Главная // Актуальные документы // РуководствоСПРАВКА
Источник публикации
М.: Стройиздат, 1977
Примечание к документу
Название документа
"Руководство по проектированию одноэтажных и многоэтажных производственных зданий со стальным каркасом в сейсмических районах"
"Руководство по проектированию одноэтажных и многоэтажных производственных зданий со стальным каркасом в сейсмических районах"
ПО ПРОЕКТИРОВАНИЮ ОДНОЭТАЖНЫХ И МНОГОЭТАЖНЫХ
ПРОИЗВОДСТВЕННЫХ ЗДАНИЙ СО СТАЛЬНЫМ КАРКАСОМ
В СЕЙСМИЧЕСКИХ РАЙОНАХ
Настоящее руководство разработано в развитие главы
СНиП II-А.12-69 "Строительство в сейсмических районах. Нормы проектирования" в части проектирования одноэтажных и многоэтажных производственных зданий со стальными и смешанными каркасами для районов с сейсмичностью 7, 8 и 9 баллов.
Руководство разработано Центральным научно-исследовательским и проектно-экспериментальным институтом промышленных зданий и сооружений (канд. техн. наук А.А. Болтуховым, инженерами Б.Ф. Васильевым, В.И. Деньщиковым) и Казахским отделением Центрального научно-исследовательского и проектного института строительных металлоконструкций (канд. техн. наук Л.А. Бородиным, Г.М. Остриковым, инженерами В.А. Зениным, Ю.А. Поповым) при участии Центрального научно-исследовательского института строительных конструкций им. В.А. Кучеренко (доктора техн. наук Я.М. Айзенберга, канд. техн. наук Л.С. Килимника).
Руководство предназначено для проектировщиков и инженерно-технических работников строительно-монтажных организаций.
1.1. Настоящее Руководство распространяется на проектирование производственных зданий с числом этажей не более семи (при общей высоте зданий не более 35 м) со стальными и смешанными каркасами по обычным конструктивным схемам, применяемым в массовом промышленном строительстве. При проектировании зданий для сейсмических районов, как правило, должны применяться типовые конструкции, разработанные для этих районов.
1.2. При выборе типов зданий для строительства в сейсмических районах при прочих равных условиях следует отдавать предпочтение одноэтажным бесфонарным зданиям. В зданиях с фонарями рекомендуется применять зенитные фонари.
Здания рекомендуется проектировать прямоугольной формы в плане, с параллельно расположенными пролетами, без перепада высот смежных пролетов. При сложных очертаниях в плане или с размерами, превышающими указанные в
п. 1.3, здания должны разделяться антисейсмическими швами на отдельные отсеки прямоугольной формы.
Антисейсмическими швами должны разделяться также участки здания, имеющие различные высоты.
Примечание. В отдельных обоснованных случаях небольшие пристройки к зданию или внутренние площадки разрешается проектировать с опиранием несущих элементов покрытий и перекрытий на колонны каркасов.
1.3. Размеры одноэтажных и многоэтажных зданий (отсеков) в плане принимаются в соответствии с требованиями для несейсмических районов и не должны превышать 150 м. При этом длину одноэтажных зданий (отсеков) с расчетной сейсмичностью 8 и 9 баллов рекомендуется принимать соответственно не более 120 и 96 м.
1.4. Температурные и осадочные швы следует выполнять как антисейсмические швы.
1.5. Антисейсмические швы в несущих и ограждающих конструкциях должны разделять смежные отсеки зданий по всей высоте. Допускается не устраивать шва в фундаменте, за исключением случаев, когда антисейсмический шов совпадает с осадочным швом.
1.6. Антисейсмические швы в каркасных зданиях осуществляются постановкой парных колонн со вставкой. Размеры вставок назначаются в зависимости от ширины антисейсмического шва, определяемой в соответствии с
п. 2.7, и величины привязки несущих конструкций к разбивочным осям здания.
Заделка швов в стенах, перекрытиях и покрытиях не должна препятствовать взаимному смещению стен и каркасов.
1.7. Каркасные здания должны проектироваться таким образом, чтобы все сейсмические силы были восприняты самим каркасом или, в необходимых случаях, вертикальными стальными связями между колоннами, диафрагмами и пр.
При этом должны соблюдаться следующие требования:
а) между поверхностями стен и гранями колонн каркаса должен быть предусмотрен зазор шириной не менее 2 см;
б) в местах пересечения торцевых и поперечных стен с продольными должны устраиваться вертикальные антисейсмические швы на всю высоту стен;
в) в навесных стенах должны устраиваться горизонтальные антисейсмические швы по всей длине стен, при этом расположение их по высоте стен определяется в соответствии с указаниями
пп. 3.9,
3.13 и
3.14 в зависимости от принятой конструкции стен;
г) крепления стен к конструкциям каркаса не должны препятствовать горизонтальным смещениям каркаса вдоль самонесущих стен или смещениям каркаса в пределах высот навесных участков стен (при навесных стенах);
д) лестничные клетки, устанавливаемые на каркас здания, а также внутренние перегородки следует проектировать таким образом, чтобы они не создавали дополнительной жесткости;
е) лестничные клетки с несущими стенами или с каркасом, встроенные и пристроенные к зданию до 5 этажей, должны быть отделены от каркаса здания антисейсмическими швами по всей их высоте.
1.8. При выборе конструкций для зданий, возводимых в сейсмических районах, следует руководствоваться действующими Техническими правилами по экономному расходованию основных строительных материалов.
Выбор марок сталей для стальных конструкций должен производиться в соответствии с указаниями главы СНиП II-В.3-72 "Стальные конструкции. Нормы проектирования".
Сварные швы в соединениях должны выполняться электродами, обеспечивающими достаточную пластичность швов. При ручной дуговой сварке рекомендуется применять электроды типа Э42А, Э46А и Э50А.
1.9. Особое внимание при проектировании стальных каркасов зданий следует уделять обеспечению условий для развития пластических деформаций в наиболее напряженных сечениях конструкций.
В связи с этим при подборе сечений конструкций необходимо предусматривать удаление зоны максимальных напряжений, в которых могут возникнуть пластические шарниры, от сварных стыков взаимного сопряжения конструктивных элементов, так как в зонах сварных соединений при сейсмическом воздействии могут развиваться хрупкие разрушения. Принцип такого соединения поясняется на
рис. 1, где показано сопряжение ригеля со стойкой. Опорное сечение ригеля 0-0 развито по отношению к пролетному сечению в такой мере, чтобы в то время, когда в месте перехода от основного сечения ригеля к развитому опорному сечению (сеч. 1-1) возникает пластический шарнир, напряжения в опорном сечении не превышали расчетных сопротивлений. С появлением пластического шарнира рост усилий в опорном сечении прекратится. Таким образом, пластический шарнир будет играть роль предохранителя сварного соединения ригеля со стойкой от хрупкого разрушения.
Рис. 1. Схема конструктивного решения рамного узла
с усиленным опорным сечением ригеля и эпюра напряжений
в ригеле
В то же время при развитии пластических деформаций следует учитывать возможность потери устойчивости. Поэтому в таких элементах, как колонны, которые воспринимают постоянную осевую нагрузку, следует избегать развития пластических деформаций.
В связях, обеспечивающих прочность каркасов зданий при расчетной сейсмичности 8 и 9 баллов (см.
пп. 2.19 и
2.42), рекомендуется предусматривать специальные конструктивные элементы, в которых могут при сейсмическом воздействии развиваться знакопеременные пластические деформации (см.
Прил. 2).
1.10. Расчет конструкций зданий с учетом сейсмического воздействия производится по первой группе предельных состояний (по несущей способности).
1.11. Конструкции зданий, проектируемых для строительства в сейсмических районах, должны удовлетворять расчетам:
на основное сочетание нагрузок в соответствии с требованиями главы
СНиП II-6-74 "Нагрузки и воздействия";
на особое сочетание нагрузок при сейсмическом воздействии.
Расчет конструкций зданий на особое сочетание нагрузок производится на совместное действие постоянных, временных длительных и кратковременных нагрузок и сейсмических нагрузок. Классификация нагрузок и значения коэффициентов перегрузки принимаются в соответствии с главой
СНиП II-6-74.
К расчетным величинам нагрузок (кроме сейсмических) в особом сочетании и нагрузок, учитываемых при определении расчетных величин сейсмических нагрузок, вводятся коэффициенты сочетания:
для постоянных нагрузок - 0,9;
для временных длительных нагрузок - 0,8;
для кратковременных нагрузок - 0,5.
Примечания: 1. При расчете на сейсмические воздействия снижение нагрузок на перекрытия, предусмотренное
пп. 3.8 и
3.9 главы СНиП II-6-74, не учитывается.
2. Кратковременными нагрузками, которые необходимо учитывать в особом сочетании, являются нагрузки на перекрытия (по
пп. 1.8 "а" и
"д" главы СНиП II-6-74), снеговые нагрузки, нагрузки от веса мостовых и подвесных кранов.
При расчете конструкций с учетом сейсмического воздействия нагрузки от ветра, усилия от температурных деформаций каркаса при климатическом изменении температуры, усилия от удлинений нижних растянутых элементов несущих конструкций, динамические воздействия от машин и оборудования, тормозные и боковые усилия от движения кранов, горизонтальные инерционные силы от грузов на гибких подвесках не учитываются. Грузоподъемность крана и вес тележки учитываются только при определении вертикальной сейсмической силы. При этом грузоподъемность принимается с коэффициентом 0,3.
При расчете конструкций на нагрузки, возникающие в период монтажа здания, сейсмические воздействия не учитываются.
1.12. При проектировании конструкций зданий следует учитывать, что сейсмические нагрузки могут иметь любое направление в пространстве.
При расчете на сейсмическое воздействие зданий (отсеков) в целом или при расчете их отдельных несущих элементов, за исключением оговоренных в
пп. 2.5,
2.38,
3.5 и
3.14, сейсмические нагрузки принимаются действующими горизонтально в направлениях продольной и поперечной осей здания (отсека). Действие сейсмических нагрузок в обоих направлениях учитывается раздельно.
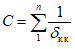
1.13. Расчетные величины действующих сейсмических нагрузок для зданий определяются по формуле

, (1)
где

- расчетная величина сейсмической нагрузки (соответствующая i-й форме собственных колебаний), статически приложенной в какой-либо точке k, где согласно расчетной схеме здания сосредоточена нагрузка

;

- нагрузка, вызывающая инерционную силу (собственный вес конструкций здания, вес стационарного оборудования, временная нагрузка на перекрытие, нагрузка от снега и др.), которая в соответствии с расчетной схемой здания принята сосредоточенной в точке k; при определении величины

значения коэффициентов перегрузки и коэффициентов сочетания принимаются в соответствии с указаниями
п. 1.11;

- коэффициент сейсмичности (принимается по
табл. 1);

- коэффициент динамичности, соответствующий i-й форме собственных колебаний;

- коэффициент, зависящий от формы деформаций каркаса при его собственных колебаниях по i-й форме и от места расположения нагрузки Q.
Расчетная сейсмичность в баллах | 7 | 8 | 9 |
Коэффициент сейсмичности  | 0,025 | 0,05 | 0,1 |
Расчетная сейсмическая нагрузка для одноэтажных зданий, высота которых до низа балок или ферм не более 8 м и с пролетами не более 18 м, определяется с дополнительным коэффициентом 0,8.
Значение

определяется по формуле (2) или по графику
рис. 2 с учетом указания
п. 1.14:

, (2)
где

- численное значение периода собственных колебаний, с;

- численное значение круговой частоты собственных колебаний, рад/с.
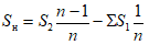
Рис. 2. Определение коэффициента динамичности

Величина

должна приниматься не менее 0,8 и не более 3.
Значение

определяется по формуле

, (3)
где

и

- смещения каркаса здания при его собственных колебаниях соответственно в рассматриваемой точке k и во всех точках j, т.е. в точках, отвечающих расположению масс в рассматриваемой динамической схеме.
1.14. При расчете каркасов зданий (отсеков), в которых ограждающие конструкции и перегородки не учитываются при определении деформативности каркаса (см.
п. 1.7), в
формуле (1) вместо коэффициента динамичности

должен приниматься коэффициент динамичности

, определяемый по формуле

. (4)
Коэффициент

, учитывающий динамические характеристики конструкций (затухание, жесткость с учетом работы креплений и сил трения), принимается на основании экспериментальных данных. При отсутствии экспериментальных данных принимается

. При этом коэффициент, указанный в
п. 2.6 СНиП II-А.12-69, не учитывается.
Для железобетонных колонн и стальных вертикальных связей между ними (в смешанных каркасах) коэффициент

принимается в соответствии с указанием
п. 1.13 "Руководства по проектированию производственных зданий с каркасом из железобетонных конструкций для сейсмических районов" (Стройиздат, 1972).
1.15. Каркасы зданий (отсеков), у которых центр жесткости не совпадает в плане с центром массы (при несимметричном расположении масс или жесткостей), а также каркасы зданий (отсеков), протяженных в плане (при соизмеримости их размеров с длинами сейсмических волн), рассчитываются с учетом крутильных колебаний в соответствии с указаниями "Руководства по проектированию жилых и общественных каркасных зданий для сейсмических районов" (Стройиздат, 1976).
Примечание. Для отсеков одноэтажных каркасных зданий, у которых имеется эксцентриситет между центром жесткости и центром масс вследствие несимметричного расположения наружных навесных стен, допускается при расчете каркаса на действие сейсмических нагрузок не учитывать влияние поворота; при этом величины сейсмических нагрузок следует вычислять в предположении наличия наружных стен по всему контуру отсека.
1.16. При расчете стальных конструкций на прочность, помимо коэффициентов условий работы, принимаемых в соответствии с главой СНиП II-В.3-72 "Стальные конструкции. Нормы проектирования", учитывается ввиду кратковременности действия нагрузки дополнительный коэффициент условий работы

, который принимается равным 1,4; в случае расчета сварных соединений

.
При расчете на устойчивость сжатых стальных элементов гибкостью более 100 принимается коэффициент

, а для элементов гибкостью от 20 до 100 - по интерполяции между

и

.
При расчете стальных несущих конструкций, находящихся в неотапливаемых помещениях или на открытом воздухе при расчетной температуре ниже минус 40 °C, принимается коэффициент

.
1.17. Расчет оснований зданий следует производить согласно главам
СНиП II-15-74 "Основания зданий и сооружений",
II-Б.5-67* "Свайные фундаменты. Нормы проектирования" и "Рекомендациям по проектированию оснований и фундаментов зданий и сооружений, возводимых в сейсмических районах" (Стройиздат, 1975). При этом расчет производится по первой группе предельных состояний согласно указаниям
пп. 3.6 -
3.17 главы СНиП II-А.12-69.
2.1. Расчет каркаса здания (отсека) на действие сейсмических нагрузок должен производиться раздельно в поперечном и продольном направлениях, и соответственно в этих направлениях должны быть определены сейсмические силы.
2.2. При расчетах каркасов зданий (отсеков) с учетом сейсмических воздействий деформации конструкций не ограничиваются, если расчет конструкций удовлетворяет условиям прочности и устойчивости.
2.3. При определении жесткости стоек каркаса жесткость стен, запроектированных с соблюдением требований
п. 1.7, не учитывается, за исключением жесткости самонесущих каменных стен в направлении, перпендикулярном их плоскости, которая учитывается в соответствии с указаниями
п. 4.25 "Руководства по проектированию производственных зданий с каркасом из железобетонных конструкций для сейсмических районов" (Стройиздат, 1972).
2.4. Покрытия и перекрытия зданий, объединяющие рамы каркаса в единый пространственный блок, должны быть возможно более жесткими в горизонтальной плоскости. Для увеличения жесткости диска покрытия с применением стального профилированного настила, асбестоцементных плит (каркасных и бескаркасных) или волнистых листов и т.п. должны предусматриваться мероприятия в соответствии с
пп. 2.21 -
2.24,
2.40, а для покрытия и перекрытия из сборных железобетонных плит - в соответствии с
пп. 2.25,
2.40,
2.43.
2.5. Пролетные конструкции покрытий (фермы, балки) и перекрытий (ригели, балки и др.) зданий с расчетной сейсмичностью 8 и 9 баллов должны быть проверены расчетом на особое сочетание нагрузок с учетом вертикальной сейсмической нагрузки. При этом сейсмическая нагрузка определяется по
формуле (1), где коэффициенты

и

принимаются в соответствии с периодом и формой собственных вертикальных колебаний рассчитываемых конструкций. Конструкции, имеющие период первого (основного) тона собственных колебаний больше 0,5 с, следует рассчитывать с учетом высших форм колебаний, как правило, не более трех. При периодах основного тона T <= 0,5 с учитывается только первая форма колебаний.
2.6. Расчетные усилия в рассматриваемом сечении конструкции каркаса от действия сейсмической нагрузки при учете высших форм колебаний определяются по формуле

, (5)
где

- расчетное значение усилия (поперечной или нормальной силы, изгибающего момента) в рассматриваемом сечении от действия сейсмической нагрузки;

- наибольшее значение данного усилия в рассматриваемом сечении, определяемое из сопоставления эпюр усилий, вызываемых сейсмическими нагрузками, отвечающими учитываемым формам собственных колебаний каркаса;

- значения усилия в том же сечении по эпюрам для других форм колебаний (кроме значения

).
2.7. Ширина антисейсмического шва, см, в покрытиях и перекрытиях определяется по формуле (6) и принимается кратной 5 см:

, (6)
где

и

- максимальные перемещения, см, двух смежных каркасов здания (отсеков), разделенных антисейсмическим швом, при действии расчетных горизонтальных сейсмических нагрузок.
2.8. В зданиях со стенами, запроектированными в соответствии с требованиями
п. 1.7, при расчете каркаса необходимо учитывать сейсмическую нагрузку от самонесущих стен, расположенных только в плоскостях, перпендикулярных направлению действующих сейсмических нагрузок. Сейсмическая нагрузка от поперечных и продольных навесных стен при расчете каркаса должна учитываться в обоих направлениях.
КАРКАС ОДНОЭТАЖНОГО ЗДАНИЯ
2.9. Каркасы одноэтажных производственных зданий с габаритами и нагрузками, соответствующими действующим сериям типовых конструкций, проектируются, как правило, по обычной конструктивной схеме - со стойками, защемленными в фундаментах и шарнирно-сопряженными с ригелями покрытия.
В каркасах зданий с размерами, большими, чем предусмотрено унифицированными габаритными схемами, сопряжения колонн с ригелями покрытия рекомендуется выполнять в виде жестких рамных узлов с целью ограничения деформаций и уменьшения моментов в колоннах от сейсмических и вертикальных нагрузок.
Покрытия зданий следует проектировать из конструкций, максимально снижающих их вес; рекомендуется преимущественно применять профилированный стальной настил, асбестоцементные плиты (каркасные и бескаркасные) или волнистые листы. В качестве утеплителя рекомендуется применять эффективные теплоизоляционные материалы (плиты из полимерных материалов, плиты повышенной жесткости из минеральной ваты и стеклянного волокна на полимерной связке и др.).
Применение сборных железобетонных плит в покрытии должно быть ограничено. При этом плиты длиной 12 м в зданиях с расчетной сейсмичностью 9 баллов применять не рекомендуется.
2.10. Расчет каркасов одноэтажных зданий (отсеков) на горизонтальные сейсмические нагрузки рекомендуется выполнять на ЭВМ с учетом их пространственной работы.
При расчете на поперечные сейсмические нагрузки в качестве эквивалентной динамической модели каркаса принимается расчетная схема, состоящая из поперечных рам и фахверковых стоек, соединенных в уровне их верха стержнями бесконечной жесткости с условной продольной балкой, жесткость которой

