Главная // Актуальные документы // Актуальные документы (обновление 01.03.2026 по 01.04.2026) // ГОСТ (Государственный стандарт)СПРАВКА
Источник публикации
В данном виде документ опубликован не был.
Первоначальный текст документа опубликован в издании
М.: Стандартинформ, 2019.
Информацию о публикации документов, создающих данную редакцию, см. в справке к этим документам.
Примечание к документу
Текст данного документа приведен с учетом
поправки, опубликованной в "ИУС", N 7, 2023;
поправки, введенной в действие с 26.04.2024, опубликованной в "ИУС", N 7, 2024.
Изменение N 1 введено в действие на территории Российской Федерации
Приказом Росстандарта от 10.12.2025 N 1683-ст с 01.03.2026.
Название документа
"ГОСТ 24950-2019. Межгосударственный стандарт. Отводы гнутые и вставки кривые на поворотах линейной части стальных трубопроводов. Технические условия"
(введен в действие Приказом Росстандарта от 18.04.2019 N 135-ст)
(ред. от 10.12.2025)
"ГОСТ 24950-2019. Межгосударственный стандарт. Отводы гнутые и вставки кривые на поворотах линейной части стальных трубопроводов. Технические условия"
(введен в действие Приказом Росстандарта от 18.04.2019 N 135-ст)
(ред. от 10.12.2025)
агентства по техническому
регулированию и метрологии
от 18 апреля 2019 г. N 135-ст
МЕЖГОСУДАРСТВЕННЫЙ СТАНДАРТ
ОТВОДЫ ГНУТЫЕ И ВСТАВКИ КРИВЫЕ НА ПОВОРОТАХ
ЛИНЕЙНОЙ ЧАСТИ СТАЛЬНЫХ ТРУБОПРОВОДОВ
ТЕХНИЧЕСКИЕ УСЛОВИЯ
Bent branches and elbows at line bends for steel
pipelines. Specifications
ГОСТ 24950-2019
| | Список изменяющих документов Приказом Росстандарта от 10.12.2025 N 1683-ст) | |
Дата введения
1 сентября 2019 года
Цели, основные принципы и общие правила проведения работ по межгосударственной стандартизации установлены
ГОСТ 1.0 "Межгосударственная система стандартизации. Основные положения" и
ГОСТ 1.2 "Межгосударственная система стандартизации. Стандарты межгосударственные, правила и рекомендации по межгосударственной стандартизации. Правила разработки, принятия, обновления и отмены"
1 РАЗРАБОТАН Акционерным обществом "Трубодеталь" (АО "Трубодеталь"), Открытым акционерным обществом "Российский научно-исследовательский институт трубной промышленности" (ОАО "РосНИТИ")
2 ВНЕСЕН Техническим комитетом по стандартизации ТК 357 "Стальные и чугунные трубы и баллоны"
3 ПРИНЯТ Межгосударственным советом по стандартизации, метрологии и сертификации (протокол от 29 марта 2019 г. N 117-П)
За принятие проголосовали:
Краткое наименование страны по МК (ИСО 3166) 004-97 | Код страны по МК (ИСО 3166) 004-97 | Сокращенное наименование национального органа по стандартизации |
Азербайджан | AZ | Азстандарт |
Беларусь | BY | Госстандарт Республики Беларусь |
Киргизия | KG | Кыргызстандарт |
Россия | RU | Росстандарт |
Таджикистан | TJ | Таджикстандарт |
4
Приказом Федерального агентства по техническому регулированию и метрологии от 18 апреля 2019 г. N 135-ст межгосударственный стандарт ГОСТ 24950-2019 введен в действие в качестве национального стандарта Российской Федерации с 1 сентября 2019 г.
Информация о введении в действие (прекращении действия) настоящего стандарта и изменений к нему на территории указанных выше государств публикуется в указателях национальных стандартов, издаваемых в этих государствах, а также в сети Интернет на сайтах соответствующих национальных органов по стандартизации.
В случае пересмотра, изменения или отмены настоящего стандарта соответствующая информация будет опубликована на официальном интернет-сайте Межгосударственного совета по стандартизации, метрологии и сертификации в каталоге "Межгосударственные стандарты"
Настоящий стандарт распространяется на гнутые отводы (далее - отводы) и кривые вставки (далее - вставки) диаметром от 57 до 1420 мм, предназначенные для поворотов в вертикальной или горизонтальной плоскости стальных трубопроводов различного назначения и ответвлений от них, транспортирующих некоррозионно-активные продукты.
Отводы изготавливаются из стальных труб, в том числе с наружным защитным антикоррозионным и внутренним гладкостным покрытиями, в заводских и трассовых условиях на трубогибочном оборудовании поперечной гибкой труб в холодном состоянии.
(в ред.
Изменения N 1, введенного в действие Приказом Росстандарта от 10.12.2025 N 1683-ст)
В настоящем стандарте использованы нормативные ссылки на следующие межгосударственные стандарты:
ГОСТ 10 Нутромеры микрометрические. Технические условия
ГОСТ 166 (ИСО 3599-76) Штангенциркули. Технические условия
ГОСТ 427-75 Линейки измерительные металлические. Технические условия
ГОСТ 3749 Угольники поверочные 90°. Технические условия
Ссылка исключена с 01.03.2026. -
Изменение N 1, введенное в действие Приказом Росстандарта от 10.12.2025 N 1683-ст.
Ссылка исключена с 01.03.2026. -
Изменение N 1, введенное в действие Приказом Росстандарта от 10.12.2025 N 1683-ст.
ГОСТ 7502 Рулетки измерительные металлические. Технические условия
ГОСТ 10692 Трубы стальные, чугунные и соединительные детали к ним. Приемка, маркировка, упаковка, транспортирование и хранение
Ссылка исключена с 01.03.2026. -
Изменение N 1, введенное в действие Приказом Росстандарта от 10.12.2025 N 1683-ст.
ГОСТ 18442 Контроль неразрушающий. Капиллярные методы. Общие требования
ГОСТ 20295 Трубы стальные сварные для магистральных газонефтепроводов. Технические условия
ГОСТ 22261 Средства измерений электрических и магнитных величин. Общие технические условия
<**>
--------------------------------
<*> В Российской Федерации действует
ГОСТ Р 56512-2015 "Контроль неразрушающий. Магнитопорошковый метод. Типовые технологические процессы".
<**> В Российской Федерации также действует
ГОСТ Р 51070-97 "Измерители напряженности электрического и магнитного полей. Общие технические требования и методы испытаний".
(в ред.
Изменения N 1, введенного в действие Приказом Росстандарта от 10.12.2025 N 1683-ст)
ГОСТ 22727 Прокат листовой. Методы ультразвукового контроля
Ссылка исключена с 01.03.2026. -
Изменение N 1, введенное в действие Приказом Росстандарта от 10.12.2025 N 1683-ст.
ГОСТ 28702 Контроль неразрушающий. Толщиномеры ультразвуковые. Общие технические требования <*>
--------------------------------
<*> В Российской Федерации действует
ГОСТ Р 55614-2013 "Контроль неразрушающий. Толщиномеры ультразвуковые. Общие технические требования".
ГОСТ 31448 Трубы стальные с защитными наружными покрытиями для магистральных газонефтепроводов. Технические условия
ГОСТ 31458 (ISO 10474:2013) Трубы стальные, чугунные и соединительные детали к ним. Документы о приемочном контроле
Примечание - При пользовании настоящим стандартом целесообразно проверить действие ссылочных стандартов и классификаторов на официальном интернет-сайте Межгосударственного совета по стандартизации, метрологии и сертификации (www.easc.by) или по указателям национальных стандартов, издаваемым в государствах, указанных в предисловии, или на официальных сайтах соответствующих национальных органов по стандартизации. Если на документ дана недатированная ссылка, то следует использовать документ, действующий на текущий момент, с учетом всех внесенных в него изменений. Если заменен ссылочный документ, на который дана датированная ссылка, то следует использовать указанную версию этого документа. Если после принятия настоящего стандарта в ссылочный документ, на который дана датированная ссылка, внесено изменение, затрагивающее положение, на которое дана ссылка, то это положение применяется без учета данного изменения. Если ссылочный документ отменен без замены, то положение, в котором дана ссылка на него, применяется в части, не затрагивающей эту ссылку.
(примечание в ред.
Изменения N 1, введенного в действие Приказом Росстандарта от 10.12.2025 N 1683-ст)
В настоящем стандарте применены следующие термины с соответствующими определениями:
3.1 вставка: Криволинейный участок трубопровода, смонтированный из отводов.
3.2 гофр: Нарушение формы сечения отвода в результате потери местной устойчивости стенки трубы, когда при изгибе в сжатой зоне развиваются чрезмерные пластические деформации.
Примечание - Гофр вытянут в окружном направлении и имеет малую длину по оси отвода. Гофр может иметь, кроме основной плавной волны, дополнительные (вторичные) плавные волны меньшей высоты.
(в ред.
Изменения N 1, введенного в действие Приказом Росстандарта от 10.12.2025 N 1683-ст)
3.3 диэлектрическая сплошность: Отсутствие электрического пробоя при воздействии на покрытие напряжения от высоковольтного источника постоянного тока.
3.4 дорн: Устройство, входящее в состав трубогибочного оборудования, предназначенное для снижения гофрообразования и сохранения овальности труб в допустимых пределах.
3.5 единичный угол гибки: Угол гибки отвода за один шаг гибки (без продольного перемещения трубы).
3.6 заказчик: Организация, заказывающая, получающая и использующая изделия.
3.7 изготовитель: Предприятие или организация, изготавливающие продукцию в соответствии с требованиями настоящего стандарта.
3.8 инвентарная труба: Труба, привариваемая к торцу трубы-заготовки с целью увеличения рабочей зоны гибки и отрезаемая после выполнения гибки.
3.9 категория прочности: Обозначение уровня прочностных свойств металла, состоящее из буквенного сокращения "X" и условного обозначения нормируемого предела текучести.
3.10 класс прочности: Обозначение уровня прочностных свойств металла, состоящее из буквенного сокращения "К" и условного обозначения нормируемого временного сопротивления разрыву.
3.11 косина реза: Отклонение фактического расположения плоскости торца от его номинального расположения.
(п. 3.11 в ред.
Изменения N 1, введенного в действие Приказом Росстандарта от 10.12.2025 N 1683-ст)
3.12 кромка: Обработанный механическим способом торец трубы или отвода для выполнения сварного соединения.
3.13 нейтральная плоскость: Плоскость, проходящая через ось трубы, подвергаемой холодной гибке, перпендикулярно поперечным сечениям, в точках которой нормальные напряжения равны нулю.
3.14
некоррозионно-активные транспортируемые продукты: Продукты, вызывающие равномерную коррозию незащищенной стенки трубы со скоростью не более 0,1 мм в год. |
3.15 исключен с 01.03.2026. -
Изменение N 1, введенное в действие Приказом Росстандарта от 10.12.2025 N 1683-ст.
3.16 овальность: Отклонение формы поперечного сечения трубы (отвода) от идеально кольцевой, характеризующееся овалообразным профилем, наибольший и наименьший диаметры которого находятся во взаимоперпендикулярных направлениях.
(в ред.
Изменения N 1, введенного в действие Приказом Росстандарта от 10.12.2025 N 1683-ст)
3.17 отвод: Соединительная деталь, предназначенная для поворота оси трубопровода.
3.18 перелом: Дефект формы в виде нарушения целостности металла, образующийся в результате неравномерной деформации.
3.19
притупление кромки: Нескошенная часть кромки торца, подлежащей сварке. |
3.20 рабочая зона гибки: Участок трубы, подвергаемый гибке.
3.21 распорка: Приспособление, предназначенное для предотвращения овализации торца трубы в процессе гибки.
3.22 угол гибки отвода: Сумма единичных углов гибки отвода.
3.23 шаг гибки (передвижка): Значение перемещения трубной заготовки на трубогибочном оборудовании между последовательными сгибами.
4 Обозначения и сокращения
В настоящем стандарте применены следующие обозначения:

