Примечание 1 - Совокупность может состоять из реальных объектов и быть конечной, может состоять из реальных объектов и быть бесконечной или может быть полностью гипотетической. Иногда используют термин "конечная совокупность", особенно в ситуациях, связанных с получением конечных выборок. Подобным образом термин "бесконечная совокупность" используют в случае выборки из континуума. В главе 2 совокупность рассматривается в вероятностном контексте как пространство элементарных событий (2.1). Примечание 2 - Гипотетическая совокупность позволяет делать различные предположения о природе ожидаемых данных. Таким образом, гипотетическая совокупность полезна на стадии статистических исследований, особенно при выборе подходящего объема выборки. Гипотетическая совокупность может состоять из конечного или бесконечного числа элементов. Ее использование особенно полезно при работе с аналитическими статистиками в статистических исследованиях. Примечание 3 - Область применения исследований определяет свойства совокупности. Например, если для демографического или медицинского исследования выбраны три населенных пункта, то генеральная совокупность состоит из жителей данных конкретных населенных пунктов. Однако если эти три населенных пункта выбраны случайным образом среди всех населенных пунктов заданного региона, то совокупность состоит из всех жителей данного региона. | en | population | ||||||||||||||
fr | population | |||||||||||||||
1.2 выборочная единица: Одна из конкретных единиц, из которых состоит генеральная совокупность (1.1). Примечание - В зависимости от обстоятельств единицей может быть человек, семья, учебное заведение, административное подразделение и т.д. | en | sampling unit | ||||||||||||||
fr | ![]() | |||||||||||||||
1.3 выборка: Подмножество генеральной совокупности (1.1), состоящее из одной выборочной единицы (1.2) или более. Примечание 1 - В зависимости от рассматриваемой генеральной совокупности выборочными единицами могут быть предметы, числовые значения или даже абстрактные объекты. Примечание 2 - Определение выборки, приведенное в ИСО 3534-2, включает пример схемы отбора выборки, которая необходима при отборе случайной выборки из конечной совокупности. | en | sample | ||||||||||||||
fr | ![]() | |||||||||||||||
1.4 наблюдаемое значение: Значение исследуемой характеристики, полученное в результате единичного наблюдения. Примечание 1 - Часто используемые синонимы данного понятия - это "реализация" и "данная величина". Множественное число от понятия "данная величина" - данные. Примечание 2 - Определение не указывает на происхождение или способ получения данного значения. Значение может представлять только одну реализацию случайной величины (2.10), но это не является общей ситуацией. Последующему статистическому анализу может быть подвергнута одна из нескольких реализаций случайной величины. Несмотря на то что соответствующие выводы требуют некоторого статистического обоснования, ничто не препятствует вычислительной обработке или графическому представлению наблюдаемых значений. Только при появлении таких вопросов, как определение вероятности появления конкретного набора реализаций случайной величины, применение статистических методов обработки данных становится уместным и важным. Предварительный этап изучения наблюдаемых значений, как правило, относят к анализу данных. | en | observed value | ||||||||||||||
fr | valeur ![]() | |||||||||||||||
1.5 описательная статистика: Краткое представление наблюдаемых значений (1.4) в графическом, численном или ином виде. Пример 1 - Численные сводки включают выборочное среднее (1.15), выборочный размах (1.10), выборочное стандартное отклонение (1.17) и т.д. Пример 2 - Примеры графических представлений включают "ящики с усами", диаграммы, графики "квантиль - квантиль", графики нормального квантиля, диаграммы рассеяния, множественные диаграммы рассеяния и гистограммы. | en | descriptive statistics | ||||||||||||||
fr | statistique descriptive | |||||||||||||||
Примечание 1 - Данное определение имеет меньше ограничений, чем приведенное в ИСО 3534-2, которое допускает наличие бесконечной генеральной совокупности. Примечание 2 - Когда выборка из n выборочных единиц отобрана из конечного пространства элементарных событий (2.1), каждая из возможных комбинаций n выборочных единиц имеет свою вероятность (2.5) быть отобранной. Для выборочных планов данных опроса конкретная вероятность каждой возможной комбинации может быть вычислена заранее. Примечание 3 - Для выборочных планов данных опроса, составляемых для конечного пространства элементарных событий, случайная выборка может быть отобрана с помощью различных планов отбора выборки, таких как планы отбора стратифицированной случайной выборки, систематической случайной выборки, групповой выборки, выборки с вероятностью отбора пропорционально величине вспомогательной переменной, а также с помощью различных других планов. | en | random sample | ||||||||||||||
fr | ![]() | |||||||||||||||
Примечание 4 - Как правило, определение относят к фактическим наблюдаемым значениям (1.4). Эти наблюдаемые значения считают реализациями случайных величин (2.10), и каждое наблюдаемое значение соответствует одной случайной величине. Если оценки (1.12), статистические критерии для проверки статистических гипотез (1.48) и доверительные интервалы (1.28) получены на основе случайной выборки, определение дополняют ссылкой на случайные величины, возникающие в большей степени на основе абстрактных объектов выборки, чем на основе фактически наблюдаемых значений этих случайных величин. Примечание 5 - Случайные выборки из бесконечной генеральной совокупности часто генерируют путем многократного отбора из пространства элементарных событий таким образом, что выборка состоит из независимых одинаково распределенных случайных величин в соответствии с интерпретацией данного определения, приведенной в примечании 4. | ||||||||||||||||
1.7 простая случайная выборка: Случайная выборка (1.6) из конечной генеральной совокупности, такая, что всем подмножествам заданного объема соответствует одна и та же вероятность быть отобранными. Примечание - Данное определение гармонизировано с определением, приведенным в ИСО 3534-2, хотя и имеет немного отличную формулировку. | en | simple random sample | ||||||||||||||
fr | simple ![]() | |||||||||||||||
1.8 статистика: Полностью определенная функция случайных величин (2.10). Примечание 1 - Для случайной выборки (1.6), понимаемой в смысле примечания 4 к 1.6, статистика представляет собой функцию случайных величин. Примечание 2 - В соответствии с примечанием 1, если {X1, X2, ..., Xn} - случайная выборка из нормального распределения (2.50) с неизвестным математическим ожиданием (2.35) Примечание 3 - Приведенное определение является формальным и соответствует трактовке, используемой в математической статистике. В приложениях многочисленные статистические данные, в частности статистики, могут иметь отношение к различным областям технических знаний, включающим анализ действий, представленный в международных стандартах ISO/TC 69. | en | statistic | ||||||||||||||
fr | statistique | |||||||||||||||
1.9 порядковая статистика: Статистика (1.8), определяемая порядковым номером случайной величины (2.10) в ряду случайных величин, расположенных в неубывающем порядке. Пример - Пусть выборка состоит из наблюдаемых значений (1.4): 9, 13, 7, 6, 13, 7, 19, 6, 10 и 7. Наблюдаемые значения в порядке неубывания: 6, 6, 7, 7, 7, 9, 10, 13, 13, 19. Эти значения являются реализациями порядковых статистик X1, ..., X10. Примечание 1 - Пусть наблюдаемые значения (1.4), составляющие случайную выборку (1.6), образующие множество {x1, x2, ..., xn}, при сортировке в неубывающем порядке обозначены следующим образом: x(1) <= ... <= x(k) <= ... <= x(n). Тогда (x(1), ..., x(k), ..., x(n)) представляют собой наблюдаемые значения порядковой статистики (X(1), ..., X(k), ..., X(n)), а x(k) - наблюдаемое значение k-й порядковой статистики. Примечание 2 - На практике определение порядковых статистик для набора данных сводится к сортировке данных, как формально описано в примечании 1. Отсортированные данные применяют для определения полезных сводных статистик, как представлено в нескольких следующих определениях. Примечание 3 - Порядковая статистика представляет собой выборочное значение, соответствующее его позиции в последовательности данных после их ранжирования в неубывающем порядке. Как показано в примере, легче понять сортировку выборочных значений (реализаций случайных величин), чем сортировку ненаблюдаемых случайных величин. Тем не менее можно представлять случайные величины из случайной выборки (1.6), упорядоченной в неубывающем порядке. Например, максимальное значение набора из n случайных величин может быть изучено заранее на основе его реализованного значения. | en | order statistic | ||||||||||||||
fr | statistique d'ordre | |||||||||||||||
Примечание 4 - Отдельная порядковая статистика представляет собой полностью заданную функцию случайной величины. Эта функция является идентификатором положения или ранга случайной величины в отсортированном наборе случайных величин. Примечание 5 - Потенциальную проблему представляет ранжирование совпадающих значений, особенно для дискретных случайных величин и для значений, полученных с низкой точностью. Формулировка "неубывающий порядок" точнее, чем "возрастающий порядок", при учете всех тонкостей процесса ранжирования данных. Необходимо акцентировать внимание на том, что совпадающие значения сохраняют при обработке данных, а не заменяют одним значением. В примере, представленном выше, две реализации, "6" и "6", представляют собой совпадающие значения. Примечание 6 - Упорядочивание выполняют на основе фактических значений, а не на основе абсолютных значений случайных величин. Примечание 7 - Полный набор порядковых статистик составляет случайную величину размерности n, где n - число наблюдений в выборке. Примечание 8 - Компоненты порядковой статистики также рассматривают как порядковые статистики, но снабженные спецификатором, указывающим их номер в упорядоченной последовательности значений в выборке. Примечание 9 - Минимальное и максимальное значения, а также при нечетном объеме выборки выборочная медиана (1.13) представляют собой частные случаи порядковых статистик. Например, для выборки объема 11 единиц, X(1) - минимум, X(10) - максимум и X(6) - выборочная медиана. | ||||||||||||||||
1.10 выборочный размах: Разность между значениями наибольшей и наименьшей порядковых статистик (1.9). Пример - Для примера, рассмотренного в 1.9, выборочный размах, полученный на основе наблюдений, равен 19 - 6 = 13. Примечание - В статистическом управлении процессами выборочный размах часто используют для отслеживания дисперсии процесса, особенно при относительно небольших объемах выборки. | en | sample range | ||||||||||||||
fr | ![]() | |||||||||||||||
1.11 середина размаха: Среднее арифметическое (1.15) наименьшей и наибольшей порядковых статистик (1.9). Пример - В примере, рассмотренном в 1.9, середина размаха на основе наблюдений равна (6 + 19)/2 = 12,5. Примечание - Середина размаха дает быструю и простую оценку середины небольших наборов данных. | en | mid-range | ||||||||||||||
fr | milieu de ![]() | |||||||||||||||
Примечание 1 - Оценкой может быть выборочное среднее (1.15) при определении оценки математического ожидания (2.35) генеральной совокупности, которое может быть обозначено Примечание 2 - При определении оценок характеристик генеральной совокупности [например, моды (2.27) для одномерного распределения (2.16)] подходящей оценкой может быть функция оценки(ок) параметра распределения или сложная функция случайной выборки (1.6). Примечание 3 - Термин "оценка" использован в широком смысле. Он включает в себя как точечную, так и интервальную оценки параметра, которые могут быть использованы для прогнозирования (иногда их рассматривают как прогностические факторы). Оценка также может включать в себя такие функции, как ядерные оценки и другие специальные статистики. Дополнительная информация приведена в примечаниях к 1.36. | en | estimator | ||||||||||||||
fr | estimateur | |||||||||||||||
1.13 выборочная медиана: Значение [(n + 1)/2]-й порядковой статистики (1.9) при нечетном объеме выборки n (см. ИСО 3534-2:2006, 1.2.26); значение суммы (n/2)-й и [(n/2) + 1]-й порядковых статистик, деленной на два, при четном объеме выборки n. Пример - В примере, приведенном в 1.9, значение 8 представляет собой реализацию выборочной медианы. В этом случае (четный объем выборки равен 10) 5-е и 6-е значения составили 7 и 9, их среднее равно 8. На практике это заносят в отчет в виде "выборочная медиана равна 8", хотя, строго говоря, выборочная медиана является случайной величиной. Примечание 1 - Для случайной выборки (1.6) объема n случайные величины (2.10), которые расположены в неубывающем порядке от 1 до n, выборочная медиана - это (n + 1)/2-я случайная величина в случае нечетного объема выборки. При четном объеме выборки n выборочная медиана равна среднему арифметическому (n/2)-й и [(n/2) + 1]-й случайных величин. Примечание 2 - Упорядочивание случайных величин, для которых наблюдения отсутствуют, может казаться невозможным. Тем не менее в рамках работы с порядковыми статистиками данный анализ может быть произведен. На практике получают наблюдаемые значения и, сортируя эти значения, реализации порядковых статистик. Данные реализации могут быть проинтерпретированы исходя из структуры порядковых статистик случайной выборки. Примечание 3 - Выборочная медиана является оценкой середины распределения, с каждой стороны от которой лежит половина выборки. | en | sample median | ||||||||||||||
fr | ![]() | |||||||||||||||
Примечание 4 - На практике выборочная медиана полезна как оценка, не чувствительная к наличию в выборке сильно удаленных крайних значений. Например, в обзорах в качестве "среднего дохода" и "средней цены на жилье" часто указывает медиану. | ||||||||||||||||
1.14 выборочный момент порядка k; E(Xk): Сумма k-х степеней случайных величин (2.10) случайной выборки (1.6), деленная на число наблюдений в выборке (1.3). Примечание 1 - Для случайной выборки объема n, т.е. для {X1, X2, ..., Xn}, выборочный момент порядка k, E(Xk) - это .Примечание 2 - Кроме того, данное понятие можно характеризовать как начальный выборочный момент порядка k. Примечание 3 - Выборочный момент порядка 1, представленный в следующем определении, является выборочным средним (1.15). Примечание 4 - Хотя определение дано для произвольного k, на практике, как правило, рассматривают следующие значения k: k = 1 [выборочное среднее (1.15)], k = 2 [связано с выборочной дисперсией (1.16) и выборочным стандартным отклонением (1.17)], k = 3 [связано с выборочным коэффициентом асимметрии (1.20)] и k = 4 [связано с выборочным коэффициентом эксцесса (1.21)]. Примечание 5 - Использование буквы "E" в записи E(Xk) связано с тем, что с этой буквы начинается английская запись понятий "ожидаемое значение" ("expected value") и "ожидание" ("expectation"). | en | sample moment of order k | ||||||||||||||
fr | moment d'ordre k | |||||||||||||||
1.15 выборочное среднее; среднее арифметическое: Сумма случайных величин (2.10) случайной выборки (1.6), деленная на число слагаемых в этой сумме. Пример - В примере, приведенном в 1.9, значение выборочного среднего составляет 9,7, т.к. сумма наблюдаемых значений равна 97, а объем выборки равен 10. Примечание 1 - Рассматриваемое как статистика выборочное среднее представляет собой функцию случайных величин из случайной выборки в смысле, указанном в примечании 3 к 1.8. Необходимо отличать функцию от численного значения выборочного среднего, вычисленного на основе наблюдаемых значений (1.4) случайной выборки. Примечание 2 - Рассматриваемое как статистика выборочное среднее часто используют как оценку математического ожидания (2.35) генеральной совокупности. Часто используемым синонимом является арифметическое среднее. Примечание 3 - Для случайной выборки объема n, т.е. для {X1, X2, ..., Xn}, выборочное среднее - это .Примечание 4 - Выборочное среднее является моментом первого порядка. | en | sample mean (average, arithmetic mean) | ||||||||||||||
fr | moyenne (moyenne, moyenne ) | |||||||||||||||
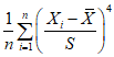
1.16 выборочная дисперсия; S2: Сумма квадратов отклонений случайных величин (2.10) случайной выборки (1.6) от их выборочного среднего (1.15), деленная на число слагаемых в этой сумме минус один. Пример - Для примера, приведенного в 1.9, значение выборочной дисперсии составляет 17,57. Сумма квадратов отклонений от выборочного среднего равна 158,10; данная сумма поделена на число 9, что составляет объем выборки 10 минус один. Примечание 1 - Рассматриваемая как статистика (1.8) выборочная дисперсия S2 является функцией случайных величин случайной выборки. Данную статистику (1.12) следует отличать от численного значения выборочной дисперсии, вычисленной на основе наблюдаемых значений (1.4) случайной выборки. Это численное значение называют эмпирической выборочной дисперсией или наблюдаемой выборочной дисперсией и обычно обозначают s2. Примечание 2 - Для случайной выборки объема n, т.е. для {X1, X2, ..., Xn}, с выборочным средним .Примечание 3 - Выборочная дисперсия - это статистика, которая "почти" совпадает со средним арифметическим квадратных отклонений случайных величин (2.10) от их выборочного среднего (так как сумму делят не на n, а на n - 1). Использование n - 1 дает несмещенную оценку (1.34) дисперсии генеральной совокупности (2.36). Примечание 4 - Величину n - 1 называют числом степеней свободы (2.54). Примечание 5 - Выборочная дисперсия является вторым выборочным моментом случайных величин нормализованной выборки (1.19). | en | sample variance | ||||||||||||||
fr | variance ![]() | |||||||||||||||
1.17 выборочное стандартное отклонение; S: Неотрицательное значение квадратного корня из выборочной дисперсии (1.16). Пример - Для примера, приведенного в 1.9, значение выборочного стандартного отклонения составляет 4,192, т.к. полученная выборочная дисперсия составляет 17,57. Примечание 1 - На практике выборочное стандартное отклонение используют для определения оценки стандартного отклонения (2.37). S также является случайной величиной (2.10), а не значением, полученным по реализации случайной выборки (1.6). Примечание 2 - Выборочное стандартное отклонение является мерой разброса распределения (2.11). | en | sample standard deviation | ||||||||||||||
