Главная // Актуальные документы // ГОСТ Р (Государственный стандарт)СПРАВКА
Источник публикации
М.: ФГБУ "Институт стандартизации", 2024
Примечание к документу
Документ
введен в действие с 01.03.2024.
Название документа
"ГОСТ Р 71244-2024. Национальный стандарт Российской Федерации. Дороги автомобильные с низкой интенсивностью движения. Дорожная одежда. Конструирование и расчет"
(утв. и введен в действие Приказом Росстандарта от 07.02.2024 N 204-ст)
"ГОСТ Р 71244-2024. Национальный стандарт Российской Федерации. Дороги автомобильные с низкой интенсивностью движения. Дорожная одежда. Конструирование и расчет"
(утв. и введен в действие Приказом Росстандарта от 07.02.2024 N 204-ст)
Утвержден и введен в действие
агентства по техническому
регулированию и метрологии
от 7 февраля 2024 г. N 204-ст
НАЦИОНАЛЬНЫЙ СТАНДАРТ РОССИЙСКОЙ ФЕДЕРАЦИИ
ДОРОГИ АВТОМОБИЛЬНЫЕ С НИЗКОЙ ИНТЕНСИВНОСТЬЮ ДВИЖЕНИЯ
ДОРОЖНАЯ ОДЕЖДА
КОНСТРУИРОВАНИЕ И РАСЧЕТ
Automobile roads with low traffic volume. Road pavement.
Design and calculation
ГОСТ Р 71244-2024
Дата введения
1 марта 2024 года
1 РАЗРАБОТАН Федеральным государственным автономным образовательным учреждением высшего образования "Санкт-Петербургский политехнический университет Петра Великого" Министерства науки и высшего образования Российской Федерации (ФГАОУ ВО "СПбПУ")
2 ВНЕСЕН Техническим комитетом по стандартизации ТК 418 "Дорожное хозяйство"
3 УТВЕРЖДЕН И ВВЕДЕН В ДЕЙСТВИЕ
Приказом Федерального агентства по техническому регулированию и метрологии от 7 февраля 2024 г. N 204-ст
4 ВВЕДЕН ВПЕРВЫЕ
Правила применения настоящего стандарта установлены в статье 26 Федерального закона от 29 июня 2015 г. N 162-ФЗ "О стандартизации в Российской Федерации". Информация об изменениях к настоящему стандарту публикуется в ежегодном (по состоянию на 1 января текущего года) информационном указателе "Национальные стандарты", а официальный текст изменений и поправок - в ежемесячном информационном указателе "Национальные стандарты". В случае пересмотра (замены) или отмены настоящего стандарта соответствующее уведомление будет опубликовано в ближайшем выпуске ежемесячного информационного указателя "Национальные стандарты". Соответствующая информация, уведомление и тексты размещаются также в информационной системе общего пользования - на официальном сайте Федерального агентства по техническому регулированию и метрологии в сети Интернет (www.rst.gov.ru)
Настоящий стандарт устанавливает требования к конструированию и методике расчета дорожных одежд при строительстве, реконструкции, капитальном ремонте, ремонте и содержании автомобильных дорог.
Настоящий стандарт распространяется на дорожные одежды переходного и низшего типов автомобильных дорог общего пользования с низкой интенсивностью движения (в том числе проходящих в пределах населенных пунктов) на территории Российской Федерации, проектируемые по
ГОСТ Р 58818 (далее - автомобильные дороги).
В настоящем стандарте использованы нормативные ссылки на следующие документы:
ГОСТ 450 Кальций хлористый технический. Технические условия
ГОСТ 2156 Натрий двууглекислый. Технические условия
ГОСТ 3344 Щебень и песок шлаковые для дорожного строительства. Технические условия
ГОСТ 3769 Аммоний сернокислый. Технические условия
ГОСТ 4148 Реактивы. Железо (II) серно-кислое 7-водное. Технические условия
ГОСТ 4201 Реактивы. Натрий углекислый кислый. Технические условия
ГОСТ 5578 Щебень и песок из шлаков черной и цветной металлургии для бетонов. Технические условия
ГОСТ 6318 Натрий сернокислый технический. Технические условия
ГОСТ 9179 Известь строительная. Технические условия
ГОСТ 10564 Латекс синтетический СКС-65ГП. Технические условия
ГОСТ 10834 Жидкость гидрофобизирующая 136-41. Технические условия
ГОСТ 11955 Битумы нефтяные дорожные жидкие. Технические условия
ГОСТ 22733 Грунты. Метод лабораторного определения максимальной плотности
ГОСТ 25584 Грунты. Методы лабораторного определения коэффициента фильтрации
ГОСТ 25818 Золы-уноса тепловых электростанций для бетонов. Технические условия
ГОСТ 28622-2012 Грунты. Метод лабораторного определения степени пучинистости
ГОСТ 32495 Щебень, песок и песчано-щебеночные смеси из дробленого бетона и железобетона. Технические условия
ГОСТ 32703 Дороги автомобильные общего пользования. Щебень и гравий из горных пород. Технические требования
ГОСТ 32730 Дороги автомобильные общего пользования. Песок дробленый. Технические требования
ГОСТ 32824 Дороги автомобильные общего пользования. Песок природный. Технические требования
ГОСТ 32826-2014 Дороги автомобильные общего пользования. Щебень и песок шлаковые. Технические требования
ГОСТ 32868 Дороги автомобильные общего пользования. Требования к проведению инженерно-геологических изысканий
ГОСТ 33063-2014 Дороги автомобильные общего пользования. Классификация типов местности и грунтов
ГОСТ 33100 Дороги автомобильные общего пользования. Правила проектирования автомобильных дорог
ГОСТ 33133 Дороги автомобильные общего пользования. Битумы нефтяные дорожные вязкие. Технические требования
ГОСТ 33149 Дороги автомобильные общего пользования. Правила проектирования автомобильных дорог в сложных условиях
ГОСТ 33174 Дороги автомобильные общего пользования. Цемент. Технические требования
ГОСТ 33220 Дороги автомобильные общего пользования. Требования к эксплуатационному состоянию
ГОСТ Р 52051 Механические транспортные средства и прицепы. Классификация и определение
ГОСТ Р 55028 Дороги автомобильные общего пользования. Материалы геосинтетические для дорожного строительства. Классификация, термины и определения
ГОСТ Р 55052 Гранулят старого асфальтобетона. Технические условия
ГОСТ Р 56338 Дороги автомобильные общего пользования. Материалы геосинтетические для армирования нижних слоев основания дорожной одежды. Технические требования
ГОСТ Р 56419 Дороги автомобильные общего пользования. Материалы геосинтетические для разделения слоев дорожной одежды из минеральных материалов. Технические требования
ГОСТ Р 58422.1 Дороги автомобильные общего пользования. Защитные слои и слои износа дорожных одежд. Технические требования
ГОСТ Р 58769 Дороги автомобильные с низкой интенсивностью движения. Правила строительства и эксплуатации
ГОСТ Р 58818-2020 Дороги автомобильные с низкой интенсивностью движения. Проектирование, конструирование и расчет
ГОСТ Р 58861 Дороги автомобильные общего пользования. Капитальный ремонт и ремонт. Планирование межремонтных сроков
ГОСТ Р 58952.1 Дороги автомобильные общего пользования. Эмульсии битумные дорожные. Технические требования
ГОСТ Р 59120 Дороги автомобильные общего пользования. Дорожная одежда. Общие требования
ГОСТ Р 59866 Дороги автомобильные общего пользования. Показатели деформативности конструктивных слоев дорожной одежды из несвязных материалов и грунтов земляного полотна. Технические требования и методы определения
ГОСТ Р 70092 Дороги автомобильные общего пользования. Требования к проведению экономических изысканий
ГОСТ Р 70196 Дороги автомобильные общего пользования. Комплексные минеральные вяжущие для стабилизации и укрепления грунтов. Технические условия
ГОСТ Р 70197.1 Дороги автомобильные общего пользования. Смеси органоминеральные холодные с использованием вторичного асфальтобетона. Общие технические условия
ГОСТ Р 70452-2022 Дороги автомобильные общего пользования. Грунты стабилизированные и укрепленные неорганическими вяжущими. Общие технические условия
ГОСТ Р 70453-2022 Дороги автомобильные общего пользования. Грунты, укрепленные органическими вяжущими. Общие технические условия
ГОСТ Р 70454 Дороги автомобильные общего пользования. Смеси щебеночно-гравийно-песчаные, обработанные органическими вяжущими. Общие технические условия
ГОСТ Р 70455 Дороги автомобильные общего пользования. Смеси щебеночно-гравийно-песчаные, обработанные неорганическими вяжущими. Общие технические условия
ГОСТ Р 70456 Дороги автомобильные общего пользования. Грунты. Определение оптимальной влажности и максимальной плотности методом Проктора
ГОСТ Р 70458 Дороги автомобильные общего пользования. Смеси щебеночно-гравийно-песчаные. Общие технические условия
Примечание - При пользовании настоящим стандартом целесообразно проверить действие ссылочных стандартов (сводов правил) в информационной системе общего пользования - на официальном сайте Федерального агентства по техническому регулированию и метрологии в сети Интернет или по ежегодному информационному указателю "Национальные стандарты", который опубликован по состоянию на 1 января текущего года, и по выпускам информационного указателя "Национальные стандарты" за текущий год. Если заменен ссылочный документ, на который дана недатированная ссылка, то рекомендуется использовать действующую версию этого документа с учетом всех внесенных в данную версию изменений. Если заменен ссылочный документ, на который дана датированная ссылка, то рекомендуется использовать версию этого документа с указанным выше годом утверждения (принятия). Если после утверждения национального стандарта в ссылочный документ, на который дана датированная ссылка, внесено изменение, затрагивающее положение, на которое дана ссылка, то это положение рекомендуется применять без учета данного изменения. Если ссылочный документ отменен без замены, то положение, в котором дана ссылка на него, рекомендуется применять в части, не затрагивающей эту ссылку. Сведения о действии сводов правил целесообразно проверить в Федеральном информационном фонде стандартов.
В настоящем стандарте применены следующие термины с соответствующими определениями:
3.1
автомобильные дороги с низкой интенсивностью движения (автомобильные дороги с НИД): Автомобильные дороги со среднегодовой суточной интенсивностью движения не более 400 авт./сут, по функциональной классификации подразделяющиеся на распределительные и подъезды. |
3.2
асфальтобетонный гранулят: Материал, получаемый путем холодного фрезерования асфальтобетонного покрытия. |
3.3
геополотно: Сплошной, проницаемый, пористый геосинтетический материал, образованный из волокон, нитей, пряж, лент по текстильной технологии. |
3.4
георешетка: Плоский геосинтетический материал, имеющий сквозные ячейки правильной стабильной формы, размеры которых превышают наибольший размер поперечного сечения ребер, образованный путем экструзии, склеивания, термоскрепления или переплетения ребер, противостоящий растяжению (внешним нагрузкам) и выполняющий роль усиления конструкции. |
3.5
геосотовый материал: Пространственный геосинтетический материал, образованный из геополос, которые располагаются и скрепляются в перпендикулярных плоскостях относительно плоскости материала, образуя сквозные ячейки, поперечный размер которых соизмерим с высотой ребер. |
3.6
грунт дисперсный: Грунт, состоящий из совокупности отдельных твердых частиц (зерен) разного размера, связанных друг с другом физическими, физико-химическими или механическими структурными связями. |
3.7 грунт максимальной плотности: Грунт, плотность которого соответствует максимальной плотности либо превышает ее.
3.8
грунт техногенный: Грунт измененный, перемещенный или образованный (искусственно созданный) в результате инженерно-хозяйственной деятельности человека, в том числе отходы бытовые и производственные. |
3.9
грунты стабилизированные: Грунты, обработанные стабилизаторами с целью улучшения их водно-физических свойств. |
3.10
грунты укрепленные: Грунты, обработанные органическими, минеральными или комплексными вяжущими с целью повышения их физико-механических свойств. |
3.11
дорожная одежда: Конструктивный элемент автомобильной дороги, воспринимающий нагрузку от транспортных средств и передающий ее на земляное полотно. |
3.12
дорожная одежда нежесткая: Дорожная одежда, не содержащая в своем составе конструктивных слоев из монолитного цементобетона, сборного железобетона. |
3.13
| | ИС МЕГАНОРМ: примечание. В официальном тексте документа, видимо, допущена опечатка: имеется в виду ГОСТ Р 59120-2021, а не ГОСТ 59120-2021. | |
дорожная одежда низшего типа: Дорожная одежда с покрытиями из гравийно-песчаных и песчано-гравийных смесей, из малопрочных каменных материалов и шлаков, из грунтов, улучшенных различными местными материалами, техногенных грунтов, отходов и побочных продуктов промышленности, применяемая на автомобильных дорогах категории V. |
3.14
| | ИС МЕГАНОРМ: примечание. В официальном тексте документа, видимо, допущена опечатка: имеется в виду ГОСТ Р 59120-2021, а не ГОСТ 59120-2021. | |
дорожная одежда переходного типа: Дорожная одежда с покрытиями из щебня прочных пород, щебеночно-гравийно-песчаных смесей или из грунтов и малопрочных каменных материалов, укрепленных вяжущими, булыжного и колотого камня (мостовых), применяемая на автомобильных дорогах категорий IV - V. |
3.15
защитный слой (дорожного покрытия): Слой толщиной от 0,5 до 3,0 см, предназначенный для защиты верхнего слоя дорожного покрытия от непосредственного воздействия колес транспортных средств и/или погодно-климатических факторов. Примечание - Защитный слой не учитывают при расчете конструктивных слоев дорожных одежд автомобильных дорог. |
3.16 износ покрытия: Уменьшение толщины покрытия в процессе эксплуатации за счет истирания и потери износившегося материала в результате суммарного воздействия транспортных средств и природных факторов.
3.17 истирание материала верхнего слоя покрытия: Постепенное разрушение материала верхнего слоя покрытия при трении об его поверхность шин колеса транспортных средств.
3.18 местные дорожно-строительные материалы: Материалы естественного или искусственного происхождения, месторождение которых и место производства дорожных работ расположены в границах одного субъекта Российской Федерации, доставляемые преимущественно автомобильным транспортом, транспортерами и пневмотрубопроводами.
3.19
модуль деформации: Приращение механического напряжения, вызывающее единичное приращение относительной деформации грунта соответствующего вида (сдвига, линейного или объемного сжатия) и рассчитываемое как отношение приращения приложенных напряжений к возникшему при этом общему приращению деформаций грунта. |
3.20
нормативная осевая нагрузка: Полная нагрузка от наиболее нагруженной оси условного двухосного автомобиля, к которой приводятся все автомобили с осевыми нагрузками, устанавливаемая нормативными документами для дорожных одежд при заданной капитальности и используемая для определения расчетной нагрузки при расчете дорожной одежды на прочность. |
3.21
осевая расчетная нагрузка: Максимальная нагрузка на наиболее нагруженную ось для двухосных автомобилей или на приведенную ось для многоосных автомобилей, доля которых в составе движения с учетом перспективы изменения к концу межремонтного срока составляет не менее 5%. |
3.22 относительная влажность грунта: Отношение естественной влажности к влажности на границе текучести.
3.23
отходы производств: Твердые отходы производства, полученные в результате механических, химических и термических преобразований материалов природного происхождения. |
3.24 поверхностно-активные вещества; ПАВ: Химические добавки (в том числе полимерные) к органическим или минеральным вяжущим материалам или смесям для повышения адгезии вяжущего с поверхностью минерального материала.
3.25
рабочий слой земляного полотна: Верхняя часть земляного полотна в пределах от низа дорожной одежды до уровня, соответствующего 2/3 глубины промерзания конструкции, но не менее 1,5 м, считая от поверхности покрытия. |
3.26 расчетный период года: Наиболее неблагоприятный по условиям увлажнения грунта земляного полотна и температуре слоев дорожной одежды период года, в течение которого возможно накопление остаточных деформаций.
регулирующий слой (прослойка): Слой (прослойка), улучшающий водно-тепловой режим дорожной одежды и земляного полотна и повышающий работоспособность, как всей дорожной конструкции, так и отдельных ее слоев; выполняющий одну из (или несколько сразу) функций (теплоизоляция, гидроизоляция, пароизоляция, противозаиливание, армирование и распределение нагрузки). |
3.28
стабилизаторы: Многокомпонентные системы, включающие в своем составе (в основном) поверхностно-активные вещества как ионогенного, так и неионогенного типов и обладающие свойствами гидрофобизаторов, суперпластификаторов, полимеров, применяемые в строительстве для обработки грунтов с целью изменения их водно-физических свойств. |
3.29
стабилизация грунтов: Способ улучшения водно-физических свойств грунта путем его обработки стабилизаторами и (или) поверхностно-активными веществами. |
3.30 типовая конструкция нежесткой дорожной одежды: Конструкция нежесткой дорожной одежды для многократного повторения, запроектированная по действующим нормам и предназначенная для обеспечения работы в течение нормативного срока службы, с учетом воздействия природно-климатических факторов, грунтово-гидрогеологических условий и транспортных нагрузок, характерных для района проектирования.
3.31
укрепление грунтов: Способ повышения физико-механических свойств грунта путем его обработки органическими, минеральными или комплексными вяжущими. |
4.1 Проектирование дорожной одежды должно представлять собой единый процесс конструирования и расчета дорожной конструкции (системы дорожная одежда и рабочий слой земляного полотна).
4.2 Дорожную одежду переходных и низших типов автомобильных дорог с НИД следует проектировать исходя из обеспечения круглогодичного проезда автомобилей. В неблагоприятные периоды года допускается ограничение движения тяжелых транспортных средств категорий N
2 (при нагрузке на ось более 5 т) и N
3 по
ГОСТ Р 52051 в установленном порядке.
4.3 Дорожные одежды должны быть запроектированы с учетом планирования межремонтных сроков в соответствии с требованиями
ГОСТ Р 58861.
Проектирование дорожной одежды должно быть выполнено в соответствии с требованиями
ГОСТ 33100.
4.4 При проектировании дорожных одежд для конкретных объектов и разработке типовых региональных решений по конструкциям дорожной одежды наряду с положениями настоящего стандарта следует учитывать данные научно-практического опыта (в том числе в части применения местных материалов и грунтов, уточнения расчетных значений характеристик и т.д.) на рассматриваемых территориях проектирования автомобильных дорог с НИД.
