Скачать Межотраслевые укрупненные нормативы времени на работы, выполняемые на токарно-винторезных станках (единичное и мелкосерийное производство)Дата актуализации: 01.01.2021 |
| Статус: | действует |
| Название рус.: | Межотраслевые укрупненные нормативы времени на работы, выполняемые на токарно-винторезных станках (единичное и мелкосерийное производство) |
| Дата добавления в базу: | 01.09.2013 |
| Дата актуализации: | 01.01.2021 |
| Область применения: | Нормативы времени содержат карты неполного штучного времени, подготовительно-заключительного на партию деталей, вспомогательного на установку и снятие детали, поправочные коэффициенты на полное штучное время, в зависимости от групп обрабатываемых материалов и их твердости, марки режущего инструмента, а также поправочные коэффициенты на штучное время в зависимости от размера партии обрабатываемых деталей. |
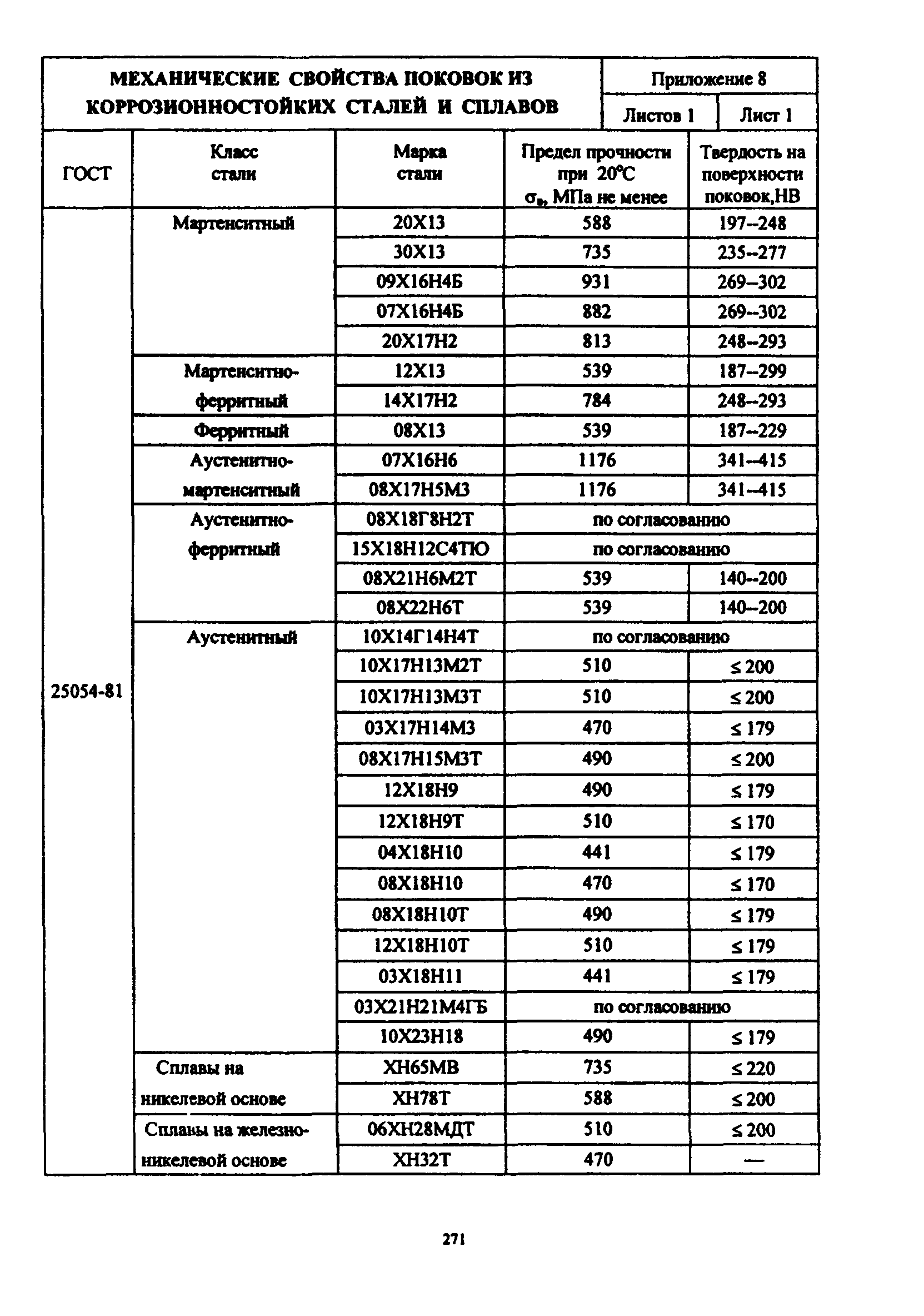
| Оглавление: | 1 Общая часть 2 Характеристика применяемого оборудования 3 Организация труда 4 Нормативная часть Нормативы времени Неполное штучное время чугун серый, 180 … 220 НВ сталь конструкционная углеродистая, 170 … 210 НВ сталь коррозионностойкая, 12Х18Н9Т медные 100 … 140 НВ и аллюминиевые сплавы эбонит Приложение 1 Режимы резания Приложение 2 Выбор марок инструментального материала в зависимости от вида, характера, условий обработки и обрабатываемого материала Приложение 3 Скорость резания v в зависимости от диаметра обрабатываемой поверхности D и частоты вращения шпинделя станка n Приложение 4 Вспомогательное время, связанное с переходом, принятое при расчете нормативов Приложение 5 Механические свойства основных конструкционных углеродистых и легированных сталей Приложение 6 Механические свойства термически обработанных заготовок из жаропрочных сплавов Приложение 7 Механические свойства сталей и сплавов и усредненные поправочные коэффициенты Приложение 8 Механические свойства поковок из коррозионно-стойких сталей и сплавов Приложение 9 Механические свойства чугуна и медных сплавов Приложение 10 Механические свойства прутков из алюминия и алюминиевых сплавов Приложение 11 Припуски на механическую обработку Приложение 12 Теоретическая масса заготовки Условные обозначения Список использованной литературы |
| Разработан: | Центральное бюро нормативов по труду Минтруда России Институт Белоргстанкинпром |
| Утверждён: | 21.01.2000 Министерство труда и социального развития РФ (Russian Federation Ministry of Labor and Social Development 6) |
| Издан: | Центральное бюро нормативов по труду Министерства труда РФ (2003 г. ) |
| Нормативные ссылки: |
|


















































































































































































































































































































