Главная // Актуальные документы // ГОСТ (Государственный стандарт)
СПРАВКА
Источник публикации
М.: Стандартинформ, 2016
Примечание к документу
Документ включен в Перечень стандартов, в результате применения которых на добровольной основе обеспечивается соблюдение требований технического регламента Таможенного союза "Безопасность автомобильных дорог" (ТР ТС 014/2011) (Решение Коллегии Евразийской экономической комиссии от 18.09.2012 N 159).

Документ введен в действие с 1 декабря 2015 года с правом досрочного применения.
Название документа
"ГОСТ 33063-2014. Межгосударственный стандарт. Дороги автомобильные общего пользования. Классификация типов местности и грунтов"
(введен в действие Приказом Росстандарта от 11.08.2015 N 1118-ст)

"ГОСТ 33063-2014. Межгосударственный стандарт. Дороги автомобильные общего пользования. Классификация типов местности и грунтов"
(введен в действие Приказом Росстандарта от 11.08.2015 N 1118-ст)


Содержание


Введен в действие
Приказом Федерального
агентства по техническому
регулированию и метрологии
от 11 августа 2015 г. N 1118-ст
МЕЖГОСУДАРСТВЕННЫЙ СТАНДАРТ
ДОРОГИ АВТОМОБИЛЬНЫЕ ОБЩЕГО ПОЛЬЗОВАНИЯ
КЛАССИФИКАЦИЯ ТИПОВ МЕСТНОСТИ И ГРУНТОВ
Automobile roads of general use.
Types of terrain and soils classification
ГОСТ 33063-2014
МКС 93.080.30
Дата введения
1 декабря 2015 года
с правом досрочного применения
Предисловие
Цели, основные принципы и порядок проведения работ по межгосударственной стандартизации установлены ГОСТ 1.0-92 "Межгосударственная система стандартизации. Основные положения" и ГОСТ 1.2-2009 "Межгосударственная система стандартизации. Стандарты межгосударственные, правила и рекомендации по межгосударственной стандартизации. Правила разработки, принятия, применения, обновления и отмены"
Сведения о стандарте
1 ПОДГОТОВЛЕН Федеральным государственным бюджетным учреждением "Российский дорожный научно-исследовательский институт" Министерства транспорта Российской Федерации (ФГБУ "РОСДОРНИИ"), Межгосударственным техническим комитетом по стандартизации МТК 418 "Дорожное хозяйство"
2 ВНЕСЕН Федеральным агентством по техническому регулированию и метрологии (Росстандарт)
3 ПРИНЯТ Межгосударственным советом по стандартизации, метрологии и сертификации по переписке (протокол от 20 октября 2014 г. N 71-П)
За принятие проголосовали:
Краткое наименование страны по МК (ИСО 3166) 004-97
Код страны по МК (ИСО 3166) 004-97
Сокращенное наименование национального органа по стандартизации
Армения
AM
Минэкономики Республики Армения
Беларусь
BY
Госстандарт Республики Беларусь
Казахстан
KZ
Госстандарт Республики Казахстан
Киргизия
KG
Кыргызстандарт
Россия
RU
Росстандарт
Украина
UA
Минэкономразвития Украины
Таджикистан
TJ
Таджикстандарт
4 Приказом Федерального агентства по техническому регулированию и метрологии от 11 августа 2015 г. N 1118-ст межгосударственный стандарт ГОСТ 33063-2014 введен в действие в качестве национального стандарта Российской Федерации с 1 декабря 2015 г.
5 ВВЕДЕН ВПЕРВЫЕ
Информация об изменениях к настоящему стандарту публикуется в ежегодном информационном указателе "Национальные стандарты", а текст изменений и поправок - в ежемесячном информационном указателе "Национальные стандарты". В случае пересмотра (замены) или отмены настоящего стандарта соответствующее уведомление будет опубликовано в ежемесячном информационном указателе "Национальные стандарты". Соответствующая информация, уведомление и тексты размещаются также в информационной системе общего пользования - на официальном сайте Федерального агентства по техническому регулированию и метрологии в сети Интернет
Введение
Настоящий стандарт разработан в связи с включением в Перечень межгосударственных стандартов, в результате применения которых на добровольной основе обеспечивается соблюдение требований Технического регламента Таможенного Союза "Безопасность автомобильных дорог" (ТР ТС 014/2011 [1]).
Для дисперсных грунтов в стандарте приведено сопоставление классификации настоящего стандарта с международными классификациями [2], [3] (приложение А).
1. Область применения
Настоящий стандарт распространяется на все виды грунтов и типов местности и устанавливает их классификацию, применяемую при производстве инженерных изысканий, проектировании и строительстве автомобильных дорог общего пользования.
2. Нормативные ссылки
В настоящем стандарте использованы нормативные ссылки на следующие межгосударственные стандарты:
ГОСТ 5180-84 Грунты. Методы лабораторного определения физических характеристик
ГОСТ 10650-72 Торф. Метод определения степени разложения
ГОСТ 12248-2010 Грунты. Методы лабораторного определения характеристик прочности и деформируемости
ГОСТ 12536-79 Грунты. Метод лабораторного определения зернового (гранулометрического) состава
ИС МЕГАНОРМ: примечание.
В официальном тексте документа, видимо, допущена опечатка: стандарт имеет номер ГОСТ 19912-2012, а не ГОСТ 19912-2011.
ГОСТ 19912-2011 Грунты. Методы полевых испытаний статическим и динамическим зондированием
ГОСТ 20276-2012 Грунты. Методы полевого определения прочности и деформируемости
ГОСТ 22733-2002 Грунты. Метод лабораторного определения максимальной плотности
ГОСТ 23161-2012 Грунты. Метод лабораторного определения характеристик просадочности
ГОСТ 23278-78 Грунты. Метод полевых испытаний проницаемости
ГОСТ 23740-79 Грунты. Методы лабораторного определения содержания органических веществ
ГОСТ 25100-2011 Грунты. Классификация
ГОСТ 25358-2012 Грунты. Метод полевого определения температуры
ГОСТ 25584-90 Грунты. Метод лабораторного определения коэффициента фильтрации
ГОСТ 26213-91 Почвы. Методы определения органического вещества
ГОСТ 28622-90 Грунты. Метод лабораторного определения степени пучинистости
ГОСТ 30416-2012 Грунты. Лабораторные испытания. Общие положения
Примечание - При пользовании настоящим стандартом целесообразно проверить действие ссылочных стандартов в информационной системе общего пользования - на официальном сайте Федерального агентства по техническому регулированию и метрологии в сети Интернет или по ежегодно издаваемому информационному указателю "Национальные стандарты", который опубликован по состоянию на 1 января текущего года, и по соответствующим ежемесячно издаваемым информационным указателям, опубликованным в текущем году. Если ссылочный стандарт заменен (изменен), то при пользовании настоящим стандартом следует руководствоваться заменяющим (измененным) стандартом. Если ссылочный стандарт отменен без замены, то положение, в котором дана ссылка на него, применяется в части, не затрагивающей эту ссылку.
3. Термины и определения
В настоящем стандарте применены следующие термины с соответствующими определениями:
3.1 гранулометрический состав (грунта): Содержание по массе групп частиц (фракций) грунта различного размера по отношению к общей массе абсолютно сухого грунта. Определяется по ГОСТ 12536.
3.2 грунт: Горная порода, почва и техногенное образование, представляющие собой многокомпонентные системы, изменяющиеся во времени, используемые как основание, среда или материал при строительстве.
3.3 грунт биогенный: Органоминеральный грунт с содержанием органических веществ более 10%.
3.4 грунт глинистый: Связный грунт, состоящий в основном из пылеватых и глинистых (не менее 3%) частиц, обладающий пластичностью (число пластичности не менее единицы).
3.5 грунт дисперсный: Грунт, состоящий из совокупности отдельных твердых частиц (зерен) разного размера, связанных друг с другом физическими, физико-химическими или механическими структурными связями.
3.6 грунт дренирующий: Грунт, имеющий при максимальной плотности (при стандартном уплотнении) коэффициент фильтрации не менее 0,5 м/сутки.
3.7 грунт засоленный: Грунт, содержащий более 0,3% легкорастворимых солей от массы сухого грунта.
3.8 грунт заторфованный: Органоминеральный грунт, содержащий в своем составе от 3% (для песчаного грунта) и от 5% (для глинистого грунта) до 50% по массе торфа.
3.9 грунт искусственный: Грунт природного происхождения, закрепленный или уплотненный различными методами, насыпной и намывной, а также твердые отходы производственной и хозяйственной деятельности человека.
3.10 грунт крупнообломочный: Несвязный минеральный грунт, в котором масса частиц размером крупнее 2 мм составляет более 50%.
3.11 грунт лессовый: Глинистый грунт, содержащий более 50% пылеватых частиц (от 0,05 мм до 0,005 мм) и обычно обладающий просадочностью.
3.12 грунт мерзлый: Грунт, имеющий отрицательную или нулевую температуры и обладающий, помимо других, криогенными структурными связями.
3.13 грунт минеральный: Грунт, состоящий из неорганических веществ.
3.14 грунт мокрых солончаков: Разновидность минеральных слабых грунтов, отличающаяся от других засоленных грунтов избыточным увлажнением в течение всего года.
3.15 грунт набухающий: Грунт, увеличивающий свой объем при замачивании водой или другой жидкостью и имеющий относительную деформацию набухания без нагрузки не менее 0,04 или развивающий давление набухания (в условиях ограниченного набухания).
3.16 грунт намывной: Искусственный грунт, образуемый в процессе переукладки природного грунта гидромеханизированным способом.
3.17 грунт насыпной: Грунт природного происхождения с нарушенной структурой, образуемый принудительным перемещением в сооружение или для складирования с использованием средств механизации, взрыва.
3.18 грунт несвязный: Дисперсный грунт, обладающий физическими (главным образом механическими) структурными связями и сыпучестью в сухом состоянии.
3.19 грунт органический: Грунт, содержащий не менее 50% по массе органического вещества.
3.20 грунт органоминеральный: Грунт, содержащий от 3% до 50% по массе органического вещества.
3.21 грунт песчаный: Несвязный минеральный грунт, в котором масса песчаных частиц размером (0,05 - 2,0) мм составляет более 50%, а число пластичности менее единицы.
3.22 грунт полускальный: Грунт, имеющий структурные связи цементационного и/или кристаллизационного типа и предел прочности на одноосное сжатие менее 5 МПа в водонасыщенном состоянии.
3.23 грунт просадочный: Грунт, который под действием внешней нагрузки и собственного веса или только от собственного веса при замачивании водой претерпевает вертикальную деформацию (просадку) и имеет относительную деформацию просадки не менее 0,01.
3.24 грунт пучинистый: Дисперсный грунт, который при переходе из талого в мерзлое состояние увеличивается в объеме вследствие образования кристаллов льда и имеет относительную деформацию морозного пучения не менее 0,01.
3.25 грунт связный: Дисперсный грунт, обладающий физическими и физико-химическими структурными связями.
3.26 грунт скальный: Грунт, имеющий жесткие структурные связи кристаллизационного и/или цементационного типа.
3.27 грунт слабый: Связный грунт, имеющий прочность на сдвиг в условиях природного залегания менее 0,075 МПа (при испытании прибором вращательного среза) или модуль осадки более 50 мм/м при нагрузке 0,25 МПа (модуль деформации ниже 5,0 МПа).
3.28 грунты стабилизированные: Грунты, обработанные стабилизаторами с целью улучшения их водно-физических свойств.
3.29 грунт талый: Грунт температурой выше температуры начала замерзания (оттаивания), при которой появляется (исчезает) лед.
3.30 грунт техногенный: Грунт измененный, перемещенный или образованный (искусственно созданный) в результате инженерно-хозяйственной деятельности человека, в том числе отходы бытовые и производственные.
3.31 грунт тиксотропный: Связный грунт, проявляющий при динамическом воздействии разупрочнение и последующее восстановление прочности в покое при неизменных объеме и влажности.
3.32 грунты укрепленные: Грунты, обработанные органическими, минеральными или комплексными вяжущими с целью повышения их физико-механических свойств.
3.33 грунты улучшенные: Грунты оптимального зернового состава, получаемые из природных грунтов путем улучшения их минеральными добавками или другими грунтами.
3.34 земля горелая формовочная; ГФЗ: Продукт, образующийся в результате применения способа литья в песчаные формы в литейном производстве.
3.35 золошлаки: Продукты комплексного термического преобразования горных пород и сжигания твердого топлива.
3.36 золы: Продукты сжигания твердого топлива.
3.37 ил: Водонасыщенный современный осадок водоемов, образовавшийся при наличии микробиологических процессов, природная влажность которого превышает влажность на границе текучести (показатель текучести более единицы, содержание частиц размером менее 0,01 мм составляет более 30% до 50% по массе), коэффициент пористости не менее 0,9, относительное содержание органических веществ составляет менее 10%, содержание карбонатов (CaCO3) менее 10%.
3.38 иольдиевая глина: Разновидность морских илов ледникового периода.
3.39 липкость (прилипаемость) глинистых грунтов: Способность грунтов прилипать к различным материалам при соприкосновении.
3.40 мергель озерно-болотный: Водонасыщенный современный осадок водоемов, природная влажность которого превышает, как правило, влажность на границе текучести, коэффициент пористости - не менее 0,9, содержание органических веществ - более 3% по массе, содержание карбонатов (CaCO3) - более 10%.
3.41 отходы бытовые: Твердые отходы, образованные в результате бытовой деятельности человека.
3.42 отходы производств: Твердые отходы производства, полученные в результате химических и термических преобразований материалов природного происхождения.
3.43 песок: Несвязный (сыпучий) минеральный строительный материал, в котором масса частиц размером (0,05 - 2,0) мм составляет менее 50%, число пластичности меньше единицы, отвечающий определенным требованиям, предъявляемым в дорожном строительстве.
3.44 почва: Природное образование в виде поверхностного слоя дисперсного грунта, обладающего плодородием.
3.45 сапропель: Пресноводный ил, образовавшийся при саморазложении органических (преимущественно растительных) остатков на дне застойных водоемов (озер) и содержащий более 10% по массе органического вещества; как правило, имеет коэффициент пористости более 3, показатель текучести более единицы.
3.46 состав грунта вещественный: Химико-минералогический состав вещества твердых, жидких, газообразных компонентов грунта.
3.47 статическое (динамическое) зондирование: Процесс погружения зонда в грунт под действием статической (динамической) вдавливающей нагрузки с измерением показателей сопротивления грунта внедрению зонда. Выполняется по ГОСТ 19912.
3.48 стратиграфическая схема местная: Графическое выражение временных и пространственных соотношений местных стратонов (совокупностей горных пород, обладающих общими свойствами и залегающих в разрезе в определенной последовательности), составляющих разрез участка земной коры, скоррелированных с Международной стратиграфической шкалой.
