Скачать ГОСТ 30535-97 Клеи полимерные. Номенклатура показателей

Дата актуализации: 01.01.2021

ГОСТ 30535-97

Клеи полимерные. Номенклатура показателей

Обозначение: ГОСТ 30535-97
Обозначение англ: GOST 30535-97
Статус:введен впервые
Название рус.:Клеи полимерные. Номенклатура показателей
Название англ.:Polymeric adhesives. Nomenclature of indices
Дата добавления в базу:01.09.2013
Дата актуализации:01.01.2021
Дата введения:01.01.2002
Область применения:Стандарт устанавливает номенклатуру показателей качества полимерных клеев. Показатели качества клеев должны применять при разработке и постановке продукции на производство, в нормативной документации, для оценки научно-технического уровня.
Оглавление:1 Область применения
2 Нормативные ссылки
3 Номенклатура показателей качества
4 Классификация группировки клеев
5 Применяемость показателей качества клеев
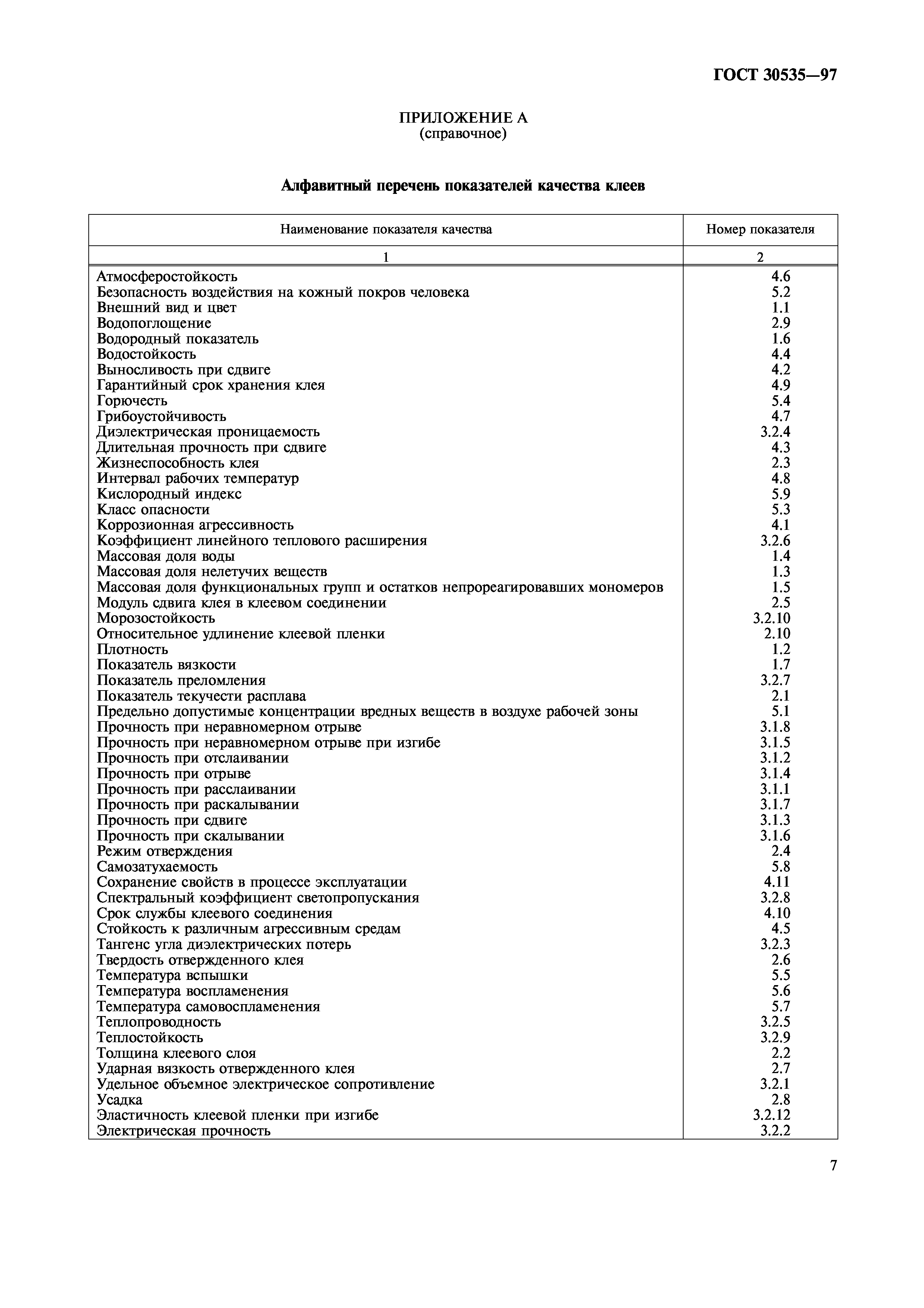
Приложение А Алфавитный перечень показателей качества клеев
Приложение Б Характерные показатели качества клеев, классифицированных на основе клея
Разработан: АОЗТ ГИПК (ХНИИ Полимерклей )
Утверждён:05.01.2001 Государственный комитет Российской Федерации по стандартизации и метрологии (Russian Federation National Committee for Standardization and Metrology 1-ст)
20.11.1997 Межгосударственный Совет по стандартизации, метрологии и сертификации (Inter-Governmental Council on Standardization, Metrology, and Certification 12)
Издан: ИПК Издательство стандартов (2001 г. )
Нормативные ссылки:
ГОСТ 30535-97ГОСТ 30535-97ГОСТ 30535-97ГОСТ 30535-97ГОСТ 30535-97ГОСТ 30535-97ГОСТ 30535-97ГОСТ 30535-97ГОСТ 30535-97ГОСТ 30535-97ГОСТ 30535-97ГОСТ 30535-97