Главная // Актуальные документы // Актуальные документы (обновление 2025.02.03-2025.03.01) // ПНСТ (Предварительный национальный стандарт)СПРАВКА
Источник публикации
М.: ФГБУ "Институт стандартизации", 2024
Примечание к документу
Документ
введен в действие с 01.03.2025 на период до 01.03.2028 (
Приказ Росстандарта от 26.11.2024 N 100-пнст).
Название документа
"ПНСТ 973-2024. Предварительный национальный стандарт Российской Федерации. Комплексы аппаратно-программные для разработки верхних конечностей с обратной связью и интерфейсом "мозг - компьютер". Общие требования"
(утв. и введен в действие Приказом Росстандарта от 26.11.2024 N 100-пнст)
"ПНСТ 973-2024. Предварительный национальный стандарт Российской Федерации. Комплексы аппаратно-программные для разработки верхних конечностей с обратной связью и интерфейсом "мозг - компьютер". Общие требования"
(утв. и введен в действие Приказом Росстандарта от 26.11.2024 N 100-пнст)
Утвержден и введен в действие
агентства по техническому
регулированию и метрологии
от 26 ноября 2024 г. N 100-пнст
ПРЕДВАРИТЕЛЬНЫЙ НАЦИОНАЛЬНЫЙ СТАНДАРТ РОССИЙСКОЙ ФЕДЕРАЦИИ
КОМПЛЕКСЫ АППАРАТНО-ПРОГРАММНЫЕ
ДЛЯ РАЗРАБОТКИ ВЕРХНИХ КОНЕЧНОСТЕЙ С ОБРАТНОЙ СВЯЗЬЮ
И ИНТЕРФЕЙСОМ "МОЗГ - КОМПЬЮТЕР"
ОБЩИЕ ТРЕБОВАНИЯ
Hardware and software systems for the improvement upper
limbs with feedback and a brain-computer interface.
General requirements
ПНСТ 973-2024
Срок действия
с 1 марта 2025 года
до 1 марта 2028 года
1 РАЗРАБОТАН Открытым акционерным обществом "Исток-Аудио Интернэшнл" (ОАО "Исток-Аудио Интернэшнл") и Автономной некоммерческой организацией "Центр развития социальных инноваций "Технологии возможностей" (АНО "Технологии возможностей")
2 ВНЕСЕН Техническим комитетом по стандартизации ТК 381 "Технические средства и услуги для инвалидов и других маломобильных групп населения"
3 УТВЕРЖДЕН И ВВЕДЕН В ДЕЙСТВИЕ
Приказом Федерального агентства по техническому регулированию и метрологии от 26 ноября 2024 г. N 100-пнст
Правила применения настоящего стандарта и проведения его мониторинга установлены в ГОСТ Р 1.16-2011 (разделы 5 и 6).
Федеральное агентство по техническому регулированию и метрологии собирает сведения о практическом применении настоящего стандарта. Данные сведения, а также замечания и предложения по содержанию стандарта можно направить не позднее чем за 4 месяца до истечения срока его действия разработчику настоящего стандарта по адресу: 141190 Московская область, г. о. Фрязино, тер. Восточная заводская промышленная, 3а, e-mail: kd@istok-audio.info, и/или в Федеральное агентство по техническому регулированию и метрологии по адресу: 123112 Москва, Пресненская набережная, д. 10, стр. 2.
В случае отмены настоящего стандарта соответствующая информация будет опубликована в ежемесячном информационном указателе "Национальные стандарты" и также будет размещена на официальном сайте Федерального агентства по техническому регулированию и метрологии в сети Интернет (www.rst.gov.ru)
В отечественной науке и медицине разрабатываются и широко используются аппаратно-программные комплексы, в основу работы которых положено использование свойства нейропластичности и обратной связи, а также имеющие в составе устройства на базе интерфейса "мозг - компьютер".
Целью разработки настоящего стандарта является формирование требований к разработке, производству и дальнейшему применению в медицинских организациях аппаратно-программных комплексов (тренажеров) для разработки верхних конечностей с обратной связью и интерфейсом "мозг - компьютер".
Настоящий стандарт устанавливает общие требования к аппаратно-программным комплексам (АПК, включающим тренажеры) для разработки двигательной функции верхних конечностей с обратной связью и интерфейсом "мозг - компьютер" для пациентов с двигательным ограничением функций верхних конечностей, полученных вследствие заболеваний и травм центральной нервной системы и других нарушений головного мозга.
Настоящий стандарт распространяется на АПК, предназначенные для активной и пассивной разработки верхних конечностей (включая плечевой, локтевой, лучезапястный суставы, а также кисти рук) с обратной связью и интерфейсом "мозг - компьютер".
Тренажеры применяются в условиях медицинских организаций, реабилитационных организаций и/или на дому.