3.49 структура грунта: Пространственная организация твердого, жидкого, газообразного и биотического компонентов грунта, характеризующаяся совокупностью геометрических, морфометрических и энергетических признаков и определяющаяся составом, количественным соотношением и взаимодействием компонентов грунта.
3.50 текстура грунта: Строение, обусловленное ориентацией и пространственной организацией структурных элементов грунта (слоистость, трещиноватость и др.).
3.51 торф: Органоминеральный грунт, образовавшийся в результате естественного отмирания и неполного разложения болотных растений в условиях повышенной влажности при недостатке кислорода, содержащий по массе 50% и более органического вещества.
3.52 шлаки: Продукты химических и термических преобразований горных пород, образующиеся при сжигании.
3.53 шламы: Высокодисперсные материалы, образующиеся в горнообогатительном, химическом и некоторых других видах производств.
4. Общие положения
4.1 Для учета гидрологических, инженерно-геологических, геоморфологических и мерзлотных особенностей типы местности на участке трассы автомобильной дороги классифицируют, исходя из следующих признаков:
- характер и степень увлажнения территории;
- условия увлажнения и мерзлотно-грунтовые особенности (для дорожно-климатической зоны I);
- рельеф территории;
- степень подвижности песков (для районов распространения подвижных песков).
4.2 Классификацию типов местности принимают в соответствии с разделом 5. В классификацию типов местности, указанную в настоящем стандарте, допускается вводить дополнения и изменения в случаях появления новых критериев выделения типов местности, а также, если это необходимо для более детального подразделения территории с учетом региональных особенностей.
4.3 Классификация грунтов включает в себя следующие таксономические единицы, выделяемые по группам признаков:
- класс (подкласс) - по природе (характеру) структурных связей;
- тип - по генезису (происхождению);
- подтип - по условиям образования;
- вид (подвид) - по вещественному, петрографическому или литологическому составу;
- разновидности - по количественным показателям состава, строения, состояния и свойств грунтов.
4.4 Грунты подразделяют на классы (подклассы), типы (подтипы), виды (подвиды) в соответствии с общей классификацией грунтов раздела 6. Разновидности грунтов по количественным показателям состава, строения, состояния и свойств выделяют в соответствии с частными классификациями раздела 7. Основные показатели свойств грунтов приведены в приложении Б.
Примечание - В национальной стандартизации допускается применение общей и частной классификаций грунтов, содержащихся в документах [4], [5] (для Республики Беларусь) и [6] (для Республики Казахстан), ГОСТ 25100 (для Российской Федерации).
4.5 Наименования грунтов должны содержать сведения об их геологическом возрасте в соответствии с местными стратиграфическими схемами, принятыми в установленном порядке. Рекомендуется выделять грунты особых разновидностей, имеющие ограничение по применению в дорожном строительстве, к числу которых следует относить слабые грунты, биогенные грунты, лессы, аргиллиты, алевролиты, мергели, глинистые мергели и мергелевые глины, трепел, тальковые и пирофилитовые, дочетвертичные глинистые грунты, глинистые сланцы и сланцевые глины, черноземы, пески барханные, техногенные грунты - отходы промышленности (золы, шлаки, шламы, золошлаки, земля горелая формовочная и другие).
4.6 В характеристики грунтов по разновидностям, предусмотренные настоящим стандартом, допускается вводить дополнения и изменения в случаях появления новых критериев выделения разновидностей грунтов по результатам научно-технических разработок, а также если это необходимо для более детального подразделения и характеристики свойств грунтов, учета специфики строительства, региональных особенностей.
5. Классификация типов местности
5.1. Типы местности по условиям, характеру и степени увлажнения
Выделение типов местности по условиям, характеру и степени увлажнения предусмотрено для учета особенностей гидрологических и инженерно-геологических условий при проектировании земляного полотна и дорожных одежд.
По условиям увлажнения верхней толщи грунтов выделяют следующие типы местности:
- тип 1 - сухие участки;
- тип 2 - сырые участки с избыточным увлажнением в отдельные периоды года;
- тип 3 - мокрые участки с постоянным избыточным увлажнением.
По характеру и степени увлажнения выделяют типы местности <*> в соответствии с таблицей 1 (таблицей 2 для региональных условий Республики Беларусь).
--------------------------------
<*> В региональных стандартах при выделении типов местности по характеру и степени увлажнения могут быть применены положения по дорожно-климатическому районированию, содержащиеся в документах [5, 7, 8].
Таблица 1
Типы местности по характеру и степени увлажнения
Основные признаки
Дополнительные признаки в зависимости от дорожно-климатической зоны (ДКЗ)
Источники увлажнения
Характер увлажнения
Тип местности 1
Атмосферные осадки
Поверхностный сток обеспечен, грунтовые воды не оказывают влияния на увлажнение верхней толщи грунтов
ДКЗ I - мощность деятельного слоя более 2,5 м при непросадочных грунтах влажностью менее 0,7Wj;
ДКЗ II - почвы слабо- и среднеподзолистые или дерновоподзолистые без признаков заболачивания;
ДКЗ III - почвы серые, лесные слабоподзолистые в северной части зоны - темно-серые лесные и черноземы оподзоленные и выщелочные;
ДКЗ IV - почвы - черноземы тучные или мощные, в южной части зоны - южные черноземы, темно-каштановые и каштановые почвы;
ДКЗ V - почвы в северной части бурые, в южной - светло-бурые и сероземы
Тип местности 2
Кратковременно стоящие (до 30 суток) поверхностные воды, атмосферные осадки
Поверхностный сток не обеспечен, грунтовые воды не оказывают влияния на увлажнение верхней толщи грунтов
ДКЗ I - почвы тундровые с резко выраженными признаками заболачивания; мощность сезоннооттаивающего слоя от 0,1 до 2,5 м при наличии глинистых просадочных грунтов влажностью более 0,8Wj;
ДКЗ II - почвы средне- и сильноподзолистые и полуболотные с признаками заболачивания;
ДКЗ III - почвы подзолистые или полуболотные с признаками оглеения, в южной части - лугово-черноземные, солонцы и солоди;
ДКЗ IV - почвы сильносолонцеватые, черноземы, каштановые, солонцы и солоди;
ДКЗ V - почвы - солонцы, такыры, солончаковые солонцы и реже солончаки
Тип местности 3
Грунтовые или длительно стоящие (более 30 суток) поверхностные воды, атмосферные осадки
Грунтовые или длительно стоящие (более 30 сут) поверхностные воды оказывают влияние на увлажнение верхней толщи грунтов
ДКЗ I - почвы тундровые и болотные, торфяники; мощность сезоннооттаивающего слоя до 1 м при наличии глинистых сильнопросадочных грунтов, содержащих в пределах двойной мощности сезонного оттаивания линзы льда толщиной более 10 см;
ДКЗ II - почвы торфяно-болотные или полуболотные;
ДКЗ III - то же, что для II зоны;
ДКЗ IV - почвы болотные или полуболотные, солончаки и солончаковатые солонцы;
ДКЗ V - почвы - солончаки и солончаковатые солонцы; постоянно орошаемые территории
Примечания
1 Участки, где залегают песчано-гравийные или песчаные грунты (за исключением мелких пылеватых песков) мощностью более 5 м при расположении уровня грунтовых вод на глубине более 3 м в зонах II, III и более 2 м в зонах IV, V, относятся к 1 типу независимо от наличия поверхностного стока (при отсутствии длительного подтопления).
2 Грунтовые воды не оказывают влияния на увлажнение верхней толщи грунтов в случае, если их уровень в предморозный период залегает ниже глубины промерзания не менее чем на 2,0 м при глинах, суглинках тяжелых пылеватых и тяжелых; на 1,5 м в суглинках легких пылеватых и легких, супесях тяжелых пылеватых и пылеватых; на 1,0 м в супесях легких, легких крупных и песках пылеватых.
3 Поверхностный сток считается обеспеченным при уклонах поверхности грунта в пределах полосы отвода более 0,2%.
Таблица 2
Типы местности по характеру и степени увлажнения
для Республики Беларусь
Тип местности
Источники увлажнения
Характерные признаки
1 (сухие места)
Атмосферные осадки
Поверхностный сток обеспечен. Подземные воды не оказывают влияния на увлажнение грунтов. Почвы без признаков заболачивания
2 (сырые места)
Кратковременно стоящие (до 30 сут) поверхностные воды, атмосферные осадки
Поверхностный сток не обеспечен. Рельеф местности равнинный. Весной и осенью возможен застой воды на поверхности почвы. Подземные воды не оказывают влияния на увлажнение грунтов. Почвы с признаками заболачивания
3 (мокрые места)
Грунтовые или длительно стоящие (более 30 сут) поверхностные воды, атмосферные осадки
Источники увлажнения оказывают влияние на увлажнение почв и грунтов независимо от условий поверхностного стока. Почвы заболоченные
Примечания
1 Подземные воды не оказывают влияния на увлажнение верхней толщи грунтов в случае, если их уровень в предморозный период залегает ниже глубины промерзания не менее чем:
- на 2,0 м в глинах, суглинках тяжелых пылеватых и тяжелых;
- на 1,5 м в суглинках легких пылеватых и легких, супесях тяжелых пылеватых и пылеватых;
- на 1,0 м в супесях легких, легких крупных и песках пылеватых.
2 Отвод поверхностного стока считается обеспеченным при уклонах поверхности грунта в пределах полосы отвода более 0,2%.
5.2. Типы местности в дорожно-климатической зоне I по условиям увлажнения и мерзлотно-грунтовым особенностям
Выделение типов местности в дорожно-климатической зоне I предусмотрено для дополнительного (к классификации по 5.1) учета особенностей мерзлотных процессов и льдистости грунтов при проектировании земляного полотна и дорожных одежд.
Дополнительная классификация типов местности в дорожно-климатической зоне I представлена в таблице 3.
Таблица 3
Тип местности в дорожно-климатической зоне I по условиям
увлажнения и мерзлотно-грунтовым особенностям
Тип местности
Условия увлажнения грунтов
Мерзлотные процессы и явления
Грунт
подвид
характеристика
1
Сухие места
Отсутствует
Крупнообломочный; песчаный
Массивная текстура; непросадочный или талый
2
Сырые места. В летнее время возможно избыточное увлажнение грунтов деятельного слоя поверхностными водами
Заболачивание; морозное пучение (сезонные бугры пучения)
Песчаный; глинистый
Массивная и слоистая текстуры; малольдистый и малопросадочный
3
Мокрые места. В летнее время постоянное избыточное увлажнение грунтов деятельного слоя поверхностными и надмерзлотными водами
Заболачивание; морозное пучение (многолетние бугры пучения); термокарстовый рельеф; солифлюкция
Глинистый; возможно наличие подземных льдов
Слоистая и сетчатая текстуры; льдистый и сильнольдистый; просадочный, сильно просадочный и чрезмерно просадочный
5.3. Типы местности по рельефу
Выделение типов местности по рельефу предусмотрено для учета особенностей рельефа при проектировании земляного полотна.
По характеру рельефа различают три типа местности:
- равнинная местность - местность с уклонами, не превышающими 1:20 или меньшими на протяжении не менее 500 м;
- пересеченная местность - местность с уклонами в пределах от 1:20 до 1:3 на протяжении не менее 500 м. Естественные уклоны местности превышают уклоны, допустимые для дороги и для обеспечения допустимых параметров в плане и профиле проектируемой автомобильной дороги и требуют устройства насыпей и выемок;
- горная местность - местность с уклонами, которые могут превышать 1:3 на протяжении не менее 500 м. Наклоны поверхности склонов по отношению к поперечному сечению и продольному профилю, требующие ступенчатой разработки для размещения насыпи.
5.4. Типы местности по подвижности песков
Выделение типов местности по подвижности песков предусмотрено для учета степени закрепления растительностью поверхности песков при назначении конструкции земляного полотна и мероприятий по его предохранению от образования песчаных заносов.
Типы местности по подвижности песков подразделяют в соответствии с таблицей 4.
Таблица 4
Классификация типов местности по подвижности песков
Типы местности по степени подвижности песков
Степень закрепления растительностью поверхности песков
Площадь, покрытая растительностью, %
С очень подвижными песками
Незаросшая поверхность
Менее 5
С подвижными песками
Слабозаросшая поверхность
От 5 до 15
С малоподвижными песками
Полузаросшая поверхность
Св. 15 до 35
С неподвижными песками
Заросшая поверхность
Св. 35
6. Общая классификация грунтов
6.1 Грунты по природе (характеру) структурных связей подразделяют на следующие классы: скальные, дисперсные и мерзлые.
6.2 К классу скальных грунтов относятся грунты, обладающие жесткими структурными связями (кристаллизационными и цементационными).
По генезису и вещественному составу в классе скальных грунтов выделяют, соответственно, типы (подтипы), виды и подвиды, представленные в таблице 5. Разновидности скальных грунтов выделяют по количественным показателям их вещественного состава, строения, состояния и свойств в соответствии с подразделом 7.1. Классификация массивов скальных грунтов может быть принята в соответствии с ГОСТ 25100 (приложение Г).
Таблица 5
Класс скальных грунтов
Тип (подтип)
Вид
Подвид <*>
Разновидности
Магматические (интрузивные)
Силикатные
ультраосновные
Перидотиты, дуниты, пироксениты и др.
Выделяют в соответствии с подразделом 7.1
основные
Габбро, нориты, анортозиты, диабазы, долериты и др.
средние
Диориты, сиениты и др.
кислые
Граниты, гранодиориты, кварцевые, сиениты, порфиры и др.
Магматические (эффузивные)
Силикатные
ультраосновные
Пикриты, коматииты и др.
основные
Базальты, долериты, порфириты и др.
средние
Андезиты, трахиты и др.
кислые
Риолиты, дациты и др.
Метаморфические
Силикатные
Гнейсы, сланцы, кварциты, роговики, скарны, грейзены, березиты, пропилиты, вторичные кварциты, гидротермально-измененные грунты и др.
Карбонатные
Мраморы и др.
Железистые
Железные руды, джеспилиты и др.
Органо-минеральные
Горючие сланцы, антрациты и др.
Осадочные
Силикатные
Песчаники, конгломераты, аргиллиты, алевролиты, сцементированные глины и др.
Карбонатные
Известняки, доломиты, мел, мергели и др.
Кремнистые
Опоки, диатомиты и др.
Сульфатные
Гипсы, ангидриты и др.
Галоидные
Галиты и др.
Органо-минеральные
Бурые угли, битуминозные известняки и др.
Вулканогенно-осадочные
Силикатные
Туфопесчаники, туфоалевролиты, туфоаргиллиты, туффиты, вулканические туфы, кластолавы, лавовые брекчии и др.
