Главная // Актуальные документы // Рекомендация / РекомендацииСПРАВКА
Источник публикации
М.: Стройиздат, 1989
Примечание к документу
Название документа
"Рекомендации по учету комплекса технологических и эксплуатационных параметров, оптимизирующих свойства конструкционного керамзитобетона на карбонатном песке"
"Рекомендации по учету комплекса технологических и эксплуатационных параметров, оптимизирующих свойства конструкционного керамзитобетона на карбонатном песке"
НАУЧНО-ИССЛЕДОВАТЕЛЬСКАЯ ЛАБОРАТОРИЯ
ЭКСПЕРИМЕНТАЛЬНОГО ПРОЕКТИРОВАНИЯ ЖИЛЫХ И ОБЩЕСТВЕННЫХ
ЗДАНИЙ ОДЕССКОГО ИНЖЕНЕРНО-СТРОИТЕЛЬНОГО ИНСТИТУТА
(НИЛЭП ОИСИ)
РЕКОМЕНДАЦИИ
ПО УЧЕТУ КОМПЛЕКСА ТЕХНОЛОГИЧЕСКИХ И ЭКСПЛУАТАЦИОННЫХ
ПАРАМЕТРОВ, ОПТИМИЗИРУЮЩИХ СВОЙСТВА КОНСТРУКЦИОННОГО
КЕРАМЗИТОБЕТОНА НА КАРБОНАТНОМ ПЕСКЕ
Рекомендованы Решением научно-технического совета НИЛЭП ОИСИ.
Содержат требования к исходным материалам и керамзитобетонным смесям, конструкционному керамзитобетону на карбонатном песке. Даны указания по методике комплексного подхода к проектированию составов конструкционного керамзитобетона на карбонатном песке, технологии кассетного производства конструктивных элементов и контролю их качества.
Для инженерно-технических работников домостроительных комбинатов и заводов железобетонных изделий, проектных и научно-исследовательских организаций.
Применение керамзитобетона на карбонатном песке в массовом индустриальном жилищном строительстве при условии использования местных заполнителей позволяет улучшить технико-экономические показатели.
Максимальный учет свойств местных пористых заполнителей в сочетании с привязкой к конкретной технологии изготовления керамзитобетона и уровнем ее подготовки являются исходными данными для проектирования эффективных типовых конструкций.
Учитывая рекомендуемый в случае применения легких бетонов в индустриальном строительстве принцип "от материала к конструкции через технологию в экономику", для проектирования конструктивных элементов из керамзитобетона на карбонатном песке целесообразно использовать комплексный подход. Такой подход позволяет учесть условие и уровень подготовки конкретного производства и обеспечить комплекс технологических и эксплуатационных требований, предъявляемых к керамзитобетону на карбонатном песке и конструкциям на его основе.
Разработаны НИЛЭП ОИСИ (кандидаты техн. наук А.С. Столевич, С.В. Макаров, В.Г. Суханов, Р.Л. Тимчишина, Е.В. Лысенко, Г.Т. Филипович, А.И. Костюк, И.А. Столевич, П.А. Сенкевич) и лабораторией применения легких бетонов ЦНИИЭП жилища (кандидаты техн. наук Н.С. Стронгин, П.Я. Спивак).
1.1. Рекомендации содержат основные положения и методические указания по проектированию составов и технологии конструкционного керамзитобетона на карбонатном песке при кассетном производстве внутренних несущих и звукоизолирующих крупнопанельных конструкций (акустически однородных стеновых межкомнатных и межквартирных панелей и панелей междуэтажных перекрытий).
1.2. Рекомендации регламентируют применение изделий из керамзитобетона на карбонатном песке классов по прочности на осевое сжатие В7,5; В10; В12,5; В15; В20, плотностью не более 1800 кг/м3, удовлетворяющих критериальному требованию надежной звукоизоляции и изготовленных из смесей с заданными технологическими свойствами при соблюдении условия экономической эффективности.
1.3. Параметрами, нормирующими звукоизоляцию акустически однородных (сплошных) конструкций зданий и сооружений
(СНиП II-12-77), являются изоляция воздушного шума

, дБ, и приведенного ударного шума над перекрытием

, дБ. При ориентировочных расчетах величину

допускается определять по формулам:

, (1)

, (2)
где

- эквивалентная поверхностная плотность, кг/м
2, для бетонов на пористых заполнителях и цементном вяжущем, определяемая по формуле

, (3)
где

- поверхностная плотность, кг/м
2;
h - толщина конструктивного элемента, м;

- плотность бетона, кг/м
3;

- модуль упругости бетона, МПа.
Величина

зависит от конструкции пола и в настоящих Рекомендациях не учитывается.
Таким образом, звукоизолирующая способность сплошных конструкций в основном зависит от деформативных

и плотности

керамзитобетона на карбонатном песке.
Согласно
СНиП II-12-77 нормируемые величины

для указанных в
п. 1.1 конструктивных элементов равны: для межквартирных стеновых панелей и панелей междуэтажных перекрытий - 50 дБ; для межкомнатных стеновых панелей - 41 дБ.
Рассчитанные по
формулам (1) и
(2) соответствующие значения эквивалентных поверхностных плотностей

составляют 400 и 140 кг/м
2.
1.4. Структура керамзитобетона на карбонатном песке, обеспечивающая заданные технологические и эксплуатационные требования, может быть получена при учете свойств исходных материалов, правильном выборе режимов загружения и перемешивания компонентов, назначением и строгим соблюдением методов транспортировки, укладки и уплотнения смеси, установлением рациональных режимов твердения заформованных изделий на основе целенаправленного структурообразования бетона.
1.5. Изделия из керамзитобетона на карбонатном песке следует изготавливать согласно требованиям соответствующих СНиПов на железобетонные изделия, в соответствии с требованиями действующих инструкций и норм, а также с учетом настоящих Рекомендаций.
1.6. Изготовление изделий из конструкционного керамзитобетона на карбонатном песке должно проводиться по утвержденным в установленном порядке технологическим картам, составленным применительно к условиям конкретного производства и сырья.
1.7. По прочности, жесткости и трещиностойкости изделия из конструкционного керамзитобетона на карбонатном песке должны удовлетворять требованиям
СНиП 2.03.01-84 "Бетонные и железобетонные конструкции" с учетом настоящих Рекомендаций.
1.8. Внешний вид и качество отделки поверхностей изделий должны отвечать требованиям соответствующих стандартов.
1.9. При изготовлении, транспортировке и монтаже изделий из конструкционного керамзитобетона на карбонатном песке следует соблюдать правила техники безопасности в строительстве, а также противопожарные правила.
2. КОМПЛЕКСНЫЙ ПОДХОД К ПРОЕКТИРОВАНИЮ КОНСТРУКЦИОННОГО
КЕРАМЗИТОБЕТОНА НА КАРБОНАТНОМ ПЕСКЕ
2.1. Одновременный учет технологических и эксплуатационных требований к конструкционному керамзитобетону на карбонатном песке предполагает комплексный подход к проектированию составов, который позволяет обеспечить нормативный уровень эксплуатационных параметров изделий в заданных условиях производства при минимальных затратах трудовых и материальных ресурсов.
2.2. Комплексный подход основан на широком использовании математико-статистических методов, в частности математической теории эксперимента (МТЭ), и позволяет контролировать точность и надежность полученных параметров и характеристик на всех этапах проектирования конструкционного керамзитобетона на карбонатном песке.
2.3. В качестве технологических требований при проектировании конструкционного керамзитобетона на карбонатном песке рекомендуется назначать и учитывать:
требуемую удобоукладываемость, которая для условий кассетного производства определяется исходной подвижностью смеси ОК (осадка конуса, см);
способ производства;
технологическую оснастку на конкретном действующем производстве, которая регламентирует толщину h конструктивного элемента;
коэффициент вариации средней прочности