fr | ![]() | |||||||||||||||
1.18 выборочный коэффициент вариации: Выборочное стандартное отклонение (1.17), деленное на выборочное среднее (1.15). Примечание - Как и в случае коэффициента вариации (2.38), полезность этой статистики ограничена генеральными совокупностями, содержащими положительные значения. Величину выборочного коэффициента вариации обычно представляют в процентах. На практике выборочный коэффициент вариации, как правило, применяют, когда вариация возрастает пропорционально среднему. | en | sample coefficient of variation | ||||||||||||||
fr | coefficient de variation ![]() | |||||||||||||||
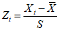
1.19 стандартизованная выборочная случайная величина: Разность случайной величины (2.10) и ее выборочного среднего (1.15), деленная на выборочное стандартное отклонение (1.17). Пример - Для примера, приведенного в 1.9, полученное выборочное среднее составляет 9,7, а полученное выборочное стандартное отклонение - 4,192; таким образом, полученные значения стандартизованной выборки составляют: -0,17; 0,79; -0,64; -0,88; 0,79; -0,64; 2,22; -0,88; 0,07; -0,64. Примечание 1 - Стандартизованную выборочную случайную величину следует отличать от ее теоретического аналога - стандартизованной случайной величины (2.33). Целью стандартизации случайной величины является ее преобразование в случайную величину с нулевым математическим ожиданием и стандартным отклонением, равным единице; данное преобразование проводят для простоты интерпретации и сравнения данных. Примечание 2 - Стандартизованные наблюдаемые значения имеют нулевое наблюдаемое среднее и наблюдаемое стандартное отклонение, равное единице. | en | standardized sample random variable | ||||||||||||||
fr | variable ![]() | |||||||||||||||
1.20 выборочный коэффициент асимметрии: Среднее арифметическое стандартизованных выборочных случайных величин (1.19) случайной выборки (1.6) в третьей степени. Пример - Для примера, приведенного в 1.9, получен выборочный коэффициент асимметрии 0,97188. Для такого объема выборки (n = 10) выборочный коэффициент асимметрии имеет высокую изменчивость, поэтому требует осторожности при использовании. Применение альтернативной формулы, представленной в примечании 1, дает значение 1,34983. .Некоторые программы статистической обработки данных с целью корректировки смещения (1.33) используют для вычисления выборочного коэффициента асимметрии следующую формулу: ,где .При больших объемах выборок разность значений этих двух оценок пренебрежимо мала. Отношение несмещенной оценки к смещенной для n = 10 составляет 1,389, для n = 100 - 1,031 и для n = 1000. | en | sample coefficient of skewness | ||||||||||||||
fr | coefficient ![]() | |||||||||||||||
Примечание 2 - Асимметрия характеризует симметричность распределения. Близкие к нулю значения данной статистики указывают на то, что рассматриваемое распределение очень близко к симметричному, тогда как ненулевые значения соответствуют тому, что, вероятно, существуют случайные всплески значений по одну сторону от центра распределения. Асимметричность данных также отражает различие в значениях выборочного среднего (1.15) и выборочной медианы (1.13). Положительная асимметрия (правосторонняя асимметрия) данных указывает на возможное наличие нескольких экстремально больших значений. Подобным образом отрицательная асимметрия указывает на возможное наличие нескольких экстремально малых значений. Примечание 3 - Выборочный коэффициент асимметрии является третьим выборочным моментом стандартизованной выборочной случайной величины (1.19). | ||||||||||||||||
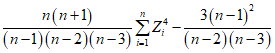
1.21 выборочный коэффициент эксцесса; выборочный эксцесс: Среднее арифметическое стандартизованных выборочных случайных величин (1.19) случайной выборки (1.6). Пример - Для примера, приведенного в 1.9, получен выборочный коэффициент эксцесса 2,67419. Для выборки такого же объема, как и в данном примере, выборочный коэффициент эксцесса (n = 10) имеет высокую изменчивость, поэтому при использовании требуется осторожность. Программные пакеты статистической обработки позволяют варьировать настройки при вычислении выборочного коэффициента эксцесса (см. примечание 3 к 2.40). При использовании альтернативной формулы, приведенной в примечании 1, вычисленное значение составляет 0,43605. Два полученных значения, 2,67419 и 0,43605, непосредственно не сопоставимы. Для их сравнения рассматривают разность 2,67419 - 3 (3 вычитают для сопоставления с эксцессом нормального распределения), которая равна -0,32581, эту величину можно сравнивать с 0,43605. . | en | sample coefficient of kurtosis | ||||||||||||||
fr | coefficient d'aplatissement ![]() | |||||||||||||||
В некоторых программных пакетах статистической обработки данных с целью корректировки смещения (1.33) и определения отклонения от эксцесса нормального распределения выборочный коэффициент эксцесса вычисляют по следующей формуле: ,где .Второй член формулы при достаточно больших n приближается к значению 3. Иногда эксцессом считают выражение, приведенное в 2.40, минус 3 для сопоставления с эксцессом нормального распределения. Специалист, работающий с программами статистической обработки данных, может регулировать соответствующие настройки. Примечание 2 - Эксцесс характеризует тяжесть хвостов унимодального распределения. Для нормального распределения (2.50) с учетом вариабельности выборки выборочный коэффициент эксцесса приблизительно равен 3. На практике эксцесс нормального распределения представляет собой эталонное или базовое значение. Распределения (2.11), у которых значение эксцесса менее 3, имеют более легкие хвосты, чем хвосты нормального распределения; распределения (2.11), у которых значение эксцесса более 3, имеют более тяжелые хвосты, чем у нормального распределения. Примечание 3 - Для наблюдаемых значений эксцесса, значительно превосходящих 3, существует вероятность того, что хвосты рассматриваемого распределения значимо тяжелее, чем хвосты нормального распределения. Выборка может содержать наблюдения из другого источника или ошибочные записи. Примечание 4 - Выборочный коэффициент эксцесса является 4-м выборочным моментом стандартизованных выборочных случайных величин. | ||||||||||||||||
1.22 выборочная ковариация; Sxy: Сумма произведений отклонений пар случайных величин (2.10) случайной выборки (1.6) от их выборочных средних (1.15), деленная на число слагаемых минус единица. Пример 1 - Наблюдаемые значения представляют собой десять групп упорядоченных чисел, по три числа в каждой группе. Для настоящего примера использованы только первые два числа группы (x, y). Таблица 1 | en | sample covariance | ||||||||||||||
fr | covariance ![]() | |||||||||||||||
i | 1 | 2 | 3 | 4 | 5 | 6 | 7 | 8 | 9 | 10 | ||||||
x | 38 | 41 | 24 | 60 | 41 | 51 | 58 | 50 | 65 | 33 | ||||||
y | 73 | 74 | 43 | 107 | 65 | 73 | 99 | 72 | 100 | 48 | ||||||
z | 34 | 31 | 40 | 28 | 35 | 28 | 32 | 27 | 27 | 31 | ||||||
Выборочное среднее для X составляет 46,1, а для Y составляет 75,4. Соответствующая выборочная ковариация равна: [(38 - 46,1)·(73 - 75,4) + (41 - 46,1)·(74 - 75,4) + ... + (33 - 46,1)·(48 - 75,4)]/9 = 257,178. | ||||||||||||||||
Пример 2 - В таблице, представленной в первом примере, рассматривают значения y и z. Выборочное среднее для Z составляет 31,3. Соответствующая выборочная ковариация равна: [(73 - 75,4)·(34 - 31,3) + (74 - 75,4)·(74 - 31,3) + ... + (48 - 75,4)·(31 - 31,3)]/9 = -54,356. Примечание 1 - Рассматриваемая как статистика (1.8) выборочная ковариация представляет собой функцию пар случайных величин [(X1, Y1), (X2, Y2), ..., (Xn, Yn)] случайной выборки объема n в смысле примечания 3 к 1.6. Данную статистику (1.12) следует отличать от численного значения выборочной ковариации, вычисленной по наблюденным парам значений выборочных единиц (1.2) [(x1, y1), (x2, y2), ..., (xn, yn)] случайной выборки. Числовое значение, как правило, называют эмпирической выборочной ковариацией или наблюдаемой выборочной ковариацией. Примечание 2 - В соответствии с определением выборочная ковариация имеет вид: .Примечание 3 - Деление на n - 1 позволяет получить несмещенную оценку (1.34) ковариации (2.43) генеральной совокупности. Примечание 4 - В примере, данные для которого представлены в таблице 1, приведены три переменные несмотря на то, что в определении говорится о парах переменных. На практике стандартными являются ситуации, в которых присутствует несколько переменных. | ||||||||||||||||
1.23 выборочный коэффициент корреляции; rXY: Выборочная ковариация (1.22), деленная на произведение соответствующих выборочных стандартных отклонений (1.17). Пример 1 - В примере 1, приведенном в 1.22, стандартное отклонение составляет 12,948 для X и 21,329 для Y. Поэтому полученный выборочный коэффициент корреляции (для X и Y) равен: 257,178/(12,948·21,329) = 0,9312. Пример 2 - В примере 2, приведенном в 1.22, стандартное отклонение составляет 21,329 для Y и 4,165 для Z. Поэтому выборочный коэффициент корреляции (для Y и Z) равен: -54,356/(21,329·4,165) = -0,612. Примечание 1 - В соответствии с определением выборочный коэффициент корреляции имеет следующий вид: .Данное выражение представляет собой отношение выборочной ковариации к квадратному корню из произведения стандартных отклонений. Иногда символ rXY используют для обозначения выборочного коэффициента корреляции. Наблюдаемый выборочный коэффициент корреляции основан на реализациях (x1, y1), (x2, y2), ..., (xn, yn) соответствующих случайных величин. | en | sample correlation coefficient | ||||||||||||||
fr | coefficient de ![]() | |||||||||||||||
Примечание 2 - Наблюдаемый выборочный коэффициент корреляции может принимать значения в промежутке [-1, 1], при этом значения, близкие к 1, указывают на сильную положительную корреляцию, а значения, близкие к -1, - на сильную отрицательную корреляцию. Выборочный коэффициент корреляции показывает степень близости к линейной зависимости между переменными со значениями -1 или 1 в случае линейной зависимости, значения, близкие к 0, указывают на слабую линейную зависимость. | ||||||||||||||||
Пример - Если выборочное среднее (1.15) является оценкой математического ожидания (2.35) генеральной совокупности и Примечание 1 - Практически стандартная ошибка является естественной оценкой стандартного отклонения оценки. Примечание 2 - Не существует (целесообразного) понятия "нестандартная ошибка". Стандартную ошибку можно рассматривать как сокращение выражения "стандартное отклонение оценки". На практике под стандартной ошибкой неявно подразумевают стандартное отклонение выборочного среднего. Для стандартной ошибки выборочного среднего применяют обозначение | en | standard error | ||||||||||||||
fr | erreur type | |||||||||||||||
1.25 интервальная оценка: Интервал, ограниченный верхней и нижней границами статистики (1.8). Примечание 1 - Одной из граничных точек интервала могут быть | en | interval estimator | ||||||||||||||
fr | estimateur par intervalle | |||||||||||||||
1.26 толерантный интервал: Интервал, определяемый по случайной выборке (1.6) таким образом, что с заданным уровнем доверия он накрывает, по меньшей мере, установленную долю генеральной совокупности (1.1). Примечание - Уровнем доверия в данном случае является доля интервалов, построенных таким образом, что включают, по крайней мере, заданную долю выборки при многократном повторении процедуры. | en | statistical tolerance interval | ||||||||||||||
fr | intervalle statistique de dispersion | |||||||||||||||
1.27 толерантная граница: Статистика (1.8), представляющая собой конечную точку толерантного интервала (1.26). Примечание - Толерантные интервалы могут быть: - односторонними (когда одна из границ является фиксированной естественной границей случайной величины); в этом случае интервал имеет либо верхнюю, либо нижнюю статистическую толерантную границу; - двусторонними, когда интервал имеет обе границы. Естественная граница случайной величины может представлять собой предельное значение односторонней границы. | en | statistical tolerance limit | ||||||||||||||
fr | limite statistique de dispersion | |||||||||||||||
1.28 доверительный интервал: Интервальная оценка (1.25) (T0, T1) параметра (2.9) .Примечание 1 - Уровень доверия отражает долю случаев, когда доверительный интервал накрывает истинное значение параметра для длинной серии повторяемых случайных выборок (1.6) при одинаковых условиях. Доверительный интервал не отражает вероятность (2.5) того, что полученный по наблюдениям доверительный интервал содержит истинное значение параметра (интервал может как накрывать, так и не накрывать истинное значение). Примечание 2 - По отношению к доверительному интервалу используют показатель , где верно для всех неизвестных значений параметра генеральной совокупности | en | confidence interval | ||||||||||||||
fr | intervalle de confiance | |||||||||||||||
1.29 односторонний доверительный интервал: Доверительный интервал (1.28), одна из конечных точек которого равна Примечание 1 - Определение 1.28 применимо и в том случае, когда значение и в том случае, когда значение . Односторонние доверительные интервалы используют в тех ситуациях, когда объектом исследования являются только нижние или только верхние значения параметра. Например, при проверке громкости звука в целях обеспечения безопасности сотовых телефонов верхнюю доверительную границу рассматривают для назначений верхней границы громкости звука в предполагаемых условиях безопасности. В случае механических испытаний может представлять интерес нижняя доверительная граница усилия, при котором устройство отказывает.Примечание 2 - Односторонние доверительные интервалы встречаются в ситуациях, когда исследуемый параметр имеет натуральную естественную границу значений, например равную нулю. Для распределения Пуассона (2.47), используемого при моделировании поступления жалоб потребителей, ноль является нижней границей. Другой пример - доверительный интервал для вероятности безотказной работы электронного компонента в виде (0,98; 1), где единица - естественная верхняя граница значений вероятности. | en | one-sided confidence interval | ||||||||||||||
fr | intervalle de confiance ![]() | |||||||||||||||
1.30 предикционный интервал: Диапазон значений переменной случайной выборки (1.6), отобранной из непрерывной генеральной совокупности, для которого с установленным уровнем доверия можно утверждать, что не менее заданного числа значений будущей случайной выборки из той же самой генеральной совокупности (1.1) попадет в данный диапазон. Примечание 2 - Как правило, исследуют единственное будущее наблюдение, получаемое в тех же условиях, что и наблюдения, используемые для построения предикционного интервала. На практике предикционные интервалы применяют также в регрессионном анализе, в котором предикционный интервал строят для спектра независимых значений. | en | prediction interval | ||||||||||||||
fr | intervalle de ![]() | |||||||||||||||
Примечание - Значение оценки представляет собой численное значение, полученное на основе наблюдаемых значений. По отношению к определению оценки (1.36) параметра (2.9) гипотетического распределения вероятностей (2.11) оценка связана со статистикой (1.8), предназначенной для определения оценки параметра, при этом значение оценки получают на основании наблюдаемых значений. Иногда после слова "значение" употребляют прилагательное "точечной", чтобы подчеркнуть, что получено только одно значение (значение точечной оценки), а не интервал значений. Подобным образом прилагательное "интервальной" употребляют перед словом "оценки" в том случае, когда определяют интервал значений. | en | estimate | ||||||||||||||
fr | estimation ![]() | |||||||||||||||
1.32 ошибка оценивания: Разность значения оценки (1.31) и оцениваемого параметра (2.9), характеризующего свойство генеральной совокупности. Примечание 1 - Свойство генеральной совокупности может быть функцией параметра или параметров или другой величины, связанной с распределением вероятностей (2.11). Примечание 2 - Ошибка может включать составляющие, связанные с отбором выборки, неопределенностью результатов измерений, округлением результатов вычислений и др. По сути ошибка оценивания характеризует достоверность результатов. Определение основных составляющих ошибки оценивания является важным для повышения качества обработки данных. | en | error of estimation | ||||||||||||||
fr | erreur d'estimation | |||||||||||||||
| ||||||||||||||||
Примечание 1 - Данное определение отличается от приведенного в [2] (3.3.2) и [4] (5.25, 5.28). Смещение рассмотрено в общем смысле, как указано в примечании 1 к 1.34. Примечание 2 - На практике наличие смещения может привести к нежелательным последствиям. Например, заниженная оценка прочности материала, вызванная смещением, может стать причиной неожиданных отказов устройства. | en | bias | ||||||||||||||
fr | biais | |||||||||||||||
| ||||||||||||||||
Пример 1 - Для случайной выборки (1.36) n независимых случайных величин (2.10), подчиненных одному и тому же нормальному распределению (2.50) с математическим ожиданием (2.35) Пример 2 - Как упомянуто в примечании 1 к 1.37, оценка максимального правдоподобия (1.35) дисперсии Пример 3 - Для случайной выборки из n независимых пар случайных величин, где каждая пара имеет одно и то же двумерное нормальное распределение (2.65) с ковариацией (2.43), равной | en | unbiased estimator | ||||||||||||||
fr | estimateur sans biais | |||||||||||||||
В повседневной практике исследователи стараются избегать внесения смещения в исследование, например путем обеспечения репрезентативности случайной выборки по отношению к рассматриваемой генеральной совокупности. | ||||||||||||||||
1.35 оценка максимального правдоподобия: Оценка (1.12), приписывающая параметру (2.9) значение, при котором функция правдоподобия (1.38) достигает максимального значения или является его приближением. Примечание 1 - Оценка максимального правдоподобия - общепринятый подход определения значений оценок параметров распределения в том случае, когда установлен вид распределения (2.11), например нормальное распределение (2.50), гамма-распределение (2.56), распределение Вейбулла (2.63) и т.д. Эти оценки имеют желаемые статистические свойства (например, инвариантность при монотонном преобразовании) и во многих ситуациях обеспечивают метод определения оценки. Когда оценка максимального правдоподобия является смещенной, иногда возможна простая коррекция смещения (1.33). Как упомянуто в примере 2 к 1.34, оценка максимального правдоподобия для дисперсии (2.36) является смещенной, однако она может быть скорректирована путем использования знаменателя n - 1 вместо n. В этом случае смещение убывает с увеличением объема выборки. Примечание 2 - Английскую аббревиатуру MLE, как правило, используют как для обозначения оценки максимального правдоподобия (англ. "maximum likelihood estimator"), так и для способа получения оценки максимального правдоподобия (англ. "maximum likelihood estimation"), при этом выбор соответствующего варианта зависит от контекста. | en | maximum likelihood estimator | ||||||||||||||
