Главная // Актуальные документы // ГОСТ (Государственный стандарт)СПРАВКА
Источник публикации
М.: ИПК Издательство стандартов, 1999
Примечание к документу
С 1 июля 2003 года до вступления в силу технических регламентов акты федеральных органов исполнительной власти в сфере технического регулирования носят рекомендательный характер и подлежат обязательному исполнению только в части, соответствующей целям, указанным в
пункте 1 статьи 46 Федерального закона от 27.12.2002 N 184-ФЗ.
Введен в действие с 1 января 2000 года.
Взамен ГОСТ 23125-78.
Название документа
"ГОСТ 23125-95. Межгосударственный стандарт. Сигнализаторы температуры. Общие технические условия"
(введен в действие Постановлением Госстандарта РФ от 23.07.1999 N 207-ст)
"ГОСТ 23125-95. Межгосударственный стандарт. Сигнализаторы температуры. Общие технические условия"
(введен в действие Постановлением Госстандарта РФ от 23.07.1999 N 207-ст)
Постановлением Госстандарта РФ
от 23 июля 1999 г. N 207-ст
МЕЖГОСУДАРСТВЕННЫЙ СТАНДАРТ
СИГНАЛИЗАТОРЫ ТЕМПЕРАТУРЫ
ОБЩИЕ ТЕХНИЧЕСКИЕ УСЛОВИЯ
Temperature signalling devices.
General specifications
ГОСТ 23125-95
МКС 17.200.00;
1. Разработан МТК 505; Научно-производственным объединением "Термопрылад" (НПО "Термопрылад").
Внесен Государственным комитетом Украины по стандартизации, метрологии и сертификации.
2. Принят Межгосударственным советом по стандартизации, метрологии и сертификации 10 октября 1995 г., Протокол N 8.
За принятие проголосовали:
┌───────────────────────────────┬─────────────────────────────────────────┐
│ Наименование государства │ Наименование национального органа │
│ │ по стандартизации │
├───────────────────────────────┼─────────────────────────────────────────┤
│Азербайджанская Республика │Азгосстандарт │
│Республика Беларусь │Госстандарт Беларуси │
│Республика Казахстан │Госстандарт Республики Казахстан │
│Российская Федерация │Госстандарт России │
│Республика Таджикистан │Таджикгосстандарт │
│Туркменистан │Главная государственная инспекция │
│ │Туркменистана │
│Республика Узбекистан │Узгосстандарт │
│Украина │Госстандарт Украины │
└───────────────────────────────┴─────────────────────────────────────────┘
3. Постановлением Государственного комитета Российской Федерации по стандартизации и метрологии от 23 июля 1999 г. N 207-ст межгосударственный стандарт ГОСТ 23125-95 введен в действие непосредственно в качестве государственного стандарта Российской Федерации с 1 января 2000 г.
4. Взамен ГОСТ 23125-78.
Настоящий стандарт распространяется на сигнализаторы температуры (далее - сигнализаторы), предназначенные для контроля за температурой объекта в установленном диапазоне.
Настоящий стандарт не распространяется на изделия, выполняющие другие функции одновременно с функцией контроля температуры.
В настоящем стандарте использованы ссылки на следующие стандарты:
ГОСТ 2.601-95. Единая система конструкторской документации. Эксплуатационные документы
ГОСТ 9.014-78. Единая система защиты от коррозии и старения. Временная противокоррозионная защита изделий. Общие требования
ГОСТ 15.001-88. Система разработки и постановки продукции на производство. Продукция производственно-технического назначения
ГОСТ 6616-94. Преобразователи термоэлектрические. Общие технические условия
| | ИС МЕГАНОРМ: примечание. ГОСТ 6651-94 утратил силу на территории Российской Федерации с 1 января 2008 года в связи с введением в действие ГОСТ Р 8.625-2006 (Приказ Ростехрегулирования от 27.12.2006 N 345-ст). | |
ГОСТ 6651-94. Термопреобразователи сопротивления. Общие технические требования и методы испытаний
ГОСТ 13384-93. Преобразователи измерительные для термоэлектрических преобразователей и термопреобразователей сопротивления. Общие технические требования и методы испытаний
ГОСТ 15150-69. Машины, приборы и другие технические изделия. Исполнения для различных климатических районов. Категории, условия эксплуатации, хранения и транспортирования в части воздействия климатических факторов внешней среды
