Главная // Актуальные документы // Актуальные документы (обновление 2025.03.03-2025.03.29) // ГОСТ (Государственный стандарт)СПРАВКА
Источник публикации
М.: ФГБУ "Институт стандартизации", 2024
Примечание к документу
Документ
вводится в действие с 01.06.2025.
Название документа
"ГОСТ 33082-2024. Межгосударственный стандарт. Конструкции деревянные. Методы определения несущей способности узловых соединений"
(введен в действие Приказом Росстандарта от 05.12.2024 N 1850-ст)
"ГОСТ 33082-2024. Межгосударственный стандарт. Конструкции деревянные. Методы определения несущей способности узловых соединений"
(введен в действие Приказом Росстандарта от 05.12.2024 N 1850-ст)
агентства по техническому
регулированию и метрологии
от 5 декабря 2024 г. N 1850-ст
МЕЖГОСУДАРСТВЕННЫЙ СТАНДАРТ
КОНСТРУКЦИИ ДЕРЕВЯННЫЕ
МЕТОДЫ ОПРЕДЕЛЕНИЯ НЕСУЩЕЙ СПОСОБНОСТИ УЗЛОВЫХ СОЕДИНЕНИЙ
Timber structures. Methods of determining
the bearing capacity of the joints
ГОСТ 33082-2024
Дата введения
1 июня 2025 года
Цели, основные принципы и общие правила проведения работ по межгосударственной стандартизации установлены
ГОСТ 1.0 "Межгосударственная система стандартизации. Основные положения" и
ГОСТ 1.2 "Межгосударственная система стандартизации. Стандарты межгосударственные, правила и рекомендации по межгосударственной стандартизации. Правила разработки, принятия, обновления и отмены"
1 РАЗРАБОТАН Центральным научно-исследовательским, проектно-конструкторским и технологическим институтом им. В.А. Кучеренко (ЦНИИСК им. В.А. Кучеренко), отделением АО "НИЦ "Строительство"
2 ВНЕСЕН Техническим комитетом по стандартизации ТК 465 "Строительство"
3 ПРИНЯТ Межгосударственным советом по стандартизации, метрологии и сертификации (протокол от 29 ноября 2024 г. N 179-П)
За принятие проголосовали:
Краткое наименование страны по МК (ИСО 3166) 004-97 | Код страны по МК (ИСО 3166) 004-97 | Сокращенное наименование национального органа по стандартизации |
Армения | AM | ЗАО "Национальный орган по стандартизации и метрологии" Республики Армения |
Россия | RU | Росстандарт |
Узбекистан | UZ | Узбекское агентство по техническому регулированию |
4
Приказом Федерального агентства по техническому регулированию и метрологии от 5 декабря 2024 г. N 1850-ст межгосударственный стандарт ГОСТ 33082-2024 введен в действие в качестве национального стандарта Российской Федерации с 1 июня 2025 г.
Информация о введении в действие (прекращении действия) настоящего стандарта и изменений к нему на территории указанных выше государств публикуется в указателях национальных стандартов, издаваемых в этих государствах, а также в сети Интернет на сайтах соответствующих национальных органов по стандартизации.
В случае пересмотра, изменения или отмены настоящего стандарта соответствующая информация будет опубликована на официальном интернет-сайте Межгосударственного совета по стандартизации, метрологии и сертификации в каталоге "Межгосударственные стандарты"
Цель разработки настоящего стандарта - установление единых требований к методам испытаний узловых соединений деревянных конструкций, применяемых при проектировании и изготовлении строительных конструкций различного назначения.
Положения настоящего стандарта учитывают требования, содержащиеся в
[1] и
[2].
Регламентированные настоящим стандартом требования к испытаниям следует использовать при проведении испытаний новых проектных решений соединений, при их экспериментальной проверке, а также для контрольных испытаний соединений ответственных конструкций с целью проверки правильности расчетных предпосылок, технологичности и качества изготовления.
Настоящий стандарт разработан авторским коллективом АО "НИЦ "Строительство" - ЦНИИСК им. В.А. Кучеренко (заведующий лабораторией и руководитель работы - канд. техн. наук П.Н. Смирнов, ответственный исполнитель - канд. техн. наук Ю.Ю. Славик).
1.1 Настоящий стандарт распространяется на деревянные конструкции, воспринимающие при эксплуатации статические нагрузки, и устанавливает общие требования к методам кратковременных испытаний узловых соединений элементов конструкций (далее - соединения) с различными свойствами деформирования под нагрузкой при определении их несущей способности, жесткости и пластичности.
1.2 Регламентированные настоящим стандартом испытания следует использовать для типовых и новых проектных решений соединений при их экспериментальной проверке, а также для контрольных испытаний соединений ответственных конструкций с целью проверки правильности расчетных предпосылок, технологичности и качества изготовления соединений.
1.3 Положения настоящего стандарта учитывают требования, содержащиеся в
[1].
В настоящем стандарте использованы нормативные ссылки на следующие межгосударственные стандарты:
ГОСТ 166 (ИСО 3599-76) Штангенциркули. Технические условия
ГОСТ 427 Линейки измерительные металлические. Технические условия
ГОСТ 577 Индикаторы часового типа с ценой деления 0,01 мм. Технические условия
ГОСТ 3749 Угольники поверочные 90°. Технические условия
ГОСТ 8486 Пиломатериалы хвойных пород. Технические условия
ГОСТ 16588 (ИСО 4470-81) Пилопродукция и деревянные детали. Методы определения влажности
ГОСТ 18288 Производство лесопильное. Термины и определения
ГОСТ 20850 Конструкции деревянные клееные несущие. Общие технические условия
ГОСТ 26242 Системы числового программного управления. Преобразователи перемещений. Общие технические условия
ГОСТ 28840 Машины для испытания материалов на растяжение, сжатие и изгиб. Общие технические требования
ГОСТ 33080 Конструкции деревянные. Классы прочности конструкционных пиломатериалов и методы их определения
ГОСТ 33081 Конструкции деревянные клееные несущие. Классы прочности элементов конструкций и методы их определения
ГОСТ 33120 Конструкции деревянные клееные. Метод определения прочности клеевых соединений