fr | estimateur du maximum de vraisemblance | |||||||||||||||
1.36 определение оценки: Процедура, с помощью которой получают статистическое представление генеральной совокупности (1.1) на основе случайной выборки (1.6), полученной из данной генеральной совокупности. Примечание 1 - В частности, процедура определения значения оценки (1.31) на основе выражения для оценки (1.12) относится к определению оценки. Примечание 2 - Определение оценки следует понимать в широком смысле, включая определение точечных оценок, интервальных оценок или оценок свойств генеральной совокупности. Примечание 3 - Часто статистическое представление генеральных совокупностей связано с определением оценки параметра (2.9) или параметров или функции параметров предполагаемой модели. В более общем виде представление генеральной совокупности может быть менее конкретным, например в случае статистик, относящихся к воздействию природных катастроф (несчастные случаи, травмы, гибель людей, сельскохозяйственные потери и т.п.). Примечание 4 - Рассмотрение описательных статистик (1.5) может показать, что предполагаемая модель дает неадекватное представление данных, что может быть выявлено путем применения критериев согласия используемой модели полученным данным. В таких случаях могут быть рассмотрены другие модели, и процесс определения оценки может быть продолжен. | en | estimation | ||||||||||||||
fr | estimation ![]() | |||||||||||||||
1.37 определение оценки максимального правдоподобия: Определение оценки (1.36), в результате которого получают оценку максимального правдоподобия (1.35). Примечание 1 - Для нормального распределения (2.50) выборочное среднее (1.15) является оценкой максимального правдоподобия (1.35) параметра (2.9) Примечание 2 - Оценку максимального правдоподобия иногда используют для описания отклонения оценки (1.12) от функции правдоподобия. Примечание 3 - В некоторых случаях определение оценки максимального правдоподобия математически может представлять собой решение одного уравнения, однако имеют место ситуации, в которых получение оценки максимального правдоподобия требует итеративного решения нескольких уравнений. Примечание 4 - Английскую аббревиатуру MLE, как правило, используют как для обозначения оценки максимального правдоподобия (англ. "maximum likelihood estimator"), так и для обозначения определения оценки максимального правдоподобия (англ. "maximum likelihood estimation"), при этом выбор соответствующего варианта зависит от контекста. | en | maximum likelihood estimation | ||||||||||||||
fr | estimation du maximum de vraisemblance | |||||||||||||||
1.38 функция правдоподобия: Функция плотности распределения (2.26), вычисляемая на основе наблюдаемых значений (1.4) и рассматриваемая как функция параметров (2.9) семейства распределений (2.8). Пример 1 - Из генеральной совокупности (1.1) очень большого размера случайным образом отобрана выборка объема 10 единиц; установлено, что три выборочные единицы имеют некоторую определенную характеристику. Из рассмотрения данной выборки следует, что интуитивное значение оценки (1.31) доли генеральной совокупности, обладающей данной характеристикой, составляет 0,3 (три из десяти). В предположении о том, что генеральной совокупности соответствует биномиальная функция распределения (2.46), функция правдоподобия (функция вероятности, рассматриваемая как функция p, где в качестве n взято 10, а в качестве x - три) достигает своего максимума при p = 0,3, что согласуется с интуитивным предположением. [Ниже, полученные по отношению к p результаты проверены с помощью построения графика функции вероятности биномиального распределения (2.46) 120p3(1 - p)7]. | en | likelihood function | ||||||||||||||
fr | fonction de vraisemblance | |||||||||||||||
en | profile likelihood function | |||||||||||||||
fr | fonction de vraisemblance partielle | |||||||||||||||
1.40 гипотеза H: Утверждение о свойствах генеральной совокупности (1.1). | en | hypothesis | ||||||||||||||
fr | ![]() | |||||||||||||||
Пример 1 - Для случайной выборки (1.6) независимых случайных величин (2.10) из одного и того же нормального распределения (2.50) при неизвестных математическом ожидании (2.35) и стандартном отклонении (2.37) нулевая гипотеза может состоять в том, что математическое ожидание Пример 2 - Нулевая гипотеза может иметь следующий вид: статистической моделью генеральной совокупности (1.1) является нормальное распределение. Для данного типа нулевой гипотезы математическое ожидание и стандартное отклонение не определены. Пример 3 - Нулевая гипотеза может иметь следующий вид: статистической моделью генеральной совокупности является симметричное распределение. Для данного типа нулевой гипотезы форма распределения не определена. Примечание 1 - Очевидно, что нулевая гипотеза может включать подмножество множества возможных распределений вероятности. | en | null hypothesis | ||||||||||||||
fr | nulle | |||||||||||||||
Примечание 3 - На практике нулевую гипотезу никогда не доказывают; скорее, полученная в рассматриваемой ситуации оценка может не давать оснований для отклонения нулевой гипотезы. Примечание 4 - То обстоятельство, что нулевая гипотеза не отклонена, не является доказательством ее справедливости, а лишь указывает на то, что достаточные основания оспаривать ее отсутствуют. В данном случае либо нулевая гипотеза (или близкое ее приближение) является истинной, либо объем выборки недостаточен для обнаружения отклонений от нее. Примечание 5 - В некоторых ситуациях первоначально интерес направлен на нулевую гипотезу, однако затем предметом интереса могут стать отклонения от нулевой гипотезы. Надлежащее внимание к объему выборки и мощности обнаружения характерного отклонения или альтернативы может привести к построению процедуры критерия для соответствующей оценки нулевой гипотезы. Примечание 6 - Принятие альтернативной гипотезы в противоположность принятию нулевой гипотезы является положительным результатом в том смысле, что оно поддерживает рассматриваемую гипотезу. Отклонение нулевой гипотезы в пользу альтернативной представляет собой более однозначный результат, чем невозможность отклонить нулевую гипотезу в данном случае. Примечание 7 - Нулевая гипотеза служит основанием для построения соответствующей статистики критерия (1.52), используемой при проверке нулевой гипотезы. Примечание 8 - Нулевую гипотезу часто обозначают H0 (H имеет нижний индекс, равный нулю). Примечание 9 - Набор параметров, задающих нулевую гипотезу, по возможности выбирают таким образом, чтобы они были несовместимыми с исследуемой гипотезой (см. примечание 2 к 1.48 и пример, приведенный в 1.49). | ||||||||||||||||
1.42 альтернативная гипотеза HA, H1: Утверждение относительно множества или подмножества возможных допустимых распределений (2.11), которое не относится к нулевой гипотезе (1.41). Пример 1 - Альтернативная гипотеза для нулевой гипотезы, представленной в примере 1 к 1.41, состоит в том, что математическое ожидание (2.35) превосходит заданное значение, что записывают в следующем виде: HA: Пример 2 - Альтернативная гипотеза для нулевой гипотезы, представленной в примере 2 к 1.41, состоит в том, что статистической моделью генеральной совокупности не является нормальное распределение (2.50). Пример 3 - Альтернативная гипотеза для нулевой гипотезы, представленной в примере 3 к 1.41, состоит в том, что статистической моделью генеральной совокупности является асимметричное распределение. Для данной альтернативной гипотезы не важен конкретный вид асимметричного распределения. Примечание 1 - Альтернативная гипотеза является дополнением к нулевой гипотезе. Примечание 2 - Альтернативная гипотеза может быть обозначена H1 или HA без явного предпочтения одного из обозначений по аналогии с обозначением нулевой гипотезы. Примечание 3 - Альтернативная гипотеза является утверждением, которое опровергает нулевую гипотезу. Для выбора между нулевой и альтернативной гипотезами используют соответствующую статистику критерия (1.52). Примечание 4 - Альтернативная гипотеза не может быть рассмотрена отдельно как от нулевой гипотезы, так и от статистического критерия (1.48). Примечание 5 - Принятие альтернативной гипотезы в противовес невозможности принятия нулевой гипотезы является положительным результатом, состоящим в том, что в данном случае исследуемая гипотеза подтверждена. | en | alternative hypothesis | ||||||||||||||
fr | alternative | |||||||||||||||
1.43 простая гипотеза: Гипотеза (1.40), устанавливающая единственное распределение в семействе распределений (2.8). Примечание 1 - Простой гипотезой является либо нулевая гипотеза (1.41), либо альтернативная гипотеза (1.42), для которых выбранное подмножество возможных подходящих распределений составляет только одно распределение (2.11). Примечание 2 - Для случайной выборки (1.6) независимых случайных величин (2.10) с одним и тем же нормальным распределением (2.50) при неизвестных математическом ожидании (2.35) и стандартном отклонении (2.37) Примечание 3 - Простая гипотеза полностью определяет распределение (2.11). | en | simple hypothesis | ||||||||||||||
fr | simple | |||||||||||||||
1.44 сложная гипотеза: Гипотеза, задающая более одного распределения (2.11) из семейства распределений (2.8). Пример 1 - Нулевая гипотеза (1.41) и альтернативная гипотеза (1.42), представленные в примерах 1.41 и 1.42, являются примерами сложных гипотез. Пример 2 - В примере 3 к 1.48 (случай 3) нулевая гипотеза является простой гипотезой. В примере 4 к 1.48 нулевая гипотеза также является простой гипотезой. Остальные гипотезы, представленные в 1.48, являются сложными. | en | composite hypothesis | ||||||||||||||
fr | composite | |||||||||||||||
1.45 уровень значимости; Примечание - Если нулевая гипотеза является простой гипотезой (1.43), то вероятность ошибочного отклонения нулевой гипотезы представляет собой единственное значение. | en | significance level | ||||||||||||||
fr | niveau de signification | |||||||||||||||
1.46 ошибка первого рода: Отклонение нулевой гипотезы (1.41) в том случае, когда она верна. Примечание 1 - Фактически ошибка первого рода является принятием неверного решения. Поэтому предпочтительно, чтобы вероятность (2.5) такой ошибки была настолько мала, насколько это возможно. При нулевой вероятности ошибки первого рода нулевая гипотеза никогда не будет отвергнута, т.е. она будет принята безотносительно к каким-либо основаниям. Примечание 2 - Возможно, что в некоторых ситуациях (например, исследование биномиального параметра p) установленный уровень значимости, такой как 0,05, не может быть достигнут вследствие дискретности результатов. | en | Type I error | ||||||||||||||
fr | erreur de | |||||||||||||||
1.47 ошибка второго рода: Принятие нулевой гипотезы (1.41) в том случае, когда она не верна. Примечание - Фактически ошибка второго рода является принятием неверного решения. Поэтому желательно, чтобы вероятность (2.5) такой ошибки была настолько мала, насколько это возможно. Ошибка второго рода, как правило, имеет место в тех ситуациях, когда объем выборки недостаточен для выявления отклонений от нулевой гипотезы. | en | Type II error | ||||||||||||||
fr | erreur de seconde | |||||||||||||||
1.48 статистический критерий, критерий значимости: Процедура, предназначенная для принятия решения о том, может ли быть отклонена нулевая гипотеза (1.41) в пользу альтернативной гипотезы (1.42). Пример 1 - Например, если непрерывная случайная величина (2.29) принимает значения от - рассмотрению подлежат все непрерывные распределения (2.23), у которых соответствующая случайная величина принимает значения от - существует предположение о том, что истинное распределение не является нормальным; - нулевая гипотеза: распределение наблюдаемой случайной величины является нормальным распределением; - альтернативная гипотеза: распределение наблюдаемой случайной величины не является нормальным распределением. Пример 2 - Если случайная величина подчиняется нормальному распределению с известным стандартным отклонением (2.37) и существует предположение, что значение математического ожидания Пример 3 - В примере рассмотрены три случая, которые могут возникнуть при применении статистического критерия. Случай 1 - Существует предположение, что математическое ожидание процесса больше заданного целевого значения Нулевая гипотеза: H0: Альтернативная гипотеза: H1: | en | statistical test | ||||||||||||||
fr | test statistique | |||||||||||||||
Случай 2 - Существует предположение, что математическое ожидание процесса меньше заданного целевого значения Нулевая гипотеза: H0: Альтернативная гипотеза: H1: Случай 3 - Существует предположение, что математическое ожидание процесса не совпадает с заданным целевым значением Нулевая гипотеза: H0: Альтернативная гипотеза: H0: Во всех трех случаях гипотезы сформулированы на основе предположений относительно альтернативной гипотезы и ее отклонения от базового условия. Пример 4 - В данном примере рассмотрены все доли дефектных изделий p1 и p2, от нуля до единицы, в партиях 1 и 2. Если предположить, что две партии отличаются между собой, то скорее всего доли дефектов в этих двух партиях различны. Данное предположение приводит к следующим гипотезам. Нулевая гипотеза: H0: p1 = p2. Альтернативная гипотеза: H0: p1 /= p2. Примечание 1 - Статистический критерий - это процедура, выполнение которой с заданными условиями на основе выборочных данных позволяет принимать решения о том, какая из гипотез относительно распределения наблюдаемой случайной величины (нулевая или альтернативная) является истинной. | ||||||||||||||||
Примечание 2 - Перед применением статистического критерия на основе доступной информации определяют набор возможных функций распределений. Затем определяют распределения, которые на основе выдвинутого предположения могут быть истинными распределениями и составляют альтернативную гипотезу. Затем формулируют нулевую гипотезу как дополнение к альтернативной гипотезе. Во многих случаях возможная совокупность функций распределения, а следовательно, нулевая и альтернативная гипотезы могут быть определены на основе набора значений соответствующих параметров. Примечание 3 - Так как решение принимают на основе наблюдений из случайной выборки, то может иметь место ошибка первого рода (1.46), т.е. отклонение нулевой гипотезы, когда она верна, или ошибка второго рода (1.47), т.е. принятие нулевой гипотезы, когда альтернативная гипотеза верна. Примечание 4 - Случаи 1 и 2, рассмотренные в примере 3, представляют собой примеры односторонних критериев. Случай 3 - пример двустороннего критерия. Во всех трех случаях выбор применения одностороннего или двустороннего статистического критерия основан на рассмотрении области изменения значения параметра | ||||||||||||||||
Примечание 5 - Выдвигаемые предположения тщательно продумывают, иначе применение статистического критерия может быть некорректным. Статистические критерии, позволяющие получить решения, на которые не влияет наличие неточностей в выдвигаемых предположениях, относятся к робастным. Считают, что t-критерий для математического ожидания по единственной выборке обладает хорошей робастностью при ненормальном распределении данных. Критерий однородности дисперсий Бартлетта - пример неробастного статистического критерия, который может привести к слишком частому ошибочному отклонению предположения о равенстве дисперсий. | ||||||||||||||||
1.49 p-значение: Вероятность (2.5) того, что наблюдаемое значение статистики критерия (1.52) или наблюдаемое значение некоторого соответствующего параметра не благоприятствует принятию нулевой гипотезы (1.41). Пример - Рассмотрим пример, приведенный в 1.9. Для наглядности наблюдаемые значения - значения параметра процесса, для которого номинальное значение математического ожидания составляет 12,5, и в соответствии с предположением специалиста, обслуживающего процесс, наблюдаемые значения процесса стабильно ниже номинального значения. Проведено исследование процесса, отобрана случайная выборка объема 10 единиц (соответствующие значения взяты из примера в 1.9). Выдвинуты следующие гипотезы. Нулевая гипотеза: H0: .Альтернативная гипотеза: H1: .Выборочное среднее составляет 9,7, что согласуется с предположением, но достаточно далеко от значения 12,5. Для данного примера статистика критерия (1.52) составляет -1,9764, что соответствует p-значению 0,040. Это означает, что менее чем в четырех случаях из 100 наблюдений значение статистики критерия составит -1,9764 и ниже, если в действительности истинное среднее процесса составляет 12,5. Если исходный заданный уровень значимости составляет 0,05, то нулевую гипотезу отвергают в пользу альтернативной. В качестве еще одного примера задача может быть рассмотрена иначе. Высказано предположение о том, что процесс отклоняется от своего целевого значения, составляющего 12,5, но направление отклонения не известно. Данное предположение приводит к следующим гипотезам. | en | p-value | ||||||||||||||
fr | valeur p | |||||||||||||||
Нулевая гипотеза: H0: .Альтернативная гипотеза: H1: .В качестве рассматриваемых данных взята ранее приведенная выборка, значение статистического критерия также составляет -1,9764. При выдвинутой альтернативной гипотезе важен ответ на вопрос: "какова вероятность появления такого или еще более отклоняющегося значения?" В данном случае существуют две соответствующие области значений: значения, меньшие или равные -1,9764, и значения, большие или равные -1,9764. Вероятность того, что статистика t критерия попадет в одну из этих областей, составляет 0,080 (дважды одностороннее значение). В восьми случаях из 100 значение статистики критерия равно или превосходит данное значение. Таким образом, при уровне значимости 0,05 нулевую гипотезу не отклоняют. Примечание 1 - Если, например, p-значение оказывается равным 0,029, то менее трех шансов из 100, что такое или еще более экстремальное значение может возникнуть при нулевой гипотезе. На основе этой информации, так как p-значение довольно мало, может быть принято решение об отклонении нулевой гипотезы. Примечание 2 - Термин p-значение иногда рассматривают как вероятность значимости, которую не стоит путать с уровнем значимости (1.45), являющимся заданным значением в прикладных статистических исследованиях. | ||||||||||||||||
