Главная // Актуальные документы // Ведомость (форма)СПРАВКА
Источник публикации
М.: Стандартинформ, 2018
Примечание к документу
Документ
введен в действие с 01.09.2019.
Название документа
"ГОСТ 34391-2018. Межгосударственный стандарт. Техника сельскохозяйственная. Машины для уборки винограда технических сортов. Методы испытаний"
(введен в действие Приказом Росстандарта от 07.12.2018 N 1079-ст)
"ГОСТ 34391-2018. Межгосударственный стандарт. Техника сельскохозяйственная. Машины для уборки винограда технических сортов. Методы испытаний"
(введен в действие Приказом Росстандарта от 07.12.2018 N 1079-ст)
по техническому регулированию
и метрологии
от 7 декабря 2018 г. N 1079-ст
МЕЖГОСУДАРСТВЕННЫЙ СТАНДАРТ
ТЕХНИКА СЕЛЬСКОХОЗЯЙСТВЕННАЯ
МАШИНЫ ДЛЯ УБОРКИ ВИНОГРАДА ТЕХНИЧЕСКИХ СОРТОВ
МЕТОДЫ ИСПЫТАНИЙ
Agricultural machinery. Machinery for harvesting
of grapes of technical grades. Test methods
(ISO 5704:1980, NEQ)
ГОСТ 34391-2018
Дата введения
1 сентября 2019 года
Цели, основные принципы и основной порядок проведения работ по межгосударственной стандартизации установлены в
ГОСТ 1.0-2015 "Межгосударственная система стандартизации. Основные положения" и
ГОСТ 1.2-2015 "Межгосударственная система стандартизации. Стандарты межгосударственные, правила и рекомендации по межгосударственной стандартизации. Правила разработки, принятия, обновления и отмены"
1 РАЗРАБОТАН Новокубанским филиалом Федерального государственного бюджетного научного учреждения "Российский научно-исследовательский институт информации и технико-экономических исследований по инженерно-техническому обеспечению агропромышленного комплекса" (КубНИИТиМ)
2 ВНЕСЕН Федеральным агентством по техническому регулированию и метрологии
3 ПРИНЯТ Межгосударственным советом по стандартизации, метрологии и сертификации (протокол от 28 февраля 2018 г. N 106-П)
За принятие проголосовали:
Краткое наименование страны по МК (ИСО 3166) 004-97 | Код страны по МК (ИСО 3166) 004-97 | Сокращенное наименование национального органа по стандартизации |
Армения | AM | Минэкономики Республики Армения |
Беларусь | BY | Госстандарт Республики Беларусь |
Казахстан | KZ | Госстандарт Республики Казахстан |
Киргизия | KG | Кыргызстандарт |
Россия | RU | Росстандарт |
4
Приказом Федерального агентства по техническому регулированию и метрологии от 7 декабря 2018 г. N 1079-ст межгосударственный стандарт ГОСТ 34391-2018 введен в действие в качестве национального стандарта Российской Федерации с 1 сентября 2019 г.
5 Настоящий стандарт соответствует международному стандарту ISO 5704:1980 "Оборудование для виноградарства и виноделия. Машины для сбора винограда. Методы испытаний" ("Equipment for vine cultivation and wine making - Grape-harvesting machinery - Test methods", NEQ) в части требований к методам оценки фракционного состава бункерной массы винограда, методам определения урожайности и потерь виноградом сока.
6 ВВЕДЕН ВПЕРВЫЕ
Информация об изменениях к настоящему стандарту публикуется в ежегодном информационном указателе "Национальные стандарты", а текст изменений и поправок - в ежемесячном информационном указателе "Национальные стандарты". В случае пересмотра (замены) или отмены настоящего стандарта соответствующее уведомление будет опубликовано в ежемесячном информационном указателе "Национальные стандарты". Соответствующая информация, уведомление и тексты размещаются также в информационной системе общего пользования - на официальном сайте Федерального агентства по техническому регулированию и метрологии в сети Интернет (www.gost.ru)
Настоящий стандарт распространяется на машины для уборки винограда технических сортов (далее - машины) и устанавливает методы их испытаний.
В настоящем стандарте использованы нормативные ссылки на следующие межгосударственные стандарты:
ГОСТ 12.2.002-91 Система стандартов безопасности труда. Техника сельскохозяйственная. Методы оценки безопасности
ГОСТ 12.2.019-2005 Система стандартов безопасности труда. Тракторы и машины самоходные сельскохозяйственные. Общие требования безопасности
ГОСТ 12.2.111-85 <1> Система стандартов безопасности труда. Машины сельскохозяйственные навесные и прицепные. Общие требования безопасности
--------------------------------
ГОСТ 12.2.120-2005 Система стандартов безопасности труда. Кабины и рабочие места операторов тракторов и самоходных сельскохозяйственных машин. Общие требования безопасности
ГОСТ 15.001-88 <2> Система разработки и постановки продукции на производство. Продукция производственно-технического назначения
--------------------------------
<2> В Российской Федерации действует
ГОСТ Р 15.201-2000 "Система разработки и постановки продукции на производство. Продукция производственно-технического назначения. Порядок разработки и постановки продукции на производство".
ГОСТ 27.002-89 Надежность в технике. Основные понятия. Термины и определения
ГОСТ 166-89 (ИСО 3599-76) Штангенциркули. Технические условия
ГОСТ 7502-98 Рулетки измерительные металлические. Технические условия
ГОСТ 16504-81 Система государственных испытаний продукции. Испытания и контроль качества продукции. Основные термины и определения
ГОСТ 20915-2011 Испытания сельскохозяйственной техники. Методы определения условий испытаний
ГОСТ 21623-76 Система технического обслуживания и ремонта техники. Показатели для оценки ремонтопригодности. Термины и определения
ГОСТ 24055-2016 Техника сельскохозяйственная. Методы эксплуатационно-технологической оценки
ГОСТ 25336-82 Посуда и оборудование лабораторные стеклянные. Типы, основные параметры и размеры
ГОСТ 26025-83 Машины и тракторы сельскохозяйственные и лесные. Методы измерения конструктивных параметров
ГОСТ 26026-83 Машины и тракторы сельскохозяйственные и лесные. Методы оценки приспособленности к техническому обслуживанию
ГОСТ 26336-97 <1> Тракторы, машины для сельского и лесного хозяйства, самоходные механизмы для газонов и садов. Условные обозначения (символы) элементов систем управления, обслуживания и отображения информации
--------------------------------
<1> В Российской Федерации действует ГОСТ 26336-84 (ИСО 3761-1-82, ИСО 3767-2-82, ИСО 3767-3-88) "Тракторы и сельскохозяйственные машины, механизированное газонное и садовое оборудование. Система символов для обозначения органов управления и средств отображения информации. Символы".
ГОСТ 27198-87 Виноград свежий. Методы определения массовой концентрации сахаров
ГОСТ 27388-87 Эксплуатационные документы сельскохозяйственной техники
ГОСТ 28305-89 <2> Машины и тракторы сельскохозяйственные и лесные. Правила приемки на испытания
--------------------------------
<2> В Российской Федерации действует
ГОСТ Р 54783-2011 "Испытания сельскохозяйственной техники. Основные положения".
ГОСТ 28498-90 Термометры жидкостные стеклянные. Общие технические требования. Методы испытаний
ГОСТ ISO 4254-1-2013 <3> Машины сельскохозяйственные. Требования безопасности. Часть 1. Общие требования
--------------------------------
ГОСТ OIML R 76-1-2011 Государственная система обеспечения единства измерений. Весы неавтоматического действия. Часть 1. Метрологические и технические требования. Испытания
ГОСТ ИСО 14269-2-2003 Тракторы и самоходные машины для сельскохозяйственных работ и лесоводства. Окружающая среда рабочего места оператора. Часть 2. Метод испытаний и характеристики систем отопления, вентиляции и кондиционирования воздуха
ГОСТ ИСО 14269-5-2003 Тракторы и самоходные машины для сельскохозяйственных работ и лесоводства. Окружающая среда рабочего места оператора. Часть 5. Метод испытания системы герметизации
Примечание - При пользовании настоящим стандартом целесообразно проверить действие ссылочных стандартов в информационной системе общего пользования - на официальном сайте Федерального агентства по техническому регулированию и метрологии в сети Интернет или по ежегодному информационному указателю "Национальные стандарты", который опубликован по состоянию на 1 января текущего года, и по выпускам ежемесячного информационного указателя "Национальные стандарты" за текущий год. Если ссылочный стандарт заменен (изменен), то при пользовании настоящим стандартом следует руководствоваться заменяющим (измененным) стандартом. Если ссылочный стандарт отменен без замены, то положение, в котором дана ссылка на него, применяется в части, не затрагивающей эту ссылку.
3.1 ампелографический сорт: Морфологические, биологические и хозяйственные признаки и свойства сорта винограда.
3.2 лоза: Вызревшие обезлиственные побеги.
3.3 рукава: Многолетние ветви, отходящие от штамба или от головы куста винограда.
3.4 штамб куста винограда: Многолетняя надземная часть куста винограда от поверхности почвы до первого разветвления, представляющая собой продолжение подземного штамба и несущая на себе постоянные рукава или плечи кордона.
3.5 шпалера: Опора в виде плоскости (вертикальной, горизонтальной или наклонной), к которой подвязывают виноградные кусты.
