1.1 Система шкал для определения значения характеристики | ||
Примечание 1 - Значение характеристики может быть присущим или назначенным. Примечание 2 - Характеристика может быть качественной или количественной. Примечание 3 - Существуют различные классы характеристик, такие как: - физические (например, механические, электрические, химические или биологические характеристики); - органолептические (например, связанные с запахом, осязанием, вкусом, зрением, слухом); - этические (например, вежливость, честность, правдивость); - временные (например, пунктуальность, безотказность, готовность); - эргономические (например, физиологические или характеристики, связанные с безопасностью человека); - функциональные (например, максимальная скорость самолета). [ISO 9000:2005, 3.5.1] | en | characteristic |
fr | ![]() | |
1.1.2 характеристика качества: Присущая продукции (1.2.32), процессу (2.1.1) или системе характеристика (1.1.1), связанная с требованием (3.1.2). Примечание 1 - Слово "присущая" обозначает существующая в чем-либо, особенно, если это относится к постоянной характеристике. Примечание 2 - Назначенное значение характеристики продукции, процесса или системы (например, цена продукции, владелец продукции) не является характеристикой качества продукции, процесса или системы. [ISO 9000:2005, 3.5.2] | en | quality characteristic |
fr | qualitative | |
1.1.3 шкала: Система базовых значений характеристики (1.1.1). Примечание 1 - Термин "значение" использован в широком смысле, включая качественные характеристики. Примечание 2 - В "качественном смысле" шкала имеет символические указатели дифференциации. | en | scale |
fr | ![]() | |
1.1.4 непрерывная шкала: Шкала (1.1.3), имеющая континуум значений. Пример - Примерами служат интервальная шкала и шкала отношений. Примечание 1 - Непрерывная шкала может быть трансформирована в дискретную шкалу (1.1.5) путем группировки значений. Данное преобразование неизбежно ведет к потере информации. Обычно результирующая шкала является порядковой. Примечание 2 - На разрешение шкалы могут неблагоприятно повлиять ограничения измерительной системы. Такие ограничения иногда могут давать значения, повышенные до значений, представленных на дискретной порядковой шкале. | en | continuous scale |
fr | continue | |
1.1.5 дискретная шкала: Шкала (1.1.3), состоящая только из набора или последовательности различных значений. | en | discrete scale |
fr | ![]() | |
1.1.6 номинальная шкала: Шкала (1.1.3), состоящая из неупорядоченных категорий или категорий, условно упорядоченных на основе соглашения. Пример - Национальность, цвет, модель машины, порода собаки и т.д. Примечание - Можно подсчитать число категорий номинальной шкалы, но нельзя их упорядочить или измерить. | en | nominal scale |
fr | nominale | |
1.1.7 порядковая шкала: Шкала (1.1.3), состоящая из упорядоченных маркированных значений. Примечание 1 - Иногда различия между порядковой (1.1.7) и дискретной (1.1.5) шкалами бывают нечеткими. Если рангам субъективных мнений, таким как превосходный, очень хороший нейтральный, плохой, очень плохой присвоить номера от 1 до 5, это обеспечивает переход от порядковой шкалы к дискретной. Однако значения 1, 2, ..., 5 не следует рассматривать как обычные числа, т.к. дистанция от 1 до 2 не может быть точно такой же, как дистанция от 2 до 3 или от 3 до 4. С другой стороны, некоторые категории, объективно упорядоченные в соответствии с абсолютной величиной, такие как шкалы Рихтера, которая ранжирует качество реализованной энергии по шкале от 0 до 8, могут также быть отнесены к дискретной шкале. Примечание 2 - Иногда номинальные шкалы (1.1.6) упорядочивают в соответствии с соглашением. Например, группа крови ABO, которую всегда устанавливают в таком порядке. То же происходит в случае, когда одиночные буквы обозначают различные категории. Их затем упорядочивают в соответствии с соглашением, например алфавитом. | en | ordinal scale |
fr | ordinale | |
1.1.8 интервальная шкала: Непрерывная (1.1.4) или дискретная (1.1.5), шкала с равномерной разметкой и условным положением нуля. Пример - Температурные шкалы Цельсия и Фаренгейта (см. ISO 31-4), представление дат и времени (см. ISO 8601). Примечание - Разности значений на шкале не изменяются при изменении положения нуля на шкале (1.1.3). | en | interval scale |
fr | d'intervalle | |
1.1.9 шкала отношений: Непрерывная шкала (1.1.4) с равномерной разметкой и абсолютным или естественным положением нуля. Пример - Значения массы (см. ИСО 31-3) и длины (см. ИСО 31-1). | en | ratio scale, |
fr | de rapport | |
1.2 Источники данных | ||
1.2.1 совокупность (генеральная): Множество всех рассматриваемых единиц (1.2.11). Примечание 1 - Генеральная совокупность может состоять из реальных объектов и быть конечной, может состоять из реальных объектов и быть бесконечной или может быть полностью гипотетической. Примечание 2 - Продолжительный отбор выборки (1.3.1) из конечной генеральной совокупности, состоящей из реальных объектов, может привести к изменению фактических относительных частот или частотных распределений (2.5.1). Наоборот, исходя из этого, на основе этих распределений может быть выведена теоретическая модель гипотетической генеральной совокупности. Это дает возможность прогнозирования. Примечание 3 - Генеральная совокупность может охватывать результаты происходящего в настоящее время процесса и включать будущие результаты. Примечание 4 - Генеральная совокупность может состоять из отдельных объектов или нештучного материала. | en | population |
fr | population | |
1.2.2 параметр генеральной совокупности: Комплексная мера значений некоторой характеристики (1.1.2) генеральной совокупности (1.2.1). Пример - Примерами параметров генеральной совокупности являются среднее Примечание - Параметры генеральной совокупности обычно обозначают малыми греческими буквами и курсивом. | en | population parameter |
fr | de population | |
1.2.3 подсовокупность: Часть генеральной совокупности (1.2.1). | en | sub-population |
fr | sous-population | |
1.2.4 партия: Часть генеральной совокупности (1.2.1), составленная в соответствии с теми же условиями, что и генеральная совокупность для целей отбора выборки. Примечание - Целью отбора выборки может быть приемка партии или определение оценки среднего некоторой характеристики (1.1.1). | en | lot |
fr | lot | |
1.2.5 отдельная партия: Партия (1.2.4), выделенная из последовательности партий, в которой она была произведена или собрана, и не составляющая часть текущей последовательности проверяемых партий. | en | isolated lot |
fr | lot | |
en | isolated sequence of lots | |
fr | | |
1.2.7 особая партия: Партия (1.2.4), произведенная в особых условиях, таких, что эта партия не является частью обычной последовательности партий. | en | unique lot |
fr | lot unique | |
1.2.8 пробная партия: Небольшая партия (1.2.4), получаемая в обычном производственном процессе до первой партии серийного производства для накопления информации и опыта. | en | pilot lot |
fr | lot pilote | |
en | re-submitted lot | |
fr | lot | |
1.2.10 подпартия: Определенная часть партии (1.2.4). | en | sub-lot |
fr | sous-lot | |
Пример - Единицей может быть, например, изделие, определенное количество материала, услуга (1.2.33), человек, система или их комбинация. Примечание 1 - См. также единица выборки (1.2.14). Примечание 2 - Объект - не рекомендуемый термин. | en | item, entity |
fr | individu, | |
en | nonconforming item | |
fr | individu non conforme | |
en | defective item | |
fr | individu ![]() | |
1.2.14 выборочная единица: Одна из конкретных единиц, на которые разделена генеральная совокупность (1.2.1). Примечание 1 - Выборочная единица может содержать одну или несколько единиц (1.2.11) (например, коробка спичек), но для нее получают один результат проверки (3.4.1). Примечание 2 - Выборочная единица может состоять из дискретных единиц или определенного количества нештучного материала. Примечание 3 - Для выборочной единицы нештучного материала см. 5.1.4. | en | sampling unit, unit |
fr | , | |
en | nonconforming unit | |
fr | ||
en | defective unit | |
fr | ![]() | |
1.2.17 выборка: Подмножество генеральной совокупности (1.2.1), состоящее из одной или более выборочных единиц (1.2.14). Примечание - Существует много способов отбора выборки, производимых случайным или не случайным образом. Набор данных, полученных путем смешанного отбора выборки (1.3.1), который применяют во многих случаях (например, при исследовании генетики семей, имеющих детей с отклонениями) также является выборкой. При отборе выборки на основе опроса или анкетирования (1.3.18) выборочные единицы часто отбирают в соответствии с вероятностью, пропорциональной известному объему изменчивости, что дает смещенную выборку. | en | sample |
fr | ![]() | |
1.2.18 выборочная статистика: Комплексная мера некоторой наблюдаемой величины (3.2.8), определяемая по выборке (1.2.17). Примечание 1 - Выборочные статистики (случайные величины) обозначают заглавными латинскими буквами курсивом (например, | en | sample statistic |
fr | statistique ![]() | |
1.2.19 подвыборка: Часть выборки (1.2.17). Примечание - Подвыборка может быть отобрана тем же способом, что и сама выборка, но это не является обязательным требованием. | en | subsample |
fr | ![]() | |
en | duplicate sample | |
fr | ![]() | |
en | primary sample | |
fr | primaire | |
1.2.22 вторичная выборка: Выборка (1.2.17), отобранная из первичной выборки (1.2.21) на второй стадии многоступенчатого отбора выборки (1.3.10). Примечание - Это понятие может быть распространено на k стадий для k > 2. | en | secondary sample |
fr | secondaire | |
en | final sample | |
fr | final | |
en | simple random sample | |
fr | simple ![]() | |
Примечание - Данное определение относится к реальной выборке в отличие от определения ИСО 3534-1, которое отражает теоретические положения. | en | random sample |
fr | ![]() | |
en | sample size | |
fr | effectif ![]() | |
1.2.27 структура отбора выборки: Полный список всех выборочных единиц (1.2.14). Пример - Опись деталей на складе, опись тюков шерсти на судне, график погашения кредиторской задолженности. Примечание - Структура выборки или "отобранная совокупность" (1.2.1) может отличаться от "целевой совокупности". Например, список всех избирателей на определенной территории может быть рассмотрен как "структура выборки" для представления совершеннолетнего населения, однако, не является достаточно точным. | en | sampling frame |
fr | base ![]() | |
en | cluster | |
fr | grappe | |
1.2.29 слой: Одна из взаимно не пересекающихся и охватывающих всю генеральную совокупность подпопуляций (1.2.3), элементы которых имеют более однородные характеристики (1.1.1), чем элементы генеральной совокупности (1.2.1) в целом. Пример - При отборе проб (1.2.3) слои выделяют на основе времени, массы и пространства, это обычно: - периоды производства (например, 15 мин); - произведенная масса (например, 100 тонн); - занимаемое пространство в контейнерах, железнодорожных вагонах, баржах и т.д. | en | stratum |
fr | strate | |
Пример - Разделение совокупности кошек или собак по породам, разделение людей по гендерным и социальным признакам и разделение страны на регионы. | en | stratification |
fr | stratification | |
1.2.31 пространство возможностей: Выборочная единица (1.2.14) или доля материала, процесса, продукции (1.2.32) или услуги (1.2.33), для которых может произойти ожидаемое событие. Примечание - Это пространство часто называют "областью возможностей". Однако при рассмотрении более двух переменных термин "пространство" более уместен. | en | opportunity space |
fr | espace d'occurrence | |
1.2.32 продукция: Результат процесса (2.1.1). Примечание 1 - Существуют четыре общие категории продукции: - услуги (например, перевозки); - программное обеспечение (например, компьютерная программа, словарь); - технические средства (например, деталь двигателя); - перерабатываемые материалы (например, смазка). Многие виды продукции включают элементы, относящиеся к различным общим категориям продукции. Примечание 2 - В английском языке термин "product" обозначает также произведение. [ИСО 9000:2005, 3.4.2] <1> | en | product |
fr | produit | |
1.2.33 услуга: Продукция (1.2.32), которая является результатом, по крайней мере, одного действия, выполненного при взаимодействии поставщика и покупателя. Пример - Услуга может включать: - действия, выполняемые поставщиком для потребителя, - действия, связанные с получением осязаемого результата (например, ремонт машины); - действия поставщика по доставке осязаемой продукции (например, промышленные перевозки); - действия поставщика по доставке неосязаемой продукции (например, доставка информации); - создание атмосферы для потребителя (например, в гостиницах и ресторанах). | en | service |
fr | service | |
1.2.34 идентичная единица для испытаний/измерений: Единица выборки (1.2.17), подготовленная определенным образом, которую можно считать идентичной для назначенной цели. Примечание - На практике требования идентичности устанавливают в протоколе в соответствии с целью испытаний/измерений. | en | identical test/measurement item |
fr | individu pour essai/mesure identique | |
1.2.35 репрезентативная выборка: Случайная выборка (1.2.25), отобранная таким образом, что наблюдаемые значения (3.2.8) в выборке имеют также распределение (2.5.1), что и в генеральной совокупности (1.2.1). Пример - Выборка, отобранная методом стратифицированного случайного отбора выборки (1.3.7), когда доля единиц, отобранных из разных слоев (1.2.29), равны соответствующим долям в слоях генеральной совокупности, может быть рассмотрена как репрезентативная выборка по отношению к наблюдаемым значениям. Примечание 1 - В соответствии с определением репрезентативная выборка представляет собой миниатюрное отражение генеральной совокупности. Примечание 2 - Термины "репрезентативная выборка" и "репрезентативный отбор выборки" в литературе и в общем использовании применяют, по крайней мере, в шести различных смыслах: - неоправданное одобрение данных; - отсутствие усилий по отбору выборки; - миниатюрное отражение генеральной совокупности. Выборка подчиняется тому распределению, что и генеральная совокупность; - типичный или идеальный случай; - охват генеральной совокупности. Выборка отражает изменчивость (2.2.1) данных, особенно между слоями; - вероятностный отбор; формальная схема отбора выборки устанавливает для каждого элемента генеральной совокупности положительную вероятность быть отобранным. Данное смысловое разнообразие говорит о том, что термин должен быть использован с осторожностью. | en | representative sample |
fr | ![]() | |
1.3 Виды отбора выборки | ||
1.3.1 отбор выборки: Действия по отбору или составлению выборки (1.2.17). | en | sampling |
fr | ![]() | |
Пример - Отбор проб из отвала угля для анализа зольности или табака из россыпи для анализа влажности. | en | bulk sampling |
fr | en vrac | |
1.3.3 дискретный отбор выборки: Отбор выборки (1.3.1) дискретного материала. | en | discrete sampling |
fr | discret | |
1.3.4 простой случайный отбор выборки: Отбор выборки (1.3.1) из n выборочных единиц (1.2.14), отобранной из генеральной совокупности (1.2.1), таким образом, что все возможные комбинации n выборочных единиц имеют одинаковую вероятность быть отобранными. Примечание - Если при отборе выборки из нештучной продукции выборочной единицей является определенное количество материала, чтобы все выборочные единицы имели равную вероятность быть отобранными. | en | simple random sampling |
fr | simple ![]() | |
en | random sampling | |
fr | ![]() | |
1.3.6 стратифицированный отбор выборки: Отбор выборки (1.3.1) такой, что доли выборки отобраны из разных слоев (1.2.29), и из каждого слоя отобрана, по крайней мере, одна выборочная единица (1.2.14). Примечание 1 - В некоторых случаях доли выборки устанавливают в виде заранее определенных пропорций. Если стратификация (1.2.30) выполнена после отбора выборки, то пропорции заранее не известны. | en | stratified sampling |
fr | ![]() | |
1.3.7 стратифицированный простой случайный отбор выборки: Простой случайный отбор (1.3.4) для каждого слоя (1.2.29). Примечание - Если пропорции единиц, отобранных из различных слоев, равны пропорциям соответствующих единиц в слоях генеральной совокупности, такой отбор называется пропорциональным стратифицированным простым отбором выборки. | en | stratified simple random sampling |
fr | simple ![]() | |
en | quota sampling | |
fr | par quotas | |
en | cluster sampling | |
fr | en grappe | |
1.3.10 многоступенчатый отбор выборки: Отбор выборки (1.3.1), при котором выборку (1.2.17) отбирают поэтапно, и выборочные единицы (1.2.14), отобранные на каждом этапе, отбирают из большого количества единиц, отобранных на предыдущем этапе. Примечание 1 - Многоступенчатый отбор отличается от сложного отбора. Сложный отбор - это отбор выборки одновременно по нескольким критериям. | en | multistage sampling |
fr | | |
en | multistage cluster sampling | |
fr | en grappe | |
1.3.12 систематический отбор выборки: Отбор выборки (1.3.1) в соответствии с систематическим планом. Примечание 1 - При отборе проб систематический отбор выборки (1.3.2) осуществляют путем отбора единиц (1.2.11) из фиксированного расстояния материала или из материала, соответствующего определенному промежутку времени. Интервалы отбора могут быть установлены по массе и по времени. В первом случае выборочные единицы (1.2.14) имеют равную массу. Выборочные единицы, отобранные на основе времени, отбирают с движущегося конвейера или потока в одинаковые интервалы времени. В этом случае масса каждой выборочной единицы пропорциональна массе потока в момент отбора пробы. Примечание 2 - Если партия (1.2.4) разделена на слои (1.2.29), то стратифицированный систематический отбор производят, отбирая образцы из каждого слоя в одних и тех же местах. Примечание 3 - При систематическом отборе рандомизация отбора ограничена. | en | systematic sampling |
fr | ![]() | |
1.3.13 периодический систематический отбор выборки: Систематический отбор выборки (1.3.12), при котором выборочные единицы (1.2.14) в генеральной совокупности (1.2.1) упорядочены и пронумерованы от единицы до N, затем составляют выборку (1.2.17) из выборочных единиц с номерами h, h + k, h + 2k, ..., h + (n - 1) k, где h и k - положительные целые числа, удовлетворяющие соотношениям: nk < N < n (k + 1) и h < k; h обычно выбирают случайным образом из первых k целых чисел; n - число выборочных единиц в выборке. Примечание 1 - Периодический систематический отбор - метод отбора, при котором рандомизация отбора выборки (1.3.1) ограничена выбором из первых k целых чисел. Примечание 2 - Периодический систематический отбор обычно используют для получения выборки, которая является случайной по отношению к некоторым характеристикам (1.1.1), о которых известно, что они являются независимыми и на систематической основе. Примечание 3 - Одним из оснований систематизации может быть порядок производства. Однако при этом следует проявлять внимание. Если брать каждую 6-ю, 12-ю или 18-ю единицу (1.2.11), изготовленные на шести станках, маловероятно, что выборка будет репрезентативна по отношению к изготовленной этими станками продукции. | en | periodic systematic sampling |