| | ИС МЕГАНОРМ: примечание. ГОСТ 16842-82 утратил силу на территории Российской Федерации с 1 января 2001 года в связи с введением в действие ГОСТ Р 51320-99 (Постановление Госстандарта России от 22.12.1999 N 655-ст). | |
ГОСТ 16842-82. Радиопомехи индустриальные. Методы испытаний источников индустриальных радиопомех
ГОСТ 18953-73. Источники питания электрические ГСП. Общие технические условия
ГОСТ 22782.5-78. Электрооборудование взрывозащищенное с видом взрывозащиты "Искробезопасная электрическая цепь". Технические требования и методы испытаний
ГОСТ 22782.6-81. Электрооборудование взрывозащищенное с видом взрывозащиты "Взрывонепроницаемая оболочка". Технические требования и методы испытаний.
В настоящем стандарте применяют следующие термины и определения:
Сигнализатор температуры: устройство, на выходе которого скачкообразно изменяется выходной сигнал [нормально открытый (нормально закрытый) контакт или напряжение] при достижении заданной задатчиком температуры срабатывания.
Срабатывание сигнализатора: изменение состояния выходного сигнала сигнализатора при достижении температуры уставки.
Отпускание сигнализатора: изменение состояния выходного сигнала сигнализатора при понижении (повышении) температуры ниже (выше) уставки.
Зона возврата: разность значений температур срабатывания и отпускания сигнализатора.
Уставка: значение температуры, при которой срабатывает (отпускает) сигнализатор.
Задатчик: устройство, которым устанавливают значение уставки.
4. Типы и основные параметры
4.1. По числу контролируемых точек сигнализаторы подразделяются на:
- одноточечные;
- многоточечные.
4.2. По виду выходного сигнала сигнализаторы подразделяются на:
- сигнализаторы с контактным (релейным) выходом;
- сигнализаторы с бесконтактным выходом;
- сигнализаторы с цифровым кодовым выходом;
- сигнализаторы с комбинированным выходом (имеющие два или более вида выходных сигналов).
4.3. В зависимости от воздействия окружающей среды сигнализаторы подразделяют на исполнения по
ГОСТ 12997.
Сигнализаторы могут изготовляться в исполнениях, сочетающих несколько видов защиты.
4.4. По типу применяемых первичных преобразователей температуры сигнализаторы подразделяются на работающие в комплекте:
| | ИС МЕГАНОРМ: примечание. ГОСТ 6651-94 утратил силу на территории Российской Федерации с 1 января 2008 года в связи с введением в действие ГОСТ Р 8.625-2006 (Приказ Ростехрегулирования от 27.12.2006 N 345-ст). | |
- с термопреобразователями сопротивления по ГОСТ 6651 (условное обозначение СТС);
- с преобразователями термоэлектрическими по
ГОСТ 6616 (условное обозначение СТТ);
- с измерительными преобразователями по ГОСТ 13384, имеющими унифицированные выходные сигналы (условное обозначение СТВ);
- с другими типами первичных преобразователей температуры, например термисторы, полупроводники и др. (условное обозначение СТП);
- с термопреобразователями различных типов - комбинированные (условное обозначение СТ).
4.5. По виду уставки сигнализаторы подразделяются на:
- сигнализаторы с плавным задатчиком;
- сигнализаторы с дискретным задатчиком (в том числе программируемые на объекте);
- сигнализаторы с комбинированным задатчиком.
4.6. При дискретной задаче число уставок сигнализации в каждом из диапазонов, контролируемых сигнализаторами, не должно превышать десять.
В технически обоснованных случаях по требованию заказчика допускается устанавливать большее число уставок.
4.7. В сигнализаторах должна быть предусмотрена возможность изменения уставок в процессе эксплуатации. Параметры задатчиков должны устанавливаться в технических условиях на сигнализаторы конкретных типов.
4.8. В сигнализаторах может быть реализована коррекция постоянной времени первичных преобразователей температуры, которая оговаривается в технических условиях на сигнализаторы конкретных типов.
4.9. В сигнализаторах могут быть встроены устройства для измерения и индикации температуры (аналоговые или цифровые).
4.10. Питание сигнализаторов:
- от источника постоянного тока по ГОСТ 18953, указанного в технических условиях на сигнализаторы конкретных типов;