3.6 отклонение кустов (стоек, опор) от оси ряда: Количественная доля кустов (стоек опор) расположенных с отклонением от осевой линии ряда, превышающим допустимое по агротребованиям.
3.7 гребень: Скелет грозди, состоящий из ножки соцветия и ее оси со всеми разветвлениями.
3.8 гроздь винограда: Генеративный орган винограда, состоящий из гребненожки, гребня и ягод, сформированный из соцветий после цветения и завязывания ягод.
4.2 Порядок представления машины на испытания, оформление результатов приемки - в соответствии с ГОСТ 28305, а также в соответствии со стандартами, действующими в государствах - участниках Соглашения.
Эксплуатационные документы, представляемые с машиной, должны соответствовать ГОСТ 27388.
4.3 Машину на испытания представляют в собранном виде не позднее чем за 15 дней до наступления агротехнического срока.
Типовая программа испытаний машин включает виды оценок в соответствии с
таблицей 1.
Вид оценки | Вид испытаний |
Приемочные | Квалификационные | | Периодические |
1 Технических параметров (техническая экспертиза) | + | + | + | + |
2 Агротехническая | + | - | + | - |
3 Энергетическая | + | + | + | - |
4 Безопасности и эргономичности конструкции | + | - | + | - |
5 Эксплуатационно-технологическая | + | + | + | + |
6 Надежность | + | + | + | + |
7 Экономическая | + | - | + | - |
<1> При проведении типовых испытаний включают виды оценок, на изменение значения показателей которых повлияли изменения конструкции изделия. Примечание - Знак "+" означает - оценка проводится, знак "-" - не проводится. |
4.4 Сравнительные испытания проводят в сопоставимых условиях.
4.5 Применяемые средства измерений должны быть поверены до начала испытаний в соответствии с правилами, действующими в государствах - участниках Соглашения.
4.6 Нестандартные и единичные средства измерений, испытательное оборудование подлежат аттестации, проводимой в установленном порядке.
5 Подготовка к испытаниям
5.1 Перед началом испытаний на основании типовой программы составляют рабочую программу-методику испытаний, в которой указывают с учетом требований заказчика и особенностей конкретного образца перечень видов оценок и определяемых показателей по каждому виду оценки, режимы, условия, место испытаний, наименования средств измерений и оборудования, применяемых при испытании.
5.2 При подготовке машины к испытаниям необходимо соблюдать следующие требования:
- машина должна отвечать требованиям безопасности (при всех видах испытаний должен быть составлен и утвержден акт предварительной оценки безопасности);
- до начала испытаний машина должна быть обкатана и отрегулирована в соответствии с руководством по эксплуатации;
- техническое состояние машины должно отвечать требованиям технического задания (ТЗ), технических условий (ТУ) и руководства по эксплуатации.
5.3 Параметры, характеризующие условия работы машины при испытаниях, должны находиться в пределах, соответствующих ТЗ (ТУ) на испытуемую машину.
5.4 Перед проведением испытаний проводят обучение персонала по вопросам устройства и безопасной эксплуатации машины.
6 Методы оценки технических параметров
6.1 Оценку технических параметров проводят по стандартам, действующим в государствах - участниках Соглашения.
6.2 Определение габаритных размеров машины, массы, ширины захвата, минимальных радиусов поворота проводят по ГОСТ 26025.
6.3 Перечень технических параметров, характеризующих конструкцию машины, приведен в
форме А.1 (приложение А).
7 Методы агротехнической оценки
7.1 Номенклатура определяемых показателей
Показатели условий испытаний и качества выполнения технологического процесса, определяемые при агротехнической и эксплуатационно-технологической оценках машин, приведены в
формах А.2,
А.3 (приложение А).
7.2 Требования к условиям испытаний
7.2.1 Испытания машин проводят на агрофонах и при условиях, отвечающих требованиям ТЗ (ТУ), не менее чем на двух сортах. При сравнительных испытаниях машин разных марок необходимо обеспечить сопоставимость условий работы по всем параметрам.
7.2.2 Размер участка испытаний должен обеспечить определение всех показателей, а также необходимую обкатку и регулирование испытуемой машины.
7.3 Определение показателей условий испытаний
7.3.1 На участке испытаний выделяют по три учетные делянки шириной в один ряд и длиной, на которой должно быть не менее чем по 100 здоровых полновозрастных кустов. Учетные делянки для прохода опытной машины и аналога должны чередоваться между собой.
При сравнительных испытаниях учетные делянки для прохода испытуемой машины и сравниваемой (аналога) должны чередоваться между собой, т.е. должно быть выбрано еще три ряда, отвечающих вышеприведенным требованиям (см.
1-й абзац).
7.3.2 Тип почвы, ампелографический сорт винограда, возраст насаждений и формировку кустов определяют по данным хозяйства.
7.3.3 Рельеф и микрорельеф, влажность и твердость почвы в слое от 0 до 10 см определяют по
ГОСТ 20915.
7.3.4 Ширину междурядья, расстояние от центра междурядья (до штамба куста, приштамбовой опоры, шпалерной стойки), отклонение от оси ряда (кустов, шпалерных стоек, приштамбовых опор) определяют с помощью шнура длиной 50 м. Шнур натягивают по центру междурядья. Измерения проводят по обе стороны от шнура до центров (кустов, стоек, опор), расположенных напротив в двух смежных рядах. Сумма средних значений величин, измеренных по обе стороны от шнура, дает среднее значение ширины междурядья.
Измерения проводят в трех учетных междурядьях не менее чем в 10 точках каждого междурядья. Погрешность измерений - +/- 1 см.
Разность между средним значением расстояния от кустов (стоек, опор) до шнура и каждым измерением дает величину отклонения кустов (стоек, опор) от оси ряда. Результаты записывают в
форму Б.1 (приложение Б) и вычисляют среднеарифметическое значение с округлением до целого числа. В
форму А.2 (приложение А) записывают максимальное отклонение кустов (стоек, опор) от оси ряда.
7.3.5 Расстояние между кустами в ряду измеряют между центрами штамбов или кустов в 25 точках каждой учетной делянки.
Погрешность измерений - +/- 1 см. Результаты измерений записывают в
форму Б.1 (приложение Б) и вычисляют среднеарифметическое значение с округлением до целого числа.
7.3.6 Для определения ширины куста на учетных делянках выделяют по пять учетных кустов, на которых линейкой измеряют расстояния между наиболее выступающими в сторону междурядья частями куста, располагая линейку перпендикулярно оси ряда. Измерения проводят отдельно в местах расположения многолетнего и однолетнего прироста. Погрешность измерений - +/- 1 см. Результаты записывают в
форму Б.2 (приложение Б) и вычисляют среднеарифметическое значение с округлением до целого числа.
7.3.7 Определение высоты штамба и приштамбовой опоры проводят на учетных кустах согласно
7.3.6 измерением расстояния от поверхности почвы до начала разветвления куста или верха приштамбовой опоры. Погрешность измерений - +/- 1 см. Результаты записывают в
форму Б.2 (приложение Б) и вычисляют среднеарифметическое значение с округлением до целого числа.
7.3.8 Толщину штамба и приштамбовой опоры измеряют у десяти кустов каждой из трех учетных делянок на высоте 20 см от поверхности почвы. Погрешность измерений - +/- 1 мм. Результаты записывают в
форму Б.2 (приложение Б) и вычисляют среднеарифметическое значение с округлением до первого десятичного знака.
7.3.9 Учет количества элементов куста ведут на трех рядах (учетных делянках), расположенных через ряд. В каждом ряду произвольно выделяют пять учетных кустов, на которых подсчитывают число штамбов, рукавов, многолетних лоз, плодовых лоз. Результаты записывают в
форму Б.3 (приложение Б). По вышеуказанным подсчетам вычисляют среднеарифметическое значение с округлением до первого десятичного знака.
7.3.10 Для определения нижней и верхней границ размещения урожая на 10 кустах каждой учетной делянки измеряют расстояние от поверхности почвы до нижних концов самой нижней и верхних концов самой верхней грозди. Погрешность измерений - +/- 1 см. Результаты записывают в
форму Б.2 (приложение Б) и вычисляют среднеарифметическое значение с округлением до целого числа.
7.3.11 Массовую концентрацию сахаров винограда определяют по
ГОСТ 27198 или приводят по данным лаборатории регионального винзавода.
7.3.12 Для определения урожайности на учетной делянке подсчитывают число полновозрастных кустов (N). Из кустов (N) делают малую случайную выборку n кустов, но не менее 10.
Урожай с каждого учетного куста выборки n срезают и взвешивают с погрешностью +/- 10 г.
Для учета урожая с куста, в случае переплетения учетного и смежного кустов, грозди срезают на расстоянии в полшага посадки по обе стороны от основания учетного куста. С каждого учетного куста выборки виноград срезают и взвешивают с погрешностью +/- 10 г. Результаты записывают в
форму Б.4 (приложение Б).
Выборочное среднеарифметическое значение массы урожая с одного куста