- угол гибки отвода, градус;

- угол гибки первого отвода, градус;

- угол гибки второго отвода, градус;

- угол вставки, градус;
A - габаритная высота отвода, мм;
B - высота скоса кромки, мм;
c - ширина притупления кромки, мм;
C - стыковой кольцевой сварной шов;
Dн - наружный диаметр, мм;
Dmax - максимальный размер диаметра, мм;
Dmin - минимальный размер диаметра, мм;
E - габаритная длина отвода, мм;
F - расстояние от полотна рулетки до тела отвода на внутренней образующей, мм;
G - длина отвода, измеренная от первой нижней кромки до второй, мм;
H - высота стрелы прогиба, мм;
Hс - высота стрелы прогиба, при L < 2000 мм, мм;
h - высота гофра, мм;
(в ред.
Изменения N 1, введенного в действие Приказом Росстандарта от 10.12.2025 N 1683-ст)
L - длина хорды, мм;
Lтр - минимальная длина трубы, мм;
Lmin - минимальная (теоретическая) длина гнутой части отвода, мм;
L1пк - длина прямого участка трубы со стороны гибочных цилиндров, мм;
L2пк - длина прямого участка трубы со стороны упорного кольца, мм;
Lну - длина несгибаемого участка трубы около кольцевого сварного шва, мм;
l, l3 - длины прямых участков отвода, мм;
l2 - длина гнутой части отвода, мм;
l4, l5 - длины прямых участков труб, мм;
P - периметр на торцах отводов, мм;
R - радиус гибки, мм;
S - номинальная толщина стенки отвода, мм;
(в ред.
Изменения N 1, введенного в действие Приказом Росстандарта от 10.12.2025 N 1683-ст)
Sтр - номинальная толщина стенки присоединяемой трубы, мм;
(в ред.
Изменения N 1, введенного в действие Приказом Росстандарта от 10.12.2025 N 1683-ст)
Sп - толщина стенки отвода после выполнения цилиндрической проточки, мм;
(введено
Изменением N 1, введенным в действие Приказом Росстандарта от 10.12.2025 N 1683-ст)
t - шаг образования гофра, мм;
(в ред.
Изменения N 1, введенного в действие Приказом Росстандарта от 10.12.2025 N 1683-ст)

- число Пи, принятое равным 3,1416;

- толщина измерительной ленты рулетки, мм;

