Скачать ГОСТ Р 54826-2011 Котлы газовые центрального отопления. Котлы типа «С» с номинальной тепловой мощностью не более 70 кВтДата актуализации: 01.01.2021
|
| Обозначение: | ГОСТ Р 54826-2011 |
| Обозначение англ: | GOST R 54826-2011 |
| Статус: | введен впервые |
| Название рус.: | Котлы газовые центрального отопления. Котлы типа «С» с номинальной тепловой мощностью не более 70 кВт |
| Название англ.: | Gas-fired central heating boilers. Type C boilers of nominal heat input not exceeding 70 kW |
| Дата добавления в базу: | 01.10.2014 |
| Дата актуализации: | 01.01.2021 |
| Дата введения: | 01.01.2013 |
| Область применения: | Стандарт включает в себя требования и методы испытаний в части изготовления, безопасности, пригодности к использованию по назначению и рационального использования энергии, а также классификацию и маркировку газовых котлов центрального отопления, которые оснащены атмосферными горелками, атмосферными дутьевыми горелками или горелками с предварительным смешением. |
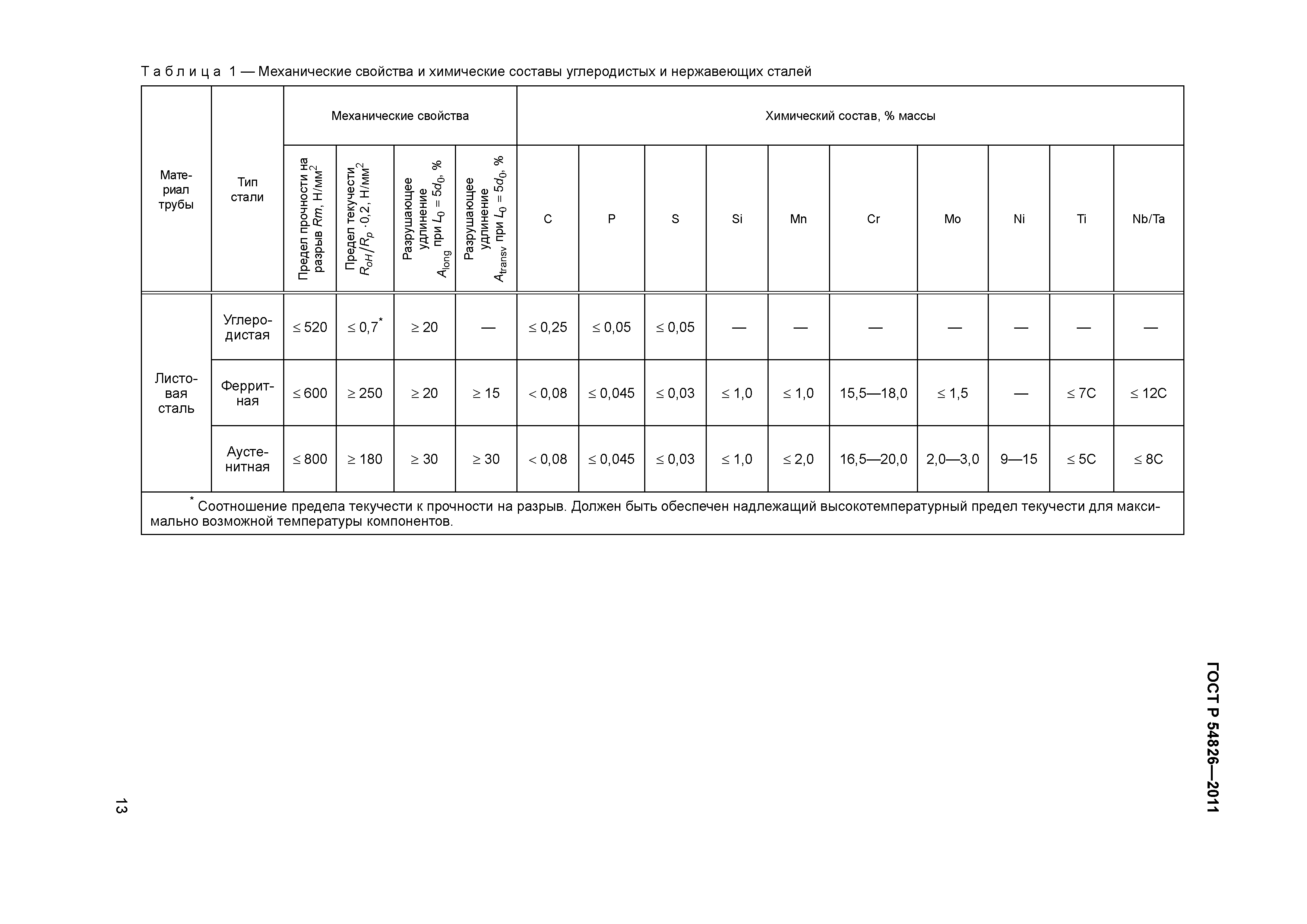
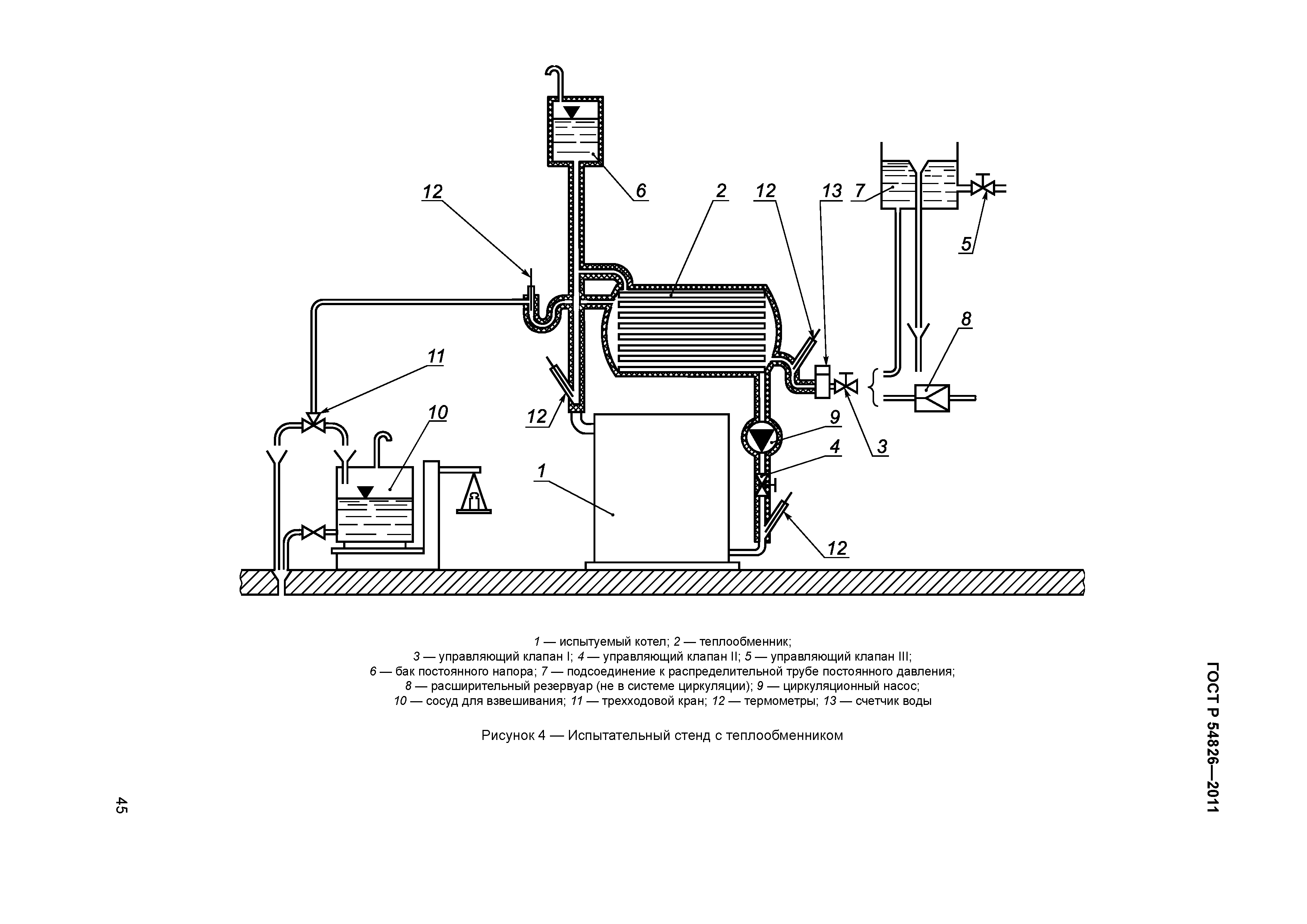
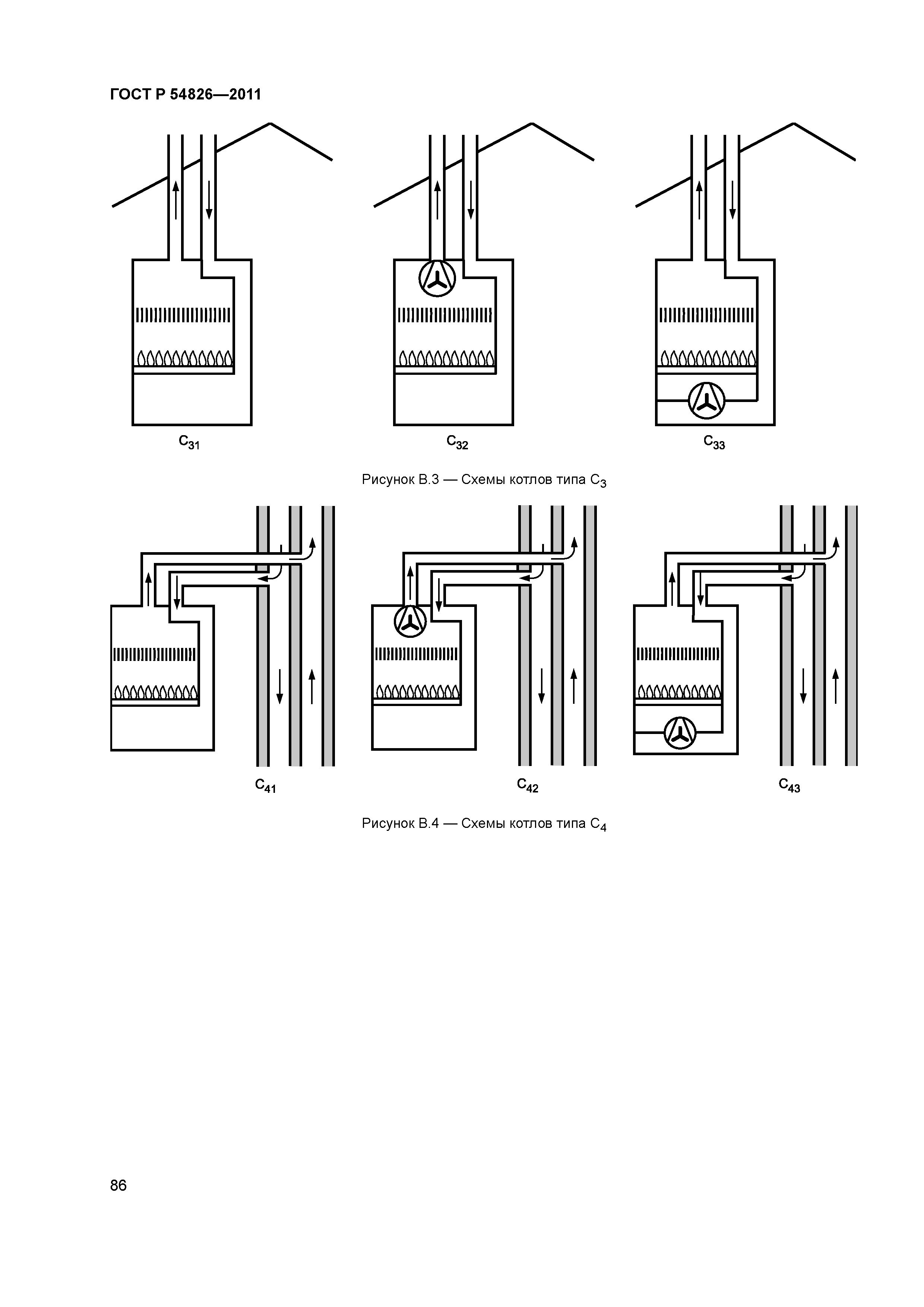
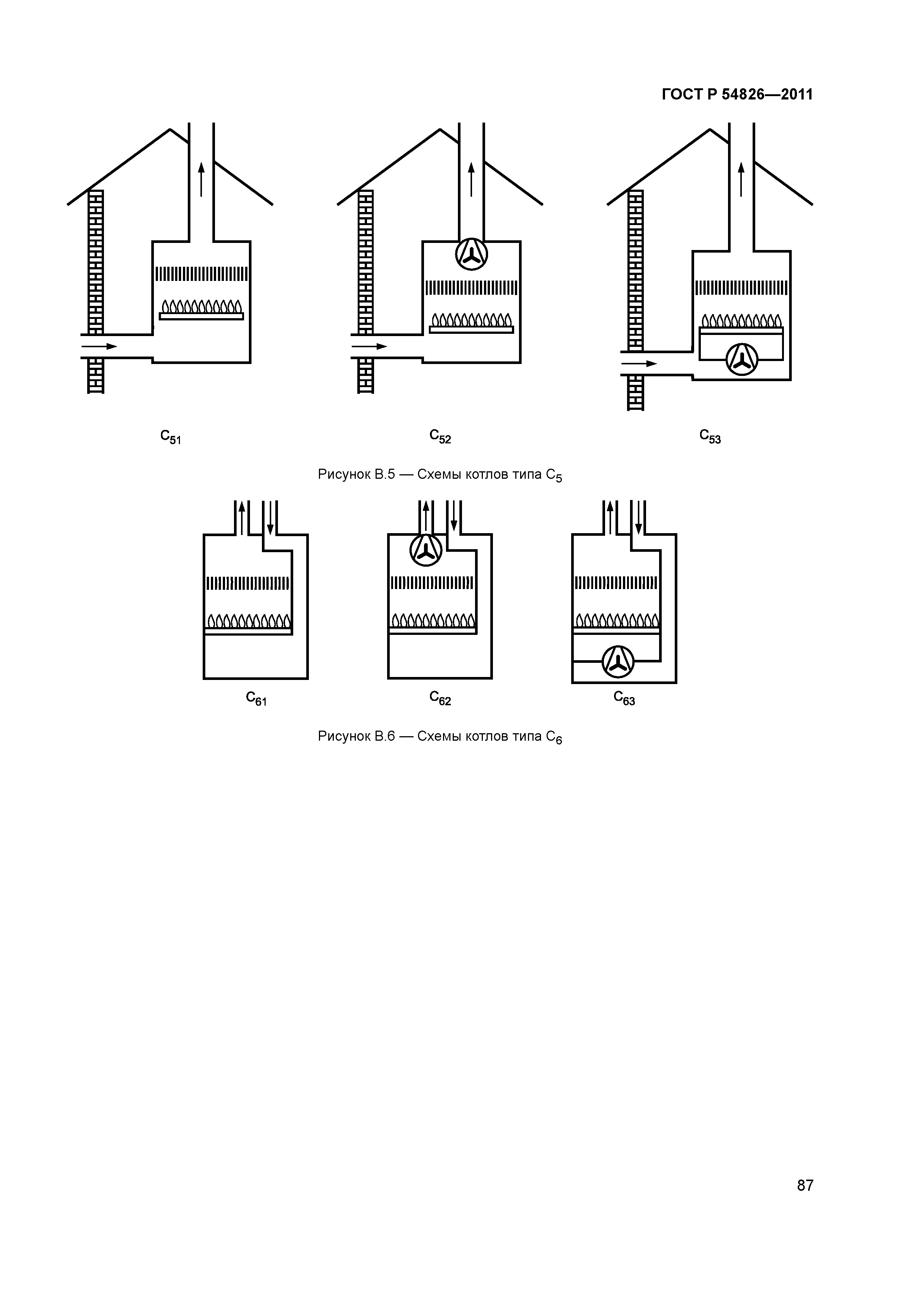
| Оглавление: | 1 Область применения 2 Нормативные ссылки 3 Термины и определения 4 Классификация 4.1 Классификация в соответствии с используемыми газами 4.2 Классификация по типу подвода воздуха и отвода продуктов сгорания 4.3 Классификация по максимальному рабочему давлению со стороны воды 4.4 Классификация в соответствии с расширительной системой 5 Требования к конструкции 5.1 Общие положения 5.2 Переход на другие газы (перенастройка) 5.3 