Скачать ГОСТ Р 56467-2015 Системы космические. Материалы порошковые металлические и металлические композиционные. Классификация. Номенклатура показателей

Дата актуализации: 01.01.2021

ГОСТ Р 56467-2015

Системы космические. Материалы порошковые металлические и металлические композиционные. Классификация. Номенклатура показателей

Обозначение: ГОСТ Р 56467-2015
Обозначение англ: GOST R 56467-2015
Статус:введен впервые
Название рус.:Системы космические. Материалы порошковые металлические и металлические композиционные. Классификация. Номенклатура показателей
Название англ.:Space systems. Powder metal and metal composite materials. Classification. Nomenclature of indices
Дата добавления в базу:12.02.2016
Дата актуализации:01.01.2021
Дата введения:01.01.2016
Область применения:Стандарт распространяется на порошковые металлические и металлические композиционные материалы (с металлической матрицей), получаемые методами порошковой (гранульной) металлургии, и устанавливает критерии их классификации, номенклатуру показателей свойств и классификацию методов испытаний в зависимости от назначения и применения в космических системах. Стандарт не распространяется на покрытия. Требования стандарта предназначены для применения конструктором космических систем при выборе материалов. Стандарт может быть использован при разработке стандартов на конкретные материалы, заготовки и полуфабрикаты, изготавливаемые методами порошковой (гранульной) металлургии.
Оглавление:1 Область применения
2 Нормативные ссылки
3 Термины и определения
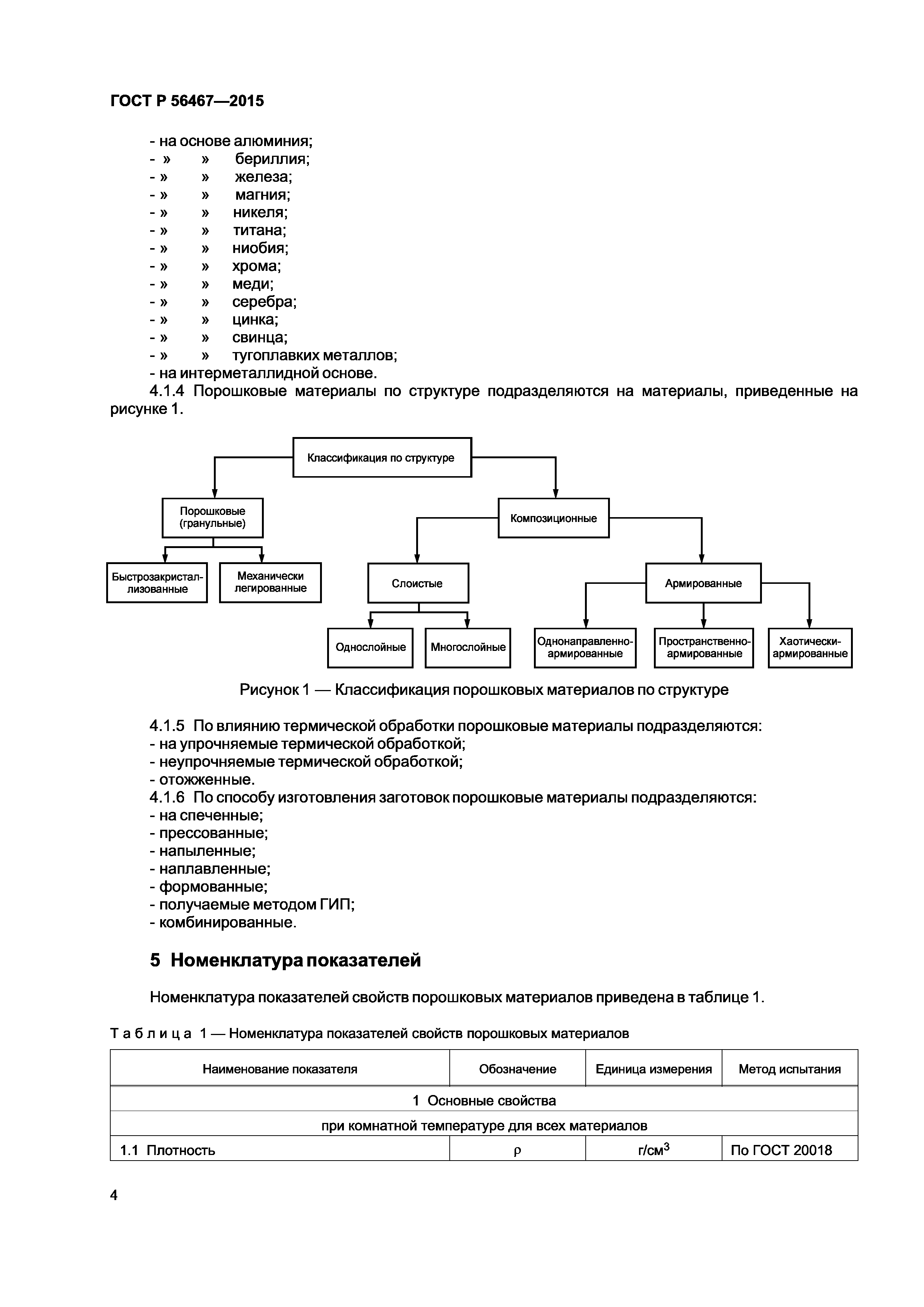
4 Классификация
5 Номенклатура показателей
6 Классификация методов испытаний
7 Отбор проб и образцов для испытаний
Разработан: ОАО Композит
Утверждён:15.06.2015 Федеральное агентство по техническому регулированию и метрологии (705-ст)
Издан: Стандартинформ (2015 г. )
Нормативные ссылки:
ГОСТ Р 56467-2015ГОСТ Р 56467-2015ГОСТ Р 56467-2015ГОСТ Р 56467-2015ГОСТ Р 56467-2015ГОСТ Р 56467-2015ГОСТ Р 56467-2015ГОСТ Р 56467-2015ГОСТ Р 56467-2015ГОСТ Р 56467-2015ГОСТ Р 56467-2015