- величина овальности, %.
В настоящем стандарте применены следующие сокращения:
ГО - гнутый отвод;
НД - нормативная документация;
ТУ - технические условия;
УЗК - ультразвуковой контроль.
5.1 Отводы изготовляют трех типов:
- тип 1 - из одной трубы в соответствии с
рисунком 1;
- тип 2 - из одной трубы с применением на период гибки инвентарной трубы;
- тип 3 - из двух труб в соответствии с
рисунком 2.
1, 2 - трубы, образующие отвод
5.2 Вставки подразделяют на три вида:
А - вставка, изготовленная из отводов типа 1;
Б - вставка, изготовленная из отводов типа 2;
В - вставка, изготовленная из отводов типа 3.
5.3 Изготовление вставок проводят из отводов в соответствии с рисунком 3 и
приложением А.
1, 2 - отводы, образующие вставку
Рисунок 3 - Вставка из двух отводов
Приказом Росстандарта от 10.12.2025 N 1683-ст)
5.4 Угол вставки должен соответствовать проектному углу поворота трубопровода и равен сумме углов отводов.
6.1.1 Наружный диаметр и максимальный угол гибки отводов приведены в таблице 1.
Таблица 1
Геометрические параметры отводов
Наружный диаметр отвода Dн, мм (") | Максимальный угол гибки <*>, для отвода типа |
Метрический ряд | Дюймовый ряд | 1 | 2 | 3 |
От 57 до 89 включ. | От 60,3 (2") до 88,9 (3") включ. | 60° при Dн = 57 мм; 45° при Dн до 76 мм включ.; 27° при Dн до 89 мм включ. | - | - |
От 108 до 133 включ. | От 114,3 (4") до 141,3 (5") включ. | 27° | - | - |
От 159 до 325 включ. | От 168,3 (6") до 323,9 (12") включ. | 27° | - | - |
377 | 355,6 (14") | - | - |
426 | 406,4 (16") | 21° | - | - |
530 | 508,0 (20") | 18° | - | - |
От 630 до 820 включ. | От 610,0 (24") до 813,0 (32") включ. | 9° | 12° | 24° |
1020 | 1016,0 (40") | 9° | 12° | 21° |
1020 | 1067,0 (42") | 9° | 12° | 21° |
1220 | 1219,0 (48") | 6° | 9° | 15° |
1420 | 1422,0 (56") | 6° | 9° | 15° |
<*> Указанные максимальные углы гибки приведены для труб длиной до 12 м. |
6.1.2 Толщина стенки отвода в любом сечении на гнутой части должна быть не менее толщины стенки присоединяемой трубы с учетом минусового допуска, регламентированного в НД на трубы.
(п. 6.1.2 в ред.
Изменения N 1, введенного в действие Приказом Росстандарта от 10.12.2025 N 1683-ст)
6.1.3 Угол гибки отвода должен быть кратным 1°.
6.1.4 Отклонение угла гибки отвода от заданного значения не должно превышать +/- 20'.
6.1.5 Отклонения наружного диаметра и овальности на торцах отводов не должны превышать значений, установленных на исходные трубы.
Овальность отводов на изогнутой части не должна превышать 2,5%.
6.1.6 Исключен с 01.03.2026. -
Изменение N 1, введенное в действие Приказом Росстандарта от 10.12.2025 N 1683-ст.
6.1.7 Радиус гибки на любом участке гнутой части отвода должен быть не менее 40 наружных диаметров трубы.
6.1.7.1 Допускается отклонение величины радиуса гибки на минус 5%.
6.1.8 Стыковые кольцевые сварные соединения отводов типа 2, типа 3 и вставок должны быть выполнены дуговыми способами сварки с полным проваром разделки.
Каждый стыковой кольцевой сварной шов отводов типа 2 во время его изготовления послойно подвергают визуальному и измерительному контролю или после его изготовления до гибки отводов - визуальному и измерительному, а также ультразвуковому контролю.
Каждый стыковой кольцевой сварной шов отводов типа 3 и вставок должен быть проверен визуальным и измерительным, ультразвуковым и радиографическим контролем.
Нормы оценки качества стыковых кольцевых сварных соединений отводов должны соответствовать требованиям нормативно-правовых актов государств, проголосовавших за принятие настоящего стандарта <*>.
(п. 6.1.8 в ред.
Изменения N 1, введенного в действие Приказом Росстандарта от 10.12.2025 N 1683-ст)
--------------------------------
<*> В Российской Федерации действует
СП 86.13330.2022 "СНиП III-42-80* Магистральные трубы".
(сноска в ред.
Изменения N 1, введенного в действие Приказом Росстандарта от 10.12.2025 N 1683-ст)
6.1.9 Внешний вид, толщина и диэлектрическая сплошность покрытия отводов должны соответствовать требованиям НД на трубы с покрытием.
6.1.10 Выявленные ремонтопригодные дефекты покрытия после изготовления отводов ремонтируют в соответствии с инструкцией (рекомендацией) изготовителя труб с покрытием.
6.1.11 На торцах отводов сохраняют обработку кромок под сварку, выполненную изготовителем труб. Допускается механическая обработка торцов в соответствии с рисунком 4,
таблицами 2 и
3 или требованиями заказчика.
Рисунок 4 - Типы обработки кромок торцов отводов под сварку
Приказом Росстандарта от 10.12.2025 N 1683-ст)
Таблица 2
Ширина притупления кромки
В миллиметрах
Наружный диаметр, Dн | Ширина притупления кромки, c |
До 377 включ. | 1,0 +/- 0,5 |
(в ред. Изменения N 1, введенного в действие Приказом Росстандарта от 10.12.2025 N 1683-ст) |
426 | 1,5 +/- 0,5 |
(в ред. Изменения N 1, введенного в действие Приказом Росстандарта от 10.12.2025 N 1683-ст) |
От 530 до 1420 включ. | 1,8 +/- 0,8 |
(в ред. Изменения N 1, введенного в действие Приказом Росстандарта от 10.12.2025 N 1683-ст) |
(в ред.
Изменения N 1, введенного в действие Приказом Росстандарта от 10.12.2025 N 1683-ст)
Таблица 3
В миллиметрах
Номинальная толщина стенки присоединяемой трубы, Sтр | Высота скоса кромки, B |
Св. 15,0 до 19,0 включ. | 9,0 +/- 0,5 |
Св. 19,0 до 21,5 включ. | 10,0 +/- 0,5 |
Св. 21,5 до 32,0 включ. | 12,0 +/- 0,5 |
Св. 32,0 | 16,0 +/- 0,5 |
(в ред.
Изменения N 1, введенного в действие Приказом Росстандарта от 10.12.2025 N 1683-ст)
Если разность номинальных толщин стенок отвода и присоединяемой трубы превышает 2 мм и отношение номинальных толщин стенок отвода и присоединяемой трубы не более 1,5, то выполняют обработку кромок типа 3 или типа 5 (с внутренним скосом).
(в ред.
Изменения N 1, введенного в действие Приказом Росстандарта от 10.12.2025 N 1683-ст)
Если отношение номинальных толщин стенок отвода и присоединяемой трубы более 1,5, следует применять разделку кромок типа 6 или типа 7
(рисунок 4), при этом отношение толщины стенки отвода после выполнения цилиндрической проточки
Sп к номинальной толщине стенки присоединяемой трубы должно находиться в пределах от 1,1 до 1,5.
(в ред.
Изменения N 1, введенного в действие Приказом Росстандарта от 10.12.2025 N 1683-ст)
При выполнении разделки кромки возможно неравномерное по ширине или частичное образование внутренней фаски.
(абзац введен
Изменением N 1, введенным в действие Приказом Росстандарта от 10.12.2025 N 1683-ст)
6.1.12 В случае проведения механической обработки косина реза торцов отводов должна быть не более косины реза торцов согласно НД на трубы, из которых изготавливались отводы.
6.1.13 После проведения механической обработки кромок не допускаются расслоения, выходящие на поверхность и торцы отводов.
6.1.14 Остаточная магнитная индукция на торцах отводов, подвергшихся механической обработке, не должна превышать 3 мТл. При превышении остаточной магнитной индукции на торцах допустимых значений проводят размагничивание в соответствии с технологической документацией изготовителя отводов.
(в ред.
Изменения N 1, введенного в действие Приказом Росстандарта от 10.12.2025 N 1683-ст)
6.1.15 На наружной и внутренней поверхностях отвода не допускаются трещины любой глубины и протяженности, рванины, закаты и расслоения, выходящие на поверхность. Не допускается вдавливание любых участков сварного шва внутрь отвода. Остальные требования к наружной и внутренней поверхностям отводов должны соответствовать требованиям НД на трубы, из которых изготавливались эти отводы.
6.1.16 Поверхностные дефекты глубиной более допустимой зачищают абразивным инструментом с образованием плавного перехода к поверхности отвода, при этом толщина стенки в месте зачистки, указанная в НД на трубы, из которых изготавливались отводы, не должна выходить за минусовой допуск. Места зачисток должны быть проверены визуальным и измерительным контролем. Толщину стенки в месте зачистки контролируют с помощью методов ультразвуковой толщинометрии.
(в ред.
Изменения N 1, введенного в действие Приказом Росстандарта от 10.12.2025 N 1683-ст)
6.1.17 Изогнутые участки отводов не должны иметь переломов и складок.
6.1.18 На вогнутой стороне отводов допускается образование гофров в соответствии с
рисунком 5, высотой
h, не более:
(в ред.
Изменения N 1, введенного в действие Приказом Росстандарта от 10.12.2025 N 1683-ст)
- 50% от номинальной толщины стенки изгибаемой трубы, но не более 10 мм с шагом t не менее 3h - для отводов наружным диаметром 219 мм и более;
- 5 мм с шагом t не менее 15 мм - для отводов наружным диаметром менее 219 мм.
Рисунок 5 - Гофры (волнистости) на отводах
6.1.19 Ремонт основного металла и продольного сварного соединения отводов сваркой не допускается.
6.1.20 Условное обозначение отвода в заказной, проектной, конструкторской и технологической документации включает:
- наименование "Отвод";
- обозначение типа отвода (цифровое обозначение);
- буквенное обозначение отвода (буквы "ГО");
- угол гибки отвода (в градусах);
- наружный диаметр присоединяемой трубы;
- номинальную толщину стенки присоединяемой трубы;
(в ред.
Изменения N 1, введенного в действие Приказом Росстандарта от 10.12.2025 N 1683-ст)
- обозначение НД на трубу;
- класс/категорию прочности и/или марку стали присоединяемой трубы (при необходимости);
- тип покрытия (наружное и/или внутреннее покрытие) и обозначение НД на покрытие (в случае изготовления отвода из трубы с покрытием);
- минимальную температуру стенки трубопровода при эксплуатации (если она ниже минус 5 °C);
- обозначение НД, по которому изготовлен отвод.
Допускается внесение дополнительной информации, которая приводится в заказной, проектной, конструкторской и технологической документации.
Примеры условных обозначений отводов без покрытия:
Отвод типа 1 с углом гибки 6°, для соединения с трубой наружным диаметром 720 мм, номинальной толщиной стенки 10 мм, изготовленный из трубы по ГОСТ 20295, класс прочности К56 и марка стали 10Г2ФБЮ присоединяемой трубы, с минимальной температурой стенки трубопровода при эксплуатации, равной минус 20 °C, по ГОСТ 24950:
(в ред.
Изменения N 1, введенного в действие Приказом Росстандарта от 10.12.2025 N 1683-ст)
Отвод 1ГО.6°.720.10-ГОСТ 20295-К56-10Г2ФБЮ. -20. ГОСТ 24950.
Отвод типа 2 с углом гибки 2°, для соединения с трубой наружным диаметром 720 мм, номинальной толщиной стенки 12 мм, изготовленный из трубы по ГОСТ 20295, класс прочности присоединяемой трубы К52, с минимальной температурой стенки трубопровода при эксплуатации, равной минус 20 °C, по ГОСТ 24950:
(в ред.
Изменения N 1, введенного в действие Приказом Росстандарта от 10.12.2025 N 1683-ст)
Отвод 2ГО.2°.720.12-ГОСТ 20295-К52. -20. ГОСТ 24950.
Пример условного обозначения отвода с покрытием:
Отвод типа 1 с углом гибки 3°, для соединения с трубой наружным диаметром 720 мм, номинальной толщиной стенки 10 мм, изготовленный из трубы по ГОСТ 20295, класс прочности присоединяемой трубы К52, с трехслойным полиэтиленовым покрытием нормального исполнения по ГОСТ 31448, с минимальной температурой стенки трубопровода при эксплуатации, равной минус 20 °C, по ГОСТ 24950:
(в ред.
Изменения N 1, введенного в действие Приказом Росстандарта от 10.12.2025 N 1683-ст)
Отвод 1ГО.3°.720.10-ГОСТ 20295-К52, покрытие 3ПЭ-Н,
6.2 Требования к исходным трубам
6.2.1 Для изготовления отводов и вставок отбирают трубы с заводской маркировкой, на которые имеются документы о приемочном контроле. Использование труб без документов о приемочном контроле не допускается.
6.2.2 Трубы, предназначенные для изготовления отводов, проходят обязательный входной контроль.
6.2.3 При входном контроле каждую трубу подвергают визуальному и измерительному контролю на соответствие требованиям, установленным в НД изготовителя труб.
Если труба не прошла входной контроль, то ее бракуют.
6.2.4 Отводы изготавливают из стальных бесшовных и прямошовных труб (в том числе из труб, сваренных токами высокой частоты), изготовленных по ТУ или НД на эти трубы.
Не допускается изготовление отводов из труб, бывших в эксплуатации.
6.2.5 Толщины стенок труб, отбираемых для изготовления отводов, не должны выходить за пределы номинального значения толщины стенки присоединяемой трубы с учетом минусового допуска, регламентированного в НД на трубы, при этом толщины стенок труб диаметром менее 1020 мм с наружным покрытием должны быть не менее номинального значения толщины стенки присоединяемой трубы.
(в ред.
Изменения N 1, введенного в действие Приказом Росстандарта от 10.12.2025 N 1683-ст)
6.2.6 Класс/категория прочности труб, используемых для изготовления отводов, должен быть не ниже класса/категории прочности присоединяемых труб, регламентированных в проектно-сметной документации.
6.2.7 Трубы для изготовления отводов типа 3 должны быть из одной партии.
6.3 Требования к изготовлению отводов
6.3.1 Изготовление отводов в трассовых условиях осуществляют в соответствии с требованиями, установленными в технологических картах (типовых технологических картах), регламентирующих технологию изготовления отводов.
6.3.2 Длины прямых участков трубы определяют в соответствии с указаниями производителя трубогибочного оборудования, приведенных в инструкции (руководстве) по эксплуатации оборудования.
Минимальную длину трубы, требуемую для изготовления отвода типа 1, определяют по формуле
Lтр = Lmin + L1пк + L2пк, (1)
где