, кг, вычисляют по формуле

(1)
где mi - масса с i-го учетного куста, кг;
n - число учетных кустов, шт.
Стандартное отклонение массы урожая винограда

, кг, вычисляют по формуле

(2)
Коэффициент вариации v, %, вычисляют по формуле

. (3)
Приняв заданное значение относительной ошибки оценки урожайности и доверительную вероятность, вычисляют требуемый объем выборки кустов nт, шт., из числа кустов учетной делянки, обеспечивающие заданную достоверность по формуле

, (4)
где

- заданное значение относительной ошибки.
Если
nт > 0,5
N, то следует либо увеличить допустимую относительную ошибку

, либо увеличить размер учетной делянки, обеспечив условие
N >= 2
nт.
По результатам расчетов вычисляют объем дополнительной выборки кустов nд, шт., по формуле
nд = nт - n. (5)
Общую массу урожая с одного куста с учетом дополнительной выборки

, кг, вычисляют по формуле

(6)
где mд - масса винограда с кустов дополнительной случайной выборки, кг.
Расчетную массу винограда с учетной делянки в доверительных границах Mд, кг, вычисляют по формуле

. (7)
Урожайность винограда (с учетом массы гребней) У, т/га, вычисляют по формуле

, (8)
где L - длина учетной делянки, м;
B - ширина учетной делянки, равная ширине одного междурядья, м.
Доверительный интервал оценки урожая составляет

.
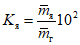
7.3.13 Содержание ягод в гроздьях определяют на гроздьях случайной выборки кустов n. Из гроздей выборки составляют три пробы по 100 гроздей каждая, которые взвешивают с погрешностью +/- 10 г. Затем отделяют ягоды от гребней и взвешивают ягоды.
По данным взвешивания вычисляют массовую долю ягод в гроздьях Kя, %, с округлением до второго десятичного знака по формуле

, (9)
где

- средняя масса ягод с гроздей в пробе, кг;