эквивалентна суммарной горизонтальной жесткости диска покрытия в поперечном направлении здания
(рис. 3, а). Вертикальные нагрузки, действующие на каркас, в расчетной схеме принимаются сосредоточенными в центрах приведения в соответствии с указаниями
п. 2.11.
Рис. 3. Динамические расчетные схемы каркаса здания
(отсека) при действии сейсмической нагрузки
в поперечном (а, б) и продольном (в) направлениях
1 - рассчитываемая поперечная рама; 2 - стойка, заменяющая
все другие поперечные рамы; 3 - стойка, заменяющая все
фахверковые стойки
При покрытиях из профилированного стального настила, жестко связанного с прогонами (см.
п. 2.24), или сборных железобетонных плит допускается принимать диск покрытия бесконечно жестким в поперечном направлении здания. В этом случае, в целях уменьшения вычислительных работ, поперечные рамы, кроме рассчитываемой, могут быть заменены в расчетной схеме каркаса одной эквивалентной стойкой, а все фахверковые стойки - одной эквивалентной стойкой
(рис. 3, б).
При расчете на продольные сейсмические нагрузки в качестве эквивалентной динамической модели каркаса принимается расчетная схема, состоящая из связевых панелей всех рядов колонн, которые в уровне их верха соединены бесконечно жесткими стержнями с условной поперечной балкой, жесткость которой

эквивалентна суммарной горизонтальной жесткости диска покрытия в продольном направлении здания (отсека)
(рис. 3, в). При отсутствии необходимых данных по оценке горизонтальной жесткости диска покрытия здания (отсека) расчет каркаса в продольном направлении выполняется в соответствии с указаниями
пп. 2.12 -
2.14. Вертикальные нагрузки, действующие на каркас, принимаются сосредоточенными в уровне верха связевых панелей и определяются в соответствии с указаниями п. 2.11.
2.11. Нагрузки на стойки (или связевые панели) в расчетных схемах, указанных в
п. 2.10, определяются по действующим на них расчетным вертикальным нагрузкам, передающимся с прилегающих грузовых площадей с учетом указания
п. 2.8. При этом нагрузки принимаются сосредоточенными в центрах приведения:
а) в уровне верха стоек

- от собственного веса покрытия (включая вес подвесных потолков, промпроводок, путей подвесных кранов, собственно подвесных кранов, без веса тележек и груза, при катании их перпендикулярно к рассматриваемому направлению и др.), снега, стен (а также перегородок), расположенных выше верха колонн, и 1/4 собственного веса колонн и стен (а также перегородок), расположенных в пределах высоты колонн;
б) в уровне низа подкрановых балок - от собственного веса подкрановых балок и тормозных конструкций

и мостов кранов

, которые учитываются только при расчете каркаса в поперечном направлении; при этом в каждом крановом пролете рассчитываемой поперечной рамы устанавливается по одному крану; величина нагрузки

, действующей на j-ю стойку поперечной рамы расчетной схемы каркаса, в створе которой установлены мостовые краны, определяется по формуле

(7)
где

- суммарный вес мостов кранов (без учета веса тележек и грузов), расположенных в створе поперечной рамы расчетной схемы каркаса;

- жесткость рассматриваемой j-й стойки в уровне низа подкрановых балок;

- сумма жесткостей стоек поперечной рамы (в уровне низа подкрановых балок), на которую передается нагрузка от кранов;

- коэффициент перегрузки;

- коэффициент сочетания;
в) в уровне середины высоты стоек - от 1/2 собственного веса: колонн

и стен (а также перегородок), расположенных в пределах высоты колонн

.
Нагрузки

,

,

и

должны определяться с коэффициентами перегрузки и коэффициентами сочетаний, принимаемыми в соответствии с указаниями
п. 1.11.
2.12. В случае невозможности использования ЭВМ для расчета каркаса здания (отсека) на сейсмические нагрузки в соответствии с указаниями
п. 2.10, а также при отсутствии необходимых данных по оценке горизонтальной жесткости диска покрытия допускается выполнять упрощенный расчет каркаса, принимая динамическую расчетную схему в виде невесомой консольной стойки (
рис. 4, б), защемленной на уровне верха фундамента, с массой, сосредоточенной на уровне верха колонн (система с одной степенью свободы). В этом случае коэффициент

равен единице, а период собственных колебаний системы в секундах определяется по формуле

, (8)
где g - ускорение силы тяжести, м/с2;
Q - вертикальная нагрузка, тс, принимаемая сосредоточенной в уровне верха колонн; нагрузка Q (с учетом коэффициентов перегрузки и коэффициентов сочетаний, принимаемых в соответствии с указаниями
п. 1.11, за исключением коэффициента сочетания для нагрузки от веса моста крана, который принимается равным 0,8) составляется из:
а) собственного веса покрытия (включая вес подвесных потолков, промпроводок и пр.) и стен (а также перегородок), расположенных выше верха колонн;
б) 1/4 собственного веса: колонн, подкрановых балок, тормозных конструкций и участков стен (а также перегородок), расположенных в пределах высоты колонны;
в) 1/4 собственного веса мостов кранов, расположенных в здании или отсеке (только при расчете в поперечном направлении);
г) снеговых нагрузок.
При определении нагрузки Q учитываются указания
п. 2.8;
C - жесткость рамы (или каркаса) здания (отсека) на уровне верха колонн, определяемая по формуле

, (9)
n - число колонн (или рам) в раме (или каркасе) здания (отсека);

- перемещение отдельной колонны (или рамы) на уровне ее верха от действия горизонтальной единичной силы в том же уровне; перемещения продольных стальных рам допускается принимать равным перемещению их связевых панелей.
Рис. 4. Расчетные схемы рам каркаса здания
при шарнирном опирании ферм покрытия на колонны
а - поперечный разрез здания; б - динамическая расчетная
схема каркаса здания; в - расчетная схема поперечной рамы;
г - продольный разрез здания;
д - расчетная схема продольной рамы
Определение периода собственных колебаний T производится в зависимости от степени горизонтальной жесткости диска покрытия здания (отсека). При этом возможны два расчетных случая колебаний каркаса и соответствующие им значения периода собственных колебаний:
1-й случай. Покрытие рассматривается как жесткий диск. Каркас здания (отсека) колеблется как единая система. При этом в
формуле (8) нагрузка Q вычисляется для всего здания (отсека) в целом, а жесткость C принимается равной жесткости каркаса здания (отсека) соответствующего направления.
2-й случай. Жесткость покрытия не учитывается. Рассматриваются колебания каждой рамы каркаса в отдельности. При этом в
формуле (8) нагрузка Q вычисляется с грузовой площади, прилегающей к рассматриваемой раме, а жесткость C принимается равной жесткости этой рамы.
Периоды собственных колебаний рекомендуется определять при покрытиях:
а) из профилированного стального настила: в поперечном направлении - по первому случаю; в продольном направлении - по первому и второму случаям;
б) из асбестоцементных плит (каркасных и бескаркасных) или волнистых листов усиленного профиля: в поперечном и продольном направлениях - по второму случаю;
в) из сборных железобетонных плит: в поперечном и продольном направлениях - по первому случаю.
2.13. При расчете каркаса здания (отсека) как системы с одной степенью свободы (см.
п. 2.12) сейсмические нагрузки, действующие на рассматриваемую поперечную или продольную раму (связевую панель), определяются по
формуле (1) и принимаются (
рис. 4, в, д):
а) от вертикальной нагрузки

, расположенной выше уровня верха колонн, - сосредоточенными

, приложенными в уровне верха колонн.
Нагрузка

составляется из собственного веса покрытия (включая вес подвесных потолков, промпроводок, путей подвесных кранов, собственно подвесных кранов, без веса тележек и груза, при катании их перпендикулярно рассматриваемому направлению и др.), снега, стен (перегородок), расположенных выше верха колонн, а также 50% собственного веса стен (перегородок), связанных с покрытием с помощью фахверковых стоек.
В зависимости от решения диска покрытия сейсмическая нагрузка

на поперечную или продольную раму (или связевую панель) вычисляется для одного или двух случаев колебаний каркаса в соответствии с указаниями
п. 2.14;
б) от собственного веса колонн зданий - равномерно распределенными по длине колонн:

; (10)
в) от собственного веса подкрановых балок и тормозных конструкций - сосредоточенными, приложенными в уровне низа подкрановых балок:

; (11)
г) от собственного веса участков стен (а также перегородок), расположенных в пределах высоты колонн при определении сейсмических нагрузок, действующих в направлении, перпендикулярном плоскости стен (перегородок), - равномерно распределенными по длине колонны:

; (12)
д) от собственного веса навесных стен, расположенных в пределах высоты колонн, при определении сейсмических нагрузок, действующих в плоскости этих стен, - сосредоточенными, приложенными в уровне опорных консолей навесных стен:

; (13)
е) от собственного веса мостовых кранов - в соответствии с указаниями
п. 2.15.

- собственный вес колонны;

- нагрузки от собственного веса подкрановых балок (включая вес тормозных конструкций), опирающихся на рассматриваемую колонну или раму каркаса;

- собственный вес стены (перегородки), примыкающей к рассматриваемой колонне или раме;

- нагрузка от собственного веса навесной стены в местах опирания на опорные консоли;
H - расстояние от верха фундаментов до верха колонн;

- коэффициент сейсмичности, принимаемый по
табл. 1;

- коэффициент динамичности, вычисленный для рассматриваемого случая колебания каркаса по
формуле (4); при учете двух случаев колебаний для расчета принимается большее значение

из подсчитанных для этих двух случаев.
Нагрузки Q должны определяться с коэффициентами перегрузки и коэффициентами сочетаний, принимаемыми в соответствии с указаниями
п. 1.11. При определении сейсмических нагрузок от собственного веса стен (перегородок) должны учитываться указания
п. 2.8.
Примечание. Связевые панели продольных рядов стальных колонн допускается рассчитывать только на действие одной сейсмической нагрузки

в уровне верха колонн, при этом в вертикальную нагрузку

, определяемую по подпункту "а", следует добавить нагрузку от 1/4 собственного веса: колонн, подкрановых балок и стен (перегородок), расположенных в пределах высоты колонн.
2.14. Сейсмическая нагрузка

, действующая в уровне верха колонн рассматриваемой поперечной или продольной рамы (связевой панели) каркаса здания (отсека), рассчитываемого в соответствии с
п. 2.13, определяется:
а) при покрытиях из профилированного стального настила: на поперечную раму - по формуле (14), на продольную раму (связевую панель) - по формулам (14) и
(15), и принимается для расчета большее значение

, подсчитанное по этим двум формулам:

, (14)

- вертикальная нагрузка, вычисленная для всего каркаса здания (отсека);

- коэффициент сейсмичности, принимаемый по
табл. 1;

- коэффициент динамичности, вычисленный для каркаса здания (отсека) по
формуле (4);
C и

- жесткости на уровне верха колонн соответственно каркаса здания (отсека) и рассматриваемой рамы (или связевой панели), определяемые по
формуле (9);

, (15)
где

- вертикальная нагрузка, вычисленная с грузовой площади, прилегающей к рассматриваемой раме (связевой панели);

- коэффициент сейсмичности, принимаемой по
табл. 1;

- коэффициент динамичности, вычисленной для рассматриваемой рамы (связевой панели) по
формуле (4);
б) при покрытиях из асбестоцементных плит (каркасных и бескаркасных) или волнистых листов усиленного профиля - по
формуле (15);
в) при покрытиях из сборных железобетонных плит: на поперечную раму - по
формуле (14), на продольную раму (связевую панель) - по
формулам (14) и (16), и принимается для расчета большее значение

, подсчитанное по этим двум формулам,

, (16)
F и

- грузовые площади соответственно здания (отсека) и рассматриваемой рамы (связевой панели).
2.15. В колоннах, несущих крановую нагрузку, помимо моментов от сейсмических нагрузок, вычисленных в соответствии с
п. 2.13 "а" -
"д", в плоскости поперечной рамы каркаса должны учитываться моменты, вызванные местной сейсмической нагрузкой от собственного веса мостов кранов (рис. 5). При этом в расчетной схеме колонн верхняя опора принимается несмещаемой.
Рис. 5. Схемы к расчету колонны на местную
сейсмическую нагрузку от собственного веса моста крана
а - деталь разреза здания; б - динамическая расчетная
схема колонны; в - расчетная схема колонны;
1 - один мостовой кран
Сейсмическая сила от кранов, прикладываемая к колонне на уровне низа подкрановых балок, определяется по
формуле (1) как для системы с одной степенью свободы. При этом величина нагрузки

, сосредоточенной на уровне низа подкрановых балок, принимается равной максимальному давлению на колонну от собственного веса мостов кранов (с учетом коэффициента перегрузки и коэффициента сочетания, принимаемых в соответствии с указаниями
п. 1.11), располагаемых по одному в каждом пролете здания, а произведение коэффициентов

принимается равным 3.
При определении горизонтальных сейсмических нагрузок, действующих на колонны в продольном направлении, нагрузка от крана не учитывается.
2.16. При расчете каркаса здания в поперечном и продольном направлениях на особое сочетание нагрузок с учетом действия сейсмических нагрузок вертикальная нагрузка от кранов принимается от одного крана в каждом пролете и определяется при максимальном давлении на колеса крана (включая вес тележки и груза) с коэффициентами перегрузки и сочетания, принимаемыми в соответствии с указаниями
п. 1.11.
2.17. Фахверковые стойки поперечных или продольных стен, шарнирно-соединенные вверху с конструкциями покрытия и внизу с фундаментами, должны быть проверены расчетом на изгиб от действия местных сейсмических нагрузок от собственного веса навесных или самонесущих стен (рис. 6, б). При этом в стойках продольного фахверка, опирающихся также в уровне верха подкрановых балок, должны учитываться усилия, которые возникают в стойках при изгибе их в момент сейсмического воздействия (ввиду большего смещения каркаса в уровне верха колонн, чем в уровне подкрановых балок) (рис. 6, г).
Рис. 6. Схемы к расчету фахверковых стоек зданий
без мостовых кранов (а, б) и с мостовыми кранами (в, г)
а, в - детали разрезов зданий;
б, г - расчетные схемы фахверковых стоек;
1 - навесные участки стены; 2 - опорные консоли;
3 - фахверковая стойка
Величина местной сейсмической нагрузки от собственного веса навесных или самонесущих стен определяется по
формуле (1), при этом произведение коэффициентов

принимается как для каркаса соответствующего направления, но не меньше 2.
2.18. Деформация (перемещение) каркаса здания (отсека) на уровне верха колонн от действия расчетных горизонтальных сейсмических нагрузок определяется по формуле

, (17)
где S - расчетная горизонтальная сейсмическая нагрузка на каркас здания (отсека), вычисленная для соответствующего направления и приложенная статически на уровне верха колонн;
C - жесткость каркаса здания (отсека) на уровне верха колонн, определяемая по
формуле (9).
2.19. Места расположения вертикальных связей в продольном ряду колонн и узлы их сопряжения с колоннами принимаются, как для несейсмических районов (рис. 7). Связи верхнего яруса, примыкающие к верху колонн, для улучшения условий передачи сейсмических усилий с покрытия на колонны рекомендуется решать сжато-растянутыми.
Рис. 7. Примеры схем расположения вертикальных связей
между колоннами в зданиях с мостовыми кранами
при стальных (а) и железобетонных (б) колоннах и в зданиях
без мостовых кранов (в)
1 - вертикальная связь покрытий; 2 - вертикальная связь
между колоннами; 3 - дополнительные распорки
Связи и их крепления к колоннам, а также закладные детали и их заделка в железобетонных колоннах должны быть проверены расчетом на прочность (или устойчивость) от действия расчетных горизонтальных сейсмических нагрузок.
В тех случаях, когда горизонтальные сейсмические усилия, передающиеся с опорных стоек ферм покрытия на вертикальную связь по колоннам, превышают несущую способность сварных швов крепления опорных стоек ферм к колоннам, следует установить между колоннами дополнительные распорки с целью включения необходимого числа опорных стоек в передачу сейсмической нагрузки на связи по колоннам (
рис. 7, в).
2.20. Подкрановые и тормозные конструкции, запроектированные для несейсмических районов, при применении в сейсмических районах должны быть проверены расчетом:
а) на особое сочетание нагрузок с учетом расчетных горизонтальных сейсмических нагрузок, действующих в поперечном направлении здания (отсека); при этом величина сейсмической нагрузки определяется по
формуле (1) от каждого колеса одного крана; нагрузка Q в
формуле (1) принимается равной давлению колеса от веса моста крана (без учета веса тележки и груза) при его невыгоднейшем расположении в пролете подкрановой балки, а значение произведения коэффициента

