Главная // Актуальные документы // Поправка / ПоправкиСПРАВКА
Источник публикации
ИУС "Национальные стандарты", N 7, 2024
Примечание к документу
Документ
введен в действие с 26.04.2024.
Название документа
"Поправка к ГОСТ 24950-2019 "Отводы гнутые и вставки кривые на поворотах линейной части стальных трубопроводов. Технические условия"
(введена в действие с 26.04.2024)
"Поправка к ГОСТ 24950-2019 "Отводы гнутые и вставки кривые на поворотах линейной части стальных трубопроводов. Технические условия"
(введена в действие с 26.04.2024)
ПОПРАВКА К ГОСТ 24950-2019
"ОТВОДЫ ГНУТЫЕ И ВСТАВКИ КРИВЫЕ НА ПОВОРОТАХ ЛИНЕЙНОЙ ЧАСТИ
СТАЛЬНЫХ ТРУБОПРОВОДОВ. ТЕХНИЧЕСКИЕ УСЛОВИЯ"
Дата введения
26 апреля 2024 года
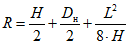
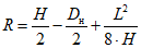
В каком месте | Напечатано | Должно быть |
| Допускается отклонение величины радиуса гибки на +/- 5% | Допускается отклонение величины радиуса гибки на минус 5% |
| Тип 1 | Тип 1 |
| | |
| | |
| A = F + D | A = F + Dн |