Главная // Актуальные документы // Актуальные документы (обновление с 29.09.2025 по 01.11.2025) // ГОСТ (Государственный стандарт)СПРАВКА
Источник публикации
М.: ФГБУ "Институт стандартизации", 2025
Примечание к документу
Документ
вводится в действие с 01.04.2026.
Название документа
"ГОСТ 12865-2025. Межгосударственный стандарт. Вермикулит вспученный. Технические условия"
(введен в действие Приказом Росстандарта от 19.08.2025 N 907-ст)
"ГОСТ 12865-2025. Межгосударственный стандарт. Вермикулит вспученный. Технические условия"
(введен в действие Приказом Росстандарта от 19.08.2025 N 907-ст)
агентства по техническому
регулированию и метрологии
от 19 августа 2025 г. N 907-ст
МЕЖГОСУДАРСТВЕННЫЙ СТАНДАРТ
ВЕРМИКУЛИТ ВСПУЧЕННЫЙ
ТЕХНИЧЕСКИЕ УСЛОВИЯ
Expanded vermiculite. Specifications
ГОСТ 12865-2025
Дата введения
1 апреля 2026 года
Цели, основные принципы и общие правила проведения работ по межгосударственной стандартизации установлены
ГОСТ 1.0 "Межгосударственная система стандартизации. Основные положения" и
ГОСТ 1.2 "Межгосударственная система стандартизации. Стандарты межгосударственные, правила и рекомендации по межгосударственной стандартизации. Правила разработки, принятия, обновления и отмены"
1 РАЗРАБОТАН Федеральным государственным бюджетным учреждением "Российский институт стандартизации" (ФГБУ "Институт стандартизации")
2 ВНЕСЕН Техническим комитетом по стандартизации ТК 144 "Строительные материалы и изделия"
3 ПРИНЯТ Межгосударственным советом по стандартизации, метрологии и сертификации (протокол от 30 мая 2025 г. N 185-П)
За принятие проголосовали:
Краткое наименование страны по МК (ИСО 3166) 004-97 | Код страны по МК (ИСО 3166) 004-97 | Сокращенное наименование национального органа по стандартизации |
Армения | AM | ЗАО "Национальный орган по стандартизации и метрологии" Республики Армения |
Беларусь | BY | Госстандарт Республики Беларусь |
Киргизия | KG | Кыргызстандарт |
Россия | RU | Росстандарт |
Таджикистан | TJ | Таджикстандарт |
Узбекистан | UZ | Узбекское агентство по техническому регулированию |
4
Приказом Федерального агентства по техническому регулированию и метрологии от 19 августа 2025 г. N 907-ст межгосударственный стандарт ГОСТ 12865-2025 введен в действие в качестве национального стандарта Российской Федерации с 1 апреля 2026 г.
Информация о введении в действие (прекращении действия) настоящего стандарта и изменений к нему на территории указанных выше государств публикуется в указателях национальных стандартов, издаваемых в этих государствах, а также в сети Интернет на сайтах соответствующих национальных органов по стандартизации.
В случае пересмотра, изменения или отмены настоящего стандарта соответствующая информация будет опубликована на официальном интернет-сайте Межгосударственного совета по стандартизации, метрологии и сертификации в каталоге "Межгосударственные стандарты"
Настоящий стандарт распространяется на вспученный вермикулит (далее - вермикулит), представляющий собой сыпучий зернистый материал чешуйчатого строения, получаемый в результате обжига природных гидратированных слюд.
Вермикулит применяют в качестве теплоизоляционной засыпки при температуре изолируемых поверхностей от минус 260 °C до плюс 1100 °C (до 900 °C - при изоляции вибрирующих поверхностей), для изготовления теплоизоляционных изделий и конструкций, в качестве заполнителя для легких и жаростойких бетонов, а также для приготовления строительных растворов.
В настоящем стандарте использованы нормативные ссылки на следующие межгосударственные стандарты:
ГОСТ 1770 (ИСО 1042-83, ИСО 4788-80) Посуда мерная лабораторная стеклянная. Цилиндры, мензурки, колбы, пробирки. Общие технические условия