Примечание 1 - Мощность критерия для заданного значения неизвестного параметра (2.9) в семействе распределений (2.8) равна вероятности отклонения нулевой гипотезы (1.41) при данном значении параметра. Примечание 2 - На практике в большинстве случаев увеличение объема выборки приводит к увеличению мощности критерия. Другими словами, вероятность отклонения нулевой гипотезы, когда верна альтернативная гипотеза (1.42), возрастает вместе с увеличением выборки, тем самым снижая вероятность ошибки второго рода. Примечание 3 - Предпочтительно, чтобы объем выборки был достаточно большим, это важно для обнаружения даже небольших отклонений от нулевой гипотезы и, как следствие, для отклонения нулевой гипотезы. Другими словами, мощность критерия должна приближаться к единице для каждой альтернативы нулевой гипотезы вместе с неограниченным увеличением объема выборки. Такие критерии называют состоятельными. При сравнении двух критериев по мощности критерий с более высокой мощностью считают более эффективным при условии, что уровни значимости идентичны, а также совпадают нулевые и альтернативные гипотезы. Более формальное математическое описание состоятельности и эффективности критерия выходит за рамки настоящего стандарта. Для получения подобной информации могут быть использованы книги и справочники по статистике и математической статистике. | en | power of a test | ||||||||||||||
fr | puissance d'un test | |||||||||||||||
1.51 кривая мощности: Набор значений мощности критерия (1.50) как функция параметра (2.9) генеральной совокупности из семейства распределений (2.8). Примечание - См. также термин "кривая оперативной характеристики" (ИСО 3534-2:2006, 4.5.1). | en | power curve | ||||||||||||||
fr | courbe de puissance | |||||||||||||||
en | test statistic | |||||||||||||||
fr | statistique de test | |||||||||||||||
1.53 графическая описательная статистика: Описательная статистика (1.5), представленная в графической форме. Примечание - Как правило, описательную статистику используют для редуцирования большого количества значений до небольшого управляемого числа или для представления в наглядной форме. Примерами графических представлений данных являются "ящики с усами", график вероятности, график "квантиль - квантиль", график нормального квантиля, точечная диаграмма, диаграмма рассеяния и гистограмма (1.61). | en | graphical descriptive statistics | ||||||||||||||
fr | statistique descriptive graphique | |||||||||||||||
1.54 числовая описательная статистика: Описательная статистика (1.5), представленная в числовой форме. | en | numerical descriptive statistics | ||||||||||||||
fr | statistique descriptive ![]() | |||||||||||||||
Примечание - Предполагают, что классы полны и не пересекаются. Действительная прямая представляет собой все действительные числа между | en | classes | ||||||||||||||
fr | classes | |||||||||||||||
1.55.1 класс (качественная характеристика): Подмножество элементов выборки (1.3). | en | class | ||||||||||||||
fr | classe | |||||||||||||||
en | class | |||||||||||||||
fr | classe | |||||||||||||||
en | class | |||||||||||||||
fr | classe | |||||||||||||||
1.56 границы класса; пределы класса (количественная характеристика): Значения, определяющие верхнюю и нижнюю границы класса (1.55). Примечание - Данное определение относится к классам с количественной характеристикой. | en | class limits, class boundaries | ||||||||||||||
fr | bornes de classe, de classe | |||||||||||||||
1.57 середина класса (количественная характеристика): Среднее арифметическое верхней и нижней границ класса (1.56). | en | mid-point of class | ||||||||||||||
fr | centre de classe | |||||||||||||||
1.58 ширина класса (количественная характеристика): Верхняя граница класса минус нижняя граница класса (1.55). | en | class width | ||||||||||||||
fr | effectif de la classe | |||||||||||||||
en fr | frequency ![]() | |||||||||||||||
en | frequency distribution | |||||||||||||||
fr | distribution de ![]() | |||||||||||||||
| ||||||||||||||||
1.61 гистограмма: Графическое представление распределения частот (1.61) в виде прилегающих друг к другу прямоугольников, основаниями которых служат отрезки, равные ширине классов (1.58), а площади прямоугольника пропорциональны частотам в этих классах. Примечание - Осторожности требуют ситуации, в которых анализируемые данные относятся к классам с разной шириной класса. | en | histogram | ||||||||||||||
fr | histogramme | |||||||||||||||
1.62 столбиковая диаграмма: Графическое представление распределения частот (1.61) номинальной характеристики, состоящее из прямоугольников, имеющих одинаковую ширину и высоту, пропорциональную частоте (1.59). Примечание 1 - Иногда, очевидно в эстетических целях, диаграммы изображают как трехмерные объекты, хотя это не добавляет никакой дополнительной информации и не является рекомендуемым представлением диаграмм. В столбиковой диаграмме прямоугольники могут не прилегать друг к другу. Примечание 2 - Различие между гистограммой и столбиковой диаграммой становится все более размытым, что поддерживается в ряде программных пакетов статистической обработки данных, где данные понятия не разграничены приведенными выше определениями. | en | bar chart | ||||||||||||||
fr | diagramme en | |||||||||||||||
1.63 кумулятивная частота: Частота (1.59) для классов с накоплением, включая их установленные границы. Примечание - Это определение применимо только для заданных значений, соответствующих границам класса. | en | cumulative frequency | ||||||||||||||
fr | ![]() | |||||||||||||||
en | relative frequency | |||||||||||||||
fr | relative | |||||||||||||||
| ||||||||||||||||
en | cumulative relative frequency | |||||||||||||||
fr | relative ![]() | |||||||||||||||
Пример 1 - Рассмотрим время, за которое разряжается батарея, приобретенная потребителем. Если батарея разряжена еще до первого использования, то время разрядки считают равным нулю. Если батарея функционирует некоторое время, то время разрядки указывают в часах. Таким образом, пространство элементарных событий состоит из следующих исходов: {батарея разряжена до первого использования} и {батарея функционировала до разрядки x часов, где x более или равно нулю}. Настоящий пример и далее использован в данном разделе. В частности, обсуждение этого примера приведено в 2.68. Пример 2 - Коробка содержит 10 резисторов с номерами 1, 2, 3, 4, 5, 6, 7, 8, 9, 10. Если из этой коробки случайным образом без замещений выбирают два резистора, пространство элементарных исходов состоит из следующих 45 исходов: (1, 2), (1, 3), (1, 4), (1, 5), (1, 6), (1, 7), (1, 8), (1, 9), (1, 10), (2, 3), (2, 4), (2, 5), (2, 6), (2, 7), (2, 8), (2, 9), (2, 10), (3, 4), (3, 5), (3, 6), (3, 7), (3, 8), (3, 9), (3, 10), (4, 5), (4, 6), (4, 7), (4, 8), (4, 9), (4, 10), (5, 6), (5, 7), (5, 8), (5, 9), (5, 10), (6, 7), (6, 8), (6, 9), (6, 10), (7, 8), (7, 9), (7, 10), (8, 9), (8, 10), (9, 10). Выбор пар (1, 2) и (2, 1) считают одним и тем же исходом, т.е. порядок отбора резисторов не важен. В качестве альтернативы можно рассматривать случай, когда выбор пар (1, 2) и (2, 1) считают разными исходами, тогда общее число элементарных исходов пространства элементарных событий будет равно 90. Пример 3 - Если в предыдущем примере производят отбор с замещением, то в пространство элементарных событий следует включать исходы: (1, 1), (2, 2), (3, 3), (4, 4), (5, 5), (6, 6), (7, 7), (8, 8), (9, 9) и (10, 10). Когда порядок отбора не важен, число возможных исходов пространства элементарных событий равно 55. Если порядок отбора имеет значение, число возможных исходов равно 100. Примечание 1 - Исходами могут быть результаты реального или гипотетического эксперимента. Множество исходов может быть явно предъявленным списком, счетным множеством, например таким, как положительные целые числа {1, 2, 3, ...} или действительная прямая. Примечание 2 - Пространство элементарных событий является первым компонентом вероятностного пространства (2.68). | en | sample space | ||||||||||
fr | espace ![]() | |||||||||||
2.2 событие; A: Подмножество пространства элементарных событий (2.1). Пример 1 - Продолжая пример 1 из 2.1, следующие примеры событий {0}, (0, 2), {5,7}, соответствуют описаниям: "батарея разряжена до первого использования", "батарея изначально работала и разрядилась до того, как прошло 2 ч с начала использования", "батарея функционировала точно 5,7 ч" и "после 7 ч использования батарея еще функционирует". Исходы {0} и {5,7} представляют собой множества, состоящие из одной точки; исход (0, 2) - открытый интервал действительной прямой; исход - замкнутый слева бесконечный интервал действительной прямой.Пример 2 - Продолжая пример 2 из 2.1, рассмотрим случай неупорядоченного выбора без замещений. Пусть возможное событие A = {по крайней мере один из резисторов с номерами 1 и 2 включен в выборку}. Данному событию соответствуют 17 элементарных исходов: (1, 2), (1, 3), (1, 4), (1, 5), (1, 6), (1, 7), (1, 8), (1, 9), (1, 10), (2, 3), (2, 4), (2, 5), (2, 6), (2, 7), (2, 8), (2, 9) и (2, 10). Другому возможному событию B = {никакой из резисторов с номерами 8, 9, 10 не включен в выборку}. Данному событию соответствует 21 элементарный исход: (1, 2), (1, 3), (1, 4), (1, 5), (1, 6), (1, 7), (2, 3), (2, 4), (2, 5), (2, 6), (2, 7), (3, 4), (3, 5), (3, 6), (3, 7), (4, 5), (4, 6), (4, 7), (5, 6), (5, 7), (6, 7). Пример 3 - В продолжение примера 2 пересечению событий A и B (т.е. случаю, когда по крайней мере один из резисторов, 1 или 2, включен в выборку, и, вместе с тем, ни один из резисторов 8, 9 и 10 не включен) соответствуют 11 исходов: (1, 2), (1, 3), (1, 4), (1, 5), (1, 6), (1, 7), (2, 3), (2, 4), (2, 5), (2, 6), (2, 7). Объединению событий A и B соответствуют 27 исходов: (1, 2), (1, 3), (1, 4), (1, 5), (1, 6), (1, 7), (1, 8), (1, 9), (1, 10), (2, 3), (2, 4), (2, 5), (2, 6), (2, 7), (2, 8), (2, 9), (2, 10), (3, 4), (3, 5), (3, 6), (3, 7), (4, 5), (4, 6), (4, 7), (5, 6), (5, 7) и (6, 7). При этом число исходов, соответствующих объединению A и B (т.е. случаю, когда по крайней мере один из резисторов, 1 или 2, включен в выборку, и случаю, когда ни один из резисторов 8, 9 и 10 не включен в выборку), равное 27, может быть получено как 17 + 21 - 11, т.е. оно равно числу исходов, соответствующих событию A, плюс число исходов, соответствующих событию B, минус число исходов, соответствующих пересечению A и B. Примечание - Предположительно в результате эксперимента произошло некоторое событие, если получен исход, принадлежащий данному событию. События принадлежат сигма-алгебре событий (2.69) - второму компоненту вероятностного пространства (2.68). События естественным образом возникают в контексте азартных игр (покер, рулетка и т.д.), в которых число исходов определяет планы на выигрыш. | en | event | ||||||||||
fr | ![]() | |||||||||||
2.3 дополнительное событие; AC; противоположное событие: Все пространство элементарных событий (2.1), за исключением события (2.2). Пример 1 - В примере 1 из 2.1 дополнительным событием к событию {0} является событие , т.е. дополнением к событию "батарея изначально не функционирует". Подобным образом событие [0,3) соответствует тому, что "либо батарея изначально не функционировала, либо она функционировала менее 3 ч". Дополнительное событие Пример 2 - В примере 2 из 2.2 число исходов, соответствующих B, может быть легко найдено, если рассматривать событие, дополнительное к событию B, которое состоит в том, что "выборка содержит по крайней мере один из резисторов 8, 9 или 10". Данное событие содержит 7 + 8 + 9 = 24 исхода: (1, 8), (2, 8), (3, 8), (4, 8), (5, 8), (6, 8), (7, 8), (1, 9), (2, 9), (3, 9), (4, 9), (5, 9), (6, 9), (7, 9), (8, 9), (1, 10), (2, 10), (3, 10), (4, 10), (5, 10), (6, 10), (7, 10), (8, 10), (9, 10). Так как в данном случае все пространство элементарных событий содержит 45 исходов, событие B содержит 45 - 24 = 21 исход [а именно: (1, 2), (1, 3), (1, 4), (1, 5), (1, 6), (1, 7), (2, 3), (2, 4), (2, 5), (2, 6), (2, 7), (3, 4), (3, 5), (3, 6), (3, 7), (4, 5), (4, 6), (4, 7), (5, 6), (5, 7), (6, 7)]. Примечание 1 - Дополнительное событие дополняет событие до пространства элементарных событий. Примечание 2 - Дополнительное событие также является событием. Примечание 3 - Для события A дополнительное событие часто обозначают символом AC. Примечание 4 - Во многих случаях легче найти вероятность дополнительного события, чем самого события. Например, событию "в случайной выборке объема 10, отобранной из генеральной совокупности объема 1000, для которой предполагаемый процент дефектов составляет единицу, встречается по крайней мере один дефект", соответствует очень большое число элементарных исходов. Гораздо легче работать с дополнительным событием "не обнаружено ни одного дефекта". | en | complementary event | ||||||||||
fr | ![]() | |||||||||||
2.4 независимые события: Пара событий (2.2) таких, что вероятность (2.5) пересечения этих событий равна произведению их вероятностей. Пример 1 - Бросают две игральные кости, красную и белую, таким образом, что число возможных элементарных исходов равно 36, вероятность каждого элементарного исхода равна 1/36. Событие Di состоит в том, что сумма числа точек на выпавших сторонах белой и красной костей равна i. Событие W состоит в том, что на белой кости выпала единица. События D7 и W независимы, в то время как события Di и W не являются независимыми для i = 2, 3, 4, 5 или 6. События, которые не являются независимыми, называют зависимыми событиями. Пример 2 - Независимые и зависимые события возникают на практике естественным образом. Когда события или обстоятельства зависимые, полезно знать результат связного события. Например, на успешный исход операции на сердце может влиять анамнез пациента: курение и другие факторы риска. Таким образом, смерть от хирургической операции и курение могут быть зависимыми. С другой стороны, смерть от операции, вероятно, не зависит от дня недели, в который родился пациент. В контексте надежности компоненты, имеющие общую причину отказа, не имеют независимые наработки до отказа. Вероятность возникновения трещин топливных стержней в реакторе предположительно мала. Но если на одном из стержней появилась трещина, вероятность появления трещин на соседнем стержне значительно возрастает. Пример 3 - Пусть в примере 2 из 2.2 отбор произведен с помощью простого случайного отбора, т.е. каждый исход имеет одну и ту же вероятность, равную 1/45. Тогда P(A) = 17/45 = 0,3778; P(B) = 21/45 = 0,4667 и P(A и B) = 11/45 = 0,2444; однако произведение вероятностей P(A)·P(B) = (17/45)·(21/45) = 0,1763 не равно 0,2444; таким образом, события A и B не являются независимыми. | en | independent events | ||||||||||
fr | ![]() | |||||||||||
Примечание - Приведенное определение дано для случая двух событий, но может быть расширено. Для событий A и B условием независимости является . Для трех событий A, B и C условиями независимости являются следующие:![]() ![]() ![]() ![]() В общем случае, если число событий более двух, события A1, A2, ..., An независимы, если вероятность пересечения любого заданного подмножества событий равна произведению вероятностей отдельных событий, данное условие имеет отношение ко всем без исключения подмножествам. Существуют примеры таких ситуаций, когда каждые два события попарно независимы, но три события не являются независимыми (т.е. есть попарная независимость, но общая независимость событий отсутствует). | ||||||||||||
2.5 вероятность события; A, P(A): Действительное число из замкнутого промежутка [0, 1], приписываемое событию (2.2). Пример - В примере 2 из 2.1 вероятность события может быть найдена как сумма вероятностей всех элементарных исходов, составляющих событие. Если вероятности всех 45 элементарных исходов совпадают, каждый из них имеет вероятность 1/45. Вероятность события может быть найдена путем подсчета всех соответствующих событию элементарных исходов и последующего деления этого числа на 45. Примечание 1 - Вероятностная мера (2.70) обеспечивает присвоение действительного числа каждому рассматриваемому событию, заданному на пространстве элементарных исходов. Для отдельного события вероятностная мера задает вероятность, связанную с этим событием. Другими словами, задает полный набор назначений для всех событий, тогда как вероятность представляет собой одно конкретное значение, приписанное отдельному событию. Примечание 2 - В данном определении вероятность рассматривают как вероятность отдельного события. Вероятность может быть связана с относительной частотой реализации события в длинной серии наблюдений или со степенью уверенности в возможной реализации события. Как правило, вероятность события A обозначают символом P(A). Запись | en | probability of an event A | ||||||||||
fr | d'un A | |||||||||||
2.6 условная вероятность; P(A|B): Вероятность (2.5) пересечения событий A и B, деленная на вероятность события B. Пример 1 - В рамках примера 1 (2.1) пусть событие (2.2) A определено как {батарея функционирует по крайней мере 3 ч}, т.е. ему соответствует интервал Пример 2 - В рамках примера 2 (2.1) если проводят выбор без замещения, вероятность отбора резистора два во втором извлечении равна нулю, если он был отобран при первом извлечении. Если вероятность быть отобранным совпадает для всех резисторов, вероятность отбора резистора два при втором извлечении равна с учетом того, что он не был отобран при первом извлечении, 0,1111. Пример 3 - В рамках примера 2 (2.1) если проводят отбор с замещением и вероятности отбора при каждом извлечении совпадают для всех резисторов, то вероятность отбора резистора два при втором извлечении составляет 0,1 независимо от того, был резистор два отобран при первом извлечении или не был отобран. Таким образом, исходы первого и второго извлечений являются независимыми событиями. Примечание 1 - Необходимо, чтобы вероятность события B была более нуля. Примечание 2 - Используемое выражение "A при условии B" может быть записано более развернуто: "событие A при условии реализации события B". Вертикальная черта в символе условной вероятности произносится как "при условии". Примечание 3 - Если условная вероятность события A при условии реализации события B равна вероятности реализации события A, то события A и B независимы. Другими словами, знание о реализации события B не влияет на вероятность события A. | en | conditional probability | ||||||||||