В настоящем стандарте использованы нормативные ссылки на следующие стандарты:
ГОСТ 9.303 Единая система защиты от коррозии и старения. Покрытия металлические и неметаллические неорганические. Общие требования к выбору
ГОСТ 15.309 Система разработки и постановки продукции на производство. Испытания и приемка выпускаемой продукции. Основные положения
ГОСТ 20.57.406 Комплексная система контроля качества. Изделия электронной техники, квантовой электроники и электротехнические. Методы испытаний
ГОСТ 15150 Машины, приборы и другие технические изделия. Исполнения для различных климатических районов. Категории, условия эксплуатации, хранения и транспортирования в части воздействия климатических факторов внешней среды
ГОСТ 15543.1 Изделия электротехнические и другие технические изделия. Общие требования в части стойкости к климатическим внешним воздействующим факторам
ГОСТ 21317-87 Аппаратура радиоэлектронная бытовая. Методы испытаний на надежность
ГОСТ 28195 Оценка качества программных средств. Общие положения
ГОСТ 30630.2.1 Методы испытаний на стойкость к климатическим внешним воздействующим факторам машин, приборов и других технических изделий. Испытания на устойчивость к воздействию температуры
ГОСТ 31508 Изделия медицинские. Классификация в зависимости от потенциального риска применения. Общие требования
ГОСТ IEC 62304 Изделия медицинские. Программное обеспечение. Процессы жизненного цикла
ГОСТ Р 50444-2020 Приборы, аппараты и оборудование медицинские. Общие технические требования
ГОСТ Р 51632 Технические средства реабилитации людей с ограничениями жизнедеятельности. Общие технические требования и методы испытаний
ГОСТ Р 51672 Метрологическое обеспечение испытаний продукции для целей подтверждения соответствия. Основные положения
ГОСТ Р 51909 Методы испытаний на стойкость к внешним воздействующим факторам машин, приборов и других технических изделий. Испытания на транспортирование и хранение
ГОСТ Р 53228 Весы неавтоматического действия. Часть 1. Метрологические и технические требования. Испытания
ГОСТ Р 56849/ISO/TR 17791:2013 Информатизация здоровья. Руководство по стандартам безопасности медицинского программного обеспечения
ГОСТ Р ИСО 9999 Вспомогательные средства для людей с ограничениями жизнедеятельности. Классификация и терминология
ГОСТ Р ИСО/МЭК 9646-1 Информационная технология. Взаимосвязь открытых систем. Методология и основы аттестационного тестирования. Часть 1. Общие положения
ГОСТ Р ИСО/МЭК 9646-5 Информационная технология. Взаимосвязь открытых систем. Методология и основы аттестационного тестирования. Часть 5. Требования к испытательным лабораториям и клиентам в процессе оценки соответствия
ГОСТ Р ИСО/МЭК 15408-2 Информационная технология. Методы и средства обеспечения безопасности. Критерии оценки безопасности информационных технологий. Часть 2. Функциональные компоненты безопасности
ГОСТ Р ИСО/ТС 25238 Информатизация здоровья. Классификация угроз безопасности от медицинского программного обеспечения
ГОСТ Р МЭК 60601-1 Изделия медицинские электрические. Часть 1. Общие требования безопасности с учетом основных функциональных характеристик
ГОСТ Р МЭК 60601-1-2 Изделия медицинские электрические. Часть 1-2. Общие требования безопасности с учетом основных функциональных характеристик. Параллельный стандарт. Электромагнитная совместимость. Требования и испытания
ГОСТ Р МЭК 60601-1-6 Изделия медицинские электрические. Часть 1-6. Общие требования безопасности с учетом основных функциональных характеристик. Дополнительный стандарт. Эксплуатационная пригодность
ГОСТ Р МЭК 60601-1-11 Изделия медицинские электрические. Часть 1-11. Общие требования безопасности с учетом основных функциональных характеристик. Дополнительный стандарт. Требования к медицинским электрическим изделиям и медицинским электрическим системам, используемым для оказания медицинской помощи в обыденной обстановке
ГОСТ Р МЭК 62366-1 Изделия медицинские. Часть 1. Проектирование медицинских изделий с учетом эксплуатационной пригодности
Примечание - При пользовании настоящим стандартом целесообразно проверить действие ссылочных стандартов в информационной системе общего пользования - на официальном сайте Федерального агентства по техническому регулированию и метрологии в сети Интернет или по ежегодному информационному указателю "Национальные стандарты", который опубликован по состоянию на 1 января текущего года, и по выпускам ежемесячного информационного указателя "Национальные стандарты" за текущий год. Если заменен ссылочный стандарт, на который дана недатированная ссылка, то рекомендуется использовать действующую версию этого стандарта с учетом всех внесенных в данную версию изменений. Если заменен ссылочный стандарт, на который дана датированная ссылка, то рекомендуется использовать версию этого стандарта с указанным выше годом утверждения (принятия). Если после утверждения настоящего стандарта в ссылочный стандарт, на который дана датированная ссылка, внесено изменение, затрагивающее положение, на которое дана ссылка, то это положение рекомендуется применять без учета данного изменения. Если ссылочный стандарт отменен без замены, то положение, в котором дана ссылка на него, рекомендуется применять в части, не затрагивающей эту ссылку.
3 Термины, определения и сокращения
3.1 В настоящем стандарте применены следующие термины с соответствующими определениями:
3.1.1 анализатор-монитор биопотенциалов головного мозга: Неинвазивный нейроинтерфейс, производящий анализ активности мозга, с помощью которого выявляется намерение пациента на перемещение конечности и осуществляется передача техническому устройству сигнала управления.
