Скачать ГОСТ 33258-2015 Арматура трубопроводная. Наплавка и контроль качества наплавленных поверхностей. Технические требованияДата актуализации: 01.01.2021
|
| Обозначение: | ГОСТ 33258-2015 |
| Обозначение англ: | GOST 33258-2015 |
| Статус: | введен впервые |
| Название рус.: | Арматура трубопроводная. Наплавка и контроль качества наплавленных поверхностей. Технические требования |
| Название англ.: | Pipeline valves. Surfacing and quality control of surfaced surfaces. Technical requirements |
| Дата добавления в базу: | 01.02.2017 |
| Дата актуализации: | 01.01.2021 |
| Дата введения: | 01.04.2016 |
| Область применения: | Стандарт распространяется на наплавку уплотнительных и других поверхностей твердыми износостойкими материалами, на наплавку уплотнительных и других поверхностей антикоррозионными материалами при изготовлении трубопроводной арматуры: - опасных производственных объектов; -атомных станций 4 класса безопасности; - других областей применения для различных рабочих сред. Стандарт устанавливает основные требования к наплавочным материалам, технологии наплавки, термообработке после наплавки, к контролю качества наплавленных поверхностей и нормам оценки качества, а также к исправлению дефектов при изготовлении арматуры и после ее эксплуатации. В стандарте приведены свойства наплавленного металла (физические свойства, химический состав, расчетные удельные нагрузки и другие характеристики наплавленного металла), необходимые для расчета при проектировании узлов затвора трубопроводной арматуры. Стандарт является руководящим документом для конструкторов, технологов, производственных и контрольных мастеров; сварщиков, выполняющих наплавку, и других лиц, связанных с проектированием, изготовлением и эксплуатацией трубопроводной арматуры. |
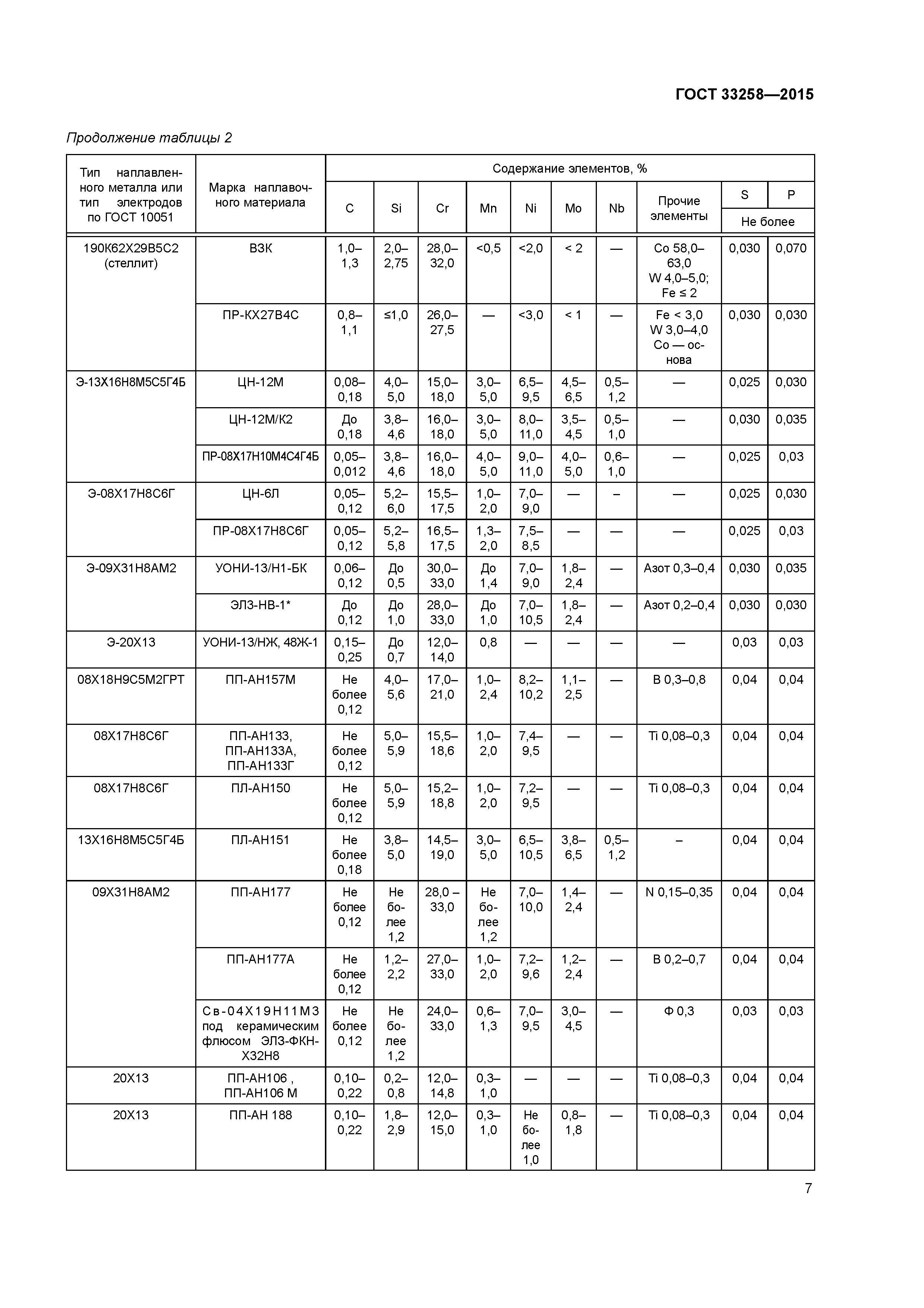
| Оглавление: | 1 Область применения 2 Нормативные ссылки 3 Термины, определения, обозначения и сокращения 4 Общие положения 5 Требования к основным материалам 6 Материалы для наплавки 6.1 Требования к наплавочным материалам 6.2 Входной контроль, хранение и порядок запуска в производство наплавочных материалов 7 Требования к квалификации сварщика по наплавке 8 Требования к оборудованию 9 Подготовка поверхности под наплавку 10 Наплавка твердыми износостойкими материалами 10.1 Общие требования 10.2 Электродуговая наплавка 10.3 Аргонодуговая наплавка прутками ВЗК и Пр-ВЗК 10.4 Газовая наплавка прутками ВЗК и Пр-ВЗК 10.5 Наплавка материалами типа 