Скачать ГОСТ Р 55849-2013 Нефтяная и газовая промышленность. Системы винтовых насосов для механизированной добычи. Часть 1. Насосы. Общие технические требованияДата актуализации: 01.01.2021 ГОСТ Р 55849-2013
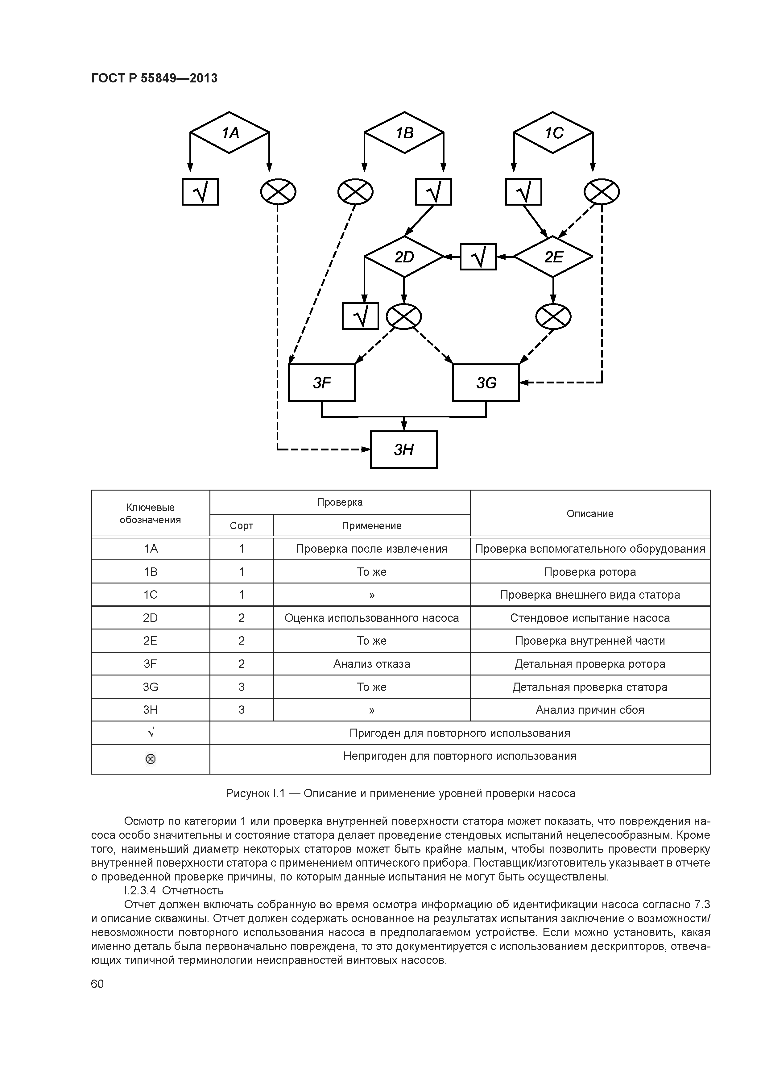
Нефтяная и газовая промышленность. Системы винтовых насосов для механизированной добычи. Часть 1. Насосы. Общие технические требования| Обозначение: | ГОСТ Р 55849-2013 | | Обозначение англ: | GOST R 55849-2013 | | Статус: | введен впервые | | Название рус.: | Нефтяная и газовая промышленность. Системы винтовых насосов для механизированной добычи. Часть 1. Насосы. Общие технические требования | | Название англ.: | Petroleum and natural gas industries. Progressing cavity pump systems for artificial lift. Part 1. Pumps. General technical requirements | | Дата добавления в базу: | 21.05.2015 | | Дата актуализации: | 01.01.2021 | | Дата введения: | 01.07.2014 | | Область применения: | Стандарт устанавливает требования к проектированию, проверке и оценке проектирования, производству и контролю качества, оценке производительности, определению функциональных характеристик, ремонту, обслуживанию и хранению винтовых насосов (ВН), для использования в нефтяной и газовой промышленности. В приложениях к стандарту приведены обязательные требования к описанию характеристик и испытанию статорного эластомера и оценке функциональных показателей. | | Оглавление: | 1 Область применения 2 Нормативные ссылки 3 Термины и определения 4 Сокращения и обозначения 4.1 Сокращения 4.2 Обозначения 5 Функциональная спецификация 5.1 Общие положения 5.2 Определение типа винтового насоса 5.3 Функциональные требования 5.4 Валидация проекта 5.5 Оценка функциональных характеристик 5.6 Уровни контроля качества 5.7 дополнительная документация 5.8 дополнительные требования 6 Технические требования 6.1 Общие положения 6.2 Технические характеристики 6.3 Критерии проектирования 6.4 Размеры 6.5 Оценка характеристики насоса 6.6 Верификация проекта 6.7 Валидация проекта 6.8 Оценка функциональных характеристик 6.9 допустимые изменения проекта 6.10 Масштабирование валидации проекта 7 Требования поставщика/изготовителя 7.1 Общие положения 7.2 документация и контроль данных 7.3 Идентификация изделия 7.4 Качество 7.5 Сертификация материалов 7.6 дополнительные процессы 7.7 Отслеживаемость 7.8 Поверка средств измерений 7.9 Контроль и испытания 7.10 Несоответствие производственных процессов 7.11 Претензии потребителя/заказчика 7.12 Функциональные испытания 8 Ремонт 9 Транспортировка, погрузка и хранение 9.1 Общие положения 9.2 Подготовка к транспортировке 9.3 Погрузка 9.4 Хранение Приложение A (обязательное) Требования к эластомерам винтовых насосов Приложение B (обязательное) Валидация проекта Приложение C (обязательное) Оценка функциональных характеристик Приложение D (справочное) Информация по выбору и испытаниям эластомеров винтовых насосов Приложение Е (справочное) Указания по установке Приложение F (справочное) Указания по эксплуатации Приложение G (справочное) Характеристики винтовых насосов Приложение Н (справочное) Образец функциональной спецификации Приложение I (справочное) Анализ после эксплуатации Приложение J (справочное) Выбор и применение колонны привода Приложение К (справочное) Ремонт и восстановление Приложение L (справочное) Вспомогательное оборудование Приложение ДА (справочное) Сведения о соответствии ссылочных национальных стандартов Российской Федерации международным и региональным стандартам, использованным в качестве ссылочных в примененном международном стандарте Библиография | | Разработан: | ООО ТЕХНОНЕФТЕГАЗ
| | Утверждён: | 22.11.2013 Федеральное агентство по техническому регулированию и метрологии (1888-ст)