Примечание - При пользовании настоящим стандартом целесообразно проверить действие ссылочных стандартов и классификаторов на официальном интернет-сайте Межгосударственного совета по стандартизации, метрологии и сертификации (www.easc.by) или по указателям национальных стандартов, издаваемым в государствах, указанных в предисловии, или на официальных сайтах соответствующих национальных органов по стандартизации. Если на документ дана недатированная ссылка, то следует использовать документ, действующий на текущий момент, с учетом всех внесенных в него изменений. Если заменен ссылочный документ, на который дана датированная ссылка, то следует использовать указанную версию этого документа. Если после принятия настоящего стандарта в ссылочный документ, на который дана датированная ссылка, внесено изменение, затрагивающее положение, на которое дана ссылка, то это положение применяется без учета данного изменения. Если ссылочный документ отменен без замены, то положение, в котором дана ссылка на него, применяется в части, не затрагивающей эту ссылку.
В настоящем стандарте применены термины по
ГОСТ 18288,
ГОСТ 20850, нормативным документам <1>, действующим на территории государства - участника Соглашения, принявшего настоящий стандарт, а также следующие термины с соответствующими определениями:
--------------------------------
<1> В Российской Федерации действует
ГОСТ Р 56705-2015 "Конструкции деревянные для строительства. Термины и определения".
3.1 соединение деревянной конструкции: Часть конструкции, соединяющая ее элементы и выполняющая определенные несущие функции.
3.2 несущая способность соединения: Предельные величины усилия (нагрузки) и деформаций, при которых не происходят разрушение или недопустимые деформации соединения.
3.3 эксплуатационная несущая способность соединения: Несущая способность с учетом величины и продолжительности действия эксплуатационных нагрузок.
3.4 деформирование узлового соединения: Зависимость взаимного смещения соединяемых элементов соединения от величины нагрузки.
3.5 нагельное узловое соединение: Соединение элементов узла с помощью нагелей из различных материалов цилиндрической или другой формы, устанавливаемых в сверленые или фрезерованные гнезда или вдавливаемых в древесину.
3.6 упругая деформация соединения: Величина взаимного смещения элементов соединения, линейно зависящая от нагрузки.
3.7 остаточная деформация соединения: Сохранившаяся величина взаимного смещения элементов соединения при одном или нескольких циклах приложения нагрузки на соединение после полного ее снятия.
3.8 жесткость соединения: Зависимость между нагрузкой и деформациями взаимного смещения соединяемых элементов в упругой зоне работы соединения.
3.9 пластичность соединения: Отношение между деформациями взаимного смещения соединяемых элементов соединения при максимальной нагрузке и деформациями при пределе упругой работы.
3.10
расчетная несущая способность соединения: Несущая способность испытанного соединения для режима нагружения А (линейно возрастающая нагрузка при стандартных машинных испытаниях) согласно
приложению А нормативного документа <2>, действующего на территории государства - участника Соглашения, принявшего настоящий стандарт.
--------------------------------
<2> В Российской Федерации действует
СП 64.13330.2017 "Актуализированная редакция СНиП II-25-80 Деревянные конструкции (с изменениями N 1, 2, 3)".
В настоящем стандарте применены основные обозначения согласно нормативным документам <3> действующим на территории государства - участника Соглашения, принявшего настоящий стандарт.
--------------------------------
<3> В Российской Федерации действует СП 64.13330.2017 "Актуализированная редакция СНиП II-25-80 Деревянные конструкции (с изменениями N 1, 2, 3)", (приложения Р,
таблица Р.1).
5.1 Требования стандарта распространяются на узлы деревянных конструкций с применением различных типов соединений деревянных элементов:
- клеевых (соединения древесины по пласти, зубчатые соединения, соединения на вклеенных и клеевинтовых металлических стержнях, в том числе с металлическими соединительными деталями);
- соединений на врубках;
- нагельных соединений (на цилиндрических и пластинчатых нагелях);
- соединений на механических связях (при помощи болтов, гвоздей, винтов, шурупов);
- соединений на шпонках (на деревянных пластинчатых и цилиндрических, металлических кольцевых и зубчатых);
- соединений на металлических зубчатых пластинах (МЗП) и металлических нагельных пластинах.
5.2 Испытания соединений предусматривают доведение их до разрушения испытательной нагрузкой с последующим определением их фактической экспериментальной несущей способности и сопоставление ее с контрольной несущей способностью, полученной по результатам расчетов.
5.3 В процессе проведения испытаний и анализа их результатов необходимо учитывать следующие группы и виды разрушения соединений.
5.4 Соединения деревянных конструкций по виду зависимости упругой деформации от прилагаемой нагрузки в диапазоне расчетной несущей способности подразделяют на две группы:
I - соединения с линейной зависимостью упругой деформации от нагрузки;
II - соединения с нелинейной зависимостью упругой деформации от нагрузки.
5.5 К группе I относят соединения: клеевые различных видов, в т.ч. на вклеенных и клеевинтовых металлических стержнях; на врубках; на деревянных цилиндрических и пластинчатых нагелях; на различных шпонках и вкладышах и т.п.
5.6 К группе II относят соединения: на металлических и пластмассовых нагелях в сверленые и фрезерованные гнезда; на гвоздях, шурупах и винтах, на МЗП, шайбах, кольцах и др., вдавливаемых в древесину.
5.7 Соединения деревянных конструкций подразделяют на соединения группы I, группы II и смешанные, в которых присутствуют соединения и I, и II групп.
5.8 Разрушения соединений подразделяют на два вида: пластическое и хрупкое. Если разрушение соединения при нагружении за пределом упругой работы Ne происходит с развитием нелинейных деформаций и их непрерывным ростом с незначительным увеличением нагрузки или без изменения ее величины, то разрушение относят к пластическому виду, а с незначительным ростом нелинейных деформаций и резким падением нагрузки - к хрупкому виду.
Соединения деревянных конструкций в зависимости от величины развития нелинейных деформаций подразделяют на следующие классы пластичности: непластичные, с низкой пластичностью, средней пластичностью и высокой пластичностью.
Для оценки класса пластичности соединений следует использовать коэффициент пластичности