4.5 При проектировании конструкцию дорожной одежды следует определять на основе технико-экономического сравнения вариантов. При интенсивности 100 - 400 авт./сут и наличии в составе транспортного потока более 10% тяжелых транспортных средств (при нагрузке на ось более 5 т) необходимо по результатам технико-экономического обоснования применять максимальный коэффициент прочности дорожной одежды или устраивать дорожные одежды усовершенствованного типа. При интенсивности движения менее 100 авт./сут и наличии в составе транспортного потока более 70% легковых автомобилей M
1 по
ГОСТ Р 52051 необходимо по результатам технико-экономического обоснования применять минимальный коэффициент прочности дорожной одежды.
При строительстве, реконструкции и капитальном ремонте следует максимально использовать местные дорожно-строительные материалы и грунты, а также отходы местной промышленности и техногенные грунты.
5 Требования к конструированию дорожных одежд
5.1 Общие требования конструирования
5.1.1 При конструировании дорожных одежд необходимо соблюдать следующие принципы конструирования:
- тип дорожной одежды, конструкция дорожной одежды должны удовлетворять транспортно-эксплуатационным требованиям, предъявляемым к дороге соответствующей категории, а также ожидаемым в перспективе составу транспортного потока и интенсивности движения;
- конструкцию дорожной одежды для дорог с НИД следует назначать по региональным типовым проектным решениям, разрабатываемым на основе практического опыта, при отсутствии таковых - согласно расчету. При этом должен быть установлен порядок разработки региональных типовых проектных решений специализированными организациями с учетом природных и грунтово-геологических условий региона, а также с использованием новых, экономически обоснованных технологий и конструктивных материалов;
- в районах, недостаточно обеспеченных прочными каменными материалами, допускается применять местные малопрочные каменные материалы (с маркой по дробимости менее 600), отходы местной промышленности, техногенные грунты и грунты, свойства которых могут быть улучшены обработкой их различными видами вяжущих;
- конструкция должна быть технологичной и обеспечивать возможность максимальной механизации дорожно-строительных процессов;
- число слоев и видов материалов в конструкции должны быть минимальными;
- при конструировании необходимо учитывать реальные условия проведения строительных работ (летний или зимний период, применяемые материалы и технологии и др.).
5.1.2 Тип дорожной одежды следует назначать исходя из категории проектируемой автомобильной дороги, определяемой по
ГОСТ Р 58818, на основании результатов экономических изысканий по
ГОСТ Р 70092, с учетом транспортно-эксплуатационных требований по
ГОСТ Р 58769, интенсивности и состава движения, климатических и грунтово-гидрологических условий, санитарно-гигиенических требований, а также обеспеченности района строительства дороги местными строительными материалами.
Следует проектировать конструкции дорожной одежды:
- переходного типа при среднегодовой суточной интенсивности движения от 100 до 400 авт./сут, с обязательным устройством защитного слоя из одиночной или двойной шероховатой поверхностной обработки в соответствии с
ГОСТ Р 58422.1;
- переходного типа при среднегодовой суточной интенсивности движения от 50 до 99 авт./сут, с укреплением (обработкой) материалов и грунтов комплексными, органическими и минеральными вяжущими;
- переходного типа при среднегодовой суточной интенсивности движения менее 50 авт./сут, в соответствии с
6.2;
- низшего типа при среднегодовой суточной интенсивности движения менее 50 авт./сут.
При вышеуказанной интенсивности и не менее 10% тяжелых транспортных средств категории N
3 по
ГОСТ Р 52051 в составе транспортного потока вид покрытия дорожной одежды следует повышать (облегченный вместо переходного, переходный вместо низшего) на основании расчета дорожной одежды на прочность.
5.1.3 Выбор типа дорожной одежды (переходный, низший) для автомобильных дорог с НИД следует определять с учетом состава транспортного потока по результатам технико-экономического обоснования вариантов дорожных одежд в соответствии с требованиями ГОСТ Р 58818-2020 (
пункты 5.2 и
11.1.6).
5.2 Конструирование дорожной одежды
5.2.1 Конструирование дорожной одежды необходимо проводить в следующей последовательности:
- выбор вида и материала покрытия, определение необходимости наличия и вида защитного слоя; при выборе материала покрытия необходимо учитывать, что защитные слои на основе органических вяжущих должны наноситься только на покрытия, укрепленные органическими вяжущими;
- назначение числа конструктивных слоев с выбором материалов для устройства слоев, размещение слоев в конструкции и назначение их ориентировочных толщин;
- предварительная оценка необходимости назначения дополнительных мер по морозоустойчивости с учетом дорожно-климатической зоны, типа грунта рабочего слоя земляного полотна и схемы увлажнения;
- назначение мероприятий по осушению конструкции дорожной одежды;
- оценка целесообразности укрепления или улучшения верхней части рабочего слоя земляного полотна насыпи (грунтовое основание дорожной одежды выемки);
- отбор конкурентоспособных вариантов дорожной одежды, не менее трех.
5.2.2 Конструкцию дорожной одежды и вид покрытия следует принимать исходя из функционального назначения, категории проектируемой дороги с учетом интенсивности и состава транспортного потока, нормативной нагрузки, климатических условий, санитарно-гигиенических рекомендаций, а также обеспеченности района строительства дороги местными строительными материалами при соблюдении требований ГОСТ Р 58818-2020
(пункт 11.1.6) и
таблиц 1 и
2 настоящего стандарта.
Таблица 1
Классификация дорожных одежд и материалы для покрытий
автомобильных дорог с НИД
Тип дорожной одежды | Материал покрытия |
Переходный | Щебень и гравий прочных пород без применения вяжущих материалов; шлаковый щебень; гравийные и щебеночно-гравийно-песчаные смеси; щебеночно-гравийно-песчаные смеси, укрепленные (обработанные) вяжущими; органоминеральные холодные смеси с использованием вторичного асфальтобетона; асфальтобетонный гранулят; грунты и малопрочные каменные материалы (с маркой по дробимости менее 600), укрепленные (обработанные) вяжущими |
Низший | Щебеночно-гравийно-песчаные смеси; гравийно-песчаные смеси; малопрочные каменные материалы и шлаки; техногенные грунты, отходы местной промышленности |
Таблица 2
Требования к материалам конструктивных слоев дорожных одежд
переходного и низшего типов
Материал | Конструктивный слой, в котором используется материал дорожной одежды | Нормативный документ, регламентирующий требования |
переходного типа | низшего типа |
Вязкие дорожные нефтяные битумы | Покрытие, основание | - | |
Жидкие дорожные нефтяные битумы | Покрытие, основание | - | |
Дорожные битумные эмульсии | Покрытие | - | |
Комплексные минеральные вяжущие | Покрытие | - | |
Цемент | Покрытие, основание | - | |
Строительная известь | Покрытие, основание | - | |
Песок | Основание | Основание | |
Щебень и гравий из горных пород | Покрытие, основание | Покрытие | |
Щебень, песок и песчано-щебеночные смеси из дробленого бетона и железобетона | Основание | Основание | |
Зола уноса | Основание (в составе минеральных вяжущих для приготовления смесей и укрепленных грунтов) | Основание (в составе минеральных вяжущих для приготовления смесей и укрепленных грунтов) | |
Шлаковые щебень и песок | Покрытие, основание, дополнительные слои основания | - | |
Щебеночно-гравийно-песчаные смеси | Покрытие, основание, дополнительные слои основания | Покрытие, основание, дополнительные слои основания | |
Щебеночно-гравийно-песчаные смеси, обработанные неорганическими вяжущими материалами | Покрытие, основание, дополнительные слои основания | - | |
Щебеночно-гравийно-песчаные смеси, обработанные органическими вяжущими | Покрытие, основание | - | |
Грунты, укрепленные органическими вяжущими | Основание, дополнительный слой основания | Основание, дополнительный слой основания | |
Органоминеральные холодные смеси с использованием вторичного асфальтобетона | Покрытие, основание | - | |
Асфальтобетонный гранулят | Покрытие, основание | - | |
Грунты, стабилизированные и укрепленные неорганическими вяжущими | Покрытие, основание, дополнительный слой основания | - | |
Геосинтетические материалы | Основание, дополнительные слои основания | Основание, дополнительные слои основания | |
Геосинтетические материалы для разделения слоев дорожной одежды | Основание, дополнительные слои основания | Основание, дополнительные слои основания | |
Геосинтетические материалы для армирования нижних слоев основания дорожной одежды | Основание, дополнительные слои основания | Основание, дополнительные слои основания | |
5.2.3 При технико-экономическом сравнении вариантов конструкций дорожных одежд должны быть рассмотрены варианты с различными конструктивными слоями и видами покрытий для определенного типа дорожной одежды, установленного согласно
5.1.2. При соответствующем технико-экономическом обосновании следует применять типовые конструкции дорожных одежд и типовые поперечные профили автомобильных дорог с НИД, разработанные региональными специализированными организациями, а при их отсутствии - в соответствии с
приложением А.
5.2.4 Классификация дорожных одежд по типу и материалам покрытий для автомобильных дорог с НИД приведена в
таблице 1.
5.2.5 Требования к материалам конструктивных слоев дорожных одежд переходного и низшего типов приведены в
таблице 2.
5.2.6 При выборе материалов для устройства слоев дорожной одежды необходимо учитывать следующие требования:
- покрытие, защитные слои покрытия и верхние слои основания должны соответствовать воздействующим нагрузкам и быть водо-, морозо- и термостойкими;
- материалы основания дорожной одежды должны передавать и перераспределять нагрузку от покрытия на грунты земляного полотна, сопротивляться сдвигающим напряжениям и быть морозоустойчивыми;
- дополнительные слои основания должны обеспечивать необходимую морозоустойчивость и дренирующую способность.
5.2.7 Статические модули деформации материалов дорожной одежды должны уменьшаться сверху вниз, при этом модули деформации материалов двух смежных слоев не должны отличаться более чем в три раза.
5.2.8 Расположение неукрепленных зернистых материалов между слоями из материалов или грунтов, обработанных вяжущим, не допускается.
Дополнительные слои основания совместно с верхними слоями и покрытием должны обеспечивать необходимую прочность конструкции, морозоустойчивость, а также дренирующую способность. Нижние слои основания, особенно из зернистых материалов, рекомендуется устраивать из сдвигоустойчивых материалов.
5.2.9 Общую толщину дорожной одежды и толщины отдельных конструктивных слоев следует назначать по расчету на прочность, по проверкам на колееобразование, износ, морозоустойчивость, осушение в соответствии с
разделами 6 и
7.
Независимо от результатов расчета на прочность дорожной одежды толщины конструктивных слоев в уплотненном состоянии следует принимать по
ГОСТ Р 58818, но не менее приведенных в
таблице 3.
Таблица 3
Минимальные значения толщины конструктивных слоев
дорожной одежды
Материал слоя дорожной одежды | Толщина слоя, см |
Органоминеральные смеси | 8 |
Щебеночные (гравийные) материалы, обработанные органическим вяжущим | 8 |
Щебень, обработанный органическим вяжущим по способу пропитки | 8 |
Щебеночные и гравийные материалы, не обработанные вяжущим: | |
- на песчаном основании | 15 |
- на каменном или из укрепленного (стабилизированного) грунта | 8 |
Каменные материалы, обработанные органическими, неорганическими вяжущими и комплексными вяжущими | 10 |
Грунты, обработанные органическими, неорганическими вяжущими | 10 |
Шлаковые щебень и песок | 12 |
Грунт, укрепленный или стабилизированный | 15 |
Песок, с модулем крупности более 2 Мк | 20 |
Примечания 1 Толщина уплотненного конструктивного слоя во всех случаях должна быть не менее 2-кратного номинально максимального размера применяемого минерального материала. 2 При устройстве слоев толщиной более 18 см из материалов, обработанных комплексными, минеральными или органическими вяжущими, рекомендуется устраивать такие слои за два прохода для достижения наиболее максимального уплотнения. |
5.2.10 При укладке каменных материалов на основание из связных грунтов необходимо предусматривать прослойки не менее 10 см из природного песка по
ГОСТ 32824, отсева дробления с коэффициентом фильтрации более 1 м/сут и содержанием пылеватых и глинистых частиц менее 5% или устраивать прослойки из геосинтетических материалов в соответствии с
ГОСТ Р 56419.
5.2.11 На участках автомобильных дорог с неблагоприятными грунтово-гидрологическими условиями [высоким уровнем грунтовых вод, наличием верховодки или длительно (более 30 сут) стоящих поверхностных вод; с необеспеченным поверхностным стоком или кратковременно (менее 30 сут) стоящих поверхностных вод] и невозможностью обеспечения требуемого возвышения поверхности покрытия для ограничения миграции влаги из нижних слоев земляного полотна в верхние и основание дорожной одежды следует предусматривать мероприятия по регулированию водно-теплового режима грунтов земляного полотна.
Регулирование водно-теплового режима грунтов земляного полотна обеспечивается устройством гидроизолирующих, капилляропрерывающих, теплоизолирующих, дренирующих слоев (прослоек).
5.2.12 В целях назначения однотипной конструкции дорожной одежды на участках автомобильной дороги следует добиваться однородности физико-механических свойств грунтов земляного полотна.
Слабые и переувлажненные грунты основания земляного полотна (насыпи в нулевых отметках, выемки), местные переувлажненные грунты земляного полотна, грунты верхней части рабочего слоя земляного полотна из местных некондиционных грунтов (при расчетной относительной влажности грунта более 0,7 от влажности на границе текучести) следует осушать, укреплять вяжущими и улучшать добавками для обеспечения работоспособности дорожной конструкции в течение жизненного цикла автомобильной дороги.
Модуль деформации на поверхности грунтов рабочего слоя земляного полотна в расчетный период при максимальной влажности грунтов (весна, осень) должен быть не менее следующих значений:
15 МПа - для дорожно-климатических зон I - II;
14 МПа - для дорожно-климатической зоны III;
13 МПа - для дорожно-климатических зон IV и V.
Повышение модуля деформации следует достигать заменой грунтов, осушением грунта земляного полотна, укреплением вяжущими, стабилизацией свойств и армированием грунтов.
5.2.13 Морозозащитные слои следует устраивать из стабильных материалов, не изменяющих своих свойств при увлажнении и промерзании; грунтов, укрепленных вяжущими; грунтов, стабилизированных гидрофобизирующими добавками, и других непучинистых материалов, в соответствии с нормативными документами и технической документацией по проектированию нежестких дорожных одежд.
5.2.14 Морозозащитный слой из зернистых материалов с коэффициентом фильтрации не менее 1 - 2 м/сут может выполнять функцию дренирующего слоя. Коэффициент фильтрации материала морозозащитного и дренирующего слоев должен быть при максимальной плотности не менее 1 и 2 м/сут соответственно на участках дорог, проходящих в насыпи и выемке. При таком совмещении функций дополнительный слой основания устраивают на всю ширину земляного полотна. В зависимости от принятого принципа работы слоя рекомендуется выводить такой слой на откосы насыпи или предусматривать водоотводящие устройства.
Толщина морозозащитного слоя устанавливается расчетом, а его ширина должна превышать ширину вышележащего слоя не менее чем на 0,5 м с каждой стороны.
Толщину дренирующего слоя из крупнообломочных каменных материалов или природных песков с коэффициентом фильтрации не менее 1 и 2 м/сут соответственно следует принимать не менее 0,20 м.
Конструкцию считают морозоустойчивой, если расчетное (ожидаемое) пучение грунта земляного полотна меньше допустимого для данной конструкции.
5.2.15 В местах примыкания разных конструкций дорожной одежды необходимо предусматривать переходную зону, в пределах которой осуществляют отгон толщин в продольном направлении. Длину переходной зоны рекомендуется назначать для дорожных одежд переходного типа не менее 20 м, для дорожных одежд низшего типа не менее 10 м.
5.2.16 На пучиноопасных участках с глубоким сезонным промерзанием грунтов (более 1,5 м) следует предусматривать теплоизолирующие слои из специальных материалов для предотвращения промерзания грунтов земляного полотна, в соответствии с нормативными документами и технической документацией по проектированию нежестких дорожных одежд.
5.2.17 Дренирующие слои при обосновании толщины расчетом следует устраивать на участках с земляным полотном из недренирующих грунтов во всех случаях при 3-й схеме увлажнения рабочего слоя земляного полотна; при 1-й и 2-й схемах увлажнения (см. СП 34.13330.2021, приложение В,
таблица В.1) в районах с количеством осадков более 600 мм за год в дорожно-климатических зонах II, III, а также на участках, в основании дорожной одежды которых возможно скопление поверхностных вод.
Дренирующие слои следует устраивать из фильтрующих материалов. Требуемый коэффициент фильтрации материала дренирующего слоя должен быть при максимальной плотности не менее 1 и 2 м/сут соответственно на участках дорог, проходящих в насыпи и в выемке [в том числе на участках насыпей в нулевых отметках (высотой до 1,0 м)].
Толщину дренирующего слоя из каменных материалов или крупнозернистых песков с коэффициентом фильтрации не менее 1 м/сут по
ГОСТ Р 70458,
ГОСТ 25584 при максимальной плотности по
ГОСТ 22733 следует принимать не менее 0,20 м и рассчитывать на осушение или на осушение с периодом запаздывания отвода воды или на поглощение в соответствии с нормативными документами и технической документацией по проектированию нежестких дорожных одежд.
В качестве дренирующих материалов могут быть использованы геосинтетические материалы по
ГОСТ Р 55028, соответствующие техническим требованиям по
ГОСТ Р 56419.
5.2.18 На участках с затяжными уклонами более

