Главная // Актуальные документы // Актуальные документы (обновление 01.02.2026 по 01.03.2026) // ПриказСПРАВКА
Источник публикации
ИУС "Национальные стандарты", N 3, 2026
Примечание к документу
Документ
вводится в действие на территории Российской Федерации с 01.03.2026 (Приказ Росстандарта от 10.12.2025 N 1683-ст).
Название документа
"Изменение N 1 ГОСТ 24950-2019 "Отводы гнутые и вставки кривые на поворотах линейной части стальных трубопроводов. Технические условия"
(принято Протоколом Межгосударственного совета по стандартизации, метрологии и сертификации от 28.11.2025 N 191-П)
"Изменение N 1 ГОСТ 24950-2019 "Отводы гнутые и вставки кривые на поворотах линейной части стальных трубопроводов. Технические условия"
(принято Протоколом Межгосударственного совета по стандартизации, метрологии и сертификации от 28.11.2025 N 191-П)
Принято
Протоколом Межгосударственного
совета по стандартизации,
метрологии и сертификации
от 28 ноября 2025 г. N 191-П
ИЗМЕНЕНИЕ N 1 ГОСТ 24950-2019
"ОТВОДЫ ГНУТЫЕ И ВСТАВКИ КРИВЫЕ НА ПОВОРОТАХ ЛИНЕЙНОЙ ЧАСТИ
СТАЛЬНЫХ ТРУБОПРОВОДОВ. ТЕХНИЧЕСКИЕ УСЛОВИЯ"
Принято Межгосударственным советом по стандартизации, метрологии и сертификации (протокол N 191-П от 28.11.2025)
Зарегистрировано Бюро по стандартам МГС N 18304
За принятие изменения проголосовали национальные органы по стандартизации следующих государств: AM, AZ, BY, KG, RU, TJ, UZ [коды альфа-2 по МК (ИСО 3166) 004]
Дату введения в действие настоящего изменения устанавливают указанные национальные органы по стандартизации <*>
--------------------------------
<*> Дата введения в действие на территории Российской Федерации - 2026-03-01.
Содержание. Исключить слово: "Библиография";
приложения Б, В. Заменить слова: "документа о качестве" на "паспорта".
"
ГОСТ 11358-89 Толщиномеры и стенкомеры с ценой деления 0,01 и 0,1 мм. Технические условия";
"ГОСТ 26737-85 Толщиномеры покрытий. Магнитные и вихретоковые. Общие технические требования";
"Примечание - При пользовании настоящим стандартом целесообразно проверить действие ссылочных стандартов и классификаторов на официальном интернет-сайте Межгосударственного совета по стандартизации, метрологии и сертификации (www.easc.by) или по указателям национальных стандартов, издаваемым в государствах, указанных в предисловии, или на официальных сайтах соответствующих национальных органов по стандартизации. Если на документ дана недатированная ссылка, то следует использовать документ, действующий на текущий момент, с учетом всех внесенных в него изменений. Если заменен ссылочный документ, на который дана датированная ссылка, то следует использовать указанную версию этого документа. Если после принятия настоящего стандарта в ссылочный документ, на который дана датированная ссылка, внесено изменение, затрагивающее положение, на которое дана ссылка, то это положение применяется без учета данного изменения. Если ссылочный документ отменен без замены, то положение, в котором дана ссылка на него, применяется в части, не затрагивающей эту ссылку".
"3.11 косина реза: Отклонение фактического расположения плоскости торца от его номинального расположения".
Пункт 3.16. Заменить слова: ", характеризующееся ее отклонением от идеально кольцевой" на "от идеально кольцевой, характеризующееся овалообразным профилем, наибольший и наименьший диаметры которого находятся во взаимоперпендикулярных направлениях".
обозначения S,
Sтр. Перед словом "толщина" дополнить словом: "номинальная";
"Sп - толщина стенки отвода после выполнения цилиндрической проточки, мм;".
"
".
"6.1.2 Толщина стенки отвода в любом сечении на гнутой части должна быть не менее толщины стенки присоединяемой трубы с учетом минусового допуска, регламентированного в НД на трубы".
"6.1.8 Стыковые кольцевые сварные соединения отводов типа 2, типа 3 и вставок должны быть выполнены дуговыми способами сварки с полным проваром разделки.