Хемогенно-силикатные
Туфопесчаники, туфоалевролиты, туфоаргиллиты, туффиты, вулканические туфы, кластолавы, лавовые брекчии и др.
Элювиальные
Минеральные
Скальные грунты трещинных зон коры выветривания
Техногенные
Все виды техногенно измененных скальных грунтов и преобразованных дисперсных грунтов с приобретенными цементационными связями
Все подвиды техногенно измененных скальных грунтов и преобразованных дисперсных грунтов с приобретенными цементационными связями, в том числе укрепленные неорганическими вяжущими грунты
<*> Приведены наименования наиболее распространенных грунтов.
6.3 К классу дисперсных грунтов относятся грунты, обладающие физическими, физико-химическими или механическими структурными связями.
Грунты с механическими структурными связями выделяют в подкласс несвязных (сыпучих) грунтов, а грунты с физическими и физико-химическими структурными связями - в подкласс связных грунтов. Для целей дорожного строительства из подкласса связных грунтов выделяют слабые грунты - грунты с низкими показателями механических свойств: прочностью на сдвиг в условиях природного залегания менее 0,075 МПа (вращательный срез) и/или модуль осадки более 50 мм/м при нагрузке 0,25 МПа (модуль деформации ниже 5,0 МПа).
По генезису и вещественному составу в классе дисперсных грунтов выделяют, соответственно, типы и подтипы, виды и подвиды, представленные в таблице 6. Разновидности дисперсных грунтов выделяют по количественным показателям их вещественного состава, строения, состояния и свойств в соответствии с подразделом 7.2, а также приложением В (для слабых грунтов). В приложении А приведено сопоставление классификации настоящего стандарта с международными классификациями.
Таблица 6
Класс дисперсных грунтов
Подкласс
Тип
Подтип
Вид
Подвид
Разновидности
Несвязные
Осадочные
Флювиальные, ледниковые, эоловые, склоновые и др.
Минеральные
Крупнообломочные грунты
Пески
Выделяют в соответствии с 6.2
Органо-минеральные
Заторфованные пески
Вулканогенно-осадочные
Вулканогенно-осадочные, осадочно-вулканогенные, пирокластические
Минеральные
Вулканогенно-обломочные грунты Вулканические пески, пеплы
Элювиальные
Образованные в результате выветривания: физического, физико-химического, химического, биологического
Минеральные и органо-минеральные
Крупнообломочные грунты и пески обломочных и дисперсных зон коры выветривания и почвы
Техногенные
Техногенно измененные в условиях естественного залегания природные грунты
Все виды техногенно измененных природных несвязных грунтов
Все подвиды техногенно измененных природных несвязных грунтов, в том числе укрепленные грунты
Техногенно перемещенные природные грунты
Все виды техногенно измененных природных несвязных грунтов
Все подвиды техногенно измененных природных несвязных грунтов, в том числе укрепленные грунты
Связные
Осадочные
Флювиальные, ледниковые, эоловые, склоновые и др.
Минеральные
Глинистые грунты
Органо-минеральные
Илы
Сапропели
Заторфованные глинистые грунты и др.
Озерно-болотные, болотные, аллювиально-болотные и др.
Органические
Торфы
Сапропели и др.
Элювиальные
Образованные в результате выветривания: физического, физико-химического, химического, биологического
Минеральные и органо-минеральные
Глинистые грунты дисперсных зон коры выветривания и почвы
Техногенные
Техногенно измененные в условиях естественного залегания природные грунты
Все виды техногенно измененных природных связных грунтов
Все подвиды техногенно измененных природных связных грунтов, в том числе укрепленные и стабилизированные грунты
Техногенно перемещенные природные грунты
Все виды техногенно измененных природных связных грунтов
Все подвиды техногенно измененных природных связных грунтов, в том числе укрепленные и стабилизированные грунты
6.4 К классу мерзлых грунтов относятся грунты, обладающие наряду со структурными связями немерзлых грунтов криогенными связями (за счет льда).
Грунты с криогенными, кристаллизационными и цементационными структурными связями выделяют в подкласс скальных мерзлых грунтов; грунты с криогенными, физическими и физико-химическими структурными связями - в подкласс дисперсных мерзлых грунтов; грунты только с криогенными связями выделяют в подкласс ледяных грунтов.
По генезису и вещественному составу в классе мерзлых грунтов выделяют, соответственно, типы и подтипы, виды и подвиды, представленные в таблице 7. Разновидности природных мерзлых грунтов выделяют по количественным показателям их вещественного состава, строения, состояния и свойств в соответствии с подразделом 7.3.
Таблица 7
Класс мерзлых грунтов
Подкласс
Тип
Подтип
Вид
Подвид
Разновидности
Скальные мерзлые
Природные промерзшие
Интрузивные, эффузивные, метаморфические, осадочные, вулканогенно-осадочные, элювиальные
Все виды скальных грунтов
Все подвиды скальных грунтов
Выделяют в соответствии с подразделом 7.3
Техногенные промороженные и мерзлые
Природные грунты, техногенно измененные в условиях естественного залегания
Все виды техногенно измененных природных скальных грунтов
Все подвиды техногенно измененных природных скальных грунтов
Дисперсные мерзлые
Природные промерзшие
Осадочные, вулканогенно-осадочные, элювиальные
Все виды дисперсных грунтов
Все подвиды дисперсных грунтов
Техногенные промороженные и мерзлые
Природные грунты, техногенно измененные в условиях естественного залегания
Все виды техногенно измененных природных дисперсных грунтов
Все подвиды техногенно измененных природных дисперсных грунтов
Техногенно перемещенные природные мерзлые грунты
Ледяные
Льды внутригрунтовые, погребенные, пещерно-жильные
Сегрегационные, инъекционные, ледниковые, наледные, речные, озерные, морские, донные, инфильтрационные, жильные, повторно-жильные, пещерные
Ледогрунты
Ледогрунты разного состава
Техногенные - ледяные искусственные
Антропогенные намороженные льды
Все виды намороженных льдов
Все подвиды искусственных льдов разного состава
7. Частные классификации грунтов
7.1. Скальные грунты
Разновидности скальных грунтов выделяют в соответствии с таблицами 8 - 14 (обязательные частные классификации скальных грунтов) и таблицами 15 - 17 (рекомендуемые частные классификации грунтов).
Таблица 8
Подразделение скальных грунтов по пределу прочности
на одноосное сжатие Rc в водонасыщенном
состоянии по ГОСТ 12248
Класс, подкласс грунтов
Разновидность грунтов
Предел прочности на одноосное сжатие Rc, МПа
Скальные
Очень прочные
Rc >= 120
Прочные
120 > Rc >= 50
Средней прочности
50 > Rc >= 15
Малопрочные
15 > Rc >= 5
Полускальные
Пониженной прочности
5 > Rc >= 3
Низкой прочности
3 > Rc >= 1
Очень низкой прочности
Rc < 1
Таблица 9
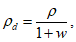
Подразделение скальных грунтов по плотности
сухого (скелета) грунта 
Разновидность грунтов
Плотность сухого грунта , г/см3
Очень плотный
Плотный
Средней плотности
Низкой плотности
Таблица 10
Подразделение скальных грунтов по пористости n
Разновидность грунтов
Пористость n, %
Непористый
n <= 3
Слабопористый
3 < n <= 10
Среднепористый
10 < n <= 30
Сильнопористый
n > 30
Таблица 11
Подразделение скальных грунтов
по коэффициенту выветрелости Kwr
Разновидность грунтов
Коэффициент выветрелости скальных грунтов Kwr, д.е.
Слабовыветрелый
0,9 <= Kwr < 1
Средневыветрелый
0,8 <= Kwr < 0,9
Сильновыветрелый
Kwr < 0,80
Таблица 12
Подразделение скальных грунтов по коэффициенту
размягчаемости в воде Ksof
Разновидность грунтов
Коэффициент размягчаемости Ksof, д. е.
Неразмягчаемый
Ksof >= 0,75
Размягчаемый
Ksof < 0,75
Таблица 13
Подразделение скальных грунтов по степени
растворимости в воде qsr
Разновидность грунтов
Степень растворимости qsr, г/л
Нерастворимый
qsr <= 0,01
Труднорастворимый
0,01 < qsr <= 1
Среднерастворимый
1 < qsr <= 10
Легкорастворимый
10 < qsr <= 100
Сильнорастворимый
qsr > 100
Таблица 14
Подразделение скальных грунтов по водопроницаемости
(коэффициенту фильтрации Kф) - применяют также
для класса дисперсных грунтов
Разновидность грунтов
Коэффициент фильтрации Kф, м/сут
Водонепроницаемый
Kф <= 0,005
Слабоводопроницаемый
0,005 < Kф <= 0,3
Водопроницаемый
0,3 < Kф <= 3
Сильноводопроницаемый
3 < Kф <= 30
Очень сильноводопроницаемый
Kф > 30
Таблица 15
Разновидности скальных известково-доломитовых грунтов
по минеральному составу
Разновидность грунтов
Содержание, %
CaCO3
CaMg(CO3)2
Известняк
95 - 100
0 - 5
Известняк доломитистый
75 - 95
5 - 25
Известняк доломитовый
50 - 75
25 - 50
Доломит известковый
25 - 50
50 - 75
Доломит известковистый
5 - 25
75 - 90
Доломит
0 - 5
95 - 100
Таблица 16
Разновидности скальных карбонатных грунтов
по минеральному составу
Разновидность грунтов
Содержание карбонатов, %
Терригенная составляющая, %
Известняк (доломит)
95 - 100
0 - 5
Алевритистый (песчанистый) известняк (доломит) или известняк (доломит) с гравием (галькой)
75 - 95
5 - 25
Алевритовый (песчаный, гравийный, галечный) известняк (доломит)
50 - 75
25 - 50
Известковый (доломитовый) алевролит (песчаник, гравелит, конгломерат)
25 - 50
50 - 75
Известковистый (доломитистый) алевролит (песчаник, гравелит, конгломерат)
5 - 25
75 - 95
Алевролит (песчаник, гравелит, конгломерат)
0 - 5
95 - 100
Таблица 17
Подразделение скальных глинисто-карбонатных и глинистых
грунтов на известковый и доломитовый ряд с учетом
содержания глинистых минералов
Содержание глинистых минералов, %
Известковый ряд
Доломитовый ряд
Разновидность грунта
Содержание CaCO3, %
Разновидность грунта
Содержание CaMg(CO3)2, %
0 - 5
Известняк
95 - 100
Доломит
95 - 100
5 - 25
Известняк глинистый
75 - 95
Доломит глинистый
75 - 95
25 - 50
Мергель известковый
50 - 75
Мергель доломитовый
50 - 75
50 - 75
Мергель глинистый известковый
25 - 50
Мергель глинистый доломитовый
25 - 50
75 - 95
Глина известковая
5 - 25
Глина доломитовая
5 - 25
95 - 100
Глина
0 - 5
Глина
0 - 5
7.2. Дисперсные грунты
Разновидности дисперсных грунтов выделяют в соответствии с таблицами 18 - 37 (обязательные частные классификации дисперсных грунтов) и таблицами 38 - 46 (рекомендуемые частные классификации дисперсных грунтов). Среди дисперсных грунтов выделяют также слабые грунты, проводя их классификацию в соответствии с приложением В.
Для выделения разновидностей грунтов могут быть использованы также результаты статического и динамического зондирования в соответствии с ГОСТ 19912. Справочные данные для этого случая представлены в приложении Д.
Таблица 18
Подразделение элементов и фракций
дисперсных грунтов по размерам
Элементы грунта
Фракции
Размер фракций, мм
Валуны (глыбы)
Крупные
> 800
Средние
400 - 800
Мелкие
200 - 400
Галька (щебень)
Крупные
100 - 200
Средние
60 - 100
Мелкие
10 - 60
Гравий (дресва)
Крупные
5 - 10
Мелкие
2 - 5
Песчаные частицы
Грубые
1 - 2
Крупные
0,5 - 1
Средние
0,25 - 0,5
Мелкие
0,10 - 0,25
Тонкие
0,05 - 0,10
Пылеватые частицы
Крупные
0,01 - 0,05
Мелкие
0,002 - 0,01
Глинистые частицы
< 0,002
Таблица 19
Подразделение крупнообломочных и песчаных грунтов
по гранулометрическому составу по ГОСТ 12536
Разновидность крупнообломочных грунтов и песчаных грунтов
Размер частиц d, мм
Содержание частиц, % массы
Крупнообломочные грунты:
- валунный (при преобладании неокатанных частиц - глыбовый)
> 200
> 50
- галечниковый (при неокатанных гранях - щебенистый)
> 10
> 50
- гравийный (при неокатанных гранях - дресвяный)
> 2
> 50
Песчаные грунты:
- гравелистый
> 2
> 25
- крупный
> 0,50
> 50
- средней крупности
> 0,25
> 50
- мелкий
> 0,10
>= 75
- пылеватый
> 0,10
< 75
Примечание - При наличии в крупнообломочных грунтах песчаного заполнителя более 40% или глинистого заполнителя более 30% от общей массы воздушно-сухого грунта в наименование крупнообломочного грунта включают наименование вида заполнителя и указывают характеристики его состояния (влажность, плотность, показатель текучести). Вид заполнителя устанавливают после удаления из крупнообломочного грунта частиц крупнее 2 мм. Если обломочный материал представлен ракушкой в количестве 50% и более, грунт называют ракушечным, если от 25% до 50% - к наименованию грунта добавляют слова "с ракушкой".
Таблица 20
Подразделение крупнообломочных и песчаных грунтов
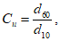
по степени неоднородности гранулометрического состава Cu
Разновидность крупнообломочных и песчаных грунтов
Степень неоднородности гранулометрического состава Cu, д.е.
Однородные
Cu <= 3
Неоднородные <*>
Cu > 3
<*> К однородным следует также относить мелкие пески с содержанием по массе не менее 90% частиц размером 0,10 - 0,25 мм.
Таблица 21
Подразделение крупнообломочных и песчаных грунтов
по коэффициенту водонасыщения Sr
Разновидность крупнообломочных и песчаных грунтов
Коэффициент водонасыщения Sr, д.е.
Малой степени водонасыщения (маловлажные)
0 < Sr <= 0,5
Средней степени водонасыщения (влажные)
0,5 < Sr <= 0,8
Водонасыщенные
0,8 < Sr <= 1
Таблица 22
Подразделение песчаных грунтов по коэффициенту пористости e
Разновидность песчаных грунтов
Коэффициент пористости e, д.е.