принимается, как при расчете каркаса в поперечном направлении здания; в особом сочетании нагрузок вертикальная нагрузка от кранов определяется при максимальном давлении на колеса, включая вес тележки и груза; нагрузка Q в
формуле (1) и вертикальная нагрузка от кранов в особом сочетании нагрузок должны определяться с коэффициентами перегрузки и коэффициентами сочетаний, принимаемыми в соответствии с указаниями
п. 1.11;
б) на усилия, возникающие в подкрановых балках при передаче продольных расчетных горизонтальных сейсмических нагрузок на связевую панель рамы.
На нагрузки, указанные в
подпункте "а", рассчитываются верхние пояса подкрановых балок, элементы тормозных конструкций и их креплений к колоннам.
На усилия, указанные в
подпункте "б", рассчитываются элементы крепления подкрановых балок к колоннам в местах установки вертикальных связей по колоннам и болты, соединяющие подкрановые балки между собой.
2.21. В целях обеспечения пространственной жесткости каркаса, а также устойчивости покрытия в целом и его элементов в отдельности необходимо предусматривать систему связей между несущими конструкциями покрытия (фермами) в плоскости их верхних и нижних поясов и в вертикальных плоскостях.
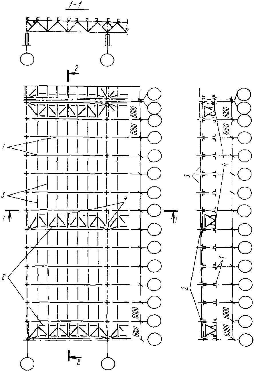
2.22. В покрытиях из стального профилированного настила, асбестоцементных плит (каркасных и бескаркасных) или волнистых листов (по стальным прогонам и фермам) система связей в плоскости верхних поясов стропильных ферм состоит из поперечных связевых ферм и распорок, роль которых выполняют прогоны. Связевые поперечные фермы устанавливаются в двух крайних (у торцов и антисейсмических швов здания) и, если требуется по расчету (см.
п. 2.27), в промежуточных шагах стропильных ферм. Промежуточные связевые фермы должны располагаться по длине здания (отсека) равномерно (рис. 8).
Рис. 8. Пример расположения связей по верхним поясам
стропильных ферм покрытия с прогонным решением кровли
1 - стропильные фермы; 2 - поперечные связевые фермы;
3 - прогоны; 4 - вертикальные связи между фермами
Система связей в плоскости нижних поясов стропильных ферм состоит из
(рис. 9):
а) поперечных связевых ферм, устанавливаемых в местах расположения поперечных связевых ферм по верхним поясам стропильных ферм;
б) продольных связевых ферм, которые в зданиях (отсеках) с числом пролетов до трех включительно устанавливаются вдоль крайних рядов колонн, а в зданиях (отсеках) с числом пролетов более трех также и вдоль средних рядов колонн с таким расчетом, чтобы расстояние между смежными связевыми фермами не превышало двух пролетов (при нечетном числе пролетов это расстояние в отдельных случаях разрешается увеличивать до трех пролетов);
в) распорок и растяжек.
Рис. 9. Пример расположения связей по нижним поясам
стропильных ферм
1 - стропильные фермы; 2 - поперечные связевые фермы;
3 - продольные связевые фермы; 4 - растяжки; 5 - распорки;
6 - дополнительные раскосы;
7 - вертикальные связи между фермами
Вертикальные связи между стропильными фермами устанавливаются на опорах и в пролете ферм. По длине здания (отсека) связи располагаются в шагах ферм, где устанавливаются поперечные связевые фермы по верхним поясам стропильных конструкций
(рис. 8).
2.23. В покрытиях из стального профилированного настила зданий с каркасом из стальных рам коробчатого сечения типа "Плауэн" должно быть предусмотрено устройство системы горизонтальных связей в уровне верха коробчатого ригеля рам, состоящей из поперечных связевых ферм и распорок, роль которых выполняют прогоны; поперечные связевые фермы располагаются в двух крайних (у торцов и антисейсмических швов зданий) и, если требуется по расчету, в промежуточных шагах рам; промежуточные связевые фермы устанавливаются, как правило, при длине здания (отсека) более 96 м через каждые 48 - 66 м (рис. 10).
Рис. 10. Пример решения одноэтажного здания
из стальных конструкций типа "Плауэн"
1 - рамы; 2 - поперечные связевые фермы; 3 - прогоны;
4 - вертикальные связи между рамами
2.24. Крепление профилированного стального настила к прогонам покрытия рекомендуется выполнять самонарезающими болтами через волну, а торцы настила в каждой волне.
2.25. В покрытиях из сборных железобетонных плит по стальным фермам должны быть предусмотрены:
а) мероприятия по замоноличиванию плит;
б) в бесфонарных покрытиях при расчетной сейсмичности 9 баллов и в покрытиях с фонарями при расчетной сейсмичности 8 и 9 баллов - соединение полок плит между собой в поперечном направлении при помощи сварки закладных элементов;
в) крепление всех ребер плит, примыкающих к продольным рядам колонн, сварными швами, рассчитанными на продольные горизонтальные сейсмические нагрузки, передающиеся с плит на опоры несущих конструкций покрытия;
г) устройство системы связей.
Мероприятия, предусмотренные
подпунктами "а",
"б" и
"в", выполняются в соответствии с указаниями
пп. 2.19,
2.20 "а",
"б",
"г",
"д" и
2.21 "Руководства по проектированию производственных зданий с каркасом из железобетонных конструкций для сейсмических районов" (Стройиздат, 1972). При этом продольные ребра плит, опирающиеся на опорные стойки ферм и в середине пролета подстропильных ферм, во избежание работы стропильных ферм как неразрезной конструкции необходимо крепить к конструкциям покрытия с помощью подвижных планок (рис. 11). Болтовые соединения подвижных планок с опорными стойками и подстропильными фермами должны быть рассчитаны на продольные горизонтальные сейсмические усилия, передающиеся с плит на опоры несущих конструкций покрытия.
Рис. 11. Узлы опирания железобетонных плит на опорную стойку
стропильных ферм (а) и в середине пролета
подстропильной фермы (б)
1 - стропильные фермы; 2 - подстропильная ферма;
3 - плиты покрытия; 4 - подвижные планки;
5 - овальные отверстия
Связи по верхним поясам стропильных ферм состоят из распорок, которые устанавливаются по длине здания (отсека) между опорными стойками и в пролете ферм. Расположение и число распорок в пролете ферм определяются требованиями для несейсмических районов.
Система связей в плоскости нижних поясов стропильных ферм состоит из:
а) поперечных связевых ферм, располагаемых у торцов и поперечных антисейсмических швов здания (отсека); при длине здания (отсека) более 96 м назначаются также промежуточные связевые фермы через каждые 42 - 60 м;
б) продольных связевых ферм, которые в зданиях (отсеках) с числом пролетов до трех включительно устанавливаются вдоль крайних рядов колонн, а в зданиях (отсеках) с числом пролетов более трех также и вдоль средних рядов колонн с таким расчетом, чтобы расстояние между смежными связевыми фермами не превышало двух пролетов;
в) распорок и растяжек.
Вертикальные связи устанавливаются между стропильными фермами на опорах (между опорными стойками) и в пролете. По длине здания (отсека) связи располагаются в шагах ферм, где устанавливаются поперечные связевые фермы, по нижним поясам стропильных ферм; при этом связи между опорными стойками стропильных ферм могут располагаться и в промежуточных шагах ферм, если по расчету требуется установка большего числа связей.
2.26. Связи покрытий должны быть рассчитаны на восприятие приходящихся на них расчетных горизонтальных сейсмических нагрузок, действующих в поперечном и продольном направлениях здания (отсека). При определении величины сейсмической нагрузки на связи значение произведения коэффициентов

принимается как для каркаса соответствующего направления.
2.27. Поперечные связевые фермы в плоскости верхних поясов стропильных конструкций покрытия должны быть рассчитаны на продольные сейсмические нагрузки, которые принимаются действующими:
а) при бесфонарных пролетах покрытия (
рис. 12, а):
в узлах связевых ферм

- от вертикальной нагрузки, расположенной в пределах пролета и длины здания (отсека) и состоящей из собственного веса кровли и ее несущих конструкций, снега, и 50% собственного веса стропильных конструкций, а также веса промпроводок и другого оборудования, расположенного в покрытии и закрепленного к верхним поясам стропильных конструкций; сейсмическая нагрузка

распределяется между всеми связевыми фермами равномерно;
в узлах связевой фермы, расположенной в торце здания

, - от собственного веса парапета и нижележащего участка стены с грузовой площадью, определяемой в зависимости от очертания верхнего пояса стропильной конструкции и расположения узлов крепления фахверковых стоек к покрытию;
б) при пролетах покрытия с фонарями (
рис. 12, б):
в узлах связевых ферм, примыкающих к местам крепления вертикальных связей по фонарю к стропильной конструкции

, - от собственного веса покрытия и снега на всем фонаре и от 40% собственного веса фонарных панелей (с остеклением, механизмами открывания и т.д.);
в узлах связевых ферм, расположенных в местах опирания фонарных панелей

, - от 60% собственного веса фонарных панелей (с остеклением, механизмами открывания и т.д.) и от собственного веса кровли, ее несущих конструкций и снега у фонаря вдоль здания на участке шириной 1,5 м;
в узлах связевых ферм

- от собственного веса кровли, ее несущих конструкций и снега, расположенных на внефонарной зоне пролета;
в узлах связевых ферм

- от 50% собственного веса стропильных конструкций, а также от веса промпроводок и другого оборудования, расположенного в покрытии и закрепленного к верхним поясам стропильных конструкций;
в узлах связевой фермы, расположенной в торце здания или у антисейсмического шва

, - от собственного веса кровли, ее несущих конструкций и снега с участка перед фонарем;
в узлах связевой фермы, расположенной в торце здания

, - от собственного веса парапета и нижележащего участка стены с грузовой площадью, определяемой в зависимости от очертания верхнего пояса стропильной конструкции и расположения узлов крепления фахверковых стоек к покрытию.
Рис. 12. Схемы распределения продольных сейсмических
нагрузок между узлами поперечных связевых ферм в плоскости
верхних поясов стропильных ферм бесфонарного пролета
покрытия (а) и пролета с фонарем (б)
1 - торец здания; 2 - антисейсмический шов;

,

и

- грузовые площади, соответствующие
сейсмическим нагрузкам

,

и

В пролетах покрытия с фонарями сейсмические нагрузки

распределяются между всеми связевыми фермами равномерно.
Минимально необходимое число связевых ферм в бесфонарном пролете покрытия здания (отсека) определяется по формуле

, (18)
где

- усилие в поясе связевой фермы от действия сейсмических нагрузок

, вычисленных для всего пролета покрытия здания (отсека);

- усилие в поясе связевой фермы от действия сейсмических нагрузок

;
[N] - несущая способность поясов принятых связевых ферм.
Минимально необходимое число связевых ферм в пролете покрытия здания (отсека) с фонарем определяется по формуле

, (19)
где

;

;

и

- усилия в поясе связевой фермы от действия сейсмических нагрузок соответственно

;

;

и

, вычисленных для всего пролета покрытия здания (отсека);

и

- усилия в поясе связевой фермы от действия сейсмических нагрузок соответственно

и

;
2.28. Прогоны покрытия, выполняющие роль распорок в системе связей по верхним поясам стропильных конструкций, и их узлы опирания должны быть проверены расчетом на усилия, возникающие в них при передаче расчетных сейсмических нагрузок от веса кровли и снега на узлы поперечных связевых ферм.
2.29. Поперечные связевые фермы в плоскости нижних поясов ферм должны быть рассчитаны на продольные сейсмические нагрузки:
а) от 50% собственного веса стропильных конструкций, от собственного веса путей подвесных кран-балок и подвесных потолков, а также промпроводок и другого оборудования, расположенного в покрытии и закрепленного к нижним поясам стропильных конструкций; нагрузка распределяется между связевыми фермами равномерно и прикладывается в узлах связей;
б) от собственного веса торцевой стены на участке в пределах нижней половины высоты стропильной фермы и верхней половины высоты колонн (в случае опирания стоек торцевого фахверка в уровне нижнего пояса стропильных ферм); нагрузка прикладывается в узлах опирания стоек торцевого фахверка на связевую ферму.
Примечание. При наличии в торце здания ветровой фермы (балки) или какой-либо другой конструкции, являющейся дополнительной опорой для стоек торцевого фахверка, грузовая площадь стены должна быть соответствующим образом скорректирована.
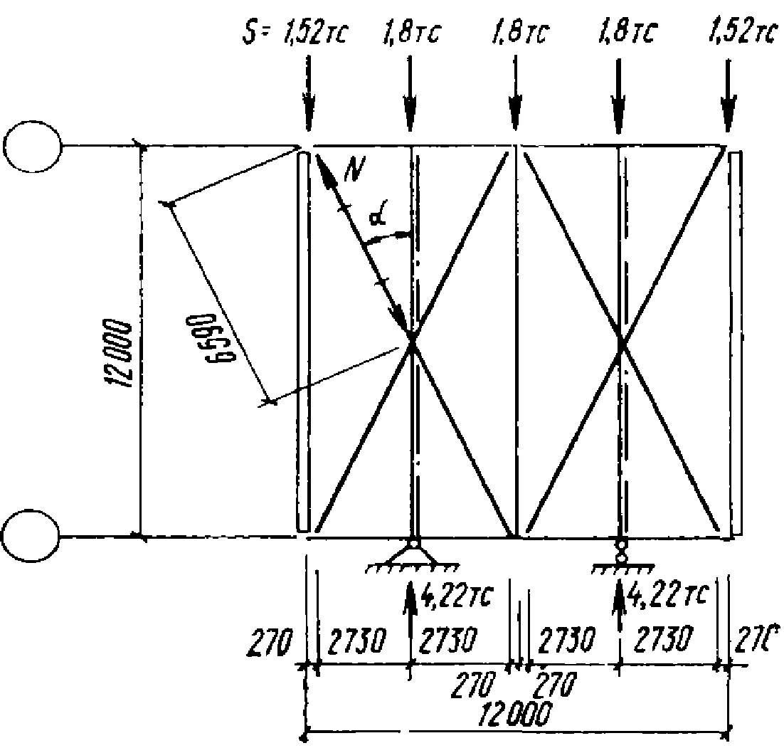
Если усилия в опорном раскосе поперечной связевой фермы при расчете на сейсмическую нагрузку превышают 15 тс, рекомендуется устанавливать дополнительный раскос
(рис. 9), а усилие в опорном раскосе связевой фермы при этом принимать с коэффициентом 0,5.
2.30. Продольные связевые фермы в плоскости нижних поясов ферм должны быть рассчитаны на поперечные горизонтальные сейсмические нагрузки в следующих случаях:
а) при опирании на связи фахверковых стоек продольных стен; сосредоточенная сейсмическая нагрузка на узел связи

определяется от веса стойки и стены с грузовой площади в пределах нижней половины высоты стропильной фермы на опоре и верхней половины высоты колонн; усилия в элементах связей от нагрузки

определяются из расчета однопролетной фермы
(рис. 13);
б) при решении покрытия с подстропильными фермами; на связевые фермы действуют сейсмические нагрузки

, сосредоточенные в узлах связей, примыкающих к нижним поясам стропильных ферм, которые опираются в середине пролета подстропильных ферм; величина

определяется от нагрузок, расположенных в пределах грузовой площади вышеуказанных стропильных ферм, и распределяется равномерно между связями; усилия в элементах связей от нагрузки

определяются из расчета однопролетной фермы
(рис. 14);
в) при наличии в здании (отсеке) мостовых кранов; часть сейсмической нагрузки от собственного веса мостовых кранов через поперечную раму каркаса здания (отсека) передается на продольные связевые фермы и равномерно распределяется между ними; расчетная схема связи принимается в виде четырехпролетной неразрезной фермы на упругоподатливых опорах (
рис. 15, б), загруженной на средней опоре нагрузкой

, определяемой из условия

, (20)
где

- реакция неподвижной опоры, расположенной в уровне ригеля свободной поперечной рамы, от загружения горизонтальными сейсмическими нагрузками от собственного веса мостов кранов, располагаемых в створе рамы по одному в каждом пролете (
рис. 15, а);

- число продольных связевых ферм в покрытии здания (отсека).
Рис. 13. Расчетная схема продольной связи по нижним поясам
ферм при учете сейсмической нагрузки от веса стен
Рис. 14. Схемы к расчету продольных связей по нижним поясам
стропильных ферм в покрытиях с подстропильными фермами
а - схема расположения в плане несущих конструкций
и связей покрытия; б - расчетная схема связи;
1 - стропильные фермы; 2 - подстропильные фермы; 3 - связь;
4 - грузовая площадь стропильных ферм
Рис. 15. Схемы к расчету продольных связей по нижним поясам
стропильных ферм на сейсмическую нагрузку
от мостовых кранов
а - расчетная схема поперечной рамы;
б - расчетная схема связей
Реакции упругоподатливых равножестких опор в расчетной равнопролетной схеме связи от нагрузки

(
рис. 15, б) могут быть определены по формулам:

; (21)

; (22)

, (23)
где

; (24)

; (25)

- жесткость поперечной рамы каркаса здания (отсека) на уровне верха колонн, определяемая по
формуле (9);
l - расстояние между упругоподатливыми опорами (шаг поперечных рам каркаса);
I - момент инерции поясов связевой фермы относительно ее центра тяжести (без учета раскосов связи);
E - модуль упругости стали.
Расчетные значения усилий в элементах продольных связей определяются суммированием усилий, вычисленных в соответствии с указаниями
подпунктов "а" -
"в".
При расчете продольных связей покрытий из профилированного стального настила или сборных железобетонных плит усилия от нагрузок, указанных в
подпунктах "б" и
"в", допускается не учитывать.
2.31. В покрытиях из стального профилированного настила по фермам связи между опорными стойками ферм (вертикальные связевые фермы и распорки) должны быть рассчитаны на восприятие приходящихся на них расчетных горизонтальных сейсмических нагрузок
(рис. 16):
а) в уровне верхнего пояса вертикальных связей

- со связевых ферм, расположенных в плоскости верхних поясов стропильных ферм;
в) в уровне нижнего пояса вертикальных связей

- со связевой фермы по нижним поясам стропильных ферм, расположенной у торца здания, и стойки торцевого фахверка, устанавливаемой у колонны (от веса торцевой стены).
Рис. 16. Схемы расположения вертикальных связей и распорок
по продольным рядам колонн зданий с покрытиями
из стального профилированного настила
а - при железобетонных колоннах и мостовых кранах;
б - при стальных колоннах и мостовых кранах;
в - без мостовых кранов и со связями между колоннами;
г - без мостовых кранов и связей между колоннами;
1 - поперечная связевая ферма; 2 - вертикальная связь;
3 - прогоны; 4 - распорки; 5 - антисейсмический шов
Расчетные схемы вертикальных связей и распорки приведены на
рис. 17. При этом значения нагрузок