fr | conditionnelle | |||||||||||
2.7 функция распределения (случайной величины X); F(x): Функция x, задающая вероятность (2.5) события (2.2) .Примечание 1 - Полуинтервал представляет собой множество всех значений менее x, включая x.Примечание 2 - Функция распределения полностью описывает распределение вероятностей (2.11) случайной величины (2.10). Классификация распределений так же, как и классификация случайных величин на дискретные и непрерывные, основана на классификации функций распределения. Примечание 3 - Так как значениями случайных величин являются действительные числа или упорядоченные наборы k действительных чисел, в определении функции распределения неявно подразумевается, что x является действительным числом или упорядоченным набором из k действительных чисел. Функция распределения многомерного распределения (2.17) задает вероятность (2.5) того, что каждая из случайных величин многомерного распределения менее или равна заданному значению. Многомерную функцию распределения записывают следующим образом: F(x1, x2, ..., xn) = P[X1 <= xi, X2 <= x2, ..., Xn <= xn]. Функция распределения является неубывающей функцией. В одномерном случае функция распределения, определенная как F(x) = P[X <= x], задает вероятность того, что случайная величина X принимает значение менее или равное x. | en | distribution function of a random variable X | ||||||||||
fr | fonction de d'une variable X | |||||||||||
Примечание 4 - Обычно функции распределения подразделяют на функции дискретных распределений (2.22) и функции непрерывных распределений (2.23), хотя это подразделение не исчерпывает все возможные случаи. Так, в примере со временем функционирования батареи, приведенном в 2.1, функция распределения может иметь следующий вид: ![]() При таком задании функции распределения время функционирования батареи принимает неотрицательные значения. С вероятностью 0,1 батарея не будет функционировать при начальном использовании. Если батарея изначально функционировала, то время функционирования батареи имеет экспоненциальное распределение (2.58) с математическим ожиданием, равным 1 ч. Примечание 5 - Иногда применяют англоязычную аббревиатуру для обозначения функции распределения cdf (англ. "cumulative distribution function" - кумулятивная функция распределения). | ||||||||||||
2.8 семейство распределений: Множество распределений вероятностей (2.8). Примечание 1 - Множество распределений вероятностей часто индексируют с помощью параметра (2.9) функции распределения. Примечание 2 - Математическое ожидание (2.35) и/или дисперсию (2.36) распределения вероятностей часто используют для идентификации семейства распределений или для частичной идентификации, если для описания семейства распределений необходимо использовать более двух параметров. В некоторых случаях математическое ожидание и дисперсия представляют собой не явные параметры семейства распределений, а функции других параметров. | en | family of distributions | ||||||||||
fr | famille de distributions | |||||||||||
2.9 параметр: Признак семейства распределений (2.8). Примечание 1 - Параметр может быть одномерным или многомерным. Примечание 2 - Иногда некоторые параметры называют параметрами положений, особенно в тех случаях, когда параметр непосредственно связан с математическим ожиданием семейства распределений. Некоторые параметры называют параметрами масштаба, особенно если такой параметр равен или пропорционален стандартному отклонению (2.37) распределения. Параметры, не являющиеся параметрами положения или параметрами масштаба, как правило, называют параметрами формы. | en | parameter | ||||||||||
fr | ![]() | |||||||||||
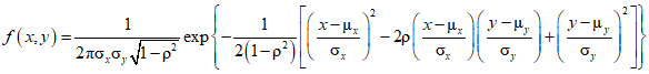
2.10 случайная величина: Функция, определенная на пространстве элементарных событий (2.1), значениями которой являются упорядоченные наборы k действительных чисел. Пример - В примере с батареей, введенном в 2.1, пространство элементарных событий состоит из элементарных исходов, приведенных в словесной формулировке ("батарея не функционировала изначально", "батарея изначально функционировала и перестала функционировать через x часов работы"). События, представленные подобным образом, не допускается обрабатывать математически, для их проведения естественно указывать каждый исход как время работы батареи, заданное действительным числом. Времени работы батареи, равному нулю, соответствует исход "батарея изначально не функционировала". Значению случайной величины более нуля соответствует то, что батарея изначально функционировала и ее время работы равно данному значению. Такое представление случайной величины позволяет отвечать на вопросы о времени работы батареи, например: "какова вероятность того, что батарея будет функционировать по истечении гарантийного срока, допустим, 6 ч?" Примечание 1 - Запись (x1, x2, ..., xk) - пример упорядоченного набора из k компонент. Другими словами, упорядоченный набор из k данных представляет собой k-мерный вектор (вектор-столбец или вектор-строку). Примечание 2 - Размерность случайной величины часто обозначают латинской буквой k. Если k = 1, то случайная величина является одномерной или имеет размерность один. При k > 1 речь идет о многомерной случайной величине. Когда размерность задана числом k, случайную величину называют k-мерной. | en | random variable | ||||||||||
fr | variable ![]() | |||||||||||
Примечание 4 - Случайную величину, значениями которой являются упорядоченные пары действительных чисел, называют двумерной. Определение расширяет упорядоченные (пары) действительных чисел упорядоченного набора k-мерных данных. Примечание 5 - Компонент с номером j k-мерной случайной величины представляет собой одномерную случайную величину (соответствующую только данному компоненту). Для компонента с номером j k-мерной случайной величины вероятностным пространством является пространство, в котором события (2.2) определены только в терминах данного рассматриваемого компонента. | ||||||||||||
| ||||||||||||
2.11 распределение (вероятностей): Вероятностная мера (2.70), индуцированная случайной величиной (2.10). Пример - В примере с батареей, введенном в 2.1, распределение времени работы батареи полностью описывает вероятности возникновения установленных значений. Но невозможно с уверенностью определить ни время отказа данной батареи, ни даже то, будет ли она функционировать при начальном использовании. Вероятностное распределение полностью описывает вероятностные свойства неопределенности результата. В примечании 4 к 2.7 приведено одно из возможных представлений распределения вероятностей, а именно функция распределения. Примечание 1 - Существуют многочисленные, математически эквивалентные представления распределения, к ним относятся функция распределения (2.7), функция плотности распределения (2.27) [если существует] и характеристическая функция. Данные представления с различными уровнями сложности позволяют определять вероятность, с которой случайная величина принимает значения в заданном диапазоне. Примечание 2 - Так как случайная величина представляет собой функцию, заданную на подмножествах пространства элементарных событий и принимающую значения на действительной оси, то, например, вероятность того, что случайная величина примет некоторое действительное значение, равна единице. В примере с батареей P[X >= 0] = 1. Во многих случаях проще работать со случайной величиной и одним из ее представлений, чем исследовать лежащую в основе представления вероятностную меру. Однако при переходе от одного представления к другому вероятностная мера обеспечивает непротиворечивость этих представлений. Примечание 3 - Если случайная величина одномерна, то говорят об одномерном распределении вероятностей. Если случайная величина двумерна, говорят о двумерном распределении вероятностей. Если случайная величина имеет более двух компонент, говорят о многомерном распределении вероятностей. | en | probability distribution, distribution | ||||||||||
fr | loi de , distribution | |||||||||||
2.12 математическое ожидание: Интеграл функции случайной величины (2.10) по вероятностной мере (2.70) на пространстве элементарных событий (2.1). Примечание 1 - Математическое ожидание функции g от случайной величины X обозначают E[g(X)] и вычисляют следующим образом: ,где F(x) - соответствующая функция распределения. Примечание 2 - Латинская буква "E" в обозначении E[g(X] соответствует английскому "expected value" (ожидаемое значение) или "expectation" (ожидание) случайной величины X. Знак E можно рассмотреть как обозначение оператора или функции, отображающей случайную величину в действительное число после необходимых вычислений, представленных выше. Примечание 3 - Для E[g(X] дано два представления в виде интеграла. В первом интегрирование производят по пространству элементарных событий, что теоретически обосновано, но не используется на практике по причине неудобства работы с самими событиями (например, если они заданы в виде словесных формулировок). Второе представление, где интегрирование производят по Rk, более приемлемо для практического использования. | en | expectation | ||||||||||
fr | ![]() | |||||||||||
Примечание 5 - Данное определение не ограничено одномерными интегралами, как можно было бы предположить из приведенных примеров и замечаний. Ситуации более высоких размерностей представлены в 2.43. Примечание 6 - Для дискретной случайной величины (2.28) второй интеграл, приведенный в примечании 1, заменяют на символ суммирования. Примеры могут быть найдены в 2.35. | ||||||||||||
2.13 квантиль уровня p; фрактиль уровня p; Xp; xp: Значение x, равное нижней границе множества значений x, таких, что функция распределения (2.7) F(x) равна или превышает значение p при 0 < p < 1. Пример 1 - Рассмотрим биномиальное распределение (2.46) с функцией распределения вероятностей, представленной в таблице 2. Данное множество значений соответствует биномиальному распределению параметрами n = 6 и p = 0,3. Для данного случая рассмотрены некоторые p-квантили: x0,1 = 0, x0,25 = 1, x0,5 = 2, x0,75 = 3, x0,90 = 3, x0,95 = 4, x0,99 = 5, x0,999 = 5. Дискретность биномиального распределения приводит к тому, что значения p-квантилей также являются дискретными. Таблица 2 | en | p-quantile, p-fractile | ||||||||||
fr | quantile d'ordre p, fractile d'ordre p | |||||||||||
X | P[X = x] | P[X <= x] | P[X > x] | |||||||||
0 | 0,117649 | 0,117649 | 0,882351 | |||||||||
1 | 0,302526 | 0,420175 | 0,579825 | |||||||||
2 | 0,324135 | 0,744310 | 0,255690 | |||||||||
3 | 0,185220 | 0,929530 | 0,070470 | |||||||||
4 | 0,059535 | 0,989065 | 0,010935 | |||||||||
5 | 0,010206 | 0,999271 | 0,000729 | |||||||||
6 | 0,000729 | 1,000000 | 0,000000 | |||||||||
Пример 2 - Рассмотрим стандартное нормальное распределение (2.51), в таблице 3 представлены отдельные значения его функции распределения. Таблица 3 | ||||||||||||
P | Значения x такие, что P[X <= x] = p | |||||||||||
0,1 | -1,282 | |||||||||||
0,25 | -0,674 | |||||||||||
0,5 | 0,000 | |||||||||||
0,75 | 0,674 | |||||||||||
0,84134475 | 1,000 | |||||||||||
0,9 | 1,282 | |||||||||||
0,95 | 1,645 | |||||||||||
0,975 | 1,960 | |||||||||||
0,99 | 2,326 | |||||||||||
0,995 | 2,576 | |||||||||||
0,999 | 3,090 | |||||||||||
Так как распределение X непрерывно, то вторая колонка таблицы также могла бы иметь заглавие. Значения x такие, что P[X < x] = p. Примечание 1 - Для непрерывных распределений (2.23) при p, равном 0,5, квантиль уровня 0,5 соответствует медиане (2.14). Для p, равного 0,25, квантиль уровня 0,25 называют нижним квартилем. Для непрерывных распределений 25% распределения лежат ниже уровня квантиля 0,25, а 75% выше его. Для p, равного 0,75, соответствующий квантиль уровня 0,75 называют верхним квартилем. | ||||||||||||
Примечание 2 - В общем случае p, %, распределения лежат ниже квантиля уровня p, а 100(1 - p)% распределения выше этого квантиля. Существует сложность в определении медианы дискретного распределения, так как несколько значений могут удовлетворять определению медианы. Примечание 3 - Если F - непрерывная строго возрастающая функция, то квантиль уровня p является решением уравнения F(x) = p. В данном случае слова "нижняя граница" в определении могут быть заменены на "минимум". Примечание 4 - Если на некотором промежутке функция распределения постоянна и равна p, то все значения данного промежутка являются квантилями уровня p для F. Примечание 5 - Квантили уровня p определены для одномерных распределений (2.16). | ||||||||||||
2.14 медиана: Квантиль уровня 0,5 (2.13). Пример - Для примера с батареей из примечания 4 к 2.7 медиана составляет 0,5878; данное значение найдено как решение относительно x уравнения 0,1 + 0,9[1 - exp(-x)] = 0,5. Примечание 1 - На практике медиана - наиболее часто применяемый квантиль (2.13). Медиана непрерывного одномерного распределения (2.16) - это такое значение, что половина значений в генеральной совокупности (1.1) более или равна ему, а другая половина значений менее или равна этому значению. Примечание 2 - Медиана определена для одномерного распределения (2.16). | en | median | ||||||||||
fr | ![]() | |||||||||||
2.15 квартиль: Квантиль уровня 0,25 (2.13) или 0,75. Пример - Для примера с батареей из 2.14 можно показать, что квантиль уровня 0,25 составляет 0,1823, а квантиль уровня 0,75 - 1,2809. Примечание 1 - Квантиль уровня 0,25 также называют нижним квартилем, а квантиль уровня 0,75 - верхним квартилем. Примечание 2 - Квартили определены для одномерного распределения (2.16). | en | quartile | ||||||||||
fr | quartile | |||||||||||
2.16 одномерное распределение (вероятностей): Распределение (2.11) единственной случайной величины (2.10). Примечание - Одномерные распределения являются распределениями одной переменной. Примерами таких распределений могут быть биномиальное распределение (2.46), распределение Пуассона (2.47), нормальное распределение (2.50), гамма-распределение (2.56), t-распределение (2.53), распределение Вейбулла (2.63) и бета-распределение (2.59). | en | univariate probability distribution, univariate distribution | ||||||||||
fr | loi de | |||||||||||
2.17 многомерное распределение (вероятностей): Распределение (2.11) двух или более случайных величин (2.10). Примечание 1 - Для распределения в точности двух случайных величин прилагательное "многомерное" обычно заменяют на "двумерное". Распределение одной случайной величины, как упомянуто ранее, называют одномерным распределением (2.16). Так как рассматривают распределение одной случайной величины, то, если не указано иное, предполагают, что распределение является одномерным. Примечание 2 - Многомерное распределение иногда называют совместным распределением. | en | multivariate probability distribution, multivariate distribution | ||||||||||
fr | loi de | |||||||||||
2.18 частное распределение (вероятностей): Распределение вероятностей (2.11) заданного непустого подмножества множества компонент случайной величины (2.10). Пример 1 - Для распределения трех случайных величин X, Y и Z существуют три частных распределения для двух случайных величин, а именно: для величин (X, Y), (X, Z) и (Y, Z) три частных распределения для одной случайной величины для X, Y и Z. Пример 2 - Для двумерного нормального распределения (2.65) пары величин (X, Y) распределение каждой из случайных величин X и Y, рассматриваемых отдельно, является частным распределением; при этом оба одномерных распределения являются нормальными распределениями (2.50). Пример 3 - Для полиномиального распределения (2.45) распределение (X1, X2) является частным распределением при k > 3. Распределения X1, X2, ..., Xk по отдельности также маргинальные распределения. Частное распределение пары величин представляет собой биномиальное распределение (2.46). Примечание 1 - Для совместного k-мерного распределения примером частного распределения является распределение вероятностей k-мерного подмножества случайных величин, где k1 < k. Примечание 2 - Для непрерывного (2.23) многомерного распределения (2.17), заданного его функцией плотности распределения (2.26), функцией плотности распределения частного распределения является интеграл от функции плотности исходного распределения, взятый по области изменения величин, не рассматриваемых в частном распределении. | en | marginal probability distribution, marginal distribution | ||||||||||
fr | loi de marginale distribution marginale | |||||||||||
2.19 условное распределение (вероятностей): Распределение (2.11), ограниченное непустым подмножеством пространства элементарных событий (2.1) и скорректированное таким образом, что общая вероятность событий на данном подмножестве составляет единицу. Пример 1 - В примере с батареей, рассмотренном в примечании 4 из 2.7, условное распределение времени работы батареи при условии изначального функционирования батареи является экспоненциальным (2.58). Пример 2 - Для двумерного нормального распределения (2.65) условное распределение Y при заданном X = x отражает то, как знание X влияет на Y. Пример 3 - Рассмотрим случайную величину X, отображающую распределение ежегодных расходов по страховым убыткам вследствие ураганов во Флориде. Это распределение имеет ненулевую вероятность отсутствия годовых убытков вследствие того, что в данном году во Флориде могут отсутствовать ураганы. Возможно, интерес представляет условное распределение потерь за годы, в которые возникали ураганы. Примечание 1 - Например, для распределения двух случайных величин X и Y существуют условные распределения для X и условные распределения для Y. Распределение X при условии, что Y = y является условным распределением X для заданного Y = y, а распределение Y при условии, что X = x, является условным распределением Y для заданного X = x. | en | conditional probability distribution, conditional distribution | ||||||||||
fr | loi de conditionnelle distribution conditionnelle | |||||||||||