Каждый стыковой кольцевой сварной шов отводов типа 2 во время его изготовления послойно подвергают визуальному и измерительному контролю или после его изготовления до гибки отводов - визуальному и измерительному, а также ультразвуковому контролю.
Каждый стыковой кольцевой сварной шов отводов типа 3 и вставок должен быть проверен визуальным и измерительным, ультразвуковым и радиографическим контролем.
Нормы оценки качества стыковых кольцевых сварных соединений отводов должны соответствовать требованиям нормативно-правовых актов государств, проголосовавших за принятие настоящего стандарта <*>";
"<*> В Российской Федерации действует
СП 86.13330.2022 "СНиП III-42-80* Магистральные трубы".
"
";
заменить значения: "350" на "377"; "400" на "426"; "500" на "530"; "1400" на "1420";
второй абзац. После слов "превышает 2 мм" дополнить словами: "и отношение номинальных толщин стенок отвода и присоединяемой трубы не более 1,5";
"Если отношение номинальных толщин стенок отвода и присоединяемой трубы более 1,5, следует применять разделку кромок типа 6 или типа 7 (рисунок 4), при этом отношение толщины стенки отвода после выполнения цилиндрической проточки Sп к номинальной толщине стенки присоединяемой трубы должно находиться в пределах от 1,1 до 1,5";
"При выполнении разделки кромки возможно неравномерное по ширине или частичное образование внутренней фаски".
Пункт 6.1.16 после слов "не должна выходить за минусовой допуск." дополнить словами: "Места зачисток должны быть проверены визуальным и измерительным контролем";
заменить слова: "неразрушающими методами" на "с помощью методов ультразвуковой толщинометрии".
Пункт 6.2.5. Заменить слова: "за минусовой допуск, регламентированный в НД на трубы" на "за пределы номинального значения толщины стенки присоединяемой трубы с учетом минусового допуска, регламентированного в НД на трубы, при этом толщины стенок труб диаметром менее 1020 мм с наружным покрытием должны быть не менее номинального значения толщины стенки присоединяемой трубы".
Пункт 6.3.5. Исключить слово: "оси"; перед словами "диаметра отвода" дополнить словом: "наружного";
заменить слова: "оси ложемента трубогибочного оборудования" на "продольной кромки гибочного ложемента оборудования".
Пункт 6.3.8. Заменить слова: "номинального диаметра" на "наружного диаметра", "для диаметров" на "для наружных диаметров" (2 раза).
Пункт 7.2. Заменить слова: "В документе о качестве" на "В паспорте";
"- наименование изготовителя отвода;".
Пункт 7.3. Заменить слова: "В документе о качестве" на "В паспорте".
"- отсутствие дефектов на наружной и внутренней поверхностях отвода, не допускаемых требованиями НД на трубу, из которой изготовлен отвод;".
"- наружный диаметр на торцах;
- толщину стенки в середине гнутой части (на внешней образующей).
Примечание - В связи с затрудненными условиями проведения замеров для отводов, изготовленных из труб наружным диаметром менее 1020 мм с наружным покрытием, контроль толщины стенки гнутой части не проводят;
- толщину стенки отводов в местах зачистки (при наличии);
- овальность сечения на торцах и изогнутой части;
- угол (углы) и высоту скоса кромок, ширину притупления кромок, косину реза, толщину присоединяемой стенки (в случае механической обработки торцов);
- угол гибки;
- высоту стрелы прогиба (радиус гибки);
- высоту и шаг гофров";
"<*> В Российской Федерации в соответствии с
приказом Федеральной службы по экологическому, технологическому и атомному надзору от 16 января 2024 г. N 8 "Об утверждении Руководства по безопасности "Методические рекомендации о порядке проведения визуального и измерительного контроля".
"- угол скоса покрытия (в случае механической обработки торцов);
- длину неизолированных участков (в случае механической обработки торцов)".
"10.1 Средства измерений, приборы и инструменты для контроля качества работ должны иметь заводские (серийные) номера, утвержденную эксплуатационную документацию, соответствующую требованиям единства измерений, и быть поверены или калиброваны в установленном порядке".