09Х31Н8АМ2 10.6 Наплавка типа 20Х13 на углеродистые стали 10.7 Наплавка типа 06Х20Н10М3Д3С4К 10.8 Автоматическая наплавка типа 08Х17Н8С6Г под легированным флюсом 10.9 Плазменная наплавка 10.10 Наплавка порошковыми проволоками (лентами) 10.11 Лазерная наплавка порошковыми материалами 11 Антикоррозионная наплавка 11.1 Антикоррозионная наплавка уплотнительных поверхностей, поверхностей разъема и подслоя 11.2 Исправление уплотнительных поверхностей литых деталей из коррозионно-стойких сталей 12 Термическая обработка деталей, наплавленных твердыми износостойкими материалами 13 Контроль качества и нормы оценки качества наплавленных поверхностей 14 Исправление дефектов 15 Ремонт наплавки после эксплуатации арматуры 15.1 Общие технологические указания по ремонту наплавленных поверхностей 15.2 Подготовка под наплавку 15.3 Ремонт единичных локальных участков наплавленных поверхностей 15.4 Термическая обработка после исправления деталей, наплавленных твердыми износостойкими материалами 15.5 Контроль качества и нормы оценки качества наплавленных поверхностей после исправления 16 Требования безопасности 17 Рекомендации по проектированию наплавленных уплотнительных и трущихся поверхностей арматуры Приложение А (рекомендуемое) Режимы имитационных технологических нагревов контрольных проб основного металла, подлежащего наплавке твердыми износостойкими материалами Приложение Б (рекомендуемое) Программы теоретической и практической подготовки сварщиков ручной и механизированной наплавки уплотнительных и трущихся поверхностей износостойкими и коррозионно-стойкими материалами трубопроводной арматуры Приложение В (справочное) Зарубежные наплавочные материалы для наплавки уплотнительных и направляющих поверхностей деталей арматуры, марки и основные характеристики Приложение Г (справочное) Виды дефектов в наплавленном металле, причины образования и методы их устранения Приложение Д (справочное) Характеристики наплавленного металла Приложение Е (рекомендуемое) Распределение твердости наплавки на запирающих элементах и седлах корпусов Библиография |
| Разработан: | ЗАО НПФ ЦКБА |
| Утверждён: | 27.03.2015 Межгосударственный Совет по стандартизации, метрологии и сертификации (Inter-Governmental Council on Standardization, Metrology, and Certification 76-П) 26.05.2015 Федеральное агентство по техническому регулированию и метрологии (442-ст) |
| Издан: | Стандартинформ (2016 г. ) |
| Нормативные ссылки: |
|
















