(2)
Радиус гибки
R определяют в соответствии с
6.1.7.
Минимальную длину трубы, требуемую для изготовления отвода типа 2, определяют по формуле
Lтр = Lmin + Lну + L2пк. (3)
6.3.3 Перед началом работ по изготовлению отводов, для контроля и предотвращения вращения трубы относительно своей оси при передвижении на трубогибочном оборудовании, на наружной поверхности трубы или на плети проводят несмываемым ярким маркером горизонтальную линию вблизи продольного сварного шва.
6.3.4 Гибку труб проводят на трубогибочном оборудовании при температуре окружающей среды не ниже минус 20 °C. При гибке отводов с покрытием температура окружающего воздуха должна быть в диапазоне температур эксплуатации покрытия, указанном в НД на исходные трубы с покрытием.
6.3.5 При гибке прямошовной трубы продольный сварной шов располагают в зоне нейтральной плоскости гибки в соответствии с рисунком 6. Отклонение продольного сварного шва труб от нейтральной плоскости должно быть не более +/- 1/15 наружного диаметра отвода. Положение шва устанавливают относительно продольной кромки гибочного ложемента оборудования.
(в ред.
Изменения N 1, введенного в действие Приказом Росстандарта от 10.12.2025 N 1683-ст)
Рисунок 6 - Расположения продольного сварного шва при гибке
6.3.6 При гибке отводов типа 3, сваренных из труб с одним продольным сварным швом, сварные швы указанных труб в секции смещают относительно друг друга на 180°.
6.3.7 При изготовлении вставок из отводов, полученных гибкой труб с двумя продольными сварными швами, последние смещают относительно друг друга на расстоянии от 100 до 130 мм. Отклонение каждого шва от нейтральной плоскости при гибке не должно превышать 50 мм.
6.3.8 Гибка участка отводов типов 2 и 3 на расстоянии, равном половине наружного диаметра отвода (для наружных диаметров отводов от 630 до 820 мм) и менее 1000 мм (для наружных диаметров отводов от 1020 до 1420 мм) по обе стороны от кольцевого сварного шва, запрещается.
(в ред.
Изменения N 1, введенного в действие Приказом Росстандарта от 10.12.2025 N 1683-ст)
6.3.9 Для предотвращения появления гофров и уменьшения овальности на торцах отводов, допускается использовать внутренние распорки на торцах труб, а также разжимные приспособления (дорны). Исправление овальности на торцах отводов производят с помощью безударных разжимных устройств. Исправление овальности по телу отвода не допускается.
(в ред.
Изменения N 1, введенного в действие Приказом Росстандарта от 10.12.2025 N 1683-ст)
7.1 В комплект поставки входят:
- отвод;
- инвентарные защитные приспособления для предохранения фасок от повреждений и защиты внутренней полости от загрязнений;
- паспорт на отвод;
7.2 В паспорте на отвод, изготовленный в заводских условиях, указывают:
(в ред.
Изменения N 1, введенного в действие Приказом Росстандарта от 10.12.2025 N 1683-ст)
- условное обозначение отвода;
- номер документа о приемочном контроле трубы;
- значение углеродного эквивалента;
- заводской номер отвода;
- наименование изготовителя отвода;
(введено
Изменением N 1, введенным в действие Приказом Росстандарта от 10.12.2025 N 1683-ст)
- дату изготовления;
- длину отвода;
- массу отвода;
- отметку (штамп) службы технического контроля.
По требованию заказчика состав паспорта может быть изменен.
7.3 В паспорте на отвод, изготовленный в трассовых условиях, указывают:
(в ред.
Изменения N 1, введенного в действие Приказом Росстандарта от 10.12.2025 N 1683-ст)
- условное обозначение отвода;
- дату проведения трубогибочных работ;
- наименование организации (подрядчика), выполняющей гибку;
- номер документа о приемочном контроле трубы;
- значение углеродного эквивалента;
- номер отвода;
- длину отвода;
- массу отвода;
- отметку (штамп) службы технического контроля или лица, ответственного за проведение работ.
По требованию заказчика состав паспорта может быть изменен.
8 Требования безопасности и охраны окружающей среды
8.1 Отводы и вставки не представляют опасности для жизни и здоровья человека.
8.2 Специальных мероприятий для предупреждения вреда окружающей среде и здоровью человека при производстве, хранении, транспортировании и эксплуатации отводов и вставок не требуется.
9.1 Приемке подвергают каждый отвод.
9.2 Отводы должны быть приняты:
- службой технического контроля изготовителя - при изготовлении в заводских условиях;
- специалистами и специальными службами, входящими в состав строительных организаций - при изготовлении в трассовых условиях.
9.3 Приемка отводов состоит из:
- визуального контроля;
- измерительного контроля;
- неразрушающего контроля торцов и сварного шва;
- контроля покрытия.
9.3.1 При визуальном контроле после гибки отводов без применения увеличительных средств проверяют:
- отсутствие на торцах забоин, задиров, расслоений, складок и переломов;
- отсутствие дефектов на наружной и внутренней поверхностях отвода, не допускаемых требованиями НД на трубу, из которой изготовлен отвод;
(введено
Изменением N 1, введенным в действие Приказом Росстандарта от 10.12.2025 N 1683-ст)
- отсутствие повреждений покрытия;
- наличие маркировки.
9.3.2 Измерительный контроль проводят в соответствии с нормативно-правовыми актами государств, проголосовавших за принятие настоящего стандарта
<*>. При измерительном контроле геометрических параметров отводов после гибки проверяют:
- наружный диаметр на торцах;
- толщину стенки в середине гнутой части (на внешней образующей).
Примечание - В связи с затрудненными условиями проведения замеров для отводов, изготовленных из труб наружным диаметром менее 1020 мм с наружным покрытием, контроль толщины стенки гнутой части не проводят;
- толщину стенки отводов в местах зачистки (при наличии);
- овальность сечения на торцах и изогнутой части;
- угол (углы) и высоту скоса кромок, ширину притупления кромок, косину реза, толщину присоединяемой стенки (в случае механической обработки торцов);
- угол гибки;
- высоту стрелы прогиба (радиус гибки);
- высоту и шаг гофров.
(пречисления в ред.
Изменения N 1, введенного в действие Приказом Росстандарта от 10.12.2025 N 1683-ст)
--------------------------------
<*> В Российской Федерации в соответствии с
приказом Федеральной службы по экологическому, технологическому и атомному надзору от 16 января 2024 г. N 8 "Об утверждении Руководства по безопасности "Методические рекомендации о порядке проведения визуального и измерительного контроля".
(сноска в ред.
Изменения N 1, введенного в действие Приказом Росстандарта от 10.12.2025 N 1683-ст)
9.3.3 При контроле отводов неразрушающими методами проверяют:
- кромки, в случае их механической обработки после гибки;
- кольцевые сварные швы у отводов типа 3 после гибки.
9.3.4 При контроле покрытия отводов проверяют:
- внешний вид покрытия после гибки;
- толщину покрытия на внешней и внутренней образующей изогнутого участка отвода после гибки;
(в ред.
Изменения N 1, введенного в действие Приказом Росстандарта от 10.12.2025 N 1683-ст)
- диэлектрическую сплошность покрытия после гибки.
(в ред.
Изменения N 1, введенного в действие Приказом Росстандарта от 10.12.2025 N 1683-ст)
- угол скоса покрытия (в случае механической обработки торцов);
(введено
Изменением N 1, введенным в действие Приказом Росстандарта от 10.12.2025 N 1683-ст)
- длину неизолированных участков (в случае механической обработки торцов).
(введено
Изменением N 1, введенным в действие Приказом Росстандарта от 10.12.2025 N 1683-ст)
9.4 По требованию заказчика приемку отводов проводят с участием представителя уполномоченной организации. Для подтверждения факта приемки отводов каждый экземпляр паспорта подписывается осуществляющим контроль представителем уполномоченной организации и заверяется печатью этой организации.
10.1 Средства измерений, приборы и инструменты для контроля качества работ должны иметь заводские (серийные) номера, утвержденную эксплуатационную документацию, соответствующую требованиям единства измерений, и быть поверены или калиброваны в установленном порядке.
(п. 10.1 в ред.
Изменения N 1, введенного в действие Приказом Росстандарта от 10.12.2025 N 1683-ст)
10.2 Длину отвода проверяют рулеткой по
ГОСТ 7502 с погрешностью измерения +/- 50 мм. Длину отвода совместно с прямыми участками определяют по среднеарифметическому значению измерений на внешней и внутренней образующей с наружной стороны отвода.
(в ред.
Изменения N 1, введенного в действие Приказом Росстандарта от 10.12.2025 N 1683-ст)
10.3 Толщину стенки отводов контролируют в середине гнутой части (на внешней образующей), не менее чем в четырех точках с применением ультразвукового толщиномера в соответствии с
ГОСТ 28702.
(в ред.
Изменения N 1, введенного в действие Приказом Росстандарта от 10.12.2025 N 1683-ст)
10.4 Угол гибки отвода проверяют при помощи оптического квадранта, угломера или других измерительных приборов.
(в ред.
Изменения N 1, введенного в действие Приказом Росстандарта от 10.12.2025 N 1683-ст)
10.5 Радиус гибки контролируют измерением высоты стрелы прогиба отвода на любом изогнутом участке.
Высоту стрелы прогиба отвода определяют по середине линейки по ГОСТ 427-75
(черт. 3) с помощью штангенциркуля с глубиномером по
ГОСТ 166 в соответствии с
рисунком 7.
Высота стрелы прогиба отвода равна расстоянию от середины линейки (хорды), расположенной перпендикулярно к ней, до наружной поверхности отвода (до нижней точки впадины гофра), уменьшенному на 1/2 высоты гофра.
Рисунок 7 - Измерение высоты стрелы прогиба отвода
Приказом Росстандарта от 10.12.2025 N 1683-ст)
Значения высоты стрелы прогиба отвода при контроле в соответствии с
рисунком 7, с применением линейки длиной 2000 мм, не должны превышать значений, приведенных в таблице 4.
(в ред.
Изменения N 1, введенного в действие Приказом Росстандарта от 10.12.2025 N 1683-ст)
Таблица 4
Высота стрелы прогиба отвода
Наружный диаметр отвода, Dн, мм (") | Высота стрелы прогиба отвода, H, мм, не более |
Метрический ряд | Дюймовый ряд |
От 57 до 89 включ. | От 60,3 (2") до 88,9 (3") включ. | 100 |
От 108 до 133 включ. | От 114,3 (4") до 141,3 (5") включ. | 75 |
От 159 до 168 включ. | 168,3 (6") | 52 |
От 219 до 377 включ. | От 219,1 (8") до 355,6 (14") включ. | 33 |
426 | 406,4 (16") | 29 |
530 | 508,0 (20") | 24 |
630 | 610,0 (24") | 20 |
720 | 711,0 (28") | 17 |
820 | 813,0 (32") | 15 |
1020 | 1016,0 (40") | 12 |
1020 | 1067,0 (42") | 12 |
1220 | 1219,0 (48") | 10 |
1420 | 1422,0 (56") | 9 |
Для отводов наружным диаметром от 1020 до 1420 мм допускается проводить измерение высоты стрелы прогиба на внутренней поверхности отвода в соответствии с рисунком 8. Высота стрелы прогиба отвода в этом случае равна расстоянию от середины линейки (хорды), расположенной перпендикулярно к ней, до внутренней поверхности отвода.
(абзац введен
Изменением N 1, введенным в действие Приказом Росстандарта от 10.12.2025 N 1683-ст)
Рисунок 8 - Измерение высоты стрелы прогиба на внутренней
поверхности отвода наружным диаметром от 1020 до 1420 мм
Приказом Росстандарта от 10.12.2025 N 1683-ст)
10.6 При проведении измерения высоты стрелы прогиба отвода в соответствии
рисунком 7, с применением линеек длиной менее 2000 мм, но не менее 1000 мм (длина хорды), максимально допустимую высоту стрелы прогиба вычисляют, принимая
R равным 40 наружным диаметрам отвода, по формуле