Пункт 10.2. Заменить слова: "на образующей с наружной и на внутренней образующей кривой" на "на внешней и внутренней образующей с наружной стороны отвода".
Пункт 10.3. Заменить слова: "микрометров по
ГОСТ 6507 или толщиномеров с ценой деления 0,01 мм по
ГОСТ 11358 с погрешностью измерения +/- 0,1 мм" на "ультразвукового толщиномера в соответствии с
ГОСТ 28702".
"10.5 Радиус гибки контролируют измерением высоты стрелы прогиба отвода на любом изогнутом участке.
Высоту стрелы прогиба отвода определяют по середине линейки по ГОСТ 427-75
(черт. 3) с помощью штангенциркуля с глубиномером по
ГОСТ 166 в соответствии с рисунком 7.
Высота стрелы прогиба отвода равна расстоянию от середины линейки (хорды), расположенной перпендикулярно к ней, до наружной поверхности отвода (до нижней точки впадины гофра), уменьшенному на 1/2 высоты гофра.
Рисунок 7 - Измерение высоты стрелы прогиба отвода
Значения высоты стрелы прогиба отвода при контроле в соответствии с рисунком 7, с применением линейки длиной 2000 мм, не должны превышать значений, приведенных в таблице 4";
"Для отводов наружным диаметром от 1020 до 1420 мм допускается проводить измерение высоты стрелы прогиба на внутренней поверхности отвода в соответствии с рисунком 8. Высота стрелы прогиба отвода в этом случае равна расстоянию от середины линейки (хорды), расположенной перпендикулярно к ней, до внутренней поверхности отвода.
Рисунок 8 - Измерение высоты стрелы прогиба на внутренней
поверхности отвода наружным диаметром от 1020 до 1420 мм".
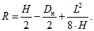
"10.6 При проведении измерения высоты стрелы прогиба отвода в соответствии рисунком 7, с применением линеек длиной менее 2000 мм, но не менее 1000 мм (длина хорды), максимально допустимую высоту стрелы прогиба вычисляют, принимая R равным 40 наружным диаметрам отвода, по формуле

(4)
При проведении измерения высоты стрелы прогиба отвода в соответствии с рисунком 8, с применением линеек длиной от 1000 до 2000 мм (длина хорды), максимально допустимую высоту стрелы прогиба вычисляют, принимая R равным 40 наружным диаметрам отвода, по формуле

(5)
10.7 При необходимости радиус гибки R при измерении высоты стрелы прогиба в соответствии с рисунком 7 определяют по формуле

(6)
а при измерении высоты стрелы прогиба в соответствии с рисунком 8 - по формуле

(6а)".
"Контроль отклонения продольного сварного шва труб от нейтральной плоскости выполняют перед каждым единичным гибом".
Пункт 10.10 дополнить словами: "и другими средствами измерений по документации изготовителя".
"10.10а Наружный диаметр на торцах отвода определяют по методике изготовителя".
Пункт 10.12. Заменить слова: "гофр" на "гофров" (3 раза); "одиночной гофры" на "одиночного гофра".
"<*> В Российской Федерации в соответствии с
приказом Федеральной службы по экологическому, технологическому и атомному надзору от 16 января 2024 г. N 8 "Об утверждении Руководства по безопасности "Метрологические рекомендации о порядке проведения визуального и измерительного контроля".
"<**> В Российской Федерации действует
СП 86.13330.2022 "СНиП III-42-80* Магистральные трубопроводы".
"11.4 Маркировка отводов, изготовленных в трассовых условиях, должна содержать:
- наименование и/или товарный знак организации (подрядчика), выполнившей гибку;
- условное обозначение без слова "Отвод" в соответствии с 6.1.20;
- номер отвода и через дефис год изготовления (две последние цифры).
По требованию заказчика состав маркировки может быть изменен.
Пример маркировки:
Наименование или товарный знак организации (подрядчика),
выполнившей гибку
1ГО.3°.720.10-ГОСТ 20295-К52. ГОСТ 24950
N 06-24".
Пункт 11.11 перед словом "толщинам" дополнить словом: "номинальным".
после строки "Заводской номер отвода"
дополнить строкой:
"Наименование изготовителя отвода _______________________".