Примечание 2 - Частное распределение (2.18) следует рассматривать как безусловное распределение. Примечание 3 - Представленный выше пример 1 иллюстрирует ситуацию, когда одномерное распределение скорректировано условиями, накладываемыми другим одномерным распределением (отличным от первого). Напротив, для экспоненциального распределения условное распределение того, что батарея откажет в следующий час функционирования, при условии, что в течение предыдущих 10 ч она не отказала, также является экспоненциальным с тем же параметром. Примечание 4 - Условные распределения могут возникать для некоторых дискретных распределений в том случае, когда отдельные исходы являются невозможными. Например, распределение Пуассона может служить моделью распределения числа больных раком среди людей, имеющих опухоли. Примечание 5 - Условные распределения появляются при ограничении пространства элементарных событий до его конкретного подмножества. Для (X, Y), имеющих двумерное нормальное распределение (2.65), можно рассмотреть условное распределение (X, Y), где множество элементарных исходов ограничено единичным квадратом размером [0,1] x [0,1]. Другим возможным ограничением распределения (X, Y) может быть условие, что (X2 + Y2) <= r. Данный случай соответствует, например, ситуации, когда некоторый показатель достиг определенной границы и необходимо изучить свойства, появившиеся при достижении этой границы. | ||||||||||||
2.20 кривая регрессии: Набор значений математических ожиданий (2.12) условного распределения (2.19) случайной величины (2.10) Y для заданных значений случайной величины X = x. Примечание - Кривая регрессии определена в предположении, что (X, Y) имеет двумерное распределение (см. примечание 1 к 2.17). Следовательно, данное понятие отлично от имеющегося в регрессионном анализе, где Y зависит от заданного множества значений. | en | regression curve | ||||||||||
fr | courbe de ![]() | |||||||||||
en | regression surface | |||||||||||
fr | surface de ![]() | |||||||||||
2.22 дискретное распределение (вероятностей): Распределение (2.11), для которого пространство элементарных событий Пример - Примерами дискретных распределений, представленных в настоящем стандарте, являются полиномиальное распределение (2.45), биномиальное распределение (2.46), распределение Пуассона (2.47), гипергеометрическое распределение (2.48) и отрицательное биномиальное распределение (2.49). Примечание 1 - Термин "дискретное" подразумевает, что пространство элементарных событий может быть задано в виде конечного списка либо в виде начала бесконечного списка, для которого понятен способ получения следующего элемента списка, например количество дефектов может быть представлено рядом 0, 1, 2. Примером распределения, соответствующего конечному пространству элементарных событий {0, 1, 2, ...,}, является биномиальное распределение; примером распределения, соответствующего бесконечному счетному пространству элементарных событий {0, 1, 2, ...,}, - распределение Пуассона. Примечание 2 - В статистическом приемочном выборочном контроле случаи, когда данные имеют качественную характеристику, свидетельствуют о том, что данные соответствуют дискретному распределению. Примечание 3 - Областью значений функции распределения (2.7) дискретного распределения является дискретное множество. | en | discrete probability distribution, discrete distribution | ||||||||||
fr | loi de discrete, distribution ![]() | |||||||||||
| ||||||||||||
2.23 непрерывное распределение (вероятностей): Распределение (2.11), для которого функция распределения (2.7) от x может быть представлена в виде интеграла от неотрицательной функции по интервалу от Пример - Фактически любые типы количественных данных, возникающие при анализе данных на производстве, имеют непрерывное распределение. Примечание 1 - Примеры непрерывных распределений: нормальное распределение (2.50), стандартное нормальное распределение (2.51), t-распределение (2.53), F-распределение (2.55), гамма-распределение, (2.57), экспоненциальное распределение (2.58), бета-распределение (2.59), равномерное распределение (2.60), распределение экстремальных значений первого типа (2.61), распределение экстремальных значений второго типа (2.62), распределение экстремальных значений третьего типа (2.63) и логнормальное распределение (2.52).Примечание 2 - Неотрицательная функция, упоминаемая в определении, является функцией плотности распределения (2.62). Утверждение, состоящее в том, что функция распределения везде дифференцируема, является чрезмерно ограничительным. Однако при практическом рассмотрении многие часто используемые непрерывные распределения обладают тем свойством, что производная функции распределения является соответствующей функцией плотности распределения. Примечание 3 - В статистическом приемочном выборочном контроле случаи, когда данные имеют количественную характеристику, свидетельствуют о том, что данные соответствуют непрерывному распределению вероятностей. | en | continuous probability distribution, continuous distribution | ||||||||||
fr | loi de continue, distribution continue | |||||||||||
2.24 функция вероятности: (Для дискретного распределения) функция, задающая вероятность (2.5) того, что случайная величина (2.10) равна заданному значению. Пример 1 - Функция вероятности, описывающая случайную величину X, равную числу выпадения "орлов" при бросании трех "идеальных" монет, имеет вид: P(X = 0) = 1/8, P(X = 1) = 3/8, P(X = 2) = 3/8, P(X = 3) = 1/8. Пример 2 - Различные функции вероятности приведены в определении часто встречающихся в приложениях дискретных распределений (2.22). Другие примеры одномерных дискретных распределений включают биномиальное распределение (2.46), распределение Пуассона (2.47), гипергеометрическое распределение (2.48) и отрицательное биномиальное распределение (2.49). Примером многомерного дискретного распределения является полиномиальное распределение (2.45). Примечание 1 - Функция вероятности может быть задана в виде P(X = xi) = pi, где X - случайная величина, xi - заданное значение и pi - соответствующая вероятность. Примечание 2 - Функция вероятности введена в примере с квантилем уровня p (пример 1 к 2.13) для биномиального распределения (2.46). | en | probability mass function | ||||||||||
fr | fonction de masse de ![]() | |||||||||||
2.25 мода функции вероятности: Значение, при котором функция вероятности (2.24) достигает локального максимума. Пример - Биномиальное распределение (2.46) для n = 6 и p = 1/3 является унимодальным с модой, равной трем. Примечание - Дискретное распределение (2.22) является унимодальным, если его функция вероятности имеет единственную моду, двухмодальным, если его функция вероятности имеет ровно две моды, и мультимодальным, если число мод функции вероятности более двух. | en | mode of probability mass function | ||||||||||
fr | mode de fonction de masse de ![]() | |||||||||||
2.26 функция плотности распределения (вероятностей); f(x); плотность распределения: Неотрицательная функция, при интегрировании которой по интервалу от Пример 1 - Различные функции плотности распределения приведены в определении часто встречающихся в приложениях распределений. Другие примеры включают нормальное распределение (2.50), стандартное нормальное распределение (2.51), t-распределение (2.53), F-распределение (2.55), гамма-распределение (2.56), (2.57), экспоненциальное распределение (2.58), бета-распределение (2.59), равномерное распределение (2.60), многомерное нормальное распределение (2.64) и двумерное нормальное распределение (2.65).Пример 2 - Для функции распределения F(x) = 3x2 - 2x3, где 0 <= x <= 1, соответствующая функция плотности вероятности: f(x) = 6x(1 - x), где 0 <= x <= 1. Пример 3 - Для примера с батареей из 2.1 не существует функции плотности распределения, соответствующей заданной функции распределения, вследствие положительной вероятности нулевого исхода. Однако для условного распределения, в предположении, что батарея изначально функционировала, функция f(x) = exp(-x) при x > 0 является функцией плотности распределения, соответствующей экспоненциальному распределению. Примечание 1 - Если функция распределения F непрерывно дифференцируемая, то функцией плотности распределения является f(x) = dF(x)/dx для тех x, в которых существует производная. | en | probability density function | ||||||||||
fr | fonction de densite de ![]() | |||||||||||
Примечание 2 - Графическое представление f(x) предполагает такие описания, как симметричная, заостренная, имеющая тяжелые хвосты, унимодальная, бимодальная (двухмодальная) и т.п. График f(x), совмещенный с гистограммой, дает визуальное представление о согласованности подобранного распределения и данных. Примечание 3 - Для функции плотности распределения часто используют английскую аббревиатуру - pdf (англ. "probability density function"). | ||||||||||||
2.27 мода функции плотности распределения (вероятностей): Значение, где функция плотности распределения (2.26) достигает локального максимума. Примечание 1 - Непрерывное распределение (2.23) является унимодальным, если его функция плотности распределения имеет одну моду, двухмодальным, если его функция плотности распределения имеет две моды, и мультимодальным, если его функция плотности распределения имеет более двух мод. Примечание 2 - Распределение, у которого моды составляют связное множество, также называют унимодальным. | en | mode of probability density function | ||||||||||
fr | mode de fonction de de ![]() | |||||||||||
en | discrete random variable | |||||||||||
fr | variable ![]() | |||||||||||
2.29 непрерывная случайная величина: Случайная величина (2.10), имеющая непрерывное распределение (2.23). Примечание - В настоящем стандарте рассмотрены непрерывные случайные величины, подчиняющиеся нормальному распределению (2.50), стандартному нормальному распределению (2.51), t-распределению (2.53), F-распределению (2.55), гамма-распределению (2.56), (2.57), экспоненциальному распределению (2.58), бета-распределению (2.59), равномерному распределению (2.60), распределению экстремальных значений первого типа (2.61), распределению экстремальных значений второго типа (2.62), распределению экстремальных значений третьего типа (2.63), логнормальному распределению (2.52), многомерному нормальному распределению (2.64) и двумерному нормальному распределению (2.65). | en | continuous random variable | ||||||||||
fr | variable continue | |||||||||||
en | centred probability distribution | |||||||||||
fr | loi de ![]() | |||||||||||
2.31 центрированная случайная величина: Случайная величина, представляющая собой разность случайной величины (2.10) и ее среднего (2.35). Примечание 1 - Центрированная случайная величина имеет математическое ожидание, равное нулю. Примечание 2 - Данный термин применим только к случайным величинам, имеющим среднее. Например, среднее для t-распределения (2.53) с одной степенью свободы не существует. Примечание 3 - Если случайная величина X имеет среднее (2.35), равное | en | centred random variable | ||||||||||
fr | variable ![]() | |||||||||||
en | standardized probability distribution | |||||||||||
fr | loi de | |||||||||||
2.33 стандартизованная случайная величина: Центрированная случайная величина (2.31), стандартное отклонение (2.37) которой равно единице. Примечание 1 - Случайная величина (2.10) автоматически является стандартизованной, если ее среднее равно нулю, а стандартное отклонение - единице. Равномерное распределение на интервале (-30,5, 30,5) имеет среднее, равное нулю, и стандартное отклонение, равное единице. Стандартное нормальное распределение (2.51) является стандартизованным. | en | standardized random variable | ||||||||||
fr | variable | |||||||||||
2.34 момент порядка r; r-й момент: Математическое ожидание (2.12) r-й степени случайной величины (2.10). Пример - Пусть случайная величина имеет функцию плотности распределения (2.26) f(x) = exp(-x) для x > 0. С помощью базовых приемов интегрирования (интегрирование по частям) получаем E(X) = 1, E(X2) = 2, E(X3) = 6 и E(X4) = 24 или в общем случае E(Xr) = r!. Это распределение является экспоненциальным распределением (2.58). Примечание 1 - В одномерном дискретном случае соответствующая формула имеет следующий вид: ![]() для конечного числа исходов n и ![]() для счетного числа исходов. В одномерном непрерывном случае соответствующая формула имеет следующий вид: .Примечание 2 - Если случайная величина является k-мерной, то ее r-ю степень определяют покомпонентно. Примечание 3 - Рассмотренные моменты случайной величины используют возведение в степень X. В общем случае могут быть рассмотрены моменты порядка r величин . | en | moment of order r, rth moment | ||||||||||
fr | moment d'ordre r | |||||||||||
en | means | |||||||||||
fr | moyennes | |||||||||||
2.35.1 среднее; момент порядка r = 1; Пример 1 - Пусть x - непрерывная случайная величина (2.29) с функцией плотности распределения, где f(x) = 6x(1 - x), где 0 <= x <= 1. Среднее x равно .Пример 2 - Для примера с батареей из 2.1 и 2.7 среднее равно 0,9, так как с вероятностью 0,1 среднее дискретной части распределения равно нулю и с вероятностью 0,9 среднее непрерывной части распределения равно единице. Это распределение является смесью непрерывного и дискретного распределений. Примечание 1 - Среднее непрерывного распределения (2.23) обозначают символом E(X) и вычисляют как .Примечание 2 - Среднее существует не для всех случайных величин (2.10). Например, если X имеет функцию плотности распределения , интеграл, соответствующий E(X), расходится. | en | mean, moment of order r = 1 | ||||||||||
fr | moyenne, moment d'ordre r = 1 | |||||||||||
2.35.2 среднее; Пример 1 - Пусть дискретная случайная величина X (2.28) представляет собой число выпадений "орлов" при бросании трех "идеальных" монет. Функция распределения имеет следующий вид: P(X = 0) = 1/8 P(X = 1) = 3/8 P(X = 2) = 3/8 P(X = 3) = 1/8 Следовательно, среднее X равно .Пример 2 - См. пример 2 к 2.35.1. Примечание - Среднее дискретного распределения (2.22) обозначают E(x) и вычисляют по формуле ![]() для конечного числа исходов или ![]() для счетного числа исходов. | en | mean | ||||||||||
fr | moyenne de ![]() | |||||||||||
| ||||||||||||
2.36 дисперсия; V: Момент порядка r (2.34) центрированного распределения вероятностей (2.30) случайной величины (2.10), где r равно 2. Пример 1 - Для дискретной случайной величины (2.28) из примера 2 к 2.24 дисперсия равна: .Пример 2 - Для непрерывной случайной величины (2.29) из примера 1 к 2.26 дисперсия равна: .Пример 3 - В примере с батареей из 2.1 дисперсия может быть определена с помощью представления дисперсии X в эквивалентном виде E(X2) - [E(X)]2. Из примера 3 к 2.35 E(X) = 0,9. С помощью аналогичных преобразований можно получить, что E(X2) = 1,8. Таким образом, дисперсиях X - это 1,8 - (0,9)2, что составляет 0,99. | en | variance | ||||||||||
fr | variance | |||||||||||
en | standard deviation | |||||||||||
fr | ![]() | |||||||||||
2.38 коэффициент вариации; CV: Для положительной случайной величины стандартное отклонение (2.37), деленное на среднее (2.35). Примечание 1 - Обычно используют представление коэффициента вариации, выраженного в процентах. Примечание 2 - Данный термин заменяет ранее используемый термин "относительное стандартное отклонение". | en | coefficient of variation | ||||||||||
fr | coefficient de variation | |||||||||||
2.39 коэффициент асимметрии; Y1: Момент порядка 3 (2.34) стандартизованного нормального распределения (2.32) случайной величины (2.10). Пример - Для примера с батареей из 2.1 и 2.7, где распределение является смесью непрерывного и дискретного распределений, с учетом примера к 2.34 E(X) = 0,1(0) + 0,9(1) = 0,9 E(X2) = 0,1 (02) + 0,9(2) = 1,8 E(X3) = 0,1(0) + 0,9(6) = 5,4 E(X4) = 0,1(0) + 0,9(24) = 21,6. При вычислении коэффициента асимметрии следует отметить, что E{[X - E(X)]3} = E(X3) - 3E(X) E(X2) + 2[E(X)]3 и, учитывая, что стандартное отклонение равно 0,995 (см. 2.37), коэффициент асимметрии составляет [5,4 - 3(0,9) (1,8) + 2(0,9)3]/(0,995)3 = 1,998. Примечание 1 - Эквивалентное определение основано на математическом ожидании (2.12) третьей степени величины , что выражают как .Примечание 2 - Коэффициент асимметрии является мерой симметрии распределения (2.11), его иногда обозначают как | en | coefficient of skewness | ||||||||||
fr | coefficient ![]() | |||||||||||
2.40 коэффициент эксцесса; E{[X - E(X)]4} = E(X)2 - 4E(X)E(X3) + 6[E(X)]2E(X2) - 3[E(X)]4 коэффициент эксцесса составляет [21,6 - 4(0,9)(5,4) + 6(0,9)2(2) - 3(0,9)4]/(0,995)4 = 8,94. Примечание 1 - Эквивалентным определением является математическое ожидание (2.12) четвертой степени , т.е. .Примечание 2 - Коэффициент эксцесса является мерой тяжести хвостов распределения (2.11). Для равномерного распределения (2.60) коэффициент эксцесса составляет 1,8; для нормального распределения (2.50) коэффициент эксцесса равен 3; для экспоненциального распределения (2.58) коэффициент эксцесса равен 9. | en | coefficient of kurtosis | ||||||||||
fr | coefficient d'aplatissement | |||||||||||
en | joint moment of orders r and s | |||||||||||
fr | moment d'ordres r et s | |||||||||||
en | joint central moment of orders r and s | |||||||||||
fr | moment d'ordres r et s | |||||||||||
2.43 ковариация; Примечание 1 - Ковариация является центральным смешанным моментом порядков 1 и 1 (2.42) двух случайных величин. Примечание 2 - Ковариация имеет вид - , где и . | en | covariance | ||||||||||
fr | covariance | |||||||||||
2.44 коэффициент корреляции: Среднее (2.35) произведения двух стандартизованных случайных величин (2.33) в их совместном распределении (2.11). Примечание - Коэффициент корреляции иногда более кратко называют просто корреляцией. Однако данное употребление накладывается на интерпретацию корреляции как связи между двумя случайными величинами. | en | correlation coefficient | ||||||||||
fr | coefficient de ![]() | |||||||||||
2.45 полиномиальное [мультиномиальное] распределение: Дискретное распределение (2.22), имеющее функцию распределения (2.24) ,где x1, x2, ... ,xk - неотрицательные целые числа, такие, что x1 + x2 + ... + xk = n с параметрами pi > 0 для всех i = 1, 2, ..., k при p1 + p2 + ... + pk = 1; k - целое число, большее или равное двум. Примечание - Полиномиальное распределение дает число реализаций каждого из k возможных исходов в n независимых испытаниях, где каждое испытание в качестве результата имеет одно и то же множество из k возможных взаимоисключающих событий и вероятности событий одинаковы во всех испытаниях. | en | multinomial distribution | ||||||||||
fr | loi multinomiale | |||||||||||