, где продольный уклон больше поперечного, для перехвата и отвода воды, перемещающейся в дренирующем слое дорожной одежды вдоль дороги, следует предусматривать для осушения основания дорожной одежды устройство поперечных прорезей с большим уклоном и укладкой в них щебня с противозаиливающей изоляцией.
5.2.19 На участках со сложными грунтово-гидрогеологическими условиями по
ГОСТ 32868 для уменьшения влагонакопления в верхней части земляного полотна допускается применять водонепроницаемые (гидроизолирующие) прослойки на всю ширину земляного полотна.
5.2.20 На участках со сложными грунтово-гидрогеологическими условиями по
ГОСТ 32868 допускается применять капилляропрерывающие прослойки из крупного песка по
ГОСТ 32824 или гравия на всю ширину земляного полотна. Для предохранения прослойки из зернистых материалов от быстрого загрязнения, под и над ней следует предусматривать противозаиливающие прослойки.
5.2.21 Возможность применения в дорожных одеждах щебня из малопрочных известняков [с пределом прочности на одноосное сжатие от 5 до 15 МПа по ГОСТ 33063-2014
(таблица 8)], опоки, гравийных материалов, дресвы, ракушечника, искусственных каменных материалов и другого без обработки вяжущими следует определять в соответствии с требованиями национальных стандартов на материалы дорожной одежды и расчетами дорожной одежды на прочность.
5.2.22 При интенсивности движения более 100 авт./сут следует предусматривать обработку малопрочных материалов комплексными, органическими и минеральными вяжущими.
5.2.23 Шлаковый щебень из высокоактивных и активных шлаков по ГОСТ 32826-2014
(пункт 5.4.1) следует использовать для устройства покрытий.
Щебень слабоустойчивой структуры из активных шлаков по ГОСТ 32826-2014 (
пункты 5.4.1 и
6.1.1) следует использовать только для устройства оснований, а щебень из слабоактивных шлаков слабоустойчивой или среднеустойчивой структуры - после приобретения ими устойчивой структуры.
5.2.24 Слой грунта максимальной плотности для дорожных одежд низшего типа следует рассматривать как самостоятельный конструктивный слой на участках дорог при первой схеме увлажнения. При устройстве слоя максимальной плотности из связного грунта следует предусматривать мероприятия по защите его от увлажнения и разуплотнения.
5.2.25 Проектирование дорожных одежд на специфических грунтах (слабые, засоленные, техногенные, просадочные, набухающие грунты, подвижные пески), при опасных геологических и гидрогеологических процессах (склоновые процессы, карсты, подтопляемые участки, территории развития оврагов), в особых природно-техногенных условиях (подрабатываемые, сейсмоопасные и подверженные наледеобразованию территории) следует выполнять в соответствии с требованиями
ГОСТ 33149.
5.2.26 Основные виды покрытий и материалов, армированных геосотовым материалом:
- из местных каменных материалов;
- местных малопрочных каменных материалов;
- местных дисперсных грунтов по ГОСТ 33063-2014
(таблица 27).
5.2.27 В покрытии и слоях основания переходных типов дорожных одежд, на слабых грунтах, на контакте слоев из крупнозернистых материалов с песчаными слоями основания или с грунтом земляного полотна следует предусматривать устройство армирующих по
ГОСТ Р 56338 и противозаиливающих по
ГОСТ Р 56419 прослоек.
5.3 Требования к конструктивным слоям дорожных одежд из укрепленных грунтов
5.3.1 Общие требования
5.3.1.1 Конструктивные слои из укрепленных грунтов следует применять преимущественно в основаниях дорожных одежд переходного типа, конструктивные слои из укрепленных грунтов с добавками в покрытиях - дорожных одеждах низшего типа.
5.3.1.2 В первую очередь следует использовать местные грунты, которые непосредственно располагаются на участке строительства автомобильной дороги.
5.3.1.3 Для укрепления несвязных грунтов следует применять минеральные вяжущие на основе цемента, а для укрепления связных грунтов - на основе извести. При укреплении грунтов допускается также использовать органические и комплексные вяжущие. Наряду с вяжущими целесообразно применять поверхностно-активные добавки.
5.3.1.4 Комплексное вяжущее может иметь один из следующих составов:
- цемент с добавкой вязкого битума или эмульсии на вязком нефтяном битуме;
- цемент с добавкой жидкого битума;
- цемент с добавкой полимерно-битумного вяжущего;
- цемент с добавкой полимерно-минеральной композиции;
- цемент (известь) с добавкой активной золы-уноса или гранулированного шлака и т.д. в соответствии с
ГОСТ Р 70196.
5.3.1.5 Стабилизаторы грунтов следует использовать для увеличения плотности, прочности, влагостойкости и морозоустойчивости грунтов по
ГОСТ Р 70452.
5.3.1.6 Грунты, укрепленные комплексными вяжущими, имеют наиболее высокие расчетные прочностные и деформационные характеристики, повышенные работоспособность и трещиностойкость в процессе эксплуатации дорог. Их следует применять для устройства как оснований, так и покрытий.
5.3.1.7 При проектировании конструктивных слоев оснований и покрытий дорожных одежд из укрепленных грунтов не требуется предусматривать деформационные швы.
5.3.2 Требования к грунтам
5.3.2.2 При проведении работ методом смешения на дороге помимо песков и супесей всех разновидностей по
ГОСТ 33063 допускается использовать:
а) глинистые грунты при условии доведения числа пластичности не более 17 (в соответствии с
ГОСТ Р 70452: добавлением природного песка по
ГОСТ 32824, дробленого песка по
ГОСТ 32730, песчаного грунта по
ГОСТ 33063, введение стабилизаторов);
б) суглинки с числом пластичности до 12 при условии введения добавок извести, цемента, золы уноса или песка из отсевов дробления карбонатных горных пород при строительстве в дорожно-климатических зонах I - III по
СП 34.13330 и без введения добавок в дорожно-климатических зонах IV - V;
в) суглинки с числом пластичности от 12 до 17 и глины с числом пластичности до 22 при условии введения добавок извести, цемента, золы-уноса и песка из отсевов дробления карбонатных пород или природного крупнозернистого песка - в дорожно-климатических зонах II - V.
Укрепление глин битумными эмульсиями не допускается.
5.3.2.3 Засоленные грунты, содержащие легкорастворимые соли по
ГОСТ 33063 не более 1% масс., следует укреплять жидкими органическими вяжущими по
ГОСТ 11955. Применение битумных эмульсий для укрепления засоленных грунтов не допускается.
5.3.2.4 Содержание частиц размером более 5 мм в измельченном, подготовленном к обработке вяжущими глинистом грунте должно быть не более 25% масс., в том числе содержание частиц размером более 10 мм - не более 10%.
| | ИС МЕГАНОРМ: примечание. В официальном тексте документа, видимо, допущена опечатка: имеется в виду ГОСТ Р 70452, а не ГОСТ 70452. | |
5.3.2.5 При использовании неорганических вяжущих по
ГОСТ 70452 не допускается применять грунты с содержанием гумуса в количестве 2% масс. в дорожно-климатических зонах I и II; более 4% - в дорожно-климатических зонах III и IV; содержащие примеси гипса в количестве 10% масс.
5.3.2.6 Для снижения расхода вяжущего и повышения показателей физико-механических свойств укрепленных грунтов в них для оптимизации гранулометрического состава целесообразно вводить гранулометрические добавки (отходы камнедробления, золы уноса, золошлаковые смеси, естественные грунты).
5.3.3 Требования к вяжущим материалам и добавкам
5.3.3.1 При выборе вяжущего материала преимущество следует отдавать неорганическим и комплексным вяжущим.
5.3.3.2 Вяжущие материалы и добавки, применяемые для укрепления и стабилизации грунтов неорганическими вяжущими, должны соответствовать требованиям ГОСТ Р 70452-2022 (
пункты 4.3.2 и
4.3.4).
Для снижения расхода неорганических вяжущих материалов, повышения прочности, морозостойкости укрепленных грунтов и улучшения технологических свойств смесей следует применять химические добавки. Перечень химических добавок, применяемых при укреплении грунтов, приведен в
приложении Б.
5.3.3.3 Вяжущие материалы для укрепления грунтов органическими вяжущими должны соответствовать требованиям ГОСТ Р 70453-2022
(пункт 4.2.2).
Для устройства несущих слоев оснований использование жидких битумов без поверхностно-активных добавок не допускается.
5.3.3.4 В качестве активных добавок к битуму следует применять поверхностно-активные вещества или продукты, их содержащие.
Сочетание органических вяжущих материалов и поверхностно-активных добавок, применяемых для укрепленных грунтов в зависимости от вида грунта и дорожно-климатической зоны строительства, подбирают в соответствии с требованиями нормативных документов, утвержденных в установленном порядке.
5.3.4 Требования к стабилизаторам
5.3.4.1 При применении технологии стабилизации следует обрабатывать глинистые грунты теми видами стабилизаторов, которые не содержат вяжущих как структурообразующих элементов: катионные (катионоактивные), анионные (анионоактивные), универсальные, биологические и наноструктурированные стабилизаторы.
5.3.4.2 Применяемые стабилизаторы и добавки должны соответствовать требованиям нормативных документов, утвержденных в установленном порядке.
5.3.4.3 Общая классификация стабилизаторов, применяемых в дорожном строительстве, представлена в ГОСТ Р 70453-2022
(приложение Б).
Рекомендации по применению стабилизаторов в дорожном строительстве приведены в ГОСТ Р 70452-2022
(приложение В).
5.3.5 Характеристики укрепленных грунтов
5.3.5.1 Физико-механические показатели укрепленных грунтов, применяемых в конструктивных слоях дорожной одежды, должны соответствовать
ГОСТ Р 70452 при укреплении их неорганическими вяжущими,
ГОСТ Р 70454 - при укреплении органическими вяжущими.
Все грунты перед уплотнением должны иметь оптимальную влажность. Во время производства работ отклонение от оптимальной влажности не должно превышать предела от 1% до 3% в зависимости от погодных условий.
5.3.5.2 Значение коэффициента морозостойкости грунтов, укрепленных органическими вяжущими, определяемое по ГОСТ Р 70453-2022
(приложение Г), должно быть не менее 0,80 согласно ГОСТ Р 70453-2022
(подраздел 4.1).
Значение коэффициента морозостойкости грунтов, укрепленных неорганическими вяжущими, определяемое по ГОСТ Р 70452-2022
(приложение Ж), должно быть не менее 0,80 согласно ГОСТ Р 70452-2022
(подраздел 4.1).
5.3.5.3 Суммарная удельная эффективная активность естественных радионуклидов в укрепляемых грунтах и смесях согласно
ГОСТ Р 70453 не должна превышать следующих значений:
- 740 Бк/кг - для дорожного строительства без ограничений;
- 1500 Бк/кг - для дорожного строительства вне населенных пунктов и зон эффективной застройки.
6.1 Дорожные одежды переходного и низшего типов следует рассчитывать по методике, изложенной в настоящем стандарте, в том числе с учетом практического опыта применения аналогичных конструкций в районе места производства работ.
6.2 В качестве расчетной следует принимать нормативную нагрузку, представляющую собой для автомобильных дорог категорий IVБ-п, VА (дорожные одежды переходного типа) осевую статическую нагрузку
Q = 100 кН (10 т), категории VБ (с дорожными одеждами низшего типа) -
Q = 60 кН (6 т), в соответствии с требованиями
ГОСТ Р 59120. Расчетные параметры нормативных нагрузок (давление на покрытие
P; диаметр круга, равновеликого площади следа неподвижного колеса,
D) приведены в
таблице 4.
Таблица 4
Расчетные параметры нормативных нагрузок
Нормативная статическая нагрузка, кН | Тип дорожной одежды | Расчетный параметр нагрузки |
P, МПа | D, см |
100 | Переходный | 0,6 | 37,1 ------ 32,6 |
60 | Низший | 0,6 | 28,5 ------ 25 |
Примечание - В числителе приведен диаметр для движущегося колеса, в знаменателе - для неподвижного колеса. |
Если на дорогах категории VБ в составе транспортного потока тяжелых транспортных средств категории N
3 по
ГОСТ Р 52051 не менее 10%, то расчет следует выполнять на расчетную нагрузку на ось 100 кН и устраивать дорожные одежды переходного типа.
При реконструкции за расчетную нагрузку следует принимать максимальную осевую нагрузку от автомобилей, осуществляющих фактическое движение по данной автомобильной дороге, если автомобилей с максимальной осевой нагрузкой не менее 10% в составе движения.
6.3 Толщину отдельных конструктивных слоев дорожной одежды следует определять расчетом. При этом должно быть достигнуто неравенство между общим модулем деформации проектируемой конструкции Eд.общ, МПа, и требуемым модулем деформации одежды Eд.тр, МПа, установленным с учетом интенсивности и перспективного состава транспортного потока, в соответствии с условием
Eд.общ >= Eд.трKпр, (1)
где
Kпр - требуемый коэффициент прочности дорожной одежды, назначаемый в зависимости от категории автомобильной дороги, предельного коэффициента разрушения и заданного коэффициента надежности (см.
таблицу 5).
Категория автомобильной дороги | IVБ-п, VА | VБ |
Тип дорожной одежды | Переходный | Низший |
Предельный коэффициент разрушения | 0,40 | 0,40 |
Коэффициент надежности | 0,82 | 0,80 | 0,77 | 0,65 | 0,60 | 0,58 |
Требуемый коэффициент прочности | 1,05 | 1,03 | 1,0 | 1,00 | 1,0 | 1,0 |
6.4 Превышение общего модуля относительно требуемого модуля деформации, умноженного на коэффициент прочности, может быть не ограничено, если толщины слоев дорожной одежды имеют минимально допустимые значения. В дорожной одежде, имеющей слои толщиной больше минимально допустимых значений, общий модуль деформации при расчете по накоплению остаточных деформаций не должен превышать требуемый модуль деформации, умноженный на коэффициент прочности, более чем на 30%.
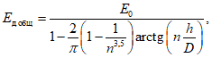
6.5 Общий модуль деформации многослойной конструкции дорожной одежды
Eд.общ, МПа, следует определять по номограмме (см.
рисунок 1) или по формуле