Пески гравелистые, крупные и средней крупности
Пески мелкие
Пески пылеватые
Плотный
e <= 0,55
e <= 0,60
e <= 0,60
Средней плотности
0,55 < e <= 0,70
0,60 < e <= 0,75
0,60 < e <= 0,80
Рыхлый
e > 0,70
e > 0,75
e > 0,80
Таблица 23
Подразделение песчаных грунтов искусственного сложения
по степени плотности ID
Разновидность песков
Степень плотности ID, д.е.
Слабоуплотненный
0 < ID <= 0,33
Среднеуплотненный
0,33 < ID <= 0,66
Сильноуплотненный
0,66 < ID <= 1,00
Таблица 24
Подразделение крупнообломочных грунтов по коэффициенту
выветрелости крупных обломков Kwrt
Разновидность крупнообломочных грунтов
Коэффициент выветрелости Kwrt, д.е.
Слабовыветрелый
0 < Kwrt <= 0,50
Средневыветрелый
0,50 < Kwrt <= 0,75
Сильновыветрелый
0,75 < Kwrt <= 1,00
Таблица 25
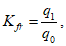
Подразделение крупнообломочных грунтов по коэффициенту
истираемости крупных обломков Kfr
Разновидность крупнообломочных грунтов
Коэффициент истираемости Kfr, д.е.
Очень прочный
Kfr <= 0,05
Прочный
0,05 < Kfr <= 0,20
Средней прочности
0,20 < Kfr <= 0,30
Малопрочный
0,30 < Kfr <= 0,40
Пониженной прочности
Kfr > 0,40
Таблица 26
Подразделение глинистых грунтов по числу пластичности Ip
и содержанию песчаных частиц
Разновидность глинистых грунтов
Показатель
содержания песчаных частиц, % массы
числа пластичности Ip
Супесь
Легкая крупная песчанистая
> 50
1 - 7
Легкая песчанистая
> 50
1 - 7
Пылеватая
50 - 20
1 - 7
Тяжелая пылеватая
< 20
1 - 7
Суглинок
Легкий песчанистый
>= 40
7 - 12
Легкий пылеватый
< 40
7 - 12
Тяжелый песчанистый
>= 40
12 - 17
Тяжелый пылеватый
< 40
12 - 17
Глина
Легкая песчанистая
>= 40
17 - 27
Легкая пылеватая
< 40
17 - 27
Тяжелая (жирная)
Не нормируется
>= 27
Примечания
1 Для супесей легких крупных учитывается содержание песчаных частиц размером (2,00 - 0,25) мм, для остальных грунтов - (2,00 - 0,05) мм.
2 При содержании в грунте 25% - 50% по массе частиц крупнее 2 мм к названию глинистых грунтов добавляется термин "гравелистый" (при окатанных частицах) или "щебенистый" (при неокатанных частицах).
Таблица 27
Подразделение глинистых грунтов при наличии
в них частиц размером более 2 мм
Разновидность глинистых грунтов
Содержание частиц размером более 2 мм, % массы
Супесь, суглинок, глина с галькой (щебнем), с гравием (дресвой) или с ракушкой
От 15 до 25 включ.
Супесь, суглинок, глины галечниковые (щебенистые), гравелистые (дресвяные) или ракушечные
Св. 25 до 50 включ.
Таблица 28
Подразделение глинистых грунтов по показателю текучести IL
Разновидность глинистых грунтов
Показатель текучести IL, д. е.
Супесь:
- твердая
IL < 0
- пластичная
0 <= IL <= 1,00
- текучая
IL > 1,00
Суглинки и глины:
- твердые
IL < 0
- полутвердые
0 <= IL <= 0,25
- тугопластичные
0,25 < IL <= 0,50
- мягкопластичные
0,50 < IL <= 0,75
- текучепластичные
0,75 < IL <= 1,00
- текучие
IL > 1,00
Таблица 29
Подразделение глинистых грунтов по относительной
деформации набухания по ГОСТ 12248
Разновидность глинистых грунтов
Относительная деформация набухания
Без нагрузки , д.е.
Толщина слоя увлажнения при влажности 0,5W0 (для грунтов рабочего слоя земляного полотна), %
Ненабухающий
Менее 2
Слабонабухающий
От 2 до 4
Средненабухающий
От 5 до 10
Сильнонабухающий
Св. 10
Таблица 30
Классификация грунтов по степени просадочности
с учетом относительной деформации
просадочности по ГОСТ 23161
Разновидности грунтов
Коэффициент просадочности
Относительная деформация просадки; толщина слоя промачивания, %
Непросадочные
Св. 0,92
Менее 2
Слабопросадочные
От 0,85 до 0,91
От 2 до 7
Просадочные
От 0,80 до 0,84
От 8 до 12
Сильнопросадочные
Менее 0,79
Св. 12
Примечание - Классификация не распространяется на скальные водоустойчивые грунты и грунты с исключением водонерастворимых цементирующих веществ, просадочность которых оценивают по данным лабораторных испытаний.
Таблица 31
Подразделение глинистых грунтов по относительной
деформации просадочности 
Разновидность глинистых грунтов
Относительная деформация просадочности , д.е.
Непросадочный
Слабопросадочный
Среднепросадочный
Сильнопросадочный
Чрезвычайно просадочный
Таблица 32
Подразделение грунтов по относительному содержанию
органического вещества Ir по ГОСТ 23740 и ГОСТ 26213
Разновидность грунтов
Относительное содержание органического вещества Ir, д.е.
Минеральные
Ir <= 0,03
Органо-минеральные:
- с примесью органического вещества
0,03 < Ir <= 0,10
- с низким содержанием органического вещества
0,10 < Ir <= 0,30
- с высоким содержанием органического вещества
0,30 < Ir < 0,50
Органические
Ir >= 0,50
Таблица 33
Подразделение торфосодержащих грунтов по относительному
содержанию органического вещества Ir
по ГОСТ 23740 и ГОСТ 26213
Торфосодержащий грунт
Относительное содержание органического вещества Ir, д.е.
Песчаные грунты
Глинистые грунты
С примесью торфа
0,03 <= Ir <= 0,10
0,05 < Ir <= 0,10
Слабозаторфованный
0,10 < Ir <= 0,25
Среднезаторфованный
0,25 < Ir <= 0,40
Сильнозаторфованный
0,40 < Ir < 0,50
Торф
Ir >= 0,50
Таблица 34
Подразделение торфов по степени разложения Ddp
по ГОСТ 10650
Разновидность торфа
Степень разложения Ddp, %
Слаборазложившийся
Ddp <= 20
Среднеразложившийся
20 < Ddp <= 45
Сильноразложившийся
Ddp > 45
Таблица 35
Подразделение грунтов по степени засоленности
легкорастворимыми солями Dsal
Разновидность грунтов
Степень засоленности грунтов легкорастворимыми солями Dsal, %
хлоридное, сульфатно-хлоридное засоление
сульфатное, хлоридно-сульфатное засоление
Незасоленный
(Dsal < 0,5)
-------------
(Dsal < 0,3)
Dsal < 0,5
--------------
(Dsal < 0,3)
Слабозасоленный
0,5 <= Dsal < 2,0
----------------------
(0,3 <= Dsal < 1,0)
0,5 <= Dsal < 1,0
--------------------
(0,3<= Dsal < 5,0)
Среднезасоленный
2,0 <= Dsal < 5,0
------------------------
(1,0 <= Dsal <= 5,0)
1,0 <= Dsal < 3,0
---------------------
(0,5 <= Dsal < 2,0)
Сильнозасоленный
5,0 <= Dsal <= 10,0
-----------------------
(5,0 <= Dsal <= 8,0)
3,0 <= Dsal <= 8,0
---------------------
(2,0 <= Dsal <= 5,0)
Избыточно засоленный
Dsal > 10,0
--------------
(Dsal > 8,0)
Dsal > 8,0
--------------
(Dsal > 5,0)
Примечание - Над чертой даны значения для дорожно-климатической зоны V, под чертой - для остальных зон.
Таблица 36
Подразделение грунтов по степени засоленности
среднерастворимыми солями Dsal
Разновидность грунтов
Степень засоленности грунтов среднерастворимыми (гипс, ангидрит) солями Dsal, %
Суглинок
Супесь
Песок
Незасоленный
Dsal <= 5
Dsal <= 5
Dsal <= 3
Слабозасоленный
5< Dsal <= 10
5 < Dsal <= 10
3 < Dsal <= 7
Среднезасоленный
10 < Dsal <= 20
10 < Dsal <= 20
7 < Dsal <= 10
Сильнозасоленный
20 < Dsal <= 35
20 < Dsal <= 30
10 < Dsal <= 15
Избыточно засоленный
Dsal >35
Dsal > 30
Dsal > 15
Таблица 37
Подразделение дисперсных грунтов по степени
морозной пучинистости по ГОСТ 28622
Группа грунтов по степени пучинистости
Степень пучинистости , %
I - непучинистый
II - слабопучинистый
III - среднепучинистый
IV - сильнопучинистый
V - чрезмерно пучинистый
Примечания
1 Классификация применяется также для класса мерзлых грунтов.
2 В таблицах Г.1, Г.2 (приложение Г) справочно указаны разновидности грунтов, соответствующие группе по степени пучинистости (для случая, когда испытание по оценке степени морозного пучения не проводится - таблица Г.1 и средние значения величины морозного пучения - таблица Г.2).
Таблица 38
Разновидности грунтов для сооружения
земляного полотна по степени увлажнения
Разновидности грунтов
Влажность
Недоувлажненные
Менее 0,9W0
Нормальной влажности
От 0,9W0 до Wadm
Повышенной влажности
От Wadm до Wmax
Переувлажненные
Свыше Wmax
Примечания
1 Wmax - максимально возможная влажность грунта при коэффициенте уплотнения 0,9; W0 - оптимальная влажность.
2 Wadm - допустимая влажность в долях от оптимальной (принимается по таблице Г.3 (приложение Г)).
Таблица 39
Подразделение дисперсных грунтов
по деформируемости по ГОСТ 12248
Разновидность грунтов
Модуль деформации E, МПа
Очень сильно деформируемые (слабые)
E <= 5
Сильнодеформируемые
5 < E <= 10
Среднедеформируемые
10 < E <= 50
Слабодеформируемые
E > 50
Таблица 40
Подразделение глинистых грунтов по сопротивлению
недренированному сдвигу cu
Разновидность глинистых грунтов
Сопротивление недренированному сдвигу cu, кПа
Чрезвычайно низкой прочности
cu <= 10
Очень низкой прочности
10 < cu <= 20
Низкой прочности
20 < cu <= 40
Средней прочности
40 < cu <= 75
Высокой прочности
75 < cu <= 150
Очень высокой прочности
150 < cu <= 300
Чрезвычайно высокой прочности
cu > 300
Таблица 41
Подразделение глинистых грунтов по показателю
чувствительности St
Разновидность глинистых грунтов
Показатель чувствительности St, д.е.
Нечувствительные
St < 1
Низкочувствительные
1 < St <= 2
Среднечувствительные
2 < St <= 4
Очень чувствительные
4 < St <= 8
Текучие глины
St > 8
Таблица 42
Подразделение илов и сапропелей по относительному
содержанию органического вещества Ir
Разновидности илов и сапропелей
Относительное содержание органического вещества Ir, д.е.
Илы
Сапропели
Высокоминеральные
0,03 < Ir <= 0,07
0,10 < Ir <= 0,30
Среднеминеральные
0,07 < Ir <= 0,10
0,30 < Ir <= 0,50
Низкоминеральные
Ir > 0,10
Ir > 0,50
Таблица 43
Подразделение дисперсных грунтов по высоте
капиллярного поднятия hc
Разновидность грунтов
Высота капиллярного поднятия hc, м
С небольшой высотой
hc <= 1,0
Со средней высотой
1,0 < hc <= 2,5
С большой высотой
hc > 2,5
Таблица 44
Подразделение дисперсных грунтов, содержащих частицы
фракций 2 мм и более по зерновому составу (структуре)
Разновидность грунтов
Содержание фракций крупнее 2 мм, %
Бескаркасные
< 10
С несовершенным каркасом
10 - 65
Каркасные
> 65
Таблица 45
Подразделение песчаных грунтов по показателю
максимальной неоднородности Umax
Разновидность песчаных грунтов
Показатель максимальной неоднородности, д.е.
Однородный
< 4
Среднеоднородный
4 <= Umax < 20
Неоднородный
20 <= Umax <= 40
Повышенной неоднородности
> 40
Таблица 46
Подразделение глинистых грунтов по липкости
(прилипаемости) - адгезионной прочности L
Разновидность глинистых грунтов
Липкость (прилипаемость) - адгезионная прочность L, кПа
Неприлипаемые
L <= 5
Слабоприлипаемые
5 < L <= 10
Среднеприлипаемые
10 < L <= 25
Сильноприлипаемые
> 25
7.3. Мерзлые грунты
Разновидности мерзлых грунтов выделяют в соответствии с таблицами 47 - 51 (обязательные частные классификации мерзлых грунтов) и таблицами 52 - 54 (рекомендуемые частные классификации мерзлых грунтов).
Таблица 47
Разновидности мерзлых грунтов
по температуре T по ГОСТ 25358
Разновидность грунтов
Температура грунтов T, °C
Немерзлый (талый)
T >= 0
Охлажденный
0 > T >= Tbf <*>
Мерзлый
T < Tbf <**>
Морозный
T < 0
Сыпучемерзлый*
T < 0
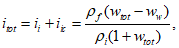
<*> Для грунтов с суммарной влажностью wtot <= 3%.
<**> Tbf - температура замерзания грунтов.
Таблица 48
Разновидности мерзлых грунтов по льдистости
Разновидность мерзлых грунтов
Льдистость за счет видимых ледяных включений ii, д.е.
Скальные грунты
Слабольдистый
ii <= 0,01
Льдистый
0,01 < ii <= 0,05
Сильнольдистый
ii > 0,05
Дисперсные грунты (кроме песчаных)
Нельдистый
ii <= 0,03
Слабольдистый
0,03 < ii <= 0,20
Льдистый
0,20 < ii <= 0,40
Сильнольдистый
0,40 < ii <= 0,60
Очень сильнольдистый
0,60 < ii <= 0,90
Таблица 49
Разновидность мерзлых песчаных грунтов по льдистости
Разновидность песчаных грунтов
Суммарная льдистость itot, д.е.
Слабольдистые
itot <= 0,40
Льдистые
0,40 < itot <= 0,60
Сильнольдистые
itot > 0,60
Таблица 50
Разновидности незасоленных мерзлых грунтов
Грунты
Разновидность грунта
Твердомерзлый
(mvf <= 0,01 МПа-1)
при T < Th, °C
Пластичномерзлый
(mvf > 0,01 МПа-1)
при T, °C
Сыпучемерзлый
при T < 0 °C
Скальные и полускальные
Th = 0
-
-
Крупнообломочные
Th = 0
Th < T < Tbf
при Sr < 0,8
При Sr <= 0,15
Пески гравелистые, крупные и средней крупности
Th = -0,1
Пески мелкие и пылеватые
Th = -0,3
Глинистые грунты:
Супесь
Th = -0,6
Th < T < Tbf
При Sr <= 0,15
Суглинок
Th = -1,0
Глина
Th = -1,5
Примечание - Th - температурная граница твердомерзлого состояния грунтов; T - температура грунта.