Материалы и толщины 5.4 Конструкция 5.5 Электрооборудование 5.6 Требования к устройствам регулировки, управления и безопасности 5.7 Горелки 5.8 Штуцеры измерений давления газа 6 Эксплуатационные требования 6.1 Общие положения 6.2 Герметичность 6.3 Тепловые мощности и теплопроизводительность 6.4 Безопасность эксплуатации 6.5 Устройства регулировки, управления и защиты 6.6 Сгорание 6.7 Коэффициент полезного действия при номинальной тепловой мощности 6.8 Прочность 6.9 Гидравлическое сопротивление 7 Методы испытаний 7.1 Общие условия испытаний 7.2 Герметичность 7.3 Тепловые мощности и теплопроизводительность 7.4 Безопасность эксплуатации 7.5 Устройства регулировки, управления и защиты 7.6 Сгорание 7.7 Коэффициент полезного действия при номинальной тепловой мощности 7.8 Прочность 7.9 Гидравлическое сопротивление 8 Маркировки и инструкции 8.1 Маркировка котла 8.2 Инструкции Приложение А (справочное) Национальные особенности Приложение В (справочное) Классификация котлов типа С Приложение С (справочное) Примеры состава и схемы газового контура Приложение D (справочное) Условия испытаний Приложение Е (обязательное) Испытательное оборудование для котлов типа С2 Приложение F (справочное) Метод калибровки испытательного стенда для определения тепловых потерь Dp Приложение G (справочное) Примеры маркировки Приложение Н (справочное) Пример вычисления нагрузочных коэффициентов для котла с несколькими значениями тепловой мощности Приложение J (справочное) Соотношения между единицами измерений концентрации Nox Приложение К (справочное) Требования и методы испытаний для раздельных дымоходов подвода воздуха и отвода продуктов сгорания в котлах типа С6 Приложение ДА (справочное) Сведения о соответствии ссылочных национальных и межгосударственных стандартов международным и европейским региональным стандартам, использованным в качестве ссылочных в примененном международном стандарте Приложение ДБ (справочное) Взаимосвязь между настоящим стандартом и лежащими в его основе требованиями технического регламента "О безопасности аппаратов, работающих на газообразном топливе" Библиография |
| Разработан: | ФГУП ВНИИНМАШ ООО СИЦ ЭТИГАЗ |
| Утверждён: | 13.12.2011 Федеральное агентство по техническому регулированию и метрологии (1218-ст) |
| Издан: | Стандартинформ (2014 г. ) |
| Нормативные ссылки: |
|













































































































