Скачать ГОСТ Р 54718-2011 Система цифрового радиовещания DRM в диапазонах частот ниже 30 МГц. Цифровой кодер-модулятор. Основные параметры и технические требования

Дата актуализации: 01.01.2021

ГОСТ Р 54718-2011

Система цифрового радиовещания DRM в диапазонах частот ниже 30 МГц. Цифровой кодер-модулятор. Основные параметры и технические требования

Обозначение: ГОСТ Р 54718-2011
Обозначение англ: GOST R 54718-2011
Статус:введен впервые
Название рус.:Система цифрового радиовещания DRM в диапазонах частот ниже 30 МГц. Цифровой кодер-модулятор. Основные параметры и технические требования
Название англ.:Digital broadcasting system DRM in the frequency range less than 30 MHz. Digital encoder-modulator. Basis paramerters and technical requirements
Дата добавления в базу:01.09.2013
Дата актуализации:01.01.2021
Дата введения:01.07.2012
Область применения:Стандарт распространяется на цифровой кодер-модулятор системы цифрового радиовещания DRM в диапазоне частот ниже 30 МГц, предназначенный для кодирования входных звуковых сигналов и данных и формирования модулированного радиочастотного сигнала DRM. Стандарт устанавливает основные параметры и общие технические требования на цифровой кодер-модулятор. Требования стандарта следует учитывать при разработке, изготовлении и эксплуатации кодеров-модуляторов.
Оглавление:1 Область применения
2 Нормативные ссылки
3 Термины, определения и сокращения
   3.1 Термины и определения
   3.2 Сокращения
4 Основные параметры
   4.1 Основные параметры модулятора-возбудителя
   4.2 Основные параметры контент-сервера
5 Технические требования
   5.1 Технические требования к модулятору-возбудителю
   5.2 Технические требования к контент-серверу
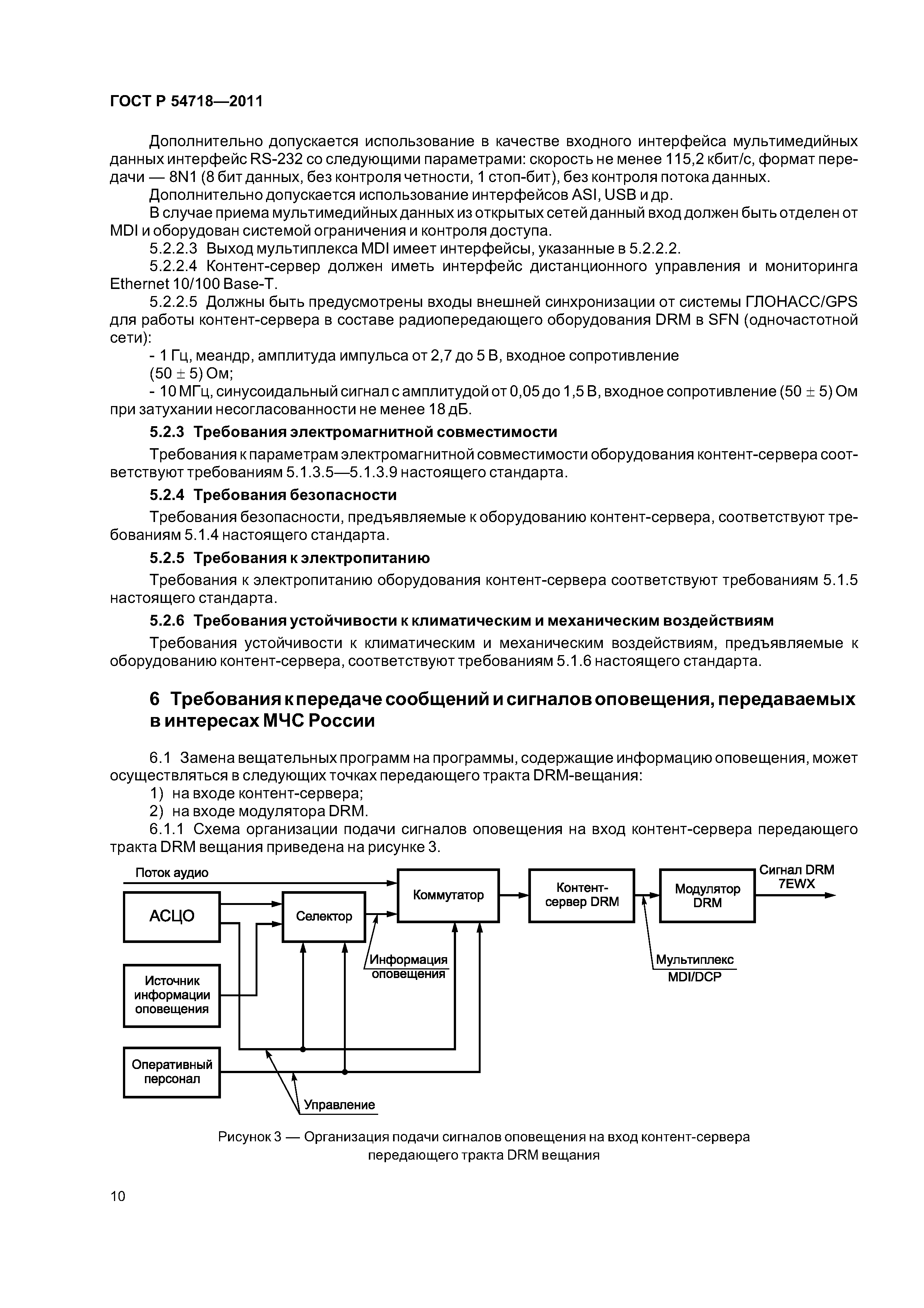
6 Требования к передаче сообщений и сигналов оповещения, передаваемых в интересах МЧС России
Библиография
Разработан: Филиал ФГУП НИИР - СОНИИР
Утверждён:13.12.2011 Росстандарт (879-ст)
Издан: Стандартинформ (2012 г. )
Нормативные ссылки:
ГОСТ Р 54718-2011ГОСТ Р 54718-2011ГОСТ Р 54718-2011ГОСТ Р 54718-2011ГОСТ Р 54718-2011ГОСТ Р 54718-2011ГОСТ Р 54718-2011ГОСТ Р 54718-2011ГОСТ Р 54718-2011ГОСТ Р 54718-2011ГОСТ Р 54718-2011ГОСТ Р 54718-2011ГОСТ Р 54718-2011ГОСТ Р 54718-2011ГОСТ Р 54718-2011