Главная // Актуальные документы // ГОСТ Р (Государственный стандарт)СПРАВКА
Источник публикации
М.: Издательство стандартов, 2004
Примечание к документу
С 1 июля 2003 года до вступления в силу технических регламентов акты федеральных органов исполнительной власти в сфере технического регулирования носят рекомендательный характер и подлежат обязательному исполнению только в части, соответствующей целям, указанным в
пункте 1 статьи 46 Федерального закона от 27.12.2002 N 184-ФЗ.
Документ
введен в действие с 1 июля 2001 года.
Название документа
"ГОСТ Р 51672-2000. Государственный стандарт Российской Федерации. Метрологическое обеспечение испытаний продукции для целей подтверждения соответствия. Основные положения"
(принят и введен в действие Постановлением Госстандарта России от 22.11.2000 N 311-ст)
"ГОСТ Р 51672-2000. Государственный стандарт Российской Федерации. Метрологическое обеспечение испытаний продукции для целей подтверждения соответствия. Основные положения"
(принят и введен в действие Постановлением Госстандарта России от 22.11.2000 N 311-ст)
Принят и введен в действие
комитета Российской Федерации
по стандартизации и метрологии
от 22 ноября 2000 г. N 311-ст
ГОСУДАРСТВЕННЫЙ СТАНДАРТ РОССИЙСКОЙ ФЕДЕРАЦИИ
МЕТРОЛОГИЧЕСКОЕ ОБЕСПЕЧЕНИЕ ИСПЫТАНИЙ ПРОДУКЦИИ ДЛЯ ЦЕЛЕЙ
ПОДТВЕРЖДЕНИЯ СООТВЕТСТВИЯ
ОСНОВНЫЕ ПОЛОЖЕНИЯ
Metrological ensuring of product testing for the assurance
of conformity. General principles
ГОСТ Р 51672-2000
Группа Т51
Дата введения
1 июля 2001 года
1. Разработан Всероссийским научно-исследовательским институтом метрологической службы (ВНИИМС), Всероссийским научно-исследовательским институтом сертификации (ВНИИС) и Российским Центром испытаний и сертификации (Ростест-Москва) Госстандарта России.
Внесен Техническим комитетом по стандартизации ТК 53 "Основные нормы и правила в области обеспечения единства измерений".
2. Принят и введен в действие
Постановлением Госстандарта России от 22 ноября 2000 г. N 311-ст.
4. Введен впервые.
5. Издание (апрель 2004 г.) с Поправками (ИУС 8-2002, 5-2003).
Настоящий стандарт устанавливает основные положения метрологического обеспечения испытаний продукции для целей подтверждения соответствия продукции и процессов установленным требованиям (далее - метрологическое обеспечение испытаний).
Требования стандарта распространяются на деятельность по разработке нормативных документов, подготовке и проведению испытаний продукции и процессов для целей подтверждения соответствия.
Положения стандарта могут распространяться на испытания и приемку выпускаемой продукции по
ГОСТ 15.309.
Стандарт не распространяется на метрологическое обеспечение испытаний продукции, разрабатываемой и изготовляемой по заказам Министерства обороны Российской Федерации и других федеральных органов исполнительной власти в сфере обороны и безопасности Российской Федерации, а также испытаний средств измерений для целей утверждения типа.
В настоящем стандарте использованы ссылки на следующие стандарты:
ГОСТ 8.207-76 Государственная система обеспечения единства измерений. Прямые измерения с многократными наблюдениями. Методы обработки результатов наблюдений. Основные положения
ГОСТ 8.315-97 Государственная система обеспечения единства измерений. Стандартные образцы состава и свойств веществ и материалов. Основные положения
ГОСТ 8.417-2002 Государственная система обеспечения единства измерений. Единицы величин
ГОСТ 15.309-98 Система разработки и постановки продукции на производство. Испытания и приемка выпускаемой продукции. Основные положения
ГОСТ 16504-81 Система государственных испытаний продукции. Испытания и контроль качества продукции. Основные термины и определения
ГОСТ Р 1.11-99 Государственная система стандартизации Российской Федерации. Метрологическая экспертиза проектов государственных стандартов
| | ИС МЕГАНОРМ: примечание. Взамен ГОСТ Р 1.12-99 Приказом Ростехрегулирования от 30.12.2004 N 159-ст с 1 июля 2005 года введен в действие ГОСТ Р 1.12-2004. | |
ГОСТ Р 1.12-99 Государственная система стандартизации Российской Федерации. Стандартизация и смежные виды деятельности. Термины и определения
ГОСТ Р 8.000-2000 Государственная система обеспечения единства измерений. Основные положения
ГОСТ Р 8.563-96 Государственная система обеспечения единства измерений. Методики выполнения измерений
ГОСТ Р 8.568-97 Государственная система обеспечения единства измерений. Аттестация испытательного оборудования. Основные положения
В настоящем стандарте применяются основные термины и определения понятий в области метрологического обеспечения, испытаний и оценки соответствия.
| | ИС МЕГАНОРМ: примечание. Взамен ГОСТ Р 1.12-99 Приказом Ростехрегулирования от 30.12.2004 N 159-ст с 1 июля 2005 года введен в действие ГОСТ Р 1.12-2004. | |
В области метрологического обеспечения в настоящем стандарте применяют термины с соответствующими определениями в соответствии со
статьей 1 "Основные понятия" Закона Российской Федерации "Об обеспечении единства измерений"
[1] (единство измерений, средство измерений, метрологическая служба, метрологический контроль и надзор, поверка средств измерений, калибровка средств измерений) и
ГОСТ Р 8.000 (измерение, обеспечение единства измерений, метрологическая служба юридического лица), в области испытаний - термины с соответствующими определениями по
ГОСТ 16504 (условия испытаний, объект испытаний, программа испытаний, испытательное оборудование, аттестация испытательного оборудования, аттестация методики испытаний, данные испытаний, результаты испытаний, испытательная организация) и ГОСТ Р 1.12 (метод испытаний, методика испытаний, протокол испытания, погрешность измерения, сертификация, обязательная сертификация, добровольная сертификация), а также следующие термины с соответствующими определениями, установленные в
3.1 -
3.9:
3.1. Метрологическое обеспечение испытаний: установление и применение научных и организационных основ, технических средств, метрологических правил и норм, необходимых для получения достоверной измерительной информации о значениях показателей качества и безопасности продукции и услуг, а также о значениях характеристик воздействующих факторов и(или) режимов функционирования объекта при испытаниях, других условий испытаний.
3.2. Испытания: техническая операция, заключающаяся в определении одной или нескольких характеристик данной продукции, процесса или услуги в соответствии с установленной процедурой (ГОСТ Р 1.12).
3.3. Погрешность результата испытаний: разность между результатом испытаний характеристики объекта при фактических условиях испытаний и истинным (действительным) значением характеристики объекта при условиях испытаний, установленных в нормативном документе на методы испытаний объекта
[2].
3.4. Воспроизводимость результатов испытаний: характеристика результатов испытаний, определяемая близостью результатов испытаний одного и того же объекта по единым методикам в соответствии с требованиями одного и того же нормативного документа с применением различных экземпляров оборудования разными операторами в разное время в разных лабораториях.
Примечание. Воспроизводимость результатов испытаний зависит не только от точности измерений, но и от однородности и стабильности характеристик испытуемого объекта, непостоянства характеристик объекта между испытаниями, в том числе от разброса характеристик образцов (проб), отобранных для испытаний.
3.3., 3.4. (Поправка, ИУС 8-2002).
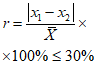
3.4.1. Норматив (предел) воспроизводимости: предельно допускаемое абсолютное расхождение между двумя результатами испытаний, полученными в условиях воспроизводимости при доверительной вероятности 0,95
[3].
Примечание. В международной практике
[3],
[4] принято условное обозначение предела воспроизводимости

