Скачать ГОСТ Р 53195.2-2008 Безопасность функциональная связанных с безопасностью зданий и сооружений систем. Часть 2. Общие требованияДата актуализации: 01.01.2021
|
| Обозначение: | ГОСТ Р 53195.2-2008 |
| Обозначение англ: | GOST R 53195.2-2008 |
| Статус: | введен впервые |
| Название рус.: | Безопасность функциональная связанных с безопасностью зданий и сооружений систем. Часть 2. Общие требования |
| Название англ.: | Functional safety of building/erection safety-related systems. Part 2. General requirements |
| Дата добавления в базу: | 01.09.2013 |
| Дата актуализации: | 01.01.2021 |
| Дата введения: | 01.01.2010 |
| Область применения: | Стандарт распространяется на электрические, электронные, программируемые электронные (Е/Е/РЕ) СБЗС-системы, устанавливаемые или установленные во вновь возводимых или реконструируемых зданиях и сооружениях. Стандарт устанавливает общие требования к документации, к управлению функциональной безопасностью Е/Е/РЕ СБЗС-систем, к функциональной безопасности этих систем на всех стадиях их жизненного цикла, а также к действиям на этих стадиях, обеспечивающим функциональную безопасность. Стандарт не распространяется на Е/Е/РЕ СБЗС-систему, которая является одиночной системой, способной осуществить необходимое снижение риска, и требуемая полнота безопасности этой системы ниже, чем определено уровнем полноты безопасности SIL 1. |
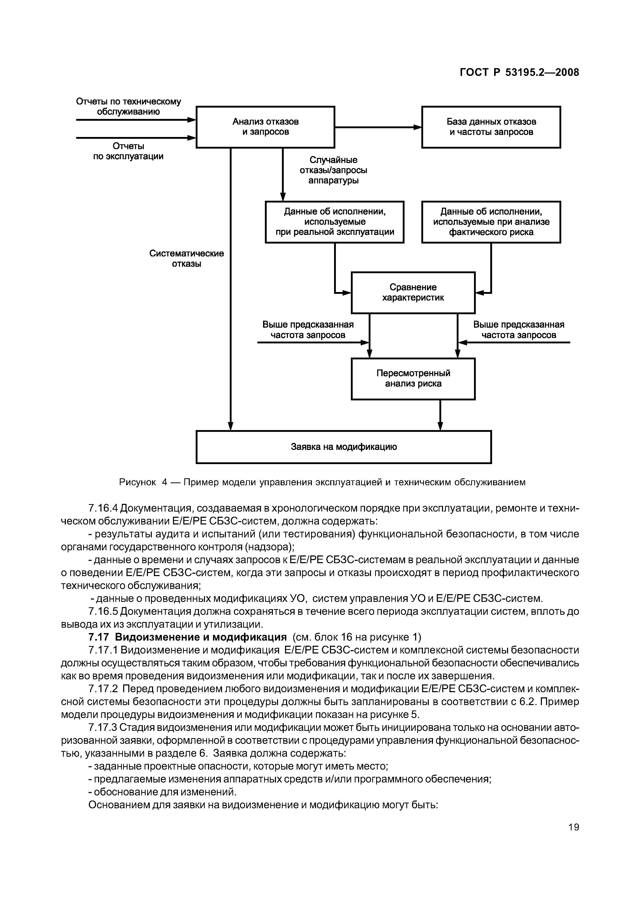
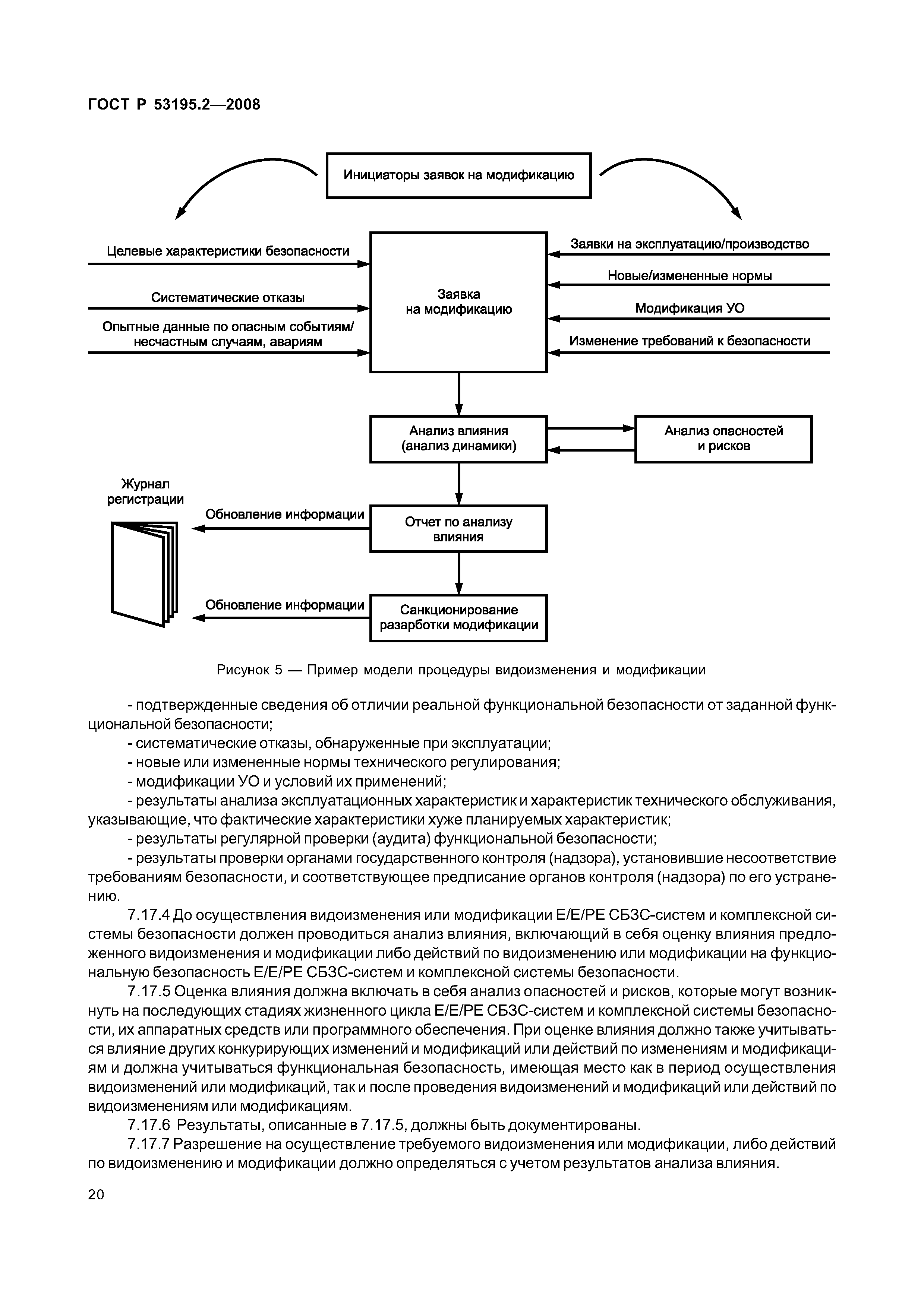
| Оглавление: | 1 Область применения 2 Нормативные ссылки 3 Термины и определения 4 Обозначения и сокращения 5 Требования 5.1 Соответствие системы требованиям стандарта 5.2 Требования к документации 6 Управление функциональной безопасностью 7 Требования к полному жизненному циклу систем 7.1 Общие положения 7.2 Разработка