- средняя масса гроздей пробы, кг.
Результаты записывают в
форму Б.5 (приложение Б).
7.3.14 Измерение высоты шпалерных стоек и высоты закрепления нижней шпалерной проволоки проводят от поверхности почвы до верхней точки стоек и проволоки. Линейку при измерении устанавливают параллельно стойке и шпалерной проволоке. Измерение проводят на 10 стойках каждой делянки с погрешностью +/- 1 см.
Расстояние между шпалерными стойками измеряют у поверхности почвы с погрешностью +/- 1 см. Результаты записывают в
форму Б.6 (приложение Б) и вычисляют среднеарифметическое значение с округлением до целого числа. В
форму А.2 (приложение А) записывают максимальное отклонение шпалерных стоек по высоте.
7.3.15 Измерение угла наклона стоек в сторону междурядья проводят наложением угломера на стойку и совмещением нулевой линии угломера с ребром или осевой линией стойки. Погрешность измерений - +/- 1°. Результаты измерений записывают в
форму Б.6 (приложение Б) и вычисляют среднеарифметическое значение угла наклона стоек с округлением до целого числа. В
форму А.2 (приложение А) записывают максимальное отклонение данного показателя.
7.3.16 Наименование материала стоек, приштамбованных опор, подвязочного материала определяют визуально и записывают в
форму А.2 (приложение А).
7.4 Определение показателей качества выполнения технологического процесса
7.4.1 Выбор режимов работы
До начала работы машину необходимо подготовить по
5.2, настроить на рабочий режим и визуально оценить качество выполнения технологического процесса.
Режим, обеспечивающий наилучшее качество выполнения технологического процесса, считается оптимальным.
Общая наработка машины при этом должна составить не менее трех тонн винограда для полного смачивания соком всех элементов технологической линии и заполнения вредных объемов.
Остановка машины после завершения настройки для разгрузки урожая перед учетным проходом должна быть не более 15 мин.
7.4.2 Определение показателей качества выполнения технологического процесса
7.4.2.1 Для определения полноты сбора урожая винограда определяют на каждой учетной делянке:
- массу бункерного вороха, собранного с учетной делянки, кг;
- фракционный состав бункерного вороха, %;
- потери винограда на кустах и на земле, %.
Машину включают в работу на оптимальном режиме на учетной делянке, выбранной согласно
7.3.1. Время движения машины измеряют секундомером.
Скорость движения машины v, км/ч, вычисляют по формуле

, (10)
где t - время прохождения учетной делянки, с.
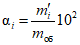
7.4.2.2 Для определения фракционного состава бункерного вороха винограда в процессе сбора урожая с каждой учетной делянки отбирают не менее трех проб винограда массой не менее 3 кг каждая. Пробы отбирают перед поступлением винограда в накопитель машины или прессовое оборудование в лоток, полностью захватывающий поступающий поток винограда.
Каждую пробу взвешивают с погрешностью +/- 10 г и разбирают на фракции согласно
форме Б.7 (приложение Б).
Каждую фракцию взвешивают с погрешностью +/- 5 г. Результаты записывают в
форму Б.7 (приложение Б) и вычисляют массовую долю каждой фракции от общей массы пробы.
Массовую долю каждой фракции

, %, вычисляют по формуле

, (11)
где m'i - масса i-й фракции в пробе, кг;
mоб - общая масса пробы, кг.
Чистоту собранного урожая Q, %, вычисляют по формуле

, (12)
где

- массовая доля примесей в пробе, %;

- массовая доля листьев в пробе, %.
Массу винограда, собранного с учетной делянки, M кг, вычисляют по формуле
M = Mб + mоб, (13)
где Mб - масса винограда, собранного в бункер, кг;
mоб - общая масса пробы, кг.
7.4.2.3 Общие потери винограда включают потери винограда, оставшегося:
- на кустах;
- на земле;
- потери соком (неуловимые потери).
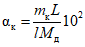
После сбора урожая на каждой учетной делянке выделяют три учетные площадки длиной не менее 20 м каждая, с которых собирают потери винограда на кустах и земле. Ягоды отделяют от гребней и взвешивают с погрешностью +/- 10 г. Результаты записывают в
форму Б.8 (приложение Б).
Потери ягод на кустах

, %, вычисляют по формуле

, (14)
где mк - масса потерь ягод на кустах, кг;
l - длина площадок для учета потерь, м.
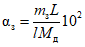
Потери ягод на земле

, %, вычисляют по формуле

, (15)
где mз - масса потерь ягод на земле, кг.
Потери соком

, %, вычисляют по формуле

, (16)
где Пу - полнота сбора урожая винограда, %.
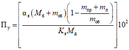
Полноту сбора урожая винограда Пу, %, вычисляют по формуле

, (17)
где

- массовая доля ягод в пробе <1>, %;
Mб - масса винограда, собранного в бункер с опытной делянки, кг;
mпр - масса примесей в пробе <1>, кг;
mл - масса листьев в пробе <1>, кг.
--------------------------------
<1> Определяют по данным состава бункерного вороха согласно
7.4.2.2 и вычисляют по
формуле (11).
Результаты записывают в
форму А.3 (приложение А).
Общие потери

, %, вычисляют по формуле
| | ИС МЕГАНОРМ: примечание. Формула дана в соответствии с официальным текстом документа. | |

. (18)
7.4.2.4 При отсутствии фона, обеспечивающего необходимую достоверность опыта по определению урожайности, потери соком рекомендуется определять по следующей методике.
На массиве виноградника выборочно нарезают 100 - 200 кг винограда (приблизительно 600 - 1000 гроздей) вместе с частями плодовых лоз (Mи) и взвешивают с погрешностью +/- 10 г. Затем на чисто убранную делянку винограда привязывают в пределах границ расположения урожая взвешенные грозди за обрезки лоз к лозам кустов, создавая, таким образом, учетную "опытную" делянку с точно известной урожайностью. Для крепления гроздей используют тесьму, нитки, липкую ленту. Потери ягод на земле, допущенные при подвязке гроздей (mп.г), взвешивают и вычитают их массу из исходной.
Затем машину включают в работу. Предварительно машина должна собрать на участке того же сорта не менее 3 т винограда без последующей мойки. Непосредственно перед опытом машина должна проработать на пробном участке для полного смачивания рабочих частей соком.
Собранный при этом урожай перед учетным проходом полностью выгружают.
После прохода учетной "опытной" делянки машину останавливают, взвешивают урожай, собранный в бункер машины (Mб), выбирают примеси (mпр), собирают и взвешивают потери винограда на кустах (m'к), пустые гребни (mгр), обрезки лоз (mоб.л) и потери ягод на земле (mз). Погрешность взвешиваний +/- 10 г.
При большой исходной массе урожая с учетной "опытной" делянки (
Mу) > 200 кг допускается одновременное взвешивание всего собранного в бункер урожая с погрешностью +/- 1,0 кг без отбора примесей, содержание которых определяют по пробам на фракционный состав (
mоб), взятым в процессе уборки учетной делянки согласно
7.4.2.2.
Общую учетную массу винограда с учетной "опытной" делянки (M'у, кг, вычисляют по формуле
M'у = Mи - mп.г - mоб.л, (19)
где Mи - исходная масса урожая, кг, по 7.4.2.4;
Потери урожая с учетной "опытной" делянки