, который определяется как отношение между деформациями сдвига при максимальной нагрузке и деформациями при пределе упругой работы.
Значения коэффициента пластичности

в зависимости от класса пластичности приведены в таблице 1.
Таблица 1
Классы пластичности соединений и соответствующие им значения  |
Непластичные | Низкая пластичность | Средняя пластичность | Высокая пластичность |
| | | |
5.9 К пластическому виду разрушения следует относить разрушения от сжатия, смятия вдоль или поперек волокон в зоне соединительных элементов, происходящие, как правило, в нагельных и других вдавливаемых соединениях, а также разрушение от нелинейного деформирования стальных соединительных деталей и крепежных изделий.
К хрупкому виду разрушения относят разрушение от скалывания вдоль волокон или под углом к волокнам, от раскалывания с отрывом поперек волокон и др. В процессе испытаний разрушение может произойти как по соединению, например по крепежным изделиям или стальным соединительным деталям, так и по древесине за пределами соединения.
5.10 При испытаниях следует учитывать временной режим приложения нагрузки, т.к. сопротивление и деформации древесины значительно меняются от продолжительности силового воздействия, а контрольная разрушающая нагрузка должна быть определена с учетом продолжительности действия нагрузки при машинных испытаниях.
5.11 Определение несущей способности соединений необходимо осуществлять по схемам испытаний образцов, максимально близким к схемам работы соединений в натурных конструкциях.
Для этого необходимо использовать стандартизованные схемы испытаний, приведенные в
ГОСТ 33080,
ГОСТ 33081,
ГОСТ 33120, а также в нормативных документах <1>, действующих на территории государства - участника Соглашения, принявшего настоящий стандарт.
--------------------------------
<1> В Российской Федерации действуют
ГОСТ Р 57157-2016/EN 1075:1999 "Конструкции деревянные. Методы испытаний соединения на металлических зубчатых пластинах",
ГОСТ Р 57183-2016/EN 383:2007 "Конструкции деревянные. Методы определения прочности на смятие и коэффициента жесткости основания для крепежей нагельного типа",
ГОСТ Р 58559-2019 "Конструкции деревянные. Металлические зубчатые шпонки. Методы испытаний",
ГОСТ Р 58562-2019 "Конструкции деревянные. Металлические кольцевые шпонки. Методы испытаний",
ГОСТ Р 56711-2015 "Соединения нагельного типа для деревянных конструкций. Технические условия",
ГОСТ Р 56710-2015 "Соединения на вклеенных стержнях для деревянных конструкций. Технические условия",
ГОСТ Р 70069-2022 "Металлические зубчатые пластины для соединений элементов деревянных конструкций. Конструкция и размеры. Технические требования",
ГОСТ Р 58558-2019 "Конструкции деревянные. Вклеенные стержни. Методы испытаний по определению нормативных значений механических характеристик",
СП 64.13330.2017 "Актуализированная редакция СНиП II-25-80* Деревянные конструкции",
ГОСТ Р 57786-2024 "Конструкции деревянные клееные несущие. Визуальная сортировка слоев по классам прочности".
6 Методы определения несущей способности соединений
6.1 Методы испытаний соединений должны быть назначены в зависимости от следующих поставленных целей:
- детальное изучение новых типов соединений с определением процесса деформирования, их группы, вида разрушения, расчетной несущей способности, жесткости и класса пластичности;
- контрольные испытания соединений с определением их соответствия требованиям по несущей способности;
- определение фактической несущей способности и сопоставление ее с проектными значениями, полученными на основании расчетов;
- определение нормируемых значений несущей способности типовых соединений, необходимых при проектировании конструкций;
- определение расчетной несущей способности соединений для режимов нагружения Б - Ж и К согласно
приложению А.
6.2 Расчетная несущая способность испытанного соединения II группы, определяемая прочностью и деформативностью деревянных элементов и соединений на нагелях, устанавливается путем деления разрушающей нагрузки или нагрузки, соответствующей верхней границе упругих деформаций, на коэффициент безопасности, учитывающий разброс опытных значений, характер разрушений соединений и продолжительность испытаний.
Расчетная несущая способность испытанного соединения, определяемая прочностью и деформативностью соединительных деталей и крепежных изделий (кроме нагельных) из стали и других материалов, устанавливается путем деления разрушающей нагрузки или нагрузки, соответствующей упругой работе соединения, на коэффициент надежности по материалу для не деревянных частей соединения.
6.3 Приложение нагрузки на образцы и запись деформаций при испытаниях должны проводиться по диаграммам (схемам приложения нагрузки), приведенным в
приложении Б настоящего стандарта.
6.4 При изучении новых типов соединений испытания следует проводить по схеме ступенчатого приложения нагрузки на образец с разгрузкой (см.
рисунки Б.2 и
Б.3) с записью его деформаций с параметрами по
рисунку Б.4.
6.5 Остальные методы испытаний соединений (контрольные, определение фактической несущей способности и ее нормативных значений) необходимо осуществлять по схемам с непрерывно возрастающей нагрузкой (см.
рисунок Б.1).
7 Образцы для проведения испытаний
7.1 Для испытаний новых типовых соединений преимущественно используют образцы соединений натурных размеров. Для контрольных испытаний следует использовать образцы в виде фрагментов узлов с проектными размерами. Допускается использовать для образцов физическое моделирование.
7.2 Деревянные элементы испытуемых образцов изготавливают из пиломатериалов хвойных пород заданного сорта по
ГОСТ 8486 или класса прочности по
ГОСТ 33080 с влажностью древесины, установленной в проектной документации. Влажность элементов новых видов соединений или соединений для определения нормативной несущей способности должна быть (12 +/- 2)% и измеренной по
ГОСТ 16588. Для этого перед испытаниями они должны быть выдержаны в помещении при влажности воздуха (65 +/- 5)% и температуре (20 +/- 2) °C.
Элементы соединений должны быть изготовлены по требованиям, указанным в рабочих чертежах на конструкции.
7.3 Изготовление образцов соединений должно быть осуществлено с учетом принятых схем испытаний. Схемы испытаний должны быть выбраны для обеспечения работы соединения при основных видах напряженного состояния: растяжении, сжатии, сдвиге, в т.ч. под различными углами между усилием и направлением волокон древесины.
Схема испытаний должна максимально соответствовать действительной работе соединения в конструкции.
7.4 После изготовления образцы перед испытаниями должны быть паспортизованы с детальной фиксацией размеров и схемы испытаний, описанием свойств древесины (влажность, плотность, характеристика годичных колец и др.) и пороков (сучки, трещины и др.).
На каждый образец должна быть нанесена маркировка, указывающая номер и характеристику образца.
7.5 При выборе схемы и проведении испытаний особое внимание должно быть уделено передаче усилия на образец: при схеме испытаний на сжатие в опорных участках следует использовать стальные опорные подкладки, призмы или шаровые элементы для исключения смятия древесины и обеспечения приложения силы в фиксированные точки; при схеме испытаний на растяжение должно быть исключено проскальзывание образца в захватах испытательной машины путем использования клиновидных захватов, а также вставок или приспособлений, компенсирующих обжатие древесины до 10% по толщине.
7.6 Число испытуемых образцов устанавливают в зависимости от целей конкретных испытаний.
При первичных испытаниях новых типов соединений и установлении их несущей способности должно быть испытано не менее трех образцов.
При испытании типовых соединений с целью установления расчетной несущей способности их число должно быть не менее 5 шт. для возможности проведения достоверной статистической обработки результатов испытаний.
Для контрольных испытаний допускается использовать один образец.