.
2.4. В качестве основных эксплуатационных требований к конструкционному керамзитобетону на карбонатном песке для внутренних несущих и звукоизолирующих крупнопанельных конструкций следует назначать:
нормативный уровень изоляции воздушного шума, который обеспечивается величиной динамической характеристики

и толщиной конструктивного элемента h;
класс керамзитобетона по прочности на осевое сжатие;
плотность и деформативность керамзитобетона.
2.5. В качестве дополнительного эксплуатационного требования рекомендуется принимать срок начала эксплуатации конструктивных элементов t, учет которого на стадии проектирования составов позволяет получать бетоны, гарантирующие нормативный уровень основных эксплуатационных требований к началу эксплуатации элемента. Возможность такого подхода связана с особенностями изменения во времени прочностных и деформативных свойств применяемого керамзитобетона и может быть дополнительным источником экономии материальных ресурсов.
2.6. В качестве общего требования к конструкционному керамзитобетону на карбонатном песке следует принимать требование экономичности.
2.7. Основные теоретические предпосылки для оптимизации керамзитобетона на карбонатном песке по динамической характеристике

(с ограничением по стоимости) приняты в основном по "Рекомендациям по проектированию составов и технологии производства конструктивного легкого бетона для несущих конструкций крупнопанельных зданий" (М., ЦНИИЭП жилища, 1982) и могут быть сформулированы следующим образом.
Все свойства керамзитобетона на карбонатном песке как конгломератного строительного материала зависят от его структуры, рассматриваемой во взаимосвязи следующих основных факторов:
агрегатной структуры, зависящей от свойств и упорядоченности расположения пористого заполнителя в макроструктуре бетона;
концентрации вяжущего, зависящей от свойств цемента и дисперсной части крупного и мелкого заполнителей;
расхода воды, зависящего в первую очередь от заданных технологических характеристик смеси.
Существенное влияние на структурообразование керамзитобетона на карбонатном песке оказывают способы и режим изготовления и уплотнения смеси при формировании, а также режим твердения заформованных конструктивных элементов.
2.8. Аргегатная структура конструкционного керамзитобетона на карбонатном песке определяется предельной крупностью заполнителя D, зерновым составом и значением агрегатно-структурного фактора r = М/(М + К).
2.9. Концентрация вяжущего (цемента) определяется его активностью, водопотребностью смеси и требуемой прочностью керамзитобетона, а также участием дисперсной части крупного и мелкого заполнителей в новообразованиях вяжущего.
2.10. Водопотребность бетонной смеси зависит от водопотребности заполнителей, цемента и от требуемой удобоукладываемости.
Для кассетной технологии формования конструктивных элементов удобоукладываемость определяется подвижностью смеси ОК = 6 - 19 см. Использование высокоподвижных и литых смесей (ОК >= 12 см) при обеспечении их однородности и нерасслаиваемости определяется особенностями керамзитобетона на карбонатном песке.
3. ТРЕБОВАНИЯ К КОНСТРУКЦИОННОМУ КЕРАМЗИТОБЕТОНУ
НА КАРБОНАТНОМ ПЕСКЕ
3.1. Конструкционный керамзитобетон на карбонатном песке во внутренних несущих и звукоизолирующих конструкциях по своим основным свойствам должен удовлетворять требованиям проекта соответствующих технических условий, а также настоящих Рекомендаций.
3.2. Основным требованием к конструкционному керамзитобетону на карбонатном песке для несущих и звукоизолирующих панельных конструкций является значение динамической характеристики

, обеспечивающей нормативный уровень звукоизоляции конструктивных элементов при заданном классе бетона и наименьшей стоимости конструкций.
Примерная зависимость толщины h акустически однородных крупнопанельных изделий из конструкционного керамзитобетона на карбонатном песке от динамической характеристики

, обеспечивающая нормативный уровень

50 дБ, приведена в табл. 1.
Таблица 1
Класс бетона | Eв·10-3, МПа |  , кг/м 3 | | Толщина изделия, см |
В7,5 | 10...11 | 1300...1350 | 76,9...81,5 | 20,2...19,6 |
В10 | 10,5...12 | 1300...1450 | 80,8...82,8 | 19,7...19,4 |
В12,5 | 11,5...12,5 | 1350...1450 | 85,2...86,2 | 19,2...19 |
В15 | 12...13,5 | 1400...1550 | 85,7...87,9 | 19,1...18,8 |
В20 | 13...14,5 | 1500...1600 | 86,7...90,6 | 19...18,5 |
3.3. В качестве крупного пористого заполнителя принимают керамзитовый гравий, а мелкого - карбонатный песок.
Насыпная плотность керамзитового гравия, кг/м3 ...... 400, 500, 600
Марка портландцемента ............................... 300, 400, 500
Плотность сухого керамзитобетона

, кг/м3 .......... 1300 - 1800
Класс бетона по прочности на осевое сжатие .......... 7,5; 10; 12,5; 15; 20
Предельная крупность заполнителя, мм ................ 10, 20
Агрегатно-структурный фактор r = М/(М + К) .......... 0,3 - 0,6
Подвижность смеси, см ............................... 6 - 19
3.4. Структура конструкционного керамзитобетона должна быть однородной и плотной (слитной) с объемом пустот не более 6%.
Наибольшая величина

обеспечивается правильным выбором значений агрегатно-структурного фактора r = М/(М + К): чем прочнее и дешевле пористый заполнитель, тем меньше значение r можно допустить.
3.5. Плотность конструкционного керамзитобетона на карбонатном песке в высушенном до постоянной массы состоянии не должна более чем на 5% превышать проектное значение, указанное в рабочих чертежах.
3.6. Класс бетона по прочности на осевое сжатие должен соответствовать указанному в рабочих чертежах.
3.7. Коэффициент вариации при оценке прочности конструкционного керамзитобетона на осевое сжатие

не должен превышать 0,135, а при оценке плотности

должен быть не более 0,05.
3.8. Отпускная прочность конструкционного керамзитобетона в изделиях устанавливается по согласованию с предприятием-изготовителем, потребителем и проектной организацией в соответствии с действующими ГОСТами с учетом срока начала эксплуатации изделий (см.
п. 2.5).
3.9. Масса изделий при отпуске потребителю не должна превышать более чем на 7% проектную, которая указана в рабочих чертежах.
4. ТРЕБОВАНИЯ К ИСХОДНЫМ МАТЕРИАЛАМ
И КЕРАМЗИТОБЕТОННЫМ СМЕСЯМ
4.1. Для изготовления конструктивных элементов из керамзитобетона на карбонатном песке рекомендуется использовать местные пористые заполнители - керамзитовый гравий и карбонатный песок, отвечающие требованиям действующих нормативных документов.
4.2. Керамзитовый гравий должен отвечать требованиям ГОСТ 9759-83.
Прочность при сдавливании в цилиндре, МПа ............ 1,8 - 4,5
Насыпная плотность, кг/м3 ............................ 350 - 600
Коэффициент конструктивного качества ................. 0,05 - 0,07
Поставку керамзитового гравия следует производить на основании технических условий и спецификаций к договору между поставщиком и потребителем.
4.3. Керамзитовый гравий должны поставлять чисто рассортированным, раздельно по фракциям 5 - 10 и 10 - 20 мм и однородным по насыпной плотности и прочности. Применение гравия фракции 20 - 40 не рекомендуется.
Засоренность фракций керамзита зернами большей крупности не должна превышать 5% по насыпному объему.
4.4. Превышение насыпной плотности керамзитового гравия по сравнению с браковочным максимумом ни в одной партии не допускается. Величина браковочного максимума устанавливается техническими условиями на поставку предприятию - изготовителю керамзита.
Коэффициент вариации насыпной плотности для каждой партии или нескольких складируемых вместе партий должен быть не более 0,05.
Фактическая насыпная плотность должна удовлетворять условию