(2)
где E0 - модуль деформации основания, МПа;

;
E1 - модуль деформации верхнего слоя, МПа;
D - диаметр круга, равновеликого следу неподвижного колеса расчетного автомобиля, см;
h - толщина слоя, см.
Рисунок 1 - Номограмма
Eд.общ для определения общего модуля
деформации двухслойной системы
Приведение многослойной конструкции к эквивалентной двухслойной следует осуществлять послойно, начиная с подстилающего грунта.
6.6 Расчетные значения модулей деформаций грунтов и материалов допускается принимать по
приложению В или определять по методике, изложенной в
ГОСТ Р 59866.
6.7 Расчет по требуемому модулю деформации необходимо проводить в следующей последовательности:
- определяют требуемый модуль деформации конструкции;
- назначают предварительные толщины слоев конструкции и их модули деформации;
- определяют с помощью номограммы общие модули деформации на каждом конструктивном слое, начиная с грунта, получая в результате последовательных расчетов общий модуль деформации конструкции.
6.8 Требуемый модуль деформации одежды следует устанавливать исходя из условия, чтобы накапливаемая под действием повторных нагрузок деформация одежды не достигала критической величины, при которой покрытие разрушается либо образуются недопустимые по условиям движения по дороге неровности.
Требуемый модуль деформации одежды Eд.тр, МПа, следует назначать с учетом состава транспортного потока, перспективной интенсивности движения и рассчитывать по формуле

