Скачать ГОСТ 32134.11-2013 Совместимость технических средств электромагнитная. Технические средства радиосвязи. Часть 11. Частные требования к радиовещательным передатчикамДата актуализации: 01.01.2021
|
| Обозначение: | ГОСТ 32134.11-2013 |
| Обозначение англ: | GOST 32134.11-2013 |
| Статус: | введен впервые |
| Название рус.: | Совместимость технических средств электромагнитная. Технические средства радиосвязи. Часть 11. Частные требования к радиовещательным передатчикам |
| Название англ.: | Electromagnetic compatibility of technical equipment. Radio communication equipment. Part 11. Specific requirements for terrestrial sound broadcasting service transmitters |
| Дата добавления в базу: | 01.10.2014 |
| Дата актуализации: | 01.01.2021 |
| Дата введения: | 01.01.2014 |
| Область применения: | Стандарт, совместно с ГОСТ 32134.1, устанавливает требования электромагнитной совместимости к радиопередатчикам наземной радиовещательной службы, модуляторам и связанному с ними вспомогательному оборудованию, а также соответствующие методы испытаний. Стандарт не устанавливает требований, относящихся к антенному порту радиовещательных передатчиков и электромагнитной эмиссии от порта корпуса радиовещательных передатчиков. Стандарт устанавливает условия испытаний, оценку качества функционирования и критерии качества функционирования для радиовещательных передатчиков и вспомогательного оборудования. |
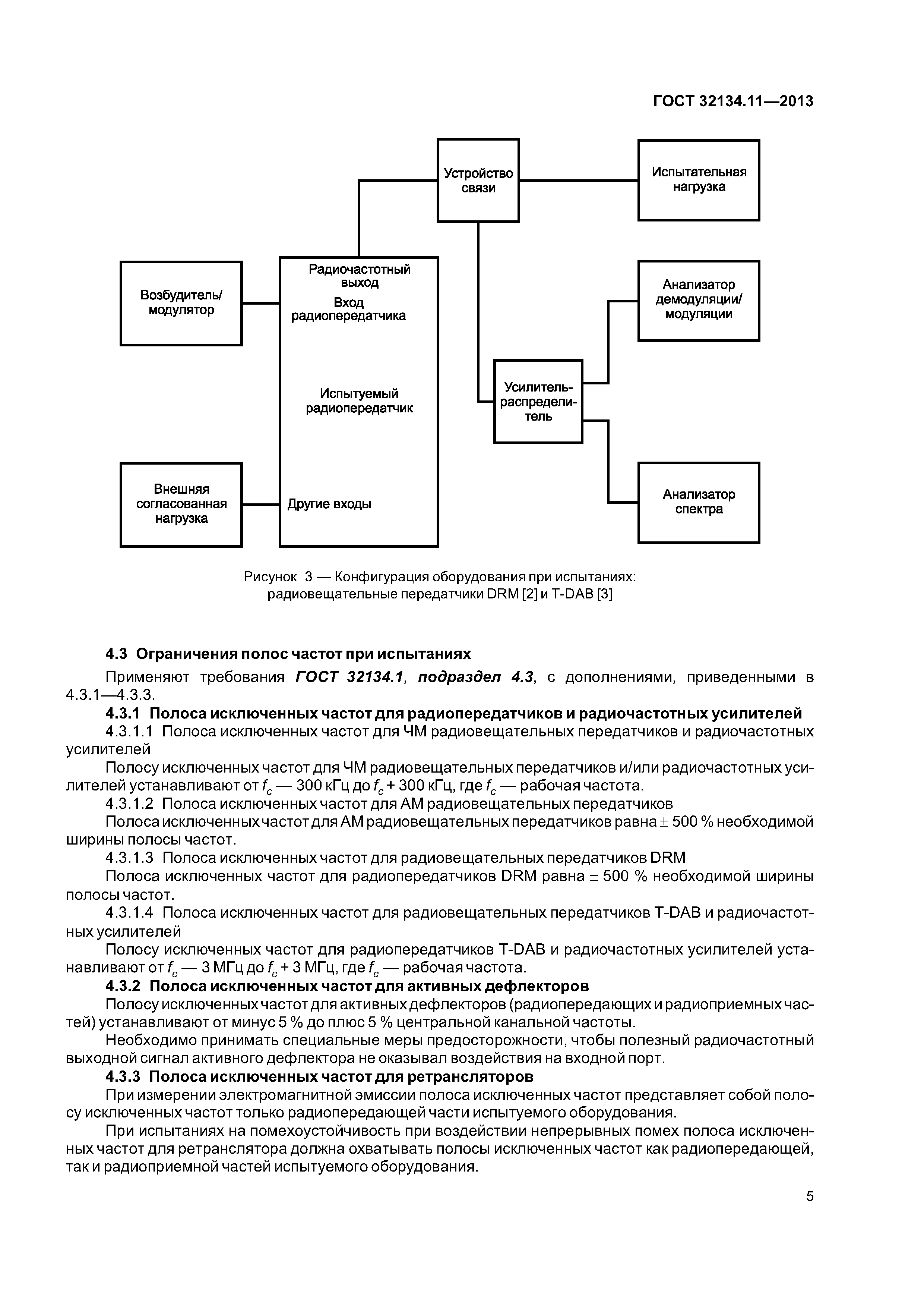
| Оглавление: | 1 Область применения 2 Нормативные ссылки 3 Термины и определения 4 Условия испытаний 4.1 Общие положения 4.2 Подача сигналов при испытаниях 4.3 Ограничения полос частот при испытаниях 4.4 Узкополосные реакции радиоприемников при испытаниях на помехоустойчивость 4.5 Нормальная модуляция при испытаниях 5 Оценка качества функционирования оборудования при испытаниях на помехоустойчивость 5.1 Общие положения 5.2 Оборудование, позволяющее вести непрерывную радиовещательную передачу 5.3 Оборудование, не позволяющее вести непрерывной радиовещательной передачи 5.4 Вспомогательное оборудование 5.5 Классификация оборудования 6 Критерии качества функционирования при испытаниях на помехоустойчивость 6.1 Критерии качества функционирования при воздействии непрерывных помех на радиопередатчики 6.2 Критерии качества функционирования при воздействии помех переходного характера на радиопередатчики 7 Применимость требований ЭМС 7.1 Электромагнитные помехи 7.2 Помехоустойчивость Приложение А (обязательное) Метод измерения коэффициента ошибок модуляции Приложение В (справочное) Сведения о радиовещательных передатчиках, на которые распространяются требования настоящего стандарта Приложение ДА (справочное) Перечень межгосударственных стандартов, разработанных на основе частей европейских стандартов серии ЕN 301 489 Приложение ДБ (справочное) Сведения о соответствии межгосударственных стандартов ссылочным международным и европейскому региональному стандартам Библиография |
| Разработан: | ЗАО НИЦ САМТЭС ТК 30 Электромагнитная совместимость технических средств |
| Утверждён: | 25.03.2013 Межгосударственный Совет по стандартизации, метрологии и сертификации (Inter-Governmental Council on Standardization, Metrology, and Certification 55-П) 22.07.2013 Федеральное агентство по техническому регулированию и метрологии (412-ст) |
| Издан: | Стандартинформ (2014 г. ) |
| Нормативные ссылки: |
|



