(4)
При проведении измерения высоты стрелы прогиба отвода в соответствии с
рисунком 8, с применением линеек длиной от 1000 до 2000 мм (длина хорды), максимально допустимую высоту стрелы прогиба вычисляют, принимая
R равным 40 наружным диаметрам отвода, по формуле

(5)
(п. 10.6 в ред.
Изменения N 1, введенного в действие Приказом Росстандарта от 10.12.2025 N 1683-ст)
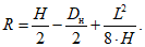
10.7 При необходимости радиус гибки
R при измерении высоты стрелы прогиба в соответствии с
рисунком 7 определяют по формуле

(6)
а при измерении высоты стрелы прогиба в соответствии с
рисунком 8 - по формуле

(6а).
(п. 10.7 в ред.
Изменения N 1, введенного в действие Приказом Росстандарта от 10.12.2025 N 1683-ст)
10.8 Отклонение продольного сварного шва отвода от нейтральной плоскости измеряют металлической линейкой по
ГОСТ 427, по перпендикуляру от продольной кромки гибочного ложемента оборудования до сварного шва.
Контроль отклонения продольного сварного шва труб от нейтральной плоскости выполняют перед каждым единичным гибом.
(абзац введен
Изменением N 1, введенным в действие Приказом Росстандарта от 10.12.2025 N 1683-ст)
10.9 Размеры механически обработанных кромок (толщину присоединяемой стенки, высоту скоса кромок, ширину притупления кромок, угол (углы) скоса кромок) торцов отводов контролируют методами и средствами измерения по документации изготовителя.
10.10 Отклонение от плоскостности и косину реза торцов отводов, подвергшихся механической обработке, контролируют угольником по
ГОСТ 3749 и другими средствами измерений по документации изготовителя.
(в ред.
Изменения N 1, введенного в действие Приказом Росстандарта от 10.12.2025 N 1683-ст)
10.10а Наружный диаметр на торцах отвода определяют по методике изготовителя.
(п. 10.10а введен
Изменением N 1, введенным в действие Приказом Росстандарта от 10.12.2025 N 1683-ст)
10.11 Величину овальности

