Скачать РД-АПК 1.10.01.02-10 Методические рекомендации по технологическому проектированию ферм и комплексов крупного рогатого скотаДата актуализации: 01.01.2021 РД-АПК 1.10.01.02-10
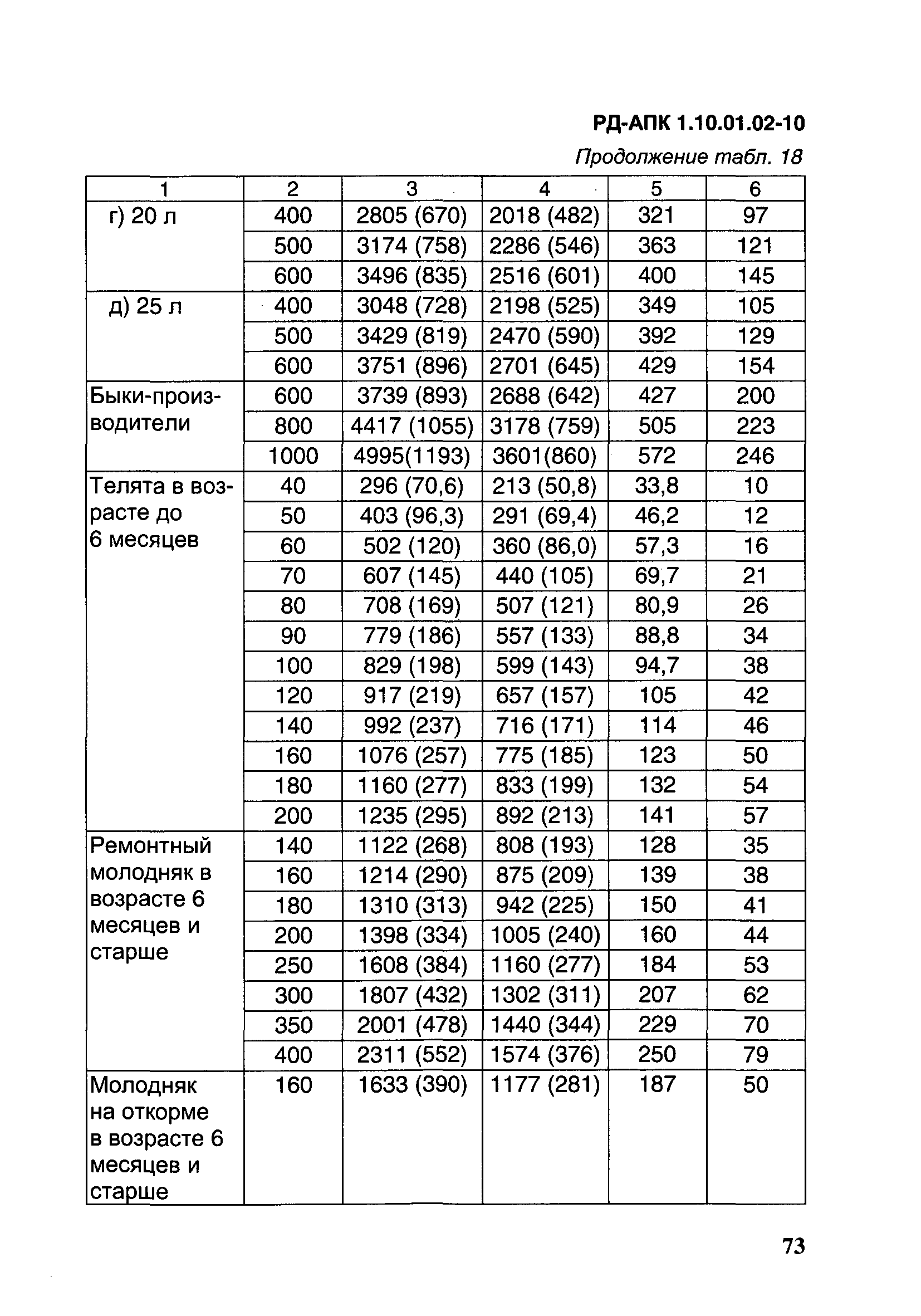
Методические рекомендации по технологическому проектированию ферм и комплексов крупного рогатого скота| Обозначение: | РД-АПК 1.10.01.02-10 | | Обозначение англ: | RD-APK 1.10.01.02-10 | | Статус: | заменен | | Название рус.: | Методические рекомендации по технологическому проектированию ферм и комплексов крупного рогатого скота | | Дата добавления в базу: | 01.09.2013 | | Дата актуализации: | 01.01.2021 | | Дата введения: | 01.11.2010 | | Дата окончания срока действия: | 01.09.2018 | | Область применения: | Документ распространяется на проектирование вновь организуемых, реконструируемых, подвергающихся техническому перевооружению ферм и комплексов крупного рогатого скота. | | Оглавление: | 1. Область применения 2. Нормативные ссылки 3. Площадки под строительство ферм и комплексов 4. Системы и способы содержания крупного рогатого скота 5. Размеры и структура стада ферм и комплексов крупного рогатого скота 6. Номенклатура зданий и сооружений. Состав помещений и технологические требования к ним 6.1 Номенклатура основных производственных зданий и сооружений 6.2 Номенклатура зданий и сооружений обслуживающего назначения для всех видов ферм и комплексов 6.3 Требования к планировке территории ферм и комплексов 6.4 Требования к размещению, технологической связи и планировке отдельных помещений 6.5 Технологические требования к строительным решениям основных производственных зданий и сооружений 7. Нормы площадей и размеры основных технологических элементов зданий, сооружений и помещений 8. Примерные нормативы потребности и запаса кормов 9. Нормы потребности и запаса подстилки 10. Нормы потребления воды и требования к водоснабжению 11. Требования к системе удаления навоза и канализации 12. Нормы выделения животными теплоты, водяных паров и углекислого газа 13. Нормы параметров внутреннего воздуха и требования к отоплению и вентиляции 14. Технологическое оборудование, механизация и автоматизация производственных процессов 15. Электроснабжение и электротехнические устройства 16. Охрана окружающей среды 17. Охрана труда Приложение А (рекомендуемое). Показатели выбраковки и выранжировки животных Приложение Б (рекомендуемое). Примерные годовые нормы потребности кормов для крупного рогатого скота и программы кормления молодняка Приложение В (рекомендуемое). Показатели затрат труда Приложение Г (справочное). Типы и конструкции домиков для телят | | Разработан: | ВНИИМЖ НПЦ Гипронисельхоз МСХ РФ ВИЖ ВНИИВСГЭ ФГНУ Росинформагротех
| | Утверждён: | 06.09.2010 Министерство сельского хозяйства России
| | Принят: | 16.09.2010 Департамент животноводства и племенного дела Минсельхоза России (Department of Animal Husbandry and Breeding, Russian Federation Minselkhoz ) 02.09.2010 Департамент ветеринарии Минсельхоза России (Department of Veterinary Medicine, Russian Federation Minselkhoz )