- от источника переменного тока частотой (50 +/- 1) Гц или (400 +/- 12) Гц.
Значение напряжения указывается в технических условиях на сигнализаторы конкретных типов.
4.11. В многоточечных сигнализаторах число контролируемых точек должно устанавливаться в технических условиях на сигнализаторы конкретных типов.
4.12. Данные о времени срабатывания, потребляемой мощности, наличии вспомогательных устройств, габаритных размерах, массе и других эксплуатационных характеристиках при необходимости указываются в технических условиях на сигнализаторы конкретных типов.
5. Технические требования
5.1. Сигнализаторы должны изготовляться в соответствии с требованиями настоящего стандарта, технических условий на сигнализаторы конкретных типов и по рабочим чертежам, утвержденным в установленном порядке.
5.2. Основные показатели сигнализаторов должны соответствовать требованиям, приведенным в таблице 1.
┌─────────────────────────────────────────┬───────────────────────────────┐
│ Наименование показателя │ Значение показателя │
├─────────────────────────────────────────┼───────────────────────────────┤
│Диапазон контролируемых температур, °C, │ │
│сигнализаторов, работающих в комплекте с:│ │
│ - преобразователями термоэлектрическими │От минус 200 до плюс 2500 │
│ - термопреобразователями сопротивления │От минус 260 до плюс 1100 │
│ - другими первичными преобразователями │От минус 260 до плюс 2500 │
│ - измерительными преобразователями, │От минус 200 до плюс 2500 │
│имеющими унифицированные выходные сигналы│ │
│Предел допускаемого отклонения │0,1; 0,15; 0,2; 0,25; 0,4; │
│сигнализации, % │0,5; 0,6; 1,0; 1,5; 2,0; 2,5; │
│ │4,0 │
│Зона возврата, не менее │Предела допускаемого │
│ │отклонения │
├─────────────────────────────────────────┴───────────────────────────────┤
│ Примечания. 1. Рабочий диапазон температур, контролируемый│
│сигнализаторами, может находиться внутри диапазонов, указанных│
│ 2. Значения пределов допускаемого отклонения сигнализации, выраженные│
│в процентах, устанавливают в зависимости от диапазона контролируемых│
│температур и указывают в технических условиях на сигнализаторы конкретных│
│типов. │
│ 3. Зона возврата может быть регулируемой, ее значение и пределы│
│регулирования должны устанавливаться в технических условиях на│
│сигнализаторы конкретных типов. │
│ 4. В технически и экономически обоснованных случаях по требованию│
│потребителя (заказчика) допускается устанавливать значения предела│
│допускаемого отклонения, отличные от указанных в таблице. │
└─────────────────────────────────────────────────────────────────────────┘
5.3. Срабатывание и отпускание сигнализаторов должно иметь релейный характер. В технических условиях на сигнализаторы конкретных типов может быть предусмотрена временная задержка на срабатывание и отпускание.
Время нарастания и спада выходного сигнала для сигнализаторов с бесконтактным выходом задается в технических условиях на сигнализаторы конкретных типов.
5.4. Параметры нагрузок, коммутируемых выходными устройствами сигнализаторов, устанавливаются в технических условиях на сигнализаторы конкретных типов.
5.5. Сигнализаторы должны выдерживать перегрузки по входному сигналу, соответствующие обрыву или короткому замыканию первичного преобразователя температуры. Техническими условиями на сигнализаторы конкретных типов может быть предусмотрена возможность контроля целостности первичного преобразователя температуры, индикации результатов контроля и предотвращения выдачи ложных сигналов.
5.6. При включении в сеть сигнализаторы не должны выдавать ложных сигналов.
5.7. Электрическое сопротивление изоляции цепей сигнализаторов относительно корпуса и цепей между собой - по
ГОСТ 12997.
5.8. Электрическая прочность изоляции - по
ГОСТ 12997.
5.9. По устойчивости к воздействию температуры и влажности окружающей среды сигнализаторы должны изготовляться по
ГОСТ 15150. Ограничения значений рабочих температур и относительной влажности, указанные в