где

и

- результаты испытаний одного и того же объекта по единым методикам в соответствии с требованиями одного и того же нормативного документа с применением различных экземпляров оборудования разными операторами в разное время в разных лабораториях.
(Поправки, ИУС 8-2002, 5-2003).
3.4.2. Статистическая оценка воспроизводимости: среднеквадратическое отклонение воспроизводимости результатов испытаний
[3],
[4].
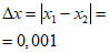
3.5. Повторяемость (сходимость) результатов испытаний: характеристика результатов испытаний, определяемая близостью результатов испытаний одного и того же объекта по одной и той же методике в соответствии требованиями одного и того же нормативного документа в одной и той же лаборатории одним и тем же оператором с использованием одного и того же экземпляра оборудования в течение короткого промежутка времени.
3.5.1. Норматив (предел) повторяемости (сходимости): предельно допускаемое абсолютное расхождение между двумя результатами испытаний, полученными в условиях повторяемости (сходимости) при доверительной вероятности 0,95
[3].
Примечание. В международной практике принято условное обозначение предела повторяемости (сходимости)

где

и

- два результата испытаний одного и того же объекта по одной и той же методике в одной и той же лаборатории одним и тем же оператором с использованием одного и того же экземпляра оборудования в течение короткого промежутка времени.
(Поправка, ИУС 5-2003).
3.5.2. Статистическая оценка повторяемости (сходимости): среднеквадратическое отклонение повторяемости (сходимости) результатов испытаний
[3],
[4].
| | ИС МЕГАНОРМ: примечание. Взамен ГОСТ Р 1.12-99 Приказом Ростехрегулирования от 30.12.2004 N 159-ст с 1 июля 2005 года введен в действие ГОСТ Р 1.12-2004. | |
3.6. Соответствие (в области оценки соответствия): соблюдение установленных требований к продукции, процессу или услуге (ГОСТ Р 1.12).
3.7. Оценка соответствия: любая деятельность, связанная с прямым или косвенным определением того, что соответствующие требования выполняются (ГОСТ Р 1.12).
3.8. Подтверждение соответствия: деятельность, результатом которой является документальное свидетельство, дающее уверенность в том, что продукция, процесс или услуга соответствуют установленным требованиям (ГОСТ Р 1.12).
Примечание. Применительно к продукции или услуге свидетельство может быть в виде декларации о соответствии или сертификата соответствия (ГОСТ Р 1.12).
3.9. Испытания на соответствие: процедура оценивания соответствия путем проведения испытаний (ГОСТ Р 1.12).
4. ЦЕЛИ И ЗАДАЧИ МЕТРОЛОГИЧЕСКОГО ОБЕСПЕЧЕНИЯ ИСПЫТАНИЙ
4.1. Основная цель метрологического обеспечения испытаний - получение достоверной измерительной информации о значениях показателей качества и безопасности продукции.
4.2. Основные задачи метрологического обеспечения испытаний:
создание необходимых условий для получения достоверной информации о значениях показателей качества и безопасности продукции при испытаниях;
разработка методик испытаний, обеспечивающих получение результатов испытаний с погрешностью и воспроизводимостью, не выходящих за пределы установленных норм;
разработка программ испытаний, обеспечивающих получение достоверной информации о значениях показателей качества и безопасности продукции и их соответствие установленным требованиям;
проведение метрологической экспертизы программ и методик испытаний;
обеспечение поверки средств измерений, используемых в сферах распространения государственного метрологического контроля и надзора и применяемых для контроля параметров испытуемой продукции, характеристик условий испытаний, условий и параметров безопасности труда и состояния окружающей среды
[5];
обеспечение аттестации испытательного оборудования в соответствии с
ГОСТ Р 8.568;
обеспечение калибровки средств измерений, не подлежащих государственному метрологическому контролю и надзору
[6],
[7];
обеспечение аттестации методик выполнения измерений в соответствии с
ГОСТ Р 8.563 и методик испытаний
[8];
подготовка персонала испытательных подразделений к выполнению измерений и испытаний, техническому обслуживанию и аттестации испытательного оборудования.
5. ОСНОВНЫЕ ТРЕБОВАНИЯ К МЕТРОЛОГИЧЕСКОМУ ОБЕСПЕЧЕНИЮ ИСПЫТАНИЙ
5.1. На предприятиях (в организациях), где проводят испытания для целей обязательной сертификации, и в других сферах распространения государственного метрологического контроля и надзора, должна быть создана метрологическая служба или иная организационная структура по обеспечению единства измерений
[1],
[9].
5.2. Типы средств измерений, применяемых при проведении испытаний для целей обязательной сертификации, должны быть утверждены Госстандартом России
[10].
5.3. Экземпляры средств измерений, используемые при проведении испытаний для целей обязательной сертификации, в том числе при контроле характеристик испытуемой продукции, характеристик условий испытаний, контроле параметров опасных и вредных производственных факторов и состояния окружающей среды и при подтверждении соответствия принятием декларации о соответствии, должны быть поверены
[5].
Экземпляры средств измерений, используемые при проведении испытаний для целей добровольной сертификации, в сферах, на которые не распространяются государственный метрологический контроль и надзор, сертифицируют
[11] и калибруют
[6,
7].
5.4. Стандартные образцы состава и свойств веществ и материалов, используемые при проведении испытаний для целей обязательной сертификации, должны быть утвержденных типов в соответствии с
ГОСТ 8.315.
5.5. Испытательное оборудование должно быть аттестовано в соответствии с
