
ГОСТ Р 59347,
ГОСТ Р 59356.
(справочное)
ТИПОВЫЕ ДОПУСТИМЫЕ ЗНАЧЕНИЯ ПОКАЗАТЕЛЕЙ РИСКОВ
ДЛЯ ПРОЦЕССА ПЕРЕДАЧИ СИСТЕМЫ
С точки зрения остаточного риска, характеризующего приемлемый уровень целостности систем, предъявляемые требования системной инженерии подразделяют на требования при допустимых рисках, обосновываемых по прецедентному принципу согласно
ГОСТ Р 59349, и требования при рисках, свойственных реальной или гипотетичной системе-эталону. При формировании требований системной инженерии необходимо обоснование достижимости целей системы и рассматриваемого процесса передачи системы, а также целесообразности использования количественных показателей рисков в дополнение к качественным показателям, определяемым по
ГОСТ Р ИСО/МЭК 27005. При этом учитывают важность и критичность системы, ограничения на стоимость ее создания и эксплуатации, указывают другие условия в зависимости от специфики.
Требования системной инженерии при принимаемых рисках, свойственных системе-эталону, являются наиболее жесткими, они не учитывают специфики рассматриваемой системы, а ориентируются лишь на мировые технические и технологические достижения для удовлетворения требований заинтересованных сторон и рационального решения задач системного анализа. Полной проверке на соответствие этим требованиям подлежит система в целом, составляющие ее подсистемы и реализуемые процессы жизненного цикла. Выполнение этих требований является гарантией обеспечения высокого качества и безопасности системы. Вместе с тем проведение работ системной инженерии с ориентацией на риски, свойственные системе-эталону, характеризуются существенно

затратами по сравнению с требованиями, ориентируемыми на допустимые риски, обосновываемые по прецедентному принципу. Это заведомо удорожает разработку самой системы, увеличивает время до принятия ее в эксплуатацию и удорожает саму эксплуатацию системы.
Требования системной инженерии при допустимых рисках, свойственных конкретной системе или ее аналогу и обосновываемые по прецедентному принципу, являются менее жесткими, а их реализация - менее дорогостоящей по сравнению с требованиями для рисков, свойственных системе-эталону. Использование данного варианта требований обусловлено тем, что на практике может оказаться нецелесообразной (из-за использования ранее зарекомендовавших себя технологий, по экономическим или по другим соображениям) или невозможной ориентация на допустимые риски, свойственные системе-эталону. Вследствие этого минимальной гарантией обеспечения качества и безопасности процесса передачи системы является выполнение требований системной инженерии при допустимом риске заказчика, обосновываемом по прецедентному принципу.
Типовые допустимые значения показателей рисков для процесса передачи системы отражены в
таблице Г.1. При этом период прогноза для расчетных показателей подбирают таким образом, чтобы вероятностные значения рисков не превышали допустимые. В этом случае для задаваемых при моделировании условий имеет место гарантия качества и безопасности реализации процесса в течение задаваемого периода прогноза.
Таблица Г.1
Пример задания допустимых значений рисков
Показатель | Допустимое значение риска (в вероятностном выражении) |
при ориентации на обоснование по прецедентному принципу | при ориентации на обоснование для системы-эталона |
Риск нарушения требований по защите информации в процессе передачи системы | Не выше 0,05 | Не выше 0,01 |
Интегральный риск нарушения реализации процесса передачи системы с учетом требований по защите информации | Не выше 0,10 | Не выше 0,05 |
(справочное)
МЕТОДИК СИСТЕМНОГО АНАЛИЗА ДЛЯ ПРОЦЕССА ПЕРЕДАЧИ СИСТЕМЫ
Д.1 Методика прогнозирования риска нарушения требований по защите информации в процессе передачи системы.
Д.2 Методика прогнозирования интегрального риска нарушения реализации процесса передачи системы с учетом требований по защите информации.
Д.3 Методики обоснования допустимых рисков и нормы эффективности защиты информации для задаваемой модели угроз (в терминах риска нарушения требований по защите информации и интегрального риска нарушения реализации процесса передачи системы с учетом требований по защите информации).
Д.4 Методики выявления явных и скрытых недостатков процесса передачи системы с использованием прогнозирования рисков.
Д.5 Методики обоснования предупреждающих мер, направленных на достижение целей процесса передачи системы и противодействие угрозам нарушения требований по защите информации.
Д.6 Методики обоснования предложений по совершенствованию и развитию системы защиты информации по результатам системного анализа процесса передачи системы.