,

и N, непосредственно воздействующих на связи и распорки, определяются по формулам табл. 2 в зависимости от типа продольного ряда колонн по
рис. 16.
Таблица 2
Тип продольного ряда колонн по рис. 16 | Вид связи | Здание с антисейсмическим швом | Здание без антисейсмического шва |
а) г) | Вертикальные связи |  ;  |  ;  |
Распорки | | |
Вертикальные связи* |  ;  |  ;  |
Распорки* | при шаге ферм 6 м при шаге ферм 12 м | при шаге ферм 6 м при шаге ферм 12 м |
б) | Вертикальные связи |  ;  |
Распорки | N = 0 |
Вертикальные связи* |  ;  |
Распорки* | |
в) | Вертикальные связи | |
Распорки | |
Примечания: 1. n - число колонн в ряду.
2. * Определение нагрузок для случаев, когда в горизонтальных связях по нижнему поясу стропильных ферм необходимо установить дополнительные раскосы (см.
рис. 9).
Рис. 17. Расчетные схемы вертикальных связей между опорными
стойками стропильных ферм с шагом 6 м (а) и 12 м (б)
и распорок (в) покрытий из стального профилированного
настила
2.32. В покрытиях из асбестоцементных волнистых листов опорные узлы стропильных треугольных ферм и распорки между ними должны быть рассчитаны на продольные горизонтальные сейсмические усилия, передающиеся с покрытия на колонны или вертикальные связи колонн (рис. 18).
Рис. 18. Пример расположения связей по верхним (а)
и нижним (б) поясам ферм покрытия из асбестоцементных
листов усиленного профиля
1 - поперечная связевая ферма; 2 - продольные связевые
фермы; 3 - прогоны; 4 - распорки; 5 - вертикальная связь
2.33. В покрытиях из сборных железобетонных плит связи между опорными стойками стропильных ферм (вертикальные связи и распорки) должны быть рассчитаны на восприятие приходящихся на них продольных горизонтальных сейсмических нагрузок. При этом принимается, что продольная сейсмическая нагрузка при передаче с плит покрытия на продольные ряды колонн распределяется равномерно сначала на все места приварки плит к опорным стойкам ферм, а затем через распорки в плоскости верхних поясов ферм - между вертикальными связями. Распределение сейсмической нагрузки ниже вертикальных связей между фермами зависит от типа здания и выбранной системы связей между колоннами.
2.34. Стропильные фермы покрытия должны быть проверены расчетом на особое сочетание нагрузок: при вертикальной сейсмической нагрузке (см.
пп. 2.5 и
2.38) и при горизонтальной сейсмической нагрузке, действующей в поперечном и продольном направлениях здания (отсека).
На воздействие горизонтальной сейсмической нагрузки в поперечном направлении здания (отсека) проверяются нижние пояса стропильных ферм - на усилия (нормальные силы), действующие в поясе фермы, как в ригеле рамы.
На воздействие горизонтальной сейсмической нагрузки в продольном направлении здания (отсека) проверяются нижние пояса ферм, входящих в состав поперечных горизонтальных связевых ферм, расположенных у торцов или антисейсмических швов здания. Усилия в поясах ферм определяются от совместного воздействия вертикальной нагрузки и горизонтальной сейсмической нагрузки (см.
п. 2.29), приложенным в узлах связевой фермы, поясами которых являются нижние пояса стропильных ферм.
При этом рассматриваются две комбинации нагрузок:
а) вертикальная нагрузка от собственного веса покрытия и снега и горизонтальная сейсмическая нагрузка, направление которой вызывает в нижнем поясе фермы растяжение;
б) вертикальная нагрузка от собственного веса покрытия без учета снега и горизонтальная сейсмическая нагрузка, вызывающая в нижнем поясе сжатие.
При расчете стропильных ферм покрытий с фонарями следует также учитывать вертикальные нагрузки (реакции) от вертикальных связей между фонарными фермами (см.
п. 2.40).
2.35. При наличии в покрытии подстропильных ферм последние одновременно выполняют роль вертикальных связей и распорок.
Подстропильные фермы должны быть проверены расчетом на особое сочетание нагрузок: при вертикальной сейсмической нагрузке (см.
пп. 2.5 и
2.38) и при горизонтальной сейсмической нагрузке (см. пп. 2.36 и
2.37).
2.36. В покрытиях из стального профилированного настила при горизонтальном сейсмическом воздействии в продольном направлении здания (отсека) на подстропильные фермы передаются
(рис. 19):
в уровне верхнего пояса ферм - горизонтальные сейсмические нагрузки

со связей по верхним поясам стропильных ферм и с прогонов, расположенных непосредственно над подстропильными фермами;
в уровне нижнего пояса ферм - горизонтальные сейсмические нагрузки

со связей по нижним поясам стропильных ферм и стойки фахверка, расположенной у колонны (от собственного веса участка торцевой стены);
в середине пролета ферм - вертикальная нагрузка P.
Рис. 19. Расположение расчетных схем подстропильных ферм
по длине зданий (отсеков) с покрытиями из стального
профилированного настила
а - при железобетонных колоннах и мостовых кранах;
б - при стальных колоннах и мостовых кранах;
в - без мостовых кранов и со связями между колоннами;
г - без мостовых кранов и связей между колоннами;
1 - поперечная связевая ферма;
2 - антисейсмический шов или торец здания
Подстропильные фермы рассчитываются по схеме 1 и 2 (рис. 20) в зависимости от места расположения ферм в продольном ряду колонн и типа здания
(рис. 19). При этом значения нагрузок

и

, непосредственно воздействующих на подстропильную ферму, определяются по формулам
табл. 3.
Рис. 20. Расчетные схемы подстропильных ферм покрытий
из стального профилированного настила
Тип продольного ряда колонн по рис. 19 | Схема 1 | Схема 2 |
а) г) | Здания с антисейсмическим швом |  ;  ;  ; |  ; |
Здания без антисейсмического шва |  ;  ;  ; |  ; |
б) |  ;  ;  ; | - |
в) |  ;  ; |  ; |
Примечания: 1. n - число колонн в ряду.
2. * Определение нагрузок для случаев, когда в горизонтальных связях по нижнему поясу стропильных ферм необходимо установить дополнительные раскосы (см.
рис. 9).
3. Значения расчетных горизонтальных нагрузок

даны в предположении сжато-растянутых связей по колоннам.
При горизонтальном сейсмическом воздействии в поперечном направлении здания (отсека) нижние пояса подстропильных ферм, входящих в состав продольных связевых ферм, должны быть проверены на усилия, возникающие в поясе от совместного действия вертикальной нагрузки и горизонтальной сейсмической нагрузки, определяемой в соответствии с
п. 2.30 "а".
2.37. В покрытиях из сборных железобетонных плит при горизонтальном сейсмическом воздействии в продольном направлении здания (отсека) на подстропильные фермы передаются сейсмические нагрузки в местах опирания на них продольных ребер плит (на опорных стойках и в середине пролета ферм). При этом сейсмическая нагрузка, действующая на все фермы в продольном ряду здания (отсека), распределяется равномерно между всеми точками опирания плит.
Дополнительные расчетные усилия в элементах подстропильной фермы от действия горизонтальной сейсмической нагрузки в уровне верхнего пояса определяются в зависимости от типа здания и места расположения фермы в продольном ряду и вертикальных связей между колоннами.
При горизонтальном сейсмическом воздействии в поперечном направлении здания (отсека) нижние пояса подстропильных ферм, входящих в состав продольных связевых ферм, должны быть проверены на усилия, возникающие в поясе от совместного действия вертикальной нагрузки и горизонтальной сейсмической нагрузки, определяемой в соответствии с
п. 2.30 "а".
2.38. Расчет фермы покрытия на особое сочетание нагрузок с учетом вертикальной сейсмической нагрузки рекомендуется начинать с определения периода первого тона собственных колебаний фермы. Период первого тона собственных колебаний однопролетной шарнирно-опертой фермы в секундах может быть определен по формуле

, (26)
где

- прогиб фермы в середине пролета от расчетной нагрузки при особом сочетании, см;

- усилия в элементах фермы от расчетных нагрузок при особом сочетании;

- усилия в элементах фермы от единичной нагрузки, приложенной в середине пролета фермы;
l - длина элементов фермы;
F - площадь сечений элементов фермы;
E - модуль упругости стали.
Если период основного тона T <= 0,5 с, то при расчете фермы учитывается лишь только первая форма колебаний. В этом случае коэффициенты

определяются по
формуле (3) из условия, что форма деформации оси фермы близка к форме параболической арки
(рис. 21), выраженной уравнением

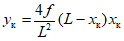
, (27)
где

- ордината параболической арки на расстоянии

от начала координат;
f - величина ординаты параболической арки в середине пролета;
L - пролет параболической арки, равный пролету фермы;

- расстояние от начала координат до точки k, в которой определяется величина ординаты параболической арки.
Рис. 21. Форма параболической арки
Если период основного тона T > 0,5 с, то расчет фермы должен производиться с учетом трех высших форм колебаний.
При определении периодов и форм собственных колебаний ферм покрытия массы, сосредоточенные в узлах верхнего пояса ферм, следует принимать исходя из суммарной равномерно распределенной нагрузки, включающей собственный вес покрытия, снег (без учета снеговых мешков), а также подвесной транспорт (влияние которого приводится к эквивалентной равномерно распределенной нагрузке); при этом коэффициенты перегрузки и коэффициенты сочетаний, необходимые для определения величин масс, принимаются в соответствии с указаниями
п. 1.11.
Вертикальные сейсмические нагрузки на фермы, соответствующие различным комбинациям нагрузок, допускается определять при постоянных значениях

и

, вычисленных из условий, приведенных в данном пункте.
2.39. Конструкцию соединения стропильных несущих конструкций покрытия (балок, ферм) с подстропильными, а также стропильных и подстропильных конструкций с колоннами каркаса здания с расчетной сейсмичностью 7, 8 и 9 баллов допускается принимать как для несейсмических районов.
Узлы соединения несущих конструкций покрытия с колоннами должны быть рассчитаны на срез от усилий, возникающих в этих местах в соответствии с величинами горизонтальных сейсмических нагрузок, действующих на рассматриваемое соединение.
2.40. Фонарь по длине здания (отсека) должен не доходить до торцов здания и антисейсмических швов на один шаг стропильных конструкций для создания замкнутого диска покрытия.
Устойчивость поперечных несущих конструкций фонаря (фонарных ферм) в продольном направлении здания должна обеспечиваться постановкой вертикальных и горизонтальных связей и распорок (рис. 22).
Рис. 22. Схема расположения связей по фонарю при шаге
стропильных ферм 6 м
1 - торец здания или антисейсмический шов;
2 - фонарные фермы; 3 - вертикальная связь;
4 - горизонтальная связь; 5 - прогоны
Вертикальные связи устанавливаются в двух крайних и, в случае необходимости, промежуточных шагах фонарных ферм. Число промежуточных вертикальных связей назначается в зависимости от величины продольной горизонтальной сейсмической нагрузки на фонарь и несущей способности связей. Горизонтальные связи устанавливаются в плоскости верхнего пояса фонарных ферм над вертикальными связями. При железобетонных плитах покрытия горизонтальные связи необходимы только по условиям монтажа стальных конструкций фонаря.
Функции распорок в уровне верхних поясов фонарных ферм выполняют прогоны под металлический профилированный настил или продольные ребра железобетонных плит покрытия.
На подфонарных участках покрытия в уровне верхнего пояса ферм для обеспечения устойчивости должны устанавливаться распорки и растяжки посередине пролета.
Конструкции фонаря должны быть рассчитаны на особое сочетание нагрузок с учетом сейсмических нагрузок, действующих вдоль или поперек фонаря. На продольные нагрузки рассчитываются вертикальные и горизонтальные связи, на поперечные - фонарные фермы. Сейсмические нагрузки, действующие на фонарь, определяются по
формуле (1) при значениях

и

, принятых из расчета каркаса в соответствующем направлении.
Расчетные схемы горизонтальных связей по фонарю приведены на
рис. 23, а, б. Сейсмические нагрузки, действующие на горизонтальные связи, определяются:

и

- от собственного веса кровли фонаря, снега и от 50% собственного веса фонарных ферм;

и

вычисляются от нагрузок с прилегающих грузовых площадей и равномерно распределяются между связями по длине фонаря;

- от 40% собственного веса фонарных панелей (с остеклением, механизмами открывания и т.д.);

равномерно распределяется между связями по длине фонаря;

и

- от 50% собственного веса торца фонаря;

и

вычисляются от нагрузки с прилегающих грузовых площадей и передаются только на связи, расположенные у торцов фонаря.
Рис. 23. Расчетные схемы горизонтальных связевых панелей
фонаря шириной 6 м (а) и 12 м (б)
Расчетная схема вертикальной связи между фонарными фермами приведена на
рис. 24. Сейсмическая нагрузка S, действующая на вертикальную связь, определяется суммированием нагрузок

, прикладываемых в узлах горизонтально-связевой панели фонаря. Вертикальные реакции связей, определяемые по формуле (28), должны быть учтены в расчете стропильных ферм на особое сочетание нагрузок при действии на покрытие продольных горизонтальных сейсмических нагрузок.

, (28)
где S - сейсмическая нагрузка, действующая на вертикальную связь между фонарными фермами;

- высота фонарной фермы;
l - шаг фонарных ферм.
Рис. 24. Расчетная схема вертикальной связи
между фонарными фермами
КАРКАС МНОГОЭТАЖНОГО ЗДАНИЯ
2.41. Стальные каркасы многоэтажных производственных зданий массового применения должны проектироваться для сейсмических районов в случаях, когда не представляется возможным использование типовых сборных железобетонных конструкций многоэтажных зданий для этих условий или когда применение стальных каркасов технико-экономически обосновано.
2.42. Выбор конструктивной схемы стального каркаса должен производиться на основе технико-экономического анализа в зависимости от объемно-планировочного решения здания, обусловленного технологией производства и размещением оборудования, расчетной сейсмичностью здания и других факторов.
При рамной конструктивной схеме несущий каркас образуется поперечными и продольными рамами с жесткими сопряжениями ригелей с колоннами (рис. 25). В этом случае колонны, ригели и жесткие узлы их сопряжений работают на горизонтальные сейсмические и вертикальные нагрузки. Допускается часть сопряжений ригелей с колоннами выполнять шарнирными.
Рис. 25. Узел жесткого сопряжения ригелей с колонной
Каркасы зданий, протяженных в плане, целесообразно решать по рамно-связевой схеме: в поперечном направлении предусматривать рамы, а в продольном направлении устанавливать вертикальные связи (или диафрагмы жесткости) на всю высоту каркаса, располагая в средней зоне здания (отсека) симметрично главных осей здания (отсека). В этом случае вся продольная сейсмическая нагрузка воспринимается связями (или диафрагмами жесткости).
2.43. Перекрытия, как правило, должны проектироваться из сборных железобетонных плит и образовывать жесткий диск, что достигается тщательной приваркой плит к ригелям и заполнением швов между плитами бетоном марки не ниже М200 на мелком гравии или щебне с применением вибрирования при укладке.
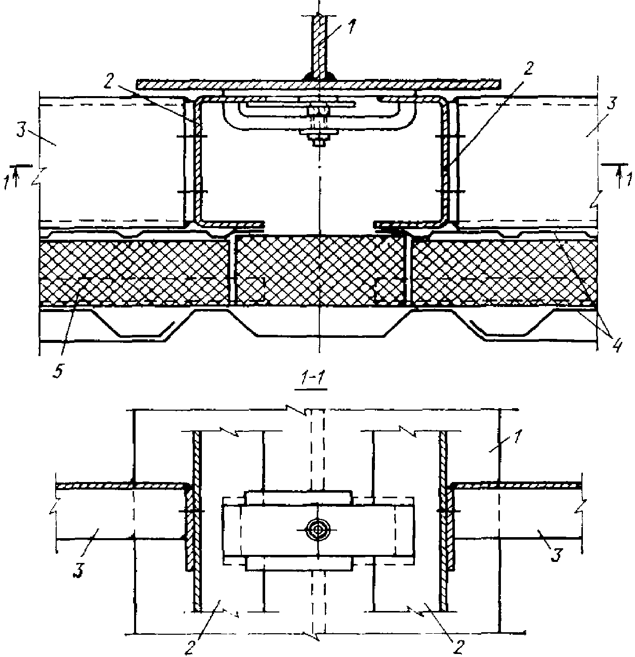
В перекрытиях с опиранием плит на полки ригелей в пределах их высоты пространство, образующееся между ригелями и торцами плит, должно быть также заполнено бетоном на высоту плит с предварительной укладкой вдоль ригелей сварных сеток, препятствующих выкалыванию бетона
(рис. 26). Сетки изготовляются из холоднотянутой проволоки диаметром 3 мм с шагом продольных стержней 100 мм, поперечных 250 мм. При проектировании перекрытий данного типа необходимо предусмотреть зазоры между торцами плит и верхними поясами ригелей шириной не менее 50 мм и расположение верха плит выше верха ригелей не менее чем на 30 мм
(рис. 27, а).
Рис. 26. Планы перекрытий (покрытий) из сборных
железобетонных плит с опиранием их на полки ригелей (а)
и по верху ригелей (б)
1 - сварные швы приварки плит; 2 - бетон М200;
3 - сварная сетка; 4 - полка ригеля
Рис. 27. Узлы опирания железобетонных плит перекрытия
на стальные ригели
а - на полки ригелей; б - на верхний пояс ригеля;
1 - ригель; 2 - плита шириной "a"; 3 - полка ригеля
Межколонные плиты перекрытий должны привариваться к ригелям в четырех углах; следующие за ними - или в трех углах (при опирании плит по верху ригеля), или в двух углах (при опирании плит на полки ригеля); средняя плита в каждой ячейке может укладываться без приварки (см.
рис. 26).
В зданиях с расчетной сейсмичностью 9 баллов сборные плиты перекрытий должны иметь пазы на продольных ребрах для образования бетонных шпонок, а торцы смежных продольных ребер плит, укладываемых поверх ригелей, должны соединяться между собой у антисейсмического шва или торцевой стены при помощи стальных накладок, привариваемых к закладным элементам плит.
При необходимости устройства в перекрытиях проемов во избежание нарушения жесткости диска перекрытия число проемов должно назначаться минимальным, а размеры проемов не должны превышать размеров в свету между поперечными и между продольными ригелями (или межколонными плитами).
Мероприятия по созданию жесткости перекрытий в ячейках, в которых устраиваются проемы, должны предусматриваться в проектах зданий.
Балочная клетка перекрытия, на которую опирается оборудование, должна быть рассчитана также на действие горизонтальной сейсмической нагрузки от веса оборудования, приложенной в центре тяжести оборудования. При этом значение произведения коэффициентов

принимается как для каркаса в уровне рассматриваемого перекрытия, но не менее 2.
Покрытия многоэтажных зданий с укрупненной сеткой колонн в верхнем этаже проектируются с соблюдением требований, предъявляемых к покрытиям одноэтажных зданий (см.
пп. 2.21 -
2.40).
2.44. Колонны для рамных каркасов рекомендуется проектировать замкнутого коробчатого сечения равноустойчивого относительно главных осей, для рамно-связевых каркасов - двутаврового сечения.
Стыки колонн каркасов рекомендуется относить от узлов рам и устраивать в зоне действия наименьших изгибающих моментов.
В колоннах рамных каркасов на уровнях поясов ригелей должны быть установлены диафрагмы, толщина которых назначается из условия

, (29)
где

- толщина пояса ригеля.
Примеры решений узлов опирания колонн рамных каркасов на фундаменты приведены на рис. 28 и
29.
Рис. 28. Узел жесткого безбашмачного опирания колонны
многоэтажного здания на фундамент
Рис. 29. Узел опирания колонны с развитым башмаком
на фундамент многоэтажного здания
2.45. Ригели каркасов рекомендуется выполнять из прокатных и сварных одностенчатых бистальных двутавров.
Опорные сечения ригелей рамных каркасов следует развивать до таких размеров, чтобы максимальные напряжения в области сварных соединений не превышали расчетных сопротивлений. Развитие опорных сечений ригелей рекомендуется осуществлять за счет увеличения ширины полок
(рис. 25). В месте перехода от основного сечения ригеля к его развитому опорному сечению целесообразно создавать условие для возникновения пластического шарнира, с появлением которого рост усилий в опорной части ригеля прекратится. Таким образом, пластический шарнир будет выполнять роль предохранителя опорного сварного соединения ригеля с колонной от хрупких разрушений. Расчет рамных каркасов с учетом развития пластических деформаций в ригелях следует выполнять в соответствии с "
Рекомендациями по расчету металлических рамных каркасов на сейсмические воздействия с учетом образования пластических шарниров" (Стройиздат, 1974), при этом должны соблюдаться требования п. 4.15 главы СНиП II-В.3-72 "Стальные конструкции. Нормы проектирования".
2.46. В рамных каркасах при расчете сварных узловых соединений двутавровых ригелей с колоннами замкнутого коробчатого сечения должны соблюдаться следующие требования:
а) пояса ригелей и сварные соединения ригелей с колоннами должны рассчитываться на усилие

