Скачать ГОСТ Р 54514-2011 Классификация химической продукции, опасность которой обусловлена физико-химическими свойствами. Метод определения способности химической продукции подвергаться окислительному самонагревуДата актуализации: 01.01.2021
|
| Обозначение: | ГОСТ Р 54514-2011 |
| Обозначение англ: | GOST R 54514-2011 |
| Статус: | введен впервые |
| Название рус.: | Классификация химической продукции, опасность которой обусловлена физико-химическими свойствами. Метод определения способности химической продукции подвергаться окислительному самонагреву |
| Название англ.: | Classification of chemicals hazardous due to their physical and chemical properties. Method of determining of ability of chemicals to the oxidative self-heating |
| Дата добавления в базу: | 01.09.2013 |
| Дата актуализации: | 01.01.2021 |
| Дата введения: | 01.01.2012 |
| Область применения: | Стандарт определяет процедуру и метод определения способности химической продукции подвергаться окислительному самонагреву. |
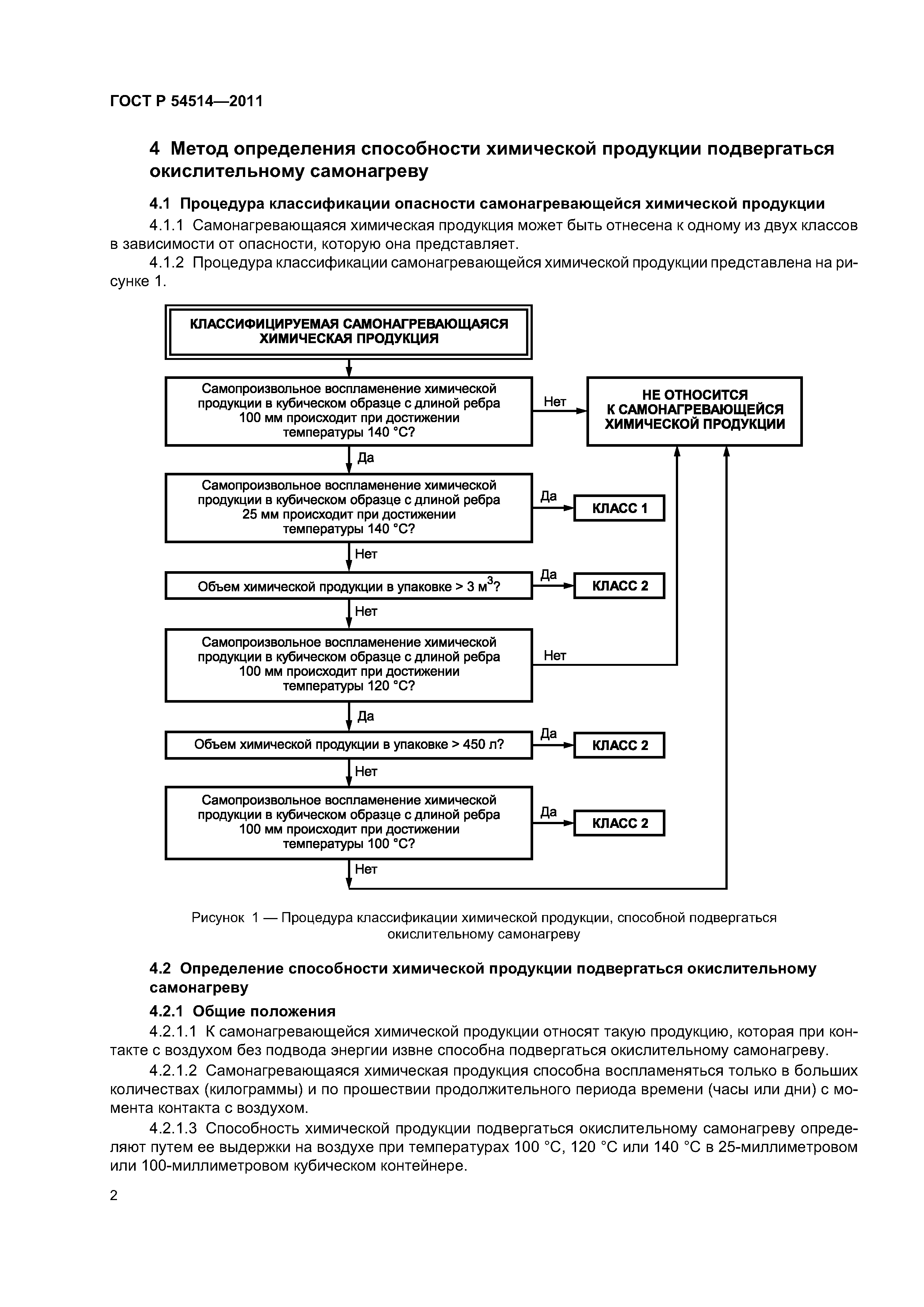
| Оглавление: | 1 Область применения 2 Нормативные ссылки 3 Термины и определения 4 Метод определения способности химической продукции подвергаться окислительному самонагреву |
| Разработан: | ФГУП ВНИЦ СМВ |
| Утверждён: | 23.11.2011 Федеральное агентство по техническому регулированию и метрологии (581-ст) |
| Издан: | Стандартинформ (2012 г. ) |
| Нормативные ссылки: |
|