(3)
где P - давление на покрытие от нормативной нагрузки, МПа;

- допустимое вертикальное относительное перемещение покрытия, выражаемое в относительных величинах [отношение вертикального смещения к диаметру круга, равновеликого по площади следу колеса при воздействии нормативной нагрузки (см.
таблицу 6)];
K - коэффициент, учитывающий повторность воздействий расчетной нагрузки.
Таблица 6
Допустимые неровности (вертикальные перемещения
поверхности покрытия)
Наименование покрытия | Допустимое вертикальное перемещение |
относительное  | абсолютное, см |
Щебеночное/гравийное из смесей непрерывного гранулометрического состава по ГОСТ 32703, ГОСТ 32826 при максимальном размере зерен до 45 мм, а также из грунта, обработанного жидким битумом | 0,08 ------ 0,06 | 2,0 |
Из щебня фракционированного от 45 до 63 мм (от 63 до 90 мм) по ГОСТ 32703, ГОСТ 32826 с заклинкой фракционированным мелким щебнем, мелким известняком, активным или высокоактивным мелким шлаком | 0,07 ------ 0,05 | 1,75 |
Грунтовое, обработанное цементом | 0,05 ------ 0,04 | 1,25 |
Примечание - В числителе приведено значение при нормативной статической нагрузке на ось 60 кН, в знаменателе - при 100 кН. |
6.9 Коэффициент K, учитывающий повторный характер приложения нагрузки, определяют по формуле
K = 0,5 + 0,65 lg(
Np), (4)
где Np - интенсивность движения нормативной нагрузки на последний год службы, ед./сут.
Межремонтные сроки проведения работ по ремонту и капитальному ремонту дорожных одежд и покрытий принимать в соответствии с
ГОСТ Р 58861.
6.10 Интенсивность движения нормативной нагрузки следует устанавливать с учетом перспективных объемов и состава транспортного потока, определяемых на основании данных экономических изысканий (анализа) для дорожных одежд переходного типа на межремонтный срок службы дорожной одежды.
Для расчета дорожной одежды необходимо принимать среднесуточную интенсивность движения в неблагоприятный в отношении увлажнения земляного полотна расчетный период года (как правило, весенний).
На автомобильных дорогах с ярко выраженной сезонностью (например, уборка сельскохозяйственных культур) необходимо также проверять дорожную одежду на возможность пропуска перспективной интенсивности движения в период наибольших перевозок.
Если невозможно достоверно установить сезонную интенсивность на перспективный период, расчет следует проводить на среднегодовую суточную интенсивность движения на конец срока службы.
6.11 Воздействие на дорожную одежду автомобилей разных видов с различными нагрузками на колесо и давлениями на покрытие следует учитывать путем приведения фактического состава транспортного потока и интенсивности движения N (авт./сут) к интенсивности движения нормативной нагрузки Np (ед./сут).
Интенсивность движения нормативной нагрузки Np, ед./сут, на последний год срока службы вычисляют по формуле

(5)
m=1
где
fпол - коэффициент, учитывающий число полос движения:
fпол = 1 - для однополосной проезжей части дороги;
fпол = 0,55 - для двухполосной, по
[1];
n - общее число различных видов транспортных средств в составе транспортного потока;
Nm - число проездов автомобилей m-й марки в обоих направлениях, ед./сут, на последний год срока службы дорожной одежды;
Smсум - коэффициент приведения воздействия на дорожную одежду транспортного средства
m-й марки с нагрузкой на колесо
Pi к нормативной нагрузке, рассчитанной в соответствии с
[1] (раздел 7) (см.
таблицу Г.1 приложения Г).
6.12 Защитный слой в расчете на прочность не учитывается.
7 Проверка эксплуатационной надежности
7.1 Проверка на колееобразование
7.1.1 Глубину колеи следует рассчитывать на воздействие нормативной нагрузки на покрытие за период межремонтного срока службы дорожной одежды. Полученное значение колеи следует сравнивать с допустимым значением по условиям эксплуатации на автомобильных дорогах с покрытиями переходного типа категории IVБ-п - 30 мм, на дорогах категорий VА и VБ - 35 мм.
7.1.2 В зависимости от полученных результатов должны приниматься решения по корректировке конструкции дорожной одежды (укладка в покрытие более прочных материалов, устройство защитных слоев поверхностной обработки) или выполнению обязательных запланированных восстановительных работ в процессе содержания дорожной одежды.
7.1.3 Глубину колеи hk вычисляют по формуле
где S - остаточная деформация слоев дорожной одежды и грунта земляного полотна;
hн - истирание материала верхнего слоя покрытия в полосе наката за срок службы дорожной одежды.
7.1.4 Остаточную деформацию слоев дорожной одежды и грунта земляного полотна S вычисляют по формуле
где P - удельное давление на покрытие от нормативной нагрузки, МПа;
D - диаметр отпечатка неподвижного колеса расчетного автомобиля, м;
K - коэффициент, отражающий агрессивность повторных нагрузок, вызывающих нарастание остаточных деформаций, определяемый по
формуле (4);
Eд.общ - общий модуль деформации на поверхности покрытия, МПа.
7.1.5 Истирание материала верхнего слоя покрытия в полосе наката hн вычисляют по формуле

(8)
где kш - коэффициент, учитывающий эксплуатацию дорог автомобилями с шинами с металлическими шипами, равный 2 - 3 при нормативной осевой нагрузке 60 кН (для укрепленных грунтов и малопрочных каменных материалов kш = 3; для прочных каменных материалов, при наличии поверхностной обработки kш = 2); при нормативной осевой нагрузке 100 кН коэффициент kш увеличивается на 25%;
a - коэффициент, зависящий в основном от погодоустойчивости покрытия и климатических условий;
T - межремонтный срок службы для дорожных одежд переходного типа, составляющий 5 лет;
b - коэффициент, зависящий от качества (в основном прочности) материала покрытия, степени его увлажнения, состава и скорости движения;
Kи - коэффициент, учитывающий изменение в составе транспортного потока (при увеличении в составе транспортного потока количества легковых автомобилей Kи = 1,05, количества грузовых автомобилей Kи = 1,07);
q1 - показатель ежегодного роста интенсивности движения, составляющий более 1,0;
Np0 - интенсивность движения нормативной нагрузки Np на первый год эксплуатации дорожной одежды, вычисляемая по формуле

(9)
где fпол - коэффициент, учитывающий число полос движения: fпол = 1 - для однополосной проезжей части дороги; fпол = 0,55 - для двухполосной;
n - общее число различных видов транспортных средств в составе транспортного потока;
Nm1 - число проездов в сутки в обоих направлениях транспортных средств m-го вида в первый год эксплуатации дорожной одежды;
Smсум - суммарный по всем осям коэффициент приведения воздействия на дорожную одежду транспортного средства
m-го вида к нормативной нагрузке
Q, определяемый по
таблице Г.1 приложения Г, при соответствующей нормативной осевой статической нагрузке.
Значения коэффициентов
a и
b приведены в
таблице 7.
Таблица 7
Коэффициенты, учитываемые при расчете износа
щебеночных покрытий
Наименование покрытия | Коэффициент |
a, мм | b, мм/млн брутто-тонн в зависимости от нормативной осевой нагрузки |
60 кН | 100 кН |
Щебеночное и гравийное, обработанное вязкими органическими вяжущими: | | | |
двойной поверхностной обработкой | 1,3 - 2,7 | 3,5 - 4,5 | 4,5 - 5,5 |
одиночной поверхностной обработкой | 1,4 - 2,8 | 4,0 - 5,0 | 5,0 - 6,0 |
Щебеночное: | | | |
из прочных пород | 4,5 - 5,5 | 15,0 - 17,5 | 17,5 - 20,0 |
из малопрочных пород | 5,5 - 6,5 | 19,0 - 22,0 | 22,0 - 25,0 |
Гравийное: | | | |
из прочных пород | 3,0 - 4,0 | 16,0 - 19,0 | 19,0 - 22,0 |
из малопрочных пород | 4,0 - 6,0 | 20,0 - 25,0 | 25,0 - 30,0 |
Примечания 1 Средние значения a и b принимают для дорог, расположенных в зоне умеренного увлажнения (дорожно-климатическая зона III) и построенных из каменных материалов. 2 Для дорог со щебеночными и гравийными покрытиями, расположенных в зоне избыточного увлажнения, принимают нижние пределы, а в районах с сухим климатом - верхние пределы a и b. 3 Если ширина проезжей части менее 6,0 м, то b увеличивают на 15%. |
7.2.1 Расчет на износ материала покрытия следует выполнять на период межремонтного срока службы дорожной одежды.
При расчете должно быть определено уменьшение толщины покрытия из-за износа в процессе эксплуатации. Уменьшенную толщину покрытия следует сравнить с расчетным значением толщины покрытия по прочности.
7.2.2 В зависимости от полученных результатов следует принимать решения по корректировке конструкции дорожной одежды (увеличение толщины покрытия на дополнительную величину, равную толщине слоя износа; укладка в покрытие более прочных материалов; устройство защитных слоев поверхностной обработки) или выполнению периодических плановых работ по регулярному восстановлению защитного слоя в процессе содержания дорожной одежды.
7.2.3 Среднюю величину износа по всей площади покрытия hср, мм, вычисляют по формуле
где k - коэффициент неравномерности износа (при однополосной дороге следует принимать равным 0,7; при двухполосной - 0,6);
hн - истираемость материала в полосе наката, мм, вычисляемая по
формуле (8).
7.2.4 При отсутствии слоев поверхностной обработки проектную толщину покрытия дорожной одежды hп определяют как сумму толщины покрытия по условиям прочности hпр и средней величины износа покрытия, рассчитанной на срок службы до следующего ремонта hср, по формуле
hп = hпр + hср. (11)
7.3 Проверка на морозоустойчивость
7.3.1 Проверку на морозоустойчивость следует выполнять только для дорожных одежд переходного типа. Проверку дорожных одежд низшего типа на морозоустойчивость не осуществляют.
7.3.2 Проверку на морозоустойчивость дорожных одежд переходного типа допускается не выполнять при следующих условиях:
- в районах с глубиной промерзания менее 0,6 м;
- при земляном полотне, сложенном на всю глубину промерзания из непучинистых грунтов или слабопучинистых грунтов;
- когда общая толщина дорожной одежды превышает 2/3 глубины промерзания конструкции согласно
7.3.8.
Группы грунтов по степени пучинистости представлены в
ГОСТ 33063.
7.3.3 Конструкцию дорожной одежды следует считать морозоустойчивой, если соблюдено условие
lпуч <= lдоп, (12)
где lпуч - расчетное (ожидаемое) пучение грунта земляного полотна;
lдоп = 10 см - допускаемое пучение грунта дорожной одежды переходного типа, в соответствии с
ГОСТ Р 59120.
В условиях типов местности 1 и 2 по характеру и степени увлажнения (см. СП 34.13330.2021, приложение В,
таблица В.1) при устройстве регулирующих слоев (см.
3.27 настоящего стандарта), стабилизации либо укреплении грунтов рабочего слоя земляного полотна пучинистость грунтов необходимо определять не с подтоком воды по ГОСТ 28622-2012
(раздел 7), а с учетом следующих условий:
- для грунтов существующей насыпи - при их естественной влажности;
- для грунтов, используемых для устройства проектируемых насыпей (в том числе и грунтов от разборки существующей насыпи), - с учетом требований СП 78.13330.2012 (
пункты 7.3.8 -
7.3.10).
Примечание - Ширину устройства регулирующих слоев, стабилизации либо укрепления грунтов рабочего слоя земляного полотна следует выполнять "от бровки до бровки".
7.3.4 Проверка дорожной одежды переходного типа на морозоустойчивость должна сводиться к определению толщины слоев из стабильных материалов Zст (дорожная одежда + морозозащитный слой), при которых морозное пучение на поверхности покрытия не превысит допускаемое значение.
7.3.5 Толщину слоев из стабильных материалов Zст (дорожная одежда по прочности + морозозащитный слой) для дорожной одежды переходного типа вычисляют по формуле
где Zпр - глубина промерзания дорожной конструкции;
Zдоп - допустимая глубина промерзания грунта земляного полотна.
7.3.6 Для определения толщины слоев из стабильных материалов необходимо определить допустимую глубину промерзания грунта земляного полотна Zдоп по формуле