,
где

,

- насыпные плотности фактическая и по техническим условиям;

- среднеквадратическое отклонение плотности от среднего значения.
4.5. Снижение прочности керамзита, определяемой сдавливанием в цилиндре, против браковочного минимума не допускается ни в одной партии.
Коэффициент вариации прочности для каждой партии или нескольких складируемых вместе партий должен быть не более 0,15.
Фактическая прочность керамзита должна удовлетворять условию
| | ИС МЕГАНОРМ: примечание. Формула дана в соответствии с официальным текстом документа. | |

,
где

,

- прочности фактическая и по техническим условиям;

- среднеквадратическое отклонение прочности от среднего значения.
4.6. В качестве мелкого заполнителя для приготовления конструкционного керамзитобетона на карбонатном песке применяется карбонатный песок из известняков-ракушечников, полученный путем отсева или дробления и рассева отходов камнепиления и кусков известняка-ракушечника.
4.7. Пригодность известняка-ракушечника для получения песка определяется прочностью песка, полученного путем дробления исходной породы или отсеянного из отходов без дробления.
Методика определения прочности карбонатного песка приведена в "
Рекомендациях по производству и применению керамзитобетона на известняковом песке для конструктивных элементов жилых домов", НИЛЭП ОИСИ (М., Стройиздат, 1986).
Карбонатный песок прочностью ниже 1 МПа применять не рекомендуется.
4.8. Зерновой состав песка после отсева зерен крупнее 5 мм должен соответствовать следующим требованиям.
Размеры отверстий Прошло
контрольных сит, через
мм ............... 2,5 1,25 0,63 0,315 0,14 сито 0,14
Полный остаток
на контрольных
ситах, %
(по массе) ...... 0 - 35 15 - 55 35 - 75 55 - 90 70 - 90 30 - 10
Для получения смесей подвижностью свыше 6 см рекомендуется применять пески с модулем крупности 1,8 - 2,5. Содержание в песке зерен крупностью 6 - 10 мм не должно превышать 10% по массе.
4.9. Содержание в песке отдельно глинистых частиц допускается не более 1%.
4.10. При обработке раствором едкого натрия (калориметрическая проба на органические примеси) не должен придавать раствору окраску темнее цвета эталона.
4.11. Содержание в песке водорастворимых сернистых и сернокислых соединений в пересчете на

допускается не более 1% по массе.
4.12. В качестве вяжущего рекомендуется применять портландцемент и шлакопортландцемент марок М300 - М500, отвечающий требованиям
ГОСТ 10178-85.
4.13. Для достижения требуемой подвижности керамзитобетонной смеси рекомендуется использовать пластифицирующие добавки СДБ и суперпластификаторы типа С-3.
4.14. Условия и порядок применения добавок должны устанавливаться лабораторией и утверждаться техническим руководством. Добавки применяются в виде рабочих растворов, загружаемых непосредственно в смеситель бетона, а не в воду затворения.
4.15. Вода для приготовления керамзитобетона должна соответствовать требованиям
ГОСТ 23732-79.
4.16. Все материалы, используемые как компоненты бетона, а также арматура, закладные детали, материалы для смазки форм, отделочные материалы, должны соответствовать требованиям проекта, ГОСТа, ТУ и систематически контролироваться в заводской лаборатории.
5. ПРОЕКТИРОВАНИЕ И ПОДБОР СОСТАВОВ КОНСТРУКЦИОННОГО
КЕРАМЗИТОБЕТОНА НА КАРБОНАТНОМ ПЕСКЕ
5.1. Подбор состава конструкционного керамзитобетона на карбонатном песке должен обеспечить получение керамзитобетона, удовлетворяющего комплексу технологических и эксплуатационных требований, указанных в
пп. 2.3 -
2.6.
5.2. При проектировании составов керамзитобетона для условий кассетного производства должны быть заданы:
а) фактические характеристики исходных материалов;
б) технологические показатели:
исходная подвижность смеси;
связанная с существующей технологической оснасткой заданная толщина h конструктивного элемента (на стадии действующего домостроительного производства) или минимальное значение динамической характеристики

(на стадии организации домостроительного производства), обеспечивающие нормативный уровень звукоизоляции;
фактический коэффициент вариации средней прочности керамзитобетона

для конкретных условий производства. На стадии организации домостроительного производства принимается нормативное значение коэффициента вариации

;
в) эксплуатационные показатели:
проектный класс бетона по прочности на осевое сжатие В;
назначение конструктивного элемента;
возраст бетона t к началу эксплуатации изготовленного из него конструктивного элемента.
5.3. Подбор составов конструкционного керамзитобетона на карбонатном песке производится в лаборатории на материалах, которые будут использованы при изготовлении керамзитобетона и конструктивных элементов из него в конкретных производственных условиях.
5.4. Проектирование состава конструкционного керамзитобетона на карбонатном песке включает следующие основные этапы:
а) предварительная оценка пригодности имеющихся исходных материалов;
б) расчет и назначение исходного состава;
в) проведение опытных замесов и изготовление контрольных образцов на базе исходного состава, обработка результатов испытаний контрольных образцов;
г) назначение расчетного состава;
д) проведение опытных замесов и изготовление контрольных образцов на базе расчетного состава; определение статистических характеристик изменчивости основных эксплуатационных параметров по результатам испытания контрольных образцов;
е) назначение рабочего состава.
5.5. При подборе некоторого заданного диапазона составов конструкционного керамзитобетона на карбонатном песке (
п. 5.4, в - д) целесообразно использовать методику планированного эксперимента, основанную на математической теории эксперимента (МТЭ).
5.6. Предварительную оценку пригодности имеющихся исходных материалов для приготовления керамзитобетона следует проводить согласно
п. 7 настоящих Рекомендаций или по паспортам поставок, в которых должны быть указаны необходимые характеристики этих материалов.
5.7. Составы керамзитобетона подбирают на сухих заполнителях, влажность заполнителей учитывается при назначении рабочих составов.
5.8. При проектировании составов конструкционного керамзитобетона на карбонатном песке для изготовления конструктивных элементов по кассетной технологии рекомендуется использовать подвижные (ОК = 6 - 8 см), высокоподвижные (ОК = 10 - 14 см) и литые (ОК = 16 - 19 см) смеси.
5.9. Для получения указанных в п. 5.8 смесей обязательно применение химических добавок типа СДБ и С-3, присутствие которых позволяет отодвигать границу водоотделения смесей и обеспечивает их однородность и нерасслаиваемость при значительных расходах воды. Рекомендуемые дозировки добавок (0,2 - 0,5)% от массы цемента зависят от требуемой подвижности смеси и должны назначаться в соответствии с требованиями "
Руководства по применению химических добавок в бетоне" (М., Стройиздат, 1981) и действующих инструкций и рекомендаций.
5.10. Значение агрегатно-структурного фактора r зависит в первую очередь от коэффициента конструктивного качества (ККК) керамзитового гравия - отношения его прочности в цилиндре к насыпной плотности

