Скачать ГОСТ Р МЭК 61189-2-2012 Методы испытаний электрических материалов, печатных плат и других структур межсоединений и сборочных узлов. Часть 2. Методы испытаний материалов для структур межсоединенийДата актуализации: 01.01.2021
|
| Обозначение: | ГОСТ Р МЭК 61189-2-2012 |
| Обозначение англ: | GOST R IEC 61189-2-2012 |
| Статус: | введен впервые |
| Название рус.: | Методы испытаний электрических материалов, печатных плат и других структур межсоединений и сборочных узлов. Часть 2. Методы испытаний материалов для структур межсоединений |
| Название англ.: | Test methods for electrical materials, printed boards and other interconnection structures and assemblies. Part 2. Test methods for materials for interconnection structures |
| Дата добавления в базу: | 12.02.2016 |
| Дата актуализации: | 01.01.2021 |
| Дата введения: | 01.07.2013 |
| Область применения: | Стандарт содержит методы испытаний, представляющие методологии и процедуры, которые могут быть применены при испытании материалов, используемых при производстве структур межсоединений (печатных плат) и печатных узлов. |
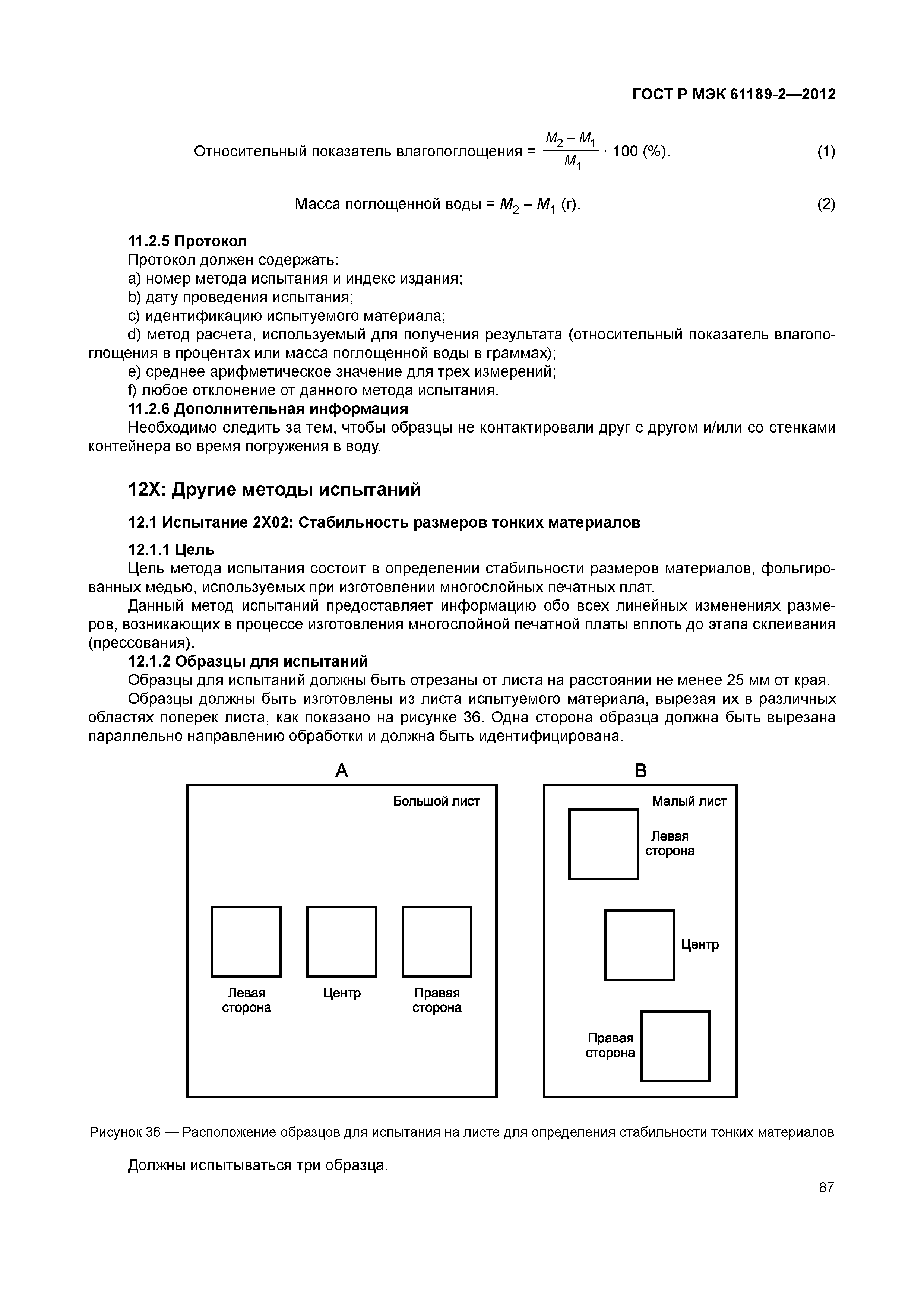
| Оглавление: | 1 Область применения 2 Нормативные ссылки 3 Погрешность, точность и разрешающая способность 3.1 Погрешность 3.2 Точность 3.3 Разрешающая способность 3.4 Протокол 3.5 t-распределение Стьюдента 3.6 Предлагаемые пределы неопределенности 4 Перечень методов испытаний 5 Р: Методы испытаний по подготовке/кондиционированию 5.1 Испытание 2Р01: Сухое тепло 5.2 Испытание 2Р02: Плавание образца в ванне с припоем 6 V: Визуальные методы испытаний 7 D: Размерные методы испытаний 7.1 Испытание 2D01: Толщина материалов основания и печатных плат 8 С: Химические методы испытаний 8.1 Испытание 2С01: Сопротивление материалов основания воздействию гидроокиси натрия 8.2 Испытание 2С02: Время гелеобразования материалов препрега с эпоксидной смолой 8.3 Испытание 2С03: Содержание смолы в материалах препрега 8.4 Испытание 2С04: Содержание летучих веществ в материалах препрега 8.5 Испытание 2С05: Образование вздутий в результате термоудара 8.6 Испытание 2С06: Горючесть, испытание жестких материалов на горение в вертикальном положении 8.7 Испытание 2С07: Горючесть, испытание жестких материалов на горение в горизонтальном положении 8.8 Испытание 2С08: