Скачать ГОСТ 9561-2016 Плиты перекрытий железобетонные многопустотные для зданий и сооружений. Технические условия

Дата актуализации: 01.01.2021

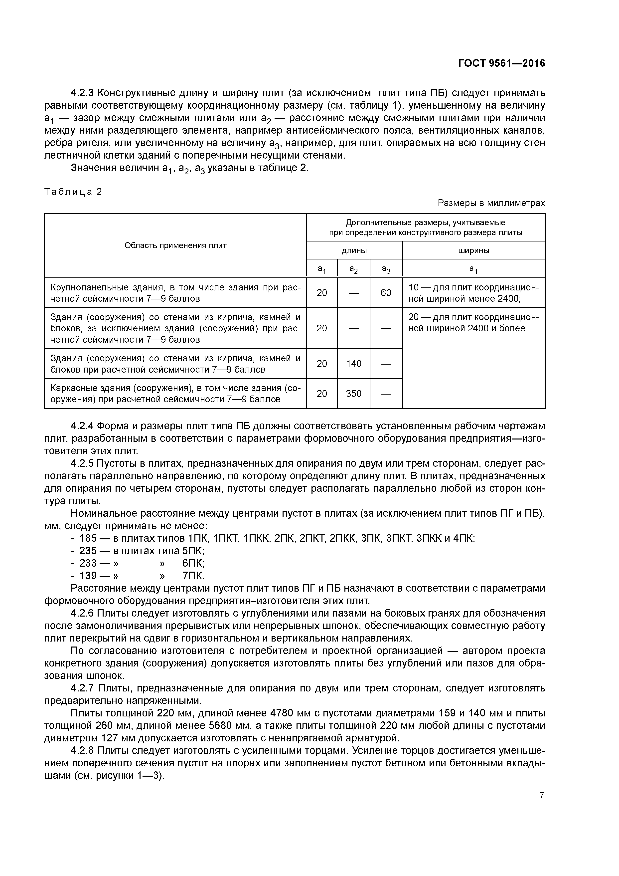
ГОСТ 9561-2016

Плиты перекрытий железобетонные многопустотные для зданий и сооружений. Технические условия

Обозначение: ГОСТ 9561-2016
Обозначение англ: GOST 9561-2016
Статус:взамен
Название рус.:Плиты перекрытий железобетонные многопустотные для зданий и сооружений. Технические условия
Название англ.:Reinforced concrete multihollow panels for floors in buildings and constructions. Specifications
Дата добавления в базу:01.02.2017
Дата актуализации:01.01.2021
Дата введения:01.06.2017
Область применения:Стандарт устанавливает основные параметры плит, общие технические требования к ним, общие правила их приемки, методы контроля и испытаний, правила транспортирования и хранения. Стандарт распространяется на железобетонные многопустотные плиты перекрытий, изготовляемые из тяжелого, легкого и плотного силикатного бетонов и предназначенные для несущей части перекрытий зданий и сооружений различного назначения.
Оглавление:1 Область применения
2 Нормативные ссылки
3 Термины и определения
4 Технические требования
5 Правила приемки плит
6 Методы контроля
7 Транспортирование и хранение
Приложение А (справочное) Перечень типоразмеров и серий рабочих чертежей плит массового применения
Приложение Б (рекомендуемое) Области применения плит различных типов
Библиография
Разработан: АО ЦНИИЭП жилища - институт комплексного проектирования жилых и общественных зданий
Утверждён:25.10.2016 Межгосударственный Совет по стандартизации, метрологии и сертификации (Inter-Governmental Council on Standardization, Metrology, and Certification 92-П)
18.11.2016 Федеральное агентство по техническому регулированию и метрологии (1709-ст)
Издан: Стандартинформ (2016 г. )
Заменяет собой:
Нормативные ссылки:
ГОСТ 9561-2016ГОСТ 9561-2016ГОСТ 9561-2016ГОСТ 9561-2016ГОСТ 9561-2016ГОСТ 9561-2016ГОСТ 9561-2016ГОСТ 9561-2016ГОСТ 9561-2016ГОСТ 9561-2016ГОСТ 9561-2016ГОСТ 9561-2016ГОСТ 9561-2016ГОСТ 9561-2016ГОСТ 9561-2016ГОСТ 9561-2016ГОСТ 9561-2016ГОСТ 9561-2016ГОСТ 9561-2016ГОСТ 9561-2016ГОСТ 9561-2016ГОСТ 9561-2016ГОСТ 9561-2016