. С увеличением ККК слитную структуру и требуемую прочность керамзитобетона можно обеспечить при меньшем содержании растровой составляющей, т.е. при меньшем значении r = М/(М + К).
Кроме того, существенное влияние на r оказывают предельная крупность керамзитового гравия D и размер фракций применяемого мелкого заполнителя - карбонатного песка.
В табл. 2 приведены ориентировочные значения агрегатно-структурного фактора r = М/(М + К) в зависимости от коэффициента конструктивного качества керамзитового гравия для предельной крупности D = 10 мм и D = 20 мм при использовании карбонатного песка с размером фракций до 5 мм.
ККК | М/(М + К) при D, мм |
10 | 20 |
0,03 | 0,64 | 0,41 |
0,04 | 0,59 | 0,35 |
0,05 | 0,55 | 0,31 |
0,06 | 0,52 | 0,27 |
0,07 | 0,48 | 0,23 |
Для конструкционного керамзитобетона на карбонатном песке значение r рекомендуется принимать в диапазоне 0,2 <= r <= 0,6.
5.11. Расчет и назначение исходного состава конструкционного керамзитобетона на карбонатном песке рекомендуется проводить по предварительно установленному начальному уровню прочности

.
5.12. Начальный уровень прочности устанавливают следующим образом:
по заданному классу бетона по прочности на осевое сжатие В с учетом фактического коэффициента вариации средней прочности

вычисляют требуемую среднюю кубиковую прочность

; (4)
по значению требуемой средней кубиковой прочности с учетом срока начала эксплуатации конструкции t в зависимости от заданной исходной подвижности ОК смеси определяют начальный уровень прочности
при ОК = 6 - 8 см

, (5)
при ОК = 10 - 14 см

, (6)
при ОК = 16 - 19 см

. (7)
5.13. Расход компонентов исходного состава конструкционного керамзитобетона на карбонатном песке определяют следующим образом:
по рис. 1 (а - в) в зависимости от заданной исходной подвижности смеси и начального уровня прочности

при принятом согласно
п. 5.10 значении r = М/(М + К) назначают расход цемента Ц (кг/м
3);
Рис. 1. Зависимость прочности керамзитобетона
на карбонатном песке от расхода цемента при исходной
подвижности смеси ОК = 6 - 8 см (а); ОК = 14 см (б);
ОК = 16 - 19 см (в)
1 - r = 0,2 - 0,4; 2 - r = 0,4 - 0,5; 3 - r = 0,5 - 0,6
по
рис. 2 в зависимости от начального уровня прочности определяют значение обобщенного фактора состава Ф = (В/Ц + r), исходя из которого при назначенном r и найденном Ц определяют расход воды, л/м
3:
Рис. 2. Зависимость прочности R, модуля упругости

и плотности

керамзитобетона на карбонатном песке
от обобщенного фактора состава Ф = (В/Ц + r)
1 - ОК = 6 - 8 см; 2 - ОК = 10 - 14 см; 3 - ОК = 16 - 19 см
по
п. 5.9 назначают количество химической добавки (% от массы цемента), рассчитывая ее количество в единицах массы D, кг/м
3, затем по заданной концентрации и плотности

раствора добавки определяют количество в объемных единицах Д', л/м
3. С учетом принятой дозировки добавки корректируем расход воды

; (9)
общий расход керамзитового гравия и карбонатного песка, л/м3:
М + К = 1000 - Ц - В' - Д', (10)
где Ц - расход цемента, пересчитанный в объемные единицы (л/м3) с учетом паспортного значения плотности цемента и не превышающий значений, указанных в нормативных документах;
расход карбонатного песка, л/м3
М = [М/М + К](М + К); (11)
расход керамзитового гравия, л/м3
5.14. После получения исходного состава по
рис. 2 определяют соответствующие начальному уровню прочности значения модуля упругости

, плотности

и динамической характеристики

.
5.15. С учетом заданного срока начала эксплуатации конструктивного элемента t и заданной исходной подвижности смеси вычисляют h значение модуля упругости

и соответствующее ему значение динамической характеристики:
при ОК = 6 - 8 см

, (13)
ОК = 10 - 14

, (14)
ОК = 16 - 19

. (15)
5.16. При заданной толщине конструктивного элемента h и соответствующем нормативному уровню

значении эквивалентной поверхностной плотности

(см.
п. 1.4) по
формуле (3) рассчитывают минимально допустимое значение динамической характеристики

, которое сравнивают с соответствующим значением

, полученным для исходного состава в
п. 5.15.
При соблюдении условия

полученный расчетно-графическим путем исходный состав принимают для дальнейших расчетов. При несоблюдении указанного условия необходимо произвести пересчет исходного состава.
5.17. При отсутствии ограничений по толщине конструктивного элемента h, используя полученное в
п. 5.15 значение динамической характеристики

и соответствующее нормативному уровню

значение эквивалентной поверхностной плотности

, по
формуле (3) рассчитываем минимально допустимую толщину

, которую принимаем в качестве исходной при проектировании оснастки для изготовления конструктивных элементов.
При получении значений

, превышающих рекомендуемые для крупнопанельных элементов толщины, необходимо произвести соответствующий пересчет исходного состава.
5.18. При назначении исходного состава в зависимости от технико-экономических показателей может оказаться выгодным повысить класс по прочности на осевое сжатие В конструкционного керамзитобетона на карбонатном песке с тем, чтобы увеличить модуль упругости

и достигнуть нормативный уровень звукоизоляции

при меньшей толщине конструктивных элементов.
5.19. Принятый исходный состав конструкционного керамзитобетона на карбонатном песке экспериментально проверяют на соответствие заданным эксплуатационным характеристикам - начальному уровню прочности, установленному в
п. 5.12 по заданному классу бетона В; плотности

и модулю упругости

при требуемой подвижности смеси ОК.
Для этого проводятся опытные замесы, на базе которых изготавливают контрольные образцы - кубы, размером 15 x 15 x 15 см (не менее шести) и призмы размером 10 x 10 x 40 (не менее шести).
| | ИС МЕГАНОРМ: примечание. Взамен ГОСТ 10181.1-81 и ГОСТ 10181.2-81 Постановлением Госстроя России от 14.12.2000 N 18-61 с 1 июля 2001 года введен в действие ГОСТ 10181-2000. | |
Керамзитобетонную смесь испытывают в соответствии с ГОСТ 10181.1-81 и ГОСТ 10181.2-81, а контрольные образцы - по
ГОСТ 12730.1-78 и
ГОСТ 24452-80.
5.20. На базе удовлетворительных результатов проверки исходного состава определяют расчетный состав конструкционного керамзитобетона на карбонатном песке, в показатели которого помимо расхода компонентов включают прочность R, модуль упругости

, а также плотность керамзитобетона после формования - в высушенном до постоянной массы.
5.21. При неудовлетворительных результатах проверки исходный состав корректируют изменением агрегатно-структурного фактора, содержания песка и др. При необходимости корректировку производят несколько раз с последующей проверкой нового исходного состава в соответствии с
п. 5.19 до получения расчетного состава.
5.22. Для получения рабочего состава контролируют показатели изменчивости прочности R, модуля упругости

и плотности

керамзитобетона расчетного состава, для чего проводят новую серию опытных замесов (3 замеса) и берут из каждого замеса по три партии контрольных образцов, которые подвергают тепловой обработке. Затем образцы испытывают, определяя для каждого из них показатели R,