ГОСТ 1790 Проволока из сплавов хромель Т, алюмель, копель и константан для термоэлектродов термоэлектрических преобразователей. Технические условия
ГОСТ 2226 Мешки из бумаги и комбинированных материалов. Общие технические условия
ГОСТ 6651 Государственная система обеспечения единства измерений. Термопреобразователи сопротивления из платины, меди и никеля. Общие технические требования и методы
ГОСТ 7076 Материалы и изделия строительные. Метод определения теплопроводности и термического сопротивления при стационарном тепловом режиме
ГОСТ 7164 Приборы автоматические следящего уравновешивания ГСП. Общие технические условия
ГОСТ 9758 Заполнители пористые неорганические для строительных работ. Методы испытаний
ГОСТ 15588 Плиты пенополистирольные теплоизоляционные. Технические условия
ГОСТ 16617 Электроприборы отопительные бытовые. Общие технические условия
ГОСТ 17008 Компрессоры хладоновые герметичные. Общие технические условия
ГОСТ 17083 Электротепловентиляторы бытовые. Общие технические условия
ГОСТ 22502 Агрегаты компрессорно-конденсаторные с герметичными холодильными компрессорами для торгового холодильного оборудования. Общие технические условия
ГОСТ 23125 Сигнализаторы температуры. Общие технические условия
ГОСТ 23833 Оборудование холодильное торговое. Общие технические условия
ГОСТ 24816 Материалы строительные. Метод определения равновесной сорбционной влажности
ГОСТ 25380 Здания и сооружения. Метод измерения плотности тепловых потоков, проходящих через ограждающие конструкции
ГОСТ 32310 (EN 13164+A1:2015) Изделия из экструзионного пенополистирола, применяемые в строительстве. Технические условия
ГОСТ 32314 (EN 13162:2012) Изделия из минеральной ваты теплоизоляционные промышленного производства, применяемые в строительстве. Общие технические условия
ГОСТ OIML R 76-1 Государственная система обеспечения единства измерений. Весы неавтоматического действия. Часть 1. Метрологические и технические требования. Испытания
<1>
--------------------------------
<1> В Российской Федерации также действует
ГОСТ Р 53228-2008 "Весы неавтоматического действия. Часть 1. Метрологические и технические требования. Испытания".
Примечание - При пользовании настоящим стандартом целесообразно проверить действие ссылочных стандартов и классификаторов на официальном интернет-сайте Межгосударственного совета по стандартизации, метрологии и сертификации (www.easc.by) или по указателям национальных стандартов, издаваемым в государствах, указанных в предисловии, или на официальных сайтах соответствующих национальных органов по стандартизации. Если на документ дана недатированная ссылка, то следует использовать документ, действующий на текущий момент, с учетом всех внесенных в него изменений. Если заменен ссылочный документ, на который дана датированная ссылка, то следует использовать указанную версию этого документа. Если после принятия настоящего стандарта в ссылочный документ, на который дана датированная ссылка, внесено изменение, затрагивающее положение, на которое дана ссылка, то это положение применяется без учета данного изменения. Если ссылочный документ отменен без замены, то положение, в котором дана ссылка на него, применяется в части, не затрагивающей эту ссылку.
3 Термины, определения и обозначения
3.1 В настоящем стандарте применены следующие термины с соответствующими определениями:
3.1.1
вспученный вермикулит; вермикулит: Теплоизоляционный материал, полученный в результате вспучивания при нагревании природного минерала слюды. |
3.1.2
декларируемое значение: Ожидаемые значения характеристики свойств в течение экономически обоснованного срока службы в нормальных условиях, оцениваемые по измеренным данным в стандартных условиях. |
3.2 В настоящем стандарте применены следующие обозначения:

