Скачать РД 34.15.027-93 Сварка, термообработка и контроль трубных систем котлов и трубопроводов при монтаже и ремонте оборудования электростанций (РТМ-1с-93)

Дата актуализации: 01.01.2021

РД 34.15.027-93

Сварка, термообработка и контроль трубных систем котлов и трубопроводов при монтаже и ремонте оборудования электростанций (РТМ-1с-93)

Обозначение: РД 34.15.027-93
Обозначение англ: RD 34.15.027-93
Статус:заменен
Название рус.:Сварка, термообработка и контроль трубных систем котлов и трубопроводов при монтаже и ремонте оборудования электростанций (РТМ-1с-93)
Название англ.:Welding, Heat Treatment, and Testing of Boiler Tube Systems and Piping During Installation and Repair of Electric Supply Station Equipment (RTM-1s-93)
Дата добавления в базу:01.09.2013
Дата актуализации:01.01.2021
Область применения:Документ предназначен для персонала, осуществляющего организацию и производство сборочно-сварочных работ при монтаже и ремонте трубопроводов и трубных систем паровых и водогрейных котлов независимо от параметров рабочей среды, а также при изготовлении трубопроводов с рабочим давлением до 2,2 Мпа (22 кгс/см2) и температурой не более 425 градусов Цельсия.
Оглавление:Предисловие
1. Общая часть
2. Сварочные работы
3. Подготовка производства
4.Общие положения технологии сборки и сварки стыков труб
5. Ручная дуговая сварка труб из углеродистых и низкоуглеродистых сталей
6. Ручная аргонодуговая сварка неплавящимся электродом труб из углеродистых и низколегированных сталей
7. Автоматическая аргонодуговая сварка неплавящимся электродом неповоротных стыков труб
8. Газовая (ацетилено-кислородная) сварка труб из углеродистых и низколегированных сталей
9. Механизированная сварка в углекислом газе трубопроводов из углеродистых и низколегированных сталей
10. Автоматическая сварка под флюсом поворотных стыков труб
11. Особенности сварки труб из аустенитных сталей
12. Особенности сварки труб из мартенситно-ферритной 12% хромистой стали
13. Особенности сварки трубных элементов из разнородных сталей
14. Сварка газоплотных панелей котлов
15. Термообработка сварных соединений труб
