Скачать ГОСТ Р ИСО/ТС 10303-1350-2019 Системы автоматизации производства и их интеграция. Представление данных об изделии и обмен этими данными. Часть 1350. Прикладной модуль. Инерционные характеристикиДата актуализации: 01.01.2021
|
| Обозначение: | ГОСТ Р ИСО/ТС 10303-1350-2019 |
| Обозначение англ: | GOST R ISO/TS 10303-1350-2019 |
| Статус: | введен впервые |
| Название рус.: | Системы автоматизации производства и их интеграция. Представление данных об изделии и обмен этими данными. Часть 1350. Прикладной модуль. Инерционные характеристики |
| Название англ.: | Industrial automation systems and integration. Product data representation and exchange. Part 1350. Application module. Inertia characteristics |
| Дата добавления в базу: | 01.02.2020 |
| Дата актуализации: | 01.01.2021 |
| Дата введения: | 01.10.2020 |
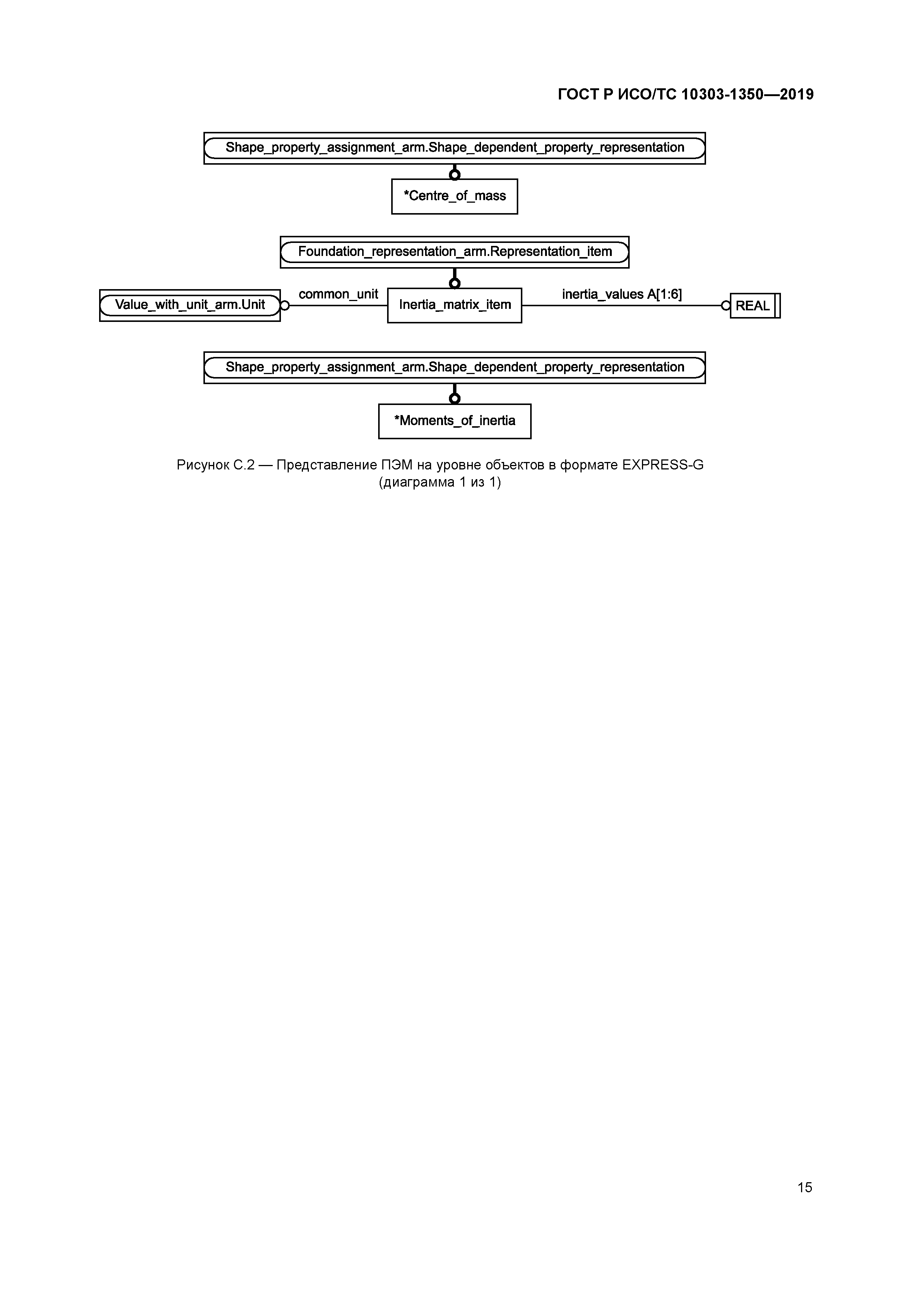
| Область применения: | Стандарт определяет прикладной модуль "Инерционные характеристики". Требования стандарта распространяются: - на центр массы; - моменты инерции; - элементы, входящие в область действия прикладного модуля ISO/TS 10303-1004 "Простейшие геометрические формы" ("Elemental geometric shape"); - элементы, входящие в область действия прикладного модуля в ISO/TS 10303-1032 "Задание характеристик формы" ("Shape property assignment"); - элементы, входящие в область действия прикладного модуля в ISO/TS 10303-1054 "Размерная величина" (Value with unit). |
| Оглавление: | 1 Область применения 2 Нормативные ссылки 3 Термины, определения и сокращения 4 Информационные требования 4.1 ПЭМ, необходимые для прикладного модуля 4.2 Определение объектов ПЭМ 5 Интерпретированная модель модуля 5.1 Спецификация отображения 5.2 Сокращенный листинг ИММ на языке EXPRESS Приложение A (обязательное) Сокращенные наименования объектов ИММ Приложение B (обязательное) Регистрация информационных объектов Приложение C (справочное) EXPRESS-G диаграммы ПЭМ Приложение D (справочное) EXPRESS-G диаграммы ИММ Приложение E (справочное) Машинно-интерпретируемые листинги Приложение F (справочное) История изменений Приложение ДА (справочное) Сведения о соответствии ссылочных международных стандартов и документов национальным стандартам Библиография |
| Разработан: | ООО Корпоративные электронные системы АО ВНИИС |
| Утверждён: | 03.10.2019 Федеральное агентство по техническому регулированию и метрологии (864-ст) |
| Издан: | Стандартинформ (2019 г. ) |
| Нормативные ссылки: |
|