Таблица 51
Разновидности мерзлых грунтов с морским типом засоления
легкорастворимыми солями (хлоридный тип засоления) Dsal
Разновидность грунтов
Степень засоленности легкорастворимыми солями Dsal, %
пески
супеси
суглинки и глины
Незасоленные
Dsal < 0,05
Dsal < 0,15
Dsal < 0,20
Слабозасоленные
0,05 <= Dsal < 0,15
0,15 <= Dsal < 0,35
0,20 <= Dsal < 0,40
Среднезасоленные
0,15 <= Dsal < 0,30
0,35 <= Dsal < 0,60
0,40 <= Dsal < 0,80
Сильнозасоленные
Dsal >= 0,30
Dsal >= 0,60
Dsal >= 0,80
Примечание - Мерзлые грунты с континентальным типом засоления (сульфатный тип засоления) относят к засоленным при степени засоленности Dsal, %: для песков >= 0,10%; для супесей >= 0,15%; для суглинков >= 0,20%; для глин >= 0,25%.
Таблица 52
Разновидности мерзлых грунтов по типам криогенных структур
Грунты
Тип криогенной текстуры
Скальные и полускальные
Трещинная, пластовая, полостная, жильная, массивная
Крупнообломочные
Массивная, порфировидная, корковая, базальная
Песчаные
Массивная, слоистая, порфировидная, сетчатая, базальная
Глинистые
Массивная, сетчатая, слоистая, атакситовая, порфировидная, линзовидная
Заторфованные
Порфировидная, слоистая, сетчатая, атакситовая, линзовидная
Таблица 53
Разновидности мерзлых грунтов по продолжительности
существования в мерзлом состоянии
Разновидность мерзлых грунтов
Продолжительность существования
Кратковременно мерзлые
Менее месяца
Сезонно-мерзлые
От месяца до года
Многолетнемерзлые
Более года
Вечномерзлые
Более 100 лет
Таблица 54
Разновидности мерзлых грунтов по льдистости
и просадочности в дорожно-климатической зоне I
Разновидность по просадочности при оттаивании
Льдистость <*> грунта вечномерзлой толщи
Суммарная влажность грунтов деятельного слоя
Песок мелкий
Песок пылеватый, супесь легкая
Супесь
Торф
Непросадочный
Без ледяных включений (0 - 0,1)
Менее 0,18
Менее 0,2
Менее 0,2
-
Слабопросадочный
Малольдистый (0,01 - 0,1)
От 0,18 до 0,25
От 0,2 до 0,4
От 0,2 до 0,4
Менее 2
Просадочный
Льдистый (0,1 - 0,4)
Св. 0,25
Св. 0,4
Св. 0,4 до 1,1
От 2 до 12
Сильнопросадочный
Сильнольдистый (0,4 - 0,6)
-
-
Св. 1,1
Св. 12
Чрезмерно просадочный
С крупными включениями подземного льда (0,6 - 1,0)
-
-
Св. 1,1
Св. 12
<*> Отношение объема прослоек льда к объему мерзлого грунта (с учетом включений частиц льда).
Приложение А
(справочное)
СОПОСТАВЛЕНИЕ КЛАССИФИКАЦИЙ ДИСПЕРСНЫХ ГРУНТОВ,
ИСПОЛЬЗУЕМЫХ В НАСТОЯЩЕМ СТАНДАРТЕ И В СТАНДАРТАХ ИСО, АСТМ
Сопоставление наименований дисперсных грунтов с наименованиями, указанными в ИСО [2] и АСТМ [3], выполняют в соответствии с положениями ГОСТ 25100 (приложение Д, Е), используя основные данные, приведенные в блок-схемах А.1 - А.8.
Размер фракций, мм
800
630
400
300
200
100
76,2
63
60
40
20
19
10
6,3
4,75
5
2
ГОСТ
Валуны, глыбы
Галька, щебень
Гравий, дресва
крупные
средние
мелкие
крупные
средние
мелкие
крупные
мелкие
Стандарт [2]
Large boulders
Boulders
Cobbles
Coarse gravel
Medium gravel
Fine gravel
Стандарт [3]
Boulders
Cobbles
Gravel
Sand
coarse
fine
coarse
Размер фракций, мм
0,63
0,5
0,425
0,25
0,2
0,1
0,075
0,063
0,05
0,02
0,0063
0,005
0,002
меньше 0,002
ГОСТ
Песок
Пыль
Глина
крупный
средней крупности
мелкий
пылеватый
Стандарт [2]
Sand
Silt
Clay
coarse
medium
fine
coarse
medium
fine
Стандарт [3]
Sand
Silt
Clay
medium
fine
Рисунок А.1 - Блок-схема сопоставления
размеров гранулометрических фракций, определяемых
по настоящему стандарту и стандартам [2] и [3]
ГОСТ
Стандарт [2]
Наименование грунта
Наименование грунта
Индекс
Валунный (глыбовый) грунт
Boulders, sandy boulders, silty boulders, clayey boulders
Bo, saBo, siBo, clBo
Валунный (глыбовый) грунт с песчаным заполнителем
Sandy boulders, silty sandy boulders, clayey sandy boulders
saBo, sisaBo, clsaBo
Валунный (глыбовый) грунт с глинистым (суглинистым, супесчаным) заполнителем
Silty boulders, clayey boulders, sandy silty boulders, sandy clayey boulders
siBo, clBo, sasiBo, saclBo
Галечниковый (щебенистый) грунт
Cobbles, sandy cobbles, silty cobbles, clayey cobbles;
Coarse (medium) gravel, sandy coarse (medium) gravel, silty coarse (medium) gravel, clayey coarse (medium) gravel
Co, saCo, siCo, clCo;
CGr (MGr),
saCGr (MGr),
siCGr (MGr),
clCGr (MGr)
Галечниковый (щебенистый) грунт с песчаным заполнителем
Sandy cobbles, silty sandy cobbles, clayey sandy cobbles;
Sandy coarse (medium) gravel, silty sandy coarse (medium) gravel, clayey sandy coarse (medium) gravel
saCo, sisaCo, clsaCo;
saCGr (MGr),
sisaCGr (MGr),
clsaCGr (MGr)
Галечниковый (щебенистый) грунт с глинистым (суглинистым, супесчаным) заполнителем
Silty cobbles, clayey cobbles, sandy silty cobbles, sandy clayey cobbles;
Silty coarse (medium) gravel, clayey coarse (medium) gravel, sandy silty coarse (medium) gravel, sandy clayey coarse (medium) gravel
siCo, clCo, sasiCo, saclCo;
siCGr (MGr),
clCGr (MGr),
sasiCGr (MGr),
saclCGr (MGr)
Гравийный (дресвяный) грунт
Medium (fine) gravel,
sandy medium (fine) gravel,
silty medium (fine) gravel,
clayey medium (fine) gravel
Mgr (FGr),
saMGr (FGr),
siMGr (FGr),
clMGr (FGr)
Гравийный (дресвяный) грунт с песчаным заполнителем
Sandy medium (fine) gravel,
silty sandy medium (fine) gravel, clayey sandy medium (fine) gravel
saMGr (FGr),
sisaMGr (FGr), clsaMGr (FGr)
Гравийный (дресвяный) грунт с глинистым (суглинистым, супесчаным) заполнителем
Silty medium (fine) gravel,
clayey medium (fine) gravel,
sandy silty medium (fine) gravel,
sandy clayey medium (fine) gravel
siMGr (FGr),
clMGr (FGr),
sasiMGr (FGr),
saclMGr (FGr)
Рисунок А.2 - Блок-схема соответствия
наименований крупнообломочных и крупнозернистых грунтов,
определенных по настоящему стандарту и стандарту [2]
ГОСТ
Стандарт [3] <*>
Наименование грунта
Наименование грунта
Индекс
Валунный (глыбовый) грунт
Boulders (cobbles);
boulders (cobbles) with sand
G
Boulders (cobbles) with silt;
boulders (cobbles) with silt and sand
G - GM
Boulders (cobbles) with clay;
boulders (cobbles) with clay and sand
G - GC
Silty boulders (cobbles);
silty boulders (cobbles) with sand
GM
Clayey boulders (cobbles);
clayey boulders (cobbles) with sand
GC
Валунный (глыбовый) грунт с песчаным заполнителем
Boulders (cobbles) with silt;
boulders (cobbles) with silt and sand
G - GM
Boulders (cobbles) with clay;
boulders (cobbles) with clay and sand
G - GC
Silty boulders (cobbles);
silty boulders (cobbles) with sand
GM
Clayey boulders (cobbles);
clayey boulders (cobbles) with sand
GC
Валунный (глыбовый) грунт с глинистым (суглинистым, супесчаным) заполнителем
Silty boulders (cobbles);
silty boulders (cobbles) with sand
GM
Clayey boulders (cobbles);
clayey boulders (cobbles) with sand
GC
Галечниковый (щебенистый) грунт
Cobbles (coarse, fine gravel);
cobbles (coarse, fine gravel) with sand
G
Cobbles (coarse, fine gravel) with silt;
cobbles (coarse, fine gravel) with silt and sand
G - GM
Cobbles (coarse, fine gravel) with clay;
cobbles (coarse, fine gravel) with clay and sand
G - GC
Silty cobbles (coarse, fine gravel);
silty cobbles (coarse, fine gravel) with sand
GM
Clayey cobbles (coarse, fine gravel);
clayey cobbles (coarse, fine gravel) with sand
GC
Рисунок А.3 - Блок-схема соответствия наименований
крупнообломочных и крупнозернистых грунтов, определенных
по настоящему стандарту и стандарту [3]
ГОСТ
Стандарт [3]
Наименование грунта
Наименование грунта
Индекс
Галечниковый (щебенистый) грунт с песчаным заполнителем
Cobbles (coarse, fine gravel) with silt;
cobbles (coarse, fine gravel) with silt and sand
G - GM
Cobbles (coarse, fine gravel) with clay;
cobbles (coarse, fine gravel) with clay and sand
G - GC
Silty cobbles (coarse, fine gravel);
silty cobbles (coarse, fine gravel) with sand
GM
Clayey cobbles (coarse, fine gravel);
clayey cobbles (coarse, fine gravel) with sand
GC
Галечниковый (щебенистый) грунт с глинистым (суглинистым, супесчаным) заполнителем
Silty cobbles (coarse, fine gravel);
silty cobbles (coarse, fine gravel) with sand
GM
Clayey cobbles (coarse, fine gravel);
clayey cobbles (coarse, fine gravel) with sand
GC
Гравийный (дресвяный) грунт
Fine gravel (coarse sand);
fine gravel (coarse sand) with sand
G
Fine gravel (coarse sand) with silt;
fine gravel (coarse sand) with silt and sand
G - GM
Fine gravel (coarse sand) with clay;
fine gravel (coarse sand) with clay and sand
G - GC
Silty fine gravel (coarse sand);
silty fine gravel (coarse sand) with sand
GM
Clayey fine gravel (coarse sand);
clayey fine gravel (coarse sand) with sand
GC
Гравийный (дресвяный) грунт с песчаным заполнителем
Fine gravel (coarse sand) with silt;
fine gravel (coarse sand) with silt and sand
G - GM
Fine gravel (coarse sand) with clay;
fine gravel (coarse sand) with clay and sand
G - GC
Silty fine gravel (coarse sand);
silty fine gravel (coarse sand) with sand
GM
Clayey fine gravel (coarse sand);
clayey fine gravel (coarse sand) with sand
GC
Гравийный (дресвяный) грунт с глинистым (суглинистым, супесчаным) заполнителем
Silty fine gravel (coarse sand);
silty fine gravel (coarse sand) with sand
GM
Clayey fine gravel (coarse sand);
clayey fine gravel (coarse sand) with sand
GC
<*> В зависимости от значений показателя степени неоднородности гранулометрического состава Cu к наименованию (индексу) грунта добавляется well graded (хорошо фракционированный) или poorly graded (плохо фракционированный).
Рисунок А.3, лист 2
ГОСТ
Стандарт [2]
Наименование грунта
Наименование грунта
Индекс
Гравелистый песок
Gravel; bouldery, cobble, sandy, silty, clayey gravel
Gr, boGr, coCg, saGr, siGr, clGr
Крупный песок
Coarse (medium) sand;
bouldery, cobble, gravely, silty, clayey coarse (medium) sand
CSa (MSa), boCSa (MSa), coCSa (MSa), grCSa (MSa), siCSa (MSa), clCSa (MSa)
Песок средней крупности
Medium sand;
bouldery, cobble, gravely, silty, clayey medium sand
MSa, boMSa, coMSa, grMSa, siMSa, clMSa
Мелкий песок
Medium (fine) sand;
bouldery, cobble, gravely, silty, clayey medium (fine) sand
MSa (FSa), boMSa (FSa), coMSa (FSa), grMSa (FSa), siMSa (FSa), clMSa (FSa)
Пылеватый песок
Fine sand;
bouldery, cobble, gravely, silty, clayey fine sand;
coarse silt
FSa, boFSa, coFSa, grFSa, siFSa, clFSa, CSi
Рисунок А.4 - Блок-схема соответствия
наименований песчаных грунтов, определенных
по настоящему стандарту и стандарту [2]
ГОСТ
Стандарт [3] <*>
Наименование грунта
Наименование грунта
Индекс
Гравелистый песок
Gravel, gravel with sand
G
Gravel with silt, gravel with silt and sand
G - GM
Gravel with clay, gravel with clay and sand
G - GC
Silty gravel, silty gravel with sand
GM
Clayey gravel, clayey gravel with sand
GC
Sand, sand with gravel
S
Sand with silt, sand with silt and gravel
S - SM
Sand with clay, sand with clay and gravel
S - SC
Silty sand, silty sand with gravel
MS
Clayey sand, clayey sand with gravel
CS
Крупный песок
Medium sand, medium sand with gravel
S
Medium sand with silt, medium sand with silt and gravel
S - SM
Medium sand with clay, medium sand with clay and gravel
S - SC
Silty medium sand, silty medium sand with gravel
MS
Clayey medium sand, clayey medium sand with gravel
CS
Рисунок А.5 - Блок-схема соответствия
наименований песчаных грунтов, определенных
по настоящему стандарту и стандарту [3]
ГОСТ
Стандарт [3] <*>
Наименование грунта
Наименование грунта
Индекс
Песок средней крупности
Medium (fine) sand, medium (fine) sand with gravel
S
Medium (fine) sand with silt, medium (fine) sand with silt and gravel
S - SM
Medium (fine) sand with clay, medium (fine) sand with clay and gravel
S - SC
Silty medium (fine) sand, silty medium (fine) sand with gravel
MS
Clayey medium (fine) sand, clayey medium (fine) sand with gravel
CS
Мелкий песок
Fine sand, fine sand with gravel
S
Fine sand with silt, fine sand with silt and gravel
S - SM
Fine sand with clay, fine sand with clay and gravel
S - SC
Silty fine sand, silty fine sand with gravel
MS
Clayey fine sand, clayey fine sand with gravel
CS
Пылеватый песок
Fine sand, fine sand with gravel
S
Fine sand with silt, fine sand with silt and gravel
S - SM
Fine sand with clay, fine sand with clay and gravel
S - SC
Silty fine sand, silty fine sand with gravel
MS
Clayey fine sand, clayey fine sand with gravel
CS
Silt
ML
<*> В зависимости от значений показателя степени неоднородности гранулометрического состава Cu к наименованию (индексу) грунта добавляется well graded (хорошо фракционированный) или poorly graded (плохо фракционированный).