ГОСТ 15150, должны быть указаны в технических условиях на сигнализаторы конкретных типов.
5.10. При изменении параметров питания в пределах, указанных в технических условиях, дополнительное отклонение и дополнительное изменение зоны возврата не должны превышать предела допускаемого отклонения.
5.11. При воздействии на сигнализаторы внешнего магнитного поля напряженностью 400 А/м, создаваемого постоянным током или переменным током частотой 50 или 400 Гц (соответственно частоте питания сигнализатора) при самых неблагоприятных фазе и направлении поля, дополнительное отклонение и дополнительное изменение зоны возврата не должны превышать предела допускаемого отклонения.
5.12. При изменении температуры окружающего воздуха от (20 +/- 5) °C до любой температуры в пределах диапазона температур, указанных в
5.9, на каждые 10 °C изменения температуры дополнительное отклонение и дополнительное изменение зоны возврата не должны превышать половины предела допускаемого отклонения.
5.13. По устойчивости к механическим воздействиям, по устойчивости в транспортной таре к воздействию тряски, температуры и относительной влажности сигнализаторы должны соответствовать
ГОСТ 12997.
5.14. Требования к защите от воздействия агрессивных сред и других воздействий окружающей среды следует устанавливать в технических условиях на сигнализаторы конкретных типов.
5.15. Уровень радиопомех, создаваемых сигнализаторами при работе, не должен превышать норм, предусмотренных в Нормах 1-87-9-87 "Общесоюзные нормы допускаемых индустриальных радиопомех"
[1].
5.16. Сигнализаторы должны быть устойчивы при воздействии помех нормального вида и общего вида, величина которых должна устанавливаться в технических условиях на сигнализаторы конкретных типов.
5.18. Номенклатура и значения показателей надежности устанавливаются в технических условиях на сигнализаторы конкретных типов.
6.1. В комплект сигнализаторов могут входить запасные части и принадлежности, номенклатуру, потребность и количество которых следует указывать в технических условиях на сигнализаторы конкретных типов.
6.2. К каждому сигнализатору должны прилагаться эксплуатационные документы по
ГОСТ 2.601, виды, количество и необходимость которых следует указывать в технических условиях на сигнализаторы конкретных типов.
7.2. Объем, состав и последовательность испытаний, вид контроля (сплошной, выборочный), перечень контролируемых параметров (характеристик) и последовательность их проверки во время испытаний следует устанавливать в технических условиях на сигнализаторы конкретных типов.
8.1. Условия испытаний сигнализаторов должны быть следующие:
- температура окружающего воздуха (20 +/- 5) °C;
- относительная влажность воздуха от 45% до 80%;
- атмосферное давление от 84,0 кПа до 106,7 кПа;
- напряжение питания согласно техническим условиям на сигнализаторы конкретных типов с допускаемым отклонением +/- 2% номинального значения;
- частота тока питания (50 +/- 0,5) Гц, (400 +/- 12) Гц.
8.2. Соответствие сигнализаторов чертежам, утвержденным в установленном порядке
(5.1), следует проверять внешним осмотром и измерительным инструментом, обеспечивающим необходимую точность.
8.3. Проверку предела допускаемого отклонения сигнализаторов
(5.2) проводят следующим образом:
1) образцовое средство, имитирующее изменение входного сигнала соответственно первичному преобразователю температуры (далее - образцовое средство), подключают к клеммам, служащим для подключения первичного преобразователя температуры. Значение сопротивления соединительных проводов должно устанавливаться в технических условиях на сигнализаторы конкретных типов.
Погрешность образцового средства должна быть не менее чем в 3 раза ниже предела допускаемого отклонения сигнализатора.
Включают сигнализатор в сеть и прогревают его не менее 30 мин;
2) плавно изменяют значение входного сигнала образцового средства до момента срабатывания выходного устройства сигнализатора;
3) предел допускаемого отклонения сигнализатора