, (30)
где

- изгибающий момент в ригеле у грани колонны;
z - расстояние между центрами тяжести поясов ригеля;
N - нормальная сила в ригеле;
б) накладки, прикрепляющие стенку ригеля к колонне, и сварные швы крепления их к ригелю должны рассчитываться на поперечную силу Q и изгибающий момент M = Qc, где c - ширина накладки;
в) диафрагмы, устанавливаемые в колоннах коробчатого сечения, и их соединения должны рассчитываться на усилие

, (31)

- коэффициент, величина которого принимается равной 0,8 при ширине пояса ригеля (в месте примыкания к колонне), равной ширине колонны и равной единице, если ширина пояса ригеля меньше ширины колонны;
г) стенки колонн в пределах высоты ригеля должны проверяться расчетом на поперечную силу

, (32)
где

,

- изгибающие моменты (с учетом их знаков) у граней колонны в примыкающих справа и слева ригелях рамы;

- поперечная сила в колонне.
2.47. Каркасы многоэтажных зданий (отсеков), имеющие период основного тона собственных колебаний больше 0,5 с, следует рассчитывать на сейсмические нагрузки с учетом трех высших форм колебаний.
При учете высших форм собственных колебаний сейсмические нагрузки находятся отдельно для каждой формы.
2.48. При определении периодов (или частот) и соответствующих им форм собственных колебаний многоэтажных каркасов в качестве динамической расчетной схемы рекомендуется принимать системы с сосредоточенными грузами на уровнях перекрытий и покрытия (рис. 30). Число сосредоточенных грузов определяет число степеней свободы принятой системы.
Рис. 30. Динамическая расчетная схема каркаса
многоэтажного здания
а - поперечный разрез здания;
б - динамическая расчетная схема каркаса здания
Величина каждого груза

вычисляется в соответствии с
пп. 1.11 и
2.8 от нагрузок, расположенных в пределах половины выше- и нижележащих этажей.
В зданиях, оборудованных мостовыми кранами, при расчете каркаса в поперечном направлении здания величина

определяется с учетом нагрузок от собственного веса мостов кранов.
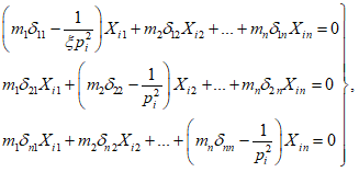
Частоты и формы собственных колебаний определяются из уравнений:

(33)
где

- круговая частота i-й формы собственных колебаний, связанная с периодом собственных колебаний зависимостью

; (34)

- масса, соответствующая грузу

, сосредоточенному на уровне j-го перекрытия или покрытия в тс x с2/м:

, (35)
здесь g - ускорение силы тяжести м/с2;

- перемещение в точке k от действия единичной горизонтальной силы, приложенной в точке, м/тс;

- амплитуда i-й формы собственных колебаний в точке j, м/тс.
Уравнение (33) для многомассовых систем рекомендуется решать при помощи ЭВМ с использованием существующих стандартных программ.
2.49. Сейсмическая нагрузка, действующая на весь каркас здания в уровне какого-либо перекрытия или покрытия, определяется по
формуле (1), где нагрузка

принимается равной соответствующей нагрузке, вычисленной при определении периодов и форм собственных колебаний каркаса (см.
п. 2.48). При этом собственный вес мостов кранов не учитывается, а сейсмическая нагрузка от кранов определяется в соответствии с
п. 2.15.
В уровнях перекрытия или покрытия сейсмические нагрузки распределяются между отдельными рамами каркаса пропорционально их жесткости


, (36)
где

- расчетная горизонтальная сейсмическая нагрузка, приходящаяся на рассматриваемую раму, а в уровне k-го перекрытия или покрытия;

- расчетная горизонтальная сейсмическая нагрузка, действующая на каркас здания (отсека) в уровне k-го перекрытия или покрытия;

- жесткость рассматриваемой рамы a в уровне k-го перекрытия или покрытия:

; (37)

- общая жесткость каркаса здания (отсека) в уровне k-го перекрытия или покрытия

; (38)

- перемещение каркаса здания (отсека) на уровне k-го перекрытия или покрытия от горизонтальной единичной силы, приложенной в уровне k-го перекрытия или покрытия в центре жесткости;

- перемещение рассматриваемой рамы на уровне k-го перекрытия от горизонтальной единичной силы, приложенной в уровне k-го перекрытия или покрытия.
2.50. Деформация каркаса многоэтажного здания (отсека) на уровне какого-либо перекрытия или покрытия от действия расчетных сейсмических нагрузок определяется:
при учете i-й формы собственных колебаний

; (39)
при учете высших форм собственных колебаний

. (40)

- период i-го тона собственных колебаний, с;
g - ускорение силы тяжести, м/с2;

- наибольшее из значений перемещений рассматриваемого перекрытия или покрытия, вычисленных по
формуле (39) для каждой из учитываемых форм собственных колебаний каркаса;

- значения перемещений рассматриваемого перекрытия или покрытия, вычисленных для других форм собственных колебаний каркаса.
3.1. В целях уменьшения сейсмических нагрузок, действующих на каркас здания, стены рекомендуется проектировать из легких крупноразмерных панелей. При навесных стенах рекомендуется принимать ленточное остекление.
Применение стен из кирпича, бетонных блоков и других штучных материалов должно быть максимально ограничено.
Самонесущие стены в сейсмостойких зданиях применять не рекомендуется. В случае их применения высота стен должна ограничиваться в соответствии с
п. 3.24 главы СНиП II-А.12-69.
Примечание. При выполнении стен из штучных каменных материалов следует пользоваться указаниями, данными в "
Руководстве по проектированию производственных зданий с каркасом из железобетонных конструкций для сейсмических районов" (Стройиздат, 1972).
3.2. В зависимости от способа опирания стены могут быть:
а) навесными, с опиранием их на каркас здания;
б) самонесущими, с опиранием их на фундаментные балки или на ленточные фундаменты.
Навесные и самонесущие стены должны выполняться с соблюдением требований
п. 1.7.
3.3. Ширина вертикального антисейсмического шва в навесных и самонесущих панельных стенах определяется по
формуле (6).
Ширина вертикального антисейсмического шва, см, в местах пересечений продольных стен с поперечными определяется по формуле

, (41)
где

принимается равным:
для зданий с навесными стенами - максимальной из величин относительных перемещений каркаса в пределах высот навесных участков стены
(рис. 31, а, б);
для зданий с самонесущими стенами - максимальному перемещению каркаса
(рис. 31, в, г).
Рис. 31. Схемы стен и их деформации
при сейсмическом воздействии
а - навесная стена; б - деформация навесной стены
в момент сейсмического воздействия; в - самонесущая стена;
г - деформация самонесущей стены в момент сейсмического
воздействия;
1 - навесные участки стены; 2 - горизонтальные
антисейсмические швы; 3 - вертикальный антисейсмический
шов; 4 - оси колонн каркаса; 5 - самонесущие стены
Перемещения, см, каркаса здания (отсека) от действия расчетных горизонтальных сейсмических нагрузок вычисляются для одноэтажных зданий по
формуле (17), для многоэтажных зданий по
формулам (39) и
(40).
3.4. Горизонтальные антисейсмические швы в стенах должны заполняться упругими прокладками, не препятствующими взаимному сдвигу участков стены. В качестве прокладок могут применяться ленты из пороизола, гернита, эластичного пенополиуретана и других упругих материалов.
Вертикальные антисейсмические швы в стенах должны закрываться компенсаторами или нащельниками, не препятствующими перемещению стены (или отдельных ее участков). В зависимости от климатических условий и температурно-влажностного режима помещений антисейсмические швы в стенах заполняются утеплителем из минеральной ваты, эластичного пенополиуретана и других аналогичных материалов.
3.5. Опорные консоли при навесных стенах и сварные швы их крепления к колоннам, а также закладные элементы и их заделка в железобетонных колоннах должны быть рассчитаны на одновременное действие нагрузки от собственного веса панельной стены и вертикальных сейсмических нагрузок, вычисленных по
формуле (1), где величина

принимается равной нагрузке от собственного веса навесной стены в месте опирания на опорную консоль и значение произведения коэффициентов

равно 5. При определении величин нагрузок должны учитываться указания
п. 1.11.
3.6. Стены и их крепления к каркасу должны быть проверены расчетом на местную сейсмическую нагрузку от собственного веса стены в направлении, перпендикулярном их плоскости.
Величина местной сейсмической нагрузки от собственного веса стены определяется по
формуле (1); при этом значение произведения коэффициентов

принимается как для соответствующих уровней каркаса, но не меньше 2.
При расчете парапетов в направлении, перпендикулярном плоскости стены, значение произведения коэффициентов

принимается равным 5.
3.7. Гидроизоляцию в стенах на уровне верха фундаментных балок следует выполнять из цементного раствора.
СТЕНЫ ИЗ БЕТОННЫХ ПАНЕЛЕЙ
3.8. Панельные (навесные и самонесущие) стены из легких, поризованных легких или ячеистых бетонов, а также железобетонные неутепленные должны крепиться к каркасу в соответствии с
п. 1.7 "г".
3.9. В навесных стенах каждая крупноразмерная панель длиной, равной шагу пристенных колонн, должна крепиться к каркасу в четырех углах (рис. 32).
Рис. 32. Пример крепления стеновых панелей к колонне
в уровне растворного шва (а) и в уровне
антисейсмического шва (б)
1 - колонна; 2 - стеновые панели; 3 - закладная деталь
стеновой панели; 4 - опорная консоль;
5 - цементный раствор; 6 - антисейсмический шов,
заполненный упругой синтетической прокладкой
Горизонтальные антисейсмические швы в стенах должны устраиваться на уровне низа каждого навесного участка. Опорные консоли, привариваемые к колоннам для опирания навесных стен, должны размещаться в уровне горизонтальных антисейсмических швов таким образом, чтобы они не препятствовали взаимным горизонтальным перемещениям смежных по высоте участков стен и колонн при деформации каркаса в момент сейсмического воздействия (рис. 33).
Рис. 33. Пример решения панельной стены и ее деформация
в момент сейсмического воздействия
1 - навесные участки стены; 2 - опорные консоли;
3 - антисейсмические швы; 4 - верх колонн
Заполнение всех швов между панелями, за исключением вертикальных и горизонтальных антисейсмических швов (см.
п. 3.4), может приниматься как для несейсмических районов.
Для заполнения оконных проемов должны применяться оконные панели (панельные переплеты), которые крепятся к каркасу аналогично стеновым панелям. Допускается оконное заполнение выполнять и из отдельных переплетов при условии обеспечения свободного сдвига переплетов по отношению к колонне и перекрывающей их панели.
3.10. Самонесущие стены с опиранием панелей на простенки допускается применять высотой не более 18 м при расчетной сейсмичности 7 баллов, 16 м - при расчетной сейсмичности 8 баллов и 9 м - при расчетной сейсмичности 9 баллов.
Панели длиной, равной шагу пристенных колонн, должны крепиться к каркасу в четырех углах, а панели простенков - в месте примыкания к колонне в двух верхних и нижних точках. Крепления панелей выполняются в соответствии с
п. 1.7 "г".
Для восприятия усилий, возникающих в самонесущих стенах от действия сейсмической нагрузки в их плоскости, панели простенков по граням, обращенным к проемам, следует соединять между собой по высоте и с примыкающими к ним панелями (длиной, равной шагу пристенных колонн) при помощи сварки закладных элементов, заложенных по углам панелей. Панели длиной, равной шагу пристенных колонн, должны соединяться между собой по длине стены стальными накладками, привариваемыми к верхним закладным элементам панелей.
Величина сейсмической нагрузки, действующей в самонесущей стене, а также величины расчетных усилий в элементах стены (простенках, горизонтальных поясах между проемами) могут быть определены по аналогии с расчетом каменных стен, изложенном в
пп. 4.18 -
4.21 "Руководства по проектированию производственных зданий с каркасом из железобетонных конструкций для сейсмических районов" (Стройиздат, 1972).
Заполнение всех швов между панелями, за исключением вертикальных антисейсмических швов, должно производиться цементным раствором.
3.11. Вертикальные антисейсмические швы в стенах должны закрываться компенсаторами или нащельниками из оцинкованной стали. Допускается устройство оштукатуренных швов по сетке.
3.12. Легкие навесные стены из металлических профилированных листов в сочетании с эффективными теплоизоляционными материалами (стены из трехслойных панелей, полистовые с укрупнительноЙ сборкой и др.) должны крепиться к каркасу здания в соответствии с
п. 1.7 "г".
Крепления оконных переплетов к стальному каркасу стен не должны препятствовать горизонтальным смещениям окон при взаимном сдвиге навесных участков стен в момент сейсмического воздействия (рис. 34).
Рис. 34. Пример крепления окон из спаренных
тонкостенных труб к цокольной панели и ригелям стен
1 - рядовой ригель стены; 2 - металлическая стена;
3 - цокольная панель; 4 - ось стойки рамы окна
3.13. При проектировании стен из вертикально расположенных трехслойных панелей, изготавливаемых на механизированных линиях непрерывным способом, должны соблюдаться следующие требования:
а) горизонтальные антисейсмические швы в стенах должны устраиваться на уровнях расположения опорных (под оконными проемами) и стыковых (в горизонтальных швах между панелями) ригелей каркаса стен и верха цокольной части стен
(рис. 35);
б) панели верхним концом должны подвешиваться к опорным (или стыковым) ригелям с помощью стальных элементов и крепиться к рядовым (промежуточным) ригелям стальными болтами. Крепления низа панелей к стыковым ригелям
(рис. 36) или верху цокольной части стен, а также крепления всех рядовых ригелей каркаса стен к опорным консолям каркаса здания
(рис. 37) должны проектироваться таким образом, чтобы они не препятствовали горизонтальным смещениям каркаса здания вдоль стен в пределах высот их навесных участков.
Рис. 35. Примеры решения металлических стен
из трехслойных панелей
а - продольная стена; б - торцевая стена;
1 - опорные ригели; 2 - рядовые ригели;
3 - антисейсмические швы
Рис. 36. Пример крепления стеновых трехслойных панелей
к опорным ригелям в уровне антисейсмического шва
1 - колонна; 2 - опорная консоль; 3 - опорный ригель;
4 - стеновая панель; 5 - антисейсмический шов
Рис. 37. Пример крепления металлической стены
из трехслойных панелей к колонне в уровне рядовых ригелей
стены
1 - колонна; 2 - опорная консоль; 3 - рядовой ригель;
4 - стеновая панель; 5 - овальные отверстия
Вертикальные антисейсмические швы в местах пересечений стен рекомендуется осуществлять путем изготовления специальных Г- или Т-образных трехслойных панелей, в которых в месте антисейсмического шва из металлических облицовочных слоев выполняется компенсатор, а жесткий утеплитель заменяется на эластичный (рис. 38).
Рис. 38. Пример решения вертикального антисейсмического
шва в углу стены из трехслойных панелей
1 - угловая панель; 2 - антисейсмический шов
3.14. При проектировании стен из укрупненных монтажных панелей, собираемых непосредственно на строительстве (стены полистовые с укрупнительной сборкой), должны соблюдаться следующие требования:
а) горизонтальные антисейсмические швы в стенах должны устраиваться на уровне низа каждого навесного участка и верха цокольной части стен
(рис. 39);
б) стальные рамы укрупненных монтажных панелей шириной, равной шагу пристенных колонн, должны крепиться к каркасу деталями, не препятствующими горизонтальным смещениям каркаса вдоль стен в пределах высот навесных панелей
(рис. 40).
Рис. 39. Примеры решения металлических стен
из укрупненных монтажных панелей
а - продольная стена; б - торцевая стена;
1 - опорная консоль; 2 - опорный ригель рамы панели;
3 - рядовые ригели рамы панели; 4 - антисейсмические швы
Рис. 40. Пример крепления металлической стены
из укрупненных монтажных панелей к колонне
1 - колонна; 2 - стойка рамы панели; 3 - рядовой ригель
рамы панели; 4 - профилированные листы; 5 - утеплитель
Опорные (или стыковые) горизонтальные ригели стен, устанавливаемые вверху навесных панелей, должны быть рассчитаны на одновременное действие нагрузки от собственного веса панелей, веса переплетов остекления и вертикальных сейсмических нагрузок, вычисленных по
формуле (1), при значении произведения коэффициентов

, равном 5.
ПРИМЕРЫ РАСЧЕТА
Пример 1. Определение сейсмических нагрузок,
действующих на стальной каркас одноэтажного здания
ИСХОДНЫЕ ДАННЫЕ
Конструктивно-компоновочные схемы каркаса здания приведены на рис. 41 -
43. Расчетная сейсмичность здания 9 баллов.
Рис. 41. План колонн здания
Рис. 42. Разрезы здания
а - поперечный разрез по оси 5,
б - поперечный разрез по оси 1;
в - продольный разрез по торцевой фахверковой стойке.
1 - 4 подвесных крана Q = 5 тс;
2 - 2 крана Q = 50/10 тс тяжелого режима работы
Рис. 43. Продольные разрезы здания
а - по оси А; б - по осям Б и В; в - по оси Г
Пролет здания А-Б оборудован четырьмя подвесными электрическими однобалочными кранами грузоподъемностью 5 тс. Каждые пролеты здания Б-В и В-Г оборудованы двумя мостовыми электрическими кранами грузоподъемностью 50/10 тс тяжелого режима работы.
На рис. 44 дана расчетная геометрическая схема поперечной рамы каркаса, на которой приведены моменты инерции сечений, см4, элементов рамы и условия закрепления их концов.
Рис. 44. Расчетная геометрическая схема поперечной рамы
Расчетные геометрические схемы вертикальных связей между колоннами продольных рядов даны на рис. 45. На этих схемах указаны профили и площади, см2, сечений элементов связей, определенные из расчета связей на основное сочетание нагрузок, а также величины усилий, тс, в элементах связей при основном сочетании нагрузок и в скобках от действия на связь горизонтальной нагрузки, равной единице.
Рис. 45. Расчетные геометрические схемы связей по колоннам
а - ряда А; б - рядов Б и В; в - ряда Г
Стойки торцевого и продольного фахверка запроектированы с шарнирным опиранием в уровне покрытия и на фундаменты.
Покрытие из стального профилированного настила. Кровля рулонная с утеплителем из пенопласта. В пролете Б-В имеется светоаэрационный фонарь шириной 12 м, высотой 2 x 1,25 м. В межферменном пространстве покрытия размещаются различные трубопроводы, осветительная арматура и др.
Стены из керамзитобетонных панелей толщиной 24 см