16. Контроль качества сварных соединений
17. Исправление дефектов в сварных соединениях трубопроводов и труб поверхностей нагрева котлов
18. Ремонт с помощью сварки барабанов котлов давлением до 4 МПА включительно
19. Оформление технической документации на сварочные работы
Приложения
Разработан: ВТИ
Энергомонтажпроект
Центроэнергомонтаж
Оргэнергострой
Утверждён:07.02.1994 Госгортехнадзор России (Russian Federation Gosgortekhnadzor )
30.12.1993 Минтопэнерго РФ (Russian Federation Mintopenergo )
Издан: Издательство ДЕАН (2001 г. )
Заменяет собой:
  • РТМ 1с-89 «Сварка, термообработка и контроль трубных систем котлов и трубопроводов при монтаже и ремонте оборудования электростанций»
Нормативные ссылки:
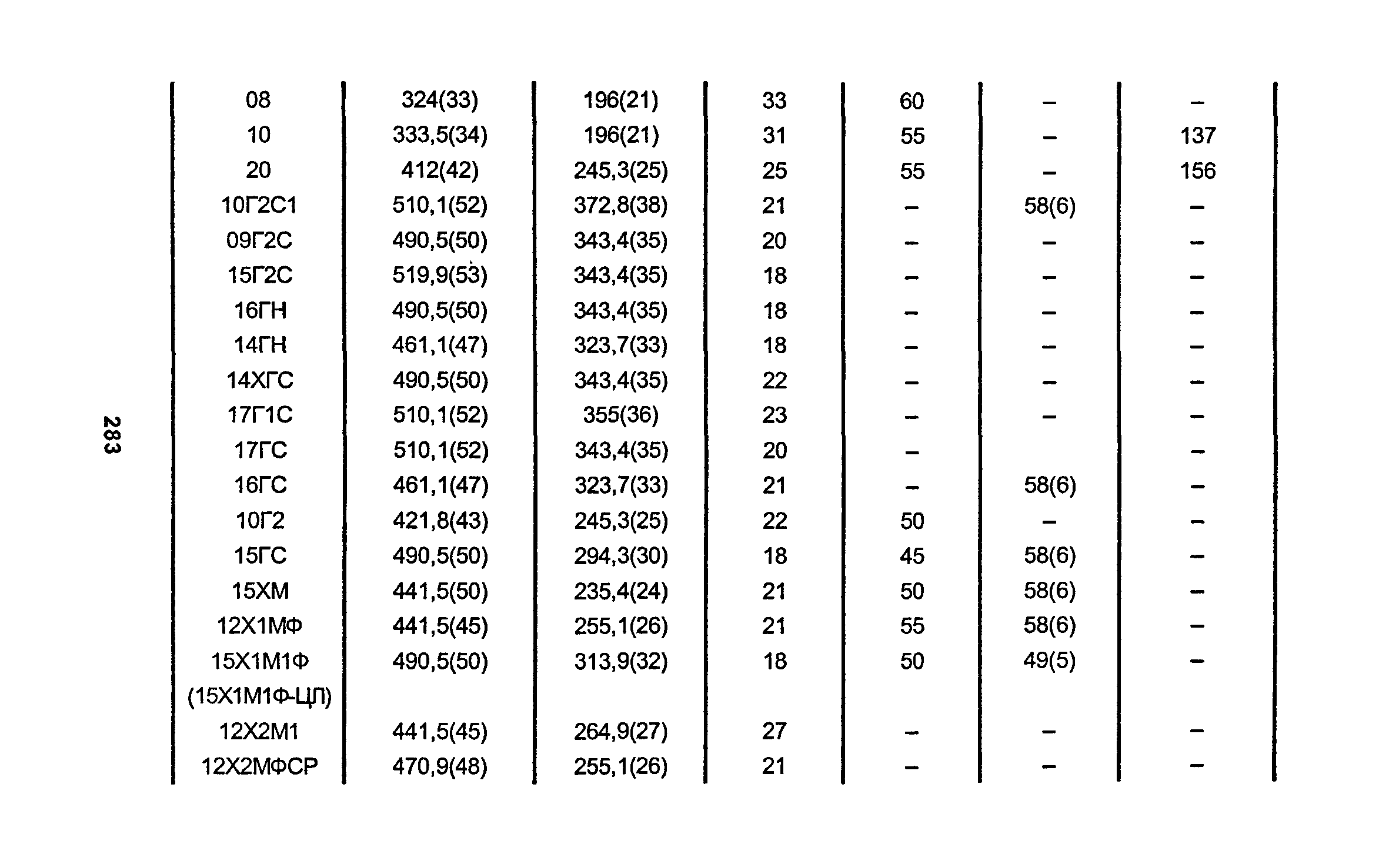
РД 34.15.027-93РД 34.15.027-93РД 34.15.027-93РД 34.15.027-93РД 34.15.027-93РД 34.15.027-93РД 34.15.027-93РД 34.15.027-93РД 34.15.027-93РД 34.15.027-93РД 34.15.027-93РД 34.15.027-93РД 34.15.027-93РД 34.15.027-93РД 34.15.027-93РД 34.15.027-93РД 34.15.027-93РД 34.15.027-93РД 34.15.027-93РД 34.15.027-93РД 34.15.027-93РД 34.15.027-93РД 34.15.027-93РД 34.15.027-93РД 34.15.027-93РД 34.15.027-93РД 34.15.027-93РД 34.15.027-93РД 34.15.027-93РД 34.15.027-93РД 34.15.027-93РД 34.15.027-93РД 34.15.027-93РД 34.15.027-93РД 34.15.027-93РД 34.15.027-93РД 34.15.027-93РД 34.15.027-93РД 34.15.027-93РД 34.15.027-93РД 34.15.027-93РД 34.15.027-93РД 34.15.027-93РД 34.15.027-93РД 34.15.027-93РД 34.15.027-93РД 34.15.027-93РД 34.15.027-93РД 34.15.027-93РД 34.15.027-93РД 34.15.027-93РД 34.15.027-93РД 34.15.027-93РД 34.15.027-93РД 34.15.027-93РД 34.15.027-93РД 34.15.027-93РД 34.15.027-93РД 34.15.027-93РД 34.15.027-93РД 34.15.027-93РД 34.15.027-93РД 34.15.027-93РД 34.15.027-93РД 34.15.027-93РД 34.15.027-93РД 34.15.027-93РД 34.15.027-93РД 34.15.027-93РД 34.15.027-93РД 34.15.027-93РД 34.15.027-93РД 34.15.027-93РД 34.15.027-93РД 34.15.027-93РД 34.15.027-93РД 34.15.027-93РД 34.15.027-93РД 34.15.027-93РД 34.15.027-93РД 34.15.027-93РД 34.15.027-93РД 34.15.027-93РД 34.15.027-93РД 34.15.027-93РД 34.15.027-93РД 34.15.027-93РД 34.15.027-93РД 34.15.027-93РД 