ГОСТ Р 8.568 с учетом требований нормативных документов на методы испытаний.
Примечание. Оборудование относят к испытательному в соответствии с его назначением по
ГОСТ 16504 (см. примеры классификации и применения технических средств испытаний нефти и нефтепродуктов
[12]).
5.6. Технологическое, лабораторное, вспомогательное и т.п. оборудование, не относящееся к испытательному, подвергают периодической проверке технического состояния в соответствии с указаниями, содержащимися в инструкциях по эксплуатации этого оборудования или в паспортах на них.
5.7. Методики выполнения измерений, применяемые при испытаниях для целей подтверждения соответствия, должны быть аттестованы или стандартизованы в соответствии с требованиями
ГОСТ Р 8.563.
5.8. Результаты измерений при испытаниях должны быть выражены в единицах величин, допущенных к применению в Российской Федерации
(ГОСТ 8.417).
Характеристики и параметры продукции, поставляемой на экспорт, в том числе средств измерений, могут быть выражены в единицах, установленных заказчиком
[1], или в условных единицах, установленных в стандартах и других нормативных документах для определенных групп однородной продукции. Результаты испытаний выражают в соответствующих единицах.
5.9. Методики испытаний разрабатывают на основе положений нормативных документов Государственной системы обеспечения единства измерений и нормативных документов на продукцию и методы ее испытаний, а также Рекомендации
[8], при этом должны быть выполнены следующие требования:
установлены нормы показателей точности и воспроизводимости результатов испытаний (в том числе межлабораторной воспроизводимости)
(Приложение А);
предусмотрены процедуры оценивания характеристик погрешности и воспроизводимости результатов испытаний
(Приложение А);
при оценивании погрешности результатов испытаний учтены погрешность измерений параметров продукции и влияние на эти параметры отклонений фактических условий испытаний от условий испытаний, установленных в нормативном документе на методы испытаний продукции
[2];
проведены измерения для контроля условий безопасности труда и состояния окружающей среды.
Примечание. В качестве показателей точности результатов испытаний могут быть использованы характеристики неопределенности
[13].
5.10. Методика испытаний может включать в себя в качестве составной части методику (методики) выполнения измерений, аттестованную (аттестованные) в соответствии с требованиями
ГОСТ Р 8.563 или содержать ссылки на методики выполнения измерений, регламентированные в государственных стандартах.
Методики испытаний, применяемые для целей подтверждения соответствия, должны соответствовать требованиям Правил подтверждения соответствия продукции конкретных видов.
5.11. Документы, в которых регламентированы методики испытаний, должны содержать:
перечень параметров продукции, подвергаемой испытаниям, и характеристик условий испытаний с указанием номинальных значений и диапазонов изменений;
значения характеристик погрешности результатов измерений и испытаний параметров продукции и характеристик условий испытаний, приписанные данной методике
[2,
3,
4];
нормативы и процедуры оценивания воспроизводимости результатов испытаний (или ссылки на нормативный документ, регламентирующий эти процедуры для всех видов испытаний однородного вида продукции)
[3,
4];
методики выполнения измерений параметров продукции и характеристик условий испытаний, если они включены в качестве составной части в методику испытаний;
требования к эталонам, средствам измерений, испытательному и вспомогательному оборудованию (либо указание их типов и характеристик), материалам и реактивам;
операции подготовки, проведения испытаний, включая порядок отбора, подготовки и хранения образцов (проб) для испытаний, алгоритмы обработки данных испытаний и вычислений результатов измерений при испытаниях;
требования к оформлению результатов испытаний;
требования к квалификации персонала, проводящего испытания;
требования к обеспечению безопасности выполняемых работ;
требования к обеспечению экологической безопасности.
5.12. Проекты нормативных документов, регламентирующих методики испытаний продукции, должны быть подвергнуты метрологической экспертизе в порядке, установленном на предприятиях и в организациях, проводящих испытания продукции.
Для проведения метрологической экспертизы может быть использована рекомендация
[14].
Проекты государственных стандартов, регламентирующих методики испытаний продукции, следует подвергать метрологической экспертизе в соответствии с требованиями
ГОСТ Р 1.11.
5.13. Документ, регламентирующий программу испытаний, должен содержать:
перечень параметров продукции, подвергаемой испытаниям, и характеристик условий испытаний с указанием номинальных значений и диапазонов изменений;
перечень документов, на соответствие требованиям которых проводятся испытания;
перечень документов, регламентирующих методики испытаний, последовательность и объем проводимых экспериментов;
порядок, условия, место и сроки проведения испытаний;
требования к характеристикам погрешности и воспроизводимости результатов измерений и испытаний;
перечень эталонов, средств измерений, испытательного и вспомогательного оборудования с указанием их типов и характеристик, материалов и реактивов;
методику и порядок отбора, подготовки и хранения образцов (проб) для испытаний или ссылки на государственные стандарты, регламентирующие методику и порядок отбора, подготовки и хранения образцов (проб) для испытаний;
алгоритмы обработки данных испытаний и вычислений результатов измерений при испытаниях;
требования к оформлению результатов испытаний.