. По продольным стенам предусмотрено ленточное остекление на отметках от 2,4 до 8,4 м и от 14,4 до 16,8 м.
Вертикальные расчетные нагрузки на каркас здания приведены в табл. 4.
Нагрузка | Единицы измерения | Нормативная нагрузка | Коэффициент | Расчетная нагрузка |
перегрузки | сочетания |
От веса: | | | | | |
кровли | тс/м2 | 0,075 | 1,2 | 0,9 | 0,081 |
профилированного настила | " | 0,015 | 1,1 | 0,9 | 0,015 |
прогонов | " | 0,01 | 1,1 | 0,9 | 0,01 |
конструкций покрытия | " | 0,04 | 1,1 | 0,9 | 0,04 |
промпроводок | " | 0,035 | 1,3 | 0,8 | 0,036 |
Итого | - | 0,175 | - | - | 0,182 |
От веса: | тс/м | | | | |
фонарных панелей | | 0,137 | 1,1 | 0,9 | 0,136 |
бортов фонаря | " | 0,03 | 1,2 | 0,9 | 0,032 |
монорельсов фонаря | " | 0,027 | 1,1 | 0,9 | 0,027 |
фонарных переплетов | тс/м2 | 0,025 | 1,1 | 0,9 | 0,025 |
торца фонаря | " | 0,052 | 1,15 | 0,9 | 0,054 |
От веса: | | | | | |
механизмов открывания фонаря | | 0,125 | 1,1 | 0,9 | 0,124 |
колонны рядов А, Б, Г | тс | 5,67 | 1,1 | 0,9 | 5,61 |
" ряда В | " | 7,56 | 1,1 | 0,9 | 7,48 |
стоек фахверков | " | 2,84 | 1,1 | 0,9 | 2,81 |
подкрановых конструкций для кранов Q = 50/10 тс | | 0,3 | 1,1 | 0,9 | 0,3 |
путей подвесных кранов | " | 0,1 | 1,1 | 0,9 | 0,1 |
стеновых панелей | тс/м2 | 0,265 | 1,2 | 0,9 | 0,29 |
ленточного остекления | " | 0,035 | 1,2 | 0,9 | 0,038 |
снега по первому району | " | 0,050 | 1,4 | 0,5 | 0,035 |
моста опорного крана | тс | 50,5 | 1,2 | 0,5 | |
| " | " | " | 0,8 | |
подвесного крана | " | 2,48 | 1,2 | 0,5 | |
| " | " | " | 0,8 | |
--------------------------------
<1> На 1 м длины панели фонаря.
<2> На 1 м длины одного рельса кранового пути.
<3> Нагрузка, учитываемая при определении сейсмической нагрузки.
<4> То же, периода собственных колебаний каркаса.
А. РАСЧЕТ КАРКАСА В ПОПЕРЕЧНОМ НАПРАВЛЕНИИ ЗДАНИЯ
Расчет каркаса в поперечном направлении здания выполнен дважды: как для системы с одной степенью свободы и как для системы со многими степенями свободы.
РАСЧЕТ КАРКАСА КАК СИСТЕМЫ С ОДНОЙ СТЕПЕНЬЮ СВОБОДЫ
1. Определяем жесткость каркаса здания в уровне верха колонн по
формуле (9).
Жесткости ступенчатых колонн на уровне их верха определяем по формуле

,
где

;

;

.
Тогда

;

.
Вычисление жесткости каркаса здания приведено в табл. 5.
Таблица 5
Ряд |  , см4 |  , см4 | |  , тс/м | n, шт. |  , тс/м |
А | | | 4,12 | 53,6 | 9 | 482,4 |
Б | | | 8,59 | 91,7 | 9 | 825,3 |
В | | | 19,77 | 205,4 | 9 | 1848,6 |
Г | | | 7,86 | 85,9 | 9 | 773,1 |
Итого | - | 3929,4 |
2. Определяем вертикальную нагрузку от собственного веса конструкций и снега.
Вертикальную нагрузку принимаем сосредоточенной в уровне верха колонн и определяем в соответствии с указанием
п. 2.12.
Вычисление вертикальной нагрузки приведено в табл. 6.
Таблица 6
Нагрузка | Вычисление | Расчетная нагрузка, тс |
От веса: | | |
кровли, профилированного настила, прогонов, конструкций покрытия и промпроводок | 0,182(21·3 + 1)96 | 1275,5 |
то же, фонарных панелей (с бортами, монорельсами, переплетами и механизмами открывания фонаря) | (0,136 + 0,032 + 0,027 + + 0,025·2,5 + 0,124)72,2 | 54,9 |
торцов фонаря | 0,054·12·3·2 | 3,9 |
мостов подвесных кранов | 2,38·4 | 9,5 |
путей подвесных кранов | 0,1·96·4 | 38,4 |
участков стен, расположенных выше верха колонн | 0,29·4,1(72 + 96)2 | 401,9 |
снега | 0,035(24·3 + 1)96 | 245,3 |
От 1/4 веса: | | |
колонн | 0,25(5,61·27 + 7,48·9) | 54,7 |
фахверковых стоек | 0,25·2,81·34 | 23,9 |
подкрановых конструкций | 0,25·0,3·96·4 | 28,8 |
участков стен, расположенных в пределах высоты колонн | 0,25·0,29[(18,9 - 6 - - 2,4)·96·2 + 18,9·73·2] + + 0,25·0,038·(6 + + 2,4)96·2 | 361,5 |
мостов опорных кранов | 0,25·48,5·4 | 48,5 |
Итого | - | 2546,8 |
3. Определяем период собственных колебаний каркаса по
формуле (8):

.

.
Принимаем

.

.
5. Определяем коэффициент сейсмичности

по
табл. 1. При расчетной сейсмичности 9 баллов

.
Коэффициент

для системы с одной степенью свободы равен единице.
6. Определяем расчетные величины сейсмических нагрузок, действующих на среднюю поперечную раму каркаса.
а) В уровне верха колонн - от покрытия, снега, участков продольных стен, расположенных выше верха колонн, части (50%) торцевых и продольных стен, связанных с покрытием с помощью фахверковых стоек, - по
формуле (14).
Нагрузку

определяем по табл. 7 с учетом вычислений, приведенных в
п. 2 настоящего примера.
Таблица 7
Нагрузка | Вычисление | Расчетная нагрузка,  , тс |
От веса покрытия, снега и участков стен, расположенных выше верха колонн | 1275,5 + 54,9 + 3,9 + 1,49 x x 4 + 38,4 + 245,3 + 401,9 | 2025,9 |
От 1/2 веса фахверковых стоек и участков стен, расположенных в пределах высоты колонн и связанных с покрытием с помощью фахверковых стоек | 0,5 [2,81·34 + 0,29 (18,9 - - 6 - 2,4)6·8·2 + 0,038 x x (6 + 2,4)6·8·2 + 0,29 x x 18,9·6·18] | 505,3 |
Итого | - | 2531,2 |
Жесткость средней поперечной рамы в уровне верха колонн равна

.
Расчетная величина сейсмической нагрузки, действующей в уровне верха колонн рамы, равна

.
б) По длине колонн - от собственного веса колонн - по
формуле (10):
на колонну рядов А, Б и Г:

;
на колонну ряда В

.
в) В уровне низа подкрановых балок - от собственного веса подкрановых балок - по
формуле (11):
на колонну рядов Б и Г:

;

;
на колонну ряда В:

;

.
г) По длине крайних колонн - от участков продольных стен, расположенных в пределах высоты колонн, - по
формуле (12):

;

.
д) В уровне низа подкрановых балок - от собственного веса мостов кранов определяем в соответствии с указаниями
п. 2.15.
Вычисляем максимальное давление на колонны от собственного веса мостов кранов, принимаемых по одному в пролетах Б-В и В-Г (схема крановой нагрузки и линия влияния давления на колонны показаны на
рис. 46):
на колонну рядов Б и Г:

;
на колонну ряда В:

.
Рис. 46. Схема крановой нагрузки и линия влияния давления
По
формуле (1) определяем значения сейсмических нагрузок:
на колонну рядов Б и Г:

;
на колонну ряда В:

.
7. Далее определяются расчетные усилия M и Q в сечениях колонн рассчитываемой поперечной рамы от нагрузок

,

,

и

, а также в сечениях колонн, несущих мостовой кран, от местной нагрузки
(рис. 47). Усилия в колоннах от нагрузки суммируются соответственно с усилиями в колоннах рамы. Полученные усилия (со знаком

) вводятся в комбинации усилий в особом сочетании нагрузок.
 , тс |  ,  , тс/м |  , тс/м |  , тс/м |  ,  , тс |  , тс |  ,  , тс |  , тс |
33,7 | 0,156 | 0,036 | 0,048 | 0,43 | 0,86 | 3,55 | 7,10 |
Рис. 47. Расчетная схема поперечной рамы каркаса
РАСЧЕТ КАРКАСА НА ЭВМ КАК СИСТЕМЫ СО МНОГИМИ СТЕПЕНЯМИ
СВОБОДЫ (ВЫПОЛНЯЕТСЯ В СООТВЕТСТВИИ С УКАЗАНИЯМИ
8. Определяем величины вертикальных расчетных нагрузок, сосредоточенных в центрах приведения динамической расчетной схемы каркаса, состоящей из рассчитываемой поперечной рамы, эквивалентной стойки, заменяющей все другие поперечные рамы каркаса, и эквивалентной стойки, заменяющей все фахверковые стойки (рис. 48, б).
Рис. 48. Элементы со значениями моментов инерции (в см4),
их сечений (а) и расположения вертикальных сосредоточенных
нагрузок (б) в динамической расчетной схеме каркаса
и расчетная схема каркаса (в)
1 - рассчитываемая поперечная рама;
2 - стойка, заменяющая все другие поперечные рамы;
3 - стойка, заменяющая все фахверковые стойки
Вычисления вертикальных нагрузок приведены в табл. 8.
Таблица 8
Обозначение нагрузки | Нагрузка | Вычисление | Величина нагрузки, тс |
| От веса: | | |
кровли, профилированного настила, прогонов, конструкций покрытия и промпроводок | 0,182·12·12,5 | 27,3 |
путей подвесных кранов пролета А-Б | 0,1·12·2 | 2,4 |
участка стены, расположенного выше верха колонн | 0,29·4,1·12 | 14,3 |
снега | 0,035·12·12,5 | 5,3 |
От 1/4 веса | | |
участка стены, расположенного в пределах высоты колонны | 0,25 [0,29 (18,9 - 6 - 2,4) x x 6 + 0,038·(6 + 2,4)·6] | 5,1 |
колонны | 0,25·5,61 | 1,4 |
| Итого | - | 55,8 |
От веса: | | |
кровли, профилированного настила, прогонов, конструкций покрытия и промпроводок | 0,182·12·24 | 52,4 |
путей подвесных кранов пролета А-Б | 0,1·12·2 | 2,4 |
фонарных панелей пролета Б-В (с бортами, монорельсами, переплетами и механизмами открывания) | (0,136 + 0,032 + 0,027 + + 0,025·2,5 + 0,124)·12 | 4,6 |
снега | 0,035·12·24 | 10,1 |
От 1/4 веса колонны | 0,25·5,61 | 1,4 |
| Итого | - | 70,9 |
| От веса: | | |
кровли, профилированного настила, прогонов, конструкций покрытия и промпроводок | 0,182·12·24 | 52,4 |
фонарных панелей пролета Б-В (с бортами, монорельсами, переплетами и механизмами открывания) | (0,136 + 0,032 + 0,027 + + 0,025·2,5 + 0,124)12 | 4,6 |
снега | 0,035·12·24 | 10,1 |
От 1/4 веса колонны | 0,26·7,48 | 1,9 |
| Итого | - | 69 |
| От веса: | | |
кровли, профилированного настила, прогонов, конструкций покрытия и промпроводок | 0,182·12·12,5 | 27,3 |
участка стены, расположенного выше верха колонн | 0,29·4,1·12 | 14,3 |
снега | 0,035·12·12,5 | 5,3 |
От 1/4 веса колонн | 0,25·5,61 | 1,4 |
участка стены, расположенного в пределах высоты колонны | 0,25[0,29(18,9 - 6 - 2,4) x x 6 + 0,038(6 + 2,4)6] | 5,1 |
| Итого | - | 53,4 |
| От веса: | | |
кровли, профилированного настила, прогонов, конструкций покрытия и промпроводок | 0,182(96 - 12)(24·3 + 1) | 1116,0 |
путей подвесных кранов пролета А-Б | 0,1·4(96 - 12) | 33,6 |
фонаря пролета Б-В | (0,136 + 0,032 + 0,027 + + 0,025·2,5 + 0,124) (72 - - 12)2 + 0,054·12·3·2 | 49,7 |
От веса: | | |
четырех мостов подвесных кранов пролета А-Б | 2,38·4 | 9,5 |
участков стен, расположенных выше верха колонн | 0,29·4,1[(96 - 12) + (24 x x 3 + 1)]2 | 373,3 |
снега | 0,035(96 - 12)(24·3 + 1) | 214,6 |
От 1/4 веса колонн | 0,25(5,61·24 + 7,48·8) | 48,6 |
участков стен, расположенных в пределах высоты колонн | 0,25·0,29[(18,9 - 6 - - 2,4)·(96 - 6)2 + 18,9 x x (24·3 + 1)·2] + 0,25 x x 0,038 (6 + 2,4)(96 - 6)2 | 228,1 |
| Итого | - | 2073,4 |
От части веса двух мостов кранов в пролетах Б-В и В-Г | | |
2·50,5·1,2·0,8·0,215 | 20,8 |
От веса подкрановых конструкций | 0,3·12 | 3,6 |
| Итого | - | 24,4 |
От части веса двух мостов кранов в пролетах Б-В и В-Г | | |
2·50,5·1,2·0,8·0,587 | 56,9 |
От веса подкрановых конструкций | 0,3·12·2 | 7,2 |
| Итого | - | 64,1 |
| От части веса двух мостов кранов в пролетах Б-В и В-Г | | |
2·50,5·1,2·0,8·0,199 | 19,3 |
От веса подкрановых конструкций | 0,3·12 | 3,6 |
| Итого | - | 22,9 |
| От веса мостов остальных двух кранов в пролетах Б-В и В-Г | 2·50,5·1,2·0,8 | 97 |
То же, подкрановых конструкций | 0,3·(96 - 12)·4 | 100,8 |
| Итого | - | 197,8 |
| От 1/2 веса участка стены, расположенного в пределах высоты колонны | 0,5[0,29(18,9 - 6 - 2,4) x x 6 + 0,038(6 + 2,4)·6] | 10,2 |
То же, колонны | 0,5·5,61 | 2,8 |
| Итого | - | 13 |
| От 1/2 веса колонны | 0,5·5,61 | 2,8 |
| От 1/2 веса колонны | 0,5·7,48 | 3,8 |
| От 1/2 веса участка стены, расположенного в пределах высоты колонны | 0,5[0,29(18,9 - 6 - 2,4) x x 6 + 0,038(6 + 2,4)6] | 10,2 |
То же, колонны | 0,5·5,61 | 2,8 |
| Итого | - | 13 |
| От 1/2 веса участков продольных стен, расположенных в пределах высоты колонн | 0,5[0,29(18,9 - 6 - 2,4) x x (96 - 6·7 - 3·2)2 + + 0,038(6 + 2,4)(96 - 6 x x 7 - 3·2)2] | 161,5 |
То же, участков торцевых стен, расположенных в пределах высоты колонн | 0,5·0,29·18,9(3,5·2 + 6 x x 2)2 | 104,1 |
То же, всех колонн, кроме колонн рассчитываемой рамы | 0,5(5,61·8·3 + 7,48·8) | 97,2 |
| Итого | - | 362,8 |
| От 1/2 веса участков продольных стен, расположенных в пределах высоты колонн | 0,5[0,29(18,9 - 6 - 2,4) x x 6·8·2 + 0,038(6 + 2,4) x x 6·8·2] | 161,5 |
От 1/2 веса участков торцевых стен, расположенных в пределах высоты колонн | 0,5·0,29·18,9·6·18 | 296 |
То же, стоек продольного и торцевого фахверков | 0,5·2,81(16 + 18) | 47,8 |
| Итого | - | 505,3 |
9. Производим расчет каркаса на ЭВМ по программе "Карра-5" (выпуск 1-136, 1971).
В табл. 9 приведены результаты расчета: значения периодов колебаний каркаса