(14)
где lдоп - допустимая величина морозного пучения;
- относительная деформация морозного пучения, определяемая как отношение деформации морозного пучения к глубине промерзания по
ГОСТ 28622.
7.3.7 При отсутствии результатов лабораторных испытаний по
ГОСТ 28622 допускается принимать относительную деформацию морозного пучения по ГОСТ 33063-2014
(таблица Г.2).
7.3.8 Глубину промерзания следует определять по данным натурных измерений. Если данные натурных наблюдений отсутствуют, глубину промерзания дорожной конструкции
Zпр допускается определять по формуле
где
Zпр(ср) - средняя глубина промерзания для данного района, устанавливаемая на основании результатов многолетних наблюдений, либо, при их отсутствии, с использованием карты изолиний, приведенной в
приложении Д.
7.3.9 Толщину дополнительного морозозащитного слоя Zд вычисляют по формуле
где Zд.о - толщина дорожной одежды по условиям прочности с учетом изменения толщины по проверкам на колееобразование и износ покрытия.
Если по результатам расчета толщина дополнительного морозозащитного слоя будет отрицательной или равна нулю, то морозозащитный слой можно не устраивать. Толщина дорожной одежды должна быть равна толщине, определяемой по условиям прочности с учетом изменения толщины по проверкам на колееобразование и износ покрытия.
7.4 Проверка по осушению дорожной одежды
Проверку по осушению дорожной одежды необходимо осуществлять как расчет толщины дренирующего слоя на поглощение воды и на осушение по
[2] (раздел 5).
(обязательное)
ТИПОВЫЕ КОНСТРУКЦИИ ДОРОЖНЫХ ОДЕЖД И ТИПОВЫЕ ПОПЕРЕЧНЫЕ
ПРОФИЛИ АВТОМОБИЛЬНЫХ ДОРОГ С НИЗКОЙ ИНТЕНСИВНОСТЬЮ ДВИЖЕНИЯ
1 - защитный слой из одиночной шероховатой поверхностной
обработки; 2 - защитный слой из двойной поверхностной
обработки; 3 - природные и техногенные грунты, обработанные
органическим или комплексным вяжущим; 4 - природные
и техногенные грунты, обработанные неорганическим вяжущим;
5 - песчаные грунты, активные материалы (шлаки, шламы
и др.); 6 - щебеночный слой, устроенный методом заклинки;
7 - щебеночно-гравийно-песчаные смеси и крупнообломочные
грунты, обработанные органическим или комплексным вяжущим;
8 - гравелистые, крупные, средние пески, обработанные
органическим вяжущим или комплексным вяжущим;
9 - щебеночно-песчаные смеси; 10 - гравелистые, крупные,
средние пески, обработанные неорганическим вяжущим;
11 - гравийно-песчаная смесь;
12 - щебеночно-гравийно-песчаные смеси и крупнообломочные
грунты, обработанные неорганическим вяжущим; 13 - шлаковые
щебеночно-песчаные смеси
Рисунок А.1 - Типовые конструкции
дорожных одежд переходного типа
| | |
а) Тип 1 | б) Тип 2 | в) Тип 3 |
| |
г) Тип 4 | д) Тип 5 |
1 - защитный слой из одиночной шероховатой поверхностной
обработки; 2 - защитный слой из двойной поверхностной
обработки; 3 - природные и техногенные грунты, обработанные
органическим или комплексным вяжущим; 4 - песчаные грунты,
активные материалы (шлаки, шламы и др.); 5 - гравелистые,
крупные, средние пески, обработанные органическим вяжущим
или комплексным вяжущим; 6 - щебеночно-гравийно-песчаные
смеси и крупнообломочные грунты, обработанные органическим
или комплексным вяжущим; 7 - гравелистые, крупные, средние
пески, обработанные неорганическим вяжущим;
8 - гравийно-песчаная смесь; 9 - природные и техногенные
грунты, обработанные неорганическим вяжущим;
10 - регулирующая прослойка (георешетка);
11 - противозаиливающая регулирующая прослойка (геополотно);
12 - регулирующий слой (геосотовый материал);
13 - щебеночно-песчаные смеси; 14 - щебеночный слой,
устроенный методом заклинки
Рисунок А.2 - Типовые конструкции дорожных одежд
переходного типа с регулирующими слоями
1 - щебеночно-песчаные смеси; 2 - гравийно-песчаная смесь;
3 - песчаные грунты, активные материалы (шлаки, шламы
и др.); 4 - грунт с добавлением щебня; 5 - шлаковые
щебеночно-песчаные смеси
Рисунок А.3 - Типовые конструкции дорожных одежд
низшего типа
1 - щебеночно-песчаные смеси, гравийно-песчаная смесь;
2 - песок; 3 - регулирующий слой (георешетка);
4 - противозаиливающая регулирующая прослойка (геополотно)
Рисунок А.4 - Типовые конструкции дорожных одежд
низшего типа с регулирующими слоями
Типовые поперечные профили автомобильных дорог с НИД приведены на
рисунках А.5,
А.6.
1 - проезжая часть; 2 - обочина; 3 - краевая полоса
у обочины; 4 - укрепленная часть обочины; 5 - грунтовая
часть обочины
Рисунок А.5 - Типовой поперечный профиль автомобильной
дороги с НИД (дорожная одежда переходного типа)
1 - проезжая часть; 2 - обочина
Рисунок А.6 - Типовой поперечный профиль автомобильной
дороги с НИД (дорожная одежда низшего типа)
(рекомендуемое)
ПЕРЕЧЕНЬ ХИМИЧЕСКИХ ДОБАВОК, ПРИМЕНЯЕМЫХ
ДЛЯ УКРЕПЛЕНИЯ ГРУНТОВ
Перечень химических добавок, применяемых при укреплении грунтов, приведен в
таблице Б.1.
Назначение добавки | Добавка (условное обозначение) | Нормативный документ |
Повышение водо- и морозостойкости грунтов, укрепленных цементом | Лигносульфонаты технические (ЛСТ) | - |
Лигносульфонаты технические, модифицированные (ЛСТМ-2) | - |
Повышение деформативности, прочности и морозостойкости грунтов, укрепленных цементом | Кислый гудрон, нейтрализованный аммиаком (ГНД) | - |
Кислый гудрон, нейтрализованный едким натром (ВНГ) | - |
Подмыльный щелок (ПЩ) | - |
Кубовый остаток производства синтетических жирных кислот (КОСЖК) | - |
Синтетическая поверхностно-активная добавка (СПАД) | - |
Гидрофобизирующая жидкость (ПЖ-136-41) | |
Глицериновый гудрон (ГП) | - |
Известково-пуццолановая добавка | - |
Алкилсульфатная паста (АСП) | - |
Ускорение процессов твердения, повышение прочности, водо- и морозостойкости грунтов (в т.ч. кислых, гумусированных, засоленных, переувлажненных), укрепленных цементом или известью | Этилсиликонат натрия (ГКЖ-10) | - |
Госсиполовая смола (хлопковый гудрон) | - |
Дивинилстирольный латекс (СКС-65ГП) | |
Пипериленстирольный латекс (СКПС-50) марки Б | - |
Суперпластификатор С-3 | - |
Суперпластификатор СД-2А | - |
Суперпластификатор Н-1 | - |
Хлорид кальция | |
Сульфат железа | |
Сульфат натрия | |
Едкий натр (каустическая сода) | |
Углекислый натрий | |
Двууглекислый натрий | |
Силикат натрия (жидкое стекло) | |
Сернокислый аммоний | |
(справочное)
МОДУЛИ ДЕФОРМАЦИЙ ГРУНТОВ И МАТЕРИАЛОВ
Таблица В.1
Модули деформаций грунтов
Разновидность грунта | Дорожно-климатические зоны | Расчетная схема увлажнения | Модуль деформации грунтов <*> Eд, МПа |
в насыпях | в нулевых отметках и выемках |
Супесь легкая крупная песчанистая и супесь легкая песчанистая | II | 1 | 15 - 20 | 12 - 15 |
2 | 12 - 15 | 6 - 8 |
3 | 11,5 - 14,0 | - |
III | 1 | 17 - 22 | 15 - 17 |
2 | 13,0 - 16,5 | 8 - 11 |
3 | 12 - 15 | - |
IV | 1 | 20,0 - 22,5 | 17 - 20 |
2 | 14 - 17 | 10 - 14 |
3 | 13 - 16 | - |
V | 1 | 24 - 26 | 22 - 25 |
2 | 15 - 20 | 12 - 15 |
3 | 14 - 18 | - |
Песок пылеватый. Супесь тяжелая пылеватая | II | 1 | 12 - 16 | 9 - 12 |
2 | 8 - 10 | - |
3 | 7,5 - 9,5 | - |
III | 1 | 15 - 18 | 12 - 15 |
2 | 10,0 - 12,5 | 6,5 - 8,0 |
3 | 9 - 12 | - |
IV | 1 | 16 - 20 | 15 - 18 |
2 | 12 - 14 | 9 - 12 |
3 | 10 - 13 | - |
V | 1 | 19 - 22 | 16 - 19 |
2 | 13 - 16 | 10 - 12 |
3 | 12 - 16 | - |
Суглинок легкий песчанистый. Суглинок тяжелый песчанистый. Глина легкая песчанистая | II | 1 | 11 - 15 | 8 - 11 |
2 | 7,5 - 8,5 | |
3 | 7 - 9 | - |
III | 1 | 14 - 16 | 11 - 14 |
2 | 9,0 - 11,5 | - |
3 | 8,5 - 11 | - |
IV | 1 | 15 - 19 | 13 - 16 |
2 | 11 - 13 | 7,5 - 9 |
3 | 9 - 12 | - |
V | 1 | 19 - 22 | 15 - 18 |
2 | 13 - 15 | 9 - 12 |
3 | 12 - 14 | - |
Суглинок легкий пылеватый. Суглинок тяжелый пылеватый. Супесь пылеватая. Супесь тяжелая пылеватая | II | 1 | 9 - 11 | 7,5 - 9,0 |
2 | 7 - 8 | - |
3 | 6,0 - 7,5 | - |
III | 1 | 12 - 15 | 10 - 12 |
2 | 8,5 - 10,5 | - |
3 | 8 - 9 | - |
IV | 1 | 13 - 16 | 12 - 13 |
2 | 9 - 12 | - |
3 | 8,5 - 11,0 | - |
V | 1 | 16 - 19 | 14 - 18 |
2 | 12,5 - 14 | 8,5 - 11,0 |
3 | 11 - 13,5 | - |
<*> Модуль деформации грунтов выбирают в зависимости от требуемого (проектного) коэффициента уплотнения: минимальные значения модуля деформации соответствуют коэффициенту уплотнения: для пылеватых песков - 0,95, для остальных - 0,90; максимальные значения соответствуют коэффициенту уплотнения 0,98. Промежуточные значения определяют линейной интерполяцией. <**> При проектировании должны быть предусмотрены мероприятия для обеспечения устойчивости одежды и предупреждения опасного зимнего вспучивания. |
Таблица В.2
Модули деформаций щебеночно-гравийно-песчаных смесей
и грунтов, обработанных органическими вяжущими (согласно
Материал | Нормативные значения модуля деформации Eд <*> материалов, обработанных, МПа |
органическим вяжущим | комплексным вяжущим |
Щебеночно-гравийно-песчаные смеси и крупнообломочные грунты | 130 | 280 |
Гравелистые, крупные, средние пески | 130 | 210 |
Природные и техногенные грунты | 90 | 200 |
<*> Модули деформации могут быть уточнены по результатам выполнения работ с учетом свойств применяемых местных материалов. |
Таблица В.3
Модули деформаций щебеночно-гравийно-песчаных смесей
и грунтов, обработанных неорганическими вяжущими
Материал | Нормативные значения модуля деформации Eд материала, обработанного вяжущим, соответствующим марке, МПа |
М20 | М40 | М60 | М75 | М100 |
Щебеночно-гравийно-песчаные смеси, крупнообломочные грунты, обработанные цементом | 180 | 200 | 220 | 240 | - |
То же, обработанные зольным или шлаковым вяжущим | 160 | 180 | 210 | 220 | - |
Гравелистые, крупные, средние пески, обработанные цементом | 140 | 190 | 240 | 300 | 330 |
То же, обработанные зольным или шлаковым вяжущим | | | | | - |
Природные и техногенные грунты, обработанные цементом | 100 | 170 | 230 | 280 | 300 |
То же, обработанные зольным или шлаковым вяжущим | | | | | - |
<*> Модули деформации приведены в возрасте 90 сут. |
Таблица В.4
Модули деформаций активных материалов (шлаки, шламы и др.)
Материал | Нормативные значения модуля деформации Eд, МПа |
Основание из подобранных оптимальных смесей из высокоактивных материалов с максимальной крупностью зерен до 40 мм, уплотненных при оптимальной влажности | 90 - 120 |
То же, из активных материалов | 70 - 100 |
Основание из рядовых неоптимальных смесей из высокоактивных материалов с максимальной крупностью 70 мм | 60 - 70 |
Примечания 1 К высокоактивным материалам относятся материалы, имеющие прочность при сжатии от 5 до 10 МПа в возрасте 90 сут. 2 К активным материалам относятся материалы, имеющие прочность при сжатии от 2,5 до 5 МПа в возрасте 90 сут. 3 Большие нормативные значения модулей деформации следует принимать для материалов, имеющих большую прочность при сжатии в возрасте 90 сут (см. примечания 1, 2). |
Таблица В.5
Модули деформаций щебеночно-гравийно-песчаных смесей,
Материал слоя | Нормативные значения модуля деформации Eд, МПа |
Щебеночно-песчаные смеси для покрытий, непрерывной гранулометрии (см. ГОСТ Р 70458) с наибольшей крупностью зерен, мм: | |
- 45,0 | 90 |
- 22,4 | 80 |
Гравийно-песчаные смеси для покрытий, непрерывной гранулометрии (см. ГОСТ Р 70458) с наибольшей крупностью зерен, мм: | |
- 45,0 | 80 |
- 22,4 | 70 |
Шлаковая щебеночно-песчаная смесь из неактивных и слабоактивных шлаков (см. ГОСТ 32826) при размерах фракций, мм: | |
от 63,0 до 90,0 | 82 |
от 31,5 до 63,0 | 78 |
от 16,0 до 31,5 | 75 |
от 8,0 до 16,0 | 63 |
Таблица В.6
Модули деформаций щебня для оснований/покрытий,
соответствующего
ГОСТ 32703, устраиваемых методом заклинки
Материал слоя | Нормативные значения модуля деформации Eд, МПа |
Фракционированный щебень 45 - 90 мм (90 - 120 мм) с заклинкой: | |
- фракционированным мелким щебнем | 130 ----- 100 |
- известняковой мелкой смесью или активным мелким шлаком | 120 ----- 90 |
- мелким высокоактивным шлаком | 130 ----- 120 |
- асфальтобетонным гранулятом | 140 ----- 130 |
- цементопесчаной смесью М75 при глубине пропитки 0,25 - 0,75h слоя | 130 - 200 ----------- 100 - 180 |
Примечание - Для слоя: в числителе - из легкоуплотняемого щебня; в знаменателе - из трудноуплотняемого щебня. |
Таблица В.7
Модули деформаций песчаных грунтов
| Модуль деформации Eд, МПа, в зависимости от дорожно-климатической зоны |
I - III | IV - V |
Крупные | 35 | 40 |
Средней крупности | 25 | 30 |
Мелкие | 15 | 20 |
(рекомендуемое)
РЕКОМЕНДУЕМЫЙ СОСТАВ ТРАНСПОРТНЫХ СРЕДСТВ В СООТВЕТСТВИИ
С ОСЕВЫМИ НАГРУЗКАМИ И КОЭФФИЦИЕНТАМИ ПРИВЕДЕНИЯ
К ОСЕВОЙ НАГРУЗКЕ
Рекомендуемый состав транспортных средств (ТС) в соответствии с
ГОСТ Р 52051 с осевыми нагрузками и коэффициентами приведения к осевой нагрузке представлен в
таблице Г.1.
| Схема ТС | Тип ТС | Суммарный коэффициент приведения к нагрузке на ось (числитель - 6 т; знаменатель - 10 т) | Расстояние между осями группы сближенных осей | Номинальные (числитель) и эквивалентные (знаменатель) статические нагрузки на ось ТС, кН <*> |
Q1 | Q2 | Q3 | Q4 | Q5 | Q6 | Q7 |
| | Легковые автомобили, небольшие грузовики (фургоны) и другие автомобили с прицепом и без него | 0,067 ------- 0,013 | - | 13,00 ------- 13,00 | 22,00 -------- 22,00 | - | - | - | - | - |
| | Двухосные грузовые автомобили | 8,19 ------ 1,76 | - | 70,00 ------- 72,94 | --------------- 111,20 | - | - | - | - | - |
| | Трехосные грузовые автомобили | 11,23 ------ 2,43 | 1,39 | 70,00 ------- 72,94 | -------------- 91,92 | ------------- 108,02 | - | - | - | - |
| | Четырехосные грузовые автомобили | 12,54 ------ 2,72 | 1,39 | 65,00 ------- 67,44 | 65,00 ------- 71,92 | ------------- 91,92 | ------------ 108,52 | - | - | - |
| | Четырехосные автопоезда (двухосный грузовой автомобиль с прицепом) | 16,6 ------ 3,67 | - | 70,00 ------- 72,94 | -------------- 112,50 | 90,00 ------- 96,26 | ------------ 98,74 | - | - | - |
| | Пятиосные автопоезда (трехосный грузовой автомобиль с прицепом) | 18,02 ------- 3,92 | 1,37 | 65,00 ------ 67,30 | ------------- 92,32 | ------------ 108,02 | 85,00 ------- 90,28 | ------------ 92,56 | - | - |
| | Трехосные седельные автопоезда (двухосный седельный тягач с полуприцепом) | 14,48 ------- 3,14 | - | 70,00 ------- 72,94 | -------------- 111,20 | ------------- 111,20 | - | - | - | - |
| | Четырехосные седельные автопоезда (двухосный седельный тягач с полуприцепом) | 15,04 ------- 3,25 | 1,40 | ------------ 72,94 | --------------- 111,20 | 75,00 ------- 82,92 | 75,00 ------- 97,00 | - | - | - |
| | Пятиосные седельные автопоезда (двухосный седельный тягач с полуприцепом) | 17,05 ------- 3,69 | 1,35 | 65,00 ------- 67,30 | -------------- 111,20 | 70,00 ------- 76,92 | 70,00 ------- 93,84 | 70,00 ------- 89,90 | - | - |
| | Пятиосные седельные автопоезда (трехосный седельный тягач с полуприцепом) | 22,67 ------- 3,73 | 1,46 ------ 1,40 | ----------- 72,94 | ------------- 103,60 | ------------ 121,70 | ------------ 84,76 | ------------ 99,06 | - | - |
| | Шестиосные седельные автопоезда | 18,63 ------- 4,03 | 1,46 ------ 1,45 | 60,00 ------- 61,74 | ------------- 90,86 | ------------ 106,10 | 70,00 ------- 75,74 | 70,00 ------- 90,48 | 70,00 ------- 87,68 | - |
| | Автомобили с семью и более осями и другие | 14,94 ------- 3,41 | 1,46 ------ 1,52 | 60,00 ------- 61,74 | ------------- 90,86 | ------------ 106,10 | ------------- 57,94 | ------------ 72,58 | ------------- 57,94 | ------------- 64,88 |
| | Автобусы | 9,12 ------ 1,98 | - | 80,00 ------- 84,48 | ------------- 111,20 | - | - | - | - | - |
<*> Без учета коэффициента динамичности. <**> Оси ТС с двухскатными колесами. Остальные оси ТС - с односкатными колесами. |
(справочное)
КАРТА ИЗОЛИНИЙ ГЛУБИНЫ ПРОМЕРЗАНИЯ ГРУНТОВ
Примечание - Числовые значения глубины промерзания указаны в сантиметрах.
Рисунок Д.1 - Карта изолиний глубины промерзания грунтов
(справочное)
ПРИМЕР РАСЧЕТА НА ПРОЧНОСТЬ И ЭКСПЛУАТАЦИОННУЮ НАДЕЖНОСТЬ
Е.1 Пример расчета дорожной одежды переходного типа
Требуется запроектировать дорожную одежду переходного типа на автомобильной дороге с НИД на подъезде к коттеджному поселку категории IVБ-п, устраиваемой в дорожно-климатической зоне II, подзона 1. Ежегодный прирост интенсивности движения составляет 3%. Коэффициент надежности дорожной одежды 0,82. Прогнозируемая, на срок службы дорожной одежды 12 лет (до ремонта), среднесуточная интенсивность движения в неблагоприятный (весенний) период года будет равна 300 авт./сут.
Состав движения следующий:
- легковые автомобили - 227 авт./сут;
- двухосные грузовые автомобили - 52 авт./сут;
- трехосные грузовые автомобили - 16 авт./сут;
- четырехосные грузовые автомобили - 5 авт./сут.
Таблица Е.1
Предлагаемая конструкция дорожной одежды
Схема | Материалы слоев | Модуль деформации, МПа | Толщина, см |
| 1 - защитный слой из одиночной шероховатой поверхностной обработки | - | 3 (в расчете не учитывается) |
2 - щебеночно-гравийно-песчаная смесь, обработанная органическим вяжущим | 130 | 10 |
3 - крупный песок | 35 | 30 |
4 - легкий суглинок | 13 | - |
Е.2 Расчет интенсивности движения нормативной нагрузки и требуемого модуля деформации для заданных конструкций
Согласно
6.2 Q = 100 кН,
P = 0,6 МПа,
D = 32,6 см.
Определяют по
формуле (5) величину интенсивности движения нормативной нагрузки
Np на последний год срока службы:
Определяют коэффициент, учитывающий повторность воздействия нагрузки
K в соответствии с
формулой (4):
K = 0,5 + 0,65 lg(Np) = 0,5 + 0,65 lg(103) =
= 0,5 + 0,65·1,91 = 1,74.
Определяют требуемый модуль деформации дорожной одежды с учетом состава и интенсивности перспективного движения по
формуле (3):
Е.3 Расчет конструкции дорожной одежды по модулю деформации
Общий модуль деформации дорожной одежды по номограмме (см.
рисунок 1):
- общий модуль деформации дорожной одежды на поверхности крупного песка:
Eд.общ1 = 0,67·
Eд1 = 0,67·35 = 23,5 МПа;
- общий модуль деформации дорожной одежды на поверхности щебеночно-гравийно-песчаного слоя, обработанного органическим вяжущим:
Eд.общ = 0,26·
Eд1 = 0,26·130 = 33,8 МПа;
Eд.трKпр = 27,32·1,05 = 28,7 МПа.
Eд.общ = 33,8 МПа > 28,7 МПа, что на 17,8% больше, это не противоречит требованиям
6.4 настоящего стандарта.
Конструкцию дорожной одежды, определенную по условиям прочности (см.
таблицу Е.1), проверяют на эксплуатационную надежность.
Проверку на эксплуатационную надежность выполняют по следующим условиям: колееобразования, износа покрытия, морозоустойчивости и осушения дорожной одежды.
Е.4 Проверка на колееобразование
Интенсивность движения различных типов автомобилей N0 на первый год эксплуатации дорожной одежды определяют по формуле