fr | ![]() | |
1.3.14 локальный систематический отбор: Систематический отбор (1.3.12), при котором выборку (1.2.17) установленного объема отбирают из установленного места в материале или из установленного места, или в установленное время в потоке и считают выборку репрезентативной по отношению к данному месту или условиям. | en | spot systematic sampling |
fr | ![]() | |
1.3.15 отбор с замещением: Отбор выборки (1.3.1), при котором каждую отобранную и наблюдаемую выборочную единицу (1.2.14) возвращают в генеральную совокупность (1.2.1) до отбора следующей выборочной единицы. Примечание - В данном случае одна и та же выборочная единица может быть отобрана в выборку (1.2.17) более одного раза. | en | sampling with replacement |
fr | avec remise | |
en | sampling without replacement | |
fr | sans remise | |
en | acceptance sampling | |
fr | pour acceptation | |
1.3.18 исследовательский отбор: Отбор выборки (1.3.1), используемый в качественных или аналитических исследованиях для определения оценок одной или нескольких характеристик (1.1.1) совокупности (1.2.1) или анализа распределения этих характеристик в совокупности. Пример - Отбор выборки продукции для анализа возможностей процесса, при аудите системы для анализа степени соответствия системы требованиям стандарта. | en | survey sampling |
fr | ![]() |
2.1 Общие понятия, связанные с процессами | ||||||
2.1.1 процесс: Совокупность взаимосвязанных и взаимодействующих видов деятельности, преобразующая входы в выходы. Примечание 1 - Входами процесса обычно являются выходы других процессов. Примечание 2 - Процессы в организации, как правило, планируются и осуществляются в управляемых условиях с целью добавления ценности. Примечание 3 - Процесс, в котором подтверждение соответствия его выхода затруднено или экономически нецелесообразно, часто называют "специальным процессом". [ИСО 9000:2005, 3.4.1] | en | process | ||||
fr | processus | |||||
2.1.2 управление процессом: Скоординированная деятельность по контролю и управлению процессом (2.1.1). | en | process management | ||||
fr | management du processus | |||||
2.1.3 статистический метод: Метод сбора, анализа и интерпретации данных под воздействием случайности. Примечание - Данные могут быть количественными или не количественными, или информацией. | en | statistical method | ||||
fr | statistique | |||||
en | statistical process management | |||||
fr | gestion statistique du processus | |||||
2.1.5 планирование процесса: Управление процессом (2.1.2), направленное на установление целей процесса, требований к процессу и способов достижения этих требований. | en | process planning | ||||
fr | planification du processus | |||||
2.1.6 контроль процесса: Управление процессом (2.1.2), направленное на соответствие процесса установленным требованиям. | en | process control | ||||
fr | du processus | |||||
2.1.7 улучшение процесса: Управление процессом (2.1.2), направленное на снижение изменчивости (2.2.1) процесса, а также повышение результативности и эффективности процесса. Примечание 1 - Результативностью процесса является степень выполнения запланированных действий и достижения планируемых результатов [ИСО 9000]. Примечание 2 - Эффективностью процесса является отношение достигнутого результата к использованным ресурсам [ИСО 9000]. | en | process improvement | ||||
fr | du processus | |||||
2.1.8 статистическое управление процессом SPC: Деятельность, направленная на использование статистических методов для снижения изменчивости (2.2.1) процесса, увеличению объема знаний о процессе (2.2.1), направление процесса для достижения желаемых результатов. Примечание 1 - SPC более результативно при управлении изменчивостью характеристик (1.1.1) процесса или характеристик продукции процесса, это коррелирует с характеристикой конечной продукции и/или повышением устойчивости процесса в условиях изменчивости характеристик. Примечание 2 - Хотя первоначально SPC применялись к процессам производства материальной продукции, данное управление также применимо к процессам обслуживания и взаимодействия, например, процессу взаимодействия, включающему программное обеспечение и виртуальные данные. | en | statistical process control, SPC | ||||
fr | statistique des processus, MSP | |||||
2.1.9 план управления: Документ, описывающий элементы системы, применяемые для контроля изменчивости (2.2.1) характеристик (1.1.1) процесса (2.1.1), продукции (1.2.32) и услуг (1.2.33), и минимизирующие отклонение от их предпочтительных значений. Примечание - Документ является средством хранения информации [ИСО 9000]. Он может быть комбинацией различных типов средств хранения информации, например, это может быть бумага, магнитные, электронные или оптические компьютерные диски, фотографии и т.д. | en | control plan | ||||
fr | plan de ![]() | |||||
en | process analysis | |||||
fr | analyse du processus | |||||
2.2 Понятия, связанные с вариацией (изменчивостью) | ||||||
2.2.1 изменчивость, вариация: Разность между значениями характеристики (1.1.1). Примечание - Изменчивость часто описывают с помощью дисперсии или стандартного отклонения. | en | variation | ||||
fr | variation | |||||
2.2.2 собственная изменчивость процесса: Изменчивость (2.2.1) процесса (2.1.1), функционирующего в состоянии статистической управляемости (2.2.7). Примечание 1 - При описании этой изменчивости с помощью стандартного отклонения употребляют нижний индекс "w" (например, Примечание 2 - Данная изменчивость соответствует внутригрупповой изменчивости. | en | inherent process variation | ||||
fr | variation du processus | |||||
2.2.3 общая изменчивость процесса: Изменчивость (2.2.1) процесса (2.1.1), вызванная специальными (2.2.4) и случайными (2.2.5) причинами. Примечание 1 - При описании этой изменчивости с помощью стандартного отклонения употребляют нижний индекс "t" (например, Примечание 2 - Данная изменчивость соответствует комбинации внутригрупповой и межгрупповой изменчивости. | en | total process variation | ||||
fr | variation totale du processus | |||||
2.2.4 специальная причина: Источник вариации процесса, не являющегося собственной изменчивостью процесса (2.2.2). Примечание 1 - Иногда "специальную причину" рассматривают как синоним "причины, поддающейся определению". Однако между ними существует различие. Специальная причина поддается определению только в случае применения специальных способов идентификации. | en | special cause | ||||
fr | cause ![]() | |||||
2.2.5 случайная причина: Источник изменчивости (2.2.1) процесса, присущей процессу (2.1.1) во времени. Примечание 1 - Если изменчивость процесса обусловлена только случайными причинами, то она предсказуема внутри статистически установленных границ. Примечание 2 - Редукция данных причин обеспечивает улучшение процесса (2.1.7). Однако степень их идентификации, редукции и устранения является предметом анализа затрат/преимуществ с позиции технических и экономических возможностей. | en | random cause, common cause, chance cause | ||||
fr | cause , cause commune, cause fortuite | |||||
2.2.6 рациональная подгруппа: Подгруппа, относительно которой, как предполагают, что внутри этой подгруппы изменчивость вызвана только случайными причинами. Примечание 1 - Подгруппа - это набор данных, отобранных из продукции процесса (2.1.1) таким образом, чтобы гарантировать, что данные одной подгруппы имеют наибольшее сходство между собой, а данные разных подгрупп наибольшее различие. Для более крупной подгруппы, большей чувствительностью к сдвигам уровня процесса (2.4.13) обладают контрольные карты (2.3.1). В идеале каждое измерение (3.2.1) в подгруппе является независимым по отношению к каждому из остальных. Примечание 2 - Наиболее общим методом формирования рациональной подгруппы является сбор данных в заданные моменты времени. Данные из разных периодов времени формируют разные подгруппы. Например, каждый час выполняют измерения на пяти последовательных частях конкретной машины. Выборочную статистику (1.2.18) для подгруппы отображают на контрольной карте в соответствии со временем измерений. Это помогает обнаруживать изменчивость, связанную со временем. | en | rational subgroup | ||||
fr | sous-groupe rationnel | |||||
2.2.7 стабильный процесс; процесс в состоянии статистической управляемости: Процесс (2.1.1), подверженный воздействию только случайных причин (2.2.5). Примечание 1 - Для стабильного процесса характерно то, что выборки (1.2.17) из продукции процесса, отобранные в любой момент времени являются простыми случайными выборками (1.2.24) из одной и той же генеральной совокупности (1.2.1). Примечание 2 - Данное состояние не предполагает, что изменчивость больше или меньше внутри или вне интервала требований, установленных в спецификации (3.1.1), но эта изменчивость (2.2.1) предсказуема с помощью статистических методов. Примечание 3 - Воспроизводимость (стабильного) процесса (2.7.1) обычно улучшают посредством фундаментальных изменений, сокращающих или удаляющих некоторые случайные причины путем корректировки среднего процесса до заданного значения. Примечание 4 - В некоторых процессах среднее характеристики может иметь дрейф или может возрастать стандартное отклонение, например, при износе инструментов или снижении концентрации раствора. Прогрессирующие изменения среднего и стандартного отклонения такого процесса приписывают систематическим, а не случайным причинам. В результате невозможно получить простые случайные выборки из одной и той же генеральной совокупности. | en | stable process, process in a state of statistical control | ||||
fr | processus stable, processus en statistique | |||||
2.2.8 критерий отсутствия управляемости: Набор правил принятия решений для идентификации наличия специальных причин (2.2.4). Примечание - Правила принятия решений могут включать правила, относящиеся к точкам вне контрольных границ (2.4.2), к серии, трендам, циклам, периодичности, концентрации точек и средней линии или контрольных границ, необычному расположению точек внутри контрольных границ (большой или малый разброс) и соотношение значений внутри подгруппы. | en | out-of-control criteria | ||||
fr | ![]() | |||||
2.2.9 средняя длина серии; ARL: Среднее количество выборок (1.2.17), наносимых на контрольную карту (2.3.1), вплоть до и включая точку, которая приводит к принятию решения о наличии специальных причин (2.2.4). Примечание 1 - Если специальные причины отсутствуют, идеальное значение ARL равно бесконечности, в этом случае, решение никогда не будет принято. Практическая цель состоит в назначении больших значений ARL при отсутствии специальных причин. Примечание 2 - Обратно, при наличии специальных причин, идеальное значение ARL равно единице, в этом случае решение принимают при отборе следующей выборки. Примечание 3 - Таким образом, выбор ARL - компромисс между этими конфликтующими требованиями. Примечание 4 - Выполнение действий, соответствующих наличию специальных причин в случае их отсутствия, ведет к "избыточному управлению". Примечание 5 - Невыполнение действий, соответствующих наличию специальных причин в случае их наличия, ведет к "недостаточному управлению". | en | average run length | ||||
fr | ARL longueur moyenne d'une suite, LMS | |||||
2.3 Контрольные карты | ||||||
2.3.1 контрольная карта: График, на который наносят в установленном порядке значения статистического показателя в соответствии с последовательностью выборок (1.2.17), используемый для управления процессом (2.1.1) и снижения изменчивости (2.2.1) процесса. Примечание 1 - Порядок нанесения на карту значений обычно привязан ко времени или порядку отбора выборок. Примечание 2 - Применение контрольной карты обычно наиболее эффективно, когда на ней отражают показатель процесса, коррелированный с качеством готовой продукции или услуги. | en | control chart | ||||
fr | carte de ![]() | |||||
en | Shewhart control chart | |||||
fr | carte de de Shewhart | |||||
en | acceptance control chart | |||||
fr | carte de pour acceptation | |||||
2.3.4 контрольная карта регулировки процесса: Контрольная карта (2.3.1), использующая модель прогнозирования процесса (2.1.1), предназначенная для оценки и отражения на графике прогнозируемой тенденции изменений процесса (в случае отсутствия корректировок процесса), а также определения величины изменений, необходимых для поддержания процесса в приемлемых границах. | en | process adjustment control chart | ||||
fr | carte de d'ajustement de processus | |||||
2.3.5 контрольная карта кумулятивных сумм КУСУМ-карта: Контрольная карта (2.3.1), на которой отображают кумулятивную сумму отклонений статистик последовательных выборок от целевого значения для выявления изменений характеристики процесса. Примечание 1 - Ордината каждой нанесенной точки представляет собой алгебраическую сумму ординаты предыдущей точки и самого последнего отклонения от целевого или контролируемого значения. Примечание 2 - Наиболее эффективно выявление изменений характеристики в ситуации, когда контролируемым значением является общее среднее арифметическое. Примечание 3 - КУСУМ-карта может быть использована для контроля, диагностики и прогнозирования поведения наблюдаемой характеристики. Примечание 4 - При использовании КУСУМ-карты для контроля возможна ее интерпретация с помощью накладываемых на нее масок (например, V-маски). Сигнал возникает в том случае, когда линия кумулятивной суммы пересекает границу маски или касается ее. | en | cumulative sum control chart, CUSUM chart | ||||
fr | carte de , carte CUSUM | |||||
2.3.6 карта контроля по количественному признаку: Контрольная карта Шухарта (2.3.2), предназначенная для графического представления данных, измеряемых по непрерывной шкале. | en | variables control chart | ||||
fr | carte de par mesures | |||||
2.3.7 карта контроля по альтернативному признаку: Контрольная карта Шухарта (2.3.2), предназначенная для графического представления категоризированных данных. | en | attribute control chart | ||||
fr | carte de par attributs | |||||
2.3.8 контрольная карта числа несоответствий; c-карта: Карта контроля по альтернативному признаку (2.3.7), предназначенная для отображения числа появления определенных событий. Примечание - Величиной, характеризующей число появлений определенного события, могут быть, например, число отсутствующих, число продаж. В области качества событиями являются несоответствия и доля соответствующих единиц продукции или материала в выборках (1.2.17) фиксированного объема. Например, число дефектов на каждые 100 м ткани, ошибки в каждых 100 бухгалтерских документах. | en | c chart, count control chart | ||||
fr | carte c, carte de par comptage | |||||
2.3.9 контрольная карта числа несоответствий на единицу (продукции), u-карта: Карта контроля (2.3.7) по альтернативному признаку, предназначенная для анализа числа случайных событий на единицу продукции (1.2.14). Примечание - Величиной, характеризующей число появлений определенного события, могут быть, например, число отсутствующих и число продаж. В области качества событиями являются несоответствия и различные благоприятные возможности, относящиеся к подгруппам различного объема или количества материала. | en | u chart, count per unit control chart | ||||
fr | carte u, carte de comptage par | |||||
2.3.10 контрольная карта числа несоответствующих единиц (продукции); np-карта: Карта контроля по альтернативному признаку (2.3.7), предназначенная для анализа числа единиц продукции (1.2.14) данного класса при постоянном объеме выборки (1.2.26). Примечание - В области качества классами обычно являются классы "несоответствующих единиц продукции" (1.2.15). | en | np chart, number of categorized units control chart | ||||
fr | carte np, carte de du nombre ![]() | |||||
2.3.11 контрольная карта долей или процента; p-карта: p-карта контроля по альтернативному признаку (2.3.7) для контроля числа единиц продукции (1.2.14) данного класса по отношению к общему числу единиц продукции в выборке (1.2.17), выраженной в виде пропорции или процента. Примечание 1 - В области качества классами обычно являются классы "несоответствующих единиц продукции". Примечание 2 - Как правило, p-карты применяют в тех случаях, когда объем выборки (1.2.26) является непостоянным. Примечание 3 - Данные на карту могут быть нанесены в виде доли или процента. | en | p chart, proportion or percent categorized units control chart | ||||
fr | carte p, carte de de proportion ou, pourcentage ![]() | |||||
| ||||||
2.3.12 контрольная карта средних арифметических Xbar: Карта контроля по количественному признаку (2.36), предназначенная для оценки уровня процесса на основе средних арифметических в подгруппах. | en | Xbar control chart, average control chart | ||||
fr | carte Xbar, carte de des moyennes | |||||
en | median control chart | |||||
fr | carte de des ![]() | |||||
2.3.14 контрольная карта скользящих средних: Контрольная карта (2.3.1), предназначенная для оценки уровня процесса (2.4.13) по средним арифметическим последних n наблюдений. Примечание 1 - Такая карта особенно полезна, когда доступно только одно наблюдение в подгруппе. Примеры - характеристики процесса (1.1.1), такие как температура, давление, время. Примечание 2 - Новое наблюдение заменяет самое старое из имеющихся (n + 1) наблюдений. Примечание 3 - Недостатком карты является отсутствие весовых коэффициентов при вычислении среднего арифметического, учитывающих состав используемых точек. | en | moving average control chart | ||||
fr | carte de | |||||
2.3.15 контрольная карта индивидуальных значений X-карта: Карта контроля по количественному признаку (2.3.6), предназначенная для анализа уровня процесса (2.4.13) на основе индивидуальных наблюдений в выборке (1.2.17). Примечание 1 - Данную контрольную карту обычно применяют вместе с контрольной картой скользящих размахов с n = 2. Примечание 2 - X-карта не использует преимущества усреднения, позволяющего минимизировать случайную изменчивость (2.2.1) и использовать нормальное распределение в соответствии с центральной предельной теоремой. | en | individuals control chart, X control chart | ||||
fr | carte de d'observations, individuelles carte de X | |||||
en | EWMA control chart, exponentially weighted moving average control chart | |||||
fr | carte de EWMA, carte de exponentielle | |||||
2.3.17 контрольная карта с трендом: Контрольная карта (2.3.1), предназначенная для анализа уровня процесса (2.4.13) на основе отклонений средних арифметических по подгруппам от ожидаемого изменения уровня процесса. Примечание 1 - Тренд может быть определен экспериментально или с помощью регрессионного анализа. | en | trend control chart | ||||