, коэффициентов

и

и сейсмических нагрузок

(в тс) для первых трех форм колебаний каркаса. Расчетная схема каркаса дана на
рис. 48, в.
Таблица 9
Нагрузка | I форма колебаний | II форма колебаний | III форма колебаний |
обозначение | величина, тс |  ; |  ; |  ; |
| | |
| | | | | |
1 | 2 | 3 | 4 | 5 | 6 | 7 | 8 |
| 2322,5 | 1,094 | 304,9 | -0,037 | -17,01 | -0,006 | -6,17 |
| 24,4 | 0,545 | 1,6 | -0,021 | -0,1 | -0,008 | -0,09 |
| 64,1 | 0,456 | 3,5 | -0,018 | -0,23 | 0,566 | 16,04 |
| 22,9 | 0,557 | 1,5 | -0,021 | -0,1 | 0,011 | 0,12 |
| 197,8 | 0,516 | 12,2 | -0,018 | -0,71 | -0,004 | -0,31 |
| 13 | 0,306 | 0,5 | -0,011 | -0,03 | -0,002 | -0,01 |
| 2,8 | 0,288 | 0,1 | -0,011 | -0,01 | -0,005 | -0,01 |
| 3,8 | 0,24 | 0,1 | -0,01 | -0,01 | 0,34 | 0,58 |
| 13 | 0,292 | 0,46 | -0,012 | -0,03 | -0,007 | -0,04 |
| 362,8 | 0,269 | 11,72 | -0,01 | -0,69 | -0,002 | -0,32 |
| 505,3 | 0,691 | 41,92 | 0,307 | 30,69 | 0,001 | 0,15 |
В табл. 10 для рассчитываемой поперечной рамы приведены значения расчетных усилий M, N, Q в сечениях колонн
(рис. 49) при особом сочетании нагрузок с учетом сейсмического воздействия. В этой же таблице для сравнения приведены значения расчетных усилий для одной из шести комбинаций нагрузок основного сочетания.
Таблица 10
Ряд | N стержня | Сечение | Основное сочетание нагрузок | Особое сочетание нагрузок |
М, тсм | N, тс | Q, тс | M, тсм | N, тс | Q, тс |
А | 1 | 1-1 | -33,5 | 71 | 4,5 | -42,9 | 53,9 | 6,1 |
3 | 2-2 | 102,2 | 83,1 | -6,6 | 112,5 | 64,8 | -5,2 |
Б | 5 | 1-1 | -55,9 | 103,7 | 8,5 | -60,9 | 79,5 | 9,7 |
7 | 2-2 | -136,1 | 254,4 | 6,1 | 197 | 164,6 | -10,2 |
В | 11 | 1-1 | -87,2 | 82,5 | 16,2 | 111,6 | 61,7 | -20,5 |
13 | 2-2 | -244,9 | 383,9 | 14 | 437,2 | 176,9 | -21 |
Г | 15 | 1-1 | -34,5 | 49,8 | 4,8 | 55,7 | 41,1 | -9,2 |
17 | 2-2 | -146,9 | 212,6 | 13,5 | -181,3 | 137,1 | 9,4 |
Рис. 49. Схема нумерации стержней рамы
Б. РАСЧЕТ КАРКАСА В ПРОДОЛЬНОМ НАПРАВЛЕНИИ ЗДАНИЯ
Расчет каркаса здания на продольные сейсмические нагрузки заключается в проверке несущей способности сечений вертикальных стальных связей по колоннам, принятых из расчета на усилия от расчетных нагрузок при основном их сочетании.
Из расчета связей на основное сочетание нагрузок определены усилия в элементах связей и назначены их сечения. Результаты расчета приведены на схемах
рис. 45. При этом пунктирными линиями на схемах показаны элементы, линейные деформации которых в расчете перемещений не учтены.
Так как горизонтальная жесткость диска покрытия из стального профилированного настила недостаточно изучена, расчет вертикальных связей по колоннам производим по двум случаям колебаний каркаса, приведенным в
п. 2.12.
10. Определяем жесткость связевых панелей на уровне верха колонн без учета продольных деформаций колонн, подкрановых балок и распорок (в запас прочности). Результаты вычислений жесткостей связевых панелей приведены в табл. 11.
Таблица 11
Ряд колонн | Сечение элемента связи, мм | F, м2 | l, м |  , тс |  , тс |  , м/тс |  , тс/м |
А | | 0,01182 | 8,07 | 0,674 | 0,674 | | |
| 0,00494 | 18,1 | 1,505 | 1,505 | | |
| 0,01182 | 8,07 | 0,674 | 0,674 | | |
| Итого | - | - | - | - | | 2350 |
Б и В | | 0,01182 | 7,2 | 0,600 | 0,600 | | |
| 0,01182 | 7,2 | 0,600 | 0,600 | | |
| 0,00458 | 18,1 | 1,505 | 1,505 | | |
| Итого | - | - | - | - | | 2240 |
Г | | 0,01182 | 7,2 | 0,600 | 0,600 | | |
| 0,01182 | 7,2 | 0,600 | 0,600 | | |
| 0,00494 | 18,1 | 1,505 | 1,505 | | |
| Итого | - | - | - | - | | 2400 |
Суммарная жесткость всех связевых панелей каркаса здания равна C = 2350 + 2240·2 + 2400 = 9230 тс/м.
11. Определяем вертикальную нагрузку от собственного веса конструкций и снега.
Вертикальную нагрузку от собственного веса конструкций и снега определяем по данным табл. 12 без учета веса мостов подвесных и мостовых кранов, так как при расчете каркаса в продольном направлении нагрузка от крана не учитывается (пути катания этих кранов расположены вдоль пролетов и при продольном сейсмическом толчке краны прокатятся по рельсам, не оказывая влияния своим весом на усилия в связях по колоннам).
Нагрузка | Вычисление нагрузки G для ряда колонн по оси |
А | Б | В | Г |
От веса покрытия, снега и стен, расположенных выше верха колонн | (0,182+0,035)12,5x x96+0,1·2·96+ +0,29·4,1·(96+12,5x x2)=423,5 тс | (0,182+0,035)·24x x96+0,1·2·96+ +(0,136+0,032+ +0,027+0,025·2,5+ +0,124)72+0,054·3x x6·2+0,29·4,1·24x x2=605,7 тс | (0,182+0,035)24x x96+(0,136+0,032+ +0,027+0,025·2,5+ +0,124)72+0,054·3x x6·2+0,29·4,1·24x x2=586,5 тс | (0,182+0,035)12,5x x96+0,29·4,1(96+ +12,5·2)=404,3 тс |
От 1/4 веса колонн, подкрановых балок и стен, расположенных в пределах высоты колонн | 0,25·5·61·9+0,25x x[0,29·(18,9-6-2,4) (96-6·8)+0,29·18,9x x3,5·2+0,038(6+2,4)x x(96-6·8)]=62,6 тс | 0,25·5,61·9+0,25x x0,3·96+0,25·0,29x x18,9·6=28 тс | 0,25·7,48·9+0,25x x0,3·96·2+0,25x x0,29·18,9·6= =39,4 тс | 0,25·5,61·9+0,25x x0,3·96+0,25[0,29x x(18,9-6-2,4)x x(96-6,8)+0,29x x18,9·3,5·2+0,038x x(6+2,4) (96-6x x8)]=69,8 тс |
От 1/2 веса фахверковых стоек и стен, расположенных в пределах высоты колонн и связанных с покрытием с помощью фахверковых стоек | 0,5·2,8·11+0,5x x[0,29·(18,9-6- -2,4)6·8+0,29·18,9x x9·2+0,038(6+2,4)x x6·8]=145,5 тс | 0,5·2,81·6+0,5·0,29x x18,9(24-6)2= =107,1 тс | 0,5·2,81·6+0,5·0,29x x18,9(24-6)2= =107,1 тс | 0,5·2,81·11+0,5x x[0,29(18,9-6- -2,4)6·8+0,29·18,9x x9·2+0,038(6+ +2,4)6·8]=145,5 тс |
Итого | | | | |
Вычисления вертикальной нагрузки для каждого ряда колонн приведены в
табл. 12. Суммарная нагрузка на каркас здания равна Q = 632 + 741 + 733 + 620 = 2726 тс.
12. Определяем периоды собственных колебаний по
формуле (8):
а) каркаса здания (для расчета по первому случаю):

;
б) продольных рядов колонн (для расчета по второму случаю)

;

;

;

.
а) при расчете каркаса здания (по первому случаю):

;

;
б) при расчете продольных рядов колонн (по второму случаю):

;

;

;

;

;

;

;

.
14. Определяем расчетные величины сейсмических нагрузок, действующих на связевые панели каркаса в уровне верха колонн:

;

;

;

;

;

;

;

.
Для расчета принимаем большие значения сейсмических нагрузок, подсчитанные по этим двум формулам:

;

;

;

.
15. Рассчитываем элементы связей на усилия, возникающие в них от действия сейсмических нагрузок. Результаты расчета связей приведены в табл. 13.
Таблица 13
Ряд колонн | Сечение элемента связи, мм | F, см2 | l, см |  , тс |  , см | | | |  , кгс/см2 | R, кгс/см2 |
А | | 39,4 | 807 | 21,8 | 3,87 | 208 | 0,163 | 1 | 3394 | 2100 |
| 49,4 | 1810 | 146 | 6,1 | 297 | - | 1,4 | 2111 | 2100 |
Б, В | | 39,4 | 720 | 19,6 | 3,87 | 186 | 0,204 | 1 | 2438 | 2100 |
| 45,8 | 905 | 147,5 | 5,15 | 176 | - | 1,4 | 2300 | 2100 |
Г | | 39,4 | 720 | 19,8 | 3,87 | 186 | 0,204 | 1 | 2463 | 2100 |
| 49,4 | 1810 | 149 | 6,1 | 297 | - | 1,4 | 2154 | 2100 |
Полученные значения напряжений показывают, что сечения связей необходимо увеличить, что приведет к увеличению жесткостей связевых панелей и как следствие к увеличению сейсмических сил.
Следовательно, необходимо произвести повторный расчет, который выполняется аналогично приведенному.
Пример 2. Расчет связей покрытия одноэтажного здания
на сейсмические нагрузки
Рассчитать связи покрытия одноэтажного здания с расчетной сейсмичностью 9 баллов, рассмотренного в
примере 1.
Конструктивное решение горизонтальных и вертикальных связей между стропильными фермами покрытия принято по серии 1.460-4 "Стальные конструкции покрытий производственных зданий с применением стального профилированного настила" (выпуск 3), а связей по фонарю - по серии 1.464-2/73 "Стальные конструкции светоаэрационных фонарей производственных зданий" (выпуск 2). Геометрические схемы связей и значения усилий в их элементах от единичных нагрузок приведены на
рис. 50 и
51.
в)
Элементы связей | Обозначение стержней | Усилия в связевых фермах в тс от единичных нагрузок по схемам |
1 | 2 | 3 | 4 | 5 | 6 |
Пояса | п | 0,84 | 0,42 | 0,01 | 0,54 | 0,75 | 0,69 |
Раскосы | р | 0,65 | 0,65 | 0 | 0,46 | 0,65 | 0,65 |
у | 0,29 | 0,29 | 0,29 | 0,29 | 0,29 | 0,29 |
Рис. 50. К расчету поперечной связевой фермы в плоскости
верхних поясов стропильных ферм
а - геометрическая схема связи; б - схемы расположения
сейсмических нагрузок; в - усилия в связевой ферме
от единичных нагрузок
а)
б)
Элемент связи | Пояса | Раскосы |
Обозначения стержня | B1 | B2 | H1 | H2 | P1 | P2 |
Усилия в тс | 0 | +2,18 | -1,64 | -1,64 | +2,22 | -0,74 |
Рис. 51. К расчету поперечной связевой фермы в плоскости
нижних поясов стропильных ферм
а - геометрическая схема связи; б - усилия в связевой ферме
от единичных нагрузок
Вертикальные расчетные нагрузки (с учетом коэффициентов перегрузки и сочетания) от собственного веса конструкций покрытия, стен, снега и промпроводок, размещенных в межферменном пространстве, приведены в
табл. 4 примера 1. Промпроводки крепятся к верхним или нижним поясам стропильных ферм и нагрузка от них передается на верхние пояса ферм в размере 30%, на нижние - 70%.
Для определения величин сейсмических нагрузок на связи по
формуле (1) значение произведения коэффициентов

принято из расчета каркаса: в поперечном направлении здания равным

;
в продольном направлении здания равным

.
Примечание. Значение коэффициента

для определения продольной сейсмической нагрузки на связи принято наибольшим из окончательного расчета каркаса в продольном направлении (по первому и второму случаям), который в
примере 1 не приведен.
А. РАСЧЕТ ПОПЕРЕЧНЫХ СВЯЗЕВЫХ ФЕРМ В ПЛОСКОСТИ ВЕРХНИХ
ПОЯСОВ СТРОПИЛЬНЫХ ФЕРМ (ВЫПОЛНЯЕТСЯ В СООТВЕТСТВИИ
1. Определяем число связевых ферм по верхним поясам стропильных ферм в пролетах А-Б и В-Г покрытия без фонаря и производим подбор сечений элементов связей.
Вычисляем по
формуле (1) значение продольной сейсмической нагрузки

, передающейся на все связи пролета покрытия в пределах длины здания (
рис. 12, а). При этом расчетную вертикальную нагрузку Q определяем от веса кровли, профилированного настила, прогонов, снега, 50% веса несущих конструкций покрытия и 30% веса промпроводок.
Q = (0,081 + 0,015 + 0,010 + 0,035 + 0,5·0,040 +
+ 0,3·0,036)(24 - 3)·96 = 346,8 тс;

.
Вычисляем значение продольной сейсмической нагрузки

, передающейся на связевую ферму, расположенную в торце здания. Нагрузку Q определяем от веса торцевой стены на участке в пределах верхней половины высоты стропильной фермы и парапета.
При

и

имеем:

;

.
Определяем усилия в поясе связевой фермы от сейсмических нагрузок

и

, принимая из
табл. 14 значения усилий от единичных нагрузок, действующих на связевую ферму соответственно по
схеме 4 и
схеме 6:
а) от нагрузки

:

;
б) от нагрузки

:

.
Элементы связевых ферм проектируем из замкнутых гнутосварных профилей. Пояса связевых ферм принимаем сечением 80 x 3 мм с несущей способностью при особом сочетании нагрузок [N] = -16,3 тс (см. лист 27 серии 1.460-4, вып. 3).
По
формуле (18) определяем минимально необходимое число связевых ферм на бесфонарный пролет покрытия:

.
Принимаем три связевые фермы, которые в соответствии с указаниями
п. 2.22 располагаем у торцов и в середине длины здания (рис. 52).
Рис. 52. План прогонов и связей по верхним поясам ферм
1 - поперечные связевые фермы; 2 - прогоны
Определяем суммарные расчетные усилия в элементах связевых ферм и производим подбор сечений элементов связи, учитывая следующее распределение сейсмических нагрузок:

воспринимается всеми связевыми фермами и распределяется между ними равномерно,

- связевыми фермами, расположенными в торцах здания. Вычисления усилий в элементах связевых ферм и принятые сечения приведены в табл. 14.
Обозначение элементов связи (см. рис. 50) | Усилия от  , тс | Усилия от  , тс | Расчетные усилия от  , тс | Принятые сечения, мм | Несущая способность элементов связи, тс |
| | | |
п | -0,54 | -10,6 | -0,69 | -1,5 | -12,1 | | -16,3 |
р | -0,46 | -9,1 | -0,65 | -1,4 | -10,5 | | -14,1 |
у | -0,29 | -5,7 | -0,29 | -0,6 | -6,3 | | -11,4 |
2. Определяем число связевых ферм по верхним поясам стропильных ферм в пролете Б-В покрытия с фонарем и производим подбор сечений элементов связей.
Вычисляем по
формуле (1) значения сейсмических нагрузок

, передающихся на связевые фермы, в соответствии с
рис. 12, б. Характеристика нагрузок и их вычисления приведены в табл. 15.
Таблица 15
| | ИС МЕГАНОРМ: примечание. Вычисления даны в соответствии с официальным текстом документа. | |
Схемы расположения нагрузок по рис. 50 | Нагрузки | Вычисления |
| От веса кровли, профилированного настила, прогонов и снега на всем фонаре и от 40% веса фонарных панелей (с бортами, монорельсами, переплетами, механизмами открывания и торцами фонаря) | |
| От веса кровли, профилированного настила, прогонов и снега у фонаря вдоль здания на участке шириной 1,5 м и от 60% веса фонарных панелей (с бортами, монорельсами, переплетами, механизмами открывания и торцами фонаря) | |
| От веса кровли, профилированного настила, прогонов и снега, расположенных на внефонарной зоне пролета | |
| От 50% веса несущих конструкций покрытия и 30% веса промпроводок | |
| От веса кровли, профилированного настила, прогонов и снега с участка перед фонарем | |
| От веса торцевой стены на участке в пределах верхней половины высоты стропильной фермы и парапета | |
Определяем усилия в поясе связевой фермы от сейсмических нагрузок

;

;

и

, которые равномерно распределяются между всеми связевыми фермами (усилия в поясе от единичных нагрузок принимаем из таблицы на
рис. 50)

;

;

;

.
Определяем усилия в поясе связевой фермы от сейсмических нагрузок

и

, которые воспринимаются связевыми фермами, расположенными в торцах здания:

;

.
Определяем по
формуле (19) минимально необходимое число связевых ферм на пролет Б-В с фонарем, принимая элементы поясов связевых ферм из замкнутых гнутосварных профилей сечением 80 x 3 мм с несущей способностью при особом сочетании нагрузок [N] = 16,3 тс

.
Принимаем три связевые фермы, которые располагаем у торцов и в середине длины здания
(рис. 52).
Определяем суммарные расчетные усилия в элементах связевых ферм и производим подбор сечений элементов связей по сортаменту, приведенному на листе 27 серии 1.460-4 (вып. 3).
Вычисления усилий в элементах связевых ферм и принятые сечения приведены в табл. 16.
Таблица 16
Обозначение элементов связи (см. рис. 50) | Усилия, тс, от сейсмических нагрузок по схемам рис. 50 | Суммарные усилия, тс | Принятые сечения, мм | Несущая способность элементов связи, тс |
| | | | | |
 тс |  тс |  тс |  тс |  тс |  тс |  тс |  тс |  тс |  тс |  тс |  тс |
п | -0,84 | -6,9 | -0,42 | -1,6 | -0,01 | -0,1 | -0,54 | -1,9 | -0,75 | -3,2 | -0,69 | -1,5 | -15,2 | | -16,3 |
р | -0,65 | -5,3 | -0,65 | -2,4 | 0 | 0 | -0,46 | -1,6 | -0,65 | -2,8 | -0,65 | -1,4 | -13,5 | | -14,1 |
у | -0,29 | -2,4 | -0,29 | -1,1 | -0,29 | -1,3 | -0,29 | -1 | -0,29 | -1,3 | -0,29 | -0,6 | -7,7 | | -11,4 |
Б. РАСЧЕТ ПОПЕРЕЧНЫХ СВЯЗЕВЫХ ФЕРМ В ПЛОСКОСТИ НИЖНИХ
ПОЯСОВ СТРОПИЛЬНЫХ ФЕРМ (ВЫПОЛНЯЕТСЯ В СООТВЕТСТВИИ
3. Определяем по
формуле (1) продольные сейсмические нагрузки на связевую ферму, расположенную в пролете Б-В у торца здания:
а) от 50% веса несущих конструкций покрытия и 70% веса промпроводок. Сейсмическую нагрузку вычисляем сначала на все связи пролета покрытия, а затем равномерно распределяем ее между связевыми фермами
Q = (0,5·0,040 + 0,7·0,036)(24 - 6)96 = 78,1 тс;

.
В соответствии с указанием
п. 2.22 поперечные связевые фермы в плоскости нижних поясов стропильных ферм устанавливаем в местах расположения поперечных связевых ферм по верхним поясам стропильных ферм (рис. 53), т.е. три связевые фермы на пролет.
Рис. 53. План ферм и связей по нижним поясам ферм
1 - дополнительный раскос
Следовательно, на одну связевую ферму передается

;
б) от веса торцевой стены на участке в пределах нижней половины высоты стропильной фермы и верхней половины высоты колонн:

;

.
Следовательно, суммарная сейсмическая нагрузка на связевую ферму, расположенную у торца здания, равна

.
Определяем расчетные усилия в элементах связевой фермы и производим подбор сечений элементов связи. Вычисления усилий в элементах связевой фермы приведены в табл. 17.
Таблица 17
Элемент связи | Пояса | Раскосы |
| B1 | B2 | H1 | H2 | P1 | P2 |
Усилие от единичной нагрузки, тс | 0 | +2,18 | -1,64 | -1,64 | +2,22 | -0,74 |
Расчетное усилие от  , тс | 0 | +31 | -23,3 | -23,3 | +31,5 | -10,5 |
Так как усилие в опорном раскосе P1 превышает 15 тс, то в соответствии с указанием
п. 2.29 устанавливаем дополнительный раскос
(рис. 53), а усилие в опорном раскосе связевой фермы принимаем равным 31,5·0,5 = 15,75 тс.
Принимаем элементы связевой фермы из замкнутых гнутосварных профилей квадратного сечения: пояса 160 x 3 мм с несущей способностью при расчете на особое сочетание нагрузок [N] = -35,4 тс, раскосы 160 x 4 мм с [N] = -19,2 тс.
В. РАСЧЕТ ПРОДОЛЬНЫХ СВЯЗЕВЫХ ФЕРМ В ПЛОСКОСТИ НИЖНИХ
ПОЯСОВ СТРОПИЛЬНЫХ ФЕРМ (ВЫПОЛНЯЕТСЯ В СООТВЕТСТВИИ
4. Определяем по
формуле (1) поперечную сейсмическую нагрузку, передающуюся на узел связевой фермы, от веса фахверковой стойки и продольной стены с грузовой площади в пределах нижней половины высоты стропильной фермы и верхней половины высоты колонн:
Q = 0,5·2,81 + 0,5·0,29·3,3·6 + 0,5[0,29(19,8 - 6 - 2,4) +
+ 0,038(6 + 2,4)]6 = 15,2 тс;

.
Определяем расчетное усилие в раскосе связевой фермы, принимая расчетную схему связи по
рис. 13.