(Е.1)
где Nt - интенсивность движения на t-й год эксплуатации;
qt - показатель ежегодного роста интенсивности движения на t-й год эксплуатации.
а) для легковых автомобилей:
б) для двухосных грузовых автомобилей:
в) для трехосных грузовых автомобилей:
г) для четырехосных грузовых автомобилей:
Определяют интенсивность движения нормативной нагрузки
Np на первый год эксплуатации дорожной одежды
Np0 по
формуле (9):
Определяют толщину истирания материала покрытия в полосе наката
hн по
формуле (8):
- при T = 1:
hн = 2,5(1,4·1 + 5·57((1,07·1,03)1 - 1)/1000·(1,07·1,03 - 1)) = 4 мм;
- при T = 2:
hн = 2,5(1,4·2 + 5·57((1,07·1,03)2 - 1)/1000·(1,07·1,03 - 1)) = 9 мм;
- при T = 3:
hн = 2,5(1,4·3 + 5·57((1,07·1,03)3 - 1)/1000·(1,07·1,03 - 1)) = 13 мм;
- при T = 4:
hн = 2,5(1,4·4 + 5·57((1,07·1,03)4 - 1)/1000·(1,07·1,03 - 1)) = 17 мм;
- при T = 5:
hн = 2,5(1,4·5 + 5·57((1,07·1,03)5 - 1)/1000·(1,07·1,03 - 1)) = 22 мм;
- при T = 6:
hн = 2,5(1,4·6 + 5·57((1,07·1,03)6 - 1)/1000·(1,07·1,03 - 1)) = 27 мм;
- при T = 7:
hн = 2,5(1,4·7 + 5·57((1,07·1,03)7 - 1)/1000·(1,07·1,03 - 1)) = 31 мм;
- при T = 8:
hн = 2,5(1,4·8 + 5·57((1,07·1,03)8 - 1)/1000·(1,07·1,03 - 1)) = 36 мм;
- при T = 9:
hн = 2,5(1,4·9 + 5·57((1,07·1,03)9 - 1)/1000·(1,07·1,03 - 1)) = 41 мм;
- при T = 10:
hн = 2,5(1,4·10 + 5·57((1,07·1,03)10 - 1)/1000·(1,07·1,03 - 1)) = 47 мм;
- при T = 11:
hн = 2,5(1,4·11 + 5·57((1,07·1,03)11 - 1)/1000·(1,07·1,03 - 1)) = 52 мм;
- при T = 12:
hн = 2,5(1,4·12 + 5·57((1,07·1,03)12 - 1)/1000·(1,07·1,03 - 1)) = 57 мм.
Вычисляют значение общей толщины износа материала покрытия
hср по
формуле (10):
- при T = 1: hср = khн = 0,6·4 = 3 мм;
- при T = 2: hср = khн = 0,6·9 = 5 мм;
- при T = 3: hср = khн = 0,6·13 = 8 мм;
- при T = 4: hср = khн = 0,6·17 = 10 мм;
- при T = 5: hср = khн = 0,6·22 = 13 мм;
- при T = 6: hср = khн = 0,6·27 = 16 мм;
- при T = 7: hср = khн = 0,6·31 = 19 мм;
- при T = 8: hср = khн = 0,6·36 = 22 мм;
- при T = 9: hср = khн = 0,6·41 = 25 мм;
- при T = 10: hср = khн = 0,6·47 = 28 мм;
- при T = 11: hср = khн = 0,6·52 = 31 мм;
- при T = 12: hср = khн = 0,6·57 = 34 мм.
Определяют остаточную деформацию слоев дорожной одежды и грунта земляного полотна
S по
формуле (7):
hk = S + hн,
- при T = 1: hk = S + hн = 16 + 4 = 20 мм;
- при T = 2: hk = S + hн = 16 + 9 = 25 мм;
- при T = 3: hk = S + hн = 16 + 13 = 29 мм;
- при T = 4: hk = S + hн = 16 + 17 = 33 мм;
- при T = 5: hk = S + hн = 16 + 22 = 38 мм;
- при T = 6: hk = S + hн = 16 + 27 = 43 мм;
- при T = 7: hk = S + hн = 16 + 31 = 49 мм;
- при T = 8: hk = S + hн = 16 + 36 = 52 мм;
- при T = 9: hk = S + hн = 16 + 41 = 57 мм;
- при T = 10: hk = S + hн = 16 + 47 = 63 мм;
- при T = 11: hk = S + hн = 16 + 52 = 68 мм;
- при T = 12: hk = S + hн = 16 + 57 = 73 мм.
Толщина истирания материала покрытия в полосе наката, общая толщина износа покрытия, глубина колеи за годы эксплуатации рассчитываемой дорожной одежды приведены на
рисунке Е.1 и в
таблице Е.2.