- декларируемое значение теплопроводности, Вт/(м·К), [ккал/(м·ч·град)];

- теплопроводность, значение которой для 90% объема контролируемой продукции не превышает декларируемого значения при доверительной вероятности, равной 90%, Вт/(м·К).
4.1 Вермикулит в зависимости от размера зерен подразделяют на следующие фракции: 0 - 0,63; 0,63 - 5; 5 - 10 мм.
Примечание - По соглашению между поставщиком и потребителем допускается поставка вермикулита других фракций, в виде смеси двух и более фракций или нефракционного.
Зерновой состав каждой фракции или смеси фракций вермикулита должен удовлетворять требованиям, указанным в
таблице 1.
Таблица 1
Зерновой состав фракций вермикулита
Фракция | Полный остаток на сите, % масс., на контрольном сите с размером отверстий |
d | D | 20 мм |
0 - 0,63 | - | Не более 20 | 0 |
0,63 - 5 | Не менее 70 | Не более 15 | 0 |
5 - 10 | Не менее 70 | Не более 15 | 0 |
Примечание - D и d - наибольший и наименьший номинальные диаметры отверстий контрольных сит, соответствующие наименьшим и наибольшим номинальным размерам зерен. |
4.2 Вермикулит в зависимости от насыпной плотности подразделяют на марки: 100; 150 и 200.
Примечание - По соглашению между поставщиком и потребителем допускается поставка вермикулита марок 250 и 300.
4.3 Вермикулит должен соответствовать требованиям, указанным в
таблице 2.
Таблица 2
Требования, предъявляемые к вермикулиту
Наименование показателя | Норма для марок |
100 | 150 | 200 |
Насыпная плотность, кг/м3, не более | 100 | 150 | 200 |
 , Вт/(м·К), [ккал/(м·ч·град)], не более, при средней температуре: | | | |
(25 +/- 5) °C | 0,063 (0,055) | 0,069 (0,060) | 0,075 (0,065) |
(325 +/- 5) °C | 0,150 (0,130) | 0,150 (0,135) | 0,161 (0,140) |
Влажность, % масс., не более | 3 |
Примечание - При поставке вермикулита марок 250 и 300 предъявляемые к нему требования согласовываются между поставщиком и потребителем. |
4.4 Значение прочности при сдавливании в цилиндре декларируется производителем.
4.5 Упаковка
Вермикулит упаковывают в бумажные четырехслойные мешки, соответствующие требованиям
ГОСТ 2226.
Примечание - Допускается по согласованию между поставщиком и потребителем поставка вермикулита в другой упаковке.
4.6 Маркировка
На каждый мешок должен быть поставлен несмываемой краской штамп или наклеена этикетка с указанием:
а) предприятия-изготовителя;
б) даты изготовления;
в) фракции и марки вермикулита;
г) номера партии;
д) обозначения настоящего стандарта.
5.1 Приемку и поставку вермикулита проводят партиями. Партией считают 70 м
3 вермикулита одной фракции (смеси фракций) и марки. Каждая партия вермикулита должна быть принята техническим контролем предприятия-изготовителя.
5.2 Для проверки соответствия вермикулита требованиям настоящего стандарта от каждой партии отбирают не менее 10 точечных проб. При отборе точечных проб упакованного вермикулита пробы отбирают не менее чем из 10 единиц упаковки, по всей глубине упаковки при их наклонном положении. Пробы отбирают щупом, представляющим собой металлическую тонкостенную трубу длиной 1000 мм и внутренним диаметром 50 мм.
При отборе проб неупакованного вермикулита для отбора точечной пробы выкапывают лунку глубиной 0,2 - 0,4 м. Из лунки отбирают точечную пробу совком, перемещая вермикулит снизу вверх вдоль стенки лунки.