, %, вычисляют по формуле

. (20)
Потери урожая соком

, %, вычисляют по формуле

, (21)
где

- потери соком за счет естественной усушки срезанных гроздей с кустов, %.
Потери соком за счет естественной усушки срезанных гроздей с кустов

, %, вычисляют по формуле

, (22)
где tу - продолжительность подготовки учетной "опытной" делянки для проведения опыта, ч;
K = 0,10 - при tу менее 2 ч;
K = 0,15 - при tу более 2 ч.
Вычисления проводят с округлением до первого десятичного знака.
7.4.2.5 Повреждения кустов определяют после прохода машиной каждой учетной делянки. Отдельно отмечают повреждения штамбов, рукавов, многолетних и плодовых лоз согласно
7.3.9.
Виды повреждений - согласно
форме Б.3 (приложение Б).
По каждой повторности в
форму Б.3 (приложение Б) записывают суммарные данные по числу элементов учетных кустов и их повреждения. По результатам учетов вычисляют количественную долю всех видов повреждений по каждой учетной делянке и среднеарифметическое значение с округлением до первого десятичного знака.
7.4.2.6 Повреждение каркаса шпалеры определяют учетом числа случаев обрыва шпалерной проволоки и повреждений шпалерных стоек (наклон, излом, разрушение) не менее, чем на пяти стометровых гонах, включая ряды учетных делянок по
7.3.1. Результаты записывают в
форму Б.9 (приложение Б). По данным учета вычисляют количественную долю поврежденных элементов каркаса шпалеры с округлением до целого числа.
7.4.2.7 Показатели качества выполнения технологического процесса после обработки записывают в
форму А.3 (приложение А).
7.5 Средства измерений и оборудование, применяемые при определении показателей агротехнической оценки
Перечень средств измерений и оборудования, применяемых при определении показателей агротехнической оценки приведен в приложении В.
8 Методы энергетической оценки
8.1 Энергетическую оценку машин проводят в соответствии со стандартами, действующими в государствах - участниках Соглашения, одновременно с определением агротехнических показателей на фонах, указанных в
разделе 7.
8.2 Энергетические показатели определяют при установившемся режиме работы машины.
8.3 Результаты энергетической оценки записывают в
форму А.4 (приложение А).
9 Методы оценки безопасности и эргономичности конструкции
Оценку безопасности и эргономичности машин проводят при приемочных испытаниях по методам, изложенным в
ГОСТ 12.2.002,
ГОСТ ИСО 14269-2,
ГОСТ ИСО 14269-5 на соответствие требованиям
ГОСТ 12.2.019,
ГОСТ 12.2.120,
ГОСТ 12.2.111,
ГОСТ ISO 4254-1,
ГОСТ 26336, ТЗ (ТУ) с определением показателей, требований, приведенных в
форме А.5 (приложение А). Результаты записывают в протокол по
форме А.6 (приложение А).
При других видах испытаний (периодических, квалификационных) оценка безопасности не проводится.
Машина, поступающая на периодические, квалификационные испытания, должна иметь сертификат соответствия, выданный аккредитованным органом по сертификации.
10 Методы оценки надежности
10.1 Оценку надежности машин проводят по стандартам, действующим в государствах - участниках Соглашения, с определением показателей, приведенных в
форме А.7 (приложение А).
10.2 Машины испытывают на видах работ в соответствии с
ГОСТ 24055.
10.3 На каждом виде работ машину испытывают на рабочей скорости, обеспечивающей получение заданной в ТУ производительности при допустимых показателях качества.
10.4 Наработку машины измеряют часами основного времени, гектарами убранной площади. Для учета наработки в часах основного времени проводят сплошной хронометраж.
Допускается определять наработку в часах основного времени расчетом по наработке в физических единицах за весь период испытаний и производительности по результатам эксплуатационно-технологической оценки.
10.5 В течение всего периода испытаний ведут учет отказов и повреждений.
10.6 Определение затрат времени и труда на выявление и устранение отказов осуществляют пооперационным хронометражем с погрешностью измерения продолжительности операции +/- 5 с.
10.7 Затраты времени и труда на выявление и устранение отказов в течение всего периода испытаний суммируют и учитывают при расчете показателей надежности.
10.8 Устранение сложных отказов осуществляют сервисные службы предприятий-изготовителей.
10.9 Техническое состояние машины и замененных (восстановленных) деталей и узлов оценивают при проведении заключительной технической экспертизы.
10.10 Информацию по операциям технического обслуживания собирают и обрабатывают по ГОСТ 26026.
10.11 Показатели надежности определяют по наработке, измеряемой часами основного времени, и оценивают сопоставлением фактических показателей надежности с нормативными значениями или с показателями сравниваемой машины. Отклонение наработок сравниваемых машин не должно быть более 20%.
10.12 Показатели надежности записывают в
форму А.7 (приложение А).
10.13 Значение показателей надежности определяют при достижении плановой (заданной) наработки или не менее 75% ее выполнения.
10.14 Плановая (заданная) наработка машины при испытании на надежность должна быть не менее 30% планируемого технического ресурса.
11 Методы эксплуатационно-технологической оценки
11.1 Эксплуатационно-технологическую оценку машин проводят в соответствии с
ГОСТ 24055 на оптимальном для данного фона режиме работы, определенном по результатам агротехнической оценки для опытных машин и указанном в ТУ - серийных.
Во время испытаний контролируют соблюдение выбранного режима работы и качество выполнения технологического процесса.
Показатели условий испытаний и качества выполнения технологического процесса определяют по методам, изложенным в
разделе 7.
11.2 Сбор информации для эксплуатационно-технологической оценки проводят во время контрольных смен.
Сбор информации о нарушениях технологического процесса и технических отказах проводят в течение всего периода наблюдений.
11.3 Производительность за 1 ч эксплуатационного времени за период контрольных смен Wэк (W'эк), га/ч (т/ч), вычисляют по следующим формулам:

, (23)
или
W'эк = Wсм Kг, (24)
где Wо - производительность за 1 ч основного времени, га/ч (т/ч);
Kсм - коэффициент использования сменного времени;
Kг - коэффициент готовности с учетом организационного времени (машины самоходные);
K'г - коэффициент готовности прицепных, навесных машин;
Wсм - производительность за 1 ч сменного времени, га/ч (т/ч).
11.4 Коэффициент готовности прицепных, навесных машин K'г вычисляют по формуле
K'г = Kг.энKг.м, (25)
где Kг.эн - коэффициент готовности энергосредства;
Kг.м - коэффициент готовности машины.
Коэффициент готовности Kг.эн и Kг.м определяют по результатам испытания на надежность.
11.5 Производительность за 1 ч эксплуатационного времени за период контрольных смен Wэк.с(W'эк.с), га/ч (т/ч), по самоходным машинам с учетом коэффициента технического использования вычисляют по следующим формулам