,

. Для каждой партии образцов фиксируют расходы компонентов по объему и по массе.
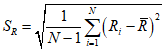
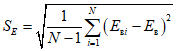
| | ИС МЕГАНОРМ: примечание. В официальном тексте документа, видимо, допущена опечатка: таблица 6 отсутствует. Возможно, имеется в виду таблица 3. | |
Результаты записывают в таблицу по форме табл. 6 и определяют статистические характеристики - фактическое значение коэффициентов вариации прочности R, модуля упругости

, плотности

:

,

,

и корреляцию

. Полученные значения сравнивают с регламентируемыми величинами.
Таблица 3
(форма)
N партии | Наименование образца | Марка образца | Кубиковая прочность Ri, МПа | Модуль упругости x 10-3, МПа | Плотность в сухом состоянии pi, кг/м3 | Ri - R |
| | | | | | |
Продолжение табл. 3
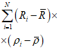
По данным таблицы определяют:
1. Средние арифметические значения: кубиковой прочности

; модуля упругости

; плотности

.
2. Средние квадратические отклонения: кубиковой прочности

; модуля упругости

; плотности

.
3. Коэффициенты вариации: кубиковой прочности

; модуля упругости

; плотности

.
4. Выборочный коэффициент корреляции между кубиковой прочностью и плотностью

.
5. Ошибку корреляции

.
6. Отношения выборочного коэффициента корреляции и ошибки

.
5.23. При удовлетворительных результатах расчетный состав принимают в качестве рабочего.
5.24. При неудовлетворительных результатах испытания необходимо повторить в соответствии с
п. 5.19 до получения контролируемых статистических характеристик в регламентируемых пределах.
5.25. При использовании методики планированного эксперимента для получения рабочего состава конструкционного керамзитобетона на карбонатном песке
(п. 5.5) в качестве оптимального принимают состав, обеспечивающий нормативный уровень звукоизоляции, заданную прочность (класс бетона В) при заданных технологических характеристиках смеси и минимальной стоимости керамзитобетона.
5.26. В качестве независимых переменных (варьируемых факторов) для получения оптимальных составов конструкционного керамзитобетона на карбонатном песке рекомендуется принимать:
расход цемента Ц, кг/м3;
агрегатно-структурный фактор r = М/(М + К);
расход химической добавки, % массы цемента.
В качестве дополнительного фактора допускается принимать количество пылевидной фракции (< 0,14 мм) карбонатного песка в % массы всего количества песка.
5.27. Контролируемыми выходами (параметрами) рекомендуется назначать прочность R и модуль упругости

керамзитобетона в возрасте 28 сут после пропаривания; плотность керамзитобетона в высушенном до постоянной массы состоянии