Отбор точечных проб с технологических линий, транспортирующих продукцию на склад или непосредственно в транспортные средства, осуществляют путем пересечения потока материала на ленточном конвейере или в местах перепада потока вермикулита при помощи совка.
Точечные пробы тщательно перемешивают для получения объединенной пробы. Общий объем полученной объединенной пробы должен быть не менее 30 л.
Для проведения испытаний из объединенной пробы методом квартования получают среднюю пробу в количестве 10 - 12 л. Из полученной пробы методом квартования готовят аналитическую пробу, предназначенную для определения конкретного показателя.
5.3 Для проверки соответствия вермикулита требованиям настоящего стандарта проводят приемо-сдаточные и периодические испытания.
При приемо-сдаточных испытаниях определяют:
- зерновой состав;
- насыпную плотность;
- влажность;
- прочность при сдавливании в цилиндре.
5.4 При периодических испытаниях определяют теплопроводность. Периодические испытания проводят не реже одного раза в год.
5.5 При неудовлетворительных результатах испытаний вермикулита хотя бы по одному из показателей производят по нему повторное испытание удвоенного количества проб, отобранных из той же партии. При неудовлетворительных результатах повторного испытания вся партия вермикулита приемке не подлежит.
5.6 Каждую партию вермикулита сопровождают документом о качестве, в котором указывают:
а) наименование и адрес предприятия-изготовителя;
б) номер и дату выдачи документа о качестве;
в) фракцию и марку вермикулита по насыпной плотности;
г) объем поставки;
д) результаты приемо-сдаточных и периодических испытаний;
е) номер партии;
ж) обозначение настоящего стандарта.
6.1 Определение зернового состава
Метод основан на рассеве предварительно высушенной пробы вермикулита через набор сит.
6.1.1 Средства испытания
Шкаф сушильный лабораторный или другой, позволяющий автоматически поддерживать температуру (105 +/- 5) °C.
Сита с сеткой 0,63 по нормативно-технической документации
<1> государств, принявших настоящий стандарт.
--------------------------------
<1> В Российской Федерации действует
ГОСТ Р 51568-99 "Сита лабораторные из металлической проволочной сетки. Технические условия".
Сита с круглыми отверстиями диаметром 5,0; 10,0 и 20,0 мм по нормативно-технической документации.
Пробу вермикулита в количестве не менее 0,5 кг высушивают в сушильном шкафу при температуре 50 °C - 60 °C до постоянной массы. Высушивание до постоянной массы считают законченным, если потеря в массе навески после повторного высушивания в течение 15 мин не будет превышать 0,02 г. Затем пробу охлаждают до температуры воздуха в помещении.
6.1.3 Порядок проведения испытания
Пробу вермикулита просеивают ручным или механическим способом через сита, соответствующие номинальным размерам зерен фракции (d, D и 20 мм), собранные последовательно, начиная снизу с сита с отверстиями наименьшего размера. Рассев пробы проводят небольшими порциями (приблизительно равными частями пробы). Просеивание считают законченным, если при встряхивании сита практически не наблюдается падения зерен вермикулита. Остатки на каждом сите взвешивают с точностью до 0,1 г.
6.1.4 Обработка результатов
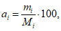
По результатам просеивания вычисляют частный остаток на каждом сите ai, % масс., с округлением до 0,1%, по формуле