Горючесть, гибкий материал 8.9 Испытание 2С09: Вязкость расплавленного связующего препрега 8.10 Испытание 2С10: Содержание смолы в материалах препрега, определение методом возгонки 8.11 Испытание 2С11: Характеристики блокирования ультрафиолетовых лучей диэлектриками 8.12 Испытание 2С12: Общее содержание галогена в материалах основания 9 М: Механические методы испытаний 9.1 Испытание 2М01: Изгиб и скручивание 9.2 Испытание 2М02: Изгиб и скручивание после травления и нагревания 9.3 Испытание 2М03: Фактор термоотверждения по DSC/TMA 9.4 Испытание 2М04: Скручивание после нагревания 9.5 Испытание 2М05: Прочность на отрыв контактной площадки 9.6 Испытание 2М06: Прочность на отслаивание фольги после воздействия паров растворителя 9.7 Испытание 2М07: Прочность на отслаивание фольги после воздействия растворителя 9.8 Испытание 2М08: Прочность на изгиб 9.9 Испытание 2М09: Текучесть связующего препрега 9.10 Испытание 2М10: Температура стеклования материалов основания, метод сканирующей калориметрии (DSC) 9.11 Испытание 2М11: Температура стеклования материалов основания, метод термомеханического анализа (TMA) 9.12 Испытание 2М12: Волнистость поверхности 9.13 Испытание 2М13: Прочность на отслаивание фольги в исходном состоянии 9.14 Испытание 2М14: Прочность на отслаивание фольги после термоудара 9.15 Испытание 2М15: Прочность на отслаивание фольги после сухого тепла 9.16 Испытание 2М16: Прочность на отслаивание фольги после имитации металлизации 9.17 Испытание 2М17: Прочность на отслаивание фольги при высокой температуре 9.18 Испытание 2М18: Чистота поверхности 9.19 Испытание 2М19: Штампуемость 9.20 Испытание 2М20: Прочность на изгиб 9.21 Испытание 2М21: Усталость от изгиба (стойкость к многократным перегибам) 9.22 Испытание 2М22: Масса фольги на единицу площади 9.23 Испытание 2М23: Прямоугольность нарезанных заготовок 9.24 Испытание 2М24: Коэффициент линейного теплового расширения 9.25 Испытание 2М25: Определение времени до расслоения, термомеханический анализ (ТМА) 9.26 Испытание 2М26: Коэффициент прессования препрега 9.27 Испытание 2М27: Текучесть смолы пленок, используемых при изготовлении гибких печатных плат 10 Е: Электрические методы испытаний 10.1 Испытание 2Е01: Состояние поверхности во влажных условиях 10.2 Испытание 2Е02: Электрическая прочность под напряжением сети