; стоимость 1 м
3 керамзитобетона C.
Дополнительным фактором (при необходимости) допускается назначать водопотребность керамзитобетонной смеси.
5.28. Исходный состав керамзитобетона назначается по
пп. 5.13 -
5.17. Расходы компонентов исходного состава принимают в качестве основных уровней варьируемых факторов
(п. 5.26).
5.29. Расходы компонентов для каждого опыта (строчки матрицы) назначают при расходе воды, принятом в исходном составе. В процессе проведения эксперимента расход воды в каждом опыте корректируют, исходя из условия получения смеси заданной подвижности.
5.30. После проведения эксперимента и назначения группы составов, удовлетворяющих технологическим и эксплуатационным требованиям, в качестве оптимального выбирают состав с минимальной стоимостью.
6. ТЕХНОЛОГИЯ ЗАВОДСКОГО ПРОИЗВОДСТВА ИЗДЕЛИЙ
ИЗ КОНСТРУКЦИОННОГО КЕРАМЗИТОБЕТОНА
НА КАРБОНАТНОМ ПЕСКЕ
6.1. Приемка и хранение керамзита и карбонатного песка должны производиться в закрытых складах раздельно по фракциям 0 - 5 (песок), 5 - 10, 10 - 20 (керамзит).
6.2. Хранение и последующее использование карбонатного песка допускается при влажности 7 - 8%, а чтобы исключить склеивание, смерзание и налипание песка при транспортировке влажность его должна быть 3 - 4%.
6.3. Транспортирование заполнителей со склада к месту дозирования должно исключать их разрушение и загрязнение. При этом рекомендуется использовать ленточные конвейеры, элеваторы, скиповые устройства. Применение бульдозеров и скреперов не допускается.
В момент подачи на дозирование заполнители должны иметь положительную температуру, не превышающую 70 °C.
6.4. Перед подачей заполнителей в расходные бункеры бетоносмесительного отделения завода следует проверить соответствие их качества требованиям
п. 7.
6.5. Приемку и хранение цемента следует производить строго по партиям. Перед загрузкой новой партии необходимо полностью очищать емкости от цемента предыдущей партии. Склад должен быть оснащен оборудованием для перекачки цемента из банки в банку.
6.6. Дозирование керамзитового гравия следует выполнять по насыпному объему с контролем массы раздельно по фракциям с точностью +/- 3%.
Дозирование карбонатного песка, цемента, добавок и воды производится по массе с точностью +/- 2%.
6.7. Химические добавки рекомендуется вводить в виде 5% раствора непосредственно в смеситель при перемешивании после окончания дозирования всех составляющих, включая воду. Введение добавки в воду затворения не допускается.
6.8. Приготовление керамзитобетонной смеси следует производить в цикличных бетоносмесителях принудительного действия. Рекомендуется вместимость смесителей не менее 1500 л. Применение смесителей дробящих и размалывающих керамзит при перемешивании не допускается. Для предохранения керамзита от размола, а также в целях обеспечения чистоты барабана, рекомендуется к лопастям смесителей крепить полосы конвейерной ленты.
6.9. Рекомендуется следующая последовательность загружения компонентов смеси:
все количество песка и цемента, а также половина количества воды перемешивается в течение 3 мин до получения однородной смеси;
все количество керамзита и оставшееся количество воды перемешивается в течение 2 мин, до получения однородной смеси;
водный раствор химической добавки и вся смесь перемешивается 1 мин.
Примечание. Продолжительность перемешивания следует уточнять в производственных условиях.
6.10. Транспортирование смеси должно производиться бесперегрузочными способами, исключающими ее расслоение или склеивание. Рекомендуется использовать транспортные средства вместимостью 2000 л и более. Применение конвейеров не допускается.
6.11. В зимних условиях керамзитобетонные смеси рекомендуется готовить на подогретой воде, температура при этом должна быть не выше 70 °C. Бетонная смесь, приготовленная в зимнее время, должна иметь температуру не ниже 10 °C.
6.12. При формовании изделий должны быть достигнуты принятые при проектировании состава уровни соответствующих показателей: высокая прочность, плотность и однородность структуры керамзитобетона по объему, высоте и поверхности формуемого изделия.
6.13. При формовании в кассетных установках необходимо следить за горизонтальностью слоев укладки и уплотнения смеси, не допускать увеличения подвижности смеси сверх проектной. Высота слоя укладки должна составлять 40 - 50 см.
При обнаружении признаков расслоения или водоотделения следует дополнительно ввести в смесь водоудерживающие добавки (карбонатную пыль, химическую поверхностно-активную добавку и пр.). Количество добавки устанавливается опытным путем.
Особое внимание следует уделять верхней формовочной открытой поверхности. После завершения формования необходимо удалять с нее остатки бетонной смеси.
6.14. Твердение изделий из керамзитобетона на карбонатном песке осуществляется тепловым прогревом в кассетных формах при температуре 95° - 100 °C. Подъем температуры должен производиться в течение 1 - 3 ч. Для получения распалубочной прочности бетона выдерживание изделий в кассетах при указанных температурах в зависимости от толщины изделия, подвижности и плотности бетона принимается от 3 до 5 ч. После этого пуск пара или горячего теплоносителя в паровой отсек прекращается и изделия остывают в форме: при двухкратном ее обороте 3 - 4 ч, при трехкратном - 2 - 3 ч, а затем подвергаются распалубке.
6.15. При распалубке изделий необходимо следить, чтобы вследствие неотрихтованности не было разделительных листов, зацепления бетона панелей в местах направленно установленных вкладышей, закладных деталей и фиксаторов, а также в результате транспортно-такелажных работ.
6.16. После распалубки изделия осматривают и маркируют. При осмотре изделия сортируют, выявляют брак и продукцию, требующую ремонта. Годные изделия после внешнего осмотра маркируют штампом ОТК и направляют на склад готовой продукции.
6.17. Имеющиеся на поверхности изделий раковины, крупные поры, каверны и смолы следует заделывать цементно-песчаным раствором. При необходимости поверхность шпаклюют.
6.18. При температуре наружного воздуха ниже минус 5 °C изделия необходимо выдерживать до вывоза на склад готовой продукции в теплом помещении при температуре 15 - 20 °C не менее 4 ч.
7. КОНТРОЛЬ КАЧЕСТВА ИСХОДНЫХ МАТЕРИАЛОВ,
КЕРАМЗИТОБЕТОННОЙ СМЕСИ, КЕРАМЗИТОБЕТОНА
И КОНСТРУКЦИЙ ИЗ НЕГО
7.1. Предприятия, выпускающие изделия из керамзитобетона на карбонатном песке, обязаны осуществлять систематический пооперационный контроль качества, который включает:
испытание заполнителей и арматуры в соответствии с действующими ГОСТами и техническими условиями;
контроль выполнения принятой технологии производства изделий и конструкций, а также работы технологического оборудования и приборов;
испытание бетонной смеси и контрольных образцов в соответствии с действующими ГОСТами и техническими условиями;
приемку готовой продукции по действующим стандартам и техническим условиям с учетом требований настоящих Рекомендаций.
7.2. При пооперационном контроле необходимо следить за правильным дозированием исходных материалов, соблюдением режимов приготовления и укладки бетонной смеси, за сборкой и подготовкой форм, установкой в проектное положение арматуры и закладных деталей; соблюдением режимов тепловой обработки, правил хранения и отгрузки изделий.
7.3. При приемке материалов от заводов-изготовителей и непосредственно перед приготовлением бетонной смеси необходимо проверять их качество.
| | ИС МЕГАНОРМ: примечание. Взамен ГОСТ 10181.0-81 - ГОСТ 10181.3-81 Постановлением Госстроя России от 14.12.2000 N 18-61 с 1 июля 2001 года введен в действие ГОСТ 10181-2000. | |
7.4. Контроль свойств керамзитобетонной смеси выполняют в соответствии с ГОСТ 10181.0-81, 10181.1-81, 10181.2-81, 10181.3-81 путем испытания бетонной смеси, которую берут из бетоноукладчиков.
7.5. Требуемые технологические параметры керамзитобетонной смеси должны приниматься для каждого класса легкого бетона по прочности на осевое сжатие В по данным технологического и формовочного оборудования.
7.6. Необходимая удобоукладываемость смеси определяется при возможно меньшем расходе воды затворения для принятого оборудования и способа формования с учетом проектных геометрических характеристик поперечных сечений конструкций и их насыщенности арматурой.
Характеристики удобоукладываемости бетона рекомендуется принимать с учетом кинетики структурообразования бетона, определяемой пластической прочностью смеси и виброукладываемостью.
7.7. Способы и режимы твердения должны приниматься в соответствии с параметрами оборудования, но при этом не допускается повышение расхода цемента для ускорения твердения керамзитобетона на карбонатном песке по сравнению с режимом нормального твердения.
7.8. Требуемая предельная крупность керамзитового гравия D определяется геометрическими характеристиками поперечных сечений и армированием конструкций по проекту и принимается равной 10 или 20 мм.
| | ИС МЕГАНОРМ: примечание. Взамен ГОСТ 10180-78 в части определения прочности бетона по контрольным образцам Постановлением Госстроя СССР от 29.12.1989 N 168 с 1 января 1991 года введен в действие ГОСТ 10180-90. | |
7.9. Прочность и плотность керамзитобетона (ГОСТ 10180-78* и
12730.1-78) устанавливают испытанием кубов в соответствии с требованиями проекта, они характеризуются в основном величиной нормативного сопротивления сжатию по распалубочной (подъемно-транспортной), отпускной и проектным стадиям. Для изгибаемых конструкций предел прочности определяется при изгибе по специальным указаниям проекта. Плотность назначается в высушенном состоянии и при отпускной влажности.
7.10. Величину модуля упругости устанавливают по
ГОСТ 24452-80 путем испытания опытных призм размером 10 x 10 x 40 см.
7.11. Расчетная изменчивость керамзитобетона (коэффициент вариации

) не должна превышать: по прочности 0,135, по плотности 0,05.
7.12. Результаты испытания контрольных образцов по прочности, плотности и модулю упругости ежемесячно или ежеквартально подвергаются статистической обработке с целью оценки однородности указанных показателей, которая позволяет выявить необходимые уровни прочности, плотности и модуля упругости для контроля и регулирования технологии, а также возможного изменения состава керамзитобетона.
7.13. Прочность, плотность и модуль упругости удовлетворяют проектным требованиям, если прочность и модуль упругости не ниже требуемых, а плотность не превышает проектное значение более чем на 3%.
7.14. Предел прочности при растяжении

рекомендуется определять раскалыванием образцов кубов 15 x 15 x 15 см в количестве не менее трех штук.
7.15. Проектное положение стержневой арматуры в изделиях проверяют приборами, регистрирующими ее положение без разрушения бетона. При их отсутствии допускается вырубка борозд до арматуры с последующей заделкой.
7.16. При приемке готовых изделий необходимо проверять:
прочность при сжатии и среднюю плотность;
влажность изделий;
наличие выколов, трещин и других видимых дефектов.
7.17. Изделия принимают партиями, размер которых устанавливают в соответствии с нормативными документами. Показатели качества изделий должны удовлетворять требованиям соответствующих ГОСТов.
7.18. Массу изделий необходимо определять для каждой партии, взвешивая их с помощью динамометра с точностью +/- 2%.
Отклонения массы должны соответствовать требованиям стандарта на данное изделие.
7.19. Контроль качества бетона в изделиях для каждой партии выполняют методом высверливания и испытания кернов по методике, изложенной в "Рекомендациях по технологии заводского производства и контролю качества легкого бетона и крупнопанельных конструкций жилых зданий" (ЦНИИЭП жилища, М., 1980), а также стандартными неразрушающими методами.
| | ИС МЕГАНОРМ: примечание. Взамен ГОСТ 8829-85 Постановлением Госстроя России от 17.07.1997 N 18-39 с 1 января 1998 года введен в действие ГОСТ 8829-94. | |
7.20. Отбор изделий и их испытание по прочности, жесткости и трещиностойкости производят согласно ГОСТ 8829-85 и в соответствии с требованиями специальных стандартов, технических условий и рабочих чертежей на эти изделия.
ЭКСПЕРИМЕНТАЛЬНОЕ УСТАНОВЛЕНИЕ ЗАВИСИМОСТЕЙ
МЕЖДУ ПРОЧНОСТЬЮ R, ПЛОТНОСТЬЮ