, %, по торцам и на изогнутой части отводов вычисляют по формуле

(7)
Измерение максимального и минимального диаметров проводят во взаимно перпендикулярных сечениях:
- для вычисления овальности торцов - на расстоянии не более 100 мм от торцов;
- для вычисления овальности на изогнутой части - на участках первого и второго гибов, в середине отвода и на участке последнего гиба.
Шаг контроля овальности должен быть не более:
- 1,0 м - для отводов диаметром от 57 до 820 мм включ.;
- 1,5 м - для отводов диаметром от 1020 до 1420 мм включ.
Для измерений используют штангенциркуль по
ГОСТ 166, нутромер по
ГОСТ 10, кронциркуль и другие средства измерений по документации изготовителя.
(в ред.
Изменения N 1, введенного в действие Приказом Росстандарта от 10.12.2025 N 1683-ст)
10.12 Высоту гофров измеряют с помощью штангенциркуля по
ГОСТ 166 и металлической линейки по
ГОСТ 427 длиной не более 0,3 наружного диаметра трубы, устанавливаемой на ребро по вершинам гофров или одиночного гофра параллельно оси отвода, и определяют по значению наибольшего зазора между отводом и нижней образующей линейки. Допускается измерение высоты гофров специальными шаблонами по документации изготовителя.
(в ред.
Изменения N 1, введенного в действие Приказом Росстандарта от 10.12.2025 N 1683-ст)
10.13 Допускается для контроля геометрических параметров применять другие средства измерений, метрологические характеристики которых обеспечивают необходимую точность измерений.
10.14 Толщину стенки в местах зачисток контролируют ультразвуковым методом контроля по
ГОСТ 28702.
10.15 Контроль поверхности отводов на наличие складок и переломов должен проводиться в соответствии с нормативно-правовыми актами государств, проголосовавших за принятие настоящего стандарта <*>.
--------------------------------
<*> В Российской Федерации в соответствии с
приказом Федеральной службы по экологическому, технологическому и атомному надзору от 16 января 2024 г. N 8 "Об утверждении Руководства по безопасности "Метрологические рекомендации о порядке проведения визуального и измерительного контроля".
(сноска в ред.
Изменения N 1, введенного в действие Приказом Росстандарта от 10.12.2025 N 1683-ст)
10.16 Остаточную магнитную индукцию на торцах отводов, подвергшихся механической обработке, контролируют измерителем напряженности магнитного поля по
ГОСТ 22261.
10.17 Неразрушающий контроль кольцевых сварных соединений отводов типа 3 и вставок проводят в соответствии с нормативно-правовыми актами государств, проголосовавших за принятие настоящего стандарта <**> или другой отраслевой НД.
--------------------------------
<**> В Российской Федерации действует
СП 86.13330.2022 "СНиП III-42-80* Магистральные трубопроводы".
(сноска в ред.
Изменения N 1, введенного в действие Приказом Росстандарта от 10.12.2025 N 1683-ст)
10.18 Контроль подвергшихся механической обработке кромок отводов на отсутствие несплошностей, выходящих на кромки торцов отводов, проводят одним из указанных способов:
- капиллярным способом по
ГОСТ 18442, класс чувствительности II;
- магнитопорошковой дефектоскопией по
ГОСТ 21105, уровень чувствительности В.
УЗК основного металла в зоне шириной не менее 40 мм от торцов отводов на наличие расслоений производят по
ГОСТ 22727, класс сплошности 2.
(в ред.
Изменения N 1, введенного в действие Приказом Росстандарта от 10.12.2025 N 1683-ст)
10.19 При контроле покрытия отводов проверяют:
- внешний вид покрытия без применения увеличительных средств на соответствие НД на трубы с покрытием, из которых изготовлен отвод;
- диэлектрическую сплошность покрытия гнутой части отвода при помощи искрового дефектоскопа постоянного тока при электрическом напряжении 5 кВ на 1 мм толщины покрытия плюс 5 кВ с погрешностью испытательного напряжения не более 5%, с линейной скоростью перемещения поверхности покрытия относительно рабочего электрода в соответствии с НД на трубы с покрытием;
- толщину покрытия на внешней образующей изогнутых участков отвода, на участке первого и второго гибов, в середине участка и на участке последнего гиба - для определения соответствия требованиям НД на трубы с покрытием. На каждом участке проводят по три замера с шагом 50 мм, из которых регистрируют замер с минимальным значением толщины покрытия. Измерение проводят при помощи толщиномера, предназначенного для измерения толщины неферромагнитных покрытий на ферромагнитной подложке.
(в ред.
Изменения N 1, введенного в действие Приказом Росстандарта от 10.12.2025 N 1683-ст)
11 Маркировка, упаковка, транспортирование и хранение
11.1 Маркировку, упаковку, транспортирование и хранение отводов осуществляют по
ГОСТ 10692.
11.2 Маркировку на отводы наносят светлой несмываемой краской или ударным способом. Знак службы технического контроля или специальной службы наносят несмываемой краской. Маркировку, наносимую ударным способом, помещают в рамку, нанесенную несмываемой краской.
Глубина отпечатка клейма должна быть не более 0,2 мм.
11.3 Маркировку отводов наносят на поверхность отвода:
а) наружную - для отводов наружным диаметром до 426 мм включ.;
б) внутреннюю - для отводов наружным диаметром 530 мм и более.
(в ред.
Изменения N 1, введенного в действие Приказом Росстандарта от 10.12.2025 N 1683-ст)
Допускается нанесение маркировки на противоположную поверхность отвода, исключающее ее нанесение на поверхность покрытия. Маркировку наносят на расстоянии от 100 до 500 мм от торца, со стороны, противоположной маркировке трубы.
11.4 Маркировка отводов, изготовленных в трассовых условиях, должна содержать:
- наименование и/или товарный знак организации (подрядчика), выполнившей гибку;
- условное обозначение без слова "Отвод" в соответствии с
6.1.20;
- номер отвода и через дефис год изготовления (две последние цифры).
По требованию заказчика состав маркировки может быть изменен.
Пример маркировки:
Наименование или товарный знак организации (подрядчика),
выполнившей гибку
1ГО.3°.720.10-ГОСТ 20295-К52. ГОСТ 24950
N 06-24.
(п. 11.4 в ред.
Изменения N 1, введенного в действие Приказом Росстандарта от 10.12.2025 N 1683-ст)
11.5 Маркировка отводов, изготовленных в заводских условиях, должна содержать:
- наименование или товарный знак изготовителя;
- условное обозначение без слова "Отвод" в соответствии с
6.1.20;
- порядковый номер отвода и через тире год изготовления (две последние цифры);
- массу отвода, кг;
- знак, подтверждающий приемку отводов службой технического контроля или специальной службой, проводившей приемку.
По требованию заказчика состав маркировки может быть изменен.
Пример маркировки:
Наименование или товарный знак изготовителя
N 12 - 17
1962 кг
Знак службы технического контроля или специальной службы.
11.6 В дополнение к маркировке, нанесенной ударным способом или краской, допускается использовать этикетки.
11.7 Высота знаков маркировки должна быть:
- от 5 до 50 мм - для отводов наружным диаметром до 426 мм включ.;
- от 25 до 80 мм - для отводов наружным диаметром 530 мм и более.
(в ред.
Изменения N 1, введенного в действие Приказом Росстандарта от 10.12.2025 N 1683-ст)
11.8 Нанесение маркировки на сварные швы не допускается.
11.9 По требованию заказчика на поверхность отводов допускается нанесение временного покрытия.
11.10 Транспортные размеры отводов определяют по схеме, приведенной на рисунке 9.
Рисунок 9 - Схема определения транспортных
габаритов отводов
Для определения размера A необходимо определить размеры G и F (от полотна рулетки до тела отвода на внутренней образующей) при помощи рулетки. Размер A определяют по формуле
A = F + Dн. (8)
Размер E определяют по формуле