, (26)
или
W'эк.с = Wсм Kт.и, (27)
где Kт.и - коэффициент технического использования, определяемый по данным испытаний на надежность.
11.6 Результаты эксплуатационно-технологической оценки записывают в
форму А.8 (приложение А).
12 Методы экономической оценки
Экономическую оценку машин и оформление результатов проводят по стандартам, действующим в государствах - участниках Соглашения до утверждения межгосударственного стандарта
ГОСТ "Техника сельскохозяйственная. Методы экономической оценки".
13 Обработка и анализ результатов испытаний
13.1 Обработку результатов испытаний машин проводят по программе, разработанной для данного типа машин.
13.2 Результаты испытаний оформляют в соответствии с
формами А.1 -
А.8 (приложение А).
13.3 Полученные результаты испытаний машин используют для анализа их соответствия требованиям ТЗ (ТУ), а также для сопоставления их с показателями сравниваемой машины.
13.4 На основании анализа полученных значений показателей делают выводы о качестве работы испытуемой машины при выполнении заданного технологического процесса.
13.5 Общие выводы по результатам испытаний машин делают на основании анализа показателей по всем видам оценок.
(рекомендуемое)
ОФОРМЛЕНИЕ РЕЗУЛЬТАТОВ ИСПЫТАНИЙ
Форма А.1 - Техническая характеристика
Наименование показателя | Значение показателя |
Тип машины | |
Привод | |
Агрегатирование (класс трактора) | |
Число рядов, убираемых машиной, шт. | |
Основная ширина междурядий, см | |
Потребная мощность общая, кВт | |
в том числе ________________________ ________________________ | |
Рабочая скорость, км/ч | |
Транспортная скорость, км/ч | |
Производительность, га/ч | |
Габариты машины, мм: | |
- длина | |
- ширина | |
- высота | |
Габариты агрегата, мм: | |
а) в рабочем положении: | |
- длина | |
- ширина | |
- высота | |
б) в транспортном положении: | |
- длина | |
- ширина | |
- высота | |
Дорожный просвет, мм | |
Высота арки комбайна от поверхности почвы, см | |
Масса изделия в комплектации поставки (с полным комплектом рабочих органов), кг | |
в том числе: | |
масса отдельных рабочих органов: ________________________ ________________________ ________________________ | |
Масса изделия в основной рабочей комплектации, кг | |
Распределение массы по опорам, кг: (с загруженным бункером) ________________________ ________________________ ________________________ | |
Минимальный радиус поворота агрегата, м: | |
- по крайней наружной точке | |
- по следу наружного колеса (гусеницы) | |
Ширина поворотной полосы, м | |
Ширина колеи, мм: | |
- передних колес (гусениц) | |
- задних колес (гусениц) | |
Число точек смазки, шт.: | |
всего | |
в том числе: | |
- ежесменных | |
- периодических | |
- сезонных | |
Число передач, шт.: | |
- шарнирных (карданных) | |
- цепных | |
- ременных | |
- редукторов | |
и другие | |
Трудоемкость составления агрегата, чел.-ч: | |
- для транспортировки | |
- для работы | |
Характеристика узлов и рабочих органов | |
Другие показатели: ________________________ ________________________ ________________________ | |
Форма А.2 - Характеристика условий испытаний машины для уборки винограда при агротехнической и эксплуатационно-технологической оценках
Наименование показателя | Значение показателя |
Вид оценки |
Агротехническая | Эксплуатационно-технологическая |
Дата | + | + |
Тип почвы | + | + |
Рельеф: | + | + |
- поперечный уклон, ...° | | |
- продольный уклон, ...° | | |
Микрорельеф | + | + |
Влажность почвы, %, в слое от 0 до 10 см | + | + |
Твердость почвы, МПа, в слое от 0 до 10 см | + | + |
Ампелографический сорт | + | + |
Возраст насаждений, лет | + | - |
Формировка куста | + | + |
Характеристика насаждений | | |
Ширина междурядья, м | + | + |
Расстояние между кустами в ряду, см | + | - |
Расстояние от центра междурядья, см: | + | - |
- до штамба куста | | |
- до приштамбовой опоры | | |
- до шпалерной стойки | | |
Отклонение от оси ряда (максимальное), см: | + | - |
- кустов | | |
- шпалерных стоек | | |
- приштамбовых опор | | |
Характеристика куста | | |
Ширина куста, см: | + | - |
- в местах расположения многолетнего прироста | | |
- в местах расположения однолетнего прироста | | |
Высота, см: | + | - |
- штамба куста | | |
- приштамбовой опоры | | |
Толщина, мм: | + | - |
- штамба | | |
- приштамбовых опор | | |
Расстояние от поверхности почвы (граница расположения урожая), см: | + | - |
- до нижних концов самой нижней грозди | | |
- до верхних концов самой верхней грозди | | |
Элементы куста, шт.: | + | - |
- штамб | | |
- рукава | | |
- многолетние лозы | | |
- плодовые лозы | | |
Массовая концентрация сахаров, % | + | - |
Урожайность: | + | + |
- среднеарифметическое значение, т/га | | |
- доверительный интервал, +/- т/га | | |
Массовая доля ягод с грозди, % | + | - |
Характеристика каркаса шпалеры | | |
Тип шпалеры | + | - |
Высота шпалерных стоек, см | + | - |
Высота закрепления нижней шпалерной проволоки, см | + | - |
Расстояние между шпалерными стойками, см | + | - |
Максимальное отклонение стоек по высоте, см | + | - |
Угол наклона стоек в сторону междурядья, ...°: | + | - |
- среднеарифметическое значение | | |
- максимальное отклонение | | |
Материал стоек | + | - |
Материал приштамбовых опор | + | - |
Подвязочный материал | + | - |
Ширина межклеточных дорог, м | - | + |
Примечание - Знак "+" означает, что показатель определяют, знак "-" - не определяют. |
Форма А.3 - Показатели качества выполнения технологического процесса машин при агротехнической и эксплуатационно-технологической оценках
Наименование показателя | Значение показателя |
Вид оценки |
Агротехническая | Эксплуатационно-технологическая |
Режим работы | | |
Рабочая скорость, км/ч | + | + |
Частота колебаний рабочего органа, с-1 | + | - |
Амплитуда колебаний, мм | + | - |
Показатели качества выполнения технологического процесса | | |
Полнота сбора урожая, % | + | + |
Чистота собранного урожая, % | + | - |
Фракционный состав бункерного вороха, %: | + | - |
- целые ягоды | | |
- части ягод | | |
- целые грозди | | |
- части гроздей | | |
- гребни свободные | | |
- листья | | |
- примеси (почва) | | |
Потери, %: | + | + |
всего | | |
в том числе: | | |
- на кустах | + | + |
- на земле | + | + |
- потери соком (неуловимые потери) | + | - |
Повреждение кустов по элементам, %: | + | + |
- штамба | + | - |
- рукавов | + | - |
- многолетних лоз | + | + |
- плодовых лоз | + | - |
Повреждение каркаса шпалеры, %: | + | + |
- обрыв шпалерной проволоки | | |
- повреждение шпалерных стоек | | |
Примечание - Знак "+" означает, что показатель определяют, знак "-" - не определяют. |