fr | carte de de tendance | |||||
en | R chart, range control chart | |||||
fr | carte R, carte de ![]() | |||||
en | s chart, standard deviation control chart | |||||
fr | carte de s, carte de de ![]() | |||||
2.3.20 контрольная карта скользящих размахов: Карта контроля по количественному признаку (2.3.6), предназначенная для анализа изменчивости (2.2.1) процесса по размаху n последовательных наблюдений. Примечание - Новое наблюдение заменяет самое старое из (n + 1) последних наблюдений. | en | moving range control chart | ||||
fr | carte de mobile | |||||
en | multivariate control chart | |||||
fr | carte de pour plusieurs variables | |||||
2.3.22 контрольная карта многомерной характеристики: Карта контроля по альтернативному признаку (2.3.7), составленная для двух и более характеристик. | en | multiple characteristic control chart | ||||
fr | carte de ![]() | |||||
2.3.23 контрольная карта баллов качества: Контрольная карта многомерной характеристики (2.3.22), составленная на основе присвоения весовых коэффициентов событиям в зависимости от их значимости. | en | demerit control chart, quality score chart | ||||
fr | carte de de , carte de de score | |||||
| ||||||
en | process adjustment | |||||
fr | ajustement du processus | |||||
en | feed-forward control | |||||
fr | ![]() | |||||
en | feedback control | |||||
fr | ![]() | |||||
en | control variable | |||||
fr | mesure de ![]() | |||||
en | autocorrelation | |||||
fr | ![]() | |||||
2.4 Компоненты контрольной карты | ||||||
2.4.1 центральная линия: Линия на контрольной карте (2.3.1), представляющая собой целевое значение или хронологическое значение среднего по выборочным статистикам (1.2.18). Примечание - Центральная линия может принимать одну из двух форм: a) "стандартно заданная" центральная линия, установленная заранее; b) "не стандартно заданная" центральная линия, построенная по хронологическому среднему. | en | centre line | ||||
fr | ligne centrale | |||||
2.4.2 контрольная граница: Линия на контрольной карте, используемая для анализа стабильности процесса (2.1.1). Примечание 1 - Контрольные линии наносят на контрольную карту (2.3.1) для обозначения контрольных границ. Примечание 2 - Контрольные границы являются статистически определенными границами отклонений от центральной линии (2.4.1) статистики, нанесенной на контрольную карту Шухарта (2.3.2), происходящих под воздействием случайных причин (2.2.5). Примечание 3 - Контрольные границы построены с использованием реальных данных о процессе за исключением приемочных контрольных карт (2.3.3), которые имеют границы поля допуска (3.1.3). Примечание 4 - Кроме точек, расположенных за контрольными границами, критерий отсутствия контроля может включать требования к сериям, трендам, циклам, периодичности, необычному расположению точек внутри контрольных границ. | en | control limit | ||||
fr | limite de ![]() | |||||
2.4.3 границы предупреждения: Контрольные границы (2.4.2), внутри которых статистика находится с высокой вероятностью при условии статистической управляемости процесса (2.1.1). Примечание 1 - На контрольной карте границы предупреждения изображают линиями. Примечание 2 - Если значение статистики лежит за границами предупреждения, но внутри границ действия (3.1.15), обычно требуется дополнительное наблюдение за процессом, проводимое по установленным правилам. | en | warning limits | ||||
fr | limites de surveillance | |||||
2.4.4 границы действия: Контрольные границы (2.4.2), внутри которых наблюдаемая статистика находится с очень высокой вероятностью при условии, что процесс (2.1.1) является статистически управляемым. Примечание 1 - На контрольной карте (2.3.1) границы действия изображают линиями. Примечание 2 - Если значение статистики лежит за границами действия, предпринимают соответствующие корректирующие действия (3.1.15). | en | action limits | ||||
fr | limites d'action | |||||
2.4.5 контрольные границы Шухарта: Контрольные границы (2.4.2), основанные на эмпирических доказательствах и экономических соображениях, расположенные сверху и снизу от центральной линии (2.4.1) на расстоянии z стандартных отклонений (z - число) рассматриваемой статистики и используемые для принятия решения о статистической управляемости процесса (2.2.7). | en | Shewhart control limits | ||||
fr | limites de de Shewhart | |||||
2.4.6 вероятностные контрольные границы: Контрольные границы (2.4.2), которые вместе с центральной линией (2.4.1) определяют интервал, накрывающий рассматриваемую статистику с очень высокой предварительно установленной вероятностью, когда процесс (2.1.1) находится в статистически управляемом состоянии (2.2.7). Примечание - Построение вероятностных контрольных границ включает предварительное определение распределения (2.5.1) рассматриваемой статистики. | en | probabilistic control limits | ||||
fr | limites de probabilistes | |||||
2.4.7 приемочные контрольные границы ACL: Контрольные границы (2.4.2) приемочной контрольной карты (2.3.3), разрешающие некоторый заданный сдвиг уровня процесса (2.4.13), основанный на установленных требованиях, если изменчивость в подгруппе вызвана только случайными причинами (2.2.5) при статистически управляемом состоянии процесса. | en | acceptance control limits ACL | ||||
fr | limites de pour acceptation LCA | |||||
2.4.8 верхняя контрольная граница UCL: Контрольная граница (2.4.2), определяющая верхний контрольный предел. | en | upper control limit UCL | ||||
fr | limite de LCS | |||||
2.4.9 нижняя контрольная граница LCL: Контрольная граница (2.4.2), задающая нижний контрольный предел. | en | lower control limit LCL | ||||
fr | limite de LCl | |||||
en | indifference zone | |||||
fr | zone ![]() | |||||
en | zone of acceptable processes | |||||
fr | zone des processus acceptables | |||||
en | zone of rejectable processes | |||||
fr | zone des processus | |||||
2.4.13 уровень процесса: Значение выборочной статистики (1.2.18), нанесено на контрольную карту, как точка в зависимости от времени. | en | process level | ||||
fr | niveau du processus | |||||
en | acceptable process level APL | |||||
fr | niveau du processus acceptable NPA | |||||
en | rejectable process level, RPL | |||||
fr | niveau du processus | |||||
2.5 Основные термины, связанные с пригодностью и воспроизводимостью процесса | ||||||
2.5.1 распределение (характеристики): Информация о вероятностных свойствах характеристики (1.1.1). Примечание 1 - Распределение характеристики может быть представлено, например, упорядоченным набором значений характеристики и изображено в виде итоговой диаграммы или гистограммы результатов измерений или значений в баллах. Такая диаграмма содержит всю информацию о числовых значениях характеристики за исключением порядка данных в серии. Примечание 2 - Распределение характеристики зависит от доминирующих условий, влияющих на нее. Таким образом, при исследовании распределения характеристики должны быть установлены условия сбора данных. Примечание 3 - Важно знать класс распределений (2.5.2), например, нормальное, логнормальное и т.д. до прогнозирования или определения оценок показателей воспроизводимости и пригодности. | en | distribution | ||||
fr | distribution | |||||
2.5.2 вид распределения: Семейство распределений (2.5.1), имеющих общие параметры, полностью определяющие данное семейство распределений. Пример 1 - Двухпараметрическое, симметричное колоколообразное нормальное распределение с параметрами - средним и стандартным отклонением. Пример 2 - Трехпараметрическое распределение Вейбулла с параметрами положения, формы и масштаба (1.1.3). Пример 3 - Унимодальные непрерывные распределения. Примечание 1 - Вид распределения часто полностью определяется значениями параметров распределения. | en | class of distributions | ||||
fr | classe de distributions | |||||
2.5.3 модель распределения: Установленное распределение (2.5.1) или установленный вид распределения (2.5.2). Пример 1 - Моделью распределения такой характеристики (1.1.1) продукции, как диаметр болта, может быть нормальное распределение со средним 15 мм и среднеквадратическим отклонением 0,05 мм. В данном случае модель полностью устанавливает распределение характеристики. Пример 2 - Моделью распределения диаметра болта (см. пример 1) может быть нормальное распределение без указания конкретных значений параметров распределения. В этом случае моделью является вся совокупность нормальных распределений. | en | distribution model | ||||
fr | de distribution | |||||
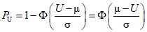
2.5.4 верхняя доля несоответствующих единиц: Доля распределения (2.5.1) значений характеристики (1.1.1), превышающих верхнюю границу поля допуска (3.1.4) U. Пример - Для нормального распределения со средним ,где PU - верхняя доля несоответствий; Ф - функция распределения стандартного нормального распределения; U - верхняя граница поля допуска. Примечание 1 - Легко доступны таблицы (или функции статистических компьютерных пакетов программ) стандартного нормального распределения, с их помощью можно определить долю выходов процесса, не соответствующих желаемому значению, например, вне границы поля допуска (3.1.3), расположенной от среднего процесса на расстоянии, равном числу стандартных отклонений. Это избавляет от работы с функцией распределения, представленной в примере. Примечание 2 - На практике вместо теоретического распределения работают с эмпирическим распределением, а параметры заменяют их оценками. | en | upper fraction nonconforming | ||||
fr | proportion de non-conformes ![]() | |||||
2.5.5 нижняя доля несоответствующих единиц pL: Доля распределения (2.5.1) значений характеристики (1.1.1), лежащих ниже нижней границы поля допуска (3.1.5) L. Пример - Для нормального распределения со средним ,где pL - нижняя доля несоответствий; Ф - функция распределения стандартного нормального распределения; L - верхняя граница поля допуска. Примечание 1 - Легко доступны таблицы (или функции статистических компьютерных пакетов программ) стандартного нормального распределения, с их помощью можно определить долю выходов процесса, не соответствующих желаемому значению, например, вне границы поля допуска (3.1.3), расположенной от среднего процесса на расстоянии, равном числу стандартных отклонений. Это избавляет от работы с функцией распределения, представленной в примере. Примечание 2 - На практике вместо теоретического распределения работают с эмпирическим распределением, а параметры заменяют их оценками. | en | lower fraction nonconforming | ||||
fr | proportion de non-conformes ![]() | |||||
2.5.6 общая доля несоответствующих единиц pt: Сумма верхней доли несоответствий (2.5.4) и нижней доли несоответствий (2.5.5). ,где pt - общая доля несоответствий; Ф - функция распределения стандартного нормального распределения; U - верхняя граница поля допуска; L - нижняя граница поля допуска. Примечание 1 - Легко доступны таблицы (или функции статистических компьютерных пакетов и программ) стандартного нормального распределения, с их помощью можно определить долю выходов процесса, не соответствующих желаемому значению, например, вне границы поля допуска (3.1.3), расположенных от среднего процесса на расстоянии, равном числу стандартных отклонений. Это избавляет от работы с функцией распределения, представленной в примере. Примечание 2 - На практике вместо теоретического распределения работают с эмпирическим распределением, а параметры заменяют их оценками. | en | total fraction nonconforming | ||||
fr | proportion de non-conformes totale | |||||
2.5.7 опорный интервал: Интервал, границами которого являются квантили распределения X99,865% и X0,135% уровней значимости 99,865% и 0,135% соответственно. Примечание 1 - Опорный интервал представляют в виде (X99,865%, X0,135%), длина интервала равна разности квантилей X99,865% - X0,135%. Примечание 2 - Термин "опорный интервал" используют только как арбитражный, но стандартизованный при определении индекса пригодности процесса (2.6.2) и индекса воспроизводимости процесса (2.7.2). Примечание 3 - Для нормального распределения (2.5.1) длина опорного интервала равна шести стандартным отклонениям Примечание 4 - Для других распределений длину опорного интервала можно оценить с помощью вероятностной бумаги (например, логнормальной) или на основе выборочных оценок коэффициентов эксцесса и асимметрии, используя методы, описанные в литературе по статистическим методам. Примечание 5 - Квантиль (или фрактиль) указывает точку деления функции распределения в долях, а процентиль - в процентах. Определение квантиля приведено в ИСО 3534-1. | en | reference interval | ||||
fr | intervalle de ![]() | |||||
2.5.8 нижний опорный интервал: Интервал, границами которого являются квантили распределения X50% и X0,135% уровней 50% и 0,135% соответственно. Примечание 1 - Нижний опорный интервал представляют в виде (X50%, X0,135%), длина интервала равна разности квантилей X50% - X0,135%. Примечание 2 - Термин "нижний опорный интервал" используют только как арбитражный, но стандартизированный при определении нижнего индекса пригодности процесса (2.6.3) и нижнего индекса воспроизводимости процесса (2.7.3). Примечание 3 - Для нормального распределения (2.5.1) длина опорного интервала равна трем среднеквадратическим отклонениям Примечание 4 - Для других распределений с помощью вероятностной бумаги (например, логнормальной) или на основе выборочных оценок коэффициентов эксцесса и асимметрии, используя методы, описанные в литературе по статистическим методам. | en | lower reference interval | ||||
fr | intervalle de ![]() | |||||
2.5.9 верхний опорный интервал: Интервал, границами которого являются квантили распределения X99,865% и X50% уровней 99,865% и 50% соответственно. Примечание 1 - Верхний опорный интервал представляют в виде (X50%, X99,865%), длина интервала равна разности квантилей X50% - X99,865%. Примечание 2 - Термин "верхний опорный интервал" используют только как арбитражный, но стандартизированный при определении верхнего индекса пригодности процесса (2.6.4) и верхнего индекса воспроизводимости процесса (2.7.4). Примечание 3 - Для нормального распределения (2.5.1) длина верхнего опорного интервала равна трем среднеквадратическим отклонениям Примечание 4 - Для других распределений квантиль X50% уровня 50% является медианой, а квантиль X99,865% уровня 99,865% можно оценить с помощью вероятностной бумаги (например, логнормальной) или на основе выборочных оценок коэффициентов эксцесса и асимметрии, используя методы, описанные в ISO/TR 22514-4. | en | upper reference interval | ||||
fr | intervalle de ![]() | |||||
2.6 Показатели пригодности процесса (измеримые данные) | ||||||
2.6.1 показатель пригодности процесса: Статистический показатель, определяемый по выходной характеристике (1.1.1) процесса (2.1.1), используемый для описания процесса, пребывание которого в состоянии статистической управляемости (2.2.7) не подтверждено. Примечание 1 - Для выходной характеристики необходимо определить вид распределения (2.5.2), которому она подчиняется, и оценить его параметры. Примечание 2 - При использовании данного показателя необходимо учитывать, что он может быть подвержен изменчивости, вызванной специальными причинами (2.2.4), значение которых неизвестно. Примечание 3 - Для нормального распределения характеристики оценка стандартного отклонения процесса St, определенная по единственной выборке (1.2.17) объема N имеет вид: ,где . | en | process performance | ||||
fr | performance du processus | |||||
Примечание 4 - В случае нормального распределения в качестве оценки показателя пригодности процесса используют .Выбор значения z зависит от требований к пригодности процесса, заданных в единицах продукции на миллион. Обычно присваивают значения 3, 4 или 5. Если показатель воспроизводимости процесса соответствует установленным требованиям, z = 3 означает наличие в среднем 2700 единиц продукции на миллион за пределами требований (3.1.1), z = 4 означает наличие в среднем 64 единиц продукции, не соответствующих установленным требованиям на миллион, а z = 5 означает наличие в среднем 0,6 таких единиц продукции на миллион. Примечание 5 - Для других распределений показатель пригодности можно оценить, используя, например, вероятностную бумагу или параметры распределения, соответствующие данным. Выражение для оценки показателя пригодности процесса принимает в этом случае форму Обозначение | ||||||
2.6.2 индекс пригодности процесса Pp: Индекс, отражающий параметр пригодности процесса (2.6.1) относительно поля допуска (3.1.6). Примечание 1 - Обычно индекс пригодности процесса выражают в виде отношения длины поля допуска к длине опорного интервала (2.5.7) .Примечание 2 - Для нормального распределения (2.5.1) длина опорного интервала равна 6St (см. 2.6.1, примечание 3). Примечание 3 - Для других распределений длину опорного интервала можно оценить, используя, например, метод вероятностной бумаги или метод кривой Пирсона. | en | process performance index | ||||
fr | indice de performance du processus | |||||
2.6.3 нижний индекс пригодности процесса PpkL: Индекс, отражающий устойчивость показателя пригодности процесса (2.6.1) относительно нижней границы поля допуска (3.1.5) L. Примечание 1 - Обычно нижний индекс пригодности процесса выражают в виде квантиля распределения X50% и нижней границы поля допуска (3.1.5), деленной на длину нижнего опорного интервала (2.5.8) .Примечание 2 - Для нормального распределения длина нижнего опорного интервала равна 3St (см. 2.6.1, примечание 3), а X50% представляет собой математическое ожидание и медиану распределения. Примечание 3 - Для других распределений длину нижнего опорного интервала можно оценить, используя метод вероятностной бумаги или метод кривых Пирсона, а X50% представляет собой медиану распределения. | en | lower process performance index | ||||
fr | indice de performance du processus ![]() | |||||
2.6.4 верхний индекс пригодности процесса PpkU: Индекс, отражающий устойчивость показателя пригодности процесса (2.6.1) относительно верхней границы поля допуска (3.1.4) U. Примечание 1 - Верхний индекс пригодности процесса выражают в виде квантиля распределения X50% и верхней границы поля допуска, деленной на длину верхнего опорного интервала (2.5.9) .Примечание 2 - Для нормального распределения длина верхнего опорного интервала равна 3St (см. 2.6.1, примечание 3), а X50% представляет собой математическое ожидание и медиану распределения. Примечание 3 - Для других распределений длину верхнего опорного интервала можно оценить, используя метод вероятностной бумаги или метод кривых Пирсона, а X50% представляет собой медиану распределения. | en | upper process performance index | ||||
fr | indice de performance du processus ![]() | |||||