3.1.2
виртуальная реальность: Высокоразвитая форма виртуальной среды, обладающая высокой степенью достоверности визуализации, имитирующая как воздействие на изучаемый объект, так и реакции на это воздействие. |
3.1.3 иннервация: Снабжение органов и тканей нервами для обеспечения связи с центральной нервной системой.
3.1.4 интерфейс "мозг - компьютер" (нейроинтерфейс); ИМК: Система, предназначенная для управления техническим устройством на основе регистрации сигналов активности головного мозга.
3.1.5
аппаратно-программный комплекс (тренажер); АПК: Техническое средство реабилитации, представляющее собой комплексное устройство, состоящее из различных узлов, управляемых компьютером, основной принцип действия которого основан на использовании виртуальной реальности в целях достижения реабилитационного эффекта. |
3.1.6 нейропластичность головного мозга: Свойство головного мозга, выражающееся в способности нервной ткани к структурно-функциональной перестройке, наступающей после ее повреждения, в виде изменения нейронных связей.
3.1.7 нейрореабилитация: Комплекс мероприятий, направленных на восстановление утраченных функций вследствие неврологического заболевания или травмы.
3.1.8
программное обеспечение; ПО: Совокупность компьютерных программ и программных документов, необходимых для эксплуатации этих программ. |
3.1.9 роботизированное устройство: Устройство, используемое для физического перемещения конечностей пациента в горизонтальных, вертикальных направлениях и углового перемещения.
3.1.10 центральная нервная система; ЦНС: Центральная часть нервной системы животных и человека; получает информацию от окружающей среды, от всех органов и систем организма, обрабатывает и хранит ее, регулирует и координирует ответные реакции всех систем организма и его поведение.
3.1.11
шлем (очки) виртуальной реальности: Устройство, представляющее собой конструкцию, надеваемую на голову, снабженную видеоэкраном и акустической системой, создающий зрительный и акустический эффект присутствия в пространстве, заданном управляющим устройством (компьютером). |
3.1.12
экзоскелет: Носимое устройство, обеспечивающее увеличение нагрузочной способности, восполнение утраченных функций, оказание помощи и/или расширение возможностей в процессе физической деятельности пользователя посредством механического взаимодействия с его телом. Примечания 1 В состав экзоскелета могут входить как жесткие, так и мягкие компоненты. 2 Физическая деятельность может быть статической или динамической. |
3.1.13
экзоскелет верхних конечностей: Экзоскелет, конструктивно закрепленный на верхних конечностях пользователя. |
3.1.14 электроэнцефалография: Метод анализа биологических сигналов пациента, предназначенный для регистрации биопотенциалов головного мозга (электроэнцефалограмма).
3.1.15 электромиография: Метод анализа биологических сигналов пациента, предназначенный для регистрации биопотенциалов мышечной ткани (электромиограммы).
3.1.16 шлем для электроэнцефалограммы с комплектом электродов: Устройство для подключения электродов, расположенных на поверхности головы, к анализатору-монитору биопотенциалов головного мозга, предназначенное для регистрации сигналов активности головного мозга.
3.2 В настоящем стандарте использованы следующие сокращения:
БАС - боковой амиотрофический склероз;
ВР - виртуальная реальность;
ЗВП - зрительный вызванный потенциал;
ИБП - источник бесперебойного питания;
МО - медицинская организация;
ЧМТ - черепно-мозговая травма;
ЧССМ - чрескожная стимуляция спинного мозга;
ЭВК - экзоскелет верхней конечности;
ЭРУ - экзоскелетные роботизированные устройства;
ЭМГ - электромиограмма;
ЭЭГ - электроэнцефалограмма.
4.1 Компоненты аппаратно-программных комплексов
АПК включает в себя следующие основные компоненты:
- роботизированное устройство для перемещения верхней конечности пациента в горизонтальном направлении и углового перемещения кисти пациента;
- анализатор-монитор биопотенциалов головного мозга (усилитель ЭЭГ);
- текстильный ЭЭГ-шлем с комплектом электродов и принадлежностями;
- компьютер с монитором (ноутбук) для управления роботизированным устройством с установленным ПО для проведения занятий;
- шлем (очки) ВР;
- кнопку экстренной остановки движения роботизированного устройства.
4.2 Общие требования к компонентам аппаратно-программных комплексов
4.2.1 АПК должен включать в себя устройства компьютерного визуального 3D-моделирования окружающей обстановки (ВР), которое должно создавать и визуализировать трехмерное изображение.
Интерфейсы ПО АПК, в области применения которых указано, что они могут быть применимы для людей с нарушением зрения, должны иметь высококонтрастные по отношению друг к другу (к соседним элементам) элементы управления, элементы интерактивной среды в ВР.
4.2.2 Роботизированное устройство в составе АПК должно перемещать верхнюю конечность за счет задействования плечевого, локтевого и лучезапястного суставов.
4.2.3 Роботизированное устройство в составе АПК должно иметь возможность регулировки перемещения реабилитируемой конечности как в вертикальной, так и в горизонтальной плоскостях.
4.2.4 АПК должен включать в себя устройство для анализа биологических сигналов пациента (ЭЭГ, ЭМГ).
4.2.5 АПК должны иметь в составе анализатор-монитор биопотенциалов головного мозга с возможностью подключения электродов к голове пациента (отдельных ЭЭГ-электродов или ЭЭГ-шлема с комплектом электродов).