Рисунок А.5, лист 2
ИС МЕГАНОРМ: примечание.
Обозначение показателя текучести дано в соответствии с официальным текстом документа.
ГОСТ
Стандарты [2] и [3]
Наименование грунта
Наименование грунта
Индекс
Число пластичности PI, %
Показатель текучести LL, %
Глина тяжелая
Fat clay
CH
> 45
> 65
Глина легкая
28 - 45
45 - 76
Суглинок тяжелый
19 - 28
50 - 53
Lean clay
CL
19 - 28
36 - 50
Суглинок легкий
11 - 19
22 - 45
Супесь
7 - 11
< 32
Silty clay
CL - ML
4 - 7
< 30
Глина тяжелая литифицированная
Elastic silt
MH
> 53
> 92
Глина легкая литифицированная
35 - 53
68 - 114
Суглинок тяжелый литифицированный
24 - 35
52 - 102
Суглинок легкий литифицированный
< 24
50 - 68
Silt
ML
15 - 24
41 - 50
Супесь литифицированная
< 15
< 41
Рисунок А.6 - Блок-схема соответствия наименований
глинистых (настоящий стандарт) и тонкодисперсных
минеральных грунтов (стандарты [2] и [3])
ИС МЕГАНОРМ: примечание.
Обозначение показателя текучести дано в соответствии с официальным текстом документа.
ГОСТ
Стандарты [2] и [3]
Наименование грунта
Наименование грунта
Индекс
Число пластичности PI, %
Показатель текучести LL, %
Глина тяжелая
Organic clay with high plasticity
OH
> 47
> 68
Глина легкая
29 - 47
44 - 98
Суглинок тяжелый
19 - 29
50 - 62
Суглинок легкий
13 - 19
50 - 51
Суглинок тяжелый
Organic clay with low plasticity
OL
19 - 29
36 - 50
Суглинок легкий
13 - 19
25 - 50
Супесь
< 13
< 41
Торф
Peat
Pt
Рисунок А.7 - Блок-схема соответствия наименований
глинистых (настоящий стандарт) и тонкодисперсных
органо-минеральных и органических грунтов
(стандарты [2] и [3])
ГОСТ
Стандарт [1]
Наименование грунта
Показатель текучести IL
Разновидность грунта
Показатель консистенции Ic
Супесь
IL < 0
Твердая
very stiff
0 <= IL <= 1,0
Пластичная
very soft - stiff
IL > 1,0
Текучая
very soft
Суглинок
IL < 0
Твердый
very stiff
0 <= IL <= 0,25
Полутвердый
stiff
0,25 <= IL <= 0,5
Тугопластичный
firm - stiff
0,5 <= IL <= 0,75
Мягкопластичный
soft - firm
0,75 <= IL <= 1,0
Текучепластичный
very soft - firm
IL > 1,0
Текучий
very soft - soft
Глина
IL < 0
Твердая
very stiff
0 <= IL <= 0,25
Полутвердая
stiff
0,25 <= IL <= 0,5
Тугопластичная
firm - stiff
0,5 <= IL <= 0,75
Мягкопластичная
firm
0,75 <= IL <= 1,0
Текучепластичная
soft - firm
IL > 1,0
Текучая
very soft - soft
Рисунок А.8 - Блок-схема соответствия разновидностей
минеральных и органо-минеральных грунтов по показателям
текучести IL и консистенции Ic
Приложение Б
(обязательное)
ОСНОВНЫЕ ПОКАЗАТЕЛИ СВОЙСТВ ГРУНТОВ
Б.1 влажность грунта: Отношение массы воды в объеме грунта к массе этого грунта, высушенного до постоянной массы. Определяется по ГОСТ 5180.
Б.2 влажность на границе раскатывания: Влажность грунта, при которой грунт находится на границе твердого и пластичного состояний. Определяется по ГОСТ 5180.
Б.3 влажность на границе текучести: Влажность грунта, при которой грунт находится на границе пластичного и текучего состояний. Определяется по ГОСТ 5180.
Б.4 влажность грунта оптимальная W0: Влажность грунта, при которой достигается величина коэффициента уплотнения при стандартном уплотнении по ГОСТ 22733, равная единице.
Б.5 влажность грунта допустимая Wadm: Влажность в долях от оптимальной, соответствующая максимальной влажности при требуемом коэффициенте уплотнения.
Б.6 влажность грунта максимальная Wmax: Максимальная возможная влажность грунта при коэффициенте уплотнения 0,9.
Б.7 коэффициент водонасыщения (степень влажности) Sr, д.е.: Коэффициент, характеризующий степень заполнения объема пор водой и определяемый по формуле
(Б.1)
где w - природная влажность грунта, д.е., по ГОСТ 5180;
e - коэффициент пористости, д.е.;
- плотность частиц грунта, г/см3, по ГОСТ 5180;
- плотность воды, принимаемая равной 1 г/см3.
Б.8 коэффициент выветрелости Kwr, д.е.: Коэффициент снижения плотности грунта, определяемый по формуле
(Б.2)
где - плотность выветрелого грунта, г/см3, по ГОСТ 5180;
- плотность невыветрелого грунта, г/см3, по ГОСТ 5180.
Б.9 коэффициент выветрелости крупнообломочного грунта Kwrt, д.е.: Коэффициент, определяемый по формуле
(Б.3)
где K1 - отношение массы частиц размером менее 2 мм к массе частиц размером более 2 мм после испытания грунта на истирание в полочном барабане;
K0 - отношение массы частиц размером менее 2 мм к массе частиц размером более 2 мм грунта в природном состоянии.
Б.10 коэффициент истираемости крупнообломочных грунтов Kfr, д.е.: Коэффициент, определяемый по формуле
(Б.4)
где q1 - масса частиц размером менее 2 мм после испытания крупнообломочных фракций грунта (частицы размером более 2 мм) на истирание в полочном барабане;
q0 - начальная масса пробы крупнообломочных фракций (до испытания на истирание).
Б.11 коэффициент пористости e, д.е.: Коэффициент, характеризующий отношение объема пор грунта к объему его скелета, определяемый по формуле
(Б.5)
где - плотность частиц грунта, г/см3, по ГОСТ 5180;
- плотность сухого грунта, г/см3.
Б.12 коэффициент размягчаемости в воде Ksof, д.е.: Коэффициент, определяемый по формуле
(Б.6)
где Rc, Rв.с - предел прочности грунта на одноосное сжатие соответственно в водонасыщенном и в воздушно-сухом состоянии по ГОСТ 12248.
Б.13 коэффициент сжимаемости мерзлого грунта mvf, МПа-1: Параметр, характеризующий объемную деформируемость мерзлого грунта под нагрузкой.
Б.14 коэффициент трещинной пустотности КТП, %: Отношение суммарной площади трещин к площади породы.
Б.15 коэффициент уплотнения грунта Kу, д.е.: Отношение плотности сухого грунта в контролируемом слое земляного сооружения к максимальной плотности сухого грунта, определенной в приборе стандартного уплотнения по ГОСТ 22733.
Б.16 коэффициент фильтрации Kф, см/с или м/сут: Скорость фильтрации воды через грунт при градиенте напора, равном единице, и линейном законе фильтрации по ГОСТ 25584.
Б.17 липкость (прилипаемость) L, кПа: Адгезионная прочность глинистых грунтов - усилие, необходимое для отрыва плоского штампа из заданного материала от грунта после их контакта в течение заданного времени при заданном давлении.
Б.18 льдистость грунта за счет видимых ледяных включений ii, д.е.: Величина, определяемая по формуле
(Б.7)
где wtot - суммарная влажность мерзлого грунта, д.е., по ГОСТ 5180;
wm - влажность мерзлого грунта, расположенного между ледяными включениями, д.е.;
ww - влажность мерзлого грунта за счет содержащейся в нем при данной отрицательной температуре незамерзшей воды, д.е.;
- плотность частиц грунта, г/см3 (ГОСТ 5180);
- плотность льда, принимаемая равной 0,9 г/см3.
Б.19 модуль осадки epi, мм/м: Характеристика сжимаемости грунтов (относительная деформация грунта при данном давлении в условиях одномерного сжатия), определяемая по формуле
(Б.8)
где - деформация образца ненарушенной структуры, мм;
h - начальная высота образца, мм.
Б.20 относительная деформация набухания без нагрузки , д.е.: Отношение увеличения высоты образца глинистого грунта при замачивании после свободного набухания в условиях невозможности бокового расширения к начальной высоте образца природной влажности по ГОСТ 12248.
Б.21 относительная деформация просадочности , д.е.: Отношение разности высоты образца грунта природной влажности и высоты образца после его замачивания при заданном давлении (давление вышележащего грунта плюс давление от сооружения) к высоте образца природной влажности по ГОСТ 23161.
Б.22 относительное содержание органического вещества (степень заторфованности) Ir, д.е.: Отношение массы органического вещества к массе абсолютно сухого грунта по ГОСТ 23740 и ГОСТ 26213.
Б.23 плотность сухого грунта (скелета) , г/см3: Величина, характеризующая отношение веса твердых частиц ко всему объему грунта и определяемая по формуле
(Б.9)
где - плотность грунта, г/см3, по ГОСТ 5180;
w - естественная влажность грунта, д.е., по ГОСТ 5180.
Б.24 показатель максимальной неоднородности: Мера неоднородности гранулометрического состава песчаного грунта, определяемая по формуле Umax = d50·d95/d5, где d95, d50, d5 - диаметры частиц, мм, меньше которых в данном грунте содержится (по массе) соответственно 95%, 50% и 5% частиц. Определяется расчетом по ГОСТ 12536.
Б.25 показатель текучести (консистенции) IL, д.е.: Показатель состояния (консистенции) глинистых грунтов, определяемый по формуле
(Б.10)
где w - естественная влажность грунта в процентах по ГОСТ 5180;
wP - влажность на границе раскатывания в процентах по ГОСТ 5180;
Ip - число пластичности в процентах.
Б.26 показатель чувствительности грунта St, д.е.: Отношение сопротивления недренированному сдвигу глинистых грунтов ненарушенного (cu) и нарушенного сложения (cur) или отношение сопротивления грунта вращательному срезу к его остаточному сопротивлению , определяемые по формуле
или (Б.11)
Б.27 пористость грунта n, %: Величина, характеризующая объем пор в единице объема грунта и определяемая по формуле:
(Б.12)
где - плотность частиц грунта, г/см3, по ГОСТ 5180;
- плотность сухого грунта, г/см3.
Б.28 предел прочности грунта на одноосное сжатие Rc, МПа: Отношение нагрузки, при которой происходит разрушение образца, к площади его первоначального поперечного сечения по ГОСТ 12248.
Б.29 сопротивление недренированному сдвигу cu, кПа: Величина, определяемая по результатам недренированных лабораторных или полевых испытаний глинистых грунтов (трехосные испытания, пенетрация, вращательный срез, зондирование и др.).
Б.30 степень водопроницаемости: Характеристика, отражающая способность грунтов пропускать через себя воду и количественно выражающаяся в виде коэффициента фильтрации. Определяется по ГОСТ 23278 и ГОСТ 25584.
Б.31 степень засоленности грунта Dsal, %: Отношение массы водорастворимых (легко- и среднерастворимых) солей в грунте к массе абсолютно сухого грунта. К легкорастворимым солям относятся: хлориды NaCl, KCl, CaCl2, MgCl2; бикарбонаты NaHCO3, Ca(HCO3)2, Mg(HCO3)2; карбонат натрия Na2CO3, сульфаты магния и натрия MgSO4, Na2SO4. К среднерастворимым солям относятся гипс CaSO4·2H2O и ангидрит CaSO4. Определяется расчетом по ГОСТ 5180 и ГОСТ 30416.
Б.32 степень заполнения пор льдом и незамерзшей водой Sr, д.е.: Величина, определяемая по формуле
(Б.13)
где wic - влажность мерзлого грунта, рассчитанная по содержанию порового льда, цементирующего минеральные частицы (лед-цемент), д.е., определяют по формуле wic = wm - ww;
ww - влажность мерзлого грунта, рассчитанная по содержанию незамерзшей воды при отрицательной температуре, д.е.;
wm - влажность мерзлого грунта, расположенного между ледяными включениями, д.е.;
- плотность частиц грунта, г/см3, по ГОСТ 5180;
ef - коэффициент пористости мерзлого грунта;
- плотность воды, принимаемая равной 1, г/см3.
Б.33 степень неоднородности гранулометрического состава Cu, д.е.: Величина, определяемая по формуле
(Б.14)
где d60, d10 - диаметры частиц, меньше которых в грунте содержится соответственно 60% и 10% (по массе) частиц, мм.
Б.34 степень плотности песчаных грунтов ID, д.е.: Величина, определяемая по формуле
(Б.15)
где e - коэффициент пористости при искусственном сложении, д.е.;
emin - коэффициент пористости в предельно-плотном сложении, д.е.;
emax - коэффициент пористости в предельно-рыхлом сложении, д.е.
Б.35 степень морозной пучинистости (относительная деформация морозного пучения) , %: Величина, определяемая по формуле
(Б.16)
где h0,f - высота образца промерзшего грунта по ГОСТ 28622;
h0 - начальная высота образца грунта, см.
Б.36 степень разложения торфа Ddp, д.е.: Отношение массы бесструктурной (полностью разложившейся) части торфа к его общей массе по ГОСТ 10650.
Б.37 степень растворимости в воде qsr, г/л: Величина, отражающая способность грунта растворяться в воде при нормальных условиях за счет растворения неорганических и органических веществ, определяемая при соотношении грунта и воды 1:5 и равная концентрации образующегося равновесного раствора.