7.7 В случае, когда требуется установить расчетную несущую способность соединения с соединительными деталями и крепежными изделиями из стали или других материалов для режимов нагружения Б - Ж, К и Л согласно
приложению А, определяемую прочностью и деформативностью древесины, при испытаниях детали и крепежные элементы должны быть усилены, так как коэффициент надежности для деревянных элементов соединения при этих режимах выше, чем для его не деревянных рабочих частей.
При отсутствии возможности усиления соединительных деталей и крепежных изделий или в случае, когда требуется установить наименьшую расчетную несущую способность соединения, определяемую из условия прочности и деформативности деревянных элементов или соединительных деталей и крепежных изделий, испытания необходимо выполнять в два этапа.
На первом этапе должна быть установлена расчетная несущая способность соединения, определяемая прочностью и деформативностью крепежного изделия в деревянном элементе с разрушением по древесине.
На втором этапе должно быть испытано узловое соединение в сборе и установлена его расчетная несущая способность.
Наименьшая из установленных на двух этапах испытаний расчетных значений несущей способности должна приниматься за расчетную несущую способность соединения для режимов нагружения Б - Ж, К и Л согласно
приложению А.
8 Применяемые оборудование и средства измерения при проведении испытаний
8.1 Для проведения испытаний необходимо применять следующие испытательное оборудование, средства измерения и ручной инструмент:
- испытательные машины или стенды, обеспечивающие приложение нагрузки в заданном режиме на испытуемый образец;
- средства измерения: линейных перемещений, деформаций, напряжений, влажности древесины образцов, текущего времени при проведении испытаний, температуры и относительной влажности окружающей среды помещения, где проводятся испытания;
- средства автоматизированной обработки и преобразования перемещений в графические результаты испытаний;
- ручные измерительные инструменты линейных размеров испытуемых образцов.
8.2 Все средства измерения должны соответствовать требованиям нормативных документов <1>, действующих на территории государства - участника Соглашения, принявшего настоящий стандарт, и проводить замеры деформаций с точностью не более 0,01 мм.
--------------------------------
<1> В Российской Федерации действует
ГОСТ Р 8.674-2009 "Государственная система обеспечения единства измерений. Общие требования к средствам измерений и техническим системам и устройствам с измерительными функциями".
8.3 Испытательные машины должны соответствовать требованиям
ГОСТ 28840, иметь погрешность измерения нагрузки не более 1%.
Машины должны быть аттестованы согласно требованиям нормативных документов <2>, действующих на территории государства - участника Соглашения, принявшего настоящий стандарт.
--------------------------------
<2> В Российской Федерации действует
ГОСТ Р 8.568-2017 "Государственная система обеспечения единства измерений. Аттестация измерительного оборудования. Основные положения".
8.4 Средства автоматизированной обработки и преобразования перемещений должны соответствовать требованиям ГОСТ 26242.
8.5 Датчики силы и датчики перемещений с погрешностью не более +/- 1% с периодической их поверкой согласно требованиям нормативных документов
<1>, действующих на территории государства - участника Соглашения, принявшего настоящий стандарт.
8.6 В качестве средств измерения следует использовать:
- индикатор часового типа с ценой деления 0,01 по
ГОСТ 577;
- влагомер для определения влажности древесины образцов с погрешностью не более +/- 2% с периодической их поверкой согласно требованиям нормативных документов
<1>, действующих на территории государства - участника Соглашения, принявшего настоящий стандарт;
- секундомер с точностью замера не более 1 с при их аттестации по требованиям нормативных документов <3>, действующих на территории государства - участника Соглашения, принявшего настоящий стандарт;
--------------------------------
<3> В Российской Федерации действует
ГОСТ Р 8.881-2015 "Государственная система обеспечения единства измерений. Влагомеры древесины и пиломатериалов. Методика поверки".
- приборы для измерения температуры и влажности воздуха, поверенные по системе поверки согласно требованиям нормативных документов <4>, действующих на территории государства - участника Соглашения, принявшего настоящий стандарт.
--------------------------------
| | ИС МЕГАНОРМ: примечание. В официальном тексте документа, видимо, допущена опечатка: имеется в виду ГОСТ 8.558-2009, а не ГОСТ Р 8.558-2009. | |
<4> В Российской Федерации действует
ГОСТ Р 8.558-2009 "Государственная система обеспечения единства измерений. Государственная поверочная схема для средств измерений температуры".
8.7 В качестве ручного измерительного инструмента линейных размеров испытуемых образцов следует использовать, например:
- штангенциркуль по
ГОСТ 166 с погрешностью измерения не более 0,1 мм;
- микрометр по
ГОСТ 6507 с погрешностью измерения не более 0,01 мм;
- измерительную линейку с точностью измерения до 1 мм по
ГОСТ 427;
8.8 При испытаниях также следует использовать приспособления для зажима образцов и передачи на них нагрузки для обеспечения неизменности и безопасности схемы проведения испытаний.
9 Порядок проведения испытаний
9.1 Порядок проведения испытаний зависит от выбранного метода испытаний согласно требованиям
раздела 6.
9.2 При нагружении образца непрерывно или равными ступенями (см.
рисунок Б.1) прикладывать нагрузку следует с постоянной скоростью в пределах от 2 до 10 мм/мин, величину ступени назначают от 0,08 до 0,10 ожидаемой величины разрушающего усилия
Nmax, значение которого определяют пробными испытаниями до разрушения идентичных образцов соединений или расчетом.
Испытания с периодической разгрузкой для определения остаточной деформации в машинах, имеющих маятниковый силоизмеритель с демпфером, допускаются только при выключенном демпфере.
В процессе испытаний фиксируют значения нагрузок, показатели деформаций на каждой ступени (полной деформации
dп и остаточной
dо, см.
рисунок Б.3), а также разрушающую нагрузку
Nmax и соответствующие ей деформации
dmax, текущее время и общую продолжительность испытаний
tmax.
При ручной записи деформаций по показаниям индикаторов следует дополнительно фиксировать время
t2, затраченное на съем показаний приборов [см.
рисунок Б.1б)].
9.3 Приборы для измерения осевых деформаций соединения (датчики, индикаторы) должны быть установлены симметрично с обеих сторон образца.
9.4 В процессе испытаний ступенчатой нагрузкой с разгрузкой (см.
рисунок Б.2) в журнале испытаний (см.
В.2) следует фиксировать: значения величины нагрузки на каждой ступени
Nn, разрушающую нагрузку
Nmax, величины замера деформаций (см.
рисунок Б.4), а также продолжительность времени возрастания нагрузки
t1 на каждой ступени и общую продолжительность испытаний
tmax до момента разрушения образца.
9.5 Кроме фиксации вышеуказанных отсчетов в процессе испытаний проводят наблюдения (с записью в журнале) (см.
приложение Г) за различными изменениями в образце (появление треска, трещин, смятия, перекосов и др.).
После разрушения образца описывают характер разрушения соединения.
Процесс испытаний и характер разрушения следует также фиксировать путем фотосъемки для приложения фотографий к отчету об испытаниях.
10 Обработка результатов испытаний
10.1 Определение деформаций соединений
10.1.1 По записанным в журнале испытаний показаниям приборов вычисляют:
- полные деформации и их разности при испытаниях с непрерывным приложением нагрузки;
- остаточные за цикл и упругие деформации при испытаниях с периодической разгрузкой.
По этим данным строят диаграммы зависимостей деформаций (см.
Б.2) и определяют предел упругой работы соединений
Ne. Для соединений, испытанных непрерывно возрастающей нагрузкой,
Ne определяют из построенной диаграммы зависимости разностей полных деформаций