4.3 Принцип работы аппаратно-программного комплекса
АПК предназначен для реабилитации больных с двигательным дефицитом верхних конечностей, начиная с острой фазы заболеваний ЦНС.
АПК является инструментом дополнительного стимулирования пластичности головного мозга.
Для совершения самостоятельных движений конечности уровня иннервации дальнейшую реабилитацию следует проводить с помощью методик механотерапии, однако это не исключает применения АПК и на более поздних стадиях процесса восстановления.
Двигательная реабилитация является важнейшим компонентом физической терапии, направленной на восстановление и улучшение физических функций, подвижности и двигательных навыков человека после травмы, болезни или операции посредством двигательной активности.
Существуют различные типы и методы двигательной реабилитации, предназначенные для удовлетворения конкретных потребностей и состояний.
Реабилитация с применением АПК - современное направление комплексной реабилитации и абилитации. Реабилитация с применением АПК представляет собой часть комплексной медицинской реабилитации пациентов с утраченными функциями верхних и нижних конечностей - полностью или частично, вследствие перенесенных заболеваний или травм.
Реабилитацию с применением АПК осуществляют:
- при перенесенном ишемическом инсульте;
- ЧМТ;
- травмах позвоночника;
- других случаях выраженных двигательных нарушений.
АПК расширяет возможности реабилитации и обеспечивает более высокое качество за счет большей продолжительности тренировок.
Наличие биологической обратной связи и компьютерного анализа позволяет повышать точность выполняемых циклических движений, оценивать эффективность восстановительного процесса, работать с пациентами, неспособными самостоятельно выполнять движения конечностями, с организацией игровой среды в ВР. Роботизированные методики восстановления используются на всех этапах реабилитации.
На первом и втором этапах восстановительного лечения проводят:
- разработку конечностей (пассивная, активно-пассивная, активная);
- разработку суставов;
- восстановление функций верхних конечностей (подвижность в плечевом, локтевом, лучезапястном суставе; восстановление мелкой моторики кистей рук).
4.4 Технологии нейрореабилитации с применением аппаратно-программного комплекса
Технологии нейрореабилитации с применением АПК используют различные достижения в области технологий для улучшения процесса реабилитации у лиц с неврологическими заболеваниями различного генеза. Данные технологии включают в себя следующие обязательные технологические возможности:
- ВР;
- ЭРУ и ИМК.
Кроме того, технологии нейрореабилитации с применением АПК предоставляют современные способы усовершенствования методов реабилитации.
Роль данных технологий в реабилитации возможно рассмотреть в рамках ВР, ЭРУ и ИМК.
4.4.1 Виртуальная реальность
Технология ВР создает иммерсивные компьютерно-сгенерированные окружения, которые могут использоваться для терапевтических целей.
В нейрореабилитации ВР используется для предоставления пациентам увлекательных и реалистичных сценариев, которые помогают им в восстановлении.
В реабилитации ВР используется при таких состояниях, как инсульт, ЧМТ, травмы спинного мозга, нарушения движения.
Преимуществами использования ВР являются:
- расширенное участие - терапия с ВР более интересная и мотивирующая для пациентов, ВР повышает готовность принимать участие в реабилитационных упражнениях;
- персонализация - среда ВР настраивается под конкретные потребности каждого пациента, что позволяет создавать персонализированные планы реабилитации;
- обратная связь в реальном времени - системы ВР предоставляют немедленную обратную связь о проделанной работе и действиях пациента, позволяя вносить корректировки и улучшения в ходе терапии. При этом основной задачей является мультисенсорность биологической обратной связи, что позволяет реализовать иммерсию на более высоком уровне и, следовательно, увеличить эффективность двигательной реабилитации.
Технологии ВР позволяют достигнуть большей интенсивности тренировок на фоне усиления обратной сенсорной связи, создание индивидуального виртуального пространства для каждого больного в соответствии с его двигательными особенностями, а также взаимодействие с виртуальными объектами внутри этих пространств.
ВР применяется в реабилитации для наибольшей реалистичности в моделировании среды и погружения больного в деятельность, а также для мгновенной обратной связи, исключая возможность отвлечения внимания.
Работа с ВР позволяет пациентам наблюдать результаты тренировок (или работы), что оказывает выраженное благотворное влияние на психологическую реабилитацию и мотивирует к проведению занятий. Обратная связь может быть получена как в процессе решения задач, так и после выполнения задания, в виде визуального, слухового, а также тактильного подкрепления. Систематическое наблюдение и имитация увиденных действий неповрежденной конечностью может улучшать такое свойство мозга, как пластичность, увеличивая таким образом возможности восстановления утраченной моторной функции. Зеркальные нейроны (непосредственно участвующие в процессе наблюдения-подражания) тесно связаны с работой зон мозга, отвечающих за планирование деятельности, что, в свою очередь, избирательно воздействует на моторные зоны коры головного мозга, провоцируют мышечную активность.
4.4.2 ЭРУ предназначены для помощи и усиления движений пациентам с ограниченной подвижностью.
ЭРУ допускается использовать:
- в нейрореабилитации для восстановления мышечной силы;
- координации;
- подвижности.
ЭРУ используются в реабилитации:
- при повреждениях спинного мозга;
- после инсульта;
- при нейродегенеративных заболеваниях.