| | Заменяет собой: | | | Нормативные ссылки: |   СНиП 23-05-95* «Естественное и искусственное освещение»  СНиП II-97-76 «Генеральные планы сельскохозяйственных предприятий»  СНиП 2.03.13-88 «Полы»  СНиП 2.09.04-87* «Административные и бытовые здания»  СНиП 2.10.02-84 «Здания и помещения для хранения и переработки сельскохозяйственной продукции»  СНиП 2.10.03-84 «Животноводческие, птицеводческие и звероводческие здания и помещения»  СНиП II-108-78 «Склады сухих минеральных удобрений и химических средств защиты растений»  СНиП 2.04.01-85* «Внутренний водопровод и канализация зданий»  СНиП 2.04.02-84* «Водоснабжение. Наружные сети и сооружения»  СНиП 21-01-97* «Пожарная безопасность зданий и сооружений»  ОНД 86 «Методика расчета концентраций в атмосферном воздухе вредных веществ, содержащихся в выбросах предприятий»  ГОСТ 12.1.003-83 «Система стандартов безопасности труда. Шум. Общие требования безопасности»  ГОСТ 12.1.005-88 «Система стандартов безопасности труда. Общие санитарно-гигиенические требования к воздуху рабочей зоны»  ГОСТ Р 50571.14-96 «Электроустановки зданий. Часть 7. Требования к специальным электроустановкам. Раздел 705. Электроустановки сельскохозяйственных и животноводческих помещений»  СНиП 31-03-2001 «Производственные здания»  СанПиН 2.1.5.980-00 «Гигиенические требования к охране поверхностных вод»  СанПиН 2.1.4.1074-01 «Питьевая вода. Гигиенические требования к качеству воды централизованных систем питьевого водоснабжения. Контроль качества. Гигиенические требования к обеспечению безопасности систем горячего водоснабжения»  СП 2.1.5.1059-01 «Гигиенические требования к охране подземных вод от загрязнения» НТП-АПК 1.10.16.001-02 «Нормы технологического проектирования кормоцехов для животноводческих ферм и комплексов»  НТП-АПК 1.10.11.001-00 «Нормы технологического проектирования хранилищ силоса и сенажа»  НТП-АПК 1.10.01.001-00 «Нормы технологического проектирования ферм крупного рогатого скота крестьянских хозяйств»  Федеральный закон 184-ФЗ «О техническом регулировании» НТП-АПК 1.10.07.001-02 «Нормы технологического проектирования ветеринарных объектов для животноводческих, звероводческих, птицеводческих предприятий и крестьянских хозяйств» НТП-АПК 1.10.07.003-02 «Нормы технологического проектирования станций и пунктов искусственного осеменения животных»  ППБ 01-03 «Правила пожарной безопасности в Российской Федерации»  НПБ 110-03 «Перечень зданий, сооружений, помещений и оборудования, подлежащих защите автоматическими установками пожаротушения и автоматической пожарной сигнализацией»  НПБ 105-03 «Определение категорий помещений, зданий и наружных установок по взрывопожарной и пожарной опасности»  СанПиН 2.2.1/2.1.1.1200-03 «Санитарно-защитные зоны и санитарная классификация предприятий, сооружений и иных объектов»  СНиП 23-02-2003 «Тепловая защита зданий»  СНиП 41-01-2003 «Отопление, вентиляция и кондиционирование»  СО 153-34.21.122-2003 «Инструкция по устройству молниезащиты зданий, сооружений и промышленных коммуникаций»  СП 23-101-2004 «Проектирование тепловой защиты зданий»  ОСН-АПК 2.10.14.001-04 «Нормы по проектированию административных, бытовых зданий и помещений для животноводческих, звероводческих и птицеводческих предприятий и других объектов сельскохозяйственного назначения»  ОСН-АПК 2.10.24.001-04 «Нормы освещения сельскохозяйственных предприятий, зданий и сооружений»  РТП 37-87 «Руководство по технологическому проектированию объектов по ремонту и техническому обслуживанию сельскохозяйственной техники»  РД-АПК 3.10.07.01-09 «Методические рекомендации по ветеринарной защите животноводческих, птицеводческих и звероводческих объектов»
|
                                                                                                           
|