(9)
11.11 Отводы при хранении сортируют по значению угла гибки, наружным диаметрам, номинальным толщинам стенок, маркам стали или классам/категориям прочности и хранят горизонтально в один ряд по высоте.
(в ред.
Изменения N 1, введенного в действие Приказом Росстандарта от 10.12.2025 N 1683-ст)
11.12 При длительном хранении отводов с покрытием, превышающим гарантированный срок хранения, указанный в НД на трубы с покрытием, предусматривают меры дополнительной защиты покрытия от воздействия солнечной радиации.
12.1 Вставки монтируются из оптимального числа отводов в соответствии с
таблицами А.1 -
А.6 (приложение А).
12.2 Монтаж вставки из двух и более отводов выполняют путем последовательного набора их по направлению движения продукта по трубопроводу, начиная с отводов с большими углами гибки.
Каждый последующий отвод приваривают к предыдущему маркированным прямым концом, а первый отвод - к трубопроводу.
13 Указания по эксплуатации
Отводы и вставки используют в соответствии с их назначением и эксплуатационными параметрами, указанными в проектной документации.
14.1 Изготовитель гарантирует соответствие изготовленных в заводских и трассовых условиях отводов и вставок требованиям настоящего стандарта при соблюдении норм и правил транспортирования и хранения, а также при соответствии условий их эксплуатации по назначению.
14.2 Гарантийный срок хранения и эксплуатации отводов и вставок без покрытия должен составлять не менее 12 мес с даты поставки. Гарантийный срок хранения и эксплуатации отводов и вставок с покрытием устанавливают в соответствии с НД на трубы с покрытием.
14.3 В течение гарантийного срока хранения и эксплуатации изготовитель безвозмездно устраняет дефекты производства, а при невозможности устранения дефектов выполняет замену поставленной продукции.
(обязательное)
ВСТАВКИ ДЛЯ ТРУБОПРОВОДОВ С НАРУЖНЫМ ДИАМЕТРОМ
ОТ 57 ДО 1420 мм
Оптимальное число отводов с наружным диаметром от 57 до 1420 мм, изготовляемых с углами гибки в соответствии с
таблицей 1, из которых комплектуют вставки с углом от 9° до 90°, указано в
таблицах А.1 -
А.6. Длина вставки определяется из суммы длин исходных труб, из которых изготавливались отводы.
Пример записи вставки вида А с углом 15°, состоящей из двух отводов с углом гибки по 6° и одного отвода с углом гибки 3°:
А 15° = 6° x 2 + 3°.
Угол вставки должен быть кратным 1° или 3°. Число отводов во вставке, а также состав отводов для вставок приведены в таблицах А.1 -
А.6.
Таблица А.1
Вставки из отводов для трубопроводов с наружными
диаметрами 57, 76, 89, 108, 114, 133, 159, 168,
219, 273, 325, 377 мм
Угол вставки | Состав отводов типа 1 с Dн = 89 мм и более для вставки вида А | Число отводов во вставке, шт. |
30° | 27° + 3° | 2 |
33° | 27° + 6° |
36° | 27° + 9° |
39° | 27° + 12° |
42° | 27° + 15° |
45° | 27° + 18° |
48° | 27° + 21° |
51° | 27° + 24° |
54° | 27° + 27° |
57° | 27° x 2 + 3° | 3 |
60° | 27° x 2 + 6° |
63° | 27° x 2 + 9° |
66° | 27° x 2 + 12° |
69° | 27° x 2 + 15° |
72° | 27° x 2 + 18° |
75° | 27° x 2 + 21° |
78° | 27° x 2 + 24° |
| | ИС МЕГАНОРМ: примечание. Выражение в графе "Состав отводов" дано в соответствии с официальным текстом документа. | |
|
81° | 27° x 3° | |
84° | 27° x 3 + 3° | 4 |
87° | 27° x 3 + 6° |
90° | 27° x 3 + 9° |
Таблица А.2
Вставки из отводов для трубопроводов
с наружным диаметром 426 мм
Угол вставки | Состав отводов типа 1 для вставки вида А | Число отводов во вставке, шт. |
24° | 21° + 3° | 2 |
27° | 21° + 6° |
30° | 21° + 9° |
33° | 21° + 12° |
36° | 21° + 15° |
39° | 21° + 18° |
42° | 21° x 2 |
45° | 21° x 2 + 3° | 3 |
48° | 21° x 2 + 6° |
51° | 21° x 2 + 9° |
54° | 21° x 2 + 12° |
57° | 21° x 2 + 15° |
60° | 21° x 2 + 18° |
63° | 21° x 3 |
66° | 21° x 3 + 3° | 4 |
69° | 21° x 3 + 6° |
72° | 21° x 3 + 9° |
75° | 21° x 3 + 12° |
78° | 21° x 3 + 15° |
81° | 21° x 3 + 18° |
84° | 21° x 4 |
87° | 21° x 4 + 3° | 5 |
90° | 21° x 4 + 6° |
Таблица А.3
Вставки из отводов для трубопроводов
с наружным диаметром 530 мм
Угол вставки | Состав отводов типа 1 для вставки вида А | Число отводов во вставке, шт. |
21° | 18° + 3° | 2 |
24° | 18° + 6° |
27° | 18° + 9° |
30° | 18° + 12° |
33° | 18° + 15° |
36° | 18° x 2 |
39° | 18° x 2 + 3° | 3 |
42° | 18° x 2 + 6° |
45° | 18° x 2 + 9° |
48° | 18° x 2 + 12° |
51° | 18° x 2 + 15° |
54° | 18° x 3 |
57° | 18° x 3 + 3° | 4 |
60° | 18° x 3 + 6° |
63° | 18° x 3 + 9° |
66° | 18° x 3 + 12° |
69° | 18° x 3 + 15° |
72° | 18° x 4 |
75° | 18° x 4 + 3° | 5 |
78° | 18° x 4 + 6° |
81° | 18° x 4 + 9° |
84° | 18° x 4 + 12° |
87° | 18° x 4 + 15° |
90° | 18° x 5 |
Таблица А.4
Вставки из отводов для трубопроводов
с наружными диаметрами 630, 720, 820 мм
Угол вставки | Состав отводов типа 1 для вставки вида А | Число отводов во вставке, шт. | Состав отводов типа 2 для вставки вида Б | Число отводов во вставке, шт. | Состав отводов типов 3 и 1 для вставки вида В | Число отводов во вставке, шт. |
12° | 9° + 3° | 2 | - | - | - | - |
15° | 9° + 6° | 12° + 3° | 2 | - |
18° | 9° x 2 | 12° + 6° | - |
21° | 9° x 2 + 3° | 3 | 12° + 9° | - |
24° | 9° x 2 + 6° | 12° x 2 | - |
27° | 9° x 3 | 12° x 2 + 3° | 3 | 24° + 3° (1) | 2 |
30° | 9° x 3 + 3° | 4 | 12° x 2 + 6° | 24° + 6° (1) |
33° | 9° x 3 + 6° | 12° x 2 + 9° | 24° + 9° (1) |
36° | 9° x 4 | 12° x 3 | 24° + 12° |
39° | 9° x 4 + 3° | 5 | 12° x 3 + 3° | 4 | 24° + 15° |
42° | 9° x 4 + 6° | 12° x 3 + 6° | 24° + 18° |
45° | 9° x 5 | 12° x 3 + 9° | 24° + 21° |
48° | 9° x 5 + 3° | 6 | 12° x 4 | 24° x 2 |
51° | 9° x 5 + 6° | 12° x 4 + 3° | 5 | 24° x 2 + 3° (1) | 3 |
54° | 9° x 6 | 12° x 4 + 6° | 24° x 2 + 6° (1) |
57° | 9° x 6 + 3° | 7 | 12° x 4 + 9° | 24° x 2 + 9° (1) |
60° | 9° x 6 + 6° | 12° x 5 | 24° x 2 + 12° |
63° | 9° x 7 | 12° x 5 + 3° | 6 | 24° x 2 + 15° |
66° | 9° x 7 + 3° | 8 | 12° x 5 + 6° | 24° x 2 + 18° |
69° | 9° x 7 + 6° | 12° x 5 + 9° | 24° x 2 + 21° |
72° | 9° x 8 | 12° x 6 | 24° x 3 |
75° | 9° x 8 + 3° | 9 | 12° x 6 + 3° | 7 | 24° x 3 + 3° (1) | 4 |
78° | 9° x 8 + 6° | 12° x 6 + 6° | 24° x 3 + 6° (1) |
81° | 9° x 9 | 12° x 6 + 9° | 24° x 3 + 9° (1) |