Б.38 суммарная льдистость мерзлого грунта itot, д.е.: Величина, характеризующая отношение объема льда к объему мерзлого грунта и определяемая по формуле
(Б.17)
ИС МЕГАНОРМ: примечание.
В официальном тексте документа, видимо, допущена опечатка: пункт 3.2.18 отсутствует. Возможно, имеется в виду пункт Б.18.
где ii - льдистость грунта за счет видимых ледяных включений по 3.2.18;
iic - льдистость грунта за счет льда-цемента (порового льда), д.е.;
wtot - суммарная влажность мерзлого грунта, д.е., по ГОСТ 5180;
- плотность льда, принимаемая равной 0,9 г/см3;
- плотность мерзлого грунта, г/см3, по ГОСТ 5180;
ww - влажность мерзлого грунта за счет незамерзшей воды, д.е.
Б.39 удельное сопротивление грунта под наконечником (конусом) q0, МПа: Сопротивление грунта погружению наконечника (конуса) зонда при статическом зондировании, отнесенное к площади основания наконечника (конуса) зонда. Определяется по ГОСТ 19912.
Б.40 условное динамическое сопротивление грунта Pd, МПа: Сопротивление грунта погружению зонда при забивке его падающим молотом (вибромолотом). Определяется по ГОСТ 19912.
Б.41 число пластичности IP, %: Величина, определяемая по формуле
IP = wL - wP, (Б.18)
где wL - влажность на границе текучести в процентах по ГОСТ 5180;
wP - влажность на границе раскатывания в процентах по ГОСТ 5180.
Приложение В
(рекомендуемое)
КЛАССИФИКАЦИЯ СЛАБЫХ ГРУНТОВ
Для целей дорожного строительства из подкласса дисперсных связных грунтов выделяют грунты с низкими показателями механических свойств - прочностью на сдвиг в условиях природного залегания менее 0,075 МПа (вращательный срез по ГОСТ 20276) или модуль осадки более 50 мм/м при нагрузке 0,25 МПа (модуль деформации ниже 5,0 МПа). К числу таких грунтов относятся отдельные их органические разновидности (торфы, органосапропели), органо-минеральные разновидности (органо-минеральные сапропели, болотный мергель, заторфованные грунты), минеральные разновидности (илы, мокрые солончаки, переувлажненные глинистые грунты, иольдиевые глины). Классификация слабых грунтов приведена в таблице В.1, частные классификации и справочные данные по основным показателям свойств - в таблицах В.2 - В.9 [9].
Примечание - В региональной стандартизации могут быть применены положения по частной классификации слабых грунтов, содержащиеся в документе [10] для Республики Беларусь.
Таблица В.1
Классификация слабых грунтов [9]
Группа по содержанию органических веществ
Вид по генетико-фациальным и петрографическим особенностям
Подвид по составу
Разновидность по состоянию
наименование
определяющий признак
наименование
определяющий признак
наименование
определяющий признак (влажность W, %, или показатель текучести IL)
Органические
(П > 60%)
Торф малозольный
П >= 95%
Волокнистый
Ф > 75%
Сухой
W < 300%
Торф средней зольности
95% > П >= 80%
Маловолокнистый
75% >= Ф >= 60%
Маловлажный
300% - 600%
Торф высокозольный
80% > П >= 60%
Неволокнистый
Ф > 60%
Средней влажности
600% - 900%
Избыточно влажный
1200% - 2500%
Органосапропель
П > 60%
Маловлажный
W < 200%
Средней влажности
200% - 500%
Очень влажный
500% - 1000%
Избыточно влажный
W > 1000%
Органо-минеральные
(10% <= П <= 60%)
Органо-минеральный сапропель
60% > П >= 10%
-
-
Маловлажный
W < 150%
Средней влажности
150% - 400%
Очень влажный
400% - 900%
Избыточно влажный
W > 900%
Болотный мергель
10% <= П < 60%
-
-
Маловлажный
W < 100%
CaCO3 > 25%
Средней влажности
100% - 300%
Очень влажный
W > 300%
Торфянистые грунты
30% < П < 60%
Супесь
1<= Ip < 7
А
0,5 < IL < 0,75
Сильно заторфованные
20% < П < 30%
Суглинок
7 - 17
Б
0,75 - 1,0
В
1,0 - 1,5
Тощая глина
17 - 27
Г
1,5 - 2,0
Заторфованный
10% < П <= 20%
Жирная глина
> 27
Д
2,0 - 2,5
Е
2,5 - 3,0
Ж
3,0 - 3,5
Минеральные
(П <= 10%)
Ил морской
-
-
-
А
0,5 <= IL < 0,75
Ил озерный
-
-
-
Б
0,75 - 1,0
Ил аллювиальный
Комплекс фациально-генетических и петрографических характеристик (П < 10%)
Супесь
1,0 <= IL < 7,0
В
1,0 - 1,5
Мокрый солончак
-
Суглинок
7,0 - 17
Г
1,5 - 2,0
Д
2,0 - 2,5
Е
2,5 - 3,0
Переувлажненный глинистый грунт
-
Глина
> 17
Ж
3,0 - 3,5
Иольдиевая глина
-
-
-
А
Wотн < 1,0
Б
1,0 <= Wотн < 1,5
В
1,5 <= Wотн < 2,5
Примечания
1 Для отделения болотного мергеля от органо-минерального сапропеля необходимо определить содержание CaCO3.
2 Наряду с указанным в графе 3 определяющим признаком для установления вида слабого грунта используется комплекс данных по фациально-генетическим и петрографическим особенностям, устанавливаемым в процессе изысканий.
3 П - потери при прокаливании, % (ГОСТ 26213); Ф - степень волокнистости, %; Ip - число пластичности; W - природная влажность, %; IL - показатель текучести; Wотн = W/WL - относительная влажность; WL - влажность на границе текучести, %.
4 Степень волокнистости Ф вычисляется через степень разложения D'dr, определяемую с помощью микроскопа, по формуле Ф = 100 - D'dr, %. При определении степени разложения весовым методом степень волокнистости Ф следует устанавливать по формулам Ф = 88 - 0,42·D'dr при D'dr < 50%; Ф = 118 - 0,32D'dr при D'dr > 50%. При определении D'dr используется сито 0,25 мм.
Таблица В.2
Частная классификация и расчетные значения показателей
механических свойств торфяных грунтов
Разновидность
Природная влажность W, %
Вид по
Подвид
Сопротивляемость сдвигу по крыльчатке cu, МПа
Сжимаемость
степени разложения Ddp
степени волокнистости Ф, %
в природном залегании
после уплотнения под нагрузкой p = 0,5 МПа
Модуль деформации E, МПа, при нагрузке p, МПа
Модуль осадки ep, мм/м, при нагрузке p, МПа
0,05
0,10
0,05
0,10
Осушенный (или уплотненный)
< 300
< 25
> 75
мз
> 0,049
> 0,250
> 0,25
> 0,33
< 200
(< 100)
< 300
(< 200)
сз
> 0,042
> 0,172
25 - 40
75 - 60
мз
> 0,030
> 0,125
сз
> 0,037
> 0,105
> 40
< 60
мз
> 0,019
> 0,080
сз
> 0,026
> 0,073
Маловлажный
300 - 600
< 25
> 75
мз
0,049 - 0,026
0,250 - 0,136
0,25 - 0,15
0,33 - 0,23
200 - 350
(100 - 250)
300 - 420
(200 - 370)
сз
0,042 - 0,022
0,172 - 0,090
25 - 40
75 - 60
мз
0,030 - 0,017
0,125 - 0,060
сз
0,033 - 0,016
0,105 - 0,056
> 40
< 60
мз
0,019 - 0,008
0,080 - 0,036
сз
0,026 - 0,013
0,073 - 0,036
Средней влажности
600 - 900
< 25
> 75
мз
0,026- 0,016
0,136 - 0,087
0,15 - 0,11
0,23 - 0,19
350 - 450
(250 - 400)
420 - 530
(370 - 500)
сз
0,022 - 0,016
0,090 - 0,066
25 - 40
75 - 60
мз
0,017 - 0,010
0,060 - 0,042
сз
0,016 - 0,011
0,056 - 0,035
> 40
< 60
мз
0,008 - 0,005
0,036 - 0,021
сз
0,013 - 0,008
0,036 - 0,022
Очень влажный
900-1200
< 25
> 75
мз
0,016 - 0,011
0,087 - 0,062
0,11 - 0,09
0,19 - 0,17
450 - 550
(400 - 470)
530 - 600
(500 - 550)
сз
0,016 - 0,011
0,062 - 0,046
25 - 40
75 - 60
мз
0,010 - 0,006
0,042 - 0,028
сз
-
-
> 40
< 60
мз
0,005 - 0,003
0,021 - 0,015
сз
-
-
Избыточно влажный
> 1200
< 25
> 75
мз
0,011 - 0,007
0,062 - 0,038
0,090 - 0,085
0,17 - 0,15
550 - 600
(470 - 490)
600 - 650
(550 - 570)
сз
0,011 - 0,006
0,046 - 0,020
25 - 40
75 - 60
мз
-
-
сз
-
-
> 40
< 60
мз
-
-
сз
-
-
Примечания
1 В скобках даны соседние значения модулей осадки, без скобок - максимальные.
2 мз - малозольный торф (потери при прокаливании >= 95%); сз - торф средней зольности (95% > П >= 80%).
3 Величины показателей механических свойств при промежуточных значениях влажности определяются интерполяцией.
Таблица В.3
Частная классификация и расчетные значения показателей
механических свойств сапропелевых грунтов
Группа грунта
Содержание органических веществ П, %
Разновидность грунта
Сопротивляемость сдвигу по крыльчатке cu, МПа
Сжимаемость
наименование
определяющий признак (влажность W, %)
в природном залегании
после уплотнения под нагрузкой (p = 0,05 МПа)
Модуль деформации E, МПа, при нагрузке p = 0,05 МПа
Модуль осадки ep, мм/м, при нагрузке p = 0,05 МПа
Органический
> 60
Маловлажный
< 200
> 0,02
> 0,03
> 0,3
< 150
Средней влажности
200 - 500
0,02 - 0,01
0,030 - 0,015
0,3 - 0,1
150 - 400
Сильно влажный
500 - 1000
0,01 - 0,001
0,015 - 0,003
< 0,1
> 400
Избыточно влажный (жидкий)
> 1000
< 0,001
< 0,003
-
-
Органоминеральный
10 - 60
Маловлажный
< 150
> 0,02
> 0,03
> 0,5
< 100
Средней влажности
150 - 400
0,02 - 0,01
0,030 - 0,015
0,5 - 0,2
100 - 250
Сильно влажный
400 - 900
0,01 - 0,001
0,015 - 0,003
0,2
260
Избыточно влажный (жидкий)
> 900
< 0,001
< 0,003
-
-
Примечание - Величины показателей механических свойств при промежуточных значениях влажности определяются интерполяцией.
Таблица В.4
Частная классификация и расчетные значения показателей
механических свойств болотного мергеля
Разновидность грунта
Природная влажность W, %
Содержание CaCO3, %
Сопротивляемость сдвигу по крыльчатке cu, МПа
Сжимаемость
Модуль деформации E, МПа, при нагрузке p = 0,05 МПа
Модуль осадки ep, мм/м, при нагрузке p = 0,05 МПа
Маловлажный
< 100
-
> 0,02
> 0,03
> 0,125
< 400
Средней влажности
100 - 300
25 - 100
0,02 - 0,01
0,03 - 0,015
< 0,125
> 400
Очень влажный
> 300
-
< 0,01
< 0,015
-
-
Таблица В.5
Частная классификация и расчетные значения показателей
механических свойств илов
Подвид грунта
Число пластичности Ip
Модуль деформации E, МПа, в зависимости от показателя текучести IL
Сопротивляемость сдвигу по крыльчатке cu, МПа, в зависимости от показателя текучести IL
Коэффициент Kф, м/сут, в зависимости от показателя текучести IL
0,75 - 1,0
1,0 - 1,5
1,5 - 2,0
2,0 - 2,5
2,5 - 3,0
0,5 - 1,0
1,0 - 1,5
1,5 - 2,0
2,0 - 2,5
2,5 - 3,0
1 - 2
2 - 3
Супесчаный
1 <= Ip < 7
3
4,6 - 4,4
4,4 - 3,9
3,9 - 3,6
3,6 - 3,3
3,3 - 3,1
0,40 - 0,035
0,035 - 0,026
0,026 - 0,021
0,021 - 0,018
0,018 - 0,017
1,7·10-2
-
5
<= 4
<= 3,6
<= 3,3
<= 3,1
<= 2,9
8,6·10-2
Суглинистый
7 <= Ip < 17
11
1,6 - 1,4
1,4 - 1,2
1,2 - 1,1
1,1 - 1,05
1,05 - 1,0
0,030 - 0,027
0,027 - 0,022
0,022 - 0,017
0,017 - 0,013
0,013 - 0,011
8,6·10-4
2,6·102
12
1,9 - 1,6
1,6 - 1,3
1,3 - 1,2
1,2 - 1,05
1,05 - 0,95
2,6·10-3
1,21·102
13
2,6 - 2,3
2,3 - 1,8
1,8 - 1,4
1,4 - 1,1
1,1 - 0,8
14
5 - 4
4 - 2,5
2,5 - 1,8
1,8 - 1,1
1,1 - 0,6
Глинистый
Ip >= 17
26
1,3 - 1,2
1,2 - 0,9
0,9 - 0,5
0,5 - 0,3
-
0,014 - 0,013
0,013 - 0,011
0,011 - 0,009
0,009 - 0,008
-
30
1,4 - 0,8
0,8 - 0,5
0,5 - 0,35
0,35 - 0,30
-
0,020 - 0,016
0,016 - 0,012
0,012 - 0,010
-
-
4,32·10-4
3,45·104
35
1,0 - 0,65
0,66 - 0,40
0,40 - 0,32
0,32 - 0,30
-
0,030 - 0,021
0,021 - 0,008
0,008 - 0,002
-
-
3,46·10-4
6,90·104
45
0,45 - 0,40
0,40 - 0,35
0,35 - 0,30
0,30 - 0,25
-
0,032 - 0,024
0,024 - 0,014
0,014 - 0,012
-
-
-
-
Таблица В.6
Частная классификация и расчетные значения показателей
механических свойств иольдиевых глин
Разновидность грунта
Относительная влажность Wотн
Сцепление c, МПа
Угол внутреннего трения , град
Структурное сцепление Cc, МПа
Предел структурной прочности при компрессии, МПа
Модуль осадки ep, мм/м, при нагрузке p, МПа
0,02
0,10
Текучепластичная
< 1,0
0,015
> 7
> 0,01
-
7 - 9
15 - 40
Скрытотекучая А
1,0 - 1,5
0,02 - 0,01
7 - 3
0,015 - 0,007
> 0,05
9 - 11
40 - 120
Скрытотекучая Б
1,5 - 2,5
0,015 - 0,005
3 - 0
0,007 - 0,003
0,05 - 0,018
11 - 14
120 - 250
Таблица В.7
Частная классификация и расчетные значения показателей
механических свойств мокрых солончаков
Разновидность грунта
Показатель текучести IL
Подвид (по пластичности)
Показатели механических свойств
Сцепление c, МПа
Угол внутреннего трения , град
Модуль деформации E, МПа, при нагрузке p = 0,05 МПа
А
0,5 - 0,75
Супесчаный
0,07 - 0,04
35 - 25
4,6 - 3,2
Суглинистый
0,04 - 0,025
25 - 17
2,5 - 1,6
Б
0,75 - 1,0
Супесчаный
0,04 - 0,02
25 - 18
3,2 - 2,5
Суглинистый
0,025 - 0,015
17 - 13
1,6 - 1,3
В
1,0 - 1,5
Супесчаный
0,02 - 0,01
18 - 10
2,5 - 1,9
Суглинистый
0,015 - 0,005
13 - 7
1,3 - 0,9
Г
1,5 - 2,0
Супесчаный
0,01 - 0
10 - 8
1,9 - 1,6
Суглинистый
0,005 - 0
7 - 5
0,9 - 0,8
Д
> 2,0
Супесчаный
0
> 8
< 1,6
Суглинистый
0
< 5
< 0,8
Примечание - К супесчаному грунту относится грунт с числом пластичности 1 <= Ip < 7, к суглинистому - с числом пластичности 7 <= Ip < 17.