Форма А.4 - Энергетические показатели
Наименование показателя | Значение показателя |
Дата проведения испытаний | |
Режим работы | |
Рабочая скорость движения, км/ч | |
Производительность за 1 ч основного времени, га/ч | |
Расход топлива, кг/ч | |
Энергетические показатели | |
Потребляемая мощность, кВт | |
Удельные энергозатраты машины, МДж/га | |
Тяговое сопротивление, Н | |
Мощность, затрачиваемая на привод рабочих органов, кВт | |
Форма А.5 - Номенклатура показателей, требований безопасности и эргономичности конструкции машины
Наименование показателя, требование |
Общие требования к безопасности конструкции узлов и агрегатов, специфические требования к машине Требования к обеспечению безопасности при монтаже, транспортировании и хранении Цвета сигнальные и знаки безопасности Удобство и безопасность доступа к местам обслуживания Требования к средствам доступа на рабочее место Наличие предупреждающих надписей и знаков безопасности Требования к системе символов для обозначения органов управления и средств отображения информации Требования к наличию и конструкции защитных ограждений Требования к обеспечению безопасности операций по очистке Видимость объектов постоянного наблюдения Угол поперечной статической устойчивости Устойчивость в отцепленном состоянии Эффективность действия тормозных систем Концентрация окиси углерода в зоне дыхания оператора Вибрация на рабочем месте оператора и органах управления Концентрация пыли в зоне дыхания оператора Требования к рабочему месту оператора Уровень звука шума на рабочем месте оператора Силы сопротивления перемещению органов управления и регулирования Требования к сиденью Параметры микроклимата на рабочем месте оператора Требования к наличию внешних световых приборов, их расположению Требования к исключению возможности самопроизвольного включения рабочих органов Пожаробезопасность Требования к системе блокировки и предупреждающей сигнализации Безопасность присоединения Нагрузка на управляемые колеса |
Форма А.6 - Показатели безопасности и эргономичности конструкции машины (для протокола)
Наименование показателя, требование | Значение показателя по | Заключение о соответствии |
стандарту | результатам испытаний |
| | | |
Форма А.7 - Показатели надежности
Наименование показателя | Значение показателя |
Общая наработка, ч, га | |
Наработка на отказ, ч, га | |
в том числе по группам сложности: | |
- I группы сложности | |
- II группы сложности | |
- III группы сложности | |
Общее число отказов, шт. | |
в том числе по группам сложности: | |
- I группы сложности | |
- II группы сложности | |
- III группы сложности | |
Среднее время восстановления, ч/отказ | |
Оперативное время ежесменного технического обслуживания, ч | |
Оперативная трудоемкость ежесменного технического обслуживания, чел.-ч | |
Трудоемкость ежесменного технического обслуживания, чел.-ч | |
Удельная суммарная трудоемкость технических обслуживаний, чел.-ч/ч, чел.-ч/га | |
Удельная суммарная оперативная трудоемкость технических обслуживаний, чел.-ч/ч, чел.-ч/га | |
Удельная суммарная оперативная трудоемкость текущих ремонтов (выявления и устранения отказов), чел.-ч/ч, чел.-ч/га | |
Удельная суммарная трудоемкость текущих ремонтов (выявления и устранения отказов), чел.-ч/ч, чел.-ч/га | |
Коэффициент готовности: | |
- с учетом организационного времени | |
- по оперативному времени | |
Коэффициент технического использования | |
Перечень отказов и повреждений (помещают в приложении к протоколу) | |
Форма А.8 - Показатели эксплуатационно-технологической оценки
Наименование показателя | Значение показателя |
Вид работы |
| | |
Период проведения оценки (дата) | | | |
Место проведения | | | |
Условия проведения испытаний <1> | | | |
Состав агрегата | | | |
| | | |
Производительность за 1 ч времени, га/ч: | | | |
- основного | | | |
- технологического | | | |
- сменного | | | |
- эксплуатационного | | | |
Удельный расход топлива за сменное время, кг/га | | | |
Эксплуатационно-технологические коэффициенты: | | | |
- рабочих ходов | | | |
- надежности технологического процесса | | | |
- использования сменного времени | | | |
Число обслуживающего персонала, чел. | | | |
Показатели качества выполнения технологического процесса <2> | | | |
|
(рекомендуемое)
ФОРМЫ РАБОЧИХ ВЕДОМОСТЕЙ РЕЗУЛЬТАТОВ ИСПЫТАНИЙ
Форма Б.1 - Ведомость определения характеристики насаждений
Марка машины ________ Место испытаний ______ Учетная делянка ________
Ампелографический сорт __________________ Дата ______________________
Средства измерений __________________________________________________
Измерение | Ширина междурядья, см | Расстояние от центра междурядья, см | Отклонение от оси ряда, +/- см | Расстояние между кустами в ряду, см |
до штамба куста | до приштамбовой опоры | до шпалерной стойки | кустов | приштамбовых опор | шпалерных стоек |
влево | вправо | влево | вправо | влево | вправо |
1 | | | | | | | | | | | |
2 | | | | | | | | | | | |
3 | | | | | | | | | | | |
... | | | | | | | | | | | |
n | | | | | | | | | | | |
Сумма | | | | | | | | | | | |
Среднеарифметическое значение | | | | | | | | | | | |
Максимальное отклонение | - | - | - | - | - | - | - | | | | - |
Исполнитель | _____________ должность | ______________ личная подпись | __________________ инициалы, фамилия |
Форма Б.2 - Ведомость определения характеристики куста
Марка машины ________ Место испытаний ______ Учетная делянка ________
Ампелографический сорт ___________________ Дата _____________________
Возраст насаждений _________________ Формировка _____________________
Средства измерений __________________________________________________
Учетный куст | Ширина куста, см | Расстояние от поверхности почвы, см | Высота, см | Толщина, мм |
в местах расположения многолетнего прироста | в местах расположения однолетнего прироста | до нижних концов самой нижней грозди | до верхних концов самой верхней грозди | штамба | приштамбовой опоры | штамба | приштамбовой опоры |
1 | | | | | | | | |
2 | | | | | | | | |
3 | | | | | | | | |
... | | | | | | | | |
n | | | | | | | | |
Сумма | | | | | | | | |
Среднеарифметическое значение | | | | | | | | |
Максимум | | | | | | | | |
Минимум | | | | | | | | |
Исполнитель | _____________ должность | ______________ личная подпись | _________________ инициалы, фамилия |
Форма Б.3 - Ведомость определения элементов куста и их повреждений
Марка машины ________ Место испытаний ______ Учетная делянка ________
Ампелографический сорт ___________________ Дата _____________________
Наименование элемента и вида повреждения | Номер куста | Среднеарифметическое значение | Итого |