в процентах определяют по формуле

, (1)
где U - значение входного сигнала образцового средства в момент срабатывания сигнализатора;

- табличное значение входного сигнала, соответствующее установленной задатчиком температуре;

,

- табличные значения входного сигнала, соответствующие началу и концу диапазона контролируемых температур.
Проверку предела допускаемого отклонения следует проводить для трех значений задатчика, соответствующих началу, середине и концу диапазона контролируемых температур.
8.4. Проверку зоны возврата
(5.2) следует проводить одновременно с проверкой предела допускаемого отклонения сигнализаторов.
При уменьшении (увеличении) входного сигнала на образцовом средстве фиксируют отпускание выходного устройства сигнализатора.
Зону возврата сигнализатора

в процентах определяют по формуле

, (2)
где U' - значение входного сигнала образцового средства в момент отпускания выходного устройства сигнализатора;
U,

,

- соответственно
8.3.
8.5. Проверку влияния перегрузок по входному сигналу, соответствующих обрыву и короткому замыканию термопреобразователя
(5.5), проводят в следующем порядке.
Подключают сигнализатор, как указано в
8.3.
Для проверки влияния обрыва отключают образцовое средство на 2 мин. Затем подключают образцовое средство и проводят проверку предела допускаемого отклонения.
Для проверки влияния короткого замыкания шунтируют проводником образцовое средство на 2 мин. Затем подключают образцовое средство и проводят проверку предела допускаемого отклонения.
Проверку предела допускаемого отклонения допускается проводить на одной установке.
8.6. Отсутствие ложных срабатываний сигнализатора
(5.6) при включении его в сеть определяют в следующем порядке.
Подключают сигнализатор, как указано в
8.3.
Плавно изменяют значение входного сигнала образцового средства до момента срабатывания (отпускания) заданной уставки, после чего сигнализатор выключают. Уменьшают (увеличивают) значение входного сигнала образцового средства для сигнализаторов с сигнализацией превышения (понижения) на значение удвоенной зоны возврата.
Сигнализатор включают в сеть.
Сигнализатор выдержал испытание, если при его включении в сеть не наблюдается срабатывание.
8.7. Электрическое сопротивление изоляции сигнализаторов
(5.7) между конкретными цепями, указанными в технических условиях на сигнализаторы конкретных типов, - по
ГОСТ 12997.
8.10. Дополнительное отклонение и дополнительное изменение зоны возврата, вызванные изменением напряжения частоты питания
(5.10), следует проводить на установке, позволяющей регулировать напряжение и частоту питания в пределах допускаемых отклонений от номинального значения.
По методике, изложенной в
8.3,
8.4, проверяют дополнительное отклонение и дополнительное изменение зоны возврата сигнализатора при изменении напряжения и частоты на величину, указанную в
4.10. Проверку допускается проводить на одной установке.
8.11. Проверку влияния внешнего магнитного поля
(5.11) проводят на установке, позволяющей получать равномерное магнитное поле напряженностью 400 А/м, создаваемое постоянным током или переменным током частотой 50 или 400 Гц при самых неблагоприятных фазе и направлении поля.
Для выявления наибольшего влияния магнитного поля фазу питания установки и расположение сигнализатора на установке выбирают такими, при которых влияние внешнего магнитного поля максимальное.
Образцовое средство, подключаемое к испытуемому сигнализатору, должно быть удалено от установки, создающей магнитное поле, на расстояние не менее 3 м.
Провода, соединяющие образцовое средство с сигнализатором, должны быть перевиты и экранированы. Экран и сигнализатор должны быть надежно заземлены.
По методике, изложенной в
8.3,
8.4, проверяют дополнительное отклонение и дополнительное изменение зоны возврата сигнализатора при влиянии на него магнитного поля.
Проверку допускается проводить на одной установке.
8.12. Проверку влияния изменения температуры окружающего воздуха
(5.12) проводят в следующем порядке.
Сигнализаторы помещают в камеру тепла (холода) и проверяют предел допускаемого отклонения и зону возврата в нормальных условиях. Затем температуру в камере тепла (холода) повышают (понижают) до предельного значения, указанного в
5.9, и поддерживают ее с погрешностью +/- 3 °C в течение 2 ч.
После окончания срока выдержки проверяют предел допускаемого отклонения
(8.3), зону возврата
(8.4) и электрическое сопротивление изоляции
(5.9).
Проверку предела допускаемого отклонения и зоны возврата допускается проводить на одной установке.
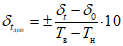
Дополнительное отклонение сигнализатора на каждые 10 °C