Преимущества использования экзоскелетов:
- помощь в подвижности: экзоскелеты помогают пациентам с выраженными двигательными нарушениями поддерживать вертикальное положение, осуществлять локомоторную функцию;
- повторяющаяся тренировка - экзоскелеты обеспечивают контролируемые, повторяющиеся движения, которые необходимы при прохождении курса реабилитации.
4.4.3 Технология ИМК - это система коммуникации, которая реализует прямое взаимодействие между мозгом и внешними устройствами или ПО. В нейрореабилитации ИМК используют для того, чтобы позволить лицам с ограниченной моторной функцией управлять устройствами и участвовать в терапевтических мероприятиях.
ИМК используются при таких состояниях, как:
- инсульт;
- ЧМТ;
- повреждения спинного мозга;
- БАС;
- состояние полного паралича с сохранным сознанием.
Преимуществами использования ИМК являются:
- восстановление функций - ИМК помогают людям вернуть контроль над окружающей средой, например бытовые взаимодействия, управление клавиатурой и курсором компьютера, роботизированной конечностью;
- нейропластичность - ИМК способствуют нейропластичности путем вовлечения пациентов в когнитивные задачи и упражнения с ментальным представлением движений;
- коммуникация - ИМК помогают людям со сложными нарушениями коммуникации, например ввод текста и общение без использования мыши и клавиатуры при помощи специального ПО, распознающего паттерны ЭЭГ (ЭМГ) пациента.
5 Общие требования к аппаратно-программным комплексам
5.1 Технические требования
АПК являются медицинскими изделиями и по
ГОСТ Р ИСО 9999 относятся к классам 04 48 12, 04 48 15, 04 48 24, 04 48 27.
При проведении клинической оценки АПК необходимо учитывать требования ГОСТ Р 56429-2021 (
разделы 6 и
7).
В соответствии с ГОСТ Р 50444-2020
(пункт 4.3) АПК относится к группе 2, и должен соответствовать требованиям
ГОСТ Р 50444 по механическим воздействиям, предъявляемым к группе 2.
По классификации
ГОСТ 31508 АПК должен относиться к активным терапевтическим медицинским изделиям кратковременного применения, степени потенциального риска 1.
Характеристики АПК и его алгоритмов должны соответствовать
ГОСТ IEC 62304 (не выносимые в описание типа средств измерений).
АПК в составе МО, а также информационные носители с записанным дистрибутивом должны быть пригодны для эксплуатации в макроклиматических районах с умеренным и холодным климатом по
ГОСТ 15150 и
ГОСТ 15543.1 категории размещения изделий 4.2 по
ГОСТ 15150, при температуре окружающей среды от 10 °C до 35 °C и относительной влажности воздуха до 80% при температуре 25 °C.
АПК должны соответствовать требованиям
ГОСТ Р 51632 со следующими уточнениями:
- АПК должны быть устойчивы к механическим воздействиям, возникающим при транспортировании, и обладать вибропрочностью и ударопрочностью при воздействии вибрационных нагрузок с диапазоном частот от 10 до 55 Гц и амплитудой перемещения 0,35 мм;
- АПК должен сохранять работоспособность при отклонении напряжения +/- 10% от номинального значения и отклонении частоты переменного тока +/- 0,5 Гц - при номинальном значении 50 Гц и +/- 0,6 Гц - при номинальном значении 60 Гц.
5.2 Требования безопасности
Материалы, применяемые для изготовления АПК, не должны содержать ядовитых (токсичных) компонентов, а также воздействовать на цвет поверхности (пола, одежды, кожи пользователя), с которыми контактируют те или иные элементы АПК при его нормальной эксплуатации.
Металлические части АПК должны быть изготовлены из коррозионно-стойких материалов или защищены от коррозии защитными или защитно-декоративными покрытиями в соответствии с
ГОСТ 9.303.
АПК должны быть приспособлены (доступны) для чистки и не должны удерживать (сохранять) пыль, жидкие и (или) загрязненные материалы, за исключением случаев, когда АПК предназначены для сохранения таких материалов.
Методы очистки АПК и соответствующие чистящие материалы, а также меры предосторожности, необходимые для защиты АПК от коррозии, должны быть описаны в эксплуатационной документации изготовителя.
АПК должны без повреждения выдерживать неоднократную дезинфекцию.
Методы дезинфекции, соответствующие дезинфицирующие средства, а также меры предосторожности, необходимые для обеспечения безопасности при проведении дезинфекции, должны быть описаны в эксплуатационной документации изготовителя.
5.3 Общие требования к программному обеспечению
ПО должно обеспечивать прием, обработку и хранение электромагнитных импульсов с коры головного мозга пациента, получение с помощью регистратора биологических потенциалов данных о биоэлектрической активности мозга и мышц.
ПО должно обрабатывать полученные электромагнитные сигналы в зависимости от пациента и временного графика.