en | minimum process performance index | |||||
fr | indice de performance du processus minimal | |||||
2.6.6 обратный индекс пригодности процесса: Величина обратная к индексу пригодности процесса (2.6.2). Примечание - Часто обратный индекс пригодности процесса выражают в процентах. | en | process performance ratio | ||||
fr | rapport de performance du processus | |||||
2.7 Показатели воспроизводимости процесса (измеримые данные) | ||||||
2.7.1 показатель воспроизводимости процесса: Статистический показатель, оцениваемый на основе выходной характеристики (1.1.1) процесса (2.1.1), находящегося в состоянии статистической управляемости (2.2.7), отражающий способность процесса поддерживать выходную характеристику процесса на уровне установленных к ней требований. Примечание 1 - Для выходной характеристики необходимо определить вид (2.5.2) распределения (2.5.1), которому она подчиняется, и оценить его параметры. Примечание 2 - В случае нормального распределения оценку полного стандартного отклонения процесса ![]() где Si - выборочная оценка стандартного отклонения i-й подгруппы; m - число подгрупп объема n каждая; d2, c4 - константы, соответствующие подгруппе объема n (см. ИСО 8258 <1>). Для процесса в состоянии статистической управляемости оценки St и Sw сходятся. Сравнение этих двух оценок позволяет оценить уровень стабильности процесса. Для неконтролируемого процесса с постоянным средним или для процесса со систематически изменяющимся средним (см. 2.2.7, примечание 4) значение Sw существенно занижает стандартное отклонение процесса. Таким образом, оценку Sw необходимо использовать с большой осторожностью. Иногда оценка St является более предпочтительной, чем Sw из-за своих статистических свойств (например, более простого вычисления границ доверительного интервала). | en | process capability | ||||
fr | aptitude du processus | |||||
Примечание 3 - В случае нормального распределения в качестве оценки показателя воспроизводимости процесса используют ,где ,Выбор значения z зависит от требований к воспроизводимости процесса, заданных в единицах продукции на миллион. Обычно присваивают значения 3, 4 или 5. Если показатель воспроизводимости процесса соответствует установленным требованиям, z = 3 означает наличие в среднем 2700 единиц продукции на миллион за пределами требований (3.1.1), z = 4 означает наличие в среднем 64 единиц продукции, не соответствующих установленным требованиям на миллион, а z = 5 означает наличие в среднем 0,6 таких единиц продукции на миллион. | ||||||
Примечание 4 - Для других распределений показатель воспроизводимости процесса можно оценить, используя, например, вероятностную бумагу или параметры распределения, соответствующие данным. Выражение для оценки показателя воспроизводимости процесса принимает в этом случае асимметричную форму Обозначение Примечание 5 - При использовании формулы необходимо помнить, что оценка Sw- становится менее эффективной при увеличении объема подгрупп; - чрезвычайно чувствительна к виду распределения; - не позволяет легко определять границы доверительного интервала. | ||||||
2.7.2 индекс воспроизводимости процесса Cp: Индекс, отражающий устойчивость показателя воспроизводимости процесса (2.7.1) относительно установленного поля допуска (3.1.6). Примечание 1 - Часто индекс воспроизводимости процесса выражают в виде разности границ поля допуска, деленной на длину опорного интервала (2.5.7) для процесса в состоянии статистической управляемости (2.2.7) .Примечание 2 - Для нормального распределения длина опорного интервала равна 6S (см. 2.7.1, примечания). Примечание 3 - Для других распределений длину опорного интервала можно оценить, используя метод, представленный в ISO/TR 22514-4. | en | process capability index | ||||
fr | indice d'aptitude du processus | |||||
2.7.3 нижний индекс воспроизводимости процесса CpkL: Индекс, отражающий устойчивость показателя воспроизводимости процесса (2.7.1) относительно нижней границы поля допуска (3.1.5) L. Примечание 1 - Часто нижний индекс воспроизводимости процесса выражают в виде разности квантиля X50% и нижней границы поля допуска, деленной на длину нижнего опорного интервала (2.5.8) для процесса в состоянии статистической управляемости (2.2.7) .Примечание 2 - Для нормального распределения длина нижнего опорного интервала равна 3S (см. 2.7.1, примечания), а X50% представляет собой среднее и медиану. Примечание 3 - Для других распределений длину опорного интервала можно оценить, используя метод, представленный в ISO/TR 22514-4. X50% представляет собой медиану. | en | lower process capability index | ||||
fr | indice d'aptitude du processus ![]() | |||||
2.7.4 верхний индекс воспроизводимости процесса CpkU: Индекс, отражающий устойчивость показателя воспроизводимости процесса (2.7.1) относительно верхней границы поля допуска (3.1.4) U. Примечание 1 - Часто верхний индекс воспроизводимости процесса выражают в виде разности верхней границы поля допуска и квантиля X50%, деленной на длину нижнего опорного интервала (2.5.9) для процесса в состоянии статистической управляемости (2.2.7) .Примечание 2 - Для нормального распределения длина нижнего опорного интервала равна 3S (см. 2.7.1, примечания), а X50% представляет собой среднее и медиану. Примечание 3 - Для других распределений длину верхнего опорного интервала можно оценить, используя метод, представленный в ISO/TR 22514-4. X50% представляет собой медиану. | en | upper process capability index | ||||
fr | indice d'aptitude du processus ![]() | |||||
en | minimum process capability index | |||||
fr | indice d'aptitude du processus minimal | |||||
2.7.6 обратный индекс воспроизводимости процесса: Величина, обратная к индексу воспроизводимости процесса (2.7.2). Примечание - Обратный индекс воспроизводимости процесса часто выражают в процентах. | en | process capability ratio | ||||
fr | rapport d'aptitude du processus | |||||
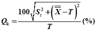
2.7.7 индекс вариации процесса Qk: показатель изменчивости (2.2.1) процесса, выраженный в терминах целевого значения (3.1.2). Примечание 1 - Если целевое значение T не равно нулю, индекс имеет вид: .Примечание 2 - Если имеется дрейф процесса от целевого значения или возрастает изменчивость процесса (2.1.1), значение индекса возрастает. При индексе, близком к нулю, процесс близок к своему целевому значению. | en | process variation index | ||||
fr | indice de variation de processus | |||||
3.1 Понятия, связанные с требованиями | ||||||
[ИСО 9000:2005, 3.7.3] Примечание 1 - Требования могут быть заданы в любой форме, записаны на бумаге, компьютерном диске или заданы в виде эталонной выборки (1.2.17). Примечание 2 - Обычно для данного термина необходимо уточнение: требования к продукции, требования к процессу, требования к испытаниям, требования к производству. Примечание 3 - При приемочном контроле (1.3.17) соответствует критерию приемки, хотя отдельные элементы (1.2.11) выборки могут не соответствовать предъявляемым к ним требованиям. Примечание 4 - По возможности желательно, чтобы требования были представлены в количественной форме в подходящих для этого единицах (1.2.14) с указанием соответствующих границ. Если этого нет, то необходимо иметь критерий проверки соответствия и принятия решения. Критерием может быть, например, эталонный образец, эталонная выборка или фотография. | en | specification | ||||
fr | ![]() | |||||
en | target value, nominal value | |||||
fr | valeur cible, valeur nominale | |||||
3.1.3 граница поля допуска: Предельное значение, установленное для характеристики (1.1.1). | en | specification limit | ||||
fr | limite de ![]() | |||||
3.1.4 верхняя граница поля допуска U: Граница поля допуска (3.1.3), устанавливающая верхнее предельное значение. | en | upper specification limit | ||||
fr | limite de ![]() | |||||
3.1.5 нижняя граница поля допуска L: Граница поля допуска (3.1.3), устанавливающая нижнее предельное значение. | en | lower specification limit | ||||
fr | limite de ![]() | |||||
en | specified tolerance | |||||
fr | ![]() | |||||
3.1.7 единственная граница поля допуска: Граница поля допуска (3.1.3) в случае, когда критерий принятия решения применяют только к одному ограничению. | en | single specification limit | ||||
fr | limite de simple | |||||
3.1.8 граница поля допуска с двумя границами при объединенном контроле: Граница поля допуска (3.1.3) в случае, когда критерий принятия решения применяют совместно к верхней и нижней границам поля допуска. | en | combined double specification limit | ||||
fr | limite de double ![]() | |||||
3.1.9 граница поля допуска с двумя границами при индивидуальном контроле: Граница поля допуска (3.1.3) в случае, когда критерий принятия решения применяют отдельно к каждой границе поля допуска. | en | separate double specification limit | ||||
fr | limite de double ![]() | |||||
3.1.10 граница поля допуска с двумя границами при сложном контроле: Граница поля допуска (3.1.3) в случае, когда применяют два набора критериев; один набор применяют совместно к верхней и нижней границам, другой - отдельно к одной из границ. | en | complex double specification limit | ||||
fr | limite de double complexe | |||||
[ИСО 9000:2005, 3.6.2] Примечание - См. примечание к термину "дефект" (3.1.12). | en | nonconformity | ||||
fr | ![]() | |||||
Примечание 1 - Различие между понятиями дефект и несоответствие (3.1.11) является важным, так как имеет юридический аспект, в частности, он связан с юридическими вопросами производства продукции. Следовательно, термин "дефект" следует использовать чрезвычайно осторожно. Примечание 2 - Предназначенное использование продукции потребителем зависит от информации о продукции, такой как инструкции по эксплуатации и техническому обслуживанию продукции, предоставляемой поставщиком. [ИСО 9000:2005, 3.6.3] | en | defect | ||||
fr | ||||||
3.1.13 недостаток: Отклонение уровня характеристики (1.1.1) предпочтительного или установленного уровня или состояния (3.5.3), приемлемые или неприемлемые, в зависимости от интерпретации требований и ожиданий конкретного потребителя. Примечание 1 - Достижение совершенства для каждой или всех характеристик в реальной жизни может быть невыполнимо. Поэтому для количественных характеристик назначают поле допуска (3.1.6), а для качественных характеристик определяют классы, такие как "отличная", "минимально приемлемая". Примечание 2 - Интерпретация недостатков представляет собой их общую классификацию. Каждый вид недостатка обычно идентифицируют по наименованию (например, незначительные царапины или пятна). | en | imperfection | ||||
fr | imperfection | |||||
3.1.14 предупреждающее действие: Действие, предпринятое для устранения причины потенциального несоответствия (3.1.11) или другой потенциально нежелательной ситуации. Примечание 1 - Потенциальное несоответствие может иметь несколько причин. Примечание 2 - Предупреждающее действие предпринимают для предотвращения возникновения события, а корректирующее действие (3.1.15) - для предотвращения повторного возникновения события. [ИСО 9000:2005, 3.6.4] | en | preventive action | ||||
fr | action ![]() | |||||
3.1.15 корректирующее действие: Действие, предпринятое для устранения причины несоответствия (3.1.11) и предупреждения его повторного возникновения. Примечание 1 - Несоответствие может иметь несколько причин. Примечание 2 - Корректирующее действие предпринимают для предотвращения повторного возникновения события, а предупреждающее действие (3.1.14) - для предотвращения возникновения события. Примечание 3 - Следует различать термины коррекция (3.1.16) и корректирующее действие. [ИСО 9000:2005, 3.6.5] | en | corrective action | ||||
fr | action corrective | |||||
3.1.16 коррекция: Действие, предпринятое для устранения обнаруженного несоответствия (3.1.11). Примечание 1 - Коррекция может быть выполнена вместе с корректирующим действием (3.1.15). Примечание 2 - Коррекция может включать в себя, например, переделку или изменение градации. [ИСО 9000:2005, 3.6.6] | en | correction | ||||
fr | correction | |||||
3.2 Определение характеристик и величин | ||||||
3.2.1 измерение: Процесс экспериментального получения одного или более значений величины, которые могут быть обоснованно приписаны величине [VIM:1993, 2.1] Примечание 1 - В данном определении величина может быть либо "базовой", такой как масса, длина, время или "производной", например, такой как скорость (длина, деленная на время). Примечание 2 - Измерение ограничено определением величин, тогда как термин испытание (3.2.3) используют в более широком смысле как определение характеристик (1.1.1) посредством измерений или других средств, таких как количественный анализ, классификация или определение наличия или отсутствия характеристики. | en | measurement | ||||
fr | mesurage | |||||
3.2.2 измеряемая величина: Величина, подлежащая измерению (3.2.1). [VIM:1993, 2.6] <1> | en | measurand | ||||
fr | mesurande | |||||
3.2.3 испытание: Техническая операция, которая состоит из определения одной или нескольких характеристик (1.1.1) продукции (1.2.32), процесса (2.1.1) или услуги (1.2.33) в соответствии с установленной процедурой. Примечание 1 - Измерение (3.2.1) ограничено определением значения величин, тогда как термин испытание используют в более широком смысле как определение характеристик посредством измерения или других средств, таких как количественный анализ, классификация или определение наличия или отсутствия характеристики. Примечание 2 - Пояснения к термину "величина" см. в примечании 1 к 3.2.1. | en | test | ||||
fr | essai | |||||
en | test characteristic | |||||
fr | d'essai | |||||
3.2.5 истинное значение: Значение, которое характеризует величину или количественную характеристику (1.1.1), полностью определенную в условиях, при которых ее рассматривают. Примечание 1 - Истинное значение величины или количественной характеристики - теоретическое понятие и, как правило, не может быть известно точно. Примечание 2 - Пояснения к термину "величина" см. в примечании 1 к 3.2.1. | en | true value | ||||
fr | valeur vraie | |||||
3.2.6 условное истинное значение: Значение величины или количественной характеристики (1.1.1), которая для данных целей заменяет истинное значение (3.2.5). Пример - В организации значение, установленное стандартом, может быть использовано как условное истинное значение величины или количественной характеристики, представленной в стандарте. Примечание 1 - Условное истинное значение обычно рассматривают как достаточно близкое к истинному значению, и считают, что для данных целей их разностью можно пренебречь. Примечание 2 - Пояснения к термину "величина" см. в примечании 1 к 3.2.1. | en | conventional true value | ||||
fr | valeur conventionnellement vraie | |||||
| ||||||
3.2.7 принятое опорное значение: Значение, которое служит в качестве согласованного образца для сравнения. Примечание - Принятое опорное значение определяют как: b) приписанное или аттестованное значение, основанное на экспериментальных работах какой-либо национальной или международной организации; | en | accepted reference value | ||||
fr | valeur de ![]() | |||||
3.2.8 наблюдаемое значение: Полученное значение величины или характеристики (1.1.1). Примечание 1 - Пояснения к термину "величина" см. в примечании 1 к 3.2.1. Примечание 2 - Наблюдаемое значение может быть комбинацией результата испытаний (3.4.1) и результата измерений (3.4.2). Например, плотность стержня может включать комбинацию наблюдаемых значений длины диаметра и массы. Примечание 3 - В литературе по статистике термин "наблюдение" часто используют как синоним термина наблюдаемое значение. | en | observed value | ||||
fr | valeur ![]() | |||||
3.3 Свойства методов испытаний и измерений | ||||||
3.3.1 точность: Степень близости результата испытаний (3.4.1) или измерений (3.4.2) к истинному значению (3.2.5). Примечание 1 - На практике истинное значение заменяют принятым опорным значением (3.2.7). Примечание 2 - При применении к набору результатов испытаний или измерений, "точность" включает комбинацию случайных компонент и общей систематической ошибки или смещения. | en | accuracy | ||||
fr | exactitude | |||||
3.3.2 смещение: Разность между математическим ожиданием результатом измерений (3.4.1) или испытаний (3.4.2) и истинным значением (3.2.5). Примечание 1 - В противоположность случайной ошибке, смещение является общей систематической ошибкой. В смещение может вносить вклад одна или несколько составляющих систематической ошибки. Большие значения смещения отражают большое систематическое отличие от истинного значения. Примечание 2 - Смещение средств измерений обычно определяют в виде среднего арифметического ошибки показаний по результатам соответствующего числа повторных измерений. Ошибка показания - это "показание минус истинное значение, соответствующее измеряемой величине". Примечание 3 - На практике истинное значение заменяют принятым опорным значением (3.2.7). | en | bias | ||||
fr | biais | |||||
3.3.3 правильность: Близость оценки математического ожидания, полученной на основании результатов испытаний (3.4.1) или измерений (3.4.2) к истинному значению (3.2.5). Примечание 1 - Показателем правильности обычно является смещение (3.3.2). Примечание 2 - Правильность понимают иногда как "точность выборочного среднего". Однако такое употребление не рекомендуется. Примечание 3 - На практике истинное значение заменяют принятым опорным значением (3.2.7). | en | trueness | ||||
fr | justesse | |||||
3.3.4 прецизионность: Близость друг к другу независимых результатов измерений/испытаний (3.4.3), полученных в конкретных регламентированных условиях. Примечание 1 - Прецизионность зависит только от распределения случайных погрешностей и не имеет отношения к истинному (3.2.5) или установленному значению измеряемой величины. | en | precision | ||||
fr | ![]() | |||||
Примечание - Повторяемость может быть выражена количественно в терминах дисперсии характеристик (1.1.1) результатов. | en | repeatability | ||||
fr | ![]() | |||||
3.3.6 условия повторяемости: Условия наблюдений, при которых независимые результаты испытаний/измерений (3.4.3) получают одним и тем же методом на идентичных объектах испытаний/измерений (1.2.34) в одной и той же лаборатории, одним и тем же оператором с использованием одного и того же оборудования в пределах короткого промежутка времени. Примечание - Условия повторяемости включают: - одни и те же процедуры измерений/испытаний; - одного и того же оператора; - одно и то же измерительное/испытательное оборудование, используемое в одних и тех же условиях; - одно и то же территориальное расположение; - повторение в течение короткого промежутка времени. | en | repeatability conditions | ||||
fr | conditions de ![]() | |||||