от нагрузки
N, а для соединений, испытанных ступенчатой нагрузкой с разгрузкой на каждой ступени, - из построенной диаграммы зависимости остаточных деформаций за цикл
dо от упругой деформации
dу.
10.1.2 Значение Ne определяют по диаграмме по точке отклонения изменения деформаций от линейной зависимости. Это значение учитывают при оценке несущей способности соединений группы II.
Упругие деформации соединений группы I определяют по пределу упругости по диаграмме деформаций при испытаниях непрерывно возрастающей нагрузкой.
10.2 Оценка несущей способности соединений с разрушением по деревянным элементам
10.2.1 Оценку несущей способности соединения проводят при использовании модели ее зависимости от длительности действия нагрузки согласно
приложению В на основании сопоставления фактической (полученной при испытаниях) несущей способности
Texp с несущей способностью
Td, установленной на основании расчетов при проектировании соединения, в соответствии с неравенством

. (1)
Несущая способность соединения Texp устанавливается на основании разрушающей нагрузки Nmax, приведенной к неизменному действию непрерывно возрастающей нагрузки по формуле

, (2)
где
kt - коэффициент, учитывающий приведенное расчетное время действия нагрузки при испытании
<1>, определяемый по формуле

, (3)
где t(u) - продолжительность испытаний, приведенная к неизменному действию нагрузки, с, определяемая по формуле

, (4)
где
tmax - время доведения нагрузки до разрушающей, с (см.
Б.1).
При нагружении с периодической разгрузкой tmax определяют по формуле
tmax = n2tn, (5)
где n - число ступеней нагружения до разрушения;
tn - продолжительность изменения усилия на величину одной ступени, с.
10.2.2 Расчетная несущая способность соединения Tрасч соединения I группы устанавливается на основании несущей способности соединения Texp по формуле