5.14. Результаты испытаний фиксируют в протоколе, в котором в числе прочих сведений должны быть указаны:
наименование объекта испытаний, контролируемые при испытаниях характеристики свойств и параметров объекта;
наименование и обозначение документа, регламентирующего методику испытаний;
характеристики условий испытаний и внешних воздействующих факторов;
результаты измерений (испытаний) характеристик свойств и/или параметров объекта, характеристики погрешности полученных результатов, а также воспроизводимость результатов испытаний (если испытания объекта проводились и в условиях воспроизводимости);
наименования, типы или основные характеристики эталонов и средств измерений, использованных при испытаниях;
реквизиты испытательного подразделения.
5.15. В соответствии с задачами метрологического обеспечения испытаний метрологические службы юридических лиц или иные организационные структуры по обеспечению единства измерений должны выполнять следующие функции:
организацию и проведение совместно со специалистами других технических служб предприятия систематического анализа состояния измерений, контроля и испытаний в испытательных подразделениях
[15] и
[16], а также оценки состояния измерений в испытательных лабораториях
[17];
подготовку мероприятий по совершенствованию метрологического обеспечения испытаний для целей оценки соответствия и иных испытаний, участие в их реализации и контроль всего комплекса мер по их своевременной реализации;
своевременное введение нормативных документов (государственных стандартов, правил по метрологии, рекомендаций по метрологии) Государственной системы обеспечения единства измерений;
участие в подготовке к аккредитации испытательных подразделений;
участие в подготовке к сертификации систем качества и производств;
выполнение работ по аттестации методик выполнения измерений (при наличии аккредитации на право аттестации методик выполнения измерений) и участие в работах по унификации и стандартизации методик выполнения измерений;
участие в аттестации испытательного оборудования, разработке программ и методик аттестации испытательного оборудования;
проведение метрологической экспертизы программ и методик испытаний
[14];
проведение метрологической экспертизы технических заданий, конструкторской и технологической документации, проектов нормативных документов, регламентирующих требования к испытаниям
[14];
своевременное предоставление применяемых в испытательных подразделениях средств измерений на поверку, организацию работ по калибровке средств измерений в соответствии с
[6,
7];
выполнение особо точных измерений для целей метрологического обеспечения испытаний (по заказам испытательных подразделений);
разработку и внедрение документов, регламентирующих вопросы метрологического обеспечения испытаний на предприятии (в организации), участие совместно со специалистами других технических служб в работах по актуализации нормативной базы по метрологическому обеспечению испытаний;
метрологический надзор за состоянием и применением средств измерений, аттестованными методиками выполнения измерений, эталонами, применяемыми для калибровки средств измерений, за соблюдением метрологических правил и норм, нормативных документов по обеспечению единства измерений при осуществлении испытаний
[18].
5.16. Государственный метрологический надзор за состоянием и применением средств измерений, аттестованными методиками выполнения измерений, эталонами единиц величин, соблюдением метрологических правил и норм при выполнении испытаний в сферах распространения государственного метрологического контроля и надзора осуществляют органы Государственной метрологической службы Госстандарта России
[19].
(справочное)
ОПРЕДЕЛЕНИЕ ПОГРЕШНОСТИ И ВОСПРОИЗВОДИМОСТИ
РЕЗУЛЬТАТОВ ИСПЫТАНИЙ. ПРИМЕРЫ
А.1. При разработке методик и программ испытаний продукции, нормативных документов на методы испытаний, а также для установления фактических значений характеристик показателей точности результатов испытаний необходимо учитывать требования
[2,
3,
4,
8].
А.2. Нормы показателей точности (погрешности и(или) воспроизводимости) результатов испытаний устанавливают в государственных стандартах и других нормативных документах на продукцию и методы ее испытаний. Эти нормы должны быть согласованы с установленными в этих документах допусками на показатели качества и безопасности продукции.
А.3. В документах, регламентирующих конкретные методы испытаний (
5.10,
5.10.1 и
5.11 стандарта), указывают приписанные (фактические) значения показателей точности (погрешности и(или) воспроизводимости) результатов испытаний. Эти значения оцениваются на стадии разработки конкретной методики испытаний с использованием
[2,
3,
4,
13,
20].
А.4. Если в документах, регламентирующих конкретные методики испытаний, отсутствуют приписанные (фактические) значения показателей точности (погрешности и(или) воспроизводимости) результатов испытаний, в программе испытаний (
5.13 стандарта) следует предусмотреть процедуру (алгоритм расчетов и(или) эксперимент), по результатам которой могут быть найдены статистические оценки показателей точности результатов выполненных испытаний
[2,
3,
4,
13,
20,
21].
А.5. Для выражения задаваемых норм показателей точности результатов испытаний, для выражения приписанных (фактических) значений показателей точности результатов испытаний, а также для выражения статистических оценок этих показателей могут быть использованы характеристики погрешности, приведенные в
А.5.1 -
А.5.4.
А.5.1. Нижняя и верхняя границы интервала, в котором погрешность результатов испытаний находится с заданной вероятностью P (в частности, с вероятностью, равной единице): +/-