, МОДУЛЕМ УПРУГОСТИ

КЕРАМЗИТОБЕТОНА НА КАРБОНАТНОМ ПЕСКЕ И ОБОБЩЕННЫМ
ФАКТОРОМ СОСТАВА Ф = (В/Ц + r)
Прочность, плотность и модуль упругости являются основными свойствами, характеризующими эксплуатационное качество внутренних несущих конструктивных элементов крупнопанельных жилых домов. Керамзитобетон на карбонатном песке, подчиняясь основным закономерностям, присущим легким бетонам, является материалом, свойства которого в значительной степени обеспечиваются, формируются и регулируются рецептурно-технологическими факторами.
Учитывая это, был поставлен эксперимент с целью получения данных о влиянии факторов состава на прочность, плотность и модуль упругости керамзитобетона на карбонатном песке, изготовленного из смесей различной подвижности, а также установления наиболее существенно влияющих (основных) факторов и получения удобных для практического использования упрощенных зависимостей, статистически надежно связывающих указанные выше свойства керамзитобетона с основными факторами состава.
Исследования проводили по методике планированного эксперимента, используя близкий к D-оптимальному план типа

для четырех факторов, варьируемых на трех уровнях.
В качестве варьируемых факторов принимали:

- расход цемента Ц, кг/м
3;

- расход химической добавки СДБ, % от массы цемента;

- содержание карбонатной пыли в песке (фр. < 0,14), % от массы песка;

- значения агрегатно-структурного фактора r = М/(М + К).
Уровни варьирования факторов приведены в табл. 1.
Таблица 1
Уровень и его кодированное значение | Обозначение | Факторы |
X1 = Ц, кг/м3 | X2 = СДБ, %, Ц | X3 = пыль (фр. < 0,14) %, песка | X4 = r = М/(М+К) |
Нижний (-1) | Xmin | 300 | 0 | 15 | 0,2 |
Нулевой (0) | X0 | 400 | 0,25 | 30 | 0,4 |
Верхний (+1) | Xmax | 500 | 0,5 | 45 | 0,6 |
Интервал варьирования | | +/- 100 | +/- 0,25 | +/- 15 | +/- 0,2 |
Обоснование выбора указанных факторов в качестве варьируемых связано с анализом результатов аналогичных исследований, имеющихся в литературе, а также проведенными предварительно пробными опытами.
Контролируемыми параметрами были назначены:
1. R(28), R(180), R(365) - кубиковая прочность керамзитобетона на карбонатном песке после пропарки в возрасте, равном 28, 90, 180, 365 сут.
2.

,

,

- модуль упругости после пропарки и в тех же возрастах.
3.