, (6)
где
kб - коэффициент безопасности соединения, учитывающий согласно
приложению В ограниченное количество испытуемых образцов
kv и характер их разрушения
kр определяемый по формуле
kб = kvkр, (7)
где
kv - коэффициент, учитывающий вероятностную составляющую испытаний (см.
приложение В);
kр - коэффициент, учитывающий характер разрушения (см.
приложение В).
Для соединений II группы определение расчетной несущей способности следует выполнять по
формуле (6) с дополнительной проверкой по неравенству

, (8)
где Ne - нагрузка, соответствующая пределу упругой работы соединения.
При невыполнении
неравенства (8) расчетная несущая способность соединения II группы снижается до величины 1,15
Ne.
10.2.3 Расчетную несущую способность соединения
Tрасч(э) для режимов нагружения Б - М <1>, учитывающих расчетное время действия эксплуатационных нагрузок, следует определять с учетом коэффициента длительной прочности
mдл по формуле
--------------------------------
<1> В Российской Федерации применяют режим нагружения "А" по СП 64.13330.2017 "Актуализированная редакция СНиП II-25-80 Деревянные конструкции"
(таблица 4).
Tрасч(э) = Tрасчmдл, (9)
где mдл - коэффициент длительной прочности.
Для нового типа соединения расчетная несущая способность Tрасч(э), определяемая прочностью и деформативностью (с учетом ползучести), должна устанавливаться на основании коэффициента mдл, определяемого по результатам испытаний соединения при длительном действии нагрузки.
10.3 Оценка несущей способности соединений с разрушением по соединительным деталям и крепежным изделиям
10.3.1 Несущая способность испытанного соединения, определяемая прочностью и деформативностью стальных соединительных деталей и крепежных изделий <1>, устанавливается по формуле
--------------------------------
<1> В Российской Федерации действует СП 16.13330.2017 "Актуализированная редакция СНиП II-23-81 Стальные конструкции"
(раздел 6).

, (10)
где Ne - нагрузка, соответствующая пределу упругой работы соединения;

- коэффициент надежности по материалу <2>;
--------------------------------
<2> В Российской Федерации действует СП 16.13330.2017 "Актуализированная редакция СНиП II-23-81 Стальные конструкции"
(таблица 3).
Tрасч(э) - расчетная несущая способность соединения, определяемая согласно
10.2.3.
10.3.2 При назначении стали для соединений следует учитывать требования нормативного документа <3>, действующего на территории государства - участника Соглашения, принявшего настоящий документ.
--------------------------------
<3> В Российской Федерации действует СП 16.13330.2017 "Актуализированная редакция СНиП II-23-81 Стальные конструкции" (
раздел 5,
приложение В).
10.3.3 Для соединений с применением соединительных деталей и крепежных изделий не из стали, например из алюминия, стеклопластика и др., определение несущей способности должно выполняться по
формуле (10) с учетом коэффициентов надежности для этих материалов.
10.4 Оценка жесткости и пластичности соединений по результатам испытаний
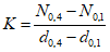
10.4.1 Коэффициент жесткости K в упругой зоне работы соединений определяется по формуле

, (11)
где N0,1 и N0,4 - величины нагрузки, соответствующие уровню 10% и 40% от разрушающей нагрузки, соответственно;
d0,1 и d0,4 - величины деформаций, соответствующие уровню нагружения 10% и 40% от разрушающей нагрузки, соответственно.
10.4.2 Коэффициент пластичности

для соединений определяется по формуле

, (12)
где de - величина деформации соединения, соответствующая пределу его упругой работы;
dmax - величина деформации при разрушающей нагрузке.
(обязательное)
РЕЖИМЫ НАГРУЖЕНИЯ СОЕДИНЕНИЙ
Расчетную несущую способность соединения следует определять с учетом режима нагружения по таблице А.1, учитывающего расчетное время действия нагрузки.
Таблица А.1
Обозначение режимов нагружения | Характеристика режимов нагружения | Приведенное расчетное время действия нагрузки, с | Коэффициент длительной прочности mдл |
А | Линейно возрастающая нагрузка при стандартных машинных испытаниях | 1 - 10 | 1,0 |
Б | Совместное действие постоянной и длительной временной нагрузок, напряжение от которых превышает 80% полного напряжения в элементах конструкций от всех нагрузок | 108 - 109 | 0,53 |
В | Совместное действие постоянной, длительной временной нагрузок и нагрузок от людей на перекрытия жилых и общественных зданий | 106 - 107 | 0,667 |
Г | Совместное действие постоянной и снеговой нагрузок | 106 - 107 | 0,667 |
Д | Совместное действие постоянной и ветровой нагрузок или постоянной, снеговой и ветровой нагрузок | 103 - 104 | 0,8 |
Е | Совместное действие постоянной и монтажной нагрузок | 103 - 104 | 0,8 |
Ж | Совместное действие постоянной и сейсмической нагрузок | 10 - 102 | 0,92 |
И | Действие импульсных и ударных нагрузок | 10-1 - 10-8 | 1,1 |
К | Совместное действие постоянной и кратковременной снеговой нагрузок в условиях пожара | 103 - 104 | 0,8 |
Л | Для опор воздушных линий электропередачи - гололедная, монтажная, ветровая при гололеде, от тяжения проводов при температуре ниже среднегодовой и обрыва | 104 - 105 | 0,75 |
М | Для опор воздушных линий электропередачи - при обрыве проводов и тросов | 10-1 - 10-2 | 1,0 |
Примечание - Для определения процентов от полного напряжения для режима Б рассматриваются расчетные нагрузки. |
(обязательное)
ДИАГРАММЫ ПРИЛОЖЕНИЯ НАГРУЗКИ И ДЕФОРМАЦИИ СОЕДИНЕНИЙ
Б.1 Диаграммы приложения нагрузки
| |
а) Автоматизированная запись деформаций | б) Ручная запись деформаций |
Рисунок Б.1 - Диаграмма приложения на образец
непрерывно возрастающей нагрузки
Рисунок Б.2 - Диаграмма ступенчатого приложения нагрузки
на образец с разгрузкой
| |
а) Разности полных деформаций  от нагрузки N для соединений группы I | б) Разности остаточных деформаций за цикл dо от упругой деформации dу для соединений группы II |
Рисунок Б.3 - Диаграмма зависимости деформаций
Dо - остаточные деформации; Dу - упругие деформации;