(1)
где mi - масса частного остатка на соответствующем сите, г;
Mi - масса пробы, г.
Результаты определения зернового состава вермикулита выражают полными остатками, в процентах по массе, на ситах, соответствующих номинальным размерам зерен фракции, определенными как сумма частных остатков на данном сите и всех ситах с

размером отверстий.
Полные остатки вычисляют как среднее арифметическое значение результатов двух испытаний.
6.2 Определение плотности
Насыпную плотность вермикулита определяют по массе и объему пробы, насыпанной в мерный сосуд без уплотнения с заданной высоты.
6.2.1 Средства испытания
6.2.2 Порядок подготовки
Пробу вермикулита подготавливают по
6.1.2, масса пробы определяется в зависимости от наибольшего размера зерен по
таблице 3. Допускается проведение испытания пробы вермикулита без предварительного высушивания.
Таблица 3
Масса пробы и характеристики мерного цилиндрического сосуда
в зависимости от наибольшего размера зерен вермикулита
Наибольший размер зерен D | Характеристика мерного цилиндра | Масса пробы, кг, не менее |
номинальный объем, л | Внутренние размеры, мм |
диаметр | высота |
0,63 | 1 +/- 1% | 108 +/- 1 | 108 +/- 1 | 0,5 |
5 и более | 5+/- 1% | 185 +/- 1,5 | 185 +/- 1,5 | 3,0 |
6.2.3 Порядок проведения испытания
Вермикулит при помощи воронки или совка насыпают с высоты 10 см в предварительно взвешенный мерный цилиндр до образования конуса, который снимают вровень с краями цилиндра (без уплотнения) стальной линейкой от центра конуса в обе стороны. Заполненный вермикулитом цилиндр взвешивают с точностью до 0,1 г.
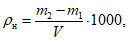
6.2.4 Обработка результатов
Насыпную плотность

вермикулита, кг/м
3, с округлением до 1 кг/м
3, вычисляют по формуле

(2)
где m1 - масса мерного сосуда, кг;
m2 - масса мерного сосуда с вермикулитом, кг;
V - вместимость сосуда, л.
При испытании вермикулита без предварительного высушивания насыпную плотность вычисляют по формуле

(3)
где
W - влажность вермикулита, определенная по
6.3.
При разногласиях в оценке результатов испытаний используют предварительно высушенную пробу вермикулита.
Насыпную плотность вычисляют как среднее арифметическое значение результатов двух испытаний. Расхождение между результатами испытаний должно быть не более 5%.
6.3 Определение влажности
Влажность определяют по разности масс навески вермикулита до и после высушивания.
6.3.1 Средства испытания
Шкаф сушильный лабораторный или другой, позволяющий автоматически поддерживать температуру (105 +/- 5) °C.
6.3.2 Порядок проведения испытания
Из средней пробы берут навеску массой не менее 100 г, которую помещают в предварительно взвешенный металлический сосуд или фарфоровую чашку и высушивают в сушильном шкафу до постоянной массы по
6.1.2. Затем пробу охлаждают до температуры воздуха в помещении и взвешивают.
6.3.3 Обработка результатов
Влажность W, % масс., вычисляют с точностью до 0,1% по формуле

(4)
где m0 - масса навески до высушивания, г;
m - масса навески после высушивания до постоянной массы, г.
Влажность вычисляют как среднее арифметическое значение результатов двух испытаний. Расхождение между результатами испытаний должно быть не более 5%.
6.4 Определение теплопроводности
6.4.1 Теплопроводность определяют по
приложению А в соответствии с декларируемым изготовителем значением. Теплопроводность вермикулита допускается определять по
ГОСТ 7076. При разногласиях в результатах теплопроводность вермикулита оценивают по значениям, полученным по
приложению А.
6.4.2 Теплопроводность определяют в соответствии со следующими требованиями:
- средняя температура пробы при испытании должна быть 10 °C;
- измеренные значения указывают с точностью до трех значащих цифр;
-

указывают как предельные значения, характеризующие не менее 90% испытаний с уровнем вероятности 90%;
-