ПО должно обеспечивать:
- реализацию самообучающегося алгоритма по принципу обработки и сравнения зарегистрированных биопотенциалов в различные временные периоды. Восстановление пациента необходимо осуществлять с использованием обученного ПО;
- обучение классификатора ПО под конкретного пациента; калибровку программных классификаторов биоэлектрической активности;
- регистрацию информации о пациенте;
- различные упражнения для восстановлений; настройку параметров выполнения упражнений; отображение задания; хода выполнения и историю выполняемых упражнений;
- получение необходимых данных для анализа биоэлектрической активности пациента с помощью классификаторов с целью выявления характерных паттернов; управление выполнением упражнения на основе выявленных паттернов; сохранение записей биоэлектрической активности пациента;
- реализацию сервисных возможностей таких как: система авторизации пользователей, сохранение данных (запись в соответствующий файл) и их экспорт, прием/передача информации, сохранение пользовательских настроек.
6 Функциональные характеристики аппаратно-программных комплексов
АПК предназначен для первичного восстановления двигательной активности верхней конечности при заболеваниях и травмах ЦНС, включая активность плечевого, локтевого, лучезапястного суставов и подвижность кистей рук для приведения/отведения и сгибания/разгибания конечности, а также сокращения мышц предплечья для сгибания/разгибания кисти в лучезапястном суставе и движений суставов кистей рук (при необходимости).
Восстановление двигательной активности верхней конечности с помощью АПК осуществляется следующим образом:
- пациент располагается на многофункциональной кровати или в кресле в положении полулежа или сидя. Реабилитируемая конечность должна быть закрепленной в ложементах ЭВК. На голове пациента должны быть установлены ЭЭГ-электроды. При выполнении упражнения с использованием ЭМГ на задействованных в выполняемом движении мышцах пациента располагаются электромиографические датчики (ЭМГ-электроды);
- восстановительные упражнения на АПК должны выполняться пациентом в среде ВР, которая усиливает биологическую обратную связь и увеличивает вовлеченность пациента в процесс восстановления, повышая тем самым восстановительный эффект;
- для визуализации упражнений следует использовать шлем (очки) ВР. Пациент должен иметь возможность видеть виртуальную сцену в шлеме (очках) ВР, закрепленном(ых) на его голове, а медицинский специалист (оператор) должен иметь возможность наблюдать за виртуальной сценой на мониторе;
- должна быть обеспечена возможность выполнения упражнений пациентом, следуя голосовым, визуальным или иным образом формируемым указаниям АПК или ответственного за проведение процедуры медицинского персонала. В одном упражнении пациент выполняет несколько попыток (от 10 до 50, по выбору врача);
- намерение выполнить движение должно определяться на основе анализа ПО АПК регистрируемых биоэлектрических сигналов - ЭЭГ и/или ЭМГ, после чего роботизированному устройству посылается команда переместить конечность к выбранной цели;
- перемещение конечности должно происходить автоматически после выполнения упражнения в течение заданного времени.
В АПК должны быть реализованы следующие парадигмы восстановления подвижности с использованием биологической обратной связи:
- зрительно-моторной трансформации на основе вызванных потенциалов (парадигма P300);
- воображения движения [парадигма ВД (MI)];
- электрической активности мышц (парадигма EMG).
Указанные парадигмы следует применять в упражнениях, как по отдельности, так и в комбинации.
При работе с АПК в парадигме P300 (перевод распознавания целевого стимула в совершение движения роботизированным устройством) должен использоваться феномен возникновения в ЭЭГ пациента характерного ЗВП в ответ на кратковременное визуальное выделение (подсветку) объекта, на котором сфокусировано внимание пациента и который, одновременно, является целью движения верхней конечности. АПК должен сопоставлять момент возникновения ЗВП с временем подсветки объектов, из нескольких объектов он должен определять целевой объект и давать команду роботизированному устройству на перемещение верхней конечности к этому объекту. При этом пациент должен во время перемещения верхней конечности образно представлять это движение, как будто он совершает его самостоятельно. Таким образом, должен активироваться механизм зрительно-моторной трансформации, затрагивающий одновременно несколько зон коры головного мозга, и формируется связь "намерение - движение", стимулирующая нейропластичность.
При работе с АПК в парадигме моторного воображения (MI) АПК должен фиксировать ментальный процесс образного представления движения частей тела, который позволяет существенно ускорить восстановление двигательной активности за счет улучшения нейропластичности и закрепления связи "намерение - движение".
При работе с АПК в парадигме EMG перемещение верхней конечности роботизированным устройством должно осуществляться в ответ на собственное напряжение пациентом соответствующей мышцы. При достижении заданного врачом в программе уровня напряжения мышц роботизированное устройство должно перемещать верхнюю конечность пациента, подкрепляя, таким образом, собственную попытку движения.
В комбинированных упражнениях использование парадигмы EMG должно закрепить полученные с помощью ИМК результаты и получить дальнейший прогресс восстановления утраченных функций.
Во время выполнения упражнений в парадигме электрической активности мышц (EMG) врач должен иметь возможность подстраивать уровни порога напряжения мышц, таким образом, упрощая или усложняя задачу пациенту.
Комбинирование парадигм восстановления следует применять для повышения эффективности упражнений за счет индивидуализированного подхода. Добавление парадигмы EMG к задачам ИМК должно способствовать потенциальному повышению эффективности проводимой реабилитации за счет активации периферического двигательного мотонейрона.
Возникающая в результате восстановления устойчивая ассоциация между намерением и действием должна значительно улучшать динамику нейропластичности - процесса восстановления у пациента утраченных или поврежденных нейронных связей под действием опыта.