34.15.027-93РД 34.15.027-93РД 34.15.027-93РД 34.15.027-93РД 34.15.027-93РД 34.15.027-93РД 34.15.027-93РД 34.15.027-93РД 34.15.027-93РД 34.15.027-93РД 34.15.027-93РД 34.15.027-93РД 34.15.027-93РД 34.15.027-93РД 34.15.027-93РД 34.15.027-93РД 34.15.027-93РД 34.15.027-93РД 34.15.027-93РД 34.15.027-93РД 34.15.027-93РД 34.15.027-93РД 34.15.027-93РД 34.15.027-93РД 34.15.027-93РД 34.15.027-93РД 34.15.027-93РД 34.15.027-93РД 34.15.027-93РД 34.15.027-93РД 34.15.027-93РД 34.15.027-93РД 34.15.027-93РД 34.15.027-93РД 34.15.027-93РД 34.15.027-93РД 34.15.027-93РД 34.15.027-93РД 34.15.027-93РД 34.15.027-93РД 34.15.027-93РД 34.15.027-93РД 34.15.027-93РД 34.15.027-93РД 34.15.027-93РД 34.15.027-93РД 34.15.027-93РД 34.15.027-93РД 34.15.027-93РД 34.15.027-93РД 34.15.027-93РД 34.15.027-93РД 34.15.027-93РД 34.15.027-93РД 34.15.027-93РД 34.15.027-93РД 34.15.027-93РД 34.15.027-93РД 34.15.027-93РД 34.15.027-93РД 34.15.027-93РД 34.15.027-93РД 34.15.027-93РД 34.15.027-93РД 34.15.027-93РД 34.15.027-93РД 34.15.027-93РД 34.15.027-93РД 34.15.027-93РД 34.15.027-93РД 34.15.027-93РД 34.15.027-93РД 34.15.027-93РД 34.15.027-93РД 34.15.027-93РД 34.15.027-93РД 34.15.027-93РД 34.15.027-93РД 34.15.027-93РД 34.15.027-93РД 34.15.027-93РД 34.15.027-93РД 34.15.027-93РД 34.15.027-93РД 34.15.027-93РД 34.15.027-93РД 34.15.027-93РД 34.15.027-93РД 34.15.027-93РД 34.15.027-93РД 34.15.027-93РД 34.15.027-93РД 34.15.027-93РД 34.15.027-93РД 34.15.027-93РД 34.15.027-93РД 34.15.027-93РД 34.15.027-93РД 34.15.027-93РД 34.15.027-93РД 34.15.027-93РД 34.15.027-93РД 34.15.027-93РД 34.15.027-93РД 34.15.027-93РД 34.15.027-93РД 34.15.027-93РД 34.15.027-93РД 34.15.027-93РД 34.15.027-93РД 34.15.027-93РД 34.15.027-93РД 34.15.027-93РД 34.15.027-93РД 34.15.027-93РД 34.15.027-93РД 34.15.027-93РД 34.15.027-93РД 34.15.027-93РД 34.15.027-93РД 34.15.027-93РД 34.15.027-93РД 34.15.027-93РД 34.15.027-93РД 34.15.027-93РД 34.15.027-93РД 34.15.027-93РД 34.15.027-93РД 34.15.027-93РД 34.15.027-93РД 34.15.027-93РД 34.15.027-93РД 34.15.027-93РД 34.15.027-93РД 34.15.027-93РД 34.15.027-93РД 34.15.027-93РД 34.15.027-93РД 34.15.027-93РД 34.15.027-93РД 