- разность полных деформаций;
dо - остаточные
деформации за цикл; dп - полные деформации за цикл
Рисунок Б.4 - Диаграмма деформаций соединения
при периодической разгрузке
(обязательное)
УЧЕТ ПРОДОЛЖИТЕЛЬНОСТИ ИСПЫТАНИЙ
И ОПРЕДЕЛЕНИЕ КОЭФФИЦИЕНТА БЕЗОПАСНОСТИ
В.1 Учет продолжительности испытаний
В.1.1 Для обоснования влияния временного эффекта использован график длительной прочности древесины (см. рисунок В.1) и способ преобразования фактической продолжительности испытаний
tmax при различных диаграммах приложения испытательной нагрузки (см.
приложение Б) к величине неизменно действующей постоянной нагрузки
t(u). Эта величина определяется при непрерывно возрастающей нагрузке как
t(u) =
tmax/38,2, а при нагружении с периодической разгрузкой - как
tmax =
n2tn (
n - число ступеней нагружения до разрушения,
tn - продолжительность изменения усилия на величину одной ступени).
1 - прямая линия зависимости длительной прочности
(нагрузки N) от времени t
Рисунок В.1 - График длительной прочности древесины
в координатах Lg - N
В.1.2 Для определения несущей способности Texp на основании разрушающей нагрузки Nmax следует определять коэффициент kt, учитывающий приведенное расчетное время действия нагрузки при испытании

, (В.1)
где t - приведенное расчетное время действия нагрузки, с;
lgA, равное 17,1 и 1,03, - соответственно точки пересечения прямой осей абсцисс и ординат.
Примечание - lgA = 17,1 справедливо для большинства основных видов напряженного состояния древесины, для напряженного состояния растяжения поперек волокон древесины lgA = 10.
Например, при продолжительности испытания соединения с непрерывно возрастающей нагрузкой tmax, равной 15 мин (900 с), t(u) = 900/38,2 = 23,56, величина kt = 1,03(1 - lg23,56/17,1) = 0,95.
В.1.3 Оценку расчетной несущей способности соединений
Tрасч(э) и влияние временного фактора (
mдл - коэффициента длительной прочности древесины при приведенном расчетном времени действия эксплуатационной нагрузки) осуществляют на основе использования модели длительной прочности древесины с учетом
[1],
[2], выраженной уравнением прямой линии в полулогарифмических координатах lg
t-
T (см.
рисунок В.1):

. (В.2)
Например, для снеговой нагрузки с приведенной продолжительностью
t(сн) = 1209600 с (равной 14 дням или 1209600 с в году
[2]), коэффициент длительной прочности составит:
mдл = 1,03(1 - lg1209600/17,1) = 0,66.
В.1.4 Значения коэффициентов
mдл для основных режимов нагружения приведены в
приложении А.
В.2 Определение коэффициента, учитывающего вероятностную составляющую коэффициента безопасности
В.2.1 В зависимости от количества испытанных образцов соединений для оценки их расчетной несущей способности Texp следует учитывать вероятностную составляющую коэффициента безопасности посредством коэффициента kv.
Его определяют по формуле с использованием наиболее употребляемого в статистике критерия Стьюдента

, (В.3)
где
t - критерий Стьюдента, значение которого выбирают в зависимости от объема выборки для заданного уровня вероятности при нормальном распределении случайной величины по
таблице В.1;
cv - заданный или определяемый экспериментально коэффициент вариации.
Экспериментальные данные испытаний древесины и узловых соединений деревянных конструкций показывают, что процент вариации (изменчивости) испытанных выборок при пластическом характере разрушения составляет от 12% до 15%, т.е. среднее значение коэффициента вариации составит cv = 0,135.
Таблица В.1
Зависимость
t-критерия Стьюдента
от объема выборки и уровня вероятности
Объем выборки n, шт. | Значение t-критерия при уровне вероятности | Объем выборки n, шт. | Значение t-критерия при уровне вероятности | Объем выборки n, шт. | Значение t-критерия при уровне вероятности |
0,95 | 0,975 | 0,95 | 0,975 | 0,95 | 0,975 |
3 | 2,920 | 4,303 | 13 | 1,782 | 2,179 | 23 | 1,717 | 2,074 |
4 | 2,353 | 3,182 | 14 | 1,771 | 2,160 | 24 | 1,714 | 2,069 |
5 | 2,132 | 2,776 | 15 | 1,761 | 2,145 | 25 | 1,711 | 2,064 |
6 | 2,015 | 2,715 | 16 | 1,753 | 2,131 | 26 | 1,708 | 2,060 |
7 | 1,943 | 2,447 | 17 | 1,746 | 2,120 | 27 | 1,705 | 2,059 |
8 | 1,895 | 2,365 | 18 | 1,740 | 2,110 | 28 | 1,703 | 2,052 |
9 | 1,860 | 2,306 | 19 | 1,734 | 2,101 | 29 | 1,701 | 2,048 |
10 | 1,833 | 2,262 | 20 | 1,729 | 2,093 | 30 | 1,699 | 2,045 |
11 | 1,812 | 2,228 | 21 | 1,725 | 2,086 | 40 | 1,686 | 2,024 |
12 | 1,796 | 2,201 | 22 | 1,721 | 2,079 | | 1,645 | 1,96 |
Примечания 1 В таблице значения t-критерия Стьюдента установлены для случая одностороннего ограничения распределения выборки при ее объеме в зависимости от числа степеней свободы  , т.к. определение прочности материала, несущей способности элементов конструкции необходимо осуществлять по минимально вероятностной границе статистического распределения, т.е. по левой ветви кривой нормального распределения. 2 Проводить статистическую обработку выборок объемом менее семи испытанных образцов не имеет практического смысла из-за низкой достоверности результатов в этой области кривой распределения. |
В.2.2 Для определения kv необходимо:
- при количестве испытанных образцов семь и более
cv принимать по результатам статистической обработки испытанной выборки, а
t-критерий Стьюдента (см.
таблицу В.1) в зависимости от фактически испытанного количества образцов (объема выборки) при уровне вероятности 0,95;
- при количестве испытанных образцов менее семи значение
cv принимают 0,135 (среднее при пластическом разрушении), а
t-критерий Стьюдента (см.
таблицу В.1) при повышении уровня вероятности до 0,975 как для количества шести образцов.
Пример
1 При экспериментально установленном cv = 0,15 и критерии t = 1,895 при количестве испытанных образцов n = 8 величина kv будет равна kv = 1/(1 - 1,895·0,15) = 1,40.
2 При заданном cv = 0,135 и критерии t = 2,715 для количества образцов n <= 6 величина kv будет равна kv = 1/(1 - 2,715·0,135) = 1,58.
В.3 Определение коэффициента, учитывающего характер разрушения соединения
В.3.1 Разрушение соединений может иметь пластический или хрупкий характер. Если после установленной величины деформаций de, соответствующей пределу упругой работы соединения, его разрушение происходит вскоре при деформациях dmax < 1,5de, то считают, что соединение имеет хрупкий характер разрушения. Это характерно для соединений, разрушающихся от скалывания, например клеевых соединений, соединений на врубках.
Если после достижения
de соединение продолжает деформироваться и разрушается при деформациях
dmax, существенно большей
de (
dmax > 4
de), то для него характерно пластическое разрушение (коэффициент пластичности