АПК должны позволять восстановить подвижность конечностей, улучшить объем движения и моторику, путем формирования обратной связи, за счет физического перемещения поврежденной конечности в связи с волевым намерением пациента совершить такое движение.
7.1 Общие положения
7.1.1 Все испытания, кроме специально оговоренных, следует проводить в нормальных климатических условиях:
- температура окружающего воздуха: от 15 °C до 35 °C;
- относительная влажность воздуха при 25 °C: от 45% до 80%;
- атмосферное давление от 84 до 107 кПа (от 630 до 800 мм рт. ст.).
7.1.2 Нормы качества электрической энергии при электропитании от сетей общего назначения должны быть:
- (50 +/- 0,5) Гц - частота питающей электросети;
- (230 +/- 4,4) В - напряжение питающей сети переменного тока.
Для обеспечения гарантированного соблюдения условий проведения испытаний в части энергоснабжения технические средства, на базе которых проводят испытания, следует подключать к электросети через ИБП мощностью 1500 В·А.
7.1.3 Контрольно-измерительная аппаратура, используемая при испытаниях, должна обеспечивать измерение требуемых параметров и требуемую точность измерений. Все используемые средства измерения должны быть поверены.
7.1.4 Персонал, проводящий испытания, должен в полном объеме изучить техническую и эксплуатационную документацию как на АПК в целом, так и на входящие в его состав компоненты, а также на используемые в ходе испытаний средства сторонних производителей.
7.1.5 Испытания должны проводить как минимум два человека (администратор и пользователь ПО), уровень квалификации которых соответствует требованиям документов "Руководство пользователя".
7.1.6 Общие требования к качеству и тестированию АПК должны быть заданы с учетом
ГОСТ IEC 62304.
7.1.7 Перед проведением проверок параметров и характеристик на компьютер АПК должны быть установлены ПО, операционная система, драйверы и программы аппаратных средств.
7.1.8 Применяемые средства испытаний, измерений и контроля должны отвечать требованиям метрологического обеспечения с учетом
ГОСТ Р 51672.
7.1.9 При проведении технического контроля следует использовать только аттестованное контрольно-измерительное оборудование.
7.3 Конфигурацию АПК, качество графического и текстового оформления, "дружественность" интерфейса и соответствие рабочей документации следует определять визуально при дневном рассеянном освещении.
7.4 Контроль массы информационного носителя следует осуществлять путем взвешивания десяти или иного количества единиц продукции на весах по
ГОСТ Р 53228, обеспечивающих необходимую точность измерения.
7.5 Маркировку, упаковку и комплектность следует проверять визуально.
7.6 Проверку на соответствие закупаемых материалов и изделий следует проводить сличением с сопроводительной документацией и сертификатом соответствия.
7.7 Проверку функционирования следует проводить путем пробной проверки на всех режимах, заданных в эксплуатационной документации.
Тестирование осуществляется с учетом норм
ГОСТ Р ИСО/МЭК 9646-1,
ГОСТ Р ИСО/МЭК 9646-5 и
ГОСТ IEC 62304.
Тестирование должно учитывать:
- все необходимые управляющие и ответные действия по контролю и подтверждению работоспособного состояния ПО и его модулей;
- полную проверку функций и процедур;
- необходимую точность методик;
- проверку основных временных характеристик функционирования программных средств (в тех случаях, когда это является существенным);
- проверку полноты и качества реализации функций при штатных, предельных, критических значениях параметров.
При опытной эксплуатации оборудования следует осуществлять проверку:
- качества выполнения АПК автоматических функций во всех режимах функционирования;
- знания пользователем эксплуатационной документации и наличие у него навыков, необходимых для выполнения установленных функций во всех режимах функционирования АПК;
- работу пользователя в диалоговом режиме;
- полноту содержащихся в эксплуатационной документации указаний пользователям и администратору по выполнению ими функций во всех режимах функционирования АПК;
- количественные и (или) качественные характеристики выполнения функций на оборудовании заказчика;
- другие свойства согласно эксплуатационной документации.
7.8 Проверка обеспечения показателей надежности
7.8.1 Проверку показателей надежности осуществляют путем их расчета на основе данных из протокола тестирования.
Протокол тестирования формируется специалистами отдела тестирования и должен содержать следующую информацию:
- число образцов изделия, взятых под наблюдение;
- число отказавших образцов;
- время наработки каждого испытуемого образца;
- число отказов каждого образца;
- число сбоев каждого образца;
- время восстановления образца после сбоя или отказа.
Под отказом понимается сбой работы образца АПК, приводящий к невозможности возобновить его работу по предназначению без переустановки.
Под сбоем понимается кратковременная остановка работы образца, не приводящая к необходимости переустановки. После сбоя работоспособность образца АПК восстанавливается автоматически при его перезапуске.
Для проведения испытаний необходимо определить длительность испытаний и число изделий (образцов), на которых они будут проводиться.
Для обеспечения требования к наработке на отказ - 1500 ч, за длительность испытаний принимается именно это время.
7.8.2 Проверка функционирования с операционной системой
АПК считается выдержавшим испытание, если испытания завершились успешно.
Успешным считается то испытание, при проведении которого не произошло технического или программного сбоя, повлекшего за собой утрату функциональности АПК и прерывание хода испытаний.
