Скачать ГОСТ 33979-2016 Системы газораспределительные. Системы управления сетями газораспределенияДата актуализации: 01.01.2021
|
| Обозначение: | ГОСТ 33979-2016 |
| Обозначение англ: | GOST 33979-2016 |
| Статус: | введен впервые |
| Название рус.: | Системы газораспределительные. Системы управления сетями газораспределения |
| Название англ.: | Gas distribution systems. Management systems of gas distribution network |
| Дата добавления в базу: | 01.01.2018 |
| Дата актуализации: | 01.01.2021 |
| Дата введения: | 01.09.2017 |
| Область применения: | Стандарт устанавливает основные положения по организации системы управления сетями газораспределения на всех стадиях их жизненного цикла. Стандарт распространяется на системы управления сетями газораспределения, создаваемые или действующие в организациях, в собственности которых или на иных законных основаниях находятся сети газораспределения, а также создаваемые или действующие в организациях, оказывающих услуги по технической эксплуатации сетей газораспределения. Стандарт может быть также применен при управлении деятельностью по проектированию, строительству (реконструкции) и технической эксплуатации сетей газораспределения юридическими лицами и предпринимателями без образования юридического лица, а также заказчиками проектов строительства (реконструкции) объектов капитального строительства, подключаемых к сетям газораспределения. Стандарт может быть также применен при оценке качества и эффективности деятельности газораспределительных организаций. Стандарт не распространяется на управление объектами, которые не идентифицированы в качестве объектов технического регулирования. |
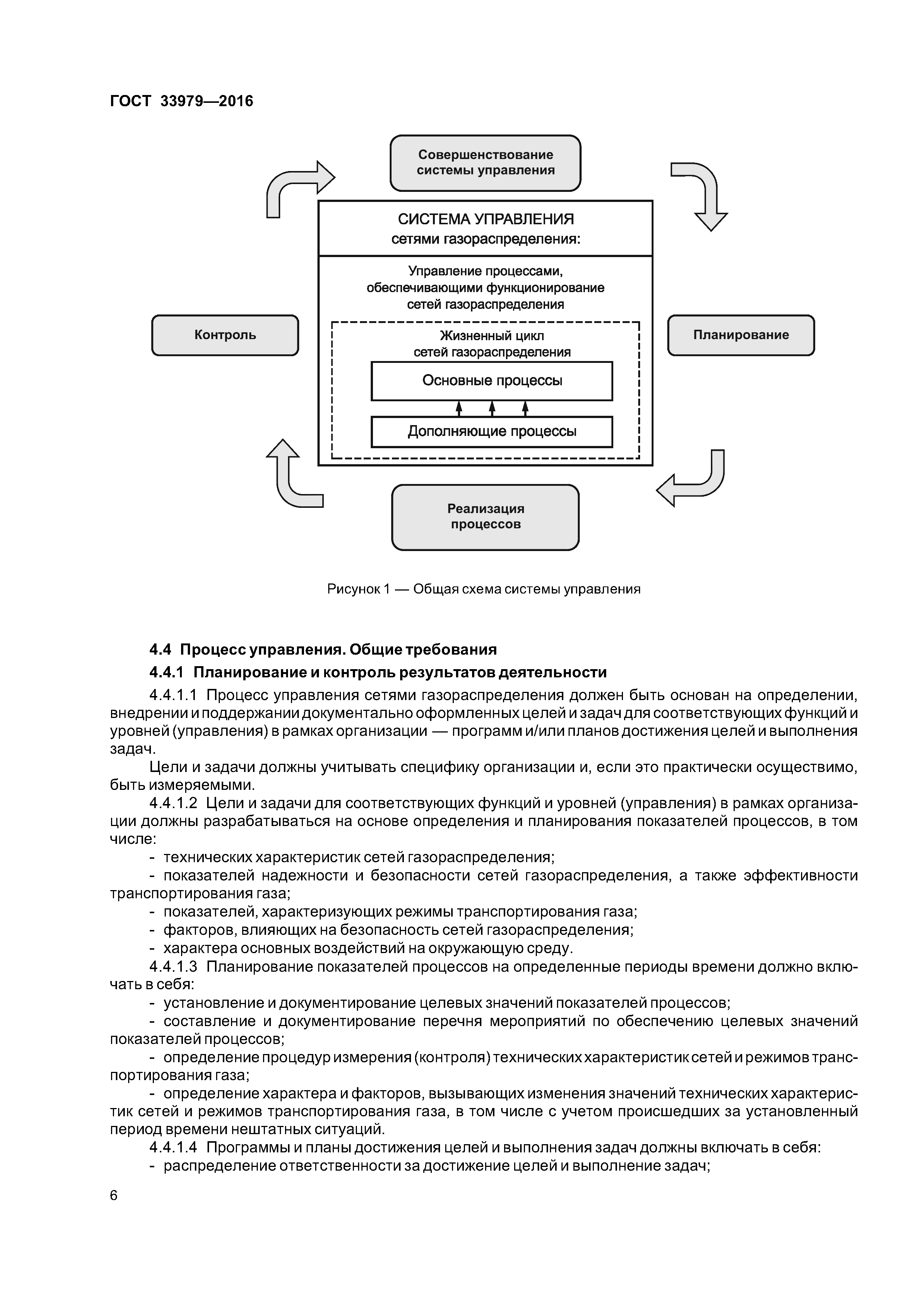
| Оглавление: | 1 Область применения 2 Нормативные ссылки 3 Термины и определения 4 Организация системы управления сетями газораспределения 4.1 Общие положения 4.2 Цель и задачи системы управления сетями газораспределения 4.3 Принципы построения системы управления сетями газораспределения 4.4 Процесс управления. Общие требования 4.5 Нормативно-правовое обеспечение управления сетями газораспределения 5 Проектирование сетей газораспределения 5.1 Принципы проектирования 5.2 Согласование, контроль и экспертиза 6 Строительство сетей газораспределения 6.1 Принципы строительства 6.2 Управление работами 6.3 Надзор за строительством 7 Ввод в эксплуатацию, вывод из эксплуатации, консервация, ликвидация сетей газораспределения 8 Техническая эксплуатация сетей газораспределения 8.1 Принципы эксплуатации 8.2 Мониторинг технического состояния 8.3 Техническое обслуживание и ремонт 8.4 Контроль и управление режимами транспортирования газа 8.5 Локализация и ликвидация аварий 9 Управление персоналом 9.1 Компетентность 9.2 Обучение и аттестация 9.3 Ответственность персонала 10 Материально-техническое обеспечение организации 10.1 Принципы материально-технического обеспечения 10.2 Организация закупок и хранения материально-технических ресурсов. 10.3 Контроль 11 Обеспечение взаимодействия с вовлеченными сторонами 11.1 Взаимодействие с потребителями и поставщиками газа 11.2 Взаимодействие с органами исполнительной власти 11.3 Взаимодействие с третьими лицами 12 Безопасность и охрана окружающей среды 12.1 Принципы обеспечения безопасности 12.2 Идентификация и анализ опасности 13 Анализ системы управления Библиография |
| Разработан: | АО Газпром газораспределение АО Газпром промгаз |
| Утверждён: | 08.12.2016 Межгосударственный Совет по стандартизации, метрологии и сертификации (Inter-Governmental Council on Standardization, Metrology, and Certification 50) 13.04.2017 Федеральное агентство по техническому регулированию и метрологии (280-ст) |
| Издан: | Стандартинформ (2017 г. ) |
| Нормативные ссылки: |
|






