указывают с округлением в большую сторону до 0,001 Вт/(м·К), как в уровнях с интервалом 0,001 Вт/(м·К).
6.4.3 Изготовитель несет ответственность за определение декларируемого значения теплопроводности и подтверждает соответствие фактического значения теплопроводности вермикулита декларируемому значению.
6.5 Определение количества поставляемого вермикулита по объему или массе
Пересчет количества вермикулита в партии из единиц массы в единицы объема и наоборот проводят с учетом полученного значения плотности, определяемого по
6.2.
6.6 Прочность при сдавливании в цилиндре
Прочность вермикулита при сдавливании в цилиндре определяют по
ГОСТ 9758.
7 Транспортирование и хранение
7.1 При погрузке и разгрузке должны соблюдаться все меры предосторожности, обеспечивающие технические требования вермикулита, сохранность его и упаковки.
7.2 Транспортирование вермикулита следует проводить в крытых вагонах или других крытых транспортных средствах.
7.3 Хранение вермикулита проводят раздельно по фракциям и маркам в условиях, не допускающих его распыления, увлажнения, уплотнения и загрязнения.
7.4 При хранении и транспортировании высота штабеля вермикулита, упакованного в мягкую упаковку, не должна превышать 1,5 м.
(обязательное)
ОПРЕДЕЛЕНИЕ ДЕКЛАРИРУЕМОГО ЗНАЧЕНИЯ ТЕПЛОПРОВОДНОСТИ
А.1 Исходные данные
Для определения декларируемого значения теплопроводности изготовитель должен иметь не менее 10 результатов значений теплопроводности по
А.2.
А.2 Определение теплопроводности
Определение теплопроводности проводят в течение не менее 12 мес через равные промежутки времени. При получении менее 10 результатов срок испытаний можно продлить максимально до трех лет, в течение которых не должно происходить существенных изменений в технологическом процессе производства вермикулита.
Теплопроводность вермикулита определяют в сухом или влажном состоянии.
А.2.1 Определение теплопроводности в сухом состоянии
Теплопроводность в сухом состоянии вермикулита определяют по
ГОСТ 25380 со следующими изменениями: испытания проводят в теплоизолированной климатической камере, вермикулит засыпают в контейнер.
А.2.1.1 Средства испытания
Теплоизолированная климатическая камера, представляющая собой установленное в испытательном зале объемное сооружение в виде утепленного снаружи параллелепипеда, внутреннее пространство которого разделено испытуемой ограждающей конструкцией на теплый и холодный отсеки, оснащенное датчиками для фиксирования результатов (температурные датчики с проводами из сплавов копель и алюмель по
ГОСТ 1790 (термопары) или медные термопреобразователи сопротивления по
ГОСТ 6651 (термометры сопротивления).
Для комплектации климатической камеры используют следующие оборудование и аппаратуру:
- оборудование холодильное по
ГОСТ 17008,
ГОСТ 23833 или компрессорно-конденсаторные агрегаты холодильных машин по
ГОСТ 22502, устанавливаемые вне камеры;
- электроприборы нагревательные по
ГОСТ 16617, электротепловентиляторы по
ГОСТ 17083 и электроувлажнители воздуха для нагрева и увлажнения воздуха в теплом отсеке камеры;
- приборы автоматические следящего уравновешивания по
ГОСТ 7164 или сигнализаторы температуры по
ГОСТ 23125 для автоматического поддержания заданной температуры и влажности воздуха в отсеках.
Контейнер, выполненный из материалов с известной теплопроводностью и толщиной стенок номинальными внутренними размерами не менее 470 x 400 x 250 мм.
А.2.1.2 Порядок проведения испытания
Температура и относительная влажность воздуха помещения, в котором проводят испытания, должны быть соответственно (20 +/- 2) °C и (50 +/- 10)%.
А.2.1.2.1 Определение теплопроводности вермикулита в сухом состоянии
Отобранную по
5.1 пробу вермикулита высушивают в сушильном шкафу до постоянной массы по
6.1.2, затем кондиционируют при температуре воздуха в помещении не менее 24 ч.
Вермикулит засыпают равномерными частями (в три слоя) в контейнер до уровня верхних кромок, периодически вручную уплотняя и утрамбовывая с использованием деревянного бруска и тяжелого молотка.
Грани контейнера изолируют теплоизоляционным материалом при помощи изделий из пенополистирола по
ГОСТ 15588 или
ГОСТ 32310, изделий из минеральной ваты по
ГОСТ 32314, изделий из пенополиэтилена
<1> или пенополиуретана
<2>. Термическое сопротивление тепловой изоляции граней должно быть не менее 10 м·°C/Вт.
--------------------------------
<1> В Российской Федерации действует
ГОСТ Р 56729-2015 (EN 14313:2009) "Изделия из пенополиэтилена теплоизоляционные заводского изготовления, применяемые для инженерного оборудования зданий и промышленных установок. Общие технические условия".
<2> В Российской Федерации действует
ГОСТ Р 56590-2016 (EN 13165:2012) "Плиты на основе пенополиизоцианурата теплозвукоизоляционные. Технические условия".
На наружную и внутреннюю грани контейнера устанавливают датчики температуры. На внутреннюю грань контейнера, обращенную в теплую зону, устанавливают преобразователи (датчики) теплового потока по
ГОСТ 25380.
Теплопроводность измеряют не менее чем при трех различных значениях средней температуры засыпки из вермикулита, назначенных предприятием-изготовителем. По достижении стационарного теплового режима фиксируют значения температур и тепловых потоков и вычисляют теплопроводность вермикулита в сухом состоянии.
А.2.1.2.2 Определение теплопроводности вермикулита во влажном состоянии
Теплопроводность вермикулита во влажном состоянии определяют по
А.2.1.2.1, предварительно определив влажность по
6.3.
Декларируемое значение теплопроводности вермикулита во влажном состоянии определяют с учетом полученного значения теплопроводности.
При необходимости по полученным значениям влажности и соответствующим им полученным значениям теплопроводности рассчитывают значения приращения теплопроводности на 1% влажности вермикулита и значение расчетной теплопроводности по
А.2.1.3.2.
А.2.1.3 Обработка результатов
А.2.1.3.1 Декларируемое значение