или +/-

(%).
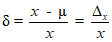
Примечание. Абсолютная погрешность результатов испытаний

представляет собой разность между результатом испытаний и действительным значением параметра продукции, подвергаемой испытаниям, и выражается в единицах измеряемой величины
где x - результат испытаний;

- действительное значение параметра продукции, подвергаемой испытаниям.
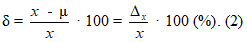
Относительная погрешность результатов испытаний

- отношение абсолютной погрешности результатов испытаний

к полученному значению параметра продукции, подвергаемой испытаниям, x (в долях или в процентах)

или

А.5.2. Среднеквадратическое отклонение суммарной погрешности результатов испытаний

или

.
А.5.3. Нижняя и верхняя границы интервала, в котором с заданной вероятностью P находится неисключенная систематическая составляющая погрешности +/-

и среднеквадратическое отклонение случайной составляющей погрешности результатов испытаний

.
А.5.4. Норматив (предел) повторяемости (сходимости) r и норматив (предел) воспроизводимости R результатов испытаний
[3].
А.5.4.1. Норматив (предел) повторяемости (сходимости) результатов испытаний r - предельно допускаемое абсолютное расхождение для доверительной вероятности 0,95 между двумя результатами испытаний, полученными в условиях повторяемости (сходимости)
[3] (характеристика, являющаяся частью случайной составляющей погрешности результатов испытаний, которая обычно задается в нормативных документах на методы испытаний и позволяет осуществлять оперативный контроль точности результатов испытаний),
где

и

- два результата испытаний одного и того же объекта по одной и той же методике в одной и той же лаборатории тем же оператором с использованием того же экземпляра оборудования в течение короткого промежутка времени.
А.5.4.2. Норматив (предел) воспроизводимости R - предельно допускаемое расхождение для доверительной вероятности 0,95 между двумя результатами испытаний, полученными в условиях воспроизводимости (
3.4 стандарта),
где

и

- соответственно результаты повторных испытаний одного и того же объекта по единым методикам в соответствии с требованиями одного и того же нормативного документа с применением различных экземпляров оборудования разными операторами в разное время.
При проведении межлабораторных испытаний для целей подтверждения соответствия
[16,
19] 
и

- результаты испытаний одного и того же объекта по единым методикам в соответствии с требованиями одного и того же нормативного документа в разных лабораториях.
А.5.4.1., А.5.4.2. (Поправка, ИУС 5-2003).
А.6. Статистическая оценка погрешности результатов испытаний отражает степень близости отдельного, уже полученного результата испытаний, к действительному значению измеряемой величины и может быть получена методами, изложенными, например, в
[22] или
[3].
А.7. Статистическая оценка неисключенной систематической составляющей погрешности результатов испытаний представляется среднеквадратическим отклонением неисключенной систематической составляющей погрешности результатов испытаний
[2,
3,
22].
А.7.1. Если математическое ожидание систематической составляющей погрешности результатов испытаний известно и постоянно, то в результаты испытаний вводят соответствующую поправку
[2,
3,
22].
А.8. Статистическая оценка повторяемости (сходимости) представляется среднеквадратическим отклонением повторяемости (сходимости) результатов испытаний - показателем сходимости
[3,
4]:
где

- i-й (

, n >= 30) результат испытаний, полученный в условиях повторяемости (сходимости) (см.
А.5.4.1 Приложения А);

- среднеарифметическое значение из n результатов испытаний в условиях повторяемости (сходимости).
В предположении нормального распределения случайной составляющей погрешности при n = 2 и P = 0,95
А.8.1. При достаточно большом числе экспериментов (n >= 20) и в предположении нормального распределения случайной составляющей погрешности можно принять равным 2,0 (см. например
[21]), соотношение между среднеквадратическим отклонением случайной составляющей погрешности результатов испытаний

и показателем сходимости

и, соответственно, вычислить

:
А.8.2. Для случаев, когда систематической составляющей погрешности можно пренебречь
[3,
22], нижнюю и верхнюю границы интервала, в котором находится погрешность результатов испытаний, можно рассчитать следующим образом

в единицах измеряемой величины или

в % отн. в предположении нормального распределения случайной составляющей погрешности.
А.9. Статистическая оценка воспроизводимости результатов испытаний представляется среднеквадратическим отклонением воспроизводимости результатов испытаний

и может быть получена по формулам, приведенным в
[3,
4,
21].
В предположении нормального распределения случайной составляющей погрешности при m = 2 и P = 0,95
Примеры определения (расчета) характеристик погрешности и воспроизводимости результатов испытаний.
Пример 1. Расчет погрешности результатов испытаний асбестовых фрикционных накладок для целей сертификации на соответствие требованиям технических условий к отклонению от плоскостности торцевых поверхностей накладок.
Требования к показателям точности результатов испытаний в НД отсутствуют.
Разработчик изделий - ОАО "Научно-исследовательский и конструкторско-технологический институт асбестотехнических изделий - фирма ТИИР; г. Ярославль.
Потребители - предприятия двигателестроения в автомобильной промышленности.
Основным параметром, определяющим качество фрикционных накладок, является отклонение от плоскостности D.
Для значений D в конструкторской документации установлен диапазон 0,2 - 0,6 мм.
Фрикционные накладки испытывают под давлением с помощью нажимных колец. Метод испытаний основан на измерении под давлением с помощью набора щупов по ТУ 2-034-225-87 зазора между рабочей (торцевой) поверхностью фрикционной накладки и поверхностью поверочной плиты, на которой размещена накладка.
Схема выполнения измерений приведена на рисунке А.1
1 - поверочная плита по
ГОСТ 10905 не ниже 2-го класса
точности; 2 - фрикционная накладка; 3 - нажимное кольцо из
стали по
ГОСТ 1050, твердость НРСэ 57-63; 4 - зона контроля
отклонений от плоскостности (по всей длине окружности)
Рисунок А.1. Схема выполнения измерений
Размеры нажимного кольца выбирают таким образом, чтобы на подвергаемую испытаниям фрикционную накладку создавалось давление (1,5 +/- 0,2) кПа.
Накладку размещают на поверочной плите и сверху устанавливают нажимное кольцо или набор колец, обеспечивающих давление на накладу (1,5 +/- 0,2) кПа.
Контроль отклонения от плоскостности накладок проводят с помощью набора щупов с максимальным размером, на 0,01 мм превышающим установленное в технической документации допускаемое отклонение от плоскостности.
Зазор между поверхностью накладки и поверочной плитой контролируют по длине всей окружности наружного диаметра накладки.
За результат испытаний принимают максимальный размер щупа, который входит в зазор между торцевой поверхностью накладки и поверочной плитой без усилия на глубину не менее одной третьей части ширины поля накладки.
После контроля отклонения от плоскостности для одной торцевой поверхности накладки ее переворачивают, кладут на другую торцевую поверхность, сверху устанавливают нажимное кольцо (или нажимные кольца) и аналогичным образом контролируют отклонение от плоскостности для второй торцевой поверхности.
Относительная погрешность результатов испытаний фрикционных накладок