определяют по формуле

, (3)
где

- допускаемое отклонение (с учетом знака), определенное при температуре испытаний, %;

- допускаемое отклонение (с учетом знака), определенное при нормальной температуре, %;

- температура испытаний, °C;

- нормальная температура, °C.
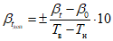
Дополнительное изменение зоны возврата сигнализатора на каждые 10 °C

определяют по формуле

, (4)
где

- зона возврата, определенная при температуре испытаний, %;

- зона возврата, определенная при нормальной температуре, %.
8.13. Испытание сигнализаторов по устойчивости к механическим воздействиям, по устойчивости в транспортной таре к воздействию транспортной тряски, температуры, относительной влажности
(5.13) - по
ГОСТ 12997.
8.14. Испытания сигнализаторов на защищенность от воздействия агрессивных сред и других воздействий окружающей среды
(5.14) проводят по методикам, изложенным в технических условиях на сигнализаторы конкретных типов.
| | ИС МЕГАНОРМ: примечание. ГОСТ 16842-82 утратил силу на территории Российской Федерации с 1 января 2001 года в связи с введением в действие ГОСТ Р 51320-99 (Постановление Госстандарта России от 22.12.1999 N 655-ст). | |
8.15. Проверка уровня радиопомех
(5.15) - по ГОСТ 16842 и Нормам 1-87-9-87 "Общесоюзные нормы допускаемых индустриальных радиопомех"
[1].
8.16. Испытание на помехоустойчивость
(5.16) проводят по методике, изложенной в технических условиях на сигнализаторы конкретных типов.
8.17. Испытание сигнализаторов на взрыво- и искробезопасность
(5.17) проводят по методике, изложенной в технических условиях на сигнализаторы конкретных типов.
8.18. Методы подтверждения показателей надежности
(5.18) устанавливают в технических условиях на сигнализаторы конкретных типов.
9. Маркировка, упаковка, транспортирование и хранение
9.1. На каждом сигнализаторе должны быть указаны:
- товарный знак предприятия-изготовителя;
- условное обозначение типа сигнализатора;
- дата выпуска (год, месяц);
- диапазон контролируемых температур;
- номинальные статические характеристики преобразования (входной сигнал);
- предел допускаемого отклонения.
Допускается наносить на сигнализатор дополнительные знаки маркировки в соответствии с требованиями технических условий на сигнализаторы конкретных типов.
9.2. Упаковывание сигнализаторов проводят в закрытом вентилируемом помещении при температуре окружающего воздуха от 15 °C до 40 °C и относительной влажности до 80%.
9.3. Условия транспортирования сигнализаторов - 4 по
ГОСТ 15150.
9.4. Условия хранения сигнализаторов - 1 по
ГОСТ 15150.
10. Гарантии изготовителя
10.1. Изготовитель гарантирует соответствие сигнализаторов температуры требованиям настоящего стандарта при соблюдении условий эксплуатации, хранения и транспортирования.
10.2. Гарантийный срок эксплуатации - 18 месяцев, со дня ввода сигнализаторов в эксплуатацию.
10.3. Гарантийный срок хранения - 24 месяца со дня изготовления.
(справочное)
БИБЛИОГРАФИЯ
[1] Нормы 1-87-9-87. Общесоюзные нормы допускаемых индустриальных радиопомех.