Скачать ГОСТ Р 56590-2016 Плиты на основе пенополиизоцианурата теплозвукоизоляционные. Технические условияДата актуализации: 01.01.2021 ГОСТ Р 56590-2016
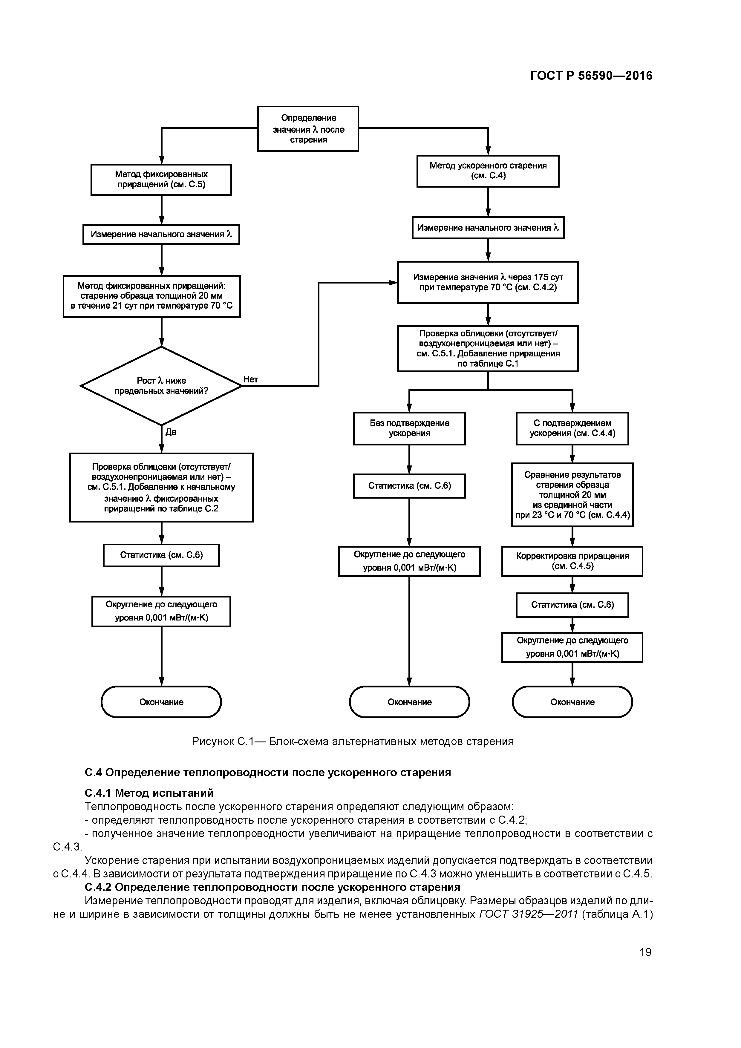
Плиты на основе пенополиизоцианурата теплозвукоизоляционные. Технические условия| Обозначение: | ГОСТ Р 56590-2016 | | Обозначение англ: | GOST R 56590-2016 | | Статус: | взамен | | Название рус.: | Плиты на основе пенополиизоцианурата теплозвукоизоляционные. Технические условия | | Название англ.: | Polyisocyanurate foam based thermal and sound insulation slabs. Specifications | | Дата добавления в базу: | 01.02.2017 | | Дата актуализации: | 01.01.2021 | | Дата введения: | 01.07.2017 | | Область применения: | Стандарт устанавливает требования к изделиям из пенополиизоцианурата с облицовкой или покрытием, или без них, применяемые для тепловой изоляции ограждающих конструкций зданий и сооружений. Изделия изготовляют в виде плит. | | Оглавление: | 1 Область применения 2 Нормативные ссылки 3 Термины, определения, обозначения и сокращения 4 Технические требования 5 Методы испытаний 6 Условные обозначения изделий 7 Оценка соответствия 8 Маркировка и этикетирование Приложение А (обязательное) Определение декларируемых значений термического сопротивления и теплопроводности Приложение В (обязательное) Первичные (типовые) испытания (IТТ) и контроль производственного процесса на предприятии (FPC) Приложение С (обязательное) Определение термического сопротивления и теплопроводности после старения Приложение D (обязательное) Многослойные теплоизоляционные изделия Приложение Е (справочное) Дополнительные показатели Приложение ДА (справочное) Сведения о соответствии ссылочных межгосударственных и национального стандартов европейским и международному стандартам, использованным в качестве ссылочных в примененном европейском стандарте Библиография | | Разработан: | ФГБУ НИИСФ РААСН Ассоциация НАППАН
| | Утверждён: | 18.11.2016 Росстандарт (1712-ст)
| | Заменяет собой: | | | Нормативные ссылки: |   ГОСТ 30244-94 «Материалы строительные. Методы испытаний на горючесть»  ГОСТ 12.1.044-89 «Система стандартов безопасности труда. Пожаровзрывоопасность веществ и материалов. Номенклатура показателей и методы их определения»  ГОСТ 30402-96 «Материалы строительные. Метод испытания на воспламеняемость»  ГОСТ 7076-99 «Материалы и изделия строительные. Метод определения теплопроводности и термического сопротивления при стационарном тепловом режиме»  ГОСТ Р ИСО 16269-6-2005 «Статистические методы. Статистическое представление данных. Определение статистических толерантных интервалов»  ГОСТ EN 1607-2011 «Изделия теплоизоляционные, применяемые в строительстве. Метод определения прочности при растяжении перпендикулярно к лицевым поверхностям»  ГОСТ EN 12087-2011 «Изделия теплоизоляционные, применяемые в строительстве. Методы определения водопоглощения при длительном погружении»  ГОСТ 31430-2011 «Изделия теплоизоляционные, применяемые в строительстве. Метод определения содержания органических веществ»  ГОСТ EN 12090-2011 «Изделия теплоизоляционные, применяемые в строительстве. Метод определения характеристик сдвига»  ГОСТ EN 1604-2011 «Изделия теплоизоляционные, применяемые в строительстве. Метод определения стабильности размеров при заданной температуре и влажности»  ГОСТ EN 1609-2011 «Изделия теплоизоляционные, применяемые в строительстве. Методы определения водопоглощения при кратковременном частичном погружении»  ГОСТ EN 12089-2011 «Изделия теплоизоляционные, применяемые в строительстве. Метод определения характеристик изгиба»  ГОСТ EN 822-2011 «Изделия теплоизоляционные, применяемые в строительстве. Методы определения длины и ширины»  ГОСТ EN 825-2011 «Изделия теплоизоляционные, применяемые в строительстве. Метод определения отклонения от плоскостности»  ГОСТ EN 1602-2011 «Изделия теплоизоляционные, применяемые в строительстве. Метод определения кажущейся плотности»  ГОСТ EN 824-2011 «Изделия теплоизоляционные, применяемые в строительстве. Метод определения отклонения от прямоугольности»  ГОСТ EN 823-2011 «Изделия теплоизоляционные, применяемые в строительстве. Метод определения толщины»  ГОСТ EN 826-2011 «Изделия теплоизоляционные, применяемые в строительстве. Методы определения характеристик сжатия»  ГОСТ 31704-2011 «Материалы звукопоглощающие. Методы измерения звукопоглощения в реверберационной камере»  ГОСТ 31705-2011 «Материалы звукопоглощающие, применяемые в зданиях. Оценка звукопоглощения»  ГОСТ EN 1606-2011 «Изделия теплоизоляционные, применяемые в строительстве. Метод определения ползучести при сжатии»  ГОСТ Р 1.5-2012 «Стандартизация в Российской Федерации. Стандарты национальные. Правила построения, изложения, оформления и обозначения» ГОСТ 25898-2012 «Материалы и изделия строительные. Методы определения паропроницаемости и сопротивления паропроницанию» ГОСТ EN 12086-2011 «Изделия теплоизоляционные, применяемые в строительстве. Метод определения характеристик паропроницаемости»  ГОСТ EN 12088-2011 «Изделия теплоизоляционные, применяемые в строительстве. Метод определения диффузионного влагопоглощения в течение длительного времени» ГОСТ EN 12091-2011 «Изделия теплоизоляционные, применяемые в строительстве. Метод определения морозостойкости»  ГОСТ EN 1605-2011 «Изделия теплоизоляционные, применяемые в строительстве. Метод определения деформации при заданной сжимающей нагрузке и температуре» ГОСТ 31924-2011 «Материалы и изделия строительные большой толщины с высоким и средним термическим сопротивлением. Методы определения термического сопротивления на приборах с горячей охранной зоной и оснащенных тепломером» ГОСТ 31915-2011 «Изделия теплоизоляционные. Оценка соответствия» ГОСТ 31925-2011 «Материалы и изделия строительные с высоким и средним термическим сопротивлением. Методы определения термического сопротивления на приборах с горячей охранной зоной и оснащенных тепломером» ГОСТ 27296-2012 «Здания и сооружения. Методы измерения звукоизоляции ограждающих конструкций» ГОСТ 24816-2014 «Материалы строительные. Метод определения равновесной сорбционной влажности»  Федеральный закон 162-ФЗ «О стандартизации в Российской Федерации»  ГОСТ Р 56590-2015 «Изделия из жесткого пенополиуретана теплоизоляционные заводского изготовления, применяемые в строительстве. Общие технические условия»
|
                                 
|