- толщина истирания материала покрытия, мм;

- общая толщина износа материала покрытия, мм;

- глубина колеи, мм.
Рисунок Е.1 - Изменение толщины истирания полосы наката,
износа покрытия и глубины колеи в процессе эксплуатации
дорожной одежды
Таблица Е.2
Изменение толщины истирания полосы наката, износа покрытия
и глубины колеи в процессе эксплуатации дорожной одежды
Расчетные характеристики | Год эксплуатации дорожной одежды |
1 | 2 | 3 | 4 | 5 | 6 | 7 | 8 | 9 | 10 | 11 | 12 |
Толщина истирания материала покрытия в полосе наката, мм | 4 | 9 | 13 | 17 | 22 | 27 | 31 | 36 | 41 | 47 | 52 | 57 |
Общая толщина износа покрытия, мм | 3 | 5 | 8 | 10 | 13 | 16 | 19 | 22 | 25 | 28 | 31 | 34 |
Глубина колеи, мм | 20 | 25 | 29 | 33 | 38 | 43 | 49 | 52 | 57 | 63 | 68 | 73 |
Результаты расчета на колееобразование показывают (см.
рисунок Е.2), что при отсутствии защитного слоя шероховатой поверхностной обработки глубина колеи достигнет в течение трех лет службы предельных значений (согласно
ГОСТ 33220 для дорог категории IV при первом и втором уровнях содержания - 30 мм). Поэтому, для защиты покрытия дорожной одежды, согласно
5.1.2 настоящего стандарта в конструкции дорожной одежды изначально был предусмотрен защитный слой одиночной шероховатой поверхностной обработки с одиночным распределением щебня общей толщиной 20 мм.

- сплошная линия - глубина колеи с учетом изначального устройства поверхностной обработки, мм;
пунктирная - без устройства поверхностной обработки после трех лет эксплуатации, мм;

- глубина колеи с учетом устройства поверхностной обработки после трех лет эксплуатации, мм
Рисунок Е.2 - Изменение глубины колеи дорожной одежды
в процессе эксплуатации
Слой поверхностной обработки толщиной 20 мм не позволит образоваться колее, превышающей по глубине предельное значение, в течение эксплуатации менее семи лет.
Для обеспечения межремонтного срока службы на основе технико-экономического сравнения вариантов могут быть выбраны следующие проектные решения с учетом работ по содержанию в процессе эксплуатации:
- единовременные строительные затраты, а именно: в проектной документации конструкции дорожной одежды помимо защитного слоя дополнительно предусматривают устройство слоя износа на толщину 20 мм (проектная толщина будет равна 100 + 20 = 120 мм) для обеспечения поперечной ровности в процессе эксплуатации до следующего межремонтного срока (что и выполнено в настоящем примере);
- разновременные эксплуатационные расходы, а именно: устройство на седьмой год эксплуатации покрытия нового защитного слоя поверхностной обработки толщиной 20 мм;
- выполнение работ по содержанию в процессе эксплуатации [устранение колеи, досыпка щебня (при необходимости) и т.д.].
Е.5 Проверка на износ покрытия
Износ щебеночного слоя покрытия при отсутствии защитного слоя шероховатой поверхностной обработки на конец межремонтного срока службы (двенадцать лет) составит 34 мм (см.
рисунок Е.3), то есть в этом случае толщина дорожного покрытия будет равна 120 - 34 = 86 мм, и конструкция не будет отвечать требованиям прочности по допустимым остаточным деформациям.

- сплошная линия - толщина слоя покрытия с учетом дополнительного слоя износа, мм;
пунктирная - без устройства поверхностной обработки после семи лет эксплуатации, мм;

- толщина слоя с устройством поверхностной обработкой после семи лет эксплуатации, мм
Рисунок Е.3 - Изменение толщины покрытия дорожной одежды
в процессе эксплуатации
Для обеспечения межремонтного срока службы (двенадцати лет) на основе технико-экономического сравнения вариантов могут быть выбраны следующие проектные решения с учетом работ по содержанию в процессе эксплуатации:
- единовременные строительные затраты, а именно: в проектной документации конструкции дорожной одежды помимо защитного слоя дополнительно предусматривают устройство слоя износа на толщину 20 мм (проектная толщина будет равна: 100 + 20 = 120 мм) для обеспечения требований по условиям износа покрытия;
- разновременные эксплуатационные расходы, а именно: необходимо устроить после седьмого года службы защитный слой одиночной шероховатой поверхностной обработки с общей достаточной толщиной 20 мм, что позволит сохранить проектную толщину щебеночного слоя до двенадцатого года эксплуатации и тем самым обеспечить требования по износу покрытия;
- выполнение работ по содержанию в процессе эксплуатации [устранение колеи, досыпка щебня (при необходимости) и т.д.].
Таким образом, для предотвращения колееобразования более допустимого значения и износа слоя покрытия до значения, при котором снижается проектируемая прочность дорожной одежды, необходимо на основе технико-экономического сравнения выбрать эффективное проектное решение с учетом обеспечения эксплуатационной надежности. Определяющим критерием из двух вышеперечисленных будет условие колееобразование.
Е.6 Проверка на морозоустойчивость
Глубину промерзания грунта земляного полотна вычисляют по
формуле (14):
Относительную деформацию морозного пучения принимают по ГОСТ 33063-2014
(таблица Г.2) для легкого суглинка.
Zпр = 1,38·Zпр(ср) = 1,38·120 = 165,6 см,
где
Zпр(ср) - средняя глубина промерзания для данного района, устанавливаемая при помощи карт изолиний (см.
приложение Д), равная 120 см.
Определяют толщину слоев из стабильных материалов (дорожная одежда по прочности + морозозащитный слой) для дорожной одежды переходного типа по
формуле (13):
Zст = Zпр - Zдоп = 166 - 100 = 66 см.
Общая толщина слоев из стабильных материалов для конструкции дорожной одежды составляет: 12 + 30 = 42 см (см.
таблицу Е.2).
Толщина дополнительного морозозащитного слоя по
формуле (16) будет равна:
Zд = Zст - Zд.о = 66 - 42 = 22 см.
При этом целесообразно из технологических соображений два песчаных слоя выполнить из одного материала (крупного песка) толщиной слоя 52 см (30 см + 22 см), тогда конструкция дорожной одежды, обеспечивающая условия морозоустойчивости, примет следующий вид (см.
таблицу Е.3).
Таблица Е.3
Конструкция дорожной одежды после расчета
на морозоустойчивость
Схема | Материалы слоев | Толщина, см |
| 1 - защитный слой из одиночной шероховатой поверхностной обработки | 3 (в расчете не учитывается) |
2 - щебеночно-гравийно-песчаная смесь, обработанная органическим вяжущим | 12 |
3 - крупный песок | 52 |
4 - легкий суглинок | - |
Е.7 Проверка на осушение дорожной одежды
| | ИС МЕГАНОРМ: примечание. В официальном тексте документа, видимо, допущена опечатка: таблица Е.4 отсутствует. | |
Результаты расчета на осушение для конструкции дорожной одежды (см. таблицу Е.4) показали следующее:
- полная толщина дренирующего слоя, работающего по принципу осушения, по
формуле (1) [2] равна 24 см;
- полная толщина дренирующего слоя, работающего по принципу поглощения, по
формуле (5) [2] равна 31 см. Следовательно, проверка на осушение выполняется, толщина дренирующего слоя равна максимальному значению 31 см, что менее толщины слоя из крупного песка, равной 52 см (см.
таблицу Е.3).
| | Рекомендации по определению параметров расчетных нагрузок для современных транспортных средств |
| | Рекомендации по расчету дренажных систем дорожных конструкций |
УДК 721.012(083.75):006.354 | |
Ключевые слова: дорожные одежды, низкая интенсивность движения, конструирование, расчет, прочность, модуль деформации, колея, износ, морозоустойчивость |