3.3.7 стандартное отклонение повторяемости: Стандартное отклонение результатов испытаний (3.4.1) или измерений (3.4.2), полученных в условиях повторяемости (3.3.6). Примечание 1 - Это отклонение является мерой рассеяния результатов испытаний или измерений в условиях повторяемости. Примечание 2 - Подобным образом можно ввести и использовать понятия "дисперсии повторяемости" и "коэффициента вариации повторяемости" в качестве характеристик рассеяния результатов испытаний или измерений в условиях повторяемости. | en | repeatability standard deviation | ||||
fr | de ![]() | |||||
3.3.8 критическая разность повторяемости: Ожидаемое с установленной вероятностью значение, меньше или равное абсолютному значению разности двух финальных значений, каждое из которых представляет серию результатов испытаний (3.4.1) или измерений (3.4.2), полученных в условиях повторяемости (3.3.6). Пример - Финальные значения: среднее и медиана серии результатов; сама серия может состоять только из одного результата. | en | repeatability critical difference | ||||
fr | critique de ![]() | |||||
3.3.9 предел повторяемости r: Критическая разность повторяемости (3.3.8) для установленного уровня вероятности 95%. | en | repeatability limit | ||||
fr | limite de ![]() | |||||
Примечание 1 - Воспроизводимость может быть выражена количественно в терминах дисперсии характеристики (1.1.1) результата. Примечание 2 - Под результатами обычно понимают корректные результаты. | en | reproducibility | ||||
fr | ![]() | |||||
en | reproducibility conditions | |||||
fr | conditions de ![]() | |||||
3.3.12 стандартное отклонение воспроизводимости: Стандартное отклонение результатов испытаний (3.4.1) или измерений (3.4.2), полученных в условиях воспроизводимости (3.3.11). Примечание 1 - Этот указатель является мерой рассеяния результатов испытаний или измерений в условиях воспроизводимости (3.3.11). Примечание 2 - Подобным образом можно ввести и использовать понятия "дисперсии воспроизводимости" и "коэффициента вариации воспроизводимости" в качестве характеристик рассеяния результатов испытаний или измерений в условиях воспроизводимости. | en | reproducibility standard deviation | ||||
fr | de ![]() | |||||
3.3.13 критическая разность воспроизводимости: Ожидаемое с установленной вероятностью значение, меньше или равное абсолютному значению разности двух финальных значений, каждое из которых представляет серию результатов испытаний (3.4.1) или измерений (3.4.2), полученных в условиях воспроизводимости (3.3.11). Пример - Финальные значения: среднее и медиана, полученные по серии результатов; сама серия может состоять только из одного результата. | en | reproducibility critical difference | ||||
fr | critique de ![]() | |||||
3.3.14 предел воспроизводимости R: Критическая разность воспроизводимости (3.3.13) для установленного уровня вероятности 95%. | en | reproducibility limit | ||||
fr | limite de ![]() | |||||
en | intermediate precision | |||||
fr | ![]() | |||||
3.3.16 условия промежуточной прецизионности: Условия, при которых результаты испытаний (3.4.1) или измерений (3.4.2) получают одним и тем же методом на идентичных объектах испытаний/измерений (1.2.34) в одних и тех же лабораториях и некоторых других условиях работы, которые могут отличаться. Примечание 1 - Существует четыре элемента условий работы: время, калибровка, оператор, оборудование. Примечание - Помещение для испытаний, метрологическая лаборатория - примеры лаборатории. | en | intermediate precision conditions | ||||
fr | conditions de ![]() | |||||
en | intermediate precision standard deviation | |||||
fr | de la ![]() | |||||
3.3.18 критическая разность промежуточной прецизионности: Ожидаемое с установленной вероятностью значение, менее или равное абсолютному значению разности двух финальных значений, каждое из которых представляет серию результатов испытаний (3.4.1) или измерений (3.4.2), полученных в условиях промежуточной прецизионности (3.3.16). | en | intermediate precision critical difference | ||||
fr | critique de la ![]() | |||||
3.3.19 предел промежуточной прецизионности: Критическая разность промежуточной прецизионности (3.3.18) для установленного уровня вероятности 95%. | en | intermediate precision limit | ||||
fr | limite de ![]() | |||||
3.4 Свойства результатов измерений и испытаний | ||||||
3.4.1 результат испытаний: Значение характеристики (1.1.1), полученное путем выполнения регламентированного метода испытаний. Примечание 1 - В нормативном документе на метод испытаний должно быть установлено сколько (одно или несколько) единичных наблюдений должно быть выполнено, а их среднее арифметическое или другая соответствующая функция, такая как медиана или стандартное отклонение должны быть зафиксированы в качестве результата испытаний. Может потребоваться введение стандартных поправок (например, таких как приведение объема газа к нормальной температуре и давлению). Таким образом, результат испытаний может быть представлен как результат, рассчитанный по нескольким наблюдаемым значениям (3.2.8). В простейшем случае результат испытаний является собственно наблюдаемым значением. Примечание 2 - Метод испытаний определен в ИСО/МЭК Руководство 2, как установленная техническая процедура проведения испытаний. | en | test result | ||||
fr | d'essai | |||||
3.4.2 результат измерений: Значение характеристики, полученное путем выполнения регламентированной процедуры измерений. Примечание 1 - Процедура измерений определена в VIM как "набор операций, используемых для выполнения конкретных измерений в соответствии с заданным методом". Обычно процедура детально проработана, что позволяет оператору выполнять измерения без использования дополнительной информации. Примечание 2 - Пояснение к термину "величина" приведено в примечании 1 к 3.2.1. | en | measurement result | ||||
fr | de mesure | |||||
en | independent test/measurement results | |||||
fr | d'essai / de mesure ![]() | |||||
3.4.4 ошибка результата: Результат измерений (3.4.1) (испытаний) (3.4.2) минус истинное значение (3.2.5) величины. Примечание 1 - На практике истинное значение заменяют на принятое опорное значение (3.2.7). Примечание 2 - Ошибка является суммой случайных ошибок и систематических ошибок. Примечание 3 - Пояснение к термину "величина" дано в примечании 1 к 3.2.1 | en | error of result | ||||
fr | erreur de ![]() | |||||
3.4.5 неопределенность: Параметр, связанный с результатом измерений (3.4.2) или испытаний (3.4.1), характеризующий рассеяние значений, которые могут быть обоснованно приписаны измеряемой величине или характеристике (1.1.1), исследуемой в процессе испытаний (3.2.3). Примечание 1 - Данное определение согласовано с определением, представленным в VIM, но отличается от него включением характеристики, исследуемой в процессе испытаний. Примечание 2 - "Параметр" определен в ИСО 3534-1. Параметром может быть, например, стандартное отклонение или кратная ему величина. Примечание 3 - Неопределенность результатов измерений или испытаний обычно включает много составляющих. Некоторые из них могут быть получены на основе статистического распределения результатов серий измерений и охарактеризованы в терминах стандартных отклонений. Другие составляющие, которые также могут быть охарактеризованы в терминах стандартных отклонений, вычисляют на основе предполагаемого распределения выбранного на основе опыта или другой информации. Примечание 4 - Составляющие неопределенности включают составляющие, возникающие вследствие систематических воздействий, связанных с поправками и рекомендуемыми стандартами, которые вносят свой вклад в рассеяние результатов. Примечание 5 - Неопределенность отличают от оценки, связанной с результатами испытаний или измерений, характеризующей диапазон значений, которое накрывает математическое ожидание. Такая оценка является мерой прецизионности (3.3.4), а не точности (3.3.1), и должна быть использована только, если истинное значение (3.2.5) не определено. Когда вместо истинного значения используют математическое ожидание, употребляют выражение "случайная составляющая неопределенности". | en | uncertainty | ||||
fr | incertitude | |||||
3.4.6 случайная ошибка результата: Компонент ошибки результата (3.4.4), который в серии результатов испытаний (3.4.1) или измерений (3.4.2) одной и той же характеристики (1.1.1) или величины изменяется непредсказуемым образом. Примечание - Случайную ошибку невозможно корректировать. | en | random error of result | ||||
fr | erreur de ![]() | |||||
3.4.7 систематическая ошибка результата: Компонент ошибки результата (3.4.4), который в серии результатов испытаний (3.4.1) или измерений (3.4.2) одной и той же характеристики (1.1.1) или величины остается постоянным или изменяется предсказуемым образом. Примечание - Систематическая ошибка и ее причины могут быть как известны, так и неизвестны. | en | systematic error of result | ||||
fr | erreur de ![]() | |||||
3.4.8 расширенная неопределенность: Величина, характеризующая интервал вокруг результата измерений (3.2.1), в котором можно ожидать находится большая часть значений распределения, которые с достаточным основанием могут быть приписаны измеряемой величине (3.2.2). [GUM:1995, 2.35] | en | expanded uncertainty | ||||
fr | incertitude | |||||
3.5 Способность обнаружения | ||||||
3.5.1 система: В задачах обнаружения - все факторы, составляющие процесс (2.1.1), а также связанные с ним. | en | system | ||||
fr | ![]() | |||||
3.5.2 характеристика системы: Отличительная особенность системы (3.5.1). | en | system characteristic | ||||
fr | de ![]() | |||||
en | state | |||||
fr | ||||||
en | actual state | |||||
fr | ||||||
en | basic state | |||||
fr | ||||||
en | reference state | |||||
fr | ![]() | |||||
3.5.7 переменная состояния: В задачах обнаружения - количественная характеристика (1.1.1), описывающая состояние (3.5.3) системы (3.5.1). Пример - Концентрация или количество вещества в смеси. | en | state variable | ||||
fr | variable | |||||
en | net state variable | |||||
fr | variable | |||||
en | critical value of the net state variable | |||||
fr | valeur critique de la variable | |||||
3.5.10 минимальное обнаруживаемое значение приведенной переменной состояния: В задачах обнаружения - истинное значение (3.2.5) приведенной переменной состояния (3.5.8) в действительном состоянии (3.5.4), которое с вероятностью единица минус вероятность ошибки приводит к решению о том, что система не находится в базовом состоянии (3.5.5). | en | minimum detectable value of the net state variable | ||||
fr | valeur minimale de la variable | |||||
en | measurement series | |||||
fr | ||||||
en | calibration function | |||||
fr | fonction ![]() | |||||
en | calibration | |||||
fr | ![]() | |||||
en | response variable | |||||
fr | variable de ![]() | |||||
en | critical value of the response variable | |||||
fr | valeur critique de la variable de ![]() | |||||
4.1 Виды контроля | ||||||
4.1.1 оценка соответствия: Систематическая проверка степени соответствия объекта (1.2.11) установленным требованиям. | en | conformity evaluation | ||||
fr | de la ![]() | |||||
en | inspection | |||||
fr | ![]() | |||||
4.1.3 контроль по альтернативному признаку: Контроль (4.1.2), основанный на регистрации наличия или отсутствия одной или нескольких характеристик (1.1.1) у каждой единицы продукции (1.2.11) в рассматриваемой группе, или подсчете числа единиц продукции, обладающих или не обладающих этой характеристикой, или число таких событий в единице продукции, группе или совокупности (1.2.31). Примечание - Контроль, в процессе которого проверяют, является ли единица продукции несоответствующей, и называют контролем несоответствующих единиц продукции (1.2.12). Контроль, в процессе которого определяют число несоответствий (3.1.11) в каждой единице продукции, называют контролем несоответствий. | en | inspection by attributes | ||||
fr | par attributs | |||||
en | inspection by variables | |||||
fr | par mesures | |||||
en | 100% inspection | |||||
fr | | |||||
en | sampling inspection | |||||
fr | par ![]() | |||||
4.1.7 разбраковка: Сплошной контроль (4.1.5) с исключением всех обнаруженных несоответствующих единиц продукции (1.2.11) или долей материала. Примечание - Разбраковка может быть применена только к одному конкретному виду несоответствий (3.1.11). | en | screening inspection | ||||
fr | tri | |||||
en | acceptance sampling inspection | |||||
fr | par pour acceptation | |||||
4.1.9 контроль с разбраковкой: Контроль (4.1.2) всех единиц продукции (1.2.11) или некоторого установленного их количества, в результате которого удаляют или заменяют все несоответствующие единицы продукции в партии (1.2.4) или другой совокупности продукции, не принятой при статистическом приемочном контроле (4.1.8). | en | rectifying inspection | ||||
fr | rectificatif | |||||
en | normal inspection | |||||
fr | normal | |||||
4.1.11 ослабленный контроль: При использовании стандартов серий ИСО 2859 и ИСО 3951 контроль (4.1.2) менее жесткий, чем нормальный (4.1.10), к которому переходят от последнего, если результаты контроля заданного числа последовательных партий (1.2.4) показывают, что уровень качества (4.6.16) продукции, изготовленной процессом (2.1.1), лучше, чем установленный. | en | reduced inspection | ||||
fr | | |||||
4.1.12 усиленный контроль: При использовании стандартов серий ИСО 2859 и ИСО 3951 контроль (4.1.2), более жесткий, чем нормальный (4.1.10), к которому переходят от последнего, если результаты контроля заданного количества последовательных партий (1.2.4) показывают, что уровень качества (4.6.16), изготовленной процессом (2.1.1), хуже установленного. | en | tightened inspection | ||||
fr | ![]() | |||||
en | process inspection | |||||
fr | de processus | |||||
en | isolated lot inspection | |||||
fr | de lot | |||||
en | lot-by-lot inspection | |||||
fr | lot par lot | |||||
4.1.16 контроль при первом предъявлении: Контроль (4.1.2) партии (1.2.4) или другого количества продукции (1.2.32), ранее не предъявляемой на контроль. Примечание - Противоположной ситуацией является, например, контроль партии, которая ранее была признана неприемлемой и снова представлена на контроль после сортировки, доработки и т.п. | en | original inspection | ||||
fr | en ![]() | |||||
en | acceptance inspection | |||||
fr | pour acceptation | |||||
4.1.18 косвенный контроль: Приемочный контроль (4.1.17) на основе изучения и проверки системы контроля поставщика и изучения полученных результатов. | en | indirect inspection | ||||
fr | par ![]() | |||||
4.2 Виды статистического приемочного контроля | ||||||
4.2.1 инспекционный приемочный контроль: Выборочный контроль (4.1.6), предназначенный для проверки соответствия процедур выборочного контроля изготовителя по заявленной им схеме выборочного контроля (4.3.1). Примечание - Этот вид выборочного контроля часто называют аудитом процедур выборочного контроля изготовителя. | en | verification acceptance sampling inspection | ||||
fr | par pour acceptation de ![]() | |||||
en | single acceptance sampling inspection | |||||
fr | par pour acceptation simple | |||||
4.2.3 двухступенчатый приемочный контроль: Многоступенчатый приемочный контроль (4.2.4), при котором может быть отобрано более двух выборок (1.2.17) Примечание - Решение принимают в соответствии с определенными правилами. | en | double acceptance sampling inspection | ||||
fr | par pour acceptation double | |||||
4.2.4 многоступенчатый приемочный контроль: Статистический приемочный контроль (4.1.8), при котором после контроля каждой выборки (1.2.17) принимают решение в соответствии с определенными правилами о приемке партии (1.2.4), отклонении партии или отборе другой выборки из партии. Примечание - Для большинства многоступенчатых планов выборочного контроля наибольшее число выборок, которые могут быть отобраны, ограничено, причем при достижении этой границы решение о приемке или отклонении принимают обязательно. | en | multiple acceptance sampling inspection | ||||
fr | par pour acceptation multiple | |||||
| ||||||
4.2.5 приемочный контроль с пропуском партий: Выборочный контроль (4.1.8), при котором некоторые партии (1.2.4) из последовательности партий принимают без контроля (4.1.2), если результаты выборочного контроля для заданного числа непосредственно предшествующих партий соответствуют установленным критериям. | en | skip-lot acceptance sampling inspection | ||||
fr | par successif partiel | |||||
en | chain acceptance sampling inspection | |||||
fr | par pour acceptation en | |||||
4.2.7 последовательный приемочный контроль: Статистический приемочный контроль (4.1.8), при котором после контроля каждой единицы продукции (1.2.11) принимают основанное на накопленных данных всех проконтролированных единиц из партии (1.2.4) решение о приемке партии, отклонении партии или контроле следующей единицы продукции. Примечание 1 - Решение принимают в соответствии с установленными правилами. Примечание 2 - Общее число единиц, которые должны быть проконтролированы, не устанавливают, но максимальное число часто согласовывают заранее. | en | sequential acceptance sampling inspection | ||||
fr | par pour acceptation progressif | |||||
| ||||||
4.2.8 непрерывный приемочный контроль: Статистический приемочный контроль (4.1.8), применяемый к процессу с непрерывным потоком продукции, который предусматривает приемку или отклонение единицы продукции (1.2.11) на основании результатов последовательного контроля отдельных единиц и использует чередующие друг друга периоды сплошного (4.1.5) и выборочного (1.3.1) контроля в зависимости от наблюдаемого качества продукции процесса. | en | continuous acceptance sampling inspection | ||||
fr | par pour acceptation continu | |||||
4.2.9 одноуровневый непрерывный приемочный контроль: Непрерывный приемочный контроль (4.2.8) последовательно изготовляемых единиц продукции (1.2.11), при котором контроль с единственной фиксированной частотой отбора чередуют со сплошным контролем (4.1.5) в зависимости от наблюдаемого качества продукции процесса. | en | single-level continuous acceptance sampling inspection | ||||
fr | par continu | |||||
4.2.10 многоуровневый непрерывный приемочный контроль: Непрерывный приемочный контроль (4.2.8) последовательно изготовляемых единиц продукции (1.2.11), при котором контроль с двумя или более частотами отбора чередуют со сплошным контролем (4.1.5) в зависимости от наблюдаемого качества продукции процесса. | en | multi-level continuous acceptance sampling inspection | ||||
fr | par pour acceptation continu | |||||
4.2.11 приемочный контроль по количественному признаку: Статистический приемочный контроль (4.1.8), при котором решение о приемлемости процесса (2.1.1) принимают на основании статистических данных о результатах измерений характеристик качества (1.1.2) каждой единицы продукции (1.2.11) в выборке (1.2.17) из партии (1.2.4). Примечание - Предполагается, что партии продукции приемлемого процесса являются приемлемыми. | en | acceptance sampling inspection by variables | ||||