| | Нормативные ссылки: |   ГОСТ 18863-89 «Насосы одновинтовые. Основные параметры»  ГОСТ 12329-77 «Нефтепродукты и углеводородные растворители. Метод определения анилиновой точки и ароматических углеводородов»  ГОСТ 13877-96 «Штанги насосные и муфты штанговые. Технические условия» ГОСТ 17398-72 «Насосы. Термины и определения»  ГОСТ 262-93 «Резина. Определение сопротивления раздиру (раздвоенные, угловые и серповидные образцы)»  ГОСТ 270-75 «Резина. Метод определения упругопрочностных свойств при растяжении» ГОСТ 27110-86 «Резина. Метод определения эластичности по отскоку на приборе типа Шоба» ГОСТ Р 50779.72-99 «Статистические методы. Процедуры выборочного контроля по альтернативному признаку. Часть 2. Планы выборочного контроля отдельных партий на основе предельного качества LQ»  ГОСТ Р 51161-2002 «Штанги насосные, устьевые штоки и муфты к ним. Технические условия»  ГОСТ Р ИСО 2859-10-2008 «Статистические методы. Процедуры выборочного контроля по альтернативному признаку. Часть 10. Введение в стандарты серии ГОСТ Р ИСО 2859»  ГОСТ Р 8.615-2005 «Государственная система обеспечения единства измерений. Измерения количества извлекаемых из недр нефти и нефтяного газа. Общие метрологические и технические требования»  ГОСТ Р ИСО 2859-4-2006 «Статистические методы. Процедуры выборочного контроля по альтернативному признаку. Часть 4. Оценка соответствия заявленному уровню качества» ГОСТ Р ИСО 2859-1-2007 «Статистические методы. Процедуры выборочного контроля по альтернативному признаку. Часть 1. Планы выборочного контроля последовательных партий на основе приемлемого уровня качества»  ГОСТ Р ИСО 6507-1-2007 «Металлы и сплавы. Измерение твердости по Виккерсу. Часть 1. Метод измерения»  ГОСТ Р ИСО 12100-1-2007 «Безопасность машин. Основные понятия, общие принципы конструирования. Часть 1. Основные термины, методология»  ГОСТ Р 53366-2009 «Трубы стальные, применяемые в качестве обсадных или насосно-компрессорных труб для скважин в нефтяной и газовой промышленности. Общие технические условия»  ГОСТ Р ИСО 2859-3-2009 «Статистические методы. Процедуры выборочного контроля по альтернативному признаку. Часть 3. Контроль с пропуском партий»  ГОСТ Р ИСО 7619-1-2009 «Резина вулканизованная или термопластичная. Определение твердости при вдавливании. Часть 1. Метод с применением дюрометра (твердость по Шору)»  ГОСТ Р ИСО 2859-5-2009 «Статистические методы. Процедуры выборочного контроля по альтернативному признаку. Часть 5. Система последовательных планов на основе AQL для контроля последовательных партий» ГОСТ Р 53554-2009 «Поиск, разведка и разработка месторождений углеводородного сырья. Термины и определения»  ГОСТ Р ИСО 9712-2009 «Контроль неразрушающий. Аттестация и сертификация персонала»  ГОСТ Р ИСО 1817-2009 «Резина. Определение стойкости к воздействию жидкостей»  ГОСТ Р 53679-2009 «Нефтяная и газовая промышленность. Материалы для применения в средах, содержащих сероводород, при добыче нефти и газа. Часть 1. Общие принципы выбора материалов, стойких к растрескиванию»  ГОСТ Р 53678-2009 «Нефтяная и газовая промышленность. Материалы для применения в средах, содержащих сероводород, при добыче нефти и газа. Часть 2. Углеродистые и низколегированные стали стойкие к растрескиванию и применение чугунов»  ГОСТ ИСО/МЭК 17025-2009 «Общие требования к компетентности испытательных и калибровочных лабораторий»  ГОСТ ISO 9000-2011 «Системы менеджмента качества. Основные положения и словарь» ГОСТ Р 55850-2013 «Нефтяная и газовая промышленность. Системы винтовых насосов для механизированной добычи. Часть 2. Установки насосные винтовые с наземным приводом. Общие технические требования»
|
                                                                                        
|