34.15.027-93РД 34.15.027-93РД 34.15.027-93РД 34.15.027-93РД 34.15.027-93РД 34.15.027-93РД 34.15.027-93РД 34.15.027-93РД 34.15.027-93РД 34.15.027-93РД 34.15.027-93РД 34.15.027-93РД 34.15.027-93РД 34.15.027-93РД 34.15.027-93РД 34.15.027-93РД 34.15.027-93РД 34.15.027-93РД 34.15.027-93РД 34.15.027-93РД 34.15.027-93РД 34.15.027-93РД 34.15.027-93РД 34.15.027-93РД 34.15.027-93РД 34.15.027-93РД 34.15.027-93РД 34.15.027-93РД 34.15.027-93РД 34.15.027-93РД 34.15.027-93РД 34.15.027-93РД 34.15.027-93РД 34.15.027-93РД 34.15.027-93РД 34.15.027-93РД 34.15.027-93РД 34.15.027-93РД 34.15.027-93РД 34.15.027-93РД 34.15.027-93РД 34.15.027-93РД 34.15.027-93РД 34.15.027-93РД 34.15.027-93РД 34.15.027-93РД 34.15.027-93РД 34.15.027-93РД 34.15.027-93РД 34.15.027-93РД 34.15.027-93РД 34.15.027-93РД 34.15.027-93РД 34.15.027-93РД 34.15.027-93РД 34.15.027-93РД 34.15.027-93РД 34.15.027-93РД 34.15.027-93РД 34.15.027-93РД 34.15.027-93РД 34.15.027-93РД 34.15.027-93РД 34.15.027-93РД 34.15.027-93РД 34.15.027-93РД 34.15.027-93РД 34.15.027-93РД 34.15.027-93РД 34.15.027-93РД 34.15.027-93РД 34.15.027-93РД 34.15.027-93РД 34.15.027-93РД 34.15.027-93РД 34.15.027-93РД 34.15.027-93РД 34.15.027-93РД 34.15.027-93РД 34.15.027-93РД 34.15.027-93РД 34.15.027-93РД 34.15.027-93РД 34.15.027-93РД 34.15.027-93РД 34.15.027-93РД 34.15.027-93РД 34.15.027-93РД 34.15.027-93РД 34.15.027-93РД 34.15.027-93РД 34.15.027-93РД 34.15.027-93РД 34.15.027-93РД 34.15.027-93РД 34.15.027-93РД 34.15.027-93РД 34.15.027-93РД 34.15.027-93РД 34.15.027-93РД 34.15.027-93РД 34.15.027-93РД 34.15.027-93РД 34.15.027-93РД 34.15.027-93РД 34.15.027-93РД 34.15.027-93РД 34.15.027-93РД 34.15.027-93РД 34.15.027-93РД 34.15.027-93РД 34.15.027-93РД 34.15.027-93РД 34.15.027-93РД 34.15.027-93РД 34.15.027-93РД 34.15.027-93РД 34.15.027-93РД 34.15.027-93РД 34.15.027-93РД 34.15.027-93РД 34.15.027-93РД 34.15.027-93РД 34.15.027-93РД 34.15.027-93РД 34.15.027-93РД 34.15.027-93РД 34.15.027-93РД 34.15.027-93РД 34.15.027-93РД 34.15.027-93РД 34.15.027-93РД 34.15.027-93РД 34.15.027-93РД 34.15.027-93РД 34.15.027-93РД 34.15.027-93РД 34.15.027-93РД 34.15.027-93РД 34.15.027-93