Скачать ГОСТ Р 58714-2019 Магистральный трубопроводный транспорт нефти и нефтепродуктов. Трубопроводы из гибких плоскосворачиваемых рукавов. Общие технические условия

Дата актуализации: 01.01.2021

ГОСТ Р 58714-2019

Магистральный трубопроводный транспорт нефти и нефтепродуктов. Трубопроводы из гибких плоскосворачиваемых рукавов. Общие технические условия

Обозначение: ГОСТ Р 58714-2019
Обозначение англ: GOST R 58714-2019
Статус:принят
Название рус.:Магистральный трубопроводный транспорт нефти и нефтепродуктов. Трубопроводы из гибких плоскосворачиваемых рукавов. Общие технические условия
Название англ.:Trunk pipeline transport of oil and oil products. Pipings made of flexible lay-flat hoses. General specifications
Дата добавления в базу:01.01.2021
Дата актуализации:01.01.2021
Дата введения:01.10.2021
Область применения:Стандарт распространяется на трубопроводы из гибких плоскосворачиваемых рукавов, предназначенных для временной транспортировки нефти, нефтепродуктов и других жидкостей.
Оглавление:1 Область применения
2 Нормативные ссылки
3 Термины и определения
4 Обозначения и сокращения
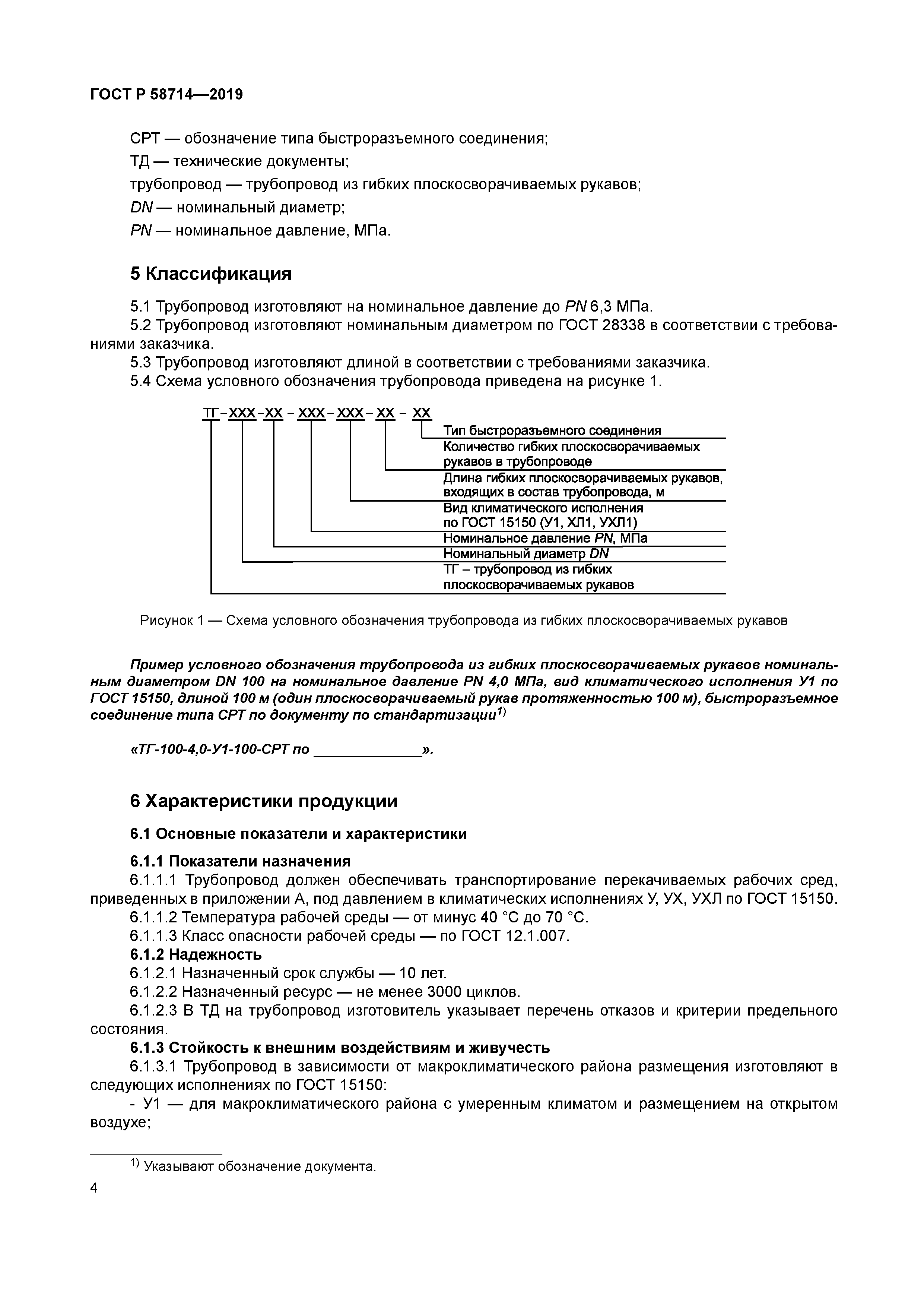
5 Классификация
6 Характеристики продукции
6.1 Основные показатели и характеристики
6.2 Требования к сырью, материалам, покупным изделиям
6.3 Комплектность
6.4 Маркировка
6.5 Упаковка
7 Требования безопасности
7.1 Общие положения
7.2 Безопасность при эксплуатации
7.3 Безопасность при транспортировании и хранении
8 Охрана окружающей среды
9 Правила приемки
9.1 Общие указания
9.2 Виды испытаний
9.3 Средства измерений и испытательное оборудование
9.4 Условия и порядок окончательной забраковки
10 Методы контроля
11 Транспортирование и хранение
12 Указания по эксплуатации
13 Гарантии изготовителя
Приложение А (справочное) Рабочие среды
Библиография
Разработан: ООО НИИ Транснефть
Утверждён:03.12.2019 Федеральное агентство по техническому регулированию и метрологии (1332-ст)
Издан: Стандартинформ (2019 г. )
Нормативные ссылки:
ГОСТ Р 58714-2019ГОСТ Р 58714-2019ГОСТ Р 58714-2019ГОСТ Р 58714-2019ГОСТ Р 58714-2019ГОСТ Р 58714-2019ГОСТ Р 58714-2019ГОСТ Р 58714-2019ГОСТ Р 58714-2019ГОСТ Р 58714-2019ГОСТ Р 58714-2019ГОСТ Р 58714-2019ГОСТ Р 58714-2019ГОСТ Р 58714-2019ГОСТ Р 58714-2019ГОСТ Р 58714-2019ГОСТ Р 58714-2019ГОСТ Р 58714-2019ГОСТ Р 58714-2019ГОСТ Р 58714-2019ГОСТ Р 58714-2019ГОСТ Р 58714-2019ГОСТ Р 58714-2019