определяют с учетом значения

, рассчитанного по формуле

(А.1)
где

- частное значение теплопроводности, Вт/(м·К);

- среднее арифметическое значение полученных частных значений теплопроводности, Вт/(м·К);
n - количество испытаний;
k - коэффициент, принимаемый по
таблице А.1 в зависимости от количества испытаний.
Таблица А.1
Значения
k в зависимости от количества испытаний
Количество испытаний | 10 | 11 | 12 | 13 | 14 | 15 | 16 | 17 | 18 | 19 | 20 | 22 |
Значение k | 2,07 | 2,01 | 1,97 | 1,93 | 1,90 | 1,87 | 1,84 | 1,82 | 1,80 | 1,78 | 1,77 | 1,74 |
Окончание таблицы А.1
Количество испытаний | 24 | 25 | 30 | 35 | 40 | 45 | 50 | 100 | 300 | 500 | 2000 |
Значение k | 1,71 | 1,70 | 1,66 | 1,62 | 1,60 | 1,58 | 1,56 | 1,47 | 1,39 | 1,36 | 1,32 |
Примечание - Значение k для результатов испытаний, число которых не указано в настоящей таблице, определяют методом линейной интерполяции. |
А.2.1.3.2 Значения приращения теплопроводности на 1% влажности вермикулита

, Вт/(м·К), рассчитывают по формуле

(А.2)
где

- теплопроводность образца во влажном состоянии, Вт/(м·К);

- теплопроводность образца в сухом состоянии, Вт/(м·К);
w - влажность, %.
Теплопроводность вермикулита во влажном состоянии вычисляют по формуле

(А.3)
где
Wсорб - среднее значение равновесной сорбционной влажности материала по массе, при относительной влажности воздуха 80% или 97%, % масс., определенной по
ГОСТ 24816.
УДК 691.278:006.354 | |
Ключевые слова: вермикулит вспученный, зерновой состав, декларируемое значение теплопроводности, сыпучий материал, теплоизоляционная засыпка, заполнитель для бетонов, технические условия, методы контроля |