, т.е. погрешность измерений отклонений их торцевых поверхностей от плоскостности складывается из трех составляющих:
- составляющая погрешности, обусловленная неплоскостностью поверочной плиты

;
- инструментальная составляющая погрешности, т.е. составляющая погрешности, обусловленная погрешностью используемых средств измерений

(в данном случае - погрешностью щупов);
- составляющая погрешности, обусловленная погрешностью задания давления на накладку

.
В предположении статистической независимости отдельных составляющих погрешности предельную суммарную относительную погрешность результатов испытаний находят по формуле
Оценивание отдельных составляющих погрешности результатов испытаний приводит к следующим результатам:
1. По
ГОСТ 10905-86 для поверочной плиты размером (400 x 400) мм 2-го класса точности допускаемое отклонение от плоскостности составляет 0,025 мм. В связи с этим принимают
2. Минимальное значение толщины щупа, используемого при испытаниях фрикционных накладок, составляет 0,2 мм.
По ТУ 2-034-225-87 для щупа толщиной 0,2 мм 2-го класса точности допускаемое отклонение толщины составляет от плюс 0,009 мм до минус 0,005 мм (для новых щупов), для изношенных щупов минус 0,009 мм. В связи с этим можно принять
3. Для получения оценки предельной относительной погрешности

были проведены дополнительные исследования на фрикционных накладках нескольких типоразмеров, предназначенных для работы в узлах сцепления автомобилей различных типов. Исследования проводились в соответствии с инструкцией 17.61Ф-00, при этом к фрикционным накладкам прикладывались дискретные усилия за счет набора грузов переменной массы, превышающей значения, необходимые для создания регламентированного давления (1,5 +/- 0,2) кПа.
Исследования проводились на накладках типа 2106-1601138 из композита ТИИР-116 с использованием таких грузов, которые создавали усилие G в интервале 23,7 - 30,7 Н, соответствующем интервалу регламентированного давления 1,3 - 1,7 кПа.
На рисунке А.2 приведены результаты исследования зависимости зазора от значений усилий G для двух образцов накладок (1 и 2).
дет.2106-1601138 (ТИИР-116)
1. y = -0,0044x + 0,3284
2. y = -0,0044x + 0,2977
Рисунок А.2.
Из данных, приведенных на рисунке А.2 для накладки 1, следует, что усилию

(создающему давление 1,3 кПа) соответствует зазор

; усилию

(создающему давление 1,7 кПа) - зазор

. При этом среднее значение зазора, соответствующее давлению 1,5 кПа, равно:
Приведенные выше результаты исследований позволяют получить следующую оценку предельной относительной погрешности результата испытаний фрикционных накладок, обусловленную погрешностью задания значений давления при испытаниях накладок:
4. С учетом приведенных оценок предельных относительных погрешностей

,

и

для предельной относительной погрешности результатов испытаний можно записать:
Из приведенных результатов следует, что при испытании фрикционных накладок можно пренебречь составляющей погрешности результатов испытаний, обусловленной погрешностью поверочной плиты, и следует учитывать только инструментальную составляющую и составляющую, обусловленную погрешностью воспроизведения условий испытаний (погрешностью задания значений давления при испытаниях накладок