84° | 9° x 9 + 3° | 10 | 12° x 7 | 24° x 3 + 12° |
87° | 9° x 9 + 6° | 12° x 7 + 3° | 8 | 24° x 3 + 15° |
90° | 9° x 10 | 12° x 7 + 6° | 24° x 3 + 18° |
Примечания 1 В скобках указан тип отвода. 2 Знак "-" означает, что вставки не изготавливаются. |
Таблица А.5
Вставки из отводов для трубопроводов
с наружными диаметрами 1020, 1067 мм
Угол вставки | Состав отводов типа 1 для вставки вида А | Число отводов во вставке, шт. | Состав отводов типа 2 для вставки вида Б | Число отводов во вставке, шт. | Состав отводов типа 3 и 1 для вставки вида В | Число отводов во вставке, шт. |
12° | 9° + 3° | 2 | - | - | - | - |
15° | 9° + 6° | 12° + 3° | 2 | - |
18° | 9° x 2 | 12° + 6° | - |
21° | 9° x 2 + 3° | 3 | 12° + 9° | - |
24° | 9° x 2 + 6° | 12° x 2 | 3 | 21° + 3° (1) | 2 |
27° | 9° x 3 | 12° x 2 + 3° | 21° + 6° (1) |
30° | 9° x 3 + 3° | 4 | 12° x 2 + 6° | 21°+ 9° (1) |
33° | 9° x 3 + 6° | 12° x 2 + 9° | 21° + 12° |
36° | 9° x 4 | 12° x 3 | 21° + 15° |
39° | 9° x 4 + 3° | 5 | 12° x 3 + 3° | 4 | 21° + 18° |
42° | 9° x 4 + 6° | 12° x 3 + 6° | 21° x 2 |
45° | 9° x 5 | 12° x 3 + 9° | 21° x 2 + 3° (1) | 3 |
48° | 9° x 5 + 3° | 6 | 12° x 4 | 21° x 2 + 6° (1) |
51° | 9° x 5 + 6° | 12° x 4 + 3° | 5 | 21° x 2 + 9° (1) |
54° | 9° x 6 | 12° x 4 + 6° | 21° x 2 + 12° |
57° | 9° x 6 + 3° | 7 | 12° x 4 + 9° | 21° x 2 + 15° |
| | ИС МЕГАНОРМ: примечание. Выражение в графе "Состав отводов типа 1 для вставки вида А" дано в соответствии с официальным текстом документа. | |
|
60° | 9° x 6 + 3° | | 12° x 5 | | 21° x 2 + 18° | |
63° | 9° x 7 | 12° x 5 + 3° | 6 | 21° x 3 |
66° | 9° x 7 + 3° | 8 | 12° x 5 + 6° | 21° x 3 + 3° (1) | 4 |
69° | 9° x 7 + 6° | 12° x 5 + 9° | 21° x 3 + 6° (1) |
72° | 9° x 8 | 12° x 6 | 21° x 3 + 9° (1) |
75° | 9° x 8 + 3° | 9 | 12° x 6 + 3° | 7 | 21° x 3 + 12° |
78° | 9° x 8 + 6° | 12° x 6 + 6° | 21° x 3 + 15° |
81° | 9° x 9 | 12° x 6 + 9° | 21° x 3 + 18° |
84° | 9° x 9 + 3° | 10 | 12° x 7 | 21° x 4 |
87° | 9° x 9 + 6° | 12° x 7 + 3° | 8 | 21° x 3 + 3° (1) | 5 |
90° | 9° x 10 | 12° x 7 + 6° | 21° x 3 + 6° (1) |
Примечания 1 В скобках указан тип отвода. 2 Знак "-" означает, что вставки не изготавливаются. |
Таблица А.6
Вставки из отводов для трубопроводов
с наружными диаметрами 1220, 1420 мм
Угол вставки | Состав отводов типа 1 для вставки вида А | Число отводов во вставке, шт. | Состав отводов типа 2 для вставки вида Б | Число отводов во вставке, шт. | Состав отводов типа 3 и 1 для вставки вида В | Число отводов во вставке, шт. |
9° | 6° + 3° | 2 | - | - | - | - |
12° | 6° x 2 | 9° + 3° | 2 | - |
15° | 6° x 2 + 3° | 3 | 9° + 6° | - |
18° | 6° x 3 | 9° x 2 | 15° + 3° (1) | 2 |
21° | 6° x 3 + 3° | 4 | 9° x 2 + 3° | 3 | 15° + 6° (1) |
24° | 6° x 4 | 9° x 2 + 6° | 15° + 9° |
27° | 6° x 4 + 3° | 5 | 9° x 3 | 15° + 12° |
30° | 6° x 5 | 9° x 3 + 3° | 4 | 15° x 2 |
33° | 6° x 5 + 3° | 6 | 9° x 3 + 6° | 15° x 2 + 3° (1) | 3 |
36° | 6° x 6 | 9° x 4 | 15° x 2 + 6° (1) |
39° | 6° x 6 + 3° | 7 | 9° x 4 + 3° | 5 | 15° x 2 + 9° |
42° | 6° x 7 | 9° x 4 + 6° | 15° x 2 + 12° |
45° | 6° x 7 + 3° | 8 | 9° x 5 | 15° x 3 |
48° | 6° x 8 | 9° x 5 + 3° | 6 | 15° x 3 + 3° (1) | 4 |
51° | 6° x 8 + 3° | 9 | 9° x 5 + 6° | 15° x 3 + 6° (1) |
54° | 6° x 9 | 9° x 6 | 15° x 3 + 9° |
57° | 6° x 9 + 3° | 10 | 9° x 6 + 3° | 7 | 15° x 3 + 12° |
60° | 6° x 10 | 9° x 6 + 6° | 15° x 4 |
63° | 6° x 10 + 3° | 11 | 9° x 7 | 15° x 4 + 3° (1) | 5 |
66° | 6° x 11 | 9° x 7 + 3° | 8 | 15° x 4 + 6° (1) |
69° | 6° x 11 + 3° | 12 | 9° x 7 + 6° | 15° x 4 + 9° |
72° | 6° x 12 | 9° x 8 | 15° x 4 + 12° |
75° | 6° x 12 + 3° | 13 | 9° x 8 + 3° | 9 | 15° x 5 |
78° | 6° x 13 | 9° x 8 + 6° | 15° x 5 + 3° (1) | 6 |
81° | 6° x 13 + 3° | 14 | 9° x 9 | 15° x 5 + 6° (1) |
84° | 6° x 14 | 9° x 9 + 3° | 10 | 15° x 5 + 9° |
87° | 6° x 14 + 3° | 15 | 9° x 9 + 6° | 15° x 5+ 12° |
90° | 6° x 15 | 9° x 10 | 15° x 6 |
Примечания 1 В скобках указан тип отвода. 2 Знак "-" означает, что вставки не изготавливаются. |
(рекомендуемое)
ИЗГОТОВЛЕННЫЙ В ЗАВОДСКИХ УСЛОВИЯХ
Приказом Росстандарта от 10.12.2025 N 1683-ст)
ПАСПОРТ N ____
___________________________________________________________________________
(условное обозначение отвода)
Номер документа о приемочном контроле трубы _______________________________
Заводской номер отвода ____________________________________________________
Наименование изготовителя отвода __________________________________________
Дата "____" _________________ 20____ г.
Длина отвода, мм __________________________________________________________
Масса, кг _________________________________________________________________
Тип покрытия ______________________________________________________________
НД на покрытие ____________________________________________________________
Гнутый отвод соответствует требованиям ГОСТ 24950-2019.
(рекомендуемое)
ИЗГОТОВЛЕННЫЙ В ТРАССОВЫХ УСЛОВИЯХ
Приказом Росстандарта от 10.12.2025 N 1683-ст)
ПАСПОРТ N ____
Условное обозначение отвода _______________________________________________
Дата "____" _________________ 20____ г.
Наименование организации (подрядчика) _____________________________________
Номер документа о приемочном контроле трубы _______________________________
Номер отвода ______________________________________________________________
Длина отвода, мм __________________________________________________________
Масса отвода, кг __________________________________________________________
Тип покрытия ______________________________________________________________
НД на покрытие ____________________________________________________________
Организация (подрядчик) гарантирует соответствие гнутого отвода требованиям
ГОСТ 24950-2019.
Раздел исключен с 01.03.2026. -
Изменение N 1, введенное в действие Приказом Росстандарта от 10.12.2025 N 1683-ст.
УДК 621.643.42:006.354 | |
Ключевые слова: отвод гнутый, вставка кривая, стальной трубопровод, общие технические условия, типы и основные размеры, технические требования, комплектность, правила приемки, металл, методы контроля, сварной шов, дефект |