), как, например, для соединений на деревянных цилиндрических и пластинчатых нагелях, на шпонках и вкладышах и т.п.
В.3.2 Опыт испытания соединений деревянных конструкций показывает, что для хрупкого разрушения характерна

изменчивость результатов испытаний, чем для пластического разрушения, и составляет от 20% до 25%, т.е. среднее значение коэффициента вариации составит
cv = 0,225.
Поэтому при оценке расчетной несущей способности соединений по величине Nmax, полученной по результатам испытаний малой выборки образцов (менее восьми штук), при определении коэффициента безопасности следует учитывать характер разрушения посредством коэффициента kр.
В.3.3 Для соединения с хрупким характером разрушения (коэффициент пластичности

) следует принимать
kр(хр) = 1,2, для соединения с пластическим характером разрушения (коэффициент пластичности

) -
kр(пл) = 1.
Величина коэффициента определена из отношения:

.
При коэффициенте пластичности соединения

коэффициент
kр принимается по интерполяции.
В.3.4 При выборке образцов 7 шт. и более коэффициент kр принимается равным 1,0 (за счет учета коэффициента вариации cv, установленного на основании испытаний).
(рекомендуемое)
Г.1 Форма журнала и пример вычисления деформаций соединений при испытании непрерывно возрастающей нагрузкой
Образец N _____________ Характеристика соединения _________________________
Дата проведения испытаний: начало _________________________________________
окончание ______________________________________
Испытания проводил ________________________________________________________
(Ф.И.О., подпись)
N ступени | Нагрузка, кгс | Датчик (индикатор) 1 | Датчик (индикатор) 2 | Деформации | Примечания |
отсчет | деформация | отсчет | деформация | полная dп | разность полной  |
0 | 20 | 795 | 0 | 618 | 0 | 0 | 0 | |
1 | 180 | 735 | 60 | 555 | 63 | 61,5 | 0 | |
2 | 340 | 640 | 155 | 475 | 143 | 149 | 87,5 | |
3 | 500 | 495 | 300 | 360 | 258 | 279 | 130 | |
Г.2 Форма журнала и пример вычисления деформаций соединений при испытании ступенчатой нагрузкой с разгрузкой
Образец N _____________ Характеристика соединения _________________________
Дата проведения испытаний: начало _________________________________________
окончание ______________________________________
Испытания проводил ________________________________________________________
(Ф.И.О., подпись)
N ступени | Нагрузка, кгс | Датчик (индикатор) 1 | Датчик (индикатор) 2 | Деформации | Примечания |
отсчет | деформация | отсчет | деформация | полная dп | остаточная Dо | остаточная за цикл, dо | упругая Dу | полная за цикл dп | разность полной  |
0 | 20 | 795 | 0 | 618 | 0 | 0 | 0 | 0 | 0 | 0 | 0 | |
1 | 180 | 735 | 60 | 555 | 63 | 61,5 | - | - | - | 61,5 | - | |
20 | 770 | 25 | 600 | 18 | - | 21,5 | 21,5 | 40 | - | 21,5 | |
2 | 340 | 640 | 155 | 475 | 143 | 149 | - | - | - | 127,5 | 87,5 | |
20 | 750 | 45 | 578 | 40 | - | 42,5 | 21 | 106,5 | - | - | |
3 | 500 | 495 | 300 | 360 | 258 | 279 | - | - | - | 236,5 | 130 | |
20 | 700 | 95 | 535 | 83 | - | 89 | 46,5 | 190 | - | - | |
| Рекомендации по испытанию соединений деревянных конструкций/ЦНИИСК им. В.А. Кучеренко//под редакцией Ю.М. Иванова. - М.: Стройиздат, 1981 |
| Рекомендации по испытанию деревянных конструкций/ЦНИИСК им. В.А. Кучеренко//под редакцией Ю.М. Иванова. - М.: Стройиздат, 1976 |
УДК 624.011.1:006.354 | |
Ключевые слова: узловое соединение деревянной конструкции, несущая способность узлового соединения, нагельное узловое соединение, упругая деформация соединения, остаточная деформация соединения |