Скачать ГОСТ 18327-2018 Ленты цинковые общего назначения. Технические условия

Дата актуализации: 01.01.2021

ГОСТ 18327-2018

Ленты цинковые общего назначения. Технические условия

Обозначение: ГОСТ 18327-2018
Обозначение англ: GOST 18327-2018
Статус:взамен
Название рус.:Ленты цинковые общего назначения. Технические условия
Название англ.:Zinc strips for general use. Specifications
Дата добавления в базу:01.02.2020
Дата актуализации:01.01.2021
Дата введения:01.03.2019
Область применения:Стандарт распространяется на цинковые ленты общего назначения, применяемые в электротехнической, автомобильной и других отраслях промышленности.
Оглавление:1 Область применения
2 Нормативные ссылки
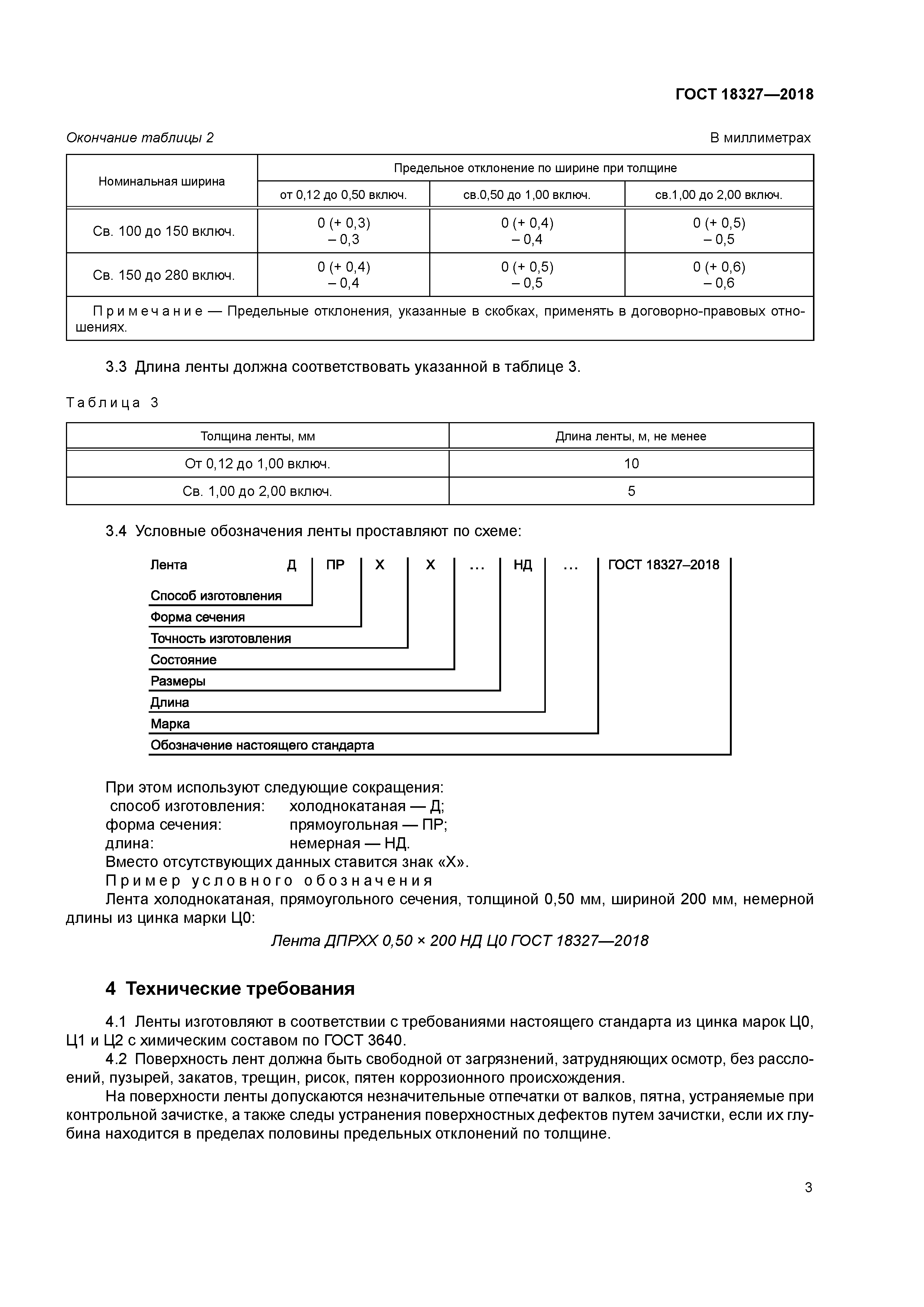
3 Сортамент
4 Технические требования
5 Правила приемки
6 Методы контроля и испытаний
7 Упаковка, маркировка, транспортирование и хранение
Приложение А (справочное) Толщина и теоретическая масса 1 м2 используемых лент
Разработан: ТК 106 Цветметпрокат
АО Институт Цветметобработка
Утверждён:30.04.2018 Межгосударственный Совет по стандартизации, метрологии и сертификации (Inter-Governmental Council on Standardization, Metrology, and Certification 108-П)
16.10.2018 Федеральное агентство по техническому регулированию и метрологии (774-ст)
Издан: Стандартинформ (2018 г. )
Заменяет собой:
Нормативные ссылки:
ГОСТ 18327-2018ГОСТ 18327-2018ГОСТ 18327-2018ГОСТ 18327-2018ГОСТ 18327-2018ГОСТ 18327-2018ГОСТ 18327-2018ГОСТ 18327-2018ГОСТ 18327-2018ГОСТ 18327-2018ГОСТ 18327-2018