1 | 2 | 3 | 4 | 5 | всего элементов, шт. | повреждено, шт. (%) |
всего элементов, шт. | повреждено, шт. | всего элементов, шт. | повреждено, шт. | всего элементов, шт. | повреждено, шт. | всего элементов, шт. | повреждено, шт. | всего элементов, шт. | повреждено, шт. | всего элементов, шт. | повреждено, шт. |
Штамб: | | | | | | | | | | | | | | |
- излом | | | | | | | | | | | | | | |
- трещины | | | | | | | | | | | | | | |
- сдир коры | | | | | | | | | | | | | | |
Рукава: | | | | | | | | | | | | | | |
- излом | | | | | | | | | | | | | | |
- сдир коры | | | | | | | | | | | | | | |
Многолетние лозы: | | | | | | | | | | | | | | |
- размочаливание | | | | | | | | | | | | | | |
- излом | | | | | | | | | | | | | | |
- сдир коры | | | | | | | | | | | | | | |
Плодовые лозы: | | | | | | | | | | | | | | |
- излом | | | | | | | | | | | | | | |
Исполнитель | _____________ должность | ______________ личная подпись | _________________ инициалы, фамилия |
Форма Б.4 - Ведомость определения урожайности
Марка машины ____________________________ Дата ______________________
Место испытаний _____________________________________________________
Ампелографический сорт ______________________________________________
Средства измерений ___________________________________________________
Наименование показателя | Значение показателя |
Повторность |
1 | 2 | 3 |
Урожайность с куста выборки, кг | | | |
1 | | | |
2 | | | |
3 | | | |
... | | | |
10 | | | |
Сумма  , кг | | | |
Среднеарифметическое  , кг | | | |
Стандартное отклонение, кг | | | |
Коэффициент вариации, % | | | |
Относительная ошибка выборочной средней  , %, при доверительной вероятности  | | | |
Требуемый объем выборки nт, шт. | | | |
Требуемый объем дополнительной выборки nд, шт. | | | |
Масса урожая дополнительной выборки mд, кг | | | |
Среднеарифметическая масса урожая требуемой выборки  , кг | | | |
Расчетная масса винограда с учетной делянки в доверительных границах Mд, кг | | | |
Исполнитель | _____________ должность | ______________ личная подпись | _________________ инициалы, фамилия |
Форма Б.5 - Ведомость определения содержания ягод в гроздьях
Марка машины ____________________________ Дата ______________________
Место испытаний _____________________________________________________
Ампелографический сорт ________________________ Проба 100 гроздей
Средства измерений ___________________________________________________
Проба | Масса, кг |
гроздей | ягод с гроздей |
1 | | |
2 | | |
3 | | |
Сумма | | |
Среднеарифметическое значение | | |
Массовая доля ягод с гроздей, % | - | |
Исполнитель | _____________ должность | ______________ личная подпись | _________________ инициалы, фамилия |
Форма Б.6 - Ведомость определения характеристики каркаса шпалеры
Марка машины ____________________________ Дата _____________________
Место испытаний _____________________ Учетная делянка ________________
Ампелографический сорт ___________________ Тип шпалеры ______________
Средства измерений __________________________________________________
Измерение | Высота шпалерной стойки, см | Высота закрепления нижней шпалерной проволоки, см | Расстояние между шпалерными стойками, см | Угол наклона стоек в сторону междурядья, ...° |
1 | | | | |
2 | | | | |
3 | | | | |
... | | | | |
10 | | | | |
Сумма | | | | |
Среднеарифметическое значение | | | | |
Максимальное отклонение | | - | - | |
Исполнитель | _____________ должность | ______________ личная подпись | __________________ инициалы, фамилия |
Форма Б.7 - Ведомость определения фракционного состава бункерного вороха винограда
Марка машины ________________________ Дата _______________
Место испытаний ____________________________________________________
Ампелографический сорт ______________________________________________
Средства измерений __________________________________________________
Фракционный состав вороха | Проба вороха винограда, кг | Среднеарифметическое значение, кг | Массовая доля, % |
повторность |
1 | 2 | 3 |
Масса пробы | | | | | |
в том числе: | | | | | |
- целые ягоды | | | | | |
| | | | | |
- целые грозди | | | | | |
| | | | | |
- свободные гребни | | | | | |
- листья | | | | | |
- примеси (почва) | | | | | |
- сусло (свободное) | | | | | |
<1> К частям ягод относят части мякоти с кожицей и семена. <2> К частям гроздей относят менее 1/3 части грозди. |
Исполнитель | _____________ должность | ______________ личная подпись | _________________ инициалы, фамилия |
Форма Б.8 - Ведомость определения потерь винограда
Марка машины ________________________ Дата _______________
Место испытаний ____________________________________________________
Ампелографический сорт ______________________________________________
Средства измерений __________________________________________________
Учетная площадка | Масса потерь ягод, кг |
всего | на кустах | на земле |
1 | | | |
2 | | | |
3 | | | |
Сумма | | | |
Среднеарифметическое значение | | | |
Исполнитель | _____________ должность | ______________ личная подпись | _________________ инициалы, фамилия |
Форма Б.9 - Ведомость определения повреждения каркаса шпалеры
Марка машины ____________________________ Дата ______________________
Место испытаний _____________________________________________________
Ампелографический сорт ______________________________________________
Повторность | Число каркасов шпалеры, шт. | Повреждения по видам, шт. |
Обрыв проволоки | Шпалерные стойки | Всего |
Наклон | Излом | Разрушение |
1 | | | | | | |
2 | | | | | | |
3 | | | | | | |
4 | | | | | | |
5 | | | | | | |
Сумма | | | | | | |
Среднеарифметическое значение | | | | | | |
Количественная доля повреждений, % | - | | - | - | - | |
Исполнитель | _____________ должность | ______________ личная подпись | _________________ инициалы, фамилия |
(рекомендуемое)
ПЕРЕЧЕНЬ СРЕДСТВ ИЗМЕРЕНИЙ И ОБОРУДОВАНИЯ, ПРИМЕНЯЕМЫХ
ПРИ ОПРЕДЕЛЕНИИ ПОКАЗАТЕЛЕЙ АГРОТЕХНИЧЕСКОЙ ОЦЕНКИ
Весы электрические с погрешностью измерений от 0,01 до 0,1 г по ГОСТ OIML R 76-1.
Шкаф сушильный с погрешностью измерений +/- 2 °C.
Термометр с погрешностью измерений +/- 2 °C по
ГОСТ 28498.
Рулетка с погрешностью измерений +/- 1 мм по
ГОСТ 7502.
Угломер с погрешностью измерений +/- 5% по
ГОСТ 5378.
Штангенциркуль с погрешностью измерений +/- 0,1 мм по
ГОСТ 166.
Твердомер почвенный плунжерный с погрешностью измерений +/- 5%.
Секундомер с погрешностью измерений +/- 1 с.
УДК 631.35.001.4.634.8:006.354 | | |
Ключевые слова: методы испытаний, сельскохозяйственная техника, машины, уборка винограда, ампелографический сорт, грозди, ягоды, примеси, потери |