). При этом последняя составляющая оказывается доминирующей.
Пример 2. Оценка результатов испытаний автомобильного неэтилированного бензина марки А-76 на соответствие требованиям
ГОСТ 2084-77 по показателям:
1. В
ГОСТ 511-82 установлены следующие требования к показателям точности моторного метода определения октанового числа:
Сходимость.
Два результата испытаний, полученные одним исполнителем на одной установке, признаются достоверными (с 95%-ной доверительной вероятностью), если расхождение между ними не превышает 0,5 октановой единицы (норматив повторяемости (сходимости) r);
Воспроизводимость.
Два результата испытаний, полученные на двух разных установках, признаются достоверными (с 95%-ной доверительной вероятностью), если расхождение между ними не превышает 1,6 октановой единицы (норматив воспроизводимости R).
Результаты испытаний автомобильного неэтилированного бензина марки А-76 по октановому числу моторным методом и фактические расхождения результатов испытаний приведены в таблице А.1.
Таблица А.1
Результаты испытаний автомобильного неэтилированного
бензина марки А-76 по показателю "октановое число по
Номер установки | Результат определения xi. Результат испытания Xi, октановые единицы | Фактическое расхождение между результатами параллельных определений |x1 - x2| или результатами испытаний |X1 - X2|, октановые единицы | Норматив показателей r или R по ГОСТ 511-82, октановые единицы | Значение показателя качества по ГОСТ 2084-77, октановые единицы, не менее | Оценка результатов испытаний на соответствие требованиям ГОСТ 2084-77 |
1 | x1 = 76,0 x2 = 76,5 X1 = 76,25 | |76,0 - 76,| = 0,5 | r = 0,5 | 76,0 | Бензин А-76 соответствует ГОСТ 2084-77, так как X1 = 76,25 > 76,0 - октановых единиц, и фактическое расхождение результатов параллельных определений  октановых единиц  |
1 | X1 = 76,25 | |76,25 - 77,2| = 0,95 | R = 1,6 | 76,0 | Бензин А-76 соответствует ГОСТ 2084-77, так как  и фактическое значение межлабораторной воспроизводимости 0,95 октановых единиц меньше R = 1,6 октановых единиц |
2 | X2 = 77,2 |
| |
2. В
ГОСТ 19121-73 установлены следующие требования к показателям точности метода определения содержания серы сжиганием в лампе:
За результат испытаний (определения) принимают среднее арифметическое двух параллельных определений.
Два результата испытаний (определений), полученные одним исполнителем в одной лаборатории, признаются достоверными (с 95%-ной доверительной вероятностью), если расхождения между ними не превышают значений, указанных на чертеже 1 (для массовой доли серы до 0,5%) и 0,030% - для массовой доли серы свыше 0,5% (норматив повторяемости r).
Два результата испытаний, полученные в двух разных лабораториях, признаются достоверными (с 95%-ной доверительной вероятностью), если расхождения между ними не превышают значений, указанных на чертеже 2 (для массовой доли серы до 0,5%) и 0,030% - (для массовой доли серы свыше 0,5%) (норматив воспроизводимости R).
Результаты испытаний автомобильного неэтилированного бензина марки А-76 по показателю "массовая доля серы" и определение фактических значений показателей повторяемости и воспроизводимости результатов испытаний приведены в таблице А.2.
Таблица А.2
Результаты испытаний автомобильного неэтилированного
бензина марки А-76 по показателю "массовая доля серы"
Номер лаборатории | Результат определения xi. Результат испытания Xi (массовая доля серы), % | Фактическое расхождение между результатами (массовая доля серы), % | Норматив показателя по ГОСТ 19121-73 r или R (массовая доля серы), % | Значение показателя по ГОСТ 2084-77 (массовая доля серы), %, не более | Оценка результатов испытаний продукта на соответствие требованиям ГОСТ 2084-77 |
1 | x1 = 0,10 x2 = 0,09 X1 = 0,095 | |x1 - x2| = 0,01 | r = 0,011 | 0,10 | Бензин А-76 соответствует ГОСТ 2084-77, так как X1 = 0,095 < 0,10 массовой доли серы, %, и фактическое расхождение результатов параллельных определений  |
1 | X1 = 0,095 | |X1 - X2| = 0,02 | R = 0,052 | 0,10 | Бензин А-76 соответствует ГОСТ 2084-77, так как  массовой доли серы, %, и фактическое значение межлабораторной воспроизводимости  |
2 | X2 = 0,075 |
| |
Пример 3. Оценка результатов испытаний сухого цельного молока по
ГОСТ 4495-87 на соответствие медико-биологическим требованиям Минздрава СССР (МБТ МЗ СССР) N 5061-89 от 01.08.89 (для целей обязательной сертификации) по содержанию ртути.
1. В соответствии с требованиями ГОСТ 4495-87 (раздел 1, пункт 18) содержание токсичных элементов в продукте не должно превышать допустимых уровней, установленных в "Медико-биологических
требованиях и санитарных нормах качества продовольственного сырья и пищевых продуктов" (МБТ) Минздрава СССР N 5061-89 от 01.08.89 (с 01.07.2002 г. - в Санитарных правилах и нормах СанПиН 2.3.2.1078-2001 "Гигиенические требования безопасности и пищевой ценности пищевых продуктов").
В указанных документах допустимый уровень содержания ртути в молоке и кисломолочных изделиях установлен не более 0,005 мг/кг.
2. Испытания анализируемой пробы сухого цельного молока для определения содержания ртути проводят по
ГОСТ 26927-86. Данные испытания проведены по
ГОСТ 26927-86 колориметрическим методом.
В ГОСТ 26927-86(раздел 2) установлены следующие требования к показателям точности колориметрического метода определения содержания ртути в продукте:
за окончательный результат испытаний принимают среднее арифметическое значение

результатов двух параллельных определений, исправленное на величину систематической составляющей погрешности измерений, которая составляет +0,20

. Допускаемое расхождение между результатами двух параллельных определений при Р = 0,95 не должно превышать 30% по отношению к среднему арифметическому значению. Окончательный результат округляется до второго десятичного знака (см. также
А.5.4.1 - норматив повторяемости r);
значение среднеквадратического отклонения случайной составляющей погрешности измерений массовой доли ртути одной и той же пробы в разных лабораториях при допускаемых методикой изменениях влияющих факторов составляет

