Скачать ГОСТ Р ИСО/ТС 10303-1056-2012 Системы автоматизации производства и их интеграция. Представление данных об изделии и обмен этими данными. Часть 1056. Прикладной модуль. Конфигурация изделия

Дата актуализации: 01.01.2021

ГОСТ Р ИСО/ТС 10303-1056-2012

Системы автоматизации производства и их интеграция. Представление данных об изделии и обмен этими данными. Часть 1056. Прикладной модуль. Конфигурация изделия

Обозначение: ГОСТ Р ИСО/ТС 10303-1056-2012
Обозначение англ: GOST R ISO/TS 10303-1056-2012
Статус:введен впервые
Название рус.:Системы автоматизации производства и их интеграция. Представление данных об изделии и обмен этими данными. Часть 1056. Прикладной модуль. Конфигурация изделия
Название англ.:Industrial automation systems and integration. Product data representation and exchange. Part 1056. Application module. Configuration item
Дата добавления в базу:01.10.2014
Дата актуализации:01.01.2021
Дата введения:01.09.2013
Область применения:Стандарт определяет прикладной модуль «Конфигурация изделия». В область применения стандарта входит обозначение конфигурации изделия для заданной концепции изделия.
Оглавление:1 Область применения
2 Нормативные ссылки
3 Термины и сокращения
   3.1 Термины, определенные в ИСО 10303-1
   3.2 Термин, определенный в ИСО 10303-202
   3.3 Термины, определенные в ИСО/ТС 10303-1 001
   3.4 Термин, определенный в ИСО/ТС 10303-1017
   3.5 Сокращения
4 Информационные требования
   4.1 Прикладные эталонные модели, необходимые для прикладного модуля
   4.2 Определение типа данных прикладной эталонной модели