7.8.3 В соответствии с ГОСТ 21317 количество образцов АПК, необходимых для проведения испытаний, определяют по формуле

, (1)
где N - количество объектов;

- приемочное значение установленного значения средней наработки на отказ (
Tо);
tи - длительность испытания;
k - коэффициент ожидаемого времени принятия решения.
Коэффициент k определяют в соответствии с ГОСТ 21317-87 (таблица 3).
В соответствии с исходными данными (по протоколу тестирования длительность испытания - 1500 ч, приемочное значение - 1200 ч), для проведения испытаний коэффициент принимают равным 5,1.

.
Таким образом, количество испытуемых образцов АПК в соответствии с протоколом в течение 1500 ч для подтверждения показателя средней наработки на отказ в 1200 ч должно быть не менее пяти.
Для проведения испытаний на надежность используются данные по пяти образцам.
7.8.4 Проверка наработки на отказ
Наработкой на отказ считается время работы АПК по предназначению до первого отказа. Для проверки необходимо убедиться, что в соответствии с протоколом время наработки для каждого образца, взятого под наблюдение, должно быть не менее 1500 ч.
АПК считается выдержавшим проверку, если наработка на отказ для всех принявших участие в испытаниях образцов составила не менее 1500 ч.
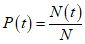
7.8.5 Проверка вероятности безотказной работы
Под вероятностью безотказной работы понимается вероятность того, что в пределах заданной наработки 1500 ч отказ образца АПК не возникнет.
Статистически вероятность безотказной работы следует определять отношением числа образцов, безотказно проработавших до некоторого момента времени, к числу образцов, работоспособных в начальный момент времени.
Для проверки необходимо рассчитать показатель безотказной работы P(t) по формуле

, (2)
где N(t) - число образцов, безотказно проработавших до момента времени t;
N - число образцов, взятых под наблюдение.
Значения показателей для
формулы (2) - в соответствии с протоколом тестирования.
АПК считается выдержавшим проверку, если вероятность безотказной работы для обоих исполнений составила не менее 0,99.
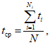
7.8.6 Проверка средней наработки на отказ
Статистически средняя наработка на отказ должна определяться отношением суммы наработки испытуемых образцов до отказа к числу наблюдаемых образцов, если они все отказали за время испытаний. Для проверки рассчитывают показатель средней наработки на отказ tср по формуле

(3)
где ti - наработка i-го объекта до первого отказа;
N - число отказавших объектов.
Значения показателей для
формулы (3) - в соответствии с протоколом тестирования.
Примечание - При безотказной работе образца АПК в течение более 1500 ч тестирование образца останавливается. В этом случае остановка тестирования приравнивается к сбою.
АПК считается выдержавшим проверку, если для обоих исполнений обеспечена средняя наработка на отказ не менее 1200 ч/отказ.
7.8.7 Проверка среднего времени восстановления
Время восстановления программы представляет собой сумму времени выгрузки программы при сбое или отказе и времени загрузки программы. При отсутствии отказов и сбоев время восстановления соответствует времени загрузки программы.
Для проверки рассчитывают показатель среднего времени восстановления tв по формуле

(4)
где tвосст - время восстановления после отказа;
N - число отказавших объектов.
Значения показателей для
формулы (4) - в соответствии с протоколом тестирования.
Примечание - При безотказной работе образца АПК в течение более 1500 ч время восстановления соответствует времени загрузки программы.
АПК считается выдержавшим проверку, если обеспечено среднее время восстановления не более 60 с.
7.8.8 Проверка коэффициента готовности
Коэффициент готовности Kг рассчитывают по формуле

, (5)
где tср - средняя наработка на отказ;
tв - среднее время восстановления.
АПК считается выдержавшим проверку, если для обоих исполнений обеспечен коэффициент готовности не менее 0,99.
7.9 Проверку требований эргономики проводят в ходе тестирования АПК на предприятии-изготовителе. Тестируемый дистрибутив, кроме требований к функциональности и надежности, должен соответствовать всем требованиям эргономики, изложенным в технических условиях.
7.10 Испытание упаковки на внешние механические воздействия, воздействие верхнего и нижнего значений температуры воздуха и изменения значений температуры воздуха при транспортировании и хранении следует проводить по
ГОСТ Р 50444,
ГОСТ Р 51909, а также согласно методам 202-1, 204-1 и 205-2
ГОСТ 30630.2.1 и
ГОСТ 20.57.406.
7.13 Проверку безопасности и основных функциональных характеристик медицинских электрических изделий и медицинских электрических систем, предназначенных для использования с целью оказания медицинской помощи, проводят по
ГОСТ Р МЭК 60601-1-11.
При этом при приемо-сдаточных испытаниях необходимо проверить токи утечки, электрическую прочность изоляции, а при периодических испытаниях - все остальные требования, предъявляемые
ГОСТ Р МЭК 60601-1 к изделиям класса I типа BF.
АПК считается выдержавшим испытания, если в процессе и после испытаний он удовлетворяет требованиям безопасности по
ГОСТ Р МЭК 60601-1.
УДК 615.377.21:006.354 | |
Ключевые слова: аппаратно-программный комплекс, компьютер, нейропластичность, инсульт, заболевания головного мозга, роботизированное устройство, виртуальная реальность |