Скачать ГОСТ Р 58006-2017 Счетчики количества открываний для сейфов, хранилищ ценностей, взломостойких дверей. Технические требования и методы испытаний

Дата актуализации: 01.01.2021

ГОСТ Р 58006-2017

Счетчики количества открываний для сейфов, хранилищ ценностей, взломостойких дверей. Технические требования и методы испытаний

Обозначение: ГОСТ Р 58006-2017
Обозначение англ: GOST R 58006-2017
Статус:введен впервые
Название рус.:Счетчики количества открываний для сейфов, хранилищ ценностей, взломостойких дверей. Технические требования и методы испытаний
Название англ.:Counter of the number of opening for safes, value repository, wrapping doors. Technical requirements and test methods
Дата добавления в базу:01.01.2019
Дата актуализации:01.01.2021
Дата введения:01.01.2019
Область применения:Стандарт распространяется на счетчики количества открываний, предназначенные для учета и контроля событий получения доступа, как санкционированного, так и несанкционированного, для средств надежного хранения, включая: сейфы, шкафы сейфовые, сейфовые комнаты, хранилища ценностей, взломостойкие двери, металлические шкафы для хранения оружия, средства защиты банковские и другие средства хранения. Стандарт устанавливает технические требования к счетчикам и методам их контроля.
Оглавление:1 Область применения
2 Нормативные ссылки
3 Термины и определения
4 Общие положения
5 Технические требования
6 Методы испытаний
Приложение А (рекомендуемое) Протокол испытаний
Приложение Б (рекомендуемое) Перечень оборудования стандартной контрольно-измерительной аппаратуры, рекомендуемой для проверки и испытаний счетчиков
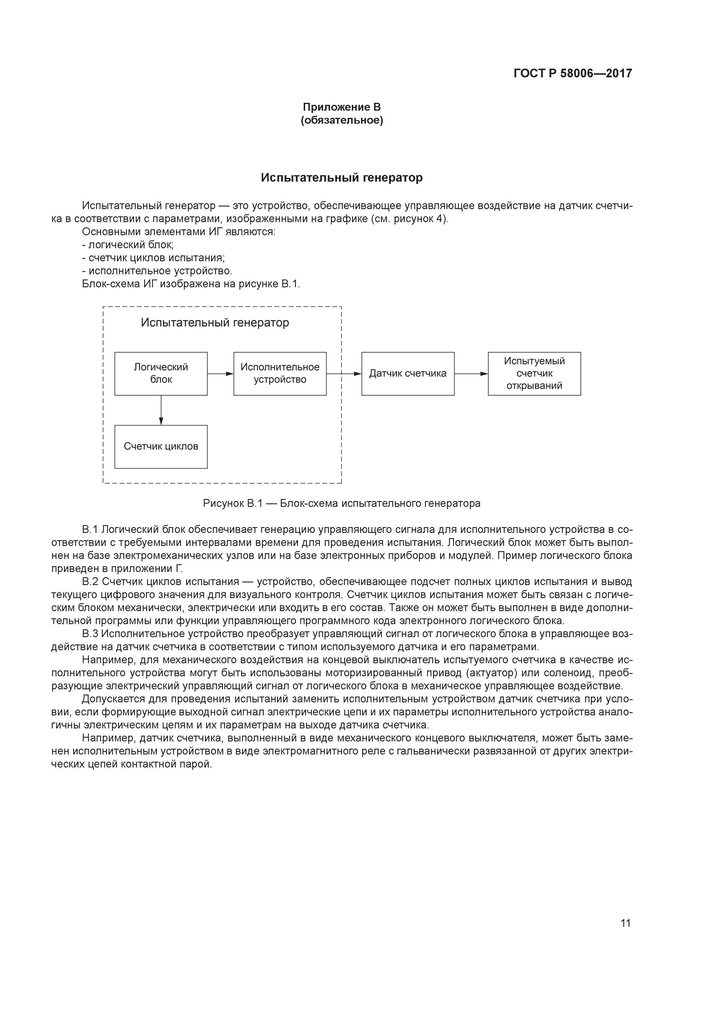
Приложение В (обязательное) Испытательный генератор
Приложение Г (справочное) Пример логического блока
Разработан: ООО НПО Промет
Утверждён:28.11.2017 Федеральное агентство по техническому регулированию и метрологии (1849-ст)
Издан: Стандартинформ (2018 г. )
Нормативные ссылки:
ГОСТ Р 58006-2017ГОСТ Р 58006-2017ГОСТ Р 58006-2017ГОСТ Р 58006-2017ГОСТ Р 58006-2017ГОСТ Р 58006-2017ГОСТ Р 58006-2017ГОСТ Р 58006-2017ГОСТ Р 58006-2017ГОСТ Р 58006-2017ГОСТ Р 58006-2017ГОСТ Р 58006-2017ГОСТ Р 58006-2017ГОСТ Р 58006-2017ГОСТ Р 58006-2017