   4.3 Определение объектов прикладной эталонной модели
5 Интерпретированная модель модуля
   5.1 Спецификация отображения
   5.2 Сокращенный листинг ИММ на языке EXPRESS
Приложение А (обязательное) Сокращенные наименования объектов ИММ
Приложение В (обязательное) Регистрация информационных объектов
Приложение С (справочное) EXPRESS-G диаграммы ПЭМ
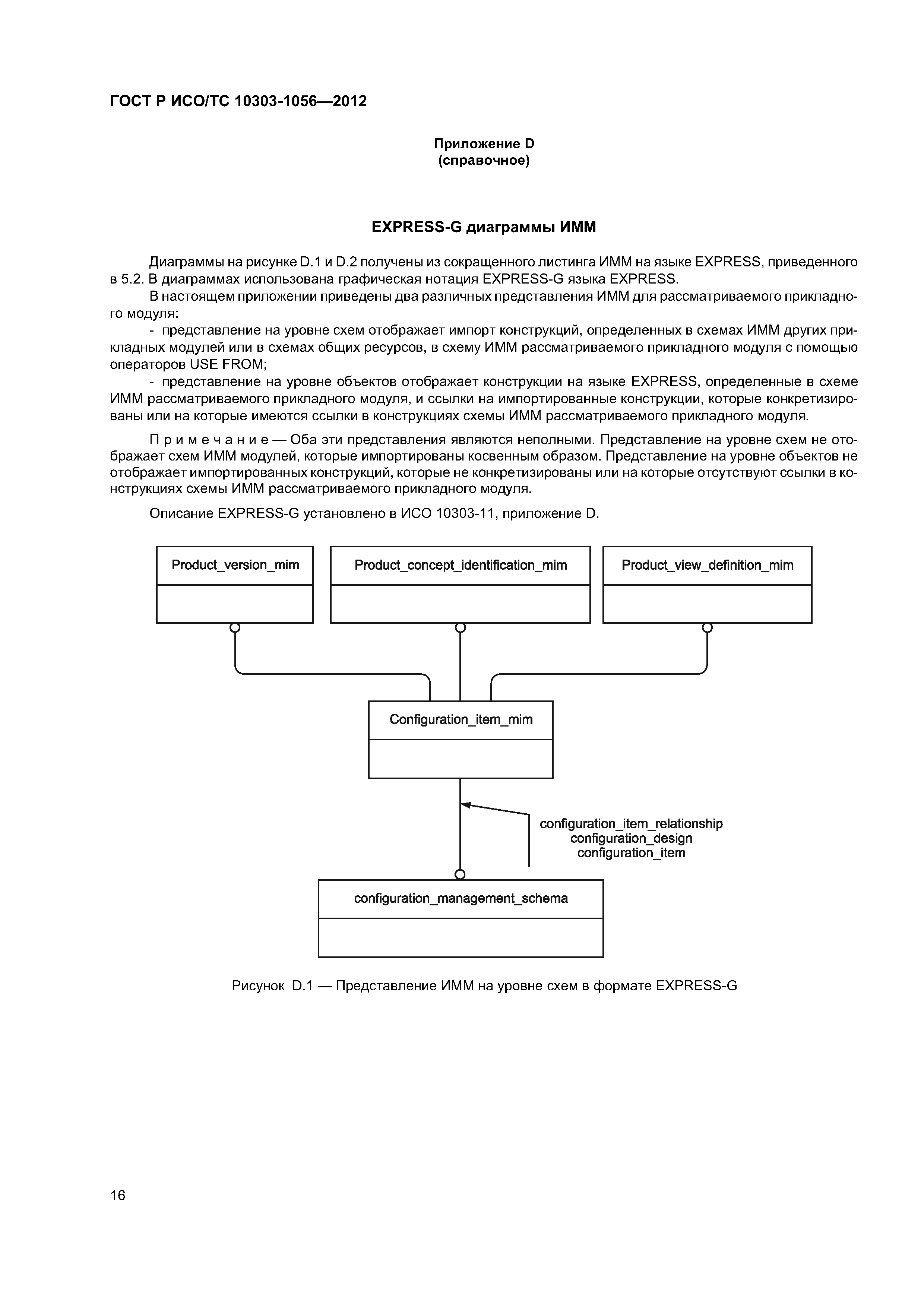
Приложение D (справочное) EXPRESS-G диаграммы ИММ
Приложение Е (справочное) Машинно-интерпретируемые листинги
Приложение ДА (справочное) Сведения о соответствии ссылочных международных стандартов и документов национальным стандартам Российской Федерации
Разработан: ООО Корпоративные электронные системы
Утверждён:13.11.2012 Федеральное агентство по техническому регулированию и метрологии (742-ст)
Издан: Стандартинформ (2013 г. )
Нормативные ссылки:
ГОСТ Р ИСО/ТС 10303-1056-2012ГОСТ Р ИСО/ТС 10303-1056-2012ГОСТ Р ИСО/ТС 10303-1056-2012ГОСТ Р ИСО/ТС 10303-1056-2012ГОСТ Р ИСО/ТС 10303-1056-2012ГОСТ Р ИСО/ТС 10303-1056-2012ГОСТ Р ИСО/ТС 10303-1056-2012ГОСТ Р ИСО/ТС 10303-1056-2012ГОСТ Р ИСО/ТС 10303-1056-2012ГОСТ Р ИСО/ТС 10303-1056-2012ГОСТ Р ИСО/ТС 10303-1056-2012ГОСТ Р ИСО/ТС 10303-1056-2012ГОСТ Р ИСО/ТС 10303-1056-2012ГОСТ Р ИСО/ТС 10303-1056-2012ГОСТ Р ИСО/ТС 10303-1056-2012ГОСТ Р ИСО/ТС 10303-1056-2012ГОСТ Р ИСО/ТС 10303-1056-2012ГОСТ Р ИСО/ТС 10303-1056-2012ГОСТ Р ИСО/ТС 10303-1056-2012ГОСТ Р ИСО/ТС 10303-1056-2012ГОСТ Р ИСО/ТС 10303-1056-2012ГОСТ Р ИСО/ТС 10303-1056-2012ГОСТ Р ИСО/ТС 10303-1056-2012ГОСТ Р ИСО/ТС 10303-1056-2012