,где x = 0, 1, 2, ..., n с параметрами n = 1, 2, ..., и 0 < p < 1. Пример - Функция вероятности, описанная в примере 1 к 2.24, является функцией биномиального распределения с параметрами: n = 3 и p = 0,5. Примечание 1 - Биномиальное распределение представляет собой специальный случай полиномиального распределения (2.45) при k = 2. Примечание 2 - Биномиальное распределение дает вероятность числа реализации каждого из двух возможных исходов в n независимых испытаниях, где каждое испытание в качестве результата имеет одно из двух возможных взаимоисключающих событий (2.2) и вероятности (2.5) событий одинаковы во всех испытаниях. Примечание 3 - Среднее (2.35) биномиального распределения равно np. Дисперсия (2.36) биномиального распределения равна np(1 - p). Примечание 4 - В записи функции вероятности биномиального распределения может быть использован биномиальный коэффициент: . | en | binomial distribution | ||||||||||
fr | loi binomiale | |||||||||||
,где x = 0, 1, 2, ... и Примечание 1 - При n, стремящемся к бесконечности, и p, стремящемся к нулю, таким образом, что np стремится к Примечание 3 - Функция вероятности (2.24) распределения Пуассона дает вероятность числа появлений события в единичный интервал времени при заданных условиях, например при независимости интенсивности появления от времени. | en | Poisson distribution | ||||||||||
fr | loi de Poisson | |||||||||||
2.48 гипергеометрическое распределение: Дискретное распределение (2.22) с функцией распределения (2.24) ,где max(0, M - N) <= x <= min(M, n) и целые параметры: N = 1, 2, ... M = 0, 1, 2, ..., N - 1 N = 1, 2, ..., N. Примечание 1 - Гипергеометрическое распределение (2.11) дает число помеченных объектов в простой случайной выборке (1.7) объема n, взятых без замещения из генеральной совокупности (или партии) объема N, содержащей в точности M помеченных объектов. Примечание 2 - Таблица 4 содержит информацию об объектах гипергеометрического распределения. Таблица 4 | en | hypergeometric distribution | ||||||||||
fr | loi ![]() | |||||||||||
Множество | Отмеченные или неотмеченные объекты | Отмеченные объекты | Неотмеченные объекты | |||||||||
Генеральная совокупность | N | M | N - M | |||||||||
Объекты, попавшие в выборку | N | X | N - x | |||||||||
Объекты, не попавшие в выборку | N - n | M - x | N - n - M + x | |||||||||
Примечание 3 - При определенных условиях (например, n мало по отношению к N) гипергеометрическое распределение может быть приближено биномиальным распределением с n и p = M/N. | ||||||||||||
2.49 отрицательное биномиальное распределение: Дискретное распределение (2.22) с функцией распределения (2.24) ,где x = 0, 1, 2, ..., n с параметром c > 0 и параметром p, удовлетворяющим условию 0 < p < 1. Примечание 1 - При c = 1 отрицательное биномиальное распределение называют геометрическим распределением; оно описывает вероятность (2.5) того, что первое появление события (2.2), вероятность которого равна p, будет иметь место в (x + 1)-м испытании. Примечание 2 - Функция вероятности может быть записана в эквивалентном виде: .Термин "отрицательное биномиальное распределение" является следствием данной записи функции вероятности. Примечание 3 - Версию записи функции распределения, данную в определении, часто называют "распределение Паскаля" при условии, что c - целое число, более или равное единице. В этом случае функция вероятности описывает вероятность того, что c-е появление события (2.2), вероятность которого равна p, будет иметь место в (x + 1)-м испытании. | en | negative binomial distribution | ||||||||||
fr | loi binomiale ![]() | |||||||||||
2.50 нормальное распределение; распределение Гаусса: Непрерывное распределение (2.23) с функцией плотности распределения (2.26) ,где , и Примечание 1 - Одно из наиболее широко используемых распределений вероятностей (2.11) в прикладной статистике. Из-за формы функции плотности распределения ее неформально называют "колоколообразная" кривая. Данное распределение является предельным распределением выборочных средних (1.15). В статистике данное распределение широко используют как опорное распределение для анализа необычности экспериментальных результатов. | en | normal distribution, Gaussian distribution | ||||||||||
fr | loi normale, loi de Gauss | |||||||||||
2.51 стандартное нормальное распределение; стандартное распределение Гаусса: Нормальное распределение (2.50) с Примечание - Функция плотности распределения (2.26) стандартного нормального распределения: ,где .В таблицах нормального распределения используют функцию плотности распределения для вычисления площади под графиком f для значений в интервале . | en | standardized normal distribution, standardized Gaussian distribution | ||||||||||
fr | loi normale | |||||||||||
2.52 логнормальное распределение: Непрерывное распределение (2.23) с функцией плотности распределения (2.26) ,где x > 0, и Примечание 1 - Если Y подчиняется нормальному распределению (2.50) со средним (2.35) Примечание 2 - Средним логнормального распределения является величина , а дисперсией величина . Таким образом, среднее и дисперсия логнормального распределения являются функциями параметров Примечание 3 - Логнормальное распределение и распределение Вейбулла (2.63) широко используют при анализе надежности. | en | lognormal distribution | ||||||||||
fr | distribution lognormale | |||||||||||
2.53 t-распределение; распределение Стьюдента: Непрерывное распределение (2.23) с функцией плотности распределения (2.26) ,где ;Примечание 1 - На практике t-распределение широко используют при определении оценки выборочного среднего (1.15) в общем случае, когда стандартное отклонение оценивают на основе данных выборки. Выборочную t-статистику можно сопоставлять с t-распределением со степенью свободы n - 1 для определения оценки среднего как оценки истинного среднего генеральной совокупности. Примечание 2 - t-распределение возникает как распределение двух независимых случайных величин (2.10), при этом величина в числителе имеет стандартное нормальное распределение (2.51), а величина в знаменателе распределена как положительный квадратный корень (2.57) после деления на число степеней свободы. Параметр Примечание 3 - Гамма-функция определена в 2.56. | en | t distribution; Student's distribution | ||||||||||
fr | distribution t; loi de Student | |||||||||||
Примечание - Данная идея первоначально имела место в контексте использования n - 1 в знаменателе оценки (1.12) выборочной дисперсии (1.16). Число степеней свободы используют для изменения параметров. Термин "число степеней свободы" также широко использован в ИСО 3534-3, где средний квадрат задают как сумму квадратов, деленную на соответствующее число степеней свободы. | en | degrees of freedom | ||||||||||
fr | de | |||||||||||
2.55 F-распределение: Непрерывное распределение (2.23) с функцией плотности распределения вероятности (2.26) ,где x > 0; Г - гамма-функция, определенная в 2.56. Примечание 1 - F-распределение полезно как опорное распределение для анализа отношения независимых дисперсий (2.36). Примечание 2 - F-распределение возникает как распределение отношения двух независимых случайных величин (2.10), каждая из которых подчиняется (2.57), деленному на число степеней свободы (2.54). Параметр | en | F distribution | ||||||||||
fr | loi de F | |||||||||||
2.56 гамма-распределение: Непрерывное распределение (2.23) с функцией плотности распределения (2.26) ,где x > 0; Примечание 1 - Гамма-распределение используют в исследованиях надежности для моделирования наработки до отказа. Оно охватывает экспоненциальное распределение (2.58) как специальный случай, а также другие случаи, когда интенсивность отказов возрастает вследствие старения. Примечание 2 - Гамма-функцию определяют следующим образом: .Для целых значений . | en | gamma distribution | ||||||||||
fr | loi gamma | |||||||||||
2.57 хи-квадрат-распределение, : Непрерывное распределение (2.23) с функцией плотности распределения (2.26) ,где x > 0 и Примечание 1 - Для данных, описываемых нормальным распределением (2.50) с известным стандартным отклонением (2.37) подчиняется с n - 1 степенями свободы. Данный результат является основанием для построения доверительных интервалов для является его использование в критериях согласий модели данным наблюдений. | en | chi-squared distribution, ![]() | ||||||||||
fr | loi de chi deux, ![]() | |||||||||||
2.58 экспоненциальное распределение: Непрерывное распределение (2.23) с функцией плотности распределения (2.26) ,где x > 0 и Примечание 1 - Экспоненциальное распределение является базовым в исследовании надежности в случае отсутствия "старения" или отсутствия "памяти". | en | exponential distribution | ||||||||||
fr | loi exponentielle | |||||||||||
,где 0 <= x <= 1, Примечание - Бета-распределение очень изменчиво, его функция плотности распределения принимает разнообразные формы (унимодальную, J-образную, U-образную). Данное распределение используют как модель неопределенности, связанную с долями. Например, при моделировании страховых случаев, вызванных ураганами, наблюдаемая доля ущерба, связанного с разрушением определенного вида конструкций при заданной скорости ветра, может составлять 0,40, хотя некоторые сооружения испытывают такой же ущерб при меньшей скорости ветра вследствие накопления разрушений. Бета-распределение со средним 0,40 может служить моделью диспропорции ущерба для данного типа сооружений. | en | beta distribution | ||||||||||
fr | loi | |||||||||||
2.60 равномерное распределение; прямоугольное распределение: Непрерывное распределение (2.23) с функцией плотности распределения (2.26) ,где a <= x <= b. Примечание 1 - Равномерное распределение с a = 0 и b = 1 лежит в основе типичного генератора случайных чисел. Примечание 2 - Среднее (2.35) равномерного распределения равно (a + b)/2. Дисперсия (2.36) равномерного распределения равна (b - a)2/12. Примечание 3 - Равномерное распределение является частным случаем бета-распределения при | en | uniform distribution, rectangular distribution | ||||||||||
fr | loi uniforme, loi rectangulaire | |||||||||||
2.61 распределение экстремальных значений типа I; распределение Гумбеля: Непрерывное распределение (2.23) с функцией распределения (2.7) ![]() где и параметры , b > 0.Примечание - Распределение экстремальных значений является подходящим опорным распределением для распределения крайних порядковых статистик (1.9) X(1) и X(n). При n, стремящемся к | en | type I extreme value distribution, Gumbel distribution | ||||||||||
fr | loi des valeurs de type I, loi de Gumbel | |||||||||||
2.62 распределение экстремальных значений типа II; распределение Фреше: Непрерывное распределение (2.23) с функцией распределения (2.7) ![]() где x > a, a, b, k - параметры распределения, , b > 0, k > 0. | en | en type II extreme value distribution, distribution | ||||||||||
fr | loi des valeurs de type II, loi de ![]() | |||||||||||
2.63 распределение экстремальных значений типа III; распределение Вейбулла: Непрерывное распределение (2.23) с функцией распределения (2.7) ![]() где x > a, a, b, k - параметры распределения, , b > 0, k > 0.Примечание 1 - В дополнение к тому, что данное распределение служит одним из трех возможных предельных распределений экстремальных порядковых статистик, распределение Вейбулла играет важную роль в различных приложениях, особенно в анализе надежности и инжиниринге. Оно дает эмпирическое приближение различных наборов данных. Примечание 2 - Параметр a является параметром положения в том смысле, что он является наименьшим значением, которого может достигать распределение Вейбулла. Параметр b является параметром масштаба [связан со стандартным отклонением распределением Вейбулла]. Параметр k является параметром формы. Примечание 3 - При k = 1 распределение Вейбулла охватывает экспоненциальное распределение. Экспоненциальное распределение при параметрах a = 0 и b в степени 1/k является распределением Вейбулла, данным в определении. Другим частным случаем распределения Вейбулла является распределение Рэлея (при a = 0 и k = 2). | en | type III extreme value distribution, Weibull distribution | ||||||||||
fr | loi des valeurs de type III, loi de Weibull | |||||||||||
2.64 многомерное нормальное распределение: Непрерывное распределение (2.23) с функцией плотности вероятности (2.26): ![]() где для каждого i;жирным шрифтом выделены n-мерные векторы. Примечание - Каждое из частных распределений (2.18) многомерного нормального распределения в данном случае имеет нормальное распределение. Однако кроме рассматриваемого распределения существует много других многомерных распределений, имеющих нормальные частные распределения. | en | multivariate normal distribution | ||||||||||
fr | loi normale | |||||||||||
2.65 двумерное нормальное распределение: Непрерывное распределение (2.23) с функцией плотности распределения (2.26) ,где , , , , | en | bivariate normal distribution | ||||||||||
fr | loi normale | |||||||||||
en | standardized bivariate normal distribution | |||||||||||
fr | loi normale | |||||||||||
Примечание - Иллюстрации некоторых выборочных распределений представлены в примечании 2 к 2.53, примечании 1 к 2.55 и примечании 1 к 2.57. | en | sampling distribution | ||||||||||
fr | distribution ![]() | |||||||||||
2.68 вероятностное пространство; ( Пример 1 - Пусть пространство элементарных событий состоит из результатов отбора одного из 105 объектов (с номерами от единицы до 105), произведенных оборудованием в конкретный день. Сигма-алгебра событий содержит все возможные подмножества: {отсутствует выбранный объект}, {выбран объект 1}, {выбран объект 2}, ... {выбран объект 105}, {выбраны объекты 1 и 2}, ..., {выбраны все 105 i-объектов}. Вероятностная мера может быть определена как число выбранных объектов, соответствующих наступившему событию, деленное на общее число элементарных исходов. Например, событию {выбраны объекты 4, 27 и 92} соответствует вероятностная мера 3/105. Пример 2 - Рассматривают время работы батареи. Если батарея попадает в руки уже разряженной, то ее время работы определяют как 0 ч. Если же батарея функционирует некоторое время, то ее время работы подчиняется некоторому распределению (2.11), подобному экспоненциальному распределению (2.58). Общее распределение является смесью дискретного распределения (нулевое время работы изначально разряженных батарей) и непрерывного распределения (ненулевое время работы). Для упрощения примера предпочтительно, чтобы время работы батареи было сравнительно мало по отношению к длительности периода исследования и чтобы измерение проходило непрерывно. На практике может иметь место левое или правое цензурирование времени работы (например, известно, что время жизни не менее 5 ч или батарея разряжается между 3 и 3,5 ч работы), что дает преимущества при дальнейшем анализе. Пространство элементарных событий представляет собой неотрицательную часть действительной прямой. Сигма-алгебра событий содержит все промежутки [0, x) и множество {0}. Также сигма-алгебра включает все счетные объединения и пересечения этих множеств. Вероятностная мера определена как для изначально нефункционирующих батарей, так и для батарей с положительным временем жизни. Детали соответствующих вычислений представлены в выше разобранных примерах. | en | probability space | ||||||||||
fr | espace de ![]() | |||||||||||
c) если {Ai} - любое множество событий из Пример 1 - Если пространством элементарных событий является множество целых чисел, то сигма-алгебра событий может быть множеством всех подмножеств целых чисел. Пример 2 - Если пространством элементарных событий является множество всех действительных чисел, то сигма-алгебра событий может включать все множества, соответствующие всем интервалам на действительной прямой, их конечные и счетные объединения, а также пересечения этих интервалов. Данный пример может быть расширен на высшие размерности путем рассмотрения k-мерных интервалов. В частности, при размерности два множество интервалов может состоять из областей, определяемых множеством {(x,y):x < s, y < t} для всех действительных значений s и t. Примечание 1 - Сигма-алгебра - это множество, элементами которого являются множества. Множество всех возможных исходов Примечание 2 - Свойство c) касается набора операций на коллекции подмножеств (возможно, счетной мощности) сигма-алгебры событий. Его запись указывает на то, что все счетные объединения и пересечения этих множеств принадлежат сигма-алгебре событий. Примечание 3 - Согласно свойству c) сигма-алгебре событий также принадлежит замыкание конечного объединения или пересечения множеств. Спецификатор сигма используют, чтобы подчеркнуть, что множество замкнуто даже относительно счетного числа операций на множествах. | en | sigma algebra of events, sigma field | ||||||||||
fr | des des tribu champ sigma ![]() | |||||||||||
2.70 вероятностная мера; a) ,где где {Ai} - последовательность попарно не пересекающихся событий (2.2). Пример - В примере со временем работы батареи, представленным в 2.1, некоторое событие состоит в том, что время работы батареи менее 1 ч. Данное событие состоит из пары непересекающихся событий: {батарея изначально не функционировала} и {батарея изначально функционировала, но время функционирования составило менее 1 ч}. Эквивалентная запись событий: {0} и (0,1). Вероятностная мера события {0} равна доле батарей, которые не функционировали изначально. Вероятностная мера события (0,1) зависит от конкретного непрерывного распределения [например, экспоненциального (2.58)], которому подчиняется распределение отказов. Примечание 1 - Вероятностная мера назначает каждому событию из сигма-алгебры событий число из замкнутого интервала [0, 1]. Значение вероятностной меры, равное единице, соответствует событию, которое обязательно произойдет. Вероятностная мера, приписываемая всему множеству элементарных событий, равна единице. Вероятностная мера невозможного события равна нулю. Примечание 2 - Свойство b) указывает на то, что при наличии последовательности событий, где каждая пара событий не содержит общих элементарных событий, вероятностная мера объединения данных событий равна сумме вероятностных мер отдельных событий. Данное свойство (как отражено в записи свойства) сохраняется для счетного числа событий. Примечание 3 - Три компонента вероятности действенным образом связаны через случайные величины. Вероятности (2.5) событий, соответствующие образу (множеству принимаемых значений) случайной величины (2.10), возникают как вероятности событий пространства элементарных событий. Событию, принадлежащему образу случайной величины, назначают вероятность события пространства элементарных событий, это отображение является отображением "на", производимым случайной величиной. Примечание 4 - Образ случайной величины - множество действительных чисел или множество упорядоченных наборов n действительных чисел (образ случайной величины является отображением "на"). | en | probability measure | ||||||||||