fr | par pour acceptation par mesures | |||||
4.2.12 приемочный контроль по альтернативному признаку: Статистический приемочный контроль (4.1.8), при котором у каждой единицы (1.2.11) в выборке (1.2.17) регистрируют наличие или отсутствие одной или нескольких установленных характеристик (1.1.1), чтобы статистически установить приемлемость партии (1.2.4) или процесса (2.1.1). | en | acceptance sampling inspection by attributes | ||||
fr | par pour acceptation par attributs | |||||
4.3 Аспекты системы выборочного контроля | ||||||
en | acceptance sampling inspection system | |||||
fr | de par pour acceptation | |||||
en | acceptance sampling scheme | |||||
fr | programme pour acceptation | |||||
en | acceptance sampling plan | |||||
fr | plan pour acceptation | |||||
4.3.4 правило переключения: Инструкции в схеме статистического приемочного контроля (4.3.2) для перехода от одного плана статистического приемочного контроля (4.3.3) к другому с большей или меньшей жесткостью контроля на основании рассмотрения хронологии изменения качества партий. Примечание - Нормальный, ослабленный или усиленный контроль или прекращение контроля - примеры контроля с разной жесткостью (4.3.6). | en | switching rule | ||||
fr | ![]() | |||||
4.3.5 уровень контроля: Показатель, относящийся к объему контроля (4.1.2) в схеме статистического приемочного контроля (4.3.2), выбираемый заранее и связывающий объем выборки (1.2.26) с объемом партии. Примечание 1 - Может быть выбран пониженный (повышенный) уровень контроля, если предыдущий опыт показывает, что предпочтительной является менее (более) селективная кривая оперативной характеристики (4.5.1). | en | inspection level | ||||
fr | niveau de ![]() | |||||
en | severity of sampling | |||||
fr | de ![]() | |||||
4.3.7 процедура приемочного контроля: Пооперационные требования и (или) инструкции, связанные с реализацией конкретного плана выборочного контроля (4.3.3). | en | acceptance sampling procedure | ||||
fr | pour acceptation | |||||
en | curtailed inspection | |||||
fr | ![]() | |||||
4.3.9 сигма-метод: Приемочный контроль по количественному признаку (4.2.11), при котором используют предполагаемое значение стандартного отклонения процесса. | en | sigma method | ||||
fr | sigma | |||||
4.3.10 s-метод: Приемочный контроль по количественному признаку, (4.2.11), при котором используют значение выборочного стандартного отклонения процесса. | en | s method | ||||
fr | s | |||||
en | R method | |||||
fr | R | |||||
4.4 Критерии приемки | ||||||
4.4.1 браковочное число Re: В задачах приемочного контроля - наименьшее число несоответствий (3.1.11) или несоответствующих единиц (1.2.12) в выборке (1.2.17) при статистическом приемочном контроле по альтернативному признаку (4.2.12), при котором партия (1.2.4) должна быть отклонена в соответствии с планом контроля (4.3.3). | en | rejection number | ||||
fr | ||||||
4.4.2 приемочное число Ac: В задачах приемочного контроля - наибольшее число несоответствий (3.1.11) или несоответствующих единиц (1.2.12) в выборке (1.2.17) при статистическом приемочном контроле (4.2.12) по альтернативному признаку, допускающее приемку партии (1.2.4) в соответствии с планом контроля (4.3.3). | en | acceptance number | ||||
fr | ||||||
en | clearance number | |||||
fr | ||||||
| ||||||
4.4.4 контрольный норматив k: В задачах приемочного контроля - постоянная, зависящая от установленного значения предельно допустимого уровня несоответствий (4.6.15) и объема выборки (1.2.25), используемая в критерии приемки партии (1.2.4) плана контроля (4.3.3), когда выборочный контроль осуществляют по количественному признаку. Примечание - Другими контрольными нормативами являются p* и M, где p* - максимум приемлемости оценки доли несоответствий процесса. M(= 100p*) - также используемая альтернативная запись. | en | acceptability constant | ||||
fr | constante ![]() | |||||
en | acceptance value | |||||
fr | valeur d'acceptation | |||||
4.4.6 максимальный размах средних MAR: Наибольший размах выборочных средних арифметических при контроле по количественному признаку (4.3.3) для двух предельных значений, при котором возможна приемка партии. | en | maximum average range, MAR | ||||
fr | moyenne maximale, EMM | |||||
4.4.7 максимальное стандартное отклонение выборки MSSD: Наибольшее стандартное отклонение для данного кода объема выборки и предельно допустимого уровня несоответствий (4.6.15) и для двух границ поля допуска, при котором возможно выполнение критерия приемки, когда изменчивость процесса неизвестна. Примечание - MSSD зависит от того, является ли контроль двух границ поля допуска объединенным, индивидуальным или сложным, а также от жесткости контроля (нормальный, усиленный или ослабленный). | en | maximum sample standard deviation, MSSD | ||||
fr | maximal , ETME | |||||
4.4.8 максимальное стандартное отклонение процесса MPSD: Наибольшее стандартное отклонение процесса для заданного кода объема выборки и AQL (4.6.15), при котором можно выполнить критерий приемки для двух границ поля допуска при любой жесткости контроля (нормальном, усиленном или ослабленном контроле), если изменчивость процесса неизвестна. Примечание - MPSD зависит от того, является ли контроль двойных границ поля допуска объединенным, изолированным или сложным. | en | maximum process standard deviation, MPSD | ||||
fr | maximal du processus, ETMP | |||||
en | quality statistic | |||||
fr | statistique de | |||||
4.4.10 верхняя статистика качества QU: В задачах приемочного контроля функция верхней границы поля допуска (3.1.4) выборочного среднего и стандартного отклонения выборки или процесса. | en | upper quality statistic | ||||
fr | statistique de ![]() | |||||
4.4.11 нижняя статистика качества QL: В задачах приемочного контроля - функция нижней границы поля допуска (3.1.5), выборочного среднего и стандартного отклонения выборки или процесса. | en | lower quality statistic | ||||
fr | statistique de ![]() | |||||
4.5 Типы кривых оперативных характеристик | ||||||
| ||||||
en | operating characteristic curve | |||||
fr | courbe ![]() | |||||
en | isolated lot operating characteristic curve, type A curve | |||||
fr | courbe de lot | |||||
en | continuous flow operating characteristic curve, type C curve | |||||
fr | courbe de flot continu, courbe de type C | |||||
en | lot sequence operating characteristic curve, type B curve | |||||
fr | courbe de de lots, courbe de type B | |||||
4.5.5 кривая оперативной характеристики для несоответствий: Кривая типа B (4.5.4), основанная на распределении Пуассона. | en | nonconformities operating characteristic curve | ||||
fr | courbe de ![]() | |||||
4.5.6 кривая оперативной характеристики для несоответствующих единиц продукции: Кривая типа B (4.5.4), основанная на биномиальном распределении. | en | nonconforming unit operating characteristic curve | ||||
fr | courbe | |||||
4.6 Понятия, связанные с оперативной характеристикой | ||||||
en | probability of acceptance | |||||
fr | d'acceptation | |||||
4.6.2 риск потребителя CR, Примечание - Уровень несоответствий может относиться к доле несоответствующих единиц продукции и не удовлетворять LQL (4.6.14). | en | consumer's risk, CR | ||||
fr | risque du client, RC | |||||
en | probability of non-acceptance | |||||
fr | de non-acceptation | |||||
4.6.4 риск поставщика PR, Примечание 1 - Уровень несоответствий может относиться к доле несоответствующих единиц продукции и быть приемлемым в соответствии с AQL (4.6.15). Примечание 2 - Интерпретация риска поставщика требует информации об установленном уровне несоответствий. | en | producer's risk, PR | ||||
fr | risque du fournisseur, RF | |||||
4.6.5 точка риска потребителя CRP: В задачах приемочного контроля - точка на кривой оперативной характеристики (4.5.1), соответствующая заранее определенной и обычно малой вероятности приемки (4.6.1). Примечание 1 - Эту вероятность приемки называют риском потребителя (4.6.2), а соответствующее качество партии, определяемое точкой риска потребителя, называют качеством риска потребителя (CRQ) (4.6.9). Примечание 2 - Тип кривой оперативной характеристики должен быть установлен. | en | consumer's risk point, CRP | ||||
fr | point du risque du client, PRC | |||||
en | point of control, indifference point | |||||
fr | point de , point ![]() | |||||
4.6.7 точка риска поставщика PRP: В задачах приемочного контроля - точка на кривой оперативной характеристики (4.5.1), соответствующая заранее определенному высокому значению вероятности приемки (4.6.1). Примечание - Интерпретация точки риска поставщика требует информации об установленном уровне несоответствий (4.6.16). | en | producer's risk point, PRP | ||||
fr | point du risque du fournisseur, PRF | |||||
4.6.8 угол наклона кривой оперативной характеристики: Угол наклона линии, соединяющей точки риска поставщика (4.6.7) и риска потребителя (4.6.5) на кривой оперативной характеристики (4.5.1). Примечание - Чем ближе угол наклона к вертикали, тем больше разрешающая способность плана контроля (4.3.3). | en | slope of operating characteristic curve | ||||
fr | pente de la courbe ![]() | |||||
4.6.9 качество риска потребителя CRQ: В задачах приемочного контроля - уровень несоответствий (4.6.16) партии (1.2.4) или процесса (2.1.1), который соответствует установленному риску потребителя (4.6.2) для заданного плана контроля (4.3.3). Примечание - Обычно установленный риск потребителя равен 10%. | en | consumer's risk quality, CRQ | ||||
fr | ||||||
4.6.10 качество риска поставщика PRQ: В задачах приемочного контроля - уровень несоответствий (4.6.16) партии (1.2.4) или процесса (2.1.1), который соответствует установленному риску поставщика (4.6.4) для заданного плана контроля (4.3.3). Примечание 1 - Тип кривой оперативной характеристики (4.5.1) должен быть установлен. Примечание 2 - Обычно установленный риск поставщика равен 5%. | en | producer's risk quality, PRQ | ||||
fr | ||||||
en | indifference quality level, IQL | |||||
fr | niveau de , NQI | |||||
en | discrimination ratio | |||||
fr | rapport de discrimination | |||||
en | limiting quality, LQ | |||||
fr | ||||||
en | limiting quality level, LQL | |||||
fr | niveau de | |||||
4.6.15 предельно допустимый уровень несоответствий AQL: В задачах приемочного контроля - наихудший допустимый уровень несоответствий (4.6.16). Примечание 1 - Данный подход применим только при использовании схемы статистического приемочного контроля с правилами переключения и прекращение выборочного контроля (см. стандарты серии ИСО 2859 и ИСО 3951). Примечание 2 - Хотя отдельные партии (1.2.4) с таким уровнем несоответствий как AQL могут быть приняты с высокой вероятностью, AQL не является желательным уровнем несоответствий. Примечание 3 - Схемы приемочного контроля, приведенные в ИСО 2859-1, с правилами переключения и прекращения выборочного контроля (4.1.6) стимулируют поставщиков и постоянной поддержке среднего процесса на уровне менее AQL. В противном случае существует высокая вероятность переключения с нормального контроля (4.1.10) на усиленный контроль (4.1.12), при котором критерии приемлемости партии становятся менее достижимыми. Усиленный контроль сохраняется пока не предприняты действия по улучшению процесса (2.1.1). В ожидании такого улучшения может вступить в силу правило по прекращению выборочного контроля. | en | acceptance quality limit, AQL | ||||
fr | niveau de | |||||
en | quality level | |||||
fr | niveau de | |||||
en | indifference zone | |||||
fr | zone ![]() | |||||
4.7 Понятия, связанные с выходным качеством и объемом контроля | ||||||
4.7.1 среднее выходное качество AOQ: В задачах приемочного контроля - ожидаемый средний уровень несоответствий (4.6.16) выходящей продукции (1.2.32) для данного значения входного уровня несоответствий. Примечание 1 - Если не установлено иного, среднее выходное качество вычисляют по всем принятым партиям (1.2.4) плюс все непринятые партии после сплошного контроля и замены несоответствующих единиц продукции (1.2.12) соответствующими (1.2.11). Примечание 2 - На практике могут быть использованы различные формулировки термина и определения в зависимости от того, заменяют или нет при сплошном контроле несоответствующие единицы в непринятых партиях соответствующими. Примечание 3 - Часто используют приближение (среднее выходное качество) = (качество процесса перед контролем) x (вероятность приемки). Эта формула является точной для планов нуль-приемки и дает завышенную оценку в других случаях. | en | average outgoing quality, AOQ | ||||
fr | , QMAC | |||||
4.7.2 предел среднего выходного качества AOQL: В задачах приемочного контроля - максимальное значение AOQ (4.7.1) среди всех возможных значений уровня несоответствий (4.6.16) входящей продукции для заданного плана контроля (4.3.3) устранение всех непринятых партий (1.2.4) (если не установлено иное). | en | average outgoing quality limit, AOQL | ||||
fr | limite de , LQMAC | |||||
4.7.3 средний объем выборки ASSI: В задачах приемочного контроля - среднее число единиц продукции (1.2.14) в выборке (1.2.17), контролируемое в среднем на партию (1.2.4) при принятии решений о приемке или отклонении при использовании данного плана контроля (4.3.3). Примечание - ASSI зависит от фактического уровня несоответствий (4.6.16) предъявленных партий. | en | average sample size ASSI | ||||
fr | effectif moyen de , EMC | |||||
4.7.4 средний общий объем контроля ATI: В задачах приемочного контроля - среднее число проконтролированных единиц продукции (1.2.11) на партию (1.2.4), включая сплошной контроль (4.1.5) единиц продукции в отклоненных партиях. Примечание - Этот термин применим, когда процедура требует сплошного контроля отклоненных партий. | en | average total inspected, ATI | ||||
fr | moyenne totale , MTC | |||||
en | average amount of inspection | |||||
fr | moyenne ![]() | |||||
5.1 Понятия, связанные с отбором нештучной продукции | ||
en | bulk material | |
fr | en vrac | |
5.1.2 партия: Для нештучной продукции - часть совокупности (1.2.1), включающая общее число нештучной продукции (5.1.1), рассматриваемая как объем материала, для которого должны быть определены установленные характеристики (1.1.1). Примечание - В коммерческих операциях предметом сделки часто является единственная партия, в этом случае партия совпадает с генеральной совокупностью. | en | lot |
fr | lot | |
en | sub-lot | |
fr | sous-lot | |
5.1.4 выборочная единица: Для нештучной продукции - один из элементов генеральной совокупности (1.2.1), объединяющей всю рассматриваемую нештучную продукцию (5.1.1), каждый из которых с равной вероятностью может быть отобран (1.3.2) в выборку (1.3.1). Примечание 1 - При отборе выборки нештучной продукции (1.3.2) выборочные единицы имеют равную вероятность отбора в выборку. После отбора выборочная единица становится частью выборки (1.2.17). Примечание 2 - При отборе выборки нештучной продукции из материала выделяют отдельные разовые пробы (5.2.7), выборочной единицей является первоначальная разовая проба. | en | sampling unit |
fr | ![]() | |
5.1.5 номинальный надрешетный размер: Для нештучной продукции - размер частиц, выраженный в виде апертурного размера испытательного сита (с квадратными отверстиями в соответствии с ИСО 565), на котором остается не более 5% пробы (1.2.17). | en | nominal top size |
fr | nominale ![]() | |
5.1.6 номинальный подрешетный размер: Для нештучной продукции - размер частиц, выраженный в виде апертурного размера отверстия испытательного сита (с квадратными отверстиями в соответствии с ИСО 565), через которое проходит не более 5% пробы (1.2.17). | en | nominal bottom size |
fr | nominale ![]() | |
5.2 Аспекты нештучного отбора | ||
5.2.1 отбор (выборки/пробы): Действия по извлечению или составлению выборки (пробы) (1.2.17). | en | sampling |
fr | ![]() | |
5.2.2 стандартный отбор выборки: Для нештучной продукции отбор выборки (5.2.1), выполняемый в соответствии с процедурой, установленной в одном из стандартов и предназначенной для оценки характеристики качества (1.1.2) партии (5.1.2). Примечание - Термин "регламентированный отбор" иногда используют как синоним к термину "стандартный отбор выборки". | en | routine sampling |
fr | usuel | |
en | experimental sampling | |
fr | ![]() | |
5.2.4 отбор сквозной выборки: Для нештучной продукции - повторный отбор проб (5.2.5) из партии (5.1.2) или части партии (5.1.3), при котором первоначально отобранные разовые пробы (5.2.7) для i-й партии или j-й части партии собирают поочередно в разные контейнеры для составления совокупности сложных проб (5.3.4) (Aj, Bj, Cj, ...) используемых при исследовании изменчивости партии или части партии. Примечание 1 - Термин "отбор межуровневой выборки" иногда используют как синоним термину "отбор сквозной выборки". Примечание 2 - Наиболее часто в схемах отбора сквозных выборок используют метод двойного отбора выборок с формированием пар сложных проб (Aj, Bj) для каждой i-й партии. | en | interpenetrating sampling |
fr | par permutation | |
en | replicate sampling | |
fr | ![]() | |
5.2.6 двойной отбор проб: Для нештучной продукции - повторный отбор выборки (5.2.5), при котором разовые пробы (5.2.7) отбирают попарно (одновременно или последовательно) для формирования двух сложных проб (5.3.4). Примечание - Двойной отбор проб является частным случаем повторного отбора проб. | en | duplicate sampling |
fr | ![]() | |
5.2.7 разовая проба: Для нештучной продукции - количество нештучной продукции (5.1.1), отбираемое за одно действие приспособлением для отбора выборки. Примечание 1 - Место отбора, выделение и извлечение разовой пробы должны быть такими, чтобы все части нештучной продукции в партии (5.1.2) имели равную вероятность быть отобранными. Примечание 2 - Если отбор выборки или пробы (5.2.1) выполняют в несколько этапов, необходимо различать первоначальную разовую пробу, которую отбирают из партии на первом этапе, и вторичную разовую пробу, которую отбирают из первичной разовой пробы на втором этапе и так далее. Второй и последующие этапы относят к делению пробы (5.3.8) | en | increment |
fr | ![]() | |
5.2.8 мануальный отбор пробы: Для нештучной продукции - отбор разовых проб (5.2.7) вручную. | en | manual sampling |
fr | manuel | |
5.2.9 автоматизированный отбор пробы: Для нештучной продукции отбор разовых проб (5.2.7) с применением технических средств. | en | mechanical sampling |
fr | ![]() | |
5.2.10 резка: Для нештучной продукции - один ход технического средства по автоматизированному отбору пробы (5.2.9) из потока нештучной продукции. | en | cut |
fr | coupe | |