Примечания
2 С учетом специфики системы допускается использование других научно обоснованных методов, моделей, методик.
| Федеральный закон от 21 декабря 1994 г. N 68-ФЗ "О защите населения и территорий от чрезвычайных ситуаций природного и техногенного характера" |
[2] | Федеральный закон от 21 июля 1997 г. N 116-ФЗ "О промышленной безопасности опасных производственных объектов" |
[3] | Федеральный закон от 21 июля 1997 г. N 117-ФЗ "О безопасности гидротехнических сооружений" |
[4] | Федеральный закон от 2 января 2000 г. N 29-ФЗ "О качестве и безопасности пищевых продуктов" |
[5] | Федеральный закон от 10 января 2002 г. N 7-ФЗ "Об охране окружающей среды" |
[6] | Федеральный закон от 27 декабря 2002 г. N 184-ФЗ "О техническом регулировании" |
[7] | Федеральный закон от 27 июля 2006 г. N 149-ФЗ "Об информации, информационных технологиях и о защите информации" |
[8] | Федеральный закон от 9 февраля 2007 г. N 16-ФЗ "О транспортной безопасности" |
[9] | Федеральный закон от 22 июля 2008 г. N 123-ФЗ "Технический регламент о требованиях пожарной безопасности" |
[10] | Федеральный закон от 30 декабря 2009 г. N 384-ФЗ "Технический регламент о безопасности зданий и сооружений" |
[11] | Федеральный закон от 28 декабря 2010 г. N 390-ФЗ "О безопасности" |
[12] | Федеральный закон от 21 июля 2011 г. N 256-ФЗ "О безопасности объектов топливно-энергетического комплекса" |
[13] | Федеральный закон от 28 декабря 2013 г. N 426-ФЗ "О специальной оценке условий труда" |
[14] | Федеральный закон от 28 июня 2014 г. N 172-ФЗ "О стратегическом планировании в Российской Федерации" |
[15] | Федеральный закон от 26 июля 2017 г. N 187-ФЗ "О безопасности критической информационной инфраструктуры Российской Федерации" |
[16] | Постановление Правительства Российской Федерации от 31 декабря 2020 г. N 2415 "О проведении эксперимента по внедрению системы дистанционного контроля промышленной безопасности" |
[17] | | Информационные технологии. Основные термины и определения в области технической защиты информации |
[18] | | Техническая защита информации. Основные термины и определения |
| Руководящий документ. Защита от несанкционированного доступа к информации. Часть 1. Программное обеспечение средств защиты информации. Классификация по уровню контроля отсутствия недекларированных возможностей (Утвержден решением председателя Государственной технической комиссии при Президенте Российской Федерации от 4 июня 1999 г. N 114) |
| Специальные требования и рекомендации по технической защите конфиденциальной информации (СТР-К), утвержденные приказом Председателя Гостехкомиссии России от 30 августа 2002 г. N 282 |
| Требования о защите информации, не составляющей государственную тайну, содержащейся в государственных информационных системах (Утверждены приказом ФСТЭК России от 11 февраля 2013 г. N 17) |
[22] | Состав и содержание организационных и технических мер по обеспечению безопасности персональных данных при их обработке в информационных системах персональных данных (Утверждены приказом ФСТЭК России от 18 февраля 2013 г. N 21) |
[23] | Требования к обеспечению защиты информации в автоматизированных системах управления производственными и технологическими процессами на критически важных объектах, потенциально опасных объектах, а также объектах, представляющих повышенную опасность для жизни и здоровья людей и для окружающей природной среды (Утверждены приказом ФСТЭК России от 14 марта 2014 г. N 31) |
| Требования по обеспечению безопасности значимых объектов критической информационной инфраструктуры Российской Федерации (Утверждены приказом ФСТЭК России от 25 декабря 2017 г. N 239) |
[25] | Методические рекомендации по проведению плановых проверок субъектов электроэнергетики, осуществляющих деятельность по производству электрической энергии на тепловых электрических станциях, с использованием риск-ориентированного подхода (Утверждены приказом Ростехнадзора от 5 марта 2020 г. N 97) |
| Методические рекомендации по проведению плановых проверок деятельности теплоснабжающих организаций, теплосетевых организаций, эксплуатирующих на праве собственности или на ином законном основании объекты теплоснабжения, при осуществлении федерального государственного энергетического надзора с использованием риск-ориентированного подхода (Утверждены приказом Ростехнадзора от 20 июля 2020 г. N 278) |
УДК 006.34:004.056:004.056.5:004.056.53:006.354 | |
Ключевые слова: актив, безопасность, защита информации, модель, процесс передачи системы, риск, система, системная инженерия, управление |