переменного тока 10.3 Испытание 2Е03: Поверхностное сопротивление после влажного тепла в камере влажности 10.4 Испытание 2Е04: Объемное удельное сопротивление и поверхностное сопротивление 10.5 Испытание 2Е05: диэлектрическая проницаемость и тангенс угла диэлектрических потерь 10.6 Испытание 2Е06: Объемное удельное сопротивление и поверхностное удельное сопротивление, три электрода 10.7 Испытание 2Е07: Поверхностное удельное сопротивление и объемное удельное сопротивление при повышенной температуре 10.8 Испытание 2Е08: Поверхностная коррозия 10.9 Испытание 2Е09: Сравнительный показатель трекингоустойчивости 10.10 Испытание 2Е10: диэлектрическая проницаемость 10.11 Испытание 2Е11: Электрическая прочность 10.12 Испытание 2Е12: Сопротивление фольги 10.13 Испытание 2Е13: Коррозия края 10.14 Испытание 2Е14: Дугостойкость 10.15 Испытание 2Е15: Пробой диэлектрика 10.16 Испытание 2Е16: Контактные сопротивления кнопочной панели печатной схемы 10.17 Испытание 2Е17: Сопротивление изоляции материалов печатных плат 10.18 Испытание 2Е18: Стойкость к грибковой плесени материалов печатных плат 11 N: Методы испытаний на воздействие внешних факторов 11.1 Испытание 2N01: Климатические испытания при повышенном давлении и температуре 11.2 Испытание 2N02: Водопоглощение 12 Х: Другие методы испытаний 12.1 Испытание 2Х02: Стабильность размеров тонких материалов Приложение А (справочное) Разобранные примеры Приложение В (справочное) Переходная таблица номеров методов испытаний Приложение С (справочное) Лабораторный журнал. Рекомендуемая форма записи результатов Приложение D (справочное) Лабораторный журнал. Рекомендуемая форма записи результатов Приложение ДА (справочное) Сведения о соответствии ссылочных международных стандартов национальным стандартам Российской Федерации и действующему в этом качестве межгосударственному стандарту Приложение ДБ (справочное) Сведения о соответствии методов испытаний по межгосударственным стандартам методам испытаний в стандартах МЭК |
| Разработан: | НОЧУ Новая инженерная школа |
| Утверждён: | 26.09.2012 Федеральное агентство по техническому регулированию и метрологии (433-ст) |
| Издан: | Стандартинформ (2015 г. ) |
| Нормативные ссылки: |
|

















































































