5.2.11 изменчивость характеристики качества: Для нештучной продукции - стандартное отклонение характеристики качества (1.1.2), определяемое на основе оценки дисперсии, полученной либо по сквозным выборкам (5.2.4), отобранным из партии (5.1.2) или части партии (5.1.3), либо полученной с помощью вариографического анализа отклонений между разовыми пробами (5.2.7), отобранными через различные интервалы времени. | en | quality variation |
fr | variation de la | |
5.3 Подготовка пробы нештучной продукции | ||
5.3.1 подготовка пробы: Для нештучной продукции - совокупность действий для формирования из отобранной выборки (1.2.17) исследуемой пробы (5.3.11). Пример - Измельчение, смешивание и деление пробы. Примечание - Для сыпучих материалов завершение каждой операции деления пробы определяет начало следующего этапа подготовки пробы. Таким образом, число этапов подготовки пробы равно числу выполненных операций деления. | en | sample preparation |
fr | ![]() | |
en | routine sample preparation | |
fr | usuel | |
en | non-routine sample preparation | |
fr | non usuel | |
en | composite sample | |
fr | composite | |
en | gross sample | |
fr | global | |
en | sample drying | |
fr | ![]() | |
5.3.7 измельчение образца: Для нештучной продукции - действие по подготовке пробы (5.3.1), при котором размер частиц материала пробы уменьшают путем дробления, размалывания или растирания. | en | sample reduction |
fr | d'un ![]() | |
en | sample division | |
fr | division ![]() | |
en | fixed ratio division | |
fr | division | |
en | fixed mass division | |
fr | division | |
5.3.11 исследуемая проба: Для нештучной продукции - проба (1.2.17), подготовленная к испытаниям или анализу, которую целиком или частично единовременно используют для испытаний или анализа. Примечание - Термин "исследуемая проба" может быть заменен на такие термины как "проба для химического анализа", "проба для определения влажности", "проба для определения размеров частиц" и "проба для физических испытаний". | en | test sample |
fr | pour essai | |
5.3.12 исследуемая порция: Для нештучной продукции - часть исследуемой пробы (5.3.11), единовременно используемая для испытаний или анализа. | en | test portion |
fr | prise d'essai | |
5.3.13 проба из части партии: Для нештучной продукции - объединение нескольких последовательных первичных разовых проб (5.2.7), отобранных с установленной целью из партии (5.1.2) или из части партии (5.1.3) путем стандартного отбора выборки (5.2.2). Примечание - Установленной целью может быть, например, определение влажности. | en | sub-lot sample |
fr | partiel | |
5.4 Методические аспекты | ||
en | sampling system | |
fr | ![]() | |
5.4.2 схема выборочного контроля: Для нештучной продукции - сочетание планов (5.4.3) и целей выборочного контроля выборки (пробы). Примечание - Схема может включать стандартный отбор, проверку прецизионности (3.3.4), исследование изменчивости уровня качества. | en | sampling scheme |
fr | programme ![]() | |
5.4.3 план контроля: Для нештучной продукции - спецификация (3.1.1), устанавливающая тип отбора выборки, требования к разовым пробам (5.2.7), выборкам (1.2.17), необходимым измерениям (3.2.1) или испытаниям (3.2.3). Примечание - План может устанавливать, например, что отбор выборок является систематическим и двухступенчатым. В сочетании с требованиями к типу отбора выборки план может также задавать число разовых проб, отобранных из партии, число объединенных проб в каждой партии (5.1.2), число исследуемых проб в каждой сложной пробе и число измерений/испытаний, выполняемых на каждой исследуемой пробе. | en | sampling plan |
fr | plan ![]() | |
en | sampling procedure | |
fr | ![]() | |
5.4.5 процедура приготовления пробы: Для нештучной продукции - требования и/или инструкции, устанавливающие методы и критерии деления пробы (5.3.8). | en | sample preparation procedure |
fr | de ![]() |




























Ф | |
A | |
Ac | |
Cp | |
Cpk | |
CpkL | |
CpkU | |
i | |
k | |
L | |
LCL | |
m | |
Pa | |
PL | |
Pp | |
Ppk | |
PpkL | |
PpkU | |
pt | |
PU | |
Q | |
QCR | |
Qk | |
QL | |
QPR | |
QU | |
r | |
R | |
Re | |
s | |
S | |
T | |
U | |
UCL | |
X0,135% | |
X50% | |
X99,865% |
EWMA-карта | |||||
c-карта | |||||
np-карта | |||||
R-карта | |||||
R-метод | |||||
p-карта | |||||
s-карта | |||||
s-метод | |||||
u-карта | |||||
X-карта | |||||
автокорреляции | |||||
анализ процесса | |||||
вариация | |||||
величина измеряемая | |||||
вероятность отклонения | |||||
вероятность приемки | |||||
| |||||
воспроизводимость | |||||
выборка | |||||
выборка вторичная | |||||
выборка дублированная | |||||
выборка последняя | |||||
выборка репрезентативная | |||||
выборка случайная | |||||
выборка случайная простая | |||||
выборка/проба первичная | |||||
выборки объем | |||||
граница контрольная | |||||
граница контрольная верхняя | |||||
граница контрольная нижняя | |||||
граница поля допуска | |||||
граница поля допуска верхняя | |||||
граница поля допуска единственная | |||||
граница поля допуска нижняя | |||||
граница поля допуска с двумя границами при индивидуальном контроле | |||||
граница поля допуска с двумя границами при объединенном контроле | |||||
граница поля допуска с двумя границами при сложном контроле | |||||
границы контрольные вероятностные | |||||
границы действия | |||||
границы контрольные приемочные | |||||
границы контрольные Шухарта | |||||
границы предупреждения | |||||
действие корректирующее | |||||
действие предупреждающее | |||||
деление на части с фиксированной массой | |||||
деление на части с фиксированным процентом массы | |||||
деление пробы | |||||
дефект | |||||
длина серии средняя | |||||
длина стадии | |||||
доля несоответствующих единиц верхняя | |||||
доля несоответствующих единиц нижняя | |||||
доля несоответствующих единиц общая | |||||
единица | |||||
единица выборочная | |||||
единица выборочная | |||||
единица выборочная дефектная | |||||
единица выборочная несоответствующая | |||||
единица дефектная | |||||
единица идентичная для испытаний/измерений | |||||
единица несоответствующая | |||||
жесткость контроля | |||||
значение истинное | |||||
значение истинное условное | |||||
значение наблюдаемое | |||||
значение опорное принятое | |||||
значение отклика критическое | |||||
значение приведенной переменной состояния критическое | |||||
значение приведенной переменной состояния минимальное обнаруживаемое | |||||
значение приемочное | |||||
значение целевое | |||||
зона безразличия | |||||
зона индифферентности | |||||
зона отклонения процесса | |||||
зона приемки процесса | |||||
измельчение образца | |||||
изменчивость | |||||
изменчивость процесса общая | |||||
изменчивость процесса собственная | |||||
изменчивость характеристики качества | |||||
измерение | |||||
индекс вариации процесса | |||||
индекс воспроизводимости процесса | |||||
индекс воспроизводимости процесса верхний | |||||
индекс воспроизводимости процесса меньший | |||||
индекс воспроизводимости процесса нижний | |||||
индекс воспроизводимости процесса обратный | |||||
индекс пригодности процесса | |||||
индекс пригодности процесса верхний | |||||
индекс пригодности процесса меньший | |||||
индекс пригодности процесса нижний | |||||
индекс пригодности процесса обратный | |||||
интервал опорный | |||||
испытание | |||||
калибровка | |||||
карта контрольная медиан | |||||
карта контрольная регулировки процесса | |||||
карта контрольная | |||||
карта контрольная баллов качества | |||||
карта контрольная долей или процента | |||||
карта контрольная индивидуальных значений | |||||
карта контрольная кумулятивных сумм | |||||
карта контрольная многомерная | |||||
карта контрольная многомерной характеристики | |||||
карта контрольная приемочная | |||||
карта контрольная размахов | |||||
карта контрольная с трендом | |||||
карта контрольная скользящих размахов | |||||
карта контрольная скользящих средних | |||||
карта контрольная средних арифметических | |||||
карта контрольная стандартных отклонений | |||||
карта контрольная числа несоответствий | |||||
карта контрольная числа несоответствий на единицу (продукции) | |||||
карта контрольная числа несоответствующих единиц (продукции) | |||||
карта контрольная Шухарта | |||||
карта контрольная экспоненциально взвешенных скользящих средних | |||||
карта контроля по альтернативному признаку | |||||
карта контроля по количественному признаку | |||||
качество предельное | |||||
качество риска поставщика | |||||
качество риска потребителя | |||||
качество среднее выходное | |||||
кластер | |||||
контроль | |||||
контроль выборочный | |||||
контроль изолированной партии | |||||
контроль косвенный | |||||
контроль нормальный | |||||
контроль ослабленный | |||||
контроль по альтернативному признаку | |||||
контроль по количественному признаку | |||||
контроль последовательных партий | |||||
контроль при первом предъявлении | |||||
контроль приемочный | |||||
контроль приемочный двухступенчатый | |||||
контроль приемочный инспекционный | |||||
контроль приемочный многоступенчатый | |||||
контроль приемочный многоуровневый непрерывный | |||||
контроль приемочный непрерывный | |||||
контроль приемочный одноступенчатый | |||||
контроль приемочный одноуровневый непрерывный | |||||
контроль приемочный по альтернативному признаку | |||||
контроль приемочный по количественному признаку | |||||
контроль приемочный последовательный | |||||
контроль приемочный с пропуском партий | |||||
контроль приемочный серийный | |||||
контроль приемочный статистический | |||||
контроль процесса | |||||
контроль процесса | |||||
контроль с разбраковкой | |||||
контроль сплошной | |||||
контроль статистический приемочный | |||||
контроль усеченный | |||||
контроль усиленный | |||||
| |||||
коррекция | |||||
кривая оперативной характеристики | |||||
кривая оперативной характеристики для изолированной партии | |||||
кривая оперативной характеристики для непрерывного потока | |||||
кривая оперативной характеристики для несоответствий | |||||
кривая оперативной характеристики для несоответствующих единиц продукции | |||||
кривая оперативной характеристики для последовательности партий | |||||
кривая типа A | |||||
кривая типа B | |||||
кривая типа B | |||||
кривая типа B | |||||
кривая типа C | |||||
критерий отсутствия управляемости | |||||
КУСУМ-карта | |||||
линия центральная | |||||
метод статистический | |||||
модель распределения | |||||
недостаток | |||||
неопределенность расширенная | |||||
несоответствие | |||||
норматив контрольный | |||||
объем выборки средний | |||||
объем контроля средний | |||||
объем контроля средний общий | |||||
опорный интервал верхний | |||||
опорный интервал нижний | |||||
отбор (выборки/пробы) | |||||
отбор без замещения | |||||
отбор выборки | |||||
отбор выборки дискретный | |||||
отбор выборки кластерный многоступенчатый | |||||
отбор выборки многоступенчатый | |||||
отбор выборки систематический | |||||
отбор выборки систематический периодический | |||||
отбор выборки случайный | |||||
отбор выборки случайный простой | |||||
отбор выборки случайный простой стратифицированный | |||||
отбор выборки стандартный | |||||
отбор выборки стратифицированный | |||||
отбор выборки экспериментальный | |||||
отбор исследовательский | |||||
отбор квотированный | |||||
отбор кластерный | |||||
отбор проб | |||||
отбор проб двойной | |||||
отбор проб повторный | |||||
отбор пробы автоматизированный | |||||
отбор пробы мануальный | |||||
отбор с замещением | |||||
отбор систематический локальный | |||||
отбор сквозной выборки | |||||
отбора выборки структура | |||||
отклик | |||||
отклонение стандартное воспроизводимости | |||||
отклонение стандартное максимальное выборки | |||||
отклонение стандартное максимальное процесса | |||||
отклонение стандартное повторяемости | |||||
отклонение стандартное промежуточной прецизионности | |||||
отношение разрешающее | |||||
оценка соответствия | |||||
ошибка результата | |||||
ошибка результата систематическая | |||||
ошибка результата случайная | |||||
параметр (генеральной) совокупности | |||||
партия | |||||
партия особая | |||||
партия отдельная | |||||
партия, предъявленная повторно | |||||
партия пробная | |||||
переменная состояния | |||||
переменная состояния приведенная | |||||
переменная управляемая | |||||
план контроля | |||||
план статистического приемочного контроля | |||||
план управления | |||||
планирование процесса | |||||
повторяемость | |||||
подвыборка | |||||
подготовка пробы | |||||
подготовка пробы нестандартная | |||||
подготовка пробы стандартная | |||||
подгруппа рациональная | |||||
подпартия | |||||
подсовокупность | |||||
показатель воспроизводимости процесса | |||||
показатель пригодности процесса | |||||
поле допуска | |||||
порция исследуемая | |||||
последовательность партий отдельная | |||||
правило переключения | |||||
правильность | |||||
предел воспроизводимости | |||||
предел повторяемости | |||||
предел промежуточной прецизионности | |||||
предел среднего выходного качества | |||||
прецизионность | |||||
прецизионность промежуточная | |||||
причина случайная | |||||
причина специальная | |||||
проба из части партии | |||||
проба исследуемая | |||||
проба объединенная | |||||
проба разовая | |||||
проба сложная | |||||
продукция | |||||
продукция нештучная | |||||
пространство возможностей | |||||
процедура отбора выборки (пробы) | |||||
процедура приготовления пробы | |||||
процедура приемочного контроля | |||||
процесс | |||||
процесс в состоянии статистической управляемости | |||||
процесс стабильный | |||||
разбраковка | |||||
размах средних максимальный | |||||
размер надрешетный номинальный | |||||
размер подрешетный номинальный | |||||
разность критическая воспроизводимости | |||||
разность критическая повторяемости | |||||
разность критическая промежуточной прецизионности | |||||
распределение (характеристики) | |||||
распределения вид | |||||
регулировка процесса | |||||
резка | |||||
результат измерений | |||||
результат испытаний | |||||
результаты измерений/испытаний независимые | |||||
риск поставщика | |||||
риск потребителя | |||||
серия измерений | |||||
сигма-метод | |||||
система | |||||
система для отбора проб | |||||
система статистического приемочного контроля | |||||
слой | |||||
смещение | |||||
совокупность (генеральная) | |||||
состояние | |||||
состояние базовое | |||||
состояние действительное | |||||
состояние стандартное | |||||
спецификация | |||||
статистика выборочная | |||||
статистика качества | |||||
статистика качества верхняя | |||||
статистика качества нижняя | |||||
статистическое управление процессом | |||||
стратификация | |||||
сушка пробы | |||||
сущность | |||||
схема выборочного контроля | |||||
схема статистического приемочного контроля | |||||
точка безразличия | |||||
точка риска поставщика | |||||
точка риска потребителя | |||||
точность | |||||
угол наклона кривой оперативной характеристики | |||||
улучшение процесса | |||||
управление процессами статистическое | |||||
управление процессом | |||||
управление с обратной связью | |||||
управление упреждающее | |||||
уровень качества безразличный | |||||
уровень качества предельный | |||||
уровень контроля | |||||
уровень несоответствий | |||||
уровень несоответствий предельно допустимый | |||||
уровень отклонения процесса | |||||
уровень процесса | |||||
уровень процесса приемлемый | |||||
условия воспроизводимости | |||||
условия повторяемости | |||||
условия промежуточной прецизионности | |||||
услуга | |||||
функция калибровки | |||||
характеристика | |||||
характеристика качества | |||||
характеристика контролируемая | |||||
характеристика системы | |||||
часть партии | |||||
число браковочное | |||||
число приемочное | |||||
шкала | |||||
шкала дискретная | |||||
шкала интервальная | |||||
шкала непрерывная | |||||
шкала номинальная | |||||
шкала отношений | |||||
шкала порядковая | |||||
acceptability constant | |||||
acceptable process level APL | |||||
acceptance control chart | |||||
acceptance control limits ACL | |||||
acceptance Inspection | |||||
acceptance number | |||||
acceptance quality limit AQL | |||||
acceptance sampling | |||||
acceptance sampling Inspection | |||||
acceptance sampling Inspection by attributes | |||||
acceptance sampling Inspection by variables | |||||
acceptance sampling Inspection system | |||||
acceptance sampling plan | |||||
acceptance sampling procedure | |||||
acceptance sampling scheme | |||||
acceptance value | |||||
accepted reference value | |||||
accuracy | |||||
action limits | |||||
actual state | |||||
attribute control chart | |||||
autocorrelation | |||||
average amount of Inspection | |||||
average control chart | |||||
average outgoing quality AOQ | |||||
average outgoing quality limit AOQL | |||||
average run length ARL | |||||
average sample size ASSI | |||||
average total Inspected ATI | |||||
basic state | |||||
bias | |||||
bulk material | |||||
bulk sampling | |||||
c chart | |||||
calibration | |||||
calibration function | |||||
centre line | |||||
chain acceptance sampling Inspection | |||||
chance cause | |||||
characteristic | |||||
class of distributions | |||||
clearance number | |||||
cluster | |||||
cluster sampling | |||||
combined double specification limit | |||||
common cause | |||||
complex double specification limit | |||||
composite sample | |||||
conformity evaluation | |||||
consumer's risk CR | |||||
consumer's risk point CRP | |||||
consumer's risk quality CRQ | |||||
continuous acceptance sampling Inspection | |||||
continuous flow operating characteristic curve | |||||
continuous scale | |||||
control chart | |||||
control limit | |||||
control plan | |||||
control variable | |||||
conventional true value | |||||
correction | |||||
corrective action | |||||
count control chart | |||||
count per unit control chart | |||||
critical value of the net state variable | |||||
critical value of the response variable | |||||
cumulative sum control chart CUSUM chart | |||||
| |||||
curtailed inspection | |||||
cut | |||||
defect | |||||
defective Item | |||||
defective unit | |||||
demerit control chart | |||||
discrete sampling | |||||
discrete scale | |||||
discrimination ratio | |||||
distribution | |||||
distribution model | |||||
double acceptance sampling inspection | |||||
duplicate sample | |||||
duplicate sampling | |||||
entity | |||||
error of result | |||||
EWMA control chart | |||||
expanded uncertainty | |||||
experimental sampling | |||||
exponentially weighted moving average control chart | |||||
feedback control | |||||
feed-forward control | |||||
final sample | |||||
fixed mass division | |||||
fixed ratio division | |||||
gross sample | |||||
identical test/measurement item | |||||
imperfection | |||||
increment | |||||
independent test/measurement results | |||||
indifference point | |||||
indifference quality level IQL | |||||
indifference zone | |||||
indirect inspection | |||||
individuals control chart | |||||
inherent process variation | |||||
100% inspection | |||||