концепции (см. блок 1 на рисунке 1) 7.3 Определение области применения (см. блок 2 на рисунке 1) 7.4 Анализ опасностей и риска (см. блок 3 на рисунке 1) 7.5 Определение требований к функциям безопасности (см. блок 4 на рисунке 1) 7.6 Распределение требований безопасности (см. блок 5 на рисунке 1) 7.7 Разработка проектной документации на СБЗС-системы (см. блок 6 на рисунке 1) 7.8 Разработка рабочей документации (см. блок 7 на рисунке 1) 7.9 Планирование полной установки, интеграции и ввода в действие (см. блок 8 на рисунке 1) 7.10 Планирование подтверждения соответствия систем требованиям функциональной безопасности (см. блок 9 на рисунке 1) 7.11 Планирование эксплуатации и технического обслуживания систем (см. блок 10 на рисунке 1) 7.12 Реализация: Е/Е/РЕ СБЗС-систем (см. блок 11 на рисунке 1) 7.13 Реализация СБЗС-систем, основанных на других технологиях (см. блок 12 на рисунке 1) 7.14 Реализация внешних средств уменьшения риска (см. блок 13 на рисунке 1) 7.15 Подтверждение соответствия (см. блок 14 на рисунке 1) 7.16 Эксплуатация, техническое обслуживание, ремонт, периодический контроль (см. блок 15 на рисунке 1) 7.17 Видоизменение и модификация (см. блок 16 на рисунке 1) 7.18 Вывод из эксплуатации и утилизация (см. блок 17 на рисунке 1) 7.19 Верификация Е/Е/РЕ СБЗС-систем 8 Оценка функциональной безопасности Приложение А (справочное) Перечень и идентификация документации Приложение Б (справочное) Пример структуры документации Приложение В (справочное) Компетентность лиц |
| Разработан: | Всемирная Академия Наук комплексной безопасности ОАО НТЦ Стройинновация |
| Утверждён: | 18.12.2008 Федеральное агентство по техническому регулированию и метрологии (654-ст) |
| Издан: | Стандартинформ (2009 г. ) |
| Нормативные ссылки: |
|


