Таблица В.8
Частная классификация и расчетные значения показателей
механических свойств переувлажненных глин
Разновидность грунта
Подвид по пластичности
Плотность p, г/см3
Показатели механических свойств
наименование
определяющий признак (показатель текучести IL)
Сцепление c, МПа
Угол внутреннего трения , град
Модуль деформации E, МПа
Мягкопластичный
0,5 - 0,75
Супесь
1,90
0,005
20
38
Суглинок
1,90
0,015
17
19
Глина
1,95
0,020
14
2
Текучепластичный
0,75 - 1,0
Супесь
1,85
0,002
18
19
Суглинок
1,85
0,010
13
12,5
Глина
1,90
0,010
8
3
Текучий
>= 1,0
Супесь
1,85
0
14
12,5
Суглинок
1,85
0,005
10
6
Глина
1,80
0,005
6
3
Таблица В.9
Частная классификация и расчетные значения показателей
механических свойств органо-минеральных грунтов
в зависимости от разновидности по коэффициенту консистенции
Вид грунта
Подвид
Сцепление c, МПа
Угол внутреннего трения , град
Модуль осадки ep, мм/м, при нагрузке p = 0,25 МПа
А
Б
В
Г
А
Б
В
Г
А
Б
В
Г
Торфянистый (30% < П <= 60%)
Глина тощая 17 <= Ip < 27
-
0,055
-
0,3
-
15
-
10
-
100
-
180
Глина жирная Ip >= 27
-
-
0,070
-
-
-
6
-
-
-
150
-
Заторфованный (10% < П <= 20%)
Суглинок 7 <= Ip < 17
0,06
-
-
-
20
-
-
-
55
-
-
-
Глина тощая 17 <= Ip < 27
0,043
-
-
-
11
-
-
-
70
-
-
-
Примечание - Разновидности грунта соответствуют следующим значениям коэффициента консистенции: А - от 0,5 до 0,75; Б - от 0,75 до 1,0; В - от 1,0 до 1,5; Г - от 1,5 до 2,0.
Приложение Г
(справочное)
СПРАВОЧНЫЕ ДАННЫЕ К ЧАСТНЫМ КЛАССИФИКАЦИЯМ ГРУНТОВ
Таблица Г.1
Группы грунтов по степени пучинистости (к таблице 37)
Грунт
Группа
Песок гравелистый, крупный и средней крупности с содержанием частиц мельче 0,05 мм до 2%
I
Песок гравелистый, крупный и средней крупности с содержанием частиц мельче 0,05 мм от 2% до 15%, песок мелкий с содержанием частиц мельче 0,05 мм до 5%; супесь легкая крупная
II
Песок мелкий с содержанием частиц мельче 0,05 мм до 8%; супесь легкая; суглинок легкий и тяжелый; глина
III
Песок мелкий с содержанием частиц мельче 0,05 мм до 15%; супесь пылеватая; суглинок тяжелый пылеватый
IV
Песок пылеватый; супесь тяжелая пылеватая; суглинок легкий пылеватый
V
Примечание - Величина коэффициента морозного пучения щебенистых, гравелистых, дресвяных песков при содержании частиц мельче 0,05 мм свыше 15% ориентировочно принимается, как для пылеватого песка и проверяется в лаборатории.
Таблица Г.2
Величина морозного пучения (к таблице 37)
Грунт
Среднее значение относительного морозного пучения при промерзании 1,5 м, %
Песок гравелистый, крупный и средней крупности с содержанием частиц мельче 0,05 мм до 2%
1
--
1
Песок гравелистый, крупный и средней крупности с содержанием частиц мельче 0,05 мм от 2% до 15%, песок мелкий с содержанием частиц мельче 0,05 мм до 2%
1
-----
1 - 2
Песок мелкий с содержанием частиц мельче 0,05 мм до 5%; супесь легкая крупная
1 - 2
-----
2 - 4
Супесь пылеватая; суглинок тяжелый пылеватый; песок мелкий с содержанием частиц мельче 0,05 мм до 15%
2 - 4
------
7 - 10
Супесь легкая; песок мелкий с содержанием частиц мельче 0,05 мм до 8%
1 - 2
-----
4 - 7
Супесь тяжелая пылеватая; суглинок легкий пылеватый; песок пылеватый
4 - 7
-----
10
Суглинок легкий и тяжелый; глина
2 - 4
-----
4 - 7
Примечание - Над чертой приведены данные типа местности 1 (см. таблицу 1 настоящего стандарта), а также для других случаев, когда грунтовые или поверхностные воды не оказывают влияния на состояние грунтов рабочего слоя земляного полотна, под чертой - в остальных случаях.
Таблица Г.3
Допустимая влажность грунтов при уплотнении Wadm
таблице 38)
Грунты
Wadm в долях от оптимальной при требуемом коэффициенте уплотнения грунта Kу
Свыше 1,0
1,0 - 0,98
0,95
0,90
Песок пылеватый; супесь легкая крупная
1,30
1,35
1,60
1,60
Супесь легкая и пылеватая
1,20
1,25
1,35
1,60
Супесь тяжелая пылеватая; суглинок легкий и легкий пылеватый
1,10
1,15
1,30
1,50
Суглинок тяжелый и тяжелый пылеватый, глина
1,0
1,05
1,20
1,30
Примечания
1 При воздействии насыпей из пылеватых песков в летних условиях допустимая влажность не ограничивается.
2 Настоящие ограничения не распространяются на насыпи, возводимые гидронамывом.
3 При возведении насыпей в зимних условиях влажность не должна быть более 1,3W0 при песчаных и непылеватых песчаных грунтах; 1,2W0 - при супесчаных пылеватых грунтах и суглинках легких и 1,1W0 - для других связных грунтов.
4 Величина допустимой влажности грунта может уточняться с учетом технологических возможностей, имеющихся в наличии конкретных уплотняющих средств в соответствии с нормами.
Приложение Д
(справочное)
РАЗНОВИДНОСТИ ДИСПЕРСНЫХ ГРУНТОВ
ПО РЕЗУЛЬТАТАМ ЗОНДИРОВАНИЯ
Таблица Д.1
Разновидности песчаных грунтов по результатам зондирования
Вид песчаного грунта
Разновидность песчаных грунтов по прочности
Удельное сопротивление грунта под конусом зонда qc, МПа
Условное динамическое сопротивление грунта pd, МПа
Гравелистый, крупный, средней крупности, независимо от влажности
Прочный
qc > 15,0
pd > 14,0
Средней прочности
2,8 <= qc <= 15,0
2,8 <= pd <= 14,0
Малопрочный
qc < 2,8
pd < 2,8
Мелкий, независимо от влажности
Прочный
qc > 8,3
pd > 8,5
Средней прочности
1,7 <= qc <= 8,3
2,2 <= pd <= 8,5
Малопрочный
qc < 1,7
pd < 2,2
Пылеватый маловлажный и влажный
Прочный
qc > 8,3
pd > 8,5
Средней прочности
1,2 <= qc <= 8,3
1,5 <= pd <= 8,5
Малопрочный
qc < 1,2
pd < 1,5
Пылеватый водонасыщенный
Прочный
qc > 5,8
-
Средней прочности
1,0 <= qc <= 5,8
-
Малопрочный
qc < 1,0
-
Таблица Д.2
Разновидности глинистых грунтов по результатам зондирования
Тип, подгруппа (генезис) глинистых грунтов
Разновидность глинистых грунтов по прочности
Удельное сопротивление грунта под конусом зонда qc, МПа
Условное динамическое сопротивление грунта pd, МПа
Супесь, суглинок, глина (моренные)
Очень прочные
qc > 6,5
pd > 8,3
Прочные
2,5 < qc <= 6,5
2,8 < pd <= 8,3
Средней прочности
1 <= qc <= 2,5
1,2 <= pd <= 2,8
Слабые
qc < 1
pd < 1,2
Супесь, суглинок, глина (кроме моренных)
Очень прочные
qc > 10
-
Прочные
4,6 < qc <= 10
-
Средней прочности
1 <= qc <= 4,6
-
Слабые
qc < 1
-
Таблица Д.3
Разновидности насыпных песчаных грунтов (планомерно
возведенных насыпей) по результатам зондирования
и коэффициенту уплотнения
Вид песчаного грунта
Коэффициент уплотнения Kу
Разновидность песчаных грунтов по прочности
Удельное сопротивление грунта под конусом зонда qc, МПа
Условное динамическое сопротивление грунта pd, МПа
Гравелистый, крупный, средней крупности, независимо от влажности
Kу > 1,00
Очень прочный
qc > 15,0
pd > 12,0
0,98 < Kу <= 1,00
Прочный
8,3 < qc <= 15,0
8,5 < pd <= 12,0
0,92 <= Kу <= 0,98
Средней прочности
2,8<= qc <= 8,3
2,8 <= pd <= 8,5
Kу < 0,92
Малопрочный
qc < 2,8
pd < 2,8
Мелкий, независимо от влажности
Kу > 1,00
Очень прочный
qc > 8,3
pd > 8,5
0,98 < Kу <= 1,00
Прочный
5,4 < qc <= 8,3
5,9 < pd <= 8,5
0,92 <= Kу <= 0,98
Средней прочности
1,7 <= qc <= 5,4
2,2 <= pd <= 5,9
Kу < 0,92
Малопрочный
qc < 1,7
pd < 2,2
Пылеватый маловлажный и влажный
Kу > 1,00
Очень прочный
qc > 8,3
pd > 8,5
0,98 < Kу <= 1,00
Прочный
3,9 < qc <= 8,3
4,6 < pd <= 8,5
0,92 <= Kу <= 0,98
Средней прочности
1,2 <= qc <= 3,9
1,5 <= pd <= 4,6
Kу < 0,92
Малопрочный
qc < 1,2
pd < 1,5
Таблица Д.4
Разновидности насыпных глинистых грунтов (планомерно
возведенных насыпей) по результатам зондирования
и коэффициенту уплотнения
Вид глинистого грунта
Коэффициент уплотнения Kу
Разновидность глинистых грунтов по прочности
Удельное сопротивление грунта под конусом зонда qc, МПа
Условное динамическое сопротивление грунта pd, МПа
Супеси моренные
W = (0,8 - 1,2)W0
Kу > 1,00
Очень прочные
qc > 8,0
pd > 10,0
0,98 < Kу <= 1,00
Прочные
4,5 < qc <= 8,0
5,2 < pd <= 10,0
0,92 <= Kу <= 0,98
Средней прочности
1,5 <= qc <= 4,5
1,7 <= pd <= 5,2
Kу < 0,92
Слабые
qc < 1,5
pd < 1,7
Суглинки моренные
W = (0,8 - 1,2)W0
Kу > 1,00
Очень прочные
qc > 8,0
pd > 10,0
0,98 < Kу <= 1,00
Прочные
4,2 < qc <= 8,0
4,7 < pd <= 10,0
0,92 <= Kу <= 0,98
Средней прочности
1,2 <= qc <= 4,2
1,5 <= pd <= 4,7
Kу < 0,92
Слабые
qc < 1,2
pd < 1,5
Супеси и суглинки лессовидные (пылеватые)
W = (0,8 - 1,2)W0
Kу > 1,00
Очень прочные
qc > 6,0
pd > 8,0
0,98 < Kу <= 1,00
Прочные
4,0 < qc <= 6,0
4,5 < pd <= 8,0
0,92 <= Kу <= 0,98
Средней прочности
1,0 <= qc <= 4,0
1,2 <= pd <= 4,5
Kу < 0,92
Слабые
qc < 1,0
pd < 1,2
БИБЛИОГРАФИЯ
[1]
Технический регламент таможенного союза ТР ТС 014/2011
Безопасность автомобильных дорог
[2]
Международный стандарт ИСО 14688-2:2004 (ISO 14688-2:2004)
Геотехнические исследования и испытания - Идентификация и классификация грунтов - Часть 2: Принципы классификации и количественное выражение характеристик (Geotechnical investigation and testing - Identification and classification of soil - Part 2: Classification principles and quantification of descriptive characteristics)
[3]
Американские стандарты АСТМ Д 2487-2000 (ASTM D 2487-2000)
Метод стандартных испытаний для классификации грунтов для инженерных целей (Standard Test Method for Classification of Soils for Engineering Purposes)
[4]
Государственный стандарт Республики Беларусь СТБ 943-2007
Грунты. Классификация
[5]
Технический кодекс установившейся практики ТКП 45-3.03.19-2006 (02250)
Автомобильные дороги. Нормы проектирования
[6]
Государственный стандарт Республики Казахстан СТ РК 1413-2005
Дороги автомобильные и железные. Требования по проектированию земляного полотна
[7]
Свод правил СП 34.13330.2012 (актуализированная редакция СНиП 2.05.02-85*)
Автомобильные дороги
[8]
Строительные нормы и правила Республики Казахстан СНиП РК 3.03-09-2006
Автомобильные дороги
[9]
Пособие к СНиП 2.05.02-85*
Пособие по проектированию земляного полотна на слабых грунтах
[10]
Технический кодекс установившейся практики ТКП 200-2009 (02191)
Автомобильные дороги. Земляное полотно. Правила проектирования