inspection | |||||
inspection by attributes | |||||
inspection by variables | |||||
inspection level | |||||
intermediate precision | |||||
intermediate precision conditions | |||||
intermediate precision critical difference | |||||
intermediate precision limit | |||||
intermediate precision standard deviation | |||||
interpenetrating sampling | |||||
interval scale | |||||
isolated lot | |||||
isolated lot inspection | |||||
isolated lot operating characteristic curve | |||||
isolated sequence of lots | |||||
| |||||
item | |||||
limiting quality level LQL | |||||
limiting quality LQ | |||||
lot | |||||
lot sequence operating characteristic curve | |||||
lot-by-lot inspection | |||||
lower control limit LCL | |||||
lower fraction nonconforming | |||||
lower process capability index | |||||
lower process performance index | |||||
lower quality statistic | |||||
lower reference interval | |||||
lower specification limit | |||||
manual sampling | |||||
maximum average range MAR | |||||
maximum process standard deviation MPSD | |||||
maximum sample standard deviation MSSD | |||||
measurand | |||||
measurement | |||||
measurement result | |||||
measurement series | |||||
mechanical sampling | |||||
median control chart | |||||
minimum detectable value of the net state variable | |||||
minimum process capability index | |||||
minimum process performance index | |||||
moving average control chart | |||||
moving range control chart | |||||
multi-level continuous acceptance sampling inspection | |||||
multiple acceptance sampling inspection | |||||
multiple characteristic control chart | |||||
multistage cluster sampling | |||||
multistage sampling | |||||
multivariate control chart | |||||
net state variable | |||||
nominal bottom size | |||||
nominal scale | |||||
nominal top size | |||||
nominal value | |||||
nonconforming Item | |||||
nonconforming unit | |||||
nonconforming unit operating characteristic curve | |||||
nonconformities operating characteristic curve | |||||
nonconformity | |||||
non-routine sample preparation | |||||
normal inspection | |||||
np chart | |||||
number of categorized units control chart | |||||
observed value | |||||
operating characteristic curve | |||||
opportunity space | |||||
ordinal scale | |||||
original inspection | |||||
out-of-control criteria | |||||
p chart | |||||
periodic systematic sampling | |||||
pilot lot | |||||
point of control | |||||
population | |||||
population parameter | |||||
precision | |||||
preventive action | |||||
primary sample | |||||
probabilistic control limits | |||||
probability of acceptance | |||||
probability of non-acceptance | |||||
process | |||||
process adjustment | |||||
process adjustment control chart | |||||
process analysis | |||||
process capability | |||||
process capability index | |||||
process capability ratio | |||||
process control | |||||
process improvement | |||||
process In a state of statistical control | |||||
process inspection | |||||
process level | |||||
process management | |||||
process performance | |||||
process performance index | |||||
process performance ratio | |||||
process planning | |||||
process variation Index | |||||
producer's risk point PRP | |||||
producer's risk PR | |||||
producer's risk quality PRQ | |||||
product | |||||
proportion or percent categorized units control chart | |||||
| |||||
proportional scale | |||||
quality characteristic | |||||
quality level | |||||
quality score chart | |||||
quality statistic | |||||
quality variation | |||||
quota sampling | |||||
R chart | |||||
R method | |||||
random cause | |||||
random error of result | |||||
random sample | |||||
random sampling | |||||
range control chart | |||||
ratio scale | |||||
rational subgroup | |||||
rectifying inspection | |||||
reduced inspection | |||||
reference interval | |||||
reference state | |||||
rejectable process level RPL | |||||
rejection number | |||||
repeatability | |||||
repeatability conditions | |||||
repeatability critical difference | |||||
repeatability limit | |||||
repeatability standard deviation | |||||
replicate sampling | |||||
representative sample | |||||
reproducibility | |||||
reproducibility conditions | |||||
reproducibility critical difference | |||||
reproducibility limit | |||||
reproducibility standard deviation | |||||
response variable | |||||
re-submitted lot | |||||
routine sample preparation | |||||
routine sampling | |||||
S chart | |||||
S method | |||||
sample | |||||
sample division | |||||
sample drying | |||||
sample preparation | |||||
sample preparation procedure | |||||
sample reduction | |||||
sample size | |||||
sample statistic | |||||
sampling | |||||
sampling frame | |||||
sampling Inspection | |||||
sampling plan | |||||
sampling procedure | |||||
sampling scheme | |||||
sampling system | |||||
sampling unit | |||||
sampling with replacement | |||||
sampling without replacement | |||||
scale | |||||
screening inspection | |||||
secondary sample | |||||
separate double specification limit | |||||
sequential acceptance sampling Inspection | |||||
service | |||||
severity of sampling | |||||
Shewhart control chart | |||||
Shewhart control limits | |||||
sigma method | |||||
simple random sample | |||||
simple random sampling | |||||
single acceptance sampling Inspection | |||||
single specification limit | |||||
single-level continuous acceptance sampling inspection | |||||
skip-lot acceptance sampling Inspection | |||||
slope of operating characteristic curve | |||||
special cause | |||||
specification | |||||
specification limit | |||||
specified tolerance | |||||
spot systematic sampling | |||||
stable process | |||||
standard deviation control chart | |||||
state | |||||
state variable | |||||
statistical method | |||||
statistical process control SPC | |||||
statistical process management | |||||
stratification | |||||
stratified sampling | |||||
stratified simple random sampling | |||||
stratum | |||||
sub-lot | |||||
sub-lot sample | |||||
sub-population | |||||
subsample | |||||
survey sampling | |||||
switching rule | |||||
system | |||||
system characteristic | |||||
systematic error of result | |||||
systematic sampling | |||||
target value | |||||
test | |||||
test characteristic | |||||
test portion | |||||
test result | |||||
test sample | |||||
tightened Inspection | |||||
total fraction nonconforming | |||||
total process variation | |||||
trend control chart | |||||
true value | |||||
trueness | |||||
type A curve | |||||
type B curve | |||||
type C curve | |||||
u chart | |||||
uncertainty | |||||
unique lot | |||||
unit | |||||
upper control limit UCL | |||||
upper fraction nonconforming | |||||
upper process capability index | |||||
upper process performance index | |||||
upper quality statistic | |||||
upper reference interval | |||||
upper specification limit | |||||
variables control chart | |||||
variation | |||||
verification acceptance sampling inspection | |||||
warning limits | |||||
X control chart | |||||
Xbar control chart | |||||
zone of acceptable processes | |||||
zone of rejectable processes | |||||
action corrective | |||||
action ![]() | |||||
ajustement du processus | |||||
du processus | |||||
analyse du processus | |||||
aptitude du processus | |||||
auto-correlation | |||||
base ![]() | |||||
biais | |||||
![]() | |||||
de systeme | |||||
d'essai | |||||
qualitative | |||||
qualite | |||||
carte c | |||||
carte de comptage par unite | |||||
carte de ![]() | |||||
carte de mobile | |||||
carte de | |||||
carte de exponentielle | |||||
carte de ![]() | |||||
carte de carte CUSUM | |||||
carte de d'ajustement de processus | |||||
carte de de ![]() | |||||
carte de de ![]() | |||||
carte de de proportion ou pourcentage ![]() | |||||
carte de de score | |||||
carte de de Shewhart | |||||
carte de de tendance | |||||
carte de des ![]() | |||||
carte de des moyennes | |||||
carte de ![]() | |||||
carte de d'observations individuelles | |||||
carte de du nombre ![]() | |||||
carte de EWMA | |||||
carte de par attributs | |||||
carte de par comptage | |||||
carte de par mesures | |||||
carte de pour acceptation | |||||
carte de pour plusieurs variables | |||||
carte de s | |||||
carte de X | |||||
carte np | |||||
carte p | |||||
carte R | |||||
carte u | |||||
carte Xbar | |||||
cause ![]() | |||||
cause commune | |||||
cause fortuite | |||||
cause ![]() | |||||
classe de distributions | |||||
conditions de ![]() | |||||
conditions de ![]() | |||||
conditions de ![]() | |||||
constante ![]() | |||||
![]() | |||||
| |||||
de lot | |||||
de processus | |||||
en ![]() | |||||
lot par lot | |||||
normal | |||||
par attributs | |||||
par ![]() | |||||
par ![]() | |||||
par continu | |||||
par pour acceptation | |||||
par pour acceptation continu | |||||
par pour acceptation continu | |||||
par pour acceptation de ![]() | |||||
par pour acceptation double | |||||
par pour acceptation en | |||||
par pour acceptation multiple | |||||
par pour acceptation par attributs | |||||
par pour acceptation par mesures | |||||
par pour acceptation progressif | |||||
par pour acceptation simple | |||||
par successif partiel | |||||
par mesures | |||||
pour acceptation | |||||
![]() | |||||
rectificatif | |||||
| |||||
![]() | |||||
![]() | |||||
![]() | |||||
correction | |||||
coupe | |||||
courbe de type A | |||||
courbe de type B | |||||
courbe de type C | |||||
courbe ![]() | |||||
courbe de flot continu | |||||
courbe de lot | |||||
courbe de ![]() | |||||
courbe de de lots | |||||
courbe | |||||
![]() | |||||
critique de la ![]() | |||||
critique de ![]() | |||||
critique de ![]() | |||||
distribution | |||||
division | |||||
division | |||||
division ![]() | |||||
de la ![]() | |||||
de ![]() | |||||
de ![]() | |||||
maximal ETME | |||||
maximal du processus ETMP | |||||
![]() | |||||
![]() | |||||
composite | |||||
![]() | |||||
![]() | |||||
final | |||||
global | |||||
partiel | |||||
pour essai | |||||
primaire | |||||
![]() | |||||
secondaire | |||||
simple ![]() | |||||
![]() | |||||
| |||||
![]() | |||||
avec remise | |||||
![]() | |||||
![]() | |||||
discret | |||||
![]() | |||||
en grappe | |||||
en grappe | |||||
en vrac | |||||
![]() | |||||
manuel | |||||
![]() | |||||
par permutation | |||||
par quotas | |||||
pour acceptation | |||||
sans remise | |||||
simple ![]() | |||||
![]() | |||||
simple ![]() | |||||
![]() | |||||
![]() | |||||
usuel | |||||
![]() | |||||
continue | |||||
de rapport | |||||
d'intervalle | |||||
![]() | |||||
nominale | |||||
ordinale | |||||
| |||||
proportionnelle | |||||
effectif ![]() | |||||
effectif moyen de EMC | |||||
erreur de ![]() | |||||
erreur de ![]() | |||||
erreur de ![]() | |||||
espace d'occurrence | |||||
essai | |||||
![]() | |||||
![]() | |||||
moyenne maximale EMM | |||||
de la ![]() | |||||
exactitude | |||||
![]() | |||||
![]() | |||||
fonction ![]() | |||||
gestion statistique du processus | |||||
nominale ![]() | |||||
nominale ![]() | |||||
grappe | |||||
imperfection | |||||
incertitude | |||||
incertitude | |||||
indice d'aptitude du processus | |||||
indice d'aptitude du processus ![]() | |||||
indice d'aptitude du processus minimal | |||||
indice d'aptitude du processus ![]() | |||||
indice de performance du processus | |||||
indice de performance du processus ![]() | |||||
indice de performance du processus minimal | |||||
indice de performance du processus ![]() | |||||
indice de variation de processus | |||||
individu | |||||
individu ![]() | |||||
individu non conforme | |||||
individu pour essai/mesure Identique | |||||
intervalle de ![]() | |||||
intervalle de ![]() | |||||
intervalle de ![]() | |||||
justesse | |||||
ligne centrale | |||||
limite de ![]() | |||||
limite de LCI | |||||
limite de LCS | |||||
limite de ![]() | |||||
limite de LQMAC | |||||
limite de ![]() | |||||
limite de ![]() | |||||
limite de ![]() | |||||
limite de double ![]() | |||||
limite de double complexe | |||||
limite de double ![]() | |||||
limite de ![]() | |||||
limite de simple | |||||
limite de ![]() | |||||
limites d'action | |||||
limites de de Shewhart | |||||
limites de pour acceptation LCA | |||||
limites de probabilistes | |||||
limites de surveillance | |||||
longueur moyenne d'une suite LMS | |||||
lot | |||||
lot | |||||
lot pilote | |||||
lot | |||||
lot unique | |||||
du processus | |||||
statistique des processus MSP | |||||
management du processus | |||||
en vrac | |||||
mesurage | |||||
mesurande | |||||
mesure de ![]() | |||||
R | |||||
s | |||||
sigma | |||||
statistique | |||||
de distribution | |||||
moyenne total MTC | |||||
niveau de ![]() | |||||
niveau de | |||||
niveau de | |||||
niveau de NQI | |||||
niveau de | |||||
niveau du processus | |||||
niveau du processus | |||||
niveau du processus acceptable NPA | |||||
![]() | |||||
de population | |||||
pente de la courbe ![]() | |||||
performance du processus | |||||
plan d'echantillonnage pour acceptation | |||||
plan de ![]() | |||||
plan d'echantillonnage | |||||
planification du processus | |||||
point de ![]() | |||||
point ![]() | |||||
point du risque du client PRC | |||||
point du risque du fournieseur PRF | |||||
population | |||||
![]() | |||||
non usuel | |||||
![]() | |||||
usuel | |||||
prise d'essai | |||||
d'acceptation | |||||
de non-acceptation | |||||
de preparation ![]() | |||||
![]() | |||||
pour acceptation | |||||
processus | |||||
processus en statistique | |||||
processus stable | |||||
produit | |||||
programme ![]() | |||||
programme pour acceptation | |||||
proportion de non-conformes ![]() | |||||
proportion de non-conformes ![]() | |||||
proportion de non-conformes totale | |||||
QMAC | |||||
moyenne ![]() | |||||
rapport d'aptitude du processus | |||||
rapport decrimination | |||||
rapport de performance du processus | |||||
d'un ![]() | |||||
![]() | |||||
![]() | |||||
![]() | |||||
de mesure | |||||
d'essai | |||||
d'essai / de mesure ![]() | |||||
risque du client RC | |||||
risque du fournisseur RF | |||||
![]() | |||||
| |||||
service | |||||
de ![]() | |||||
![]() | |||||
sous-groupe rationnel | |||||
sous-lot | |||||
sous-population | |||||
![]() | |||||
statistique de | |||||
statistique de ![]() | |||||
statistique de ![]() | |||||
statistique ![]() | |||||
strate | |||||
stratification | |||||
![]() | |||||
de par pour acceptation | |||||
![]() | |||||
![]() | |||||
tri | |||||
![]() | |||||
![]() | |||||
valeur cible | |||||
valeur conventionnellement vraie | |||||
valeur critique de la variable | |||||
valeur critique de la variable de ![]() | |||||
valeur d'acceptation | |||||
valeur de ![]() | |||||
valeur minimale de la variable | |||||
valeur nominale | |||||
valeur ![]() | |||||
valeur vraie | |||||
variable | |||||
variable | |||||
variable de ![]() | |||||
variation | |||||
variation de la | |||||
variation du processus | |||||
variation totale du processus | |||||
zone ![]() | |||||
zone des processus | |||||
zone des processus acceptables | |||||
[1] | ISO 565, Test sieves - Metal wire cloth, perforated metal plate and electroformed sheet - Nominal sizes of openings |
[2] | ISO 2859-1, Sampling procedures for inspection by attributes - Part 1: Sampling schemes indexed by acceptance quality limit (AQL) for lot-by-lot inspection |
[3] | ISO 2859-2, Sampling procedures for inspection by attributes - Part 2: Sampling plans indexed by limiting quality (LQ) for isolated lot inspection |
[4] | ISO 2859-3, Sampling procedures for inspection by attributes - Part 3: Skip-lot sampling procedures |
[5] | ISO 2859-4, Sampling procedures for inspection by attributes - Part 4: Procedures for assessment of declared quality levels |
[6] | ISO 2859-5, Sampling procedures for inspection by attributes - Part 5: System of sequential sampling plans indexed by acceptance quality limit (AQL) for lot-by-lot inspection |
[7] | ISO 2859-10, Sampling procedures for inspection by attributes - Part 10: Introduction to the ISO 2859 series of attribute sampling standards |
[8] | ISO 3534-1, Statistics - Vocabulary and symbols - Part 1: General statistical terms and terms used in probability |
[9] | ISO 3951-1, Sampling procedures for inspection by variables - Part 1: Specification for single sampling plans indexed by acceptance quality limit (AQL) for lot-by-lot inspection for single quality characteristic and a single AQL |
[10] | ISO 3951-2, Sampling procedures for inspection by variables - Part 2: General specification for single sampling plans indexed by acceptance quality limit (AQL) for lot-by-lot inspection of independent quality characteristics |
[11] | ISO 3951-3, Sampling procedures for inspection by variables - Part 3: Double sampling schemes indexed by acceptance quality limit (AQL) for lot-by-lot inspection |
[12] | ISO 3951-5, Sampling procedures for inspection by variables - Part 5: Sequential sampling plans indexed by acceptance quality limit (AQL) for inspection by variables (known standard deviation) |
[13] | ISO 3534-1, Statistics - Vocabulary and symbols - Part 1: Probability and general statistical terms |
[14] | ISO 3534-3:1999, Statistics - Vocabulary and symbols - Part 3: Design of experiments |
[15] | ISO 8258, Shewhart control charts formats - Information interchange - Representation of dates and times |
[16] | ISO 8601, Data elements and interchange formats - Information interchange - Representation of dates and times |
[17] | ISO 9000:2005, Quality management systems - Fundamentals and vocabulary |
[18] | ISO/IEC Guide 51, Safety aspects - Guidelines for their inclusion in standards |
[19] | ISO/IEC Guide 2, Standardization and related activities - General terms |
[20] | ISO 704, Terminology work - Principles and methods |
[21] | ISO 10241, International terminology standards - Preparation and layout |
[22] | ISO/TR 12783, Process capability and performance measures |
[23] | VIM, International vocabulary of basic and general terms used in measurement, BIPM, IEC, IFCC, ISO, IUPAC, IUPAP, OIML, 2nd edn, 1993 |
[24] | GUM, Guide to the expression of uncertainty in measurement, BIPM, IEC, IFCC, ISO, IUPAC, IUPAP, OIML, 1993 corrected and reprinted in 1995 |
[25] | ISO 31-0, Quantities and units - Part 0: General principles |
[26] | ISO 31-1, Quantities and units - Part 1: Space and time |
[27] | ISO 31-3, Quantities and units - Part 3: Mechanics |
[28] | ISO 31-4, Quantities and units - Part 4: Heat |
[29] | ISO 31-11, Quantities and units - Part 11: Mathematical signs and symbols for use in the physical sciences and technology |
УДК 658.562.012.7:65.012.122:006.354 | |
Ключевые слова: прикладная статистика, статистическое управление процессами, контроль, статистический приемочный контроль, отбор нештучной продукции, термин, определение, понятийная схема | |