fr | mesure de ![]() | |||||||||||
Обозначение | Термин | Номер в словаре |
A | Событие | |
AC | Дополнительное событие | |
Сигма-алгебра событий, , сигма-поле | ||
A | Уровень значимости | |
Параметр | ||
Коэффициент эксцесса (эксцесс) | ||
E(Xk) | Выборочный момент порядка k | |
E[g(X)] | Математическое ожидание | |
F(x) | Функция распределения случайной величины | |
f(x) | Функция плотности вероятности | |
Коэффициент асимметрии | ||
H | Гипотеза | |
H0 | Нулевая гипотеза | |
HA, H1 | Альтернативная гипотеза | |
k | Размерность | |
k, r, s | Порядок момента | |
M | Среднее (математическое ожидание) | |
Число степеней свободы | ||
N | Объем выборки | |
Пространство элементарных событий | ||
( | Вероятностное пространство | |
P(A) | Вероятность события A | |
P(A|B) | Условная вероятность, вероятность события A при условии реализации события B | |
Вероятностная мера | ||
rxy | Выборочный коэффициент корреляции | |
s | Наблюдаемое значение выборочного стандартного отклонения | |
S | Выборочное стандартное отклонение | |
S2 | Выборочная дисперсия | |
SXY | Выборочная ковариация | |
Стандартное отклонение | ||
Дисперсия | ||
Ковариация | ||
Стандартная ошибка | ||
Стандартная ошибка выборочного среднего | ||
Параметр распределения | ||
Оценка | ||
V(X) | Дисперсия случайной величины x | |
X(i) | i-я порядковая статистика | |
x, y, z | Наблюдаемое значение | |
X, Y, Z, T | Случайная величина | |
Xp, xp | p-квантиль, p-фрактиль | |
Среднее арифметическое, выборочное среднее |













Рисунок B.1 - Основные понятия, связанные с выборкой и генеральной совокупностью | |
Описательная статистика (1.5) | |
Простая случайная выборка (1.7) | |
Оценка (1.12) | |
Статистика критерия (1.52) | |
Случайная величина (2.10) | |
Функция распределения (2.7) | |
Рисунок B.2 - Основные понятия, связанные с выборочными моментами | |
Простая случайная выборка (1.7) | |
Рисунок B.3 - Понятия, связанные с определением оценок | |
Оценка (1.12) | |
Параметр (2.9) | |
Семейство распределений (2.8) | |
Функция плотности распределения (2.26) | |
Функция распределения (2.24) | |
Рисунок B.4 - Понятия, связанные со статистическими критериями | |
Статистика критерия (1.52) | |
Функция плотности распределения (2.26) | |
Функция вероятности (2.24) | |
Семейство распределений (2.8) | |
Рисунок B.5 - Понятия, связанные с классами и эмпирическими распределениями | |
Описательная статистика (1.5) | |
Рисунок B.6 - Понятия, связанные со статистическим выводом | |
Совокупность (генеральная) | |
Выборка (1.3) | |
Наблюдаемое значение (1.4) | |
Определение оценки (1.36) | |
Статистический критерий (1.48) | |
Параметр (2.9) | |
Случайная величина (2.10) | |
Рисунок C.1 - Основные понятия теории вероятностей | |
Случайная величина (2.10) | |
Распределение вероятностей (2.11) | |
Семейство распределений (2.8) | |
Функция распределения (2.7) | |
Параметр (2.9) | |
Рисунок C.2 - Основные понятия, связанные с моментами | |
Случайная величина (2.10) | |
Распределение вероятностей (2.11) | |
Рисунок C.3 - Понятия, связанные с распределениями вероятностей | |
Распределение вероятностей (2.11) | |
Функция распределения (2.24) | |
Непрерывное распределение (2.23) | |
Одномерное распределение (2.16) | |
Многомерное распределение (2.17) | |
Рисунок C.4 - Понятия, связанные с непрерывными распределениями | |
Одномерное распределение (2.16) | |
Многомерное распределение (2.17) | |
Непрерывное распределение (2.23) | |
бета-распределение | |
величина случайная | |
величина случайная дискретная | |
величина случайная непрерывная | |
величина случайная стандартизованная | |
величина случайная стандартизованная выборочная | |
величина случайная центрированная | |
вероятность события A | |
вероятность условная | |
выборка | |
выборка простая случайная | |
выборка случайная | |
гамма-распределение | |
гипотеза | |
гипотеза альтернативная | |
гипотеза нулевая | |
гипотеза простая | |
гипотеза сложная | |
гистограмма | |
граница толерантная | |
границы класса | |
диаграмма столбиковая | |
дисперсия | |
дисперсия выборочная | |
единица выборочная | |
значение наблюдаемое | |
значение оценки | |
интервал предикционный | |
интервал доверительный | |
интервал доверительный односторонний | |
интервал толерантный | |
квантиль уровня p | |
квартиль | |
классы | |
ковариация | |
ковариация выборочная | |
коэффициент асимметрии | |
коэффициент асимметрии выборочный | |
коэффициент вариации | |
коэффициент вариации выборочный | |
коэффициент корреляции | |
коэффициент корреляции выборочный | |
коэффициент эксцесса выборочный | |
коэффициент эксцесса | |
кривая мощности | |
кривая регрессии | |
критерий значимости | |
критерий статистический | |
медиана | |
медиана выборочная | |
мера вероятностная | |
мода функции вероятности | |
мода функции плотности распределения | |
момент выборочный порядка k | |
момент порядка r | |
момент порядка r = 1 | |
момент порядков r и s смешанный | |
момент порядков r и s смешанный центральный | |
мощность критерия | |
ожидание математическое | |
определение оценки | |
определение оценки максимального правдоподобия | |
отклонение стандартное выборочное | |
оценка | |
оценка интервальная | |
оценка максимального правдоподобия | |
оценка несмещенная | |
ошибка второго рода | |
ошибка оценивания | |
ошибка первого рода | |
ошибка стандартная | |
параметр | |
поверхность регрессии | |
пределы класса | |
пространство вероятностное | |
пространство элементарных событий | |
равномерное распределение | |
размах выборочный | |
распределение (вероятностей) | |
распределение (вероятностей) дискретное | |
распределение (вероятностей) непрерывное | |
распределение (вероятностей) одномерное | |
распределение прямоугольное | |
распределение (вероятностей) условное | |
распределение (вероятностей) частное | |
распределение биномиальное | |
распределение Вейбулла | |
распределение выборочное | |
распределение Гаусса | |
распределение Гаусса стандартное | |
распределение гипергеометрическое | |
распределение Гумбеля | |
распределение логнормальное | |
распределение мультиномиальное | |
распределение нормальное | |
распределение нормальное двумерное | |
распределение нормальное двумерное стандартное | |
распределение нормальное многомерное | |
распределение нормальное стандартное | |
распределение отрицательное биномиальное | |
распределение полиномиальное | |
распределение Пуассона | |
распределение стандартизованное | |
распределение Стьюдента | |
распределение Фреше | |
распределение центрированное | |
распределение частот | |
распределение экспоненциальное | |
распределение экстремальных значений типа I | |
распределение экстремальных значений типа II | |
распределение экстремальных значений типа III | |
семейство распределений | |
середина класса | |
середина размаха | |
сигма-алгебра событий | |
сигма-поле | |
смещение | |
событие | |
событие дополнительное | |
события независимые | |
совокупность | |
совокупность генеральная | |
среднее | |
среднее арифметическое | |
среднее выборочное | |
стандартное отклонение | |
статистика | |
статистика критерия | |
статистика описательная | |
статистика описательная графическая | |
статистика описательная числовая | |
статистика порядковая | |
уровень значимости | |
фрактиль уровня p | |
функция вероятности | |
функция плотности распределения | |
функция правдоподобия | |
функция правдоподобия профиля | |
функция распределения | |
функция распределения вероятностей | 2.26, |
функция распределения (случайной величины X) | |
характеристика количественная | |
хи-квадрат-распределение | |
частота | |
частота кумулятивная | |
частота относительная кумулятивная | |
частота относительная | |
число степеней свободы | |
ширина класса | |
![]() | |
F-распределение | |
p-значение | |
r-й момент | |
![]() | |
t-распределение |
![]() | |||||
![]() | |||||
alternative hypothesis | |||||
arithmetic mean | |||||
average | |||||
bar chart | |||||
beta distribution | |||||
bias | |||||
binomial distribution | |||||
bivariate normal distribution | |||||
centred probability distribution | |||||
centred random variable | |||||
chi-squared distribution | |||||
class | |||||
class boundaries | |||||
class limits | |||||
class width | |||||
classes | |||||
coefficient of kurtosis | |||||
coefficient of skewness | |||||
coefficient of variation | |||||
complementary event | |||||
composite hypothesis | |||||
conditional distribution | |||||
conditional probability | |||||
conditional probability distribution | |||||
confidence interval | |||||
continuous distribution | |||||
continuous probability distribution | |||||
continuous random variable | |||||
correlation coefficient | |||||
covariance | |||||
cumulative frequency | |||||
cumulative relative frequency | |||||
degrees of freedom | |||||
descriptive statistics | |||||
discrete distribution | |||||
discrete probability distribution | |||||
discrete random variable | |||||
distribution | |||||
distribution function of a random variable X | |||||
error of estimation | |||||
estimate | |||||
estimation | |||||
estimator | |||||
event | |||||
expectation | |||||
exponential distribution | |||||
F distribution | |||||
family of distributions | |||||
Frechet distribution | |||||
frequency | |||||
frequency distribution | |||||
gamma distribution | |||||
Gaussian distribution | |||||
graphical descriptive statistics | |||||
Gumbel distribution | |||||
histogram | |||||
hypergeometric distribution | |||||
hypothesis | |||||
independent events | |||||
interval estimator | |||||
joint central moment of orders r and s | |||||
joint moment of orders r and s | |||||
likelihood function | |||||
lognormal distribution | |||||
marginal distribution | |||||
marginal probability distribution | |||||
maximum likelihood estimation | |||||
maximum likelihood estimator | |||||
| |||||
mean | |||||
median | |||||
mid-point of class | |||||
mid-range | |||||
mode of probability density function | |||||
mode of probability mass function | |||||
moment of order r | |||||
moment of order r = 1 | |||||
multinomial distribution | |||||
multivariate distribution | |||||
multivariate normal distribution | |||||
multivariate probability distribution | |||||
negative binomial distribution | |||||
normal distribution | |||||
null hypothesis | |||||
numerical descriptive statistics | |||||
observed value | |||||
one-sided confidence interval | |||||
order statistic | |||||
parameter | 2.9; | ||||
p-fractile | |||||
Poisson distribution | |||||
population | |||||
power curve | |||||
power of a test | |||||
p-quantile | |||||
prediction interval | |||||
probability density function | |||||
probability distribution | |||||
probability mass function | |||||
probability measure | |||||
probability of an event | |||||
probability space | |||||
profile likelihood function | |||||
p-value | |||||
quartile | |||||
random sample | |||||
random variable | |||||
rectangular distribution | |||||
regression curve | |||||
regression surface | |||||
relative frequency | |||||
rth moment | |||||
sample | |||||
sample coefficient of kurtosis | |||||
sample coefficient of skewness | |||||
sample coefficient of variation | |||||
sample correlation coefficient | |||||
sample covariance | |||||
sample mean | |||||
sample median | |||||
sample moment of order k | |||||
sample range | |||||
sample space | |||||
sample standard deviation | |||||
sample variance | |||||
sampling distribution | |||||
sampling unit | |||||
sigma algebra of events | |||||
sigma field | |||||
significance level | |||||
significance test | |||||
simple hypothesis | |||||
simple random sample | |||||
standard deviation | |||||
standard error | |||||
standardized bivariate normal distribution | |||||
standardized Gaussian distribution | |||||
standardized normal distribution | |||||
standardized probability distribution | |||||
standardized random variable | |||||
standardized sample random variable | |||||
statistic | |||||
statistical test | |||||
statistical tolerance interval | |||||
statistical tolerance limit | |||||
Student's distribution | |||||
t distribution | |||||
test statistic | |||||
Type I error | |||||
type I extreme value distribution | |||||
Type II error | |||||
type II extreme value distribution | |||||
type III extreme value distribution | |||||
unbiased estimator | |||||
uniform distribution | |||||
univariate distribution | |||||
univariate probability distribution | |||||
variance | |||||
Weibull distribution | |||||
![]() | |||||
![]() | |||||
des ![]() | |||||
![]() | |||||
biais | |||||
bornes de classe | |||||
centre de classe | |||||
champ sigma | |||||
classe | |||||
classes | |||||
coefficient d'aplatissement | |||||
coefficient d'aplatissement d'echantillon | |||||
coefficient d'asymetrie | |||||
coefficient d'asymetrie d'echantillon | |||||
coefficient de correlation | |||||
coefficient de correlation d'echantillon | |||||
coefficient de variation | |||||
coefficient de variation d'echantillon | |||||
courbe de puissance | |||||
courbe de regression | |||||
covariance | |||||
covariance d'echantillon | |||||
degres de liberte | |||||
diagramme en batons | |||||
distribution | |||||
distribution a plusieurs variables | |||||
distribution a une variable | |||||
distribution conditionnelle | |||||
distribution continue | |||||
distribution de frequence | |||||
distribution d'echantillonnage | |||||
distribution discrete | |||||
distribution log-normale | |||||
distribution marginale | |||||
distribution t | |||||
ecart-type | |||||
ecart-type d'echantillon | |||||
echantillon | |||||
echantillon aleatoire | |||||
echantillon simple aleatoire | |||||
effectif de la classe | |||||
erreur de premiere espece | |||||
erreur de seconde espece | |||||
erreur d'estimation | |||||
erreur type | |||||
espace de probabilite | |||||
| |||||
espace d'echantillon | |||||
esperance mathematique | |||||
estimateur | |||||
estimateur du maximum de vraisemblance | |||||
estimateur par intervalle | |||||
estimateur sans biais | |||||
estimation (operation) | |||||
estimation (resultat) | |||||
estimation du maximum de vraisemblance | |||||
etendue d'echantillon | |||||
evenement | |||||
evenement complementaire | |||||
evenements independents | |||||
famille de distributions | |||||
fonction de densite de probabilite | |||||
fonction de masse de probabilite | |||||
fonction de repartition d'une variable aleatoire X | |||||
fonction de vraisemblance | |||||
fonction de vraisemblance partielle | |||||
fractile d'ordre p | |||||
frequence | |||||
| |||||
frequence cumulee | |||||
frequence relative | |||||
frequence relative cumulee | |||||
frontieres de classe | |||||
histogramme | |||||
hypothese | |||||
hypothese alternative | |||||
hypothese composite | |||||
hypothese nulle | |||||
hypothese simple | |||||
intervalle de confiance | |||||
| |||||
intervalle de confiance unilateral | |||||
intervalle de prediction | |||||
intervalle statistique de dispersion | |||||
limite statistique de dispersion | |||||
loi beta | |||||
loi binomiale | |||||
loi binomiale negative | |||||
loi de chi deux | |||||
loi de F | |||||
loi de Fisher-Snedecor | |||||
loi de Frechet | |||||
loi de Gauss | |||||
loi de Gauss centree reduite | |||||
loi de Gumbel | |||||
loi de Poisson | |||||
loi de probabilite | |||||
loi de probabilite a plusieurs variables | |||||
loi de probabilite a une variable | |||||
loi de probabilite centree | |||||
loi de probabilite centree reduite | |||||
loi de probabilite conditionnelle | |||||
loi de probabilite continue | |||||
loi de probabilite discrete | |||||
loi de probabilite marginale | |||||
loi de Student | |||||
loi de Weibull | |||||
loi des valeurs extremes de type | |||||
loi des valeurs extremes de type | |||||
loi des valeurs extremes de type | |||||
loi exponentielle | |||||
loi gamma | |||||
loi hypergeometrique | |||||
loi multinomiale | |||||
loi normale | |||||
loi normale a deux variables | |||||
loi normale a plusieurs variables | |||||
loi normale centree reduite | |||||
loi normale centree reduite a deux variables | |||||
loi rectangulaire | |||||
loi uniforme | |||||
mediane | |||||
mediane d'echantillon | |||||
mesure de probability | |||||
milieu de l'etendue | |||||
mode de fonction de densite de probability | |||||
mode de fonction de masse de probabilite | |||||
| |||||
moment centre combine d'ordres r и s | |||||
moment combine d'ordres r et s | |||||
moment d'echantillon d'ordre k | |||||
moment d'ordre r | |||||
moment d'ordre r = 1 | |||||
| |||||
moyenne | |||||
moyenne arithmetique | |||||
moyenne d'echantillon | |||||
niveau de signification | |||||
parameter | |||||
population | |||||
probabilite conditionnelle | |||||
probabilite d'un evenement A | |||||
puissance d'un test | |||||
quantile d'ordre p | |||||
quartile | |||||
sigma-algebre des evenements | |||||
statistique | |||||
statistique de test | |||||
statistique descriptive | |||||
statistique descriptive graphique | |||||
statistique descriptive numerique | |||||
statistique d'ordre | |||||
surface de regression | |||||
test de signification | |||||
test statistique | |||||
tribu | |||||
unite d'echantillonnage | |||||
valeur observe | |||||
valeur p | |||||
variable aleatoire | |||||
variable aleatoire centree | |||||
variable aleatoire centree reduite | |||||
variable aleatoire centree reduite d'echantillon | |||||
variable aleatoire continue | |||||
variable aleatoire discrete | |||||
variance | |||||
variance d'echantillon | |||||
[1] | ISO 31-11:1992, Quantities and units - Part 11: Mathematical signs and symbols for use in the physical sciences and technology |
ISO 3534-2:2006, Statistics - Vocabulary and symbols - Part 2: Applied statistics | |
[3] | ISO 5725 (all parts), Accuracy (trueness and precision) of measurement methods and results |
VIM:1993, International vocabulary of basic and general terms in metrology, BIPM, IEC, IFCC, ISO, OIML, IUPAC, IUPAP |
УДК 658.562.012.7:65.012.122:006.354 | |
Ключевые слова: статистика, теория вероятностей | |