(см. также
А.5.3 -

);
допускаемое расхождение между результатами испытаний, проводимых в двух разных лабораториях, при Р = 0,95 не должно превышать 60% по отношению к среднему арифметическому значению (см. также
А.5.4.2 - норматив межлабораторной воспроизводимости R).
Результаты испытаний анализируемой пробы сухого цельного молока на содержание ртути колориметрическим методом по
ГОСТ 26927-86 и определение фактических значений показателей точности результатов испытаний приведены в таблицах А.3 и А.3.1.
Таблица А.3
Результаты испытаний сухого цельного молока по ГОСТ 4495-87
на содержание в нем ртути (Hg) колометрическим методом
по ГОСТ 26927-86 на соответствие требованиям МБТ МЗ СССР N
5061-89 от 01.08.89 (2.1) и ГОСТ 26927-86 (раздел 2)
Результаты параллельных определений xi (массовая доля ртути), мг/кг. Абсолютное расхождение между результатами двух параллельных определений  , мг/кг | Среднеарифметическое значение  результатов двух параллельных определений  , мг/кг | Фактическое расхождение при P = 0,95 между двумя параллельными определениями по отношению к   , % | Допускаемое расхождение между результатами двух параллельных определений по отношению к  (норматив повторяемости) r, %, по ГОСТ 26927-86 | Результат испытаний с учетом поправки  , мг/кг, | Предельно допустимое содержание ртути в молоке по СанПиН 2.3.2.1078-2001, мг/кг, не более | Оценка результатов испытаний на соответствие СанПиН 2.3.2.1078-2001 и ГОСТ 26927-86 |
1 | 2 | 3 | 4 | 5 | 6 | 7 |
Лаборатория N 1 |
x1 = 0,003 x2 = 0,004 | | | | | 0,005 | Молоко сухое цельное соответствует СанПиН 2.3.2.1078-2001 по содержанию в нем ртути, т.к. 0,0028 < 0,005 мг/кг и 28,6% < r = 30% |
Лаборатория N 2 |
x1 = 0,0035 x2 = 0,0045 | | | | | 0,005 | Молоко сухое цельное соответствует СанПиН 2.3.2.1078-2001 по содержанию в нем ртути, т.к. 0,0032 < 0,005 мг/кг и 25% < r = 30% |
Таблица А.3.1
Определение межлабораторной воспроизводимости
результатов испытаний сухого цельного молока
по пункту 2.5.5 ГОСТ 26927-86
Результаты испытаний в двух лабораториях  , мг/кг. Абсолютное расхождение между результатами испытаний в двух лабораториях  , мг/кг | Среднеарифметическое значение результатов испытаний в двух лабораториях  , мг/кг,  | Фактическое расхождение результатов испытаний в двух лабораториях по отношению к  | Допускаемое расхождение между результатами испытаний в двух разных лабораториях при P = 0,95 (норматив межлабораторной воспроизводимости) R, %, по ГОСТ 26927 | Предельно допустимое содержание ртути в молоке по СанПиН 2.3.2.1078-2001, мг/кг, не более | Оценка результатов межлабораторных испытаний на соответствие СанПиН 2.3.2.1078-2001 и ГОСТ 26927-86 (2.5.5) |
| | | | 0,005 | Молоко сухое цельное соответствует СанПиН 2.3.2.1078-2001 по содержанию в нем ртути, т.к.  Фактическое расхождение результатов испытаний в двух лабораториях по отношению к среднеарифметическому значению  между лабораториями составляет 13,3%, что меньше норматива воспроизводимости R = 60%. |
(справочное)
БИБЛИОГРАФИЯ
[1]
Закон Российской Федерации "Об обеспечении единства измерений"
[2]
МИ 1317-86 Государственная система обеспечения единства измерений.
Результаты и характеристики погрешности измерений. Формы пред-
ставления. Способы использования при испытаниях образцов про-
дукции и контроле их параметров
[3] ИСО 5725 (
части 1 -
6) Точность (правильность и прецизионность)
методов и результатов измерений
[4] ИСО 4259-92 Нефтепродукты. Определение и применение показателей
точности методов испытаний
[5] ПР 50.2.006-94 Государственная система обеспечения единства
измерений. Порядок проведения поверки средств измерений
[6] ПР 50.2.016-94 Государственная система обеспечения единства
измерений. Российская система калибровки. Требования к выполнению
калибровочных работ
[7] ПР 50.2.018-95 Государственная система обеспечения единства
измерений. Порядок аккредитации метрологических служб юридических
лиц на право проведения калибровочных работ
[8] Рекомендация ВНИИС Р 50-601-42-2000 Разработка и аттестация мето-
дик испытаний для целей сертификации
[9]
ПР 50-732-93 Государственная система обеспечения единства
измерений. Типовое положение о метрологической службе государст-
венных органов управления Российской Федерации и юридических лиц
[10] ПР 50.2.009-94 Государственная система обеспечения единства
измерений. Порядок проведения испытаний и утверждения типа средств
измерений
[11]
МИ 2277-93 Сертификация средств измерений. Основные положения и
порядок проведения работ
[12]
МИ 2418-97 Государственная система обеспечения единства измерений.
Классификация и применение технических средств испытаний нефти и
нефтепродуктов
[13]
РМГ 43-2001 Государственная система обеспечения единства измере-
ний. Применение "Руководства по выражению неопределенности измере-
ний"
[14]
МИ 2267-2000 Государственная система обеспечения единства измере-
ний. Обеспечение эффективности измерений при управлении технологи-
ческими процессами. Метрологическая экспертиза технической доку-
ментации
[15]
МИ 2386-96 Государственная система обеспечения единства измерений.
Анализ состояния измерений, контроля и испытаний в центрах (лабо-
раториях), осуществляющих сертификацию продукции и услуг. Методика
проведения работы
[16]
МИ 2240-98 Государственная система обеспечения единства измерений.
Анализ состояния измерений, контроля и испытаний на предприятии, в
организации, объединении. Методика и порядок проведения работы
[17]
МИ 2427-97 Государственная система обеспечения единства измерений.
Оценка состояния измерений в измерительных и испытательных лабора-
ториях
[18]
МИ 2304-94 Государственная система обеспечения единства измерений.
Метрологический контроль и надзор, осуществляемые метрологическими
службами юридических лиц
[19] ПР 50.2.002-94 Государственная система обеспечения единства изме-
рений. Порядок осуществления государственного метрологического
надзора за выпуском, состоянием и применением средств измерений,
аттестованными методиками выполнения измерений, эталонами и соблю-
дением метрологических правил и норм
[20]
МИ 2083-90 Государственная система обеспечения единства измерений.
Измерения косвенные. Определение результатов измерений и оценива-
ние их погрешностей.
тельных лабораторий пищевых продуктов и продовольственного сырья.
Приложение И "Рекомендации по установлению расчетных значений ха-
рактеристик погрешности результатов измерений"
[22]
Рекомендация МИ 2336-95 Государственная система обеспечения единс-
тва измерений. Характеристики погрешности результатов количествен-
ного химического анализа. Алгоритмы оценивания