.
Принимаем элементы связевой фермы из замкнутого гнутосварного профиля квадратного сечения 110 x 3 мм с несущей способностью при особом сочетании нагрузок [N] = -4,8 тс.
Г. РАСЧЕТ ВЕРТИКАЛЬНЫХ СВЯЗЕВЫХ ФЕРМ И РАСПОРОК МЕЖДУ
ОПОРНЫМИ СТОЙКАМИ СТРОПИЛЬНЫХ ФЕРМ (ВЫПОЛНЯЕТСЯ
5. Определяем продольные сейсмические нагрузки, передающиеся на наиболее загруженные вертикальные связевые фермы и распорки, расположенные у торца здания по крайнему и среднему рядам колонн:
а) Нагрузка, передающаяся на верхний пояс вертикальной связевой фермы от поперечной связевой фермы, расположенной в плоскости верхних поясов стропильных ферм.
Значение нагрузки вычисляем по данным
пп. 1 и
2 настоящего примера.
Для крайнего ряда колонн:

.
Для среднего ряда колонн

.
б) Нагрузка, передающаяся на верхний пояс вертикальной связевой фермы от прогонов покрытия, расположенных над продольным рядом колонн (от веса кровли, профилированного настила, прогонов, снега, 50% веса несущих конструкций покрытия и 30% веса промпроводок).
Для крайнего ряда колонн:

.
Для среднего ряда колонн:

;

.
в) Нагрузка, передающаяся на верхний пояс вертикальной связевой фермы от веса торцевой стены на участке в пределах верхней половины высоты стропильной фермы и парапета.
Для крайнего ряда колонн:

;

.
Для среднего ряда колонн:

;

.
г) Нагрузка, передающаяся на нижний пояс вертикальной связевой фермы, от поперечной связевой фермы, расположенной в плоскости нижних поясов стропильных ферм.
Значение нагрузки вычисляем по данным
п. 3 настоящего примера.
Для крайнего ряда колонн:

.
Для среднего ряда колонн:

.
Дополнительно вычисляем нагрузку, передающуюся на нижний пояс вертикальной связевой фермы от веса путей подвесных кранов пролета А-Б, которые при расчете связей по
п. 3 настоящего примера не учитывались.

;

.
д) Нагрузка, передающаяся на нижний пояс вертикальной связевой фермы от стойки, расположенной у колонны (от веса торцевой стены на участке в пределах нижней половины высоты стропильной фермы и верхней половины высоты колонн).
Для крайнего ряда колонн:

;

.
Для среднего ряда колонн:

;

.
Определяем по формулам
табл. 3 значения суммарных сейсмических расчетных нагрузок

;

и N (см.
рис. 17), непосредственно воздействующих на связи и распорки (с вычетом нагрузки, воспринимаемой вертикальной связью по колоннам выше уровня подкрановых балок).
Для крайних рядов колонн по осям А и Г (тип "б" по
рис. 16):
а) на вертикальную связь:

;

;

;
б) на распорки:
по оси А:

;
по оси Г:

.
Для средних рядов колонн по осям Б и В (тип "б" по
рис. 16):
а) на вертикальную связь:

;

;

, при этом

;
б) на распорку:

.
Связи проектируем из замкнутых гнутосварных профилей. По сортаменту на листе 27 серии 1.460-4 (вып. 3) принимаем:
а) вертикальные связевые фермы для крайних рядов колонн (по осям А и Г) марки ВС5с с несущей способностью при расчете на особое сочетание нагрузок

, для средних рядов колонн (по осям Б и В) марки ВС5с при

;
б) распорки по осям А и Г марки а6 с сечением 160 x 3 мм, [N] = -5 тс, по осям Б и В марки а7 с сечением 200 x 160 x 4 мм, [N] = -13 тс.
Д. РАСЧЕТ ГОРИЗОНТАЛЬНЫХ СВЯЗЕЙ ПО ФОНАРЮ
(ВЫПОЛНЯЕТСЯ В СООТВЕТСТВИИ С УКАЗАНИЯМИ
П. 2.40)
6. Схема установки горизонтальных связей по фонарю пролета Б-В показана на рис. 54.
Рис. 54. План и разрезы по фонарю
Расчетную схему связевой панели принимаем в виде двухконсольной фермы (
рис. 23, б).
Определяем по
формуле (1) продольные сейсмические нагрузки, передающиеся на узлы наиболее загруженной связевой панели, расположенной у торца фонаря:
а) от веса кровли, профилированного настила, прогонов, снега и 50% веса фонарных ферм (вертикальная расчетная нагрузка от веса одной фонарной фермы принята по серии 1.464-2/73 (выпуск 2), равной 0,49 тс).
На крайний узел связи:

.
На средний узел связи:

;
б) от 40% веса фонарных панелей (с бортами, монорельсами, переплетами и механизмами открывания).
На крайний узел связи:

;
в) от 50% веса торца фонаря (с учетом веса панели торца фонаря, который принят по серии 1.464-2/73, вып. 2, равным 0,124 тс).
На крайний узел:

.
На средний узел:

.
Суммарная сейсмическая нагрузка на крайний узел связи:

;
на средний узел связи:

.
Определяем расчетное усилие в раскосе связевой панели от действия суммарных сейсмических нагрузок
(рис. 55):

.
Рис. 55. Расчетная схема горизонтальной связи по фонарю
Принимаем сечение элементов связей из двух равнобоких уголков размером 80 x 5,5 мм с несущей способностью [N] = -7,1 тс.
Е. РАСЧЕТ ВЕРТИКАЛЬНЫХ СВЯЗЕЙ ПО ФОНАРЮ
(ВЫПОЛНЯЕТСЯ В СООТВЕТСТВИИ С УКАЗАНИЯМИ
П. 2.40)
7. Схема установки вертикальных связей по фонарю пролета Б-В показана на
рис. 54.
Расчетную схему связевой фермы принимаем по
рис. 24.
Значение продольной сейсмической нагрузки, действующей на связь в уровне ее верха, принимаем равным величине опорной реакции в расчетной схеме горизонтальной связи по фонарю
(рис. 55), т.е. S = 4,22 тс.
Определяем расчетные усилия в стержнях связевой фермы от действия сейсмической нагрузки и производим подбор сечения элементов связи.
Значения расчетных усилий приведены на схеме рис. 56. Принимаем по листу 9 серии 1.464-2/73 (вып. 2) марку вертикальной связи 2ВС-5 со значениями расчетных усилий в ее элементах большими, чем указаны на схеме рис. 56.
Рис. 56. Расчетная схема вертикальной связи по фонарю
Пример 3. Расчет стропильной фермы покрытия на особое
сочетание нагрузок с учетом вертикальной
сейсмической нагрузки
ИСХОДНЫЕ ДАННЫЕ
Рассчитать стропильную ферму пролета Б-В покрытия одноэтажного здания с расчетной сейсмичностью 9 баллов, рассмотренного в
примере 1, на особое сочетание нагрузок с учетом вертикальной сейсмической нагрузки.
Вертикальные нагрузки от собственного веса конструкций покрытия, снега и промпроводок, размещенных в межферменном пространстве, приведены в
табл. 4 примера 1.
Расчет
1. Производим выбор марки стропильной фермы по сортаменту ферм, приведенному на листах 34 и 35 серии 1.460-4 (вып. 1), в соответствии со значением фактической вертикальной расчетной нагрузки на ферму, которую определяем:
а) от веса кровли, профилированного настила, прогонов, промпроводок и снега
P = (0,075·1,2 + 0,015·1,1 + 0,01·1,1 +
+ 0,035·1,3 + 0,05·1,4)·12 = 2,81 тс/м;
б) от веса фонаря (рядового) по таблице на листе 2 серии 1.460-4 (вып. 1):

;
P = 0,01·3,29·12 = 0,39 тс/м.
Следовательно, расчетная нагрузка на стропильную ферму равна
2,81 + 0,39 = 3,2 тс/м.
По сортаменту стропильных ферм пролетом 24 м принимаем ферму марки ФС24-3,85.
2. Определяем значения вертикальных расчетных нагрузок на верхние узлы фермы, учитываемых при расчете на особое сочетание нагрузок (
рис. 57, б):

;

;

;
Рис. 57. Схемы к расчету стропильной фермы с учетом
вертикальной сейсмической нагрузки
а - геометрическая схема фермы ФС24-3,85; б - усилия
в элементах фермы от силы

; в - усилия в элементах фермы
от

; г - усилия в элементах фермы от суммарной
расчетной нагрузки
3. Определяем перемещение фермы в середине пролета

от нагрузок Q.
Значения усилий в элементах фермы от нагрузок Q приведены на схеме
рис. 57, б.
Значения усилий в элементах фермы от единичной нагрузки, приложенной в середине пролета фермы, приведены на схеме
рис. 57, в.
Вычисление перемещения

приведено в табл. 18.
Таблица 18
Элемент фермы | Стержень | Сечение |  , тс |  , тс | l, см | F, см2 |  , см |
Верхний пояс | 0-1 | | 0,00 | 0,00 | 280 | 48,6 | 0,000 |
1-3 | | 50,14 | 0,95 | 600 | 48,6 | 0,294 |
3-4 | | 62,87 | 1,93 | 300 | 48,6 | 0,357 |
| | | Итого | - | - | 0,651 |
Нижний пояс | 5-6 | | 29,17 | 0,46 | 580 | 30,4 | 0,122 |
6-7 | | 61,65 | 1,44 | 600 | 30,4 | 0,834 |
| | | Итого | - | - | 0,956 |
Раскосы | 5-1 | | 41,17 | 0,68 | 416 | 39,4 | 0,141 |
1-6 | | 31,68 | 0,70 | 430 | 25,6 | 0,177 |
6-3 | | 16,45 | 0,70 | 430 | 39,4 | 0,060 |
3-7 | | 1,89 | 0,70 | 430 | 21,2 | 0,013 |
| | | Итого | - | - | 0,391 |
Стойки | 6-2 | | 10,8 | 0,00 | 309 | 21,2 | 0,000 |
7-4 | | 2,7 | 1,00 | 309 | 21,2 | 0,019 |
| | | Итого | - | - | 0,019 |

.
4. Определяем по
формуле (26) период первого тона собственных колебаний фермы.

.
Так как T < 0,5 с, то при расчете фермы учитываем только первую форму колебаний.

;

.
Вычисляем по
формуле (27) ординаты формы деформации оси фермы:

;

;

;

.
Тогда по формуле
имеем:

;

;

;

;

;

.
Определяем расчетные нагрузки на ферму при особом сочетании нагрузок с учетом вертикального сейсмического воздействия.
Вычисления значений нагрузок приведены в табл. 19.
Таблица 19
Вертикальные нагрузки | Сейсмические нагрузки  | Суммарная расчетная нагрузка, тс |
обозначение | величина, тс | | | |  , тс |
| 7,8 | 0,1 | 4,29 | 0,526 | 1,8 | 9,6 |
| 10,8 | 0,1 | 4,29 | 0,933 | 4,3 | 15,1 |
| 10,4 | 0,1 | 4,29 | 1,177 | 5,3 | 15,7 |
| 2,7 | 0,1 | 4,29 | 1,259 | 1,5 | 4,2 |
8. Определяем расчетные усилия в элементах фермы при особом сочетании нагрузок.
Значения расчетных усилий в элементах фермы, тс, приведены на схеме
рис. 57, г.
Далее, путем сравнения полученных расчетных усилий с несущей способностью элементов фермы, приведенной в сортаменте стропильных ферм на листе 34 серии 1.460-4, выпуск 1 (с учетом коэффициентов

по
п. 1.16), делается заключение о достаточности или недостаточности сечений элементов и прочности сварных соединений и в необходимых случаях вносятся соответствующие коррективы.
Пример 4. Расчет узла сопряжения ригеля с колонной
многоэтажного здания
ИСХОДНЫЕ ДАННЫЕ
Рассчитать узел сопряжения ригеля с колонной многоэтажного здания на расчетные усилия при особом сочетании нагрузок с учетом сейсмического воздействия. Расчетно-конструктивная схема узла показана на рис. 58. Расчетные усилия в ригеле M = 126,8 тсм (по оси колонны), N = 5 тс, Q = 54,5 тс. Ригель проектируется из стали класса С38/23 с расчетными сопротивлениями R = 2100 кгс/см2,

.
Рис. 58. Узел сопряжения ригеля с колонной
многоэтажного здания
1 - ригель поперечной рамы; 2 - колонна;
3 - ригель продольной рамы; 4 - ребро колонны
(в створе с поясами ригелей); 5, 6 - выводные планки
(принимаются по толщине пояса ригеля)
Расчет
1. Определяем размеры сечения стенки ригеля:

.
Принимаем

;

.
Проверяем напряжение в стенке ригеля:

.
2. Проверяем устойчивость стенки ригеля по формуле (31) главы СНиП II-В.3-72:

.
3. Определяем размеры сечения поясов ригеля.
Изгибающий момент в ригеле по грани колонны равен

.
Принимаем толщину пояса

и по
формуле (30) определяем расчетное усилие в поясе ригеля:

.
Требуемая площадь сечения пояса ригеля:

.
Принимаем пояса ригеля сечением 400 x 16 мм

.
4. Проверяем устойчивость поясных листов ригеля.
Ширина сжатого свеса поясного листа ригеля равна

.
Тогда

(см. п. 6.15 главы СНиП II-В.3-72).
5. Рассчитываем накладки, прикрепляющие стенку ригеля к колонне.
Принимаем накладки с размерами h = 600 мм, c = 130 мм,

.
Определяем изгибающий момент, действующий на накладки:

;

;

;

.
6. Рассчитываем стенку колонны в пределах высоты ригеля на срез от действия поперечной силы, определяемой по
формуле (32), при

.

.
Так как колонна имеет замкнутое коробчатое сечение с площадью

(4 равнобоких уголка размером 200 x 30 мм), то площадь среза стенки колонны равна

.
Напряжение в стенке равно

.
7. Толщину диафрагм в колонне на уровнях поясов ригеля назначаем из
условия (29):

.
Принимаем

.
8. Рассчитываем сварные швы прикрепления ригеля к колонне
(рис. 58):
а) шов 1 (два шва)

;

;

;

;

;

;

;

;

.
б) шов 2 (два шва).
Швы 2 принимаем по швам 1:

;

.
в) прочие швы.
Швы 3 и 5 выполняются равнопрочными основному металлу поясов ригелей с подваркой корня и проверяются физическими методами контроля качества сварки (100%).
Швы 4 и 6 выполняются с полным проплавлением.
Проверка шва физическими способами контроля необязательна.
ПРИМЕР РЕШЕНИЯ ВЕРТИКАЛЬНЫХ КРЕСТОВЫХ
СВЯЗЕЙ МЕЖДУ КОЛОННАМИ С УЧЕТОМ РАЗВИТИЯ В НИХ
ПЛАСТИЧЕСКИХ ДЕФОРМАЦИЙ ПРИ СЕЙСМИЧЕСКОМ ВОЗДЕЙСТВИИ
Вертикальные связи между колоннами рекомендуется проектировать со специальными конструктивными элементами, в которых допускается развитие пластических деформаций при воздействии на каркас здания расчетных сейсмических нагрузок.
В крестовых связях эти элементы могут решаться в виде расположенной посередине связевой системы прямоугольной рамы с жесткими узлами, соединенными с диагональными элементами связей (
рис. 59, а). Размеры проема рамы в свету следует принимать не менее 50 см. Элементы рамы рекомендуется выполнять из стали класса С38/23.
Расчетное горизонтальное сейсмическое усилие, которое передается на связевую систему, воспринимается растягиваемыми диагональными элементами и рамой. Сжимающее усилие в диагональных элементах не учитывается, так как при сжатии связи могут терять устойчивость.
Растягивающее усилие в диагональных элементах связи определяется по формуле

, (42)
где

- расчетное горизонтальное сейсмическое усилие, прикладываемое к связевой системе;

- угол наклона диагонального элемента связи.
Расчетная схема узла рамы показана на
рис. 59, б. Усилие N уравновешивается реакциями

и

, направленными параллельно N и приложенными в нулевых моментных точках соответственно горизонтального и вертикального стержней рамы. Реакции

и

определяются по формулам:

; (43)

, (44)
где

;

;
l и h - длины соответственно горизонтального и вертикального стержней рамы.
Рис. 59. Схема вертикальной связи между колоннами (а)
и расчетная схема узла прямоугольной рамы связи (б)
Реакции

и

раскладываются на поперечные и продольные (осевые) составляющие:

;

;

;

,
на которые рассчитываются сечения элементов рамы. Например, в сечении а-а горизонтального элемента рамы (
рис. 59, б) значение напряжения определяется по формуле

, (45)
где

- площадь сечения элемента рамы нетто;

- момент сопротивления сечения элемента рамы нетто;

- расстояние от нулевой точки до сечения а-а.
Во время колебания каркаса здания эти напряжения возникают как в нижних, так и в верхних точках сечения стержней рамы, так как усилие N прикладывается то к одной, то к другой диагонали связи и вызывает в раме знакопеременные усилия.
Сечения элементов связевой системы должны подбираться таким образом, чтобы жесткость связи в горизонтальном направлении отвечала бы жесткости портальных связей, устанавливаемых в несейсмических районах при соответствующих основных сочетаниях нагрузок. При этом жесткость связи определяется с учетом деформативности диагональных элементов и рамы.
На
рис. 60 показано решение узла рамы, запроектированной из сварных двутавров. Стержни рамы приварены скошенными торцами к наклонной металлической пластине, соединенной с диагональным элементом связи. Сечение рамы в местах узловых соединений усилены путем уширения полок стержней. Такое усиление выполнено с целью удаления зоны максимальных напряжений от зон сварных стыков. Возникновение пластического шарнира в данном случае планируется в зоне сечения 0-0, т.е. в месте перехода от основного сечения стержня к развитому узловому сечению. Расположение сечения 0-0 определяется из условия равенства напряжения в этом сечении величине

, где R - расчетное сопротивление стали,

- коэффициент, обусловливающий появление пластического шарнира. Для стали класса С38/23 ГОСТ 380-71* рекомендуется принимать

. Напряжения в зонах сварных стыков (сечение 1-1) не должны превышать расчетных сопротивлений сварных соединений.
Рис. 60. Пример решения узла прямоугольной рамы
вертикальной связи между колоннами
Края полок в зоне сечения 0-0 рекомендуется выполнять округлыми для снижения концентрации напряжений. Уширения полок следует обеспечивать из такого расчета, чтобы наклон уширенной стороны полки к продольной оси стержня был не более 1:2.