- плотность бетона в высушенном до постоянной массы.
Матрица близкого к D-оптимальному плана была реализована три раза: для получения керамзитобетонных смесей исходной подвижностью ОК = 6; 12; 18 см. Предварительный расход воды для каждого опыта (строчки матрицы) назначали по общим рекомендациям в зависимости от принятых расхода цемента, значения r и заданной подвижности смеси. В процессе проведения эксперимента указанный расход воды корректировали до получения заданных значений ОК смеси. Для обеспечения максимального эффекта пластификации смеси водный раствор добавки СДБ вводили на последнем этапе приготовления смеси.
| | ИС МЕГАНОРМ: примечание. Взамен ГОСТ 10180-78 в части определения прочности бетона по контрольным образцам Постановлением Госстроя СССР от 29.12.1989 N 168 с 1 января 1991 года введен в действие ГОСТ 10180-90. | |
Значения величин контролируемых параметров в каждом опыте определяли в соответствии с действующими ГОСТами по результатам испытания опытных образцов-кубов и призм. В частности, кубиковую прочность определяли по ГОСТ 10180-78*; модуль упругости - по
ГОСТ 24452-80, плотность - по
ГОСТ 12730.1-78.
Результаты эксперимента приведены в табл. 2,
3 и
4.
N опыта | Кубиковая прочность, МПа | Модуль упругости·10-3, МПа | Плотность в сухом состоянии  , кг/м 3 | Расход цемента Ц, кг/м3 | r = М/(М + К) | Фактический расход В, кг/м3 | В/Ц | В/Ц + r |
R(28) | R(180) | R(365) | Eв(28) | Eв(180) | Eв(365) |
ОК = 6 см |
1 | 24,0 | 24,9 | 27,0 | 13,7 | 15,3 | 16,6 | 1509 | 500 | 0,6 | 441 | 0,88 | 1,48 |
2 | 24,8 | 25,8 | 27,7 | 11,1 | 12,3 | 12,1 | 1256 | 500 | 0,2 | 391 | 0,78 | 0,98 |
3 | 21,0 | 22,2 | 24,0 | 11,8 | 13,1 | 13,9 | 1457 | 500 | 0,6 | 386 | 0,77 | 1,37 |
4 | 19,2 | 20,4 | 21,9 | 11,6 | 12,7 | 12,7 | 1477 | 500 | 0,6 | 454 | 0,91 | 1,51 |
5 | 16,5 | 18,6 | 18,4 | 7,7 | 8,5 | 8,6 | 1472 | 300 | 0,6 | 423 | 1,41 | 2,01 |
6 | 15,1 | 16,5 | 19,4 | 11,2 | 12,6 | 11,8 | 1217 | 300 | 0,2 | 341 | 1,13 | 1,33 |
7 | 15,8 | 18,6 | 18,5 | 10,0 | 11,1 | 11,7 | 1486 | 300 | 0,6 | 373 | 1,25 | 1,85 |
8 | 15,6 | 17,7 | 18,3 | 10,3 | 11,5 | 12,1 | 1208 | 300 | 0,2 | 393 | 1,31 | 1,51 |
9 | 16,5 | 17,7 | 21,0 | 8,3 | 9,2 | 9,2 | 1222 | 300 | 0,2 | 327 | 1,09 | 1,29 |
10 | 21,0 | 24,6 | 27,6 | 10,4 | 11,6 | 11,7 | 1272 | 500 | 0,2 | 364 | 0,73 | 0,93 |
11 | 18,8 | 21,9 | 29,2 | 11,4 | 12,6 | 12,4 | 1401 | 500 | 0,2 | 318 | 0,64 | 0,84 |
12 | 12,9 | 18,8 | 21,4 | 11,1 | 12,2 | 12,3 | 1581 | 300 | 0,6 | 392 | 1,31 | 1,91 |
13 | 25,6 | 27,6 | 32,1 | 13,1 | 14,5 | 14,8 | 1349 | 500 | 0,2 | 318 | 0,64 | 0,84 |
14 | 18,3 | 24,6 | 25,9 | 11,9 | 12,9 | 13,8 | 1608 | 300 | 0,6 | 339 | 1,13 | 1,73 |
15 | 15,3 | 17,1 | 21,4 | 10,7 | 11,1 | 11,5 | 1248 | 300 | 0,2 | 282 | 0,94 | 1,14 |
16 | 24,8 | 27,6 | 30,6 | 13,7 | 15,3 | 16,0 | 1619 | 500 | 0,6 | 364 | 0,73 | 1,33 |
17 | 19,6 | 20,1 | 28,0 | 14,3 | 14,6 | 15,4 | 1466 | 500 | 0,4 | 286 | 0,58 | 0,98 |
18 | 18,8 | 19,2 | 22,6 | 11,5 | 12,6 | 12,4 | 1469 | 300 | 0,4 | 325 | 1,08 | 1,48 |
19 | 19,2 | 20,8 | 27,3 | 11,8 | 12,9 | 13,1 | 1518 | 400 | 0,4 | 311 | 0,78 | 1,18 |
20 | 24,1 | 28,1 | 27,6 | 15,1 | 16,6 | 18,3 | 1457 | 400 | 0,4 | 320 | 0,80 | 1,20 |
21 | 23,9 | 26,6 | 25,6 | 13,4 | 14,0 | 14,6 | 1441 | 400 | 0,4 | 330 | 0,82 | 1,22 |
22 | 27,1 | 27,1 | 28,5 | 14,4 | 14,9 | 14,9 | 1411 | 400 | 0,4 | 273 | 0,68 | 1,08 |
23 | 17,3 | 18,6 | 20,1 | 9,9 | 10,7 | 11,0 | 1614 | 400 | 0,6 | 377 | 0,94 | 1,54 |
24 | 28,0 | 27,6 | 32,4 | 12,8 | 14,2 | 14,4 | 1448 | 400 | 0,2 | 291 | 0,73 | 0,93 |
25 | 25,2 | 25,6 | 30,6 | 12,7 | 13,3 | 14,0 | 1590 | 400 | 0,4 | 318 | 0,79 | 1,19 |
26 | 22,8 | 27,3 | 31,2 | 13,8 | 14,8 | 15,6 | 1600 | 400 | 0,4 | 320 | 0,80 | 1,20 |
27 | 25,5 | 30,0 | 30,7 | 13,2 | 16,0 | 16,2 | 1552 | 400 | 0,4 | 323 | 0,80 | 1,20 |
28 | 27,8 | 29,7 | 31,8 | 13,0 | 14,7 | 15,1 | 1530 | 400 | 0,4 | 332 | 0,84 | 1,24 |
29 | 23,1 | 30,0 | 32,5 | 14,6 | 15,4 | 15,9 | 1539 | 400 | 0,4 | 332 | 0,84 | 1,24 |
30 | 23,0 | 28,5 | 32,3 | 13,4 | 14,9 | 15,8 | 1562 | 400 | 0,4 | 325 | 0,83 | 1,23 |
N опыта | Кубиковая прочность, МПа | Модуль упругости·10-3, МПа | Плотность в сухом состоянии  , кг/м 3 | Расход цемента Ц, кг/м3 | r = М/(М + К) | Фактический расход воды В, кг/м3 | В/Ц | В/Ц + r |
R(28) | R(180) | R(365) | Eв(28) | Eв(180) | Eв(365) |
ОК = 12 см |
1 | 22,2 | 24,0 | 26,4 | 12,0 | 12,9 | 13,1 | 1454 | 500 | 0,6 | 455 | 0,91 | 1,51 |
2 | 24,6 | 25,2 | 24,8 | 10,0 | 11,5 | 12,0 | 1247 | 500 | 0,2 | 400 | 0,80 | 1,00 |
3 | 22,4 | 23,3 | 24,9 | 12,9 | 14,8 | 14,2 | 1443 | 500 | 0,6 | 390 | 0,78 | 1,38 |
4 | 16,6 | 17,1 | 21,3 | 10,0 | 11,1 | 10,7 | 1372 | 500 | 0,6 | 485 | 0,97 | 1,57 |
5 | 15,0 | 16,9 | 17,2 | 8,4 | 9,2 | 8,7 | 1472 | 300 | 0,6 | 453 | 1,51 | 2,11 |
6 | 18,1 | 20,3 | 20,6 | 11,1 | 12,7 | 12,4 | 1198 | 300 | 0,2 | 357 | 1,19 | 1,39 |
7 | 13,5 | 13,7 | 15,3 | 7,9 | 8,8 | 9,2 | 1466 | 300 | 0,6 | 408 | 1,36 | 1,96 |
8 | 16,2 | 17,7 | 19,8 | 8,5 | 9,8 | 10,5 | 1195 | 300 | 0,2 | 393 | 1,31 | 1,51 |
9 | 18,1 | 19,4 | 21,0 | 6,4 | 8,3 | 8,4 | 1186 | 300 | 0,2 | 360 | 1,20 | 1,40 |
10 | 25,6 | 25,7 | 26,8 | 10,9 | 12,2 | 13,1 | 1290 | 500 | 0,2 | 385 | 0,75 | 0,95 |
11 | 27,0 | 28,2 | 29,4 | 13,7 | 16,4 | 16,5 | 1377 | 500 | 0,2 | 320 | 0,64 | 0,84 |
12 | 12,3 | 14,0 | 14,4 | 8,4 | 10,0 | 9,9 | 1563 | 300 | 0,6 | 408 | 1,36 | 1,96 |
13 | 25,5 | 26,1 | 31,3 | 12,1 | 14,4 | 15,0 | 1363 | 500 | 0,2 | 325 | 0,65 | 0,85 |
14 | 16,8 | 18,3 | 20,3 | 9,9 | 11,5 | 11,7 | 1512 | 300 | 0,6 | 363 | 1,21 | 1,81 |
15 | 18,0 | 19,6 | 20,6 | 10,0 | 11,9 | 11,6 | 1269 | 300 | 0,2 | 298 | 0,99 | 1,19 |
16 | 25,5 | 28,2 | 29,7 | 14,6 | 15,9 | 16,5 | 1538 | 500 | 0,6 | 385 | 0,77 | 1,37 |
17 | 26,1 | 27,5 | 27,9 | 13,4 | 15,0 | 15,9 | 1471 | 500 | 0,4 | 340 | 0,68 | 1,08 |
18 | 17,7 | 18,9 | 22,0 | 10,1 | 11,2 | 11,4 | 1406 | 300 | 0,4 | 324 | 1,08 | 1,48 |
19 | 19,4 | 20,2 | 26,7 | 10,3 | 12,1 | 12,1 | 1452 | 400 | 0,4 | 324 | 0,81 | 1,21 |
20 | 24,0 | 25,5 | 30,0 | 10,3 | 14,5 | 15,2 | 1428 | 400 | 0,4 | 340 | 0,85 | 1,25 |
21 | 22,2 | 23,8 | 26,4 | 11,6 | 13,1 | 13,9 | 1442 | 400 | 0,4 | 344 | 0,86 | 1,26 |
22 | 23,5 | 24,5 | 25,6 | 10,9 | 13,2 | 13,5 | 1406 | 400 | 0,4 | 316 | 0,79 | 1,19 |
23 | 18,3 | 19,5 | 19,5 | 9,9 | 11,2 | 11,7 | 1604 | 400 | 0,6 | 392 | 0,98 | 1,58 |
24 | 23,1 | 28,5 | 29,7 | 12,6 | 14,3 | 14,5 | 1408 | 400 | 0,2 | 292 | 0,73 | 0,93 |
25 | 24,3 | 29,1 | 32,7 | 15,7 | 17,3 | 16,8 | 1609 | 400 | 0,4 | 360 | 0,80 | 1,20 |
26 | 25,8 | 25,0 | 32,4 | 14,5 | 14,8 | 16,5 | 1561 | 400 | 0,4 | 344 | 0,86 | 1,26 |
27 | 23,0 | 28,2 | 31,8 | 14,6 | 15,7 | 15,9 | 1562 | 400 | 0,4 | 324 | 0,81 | 1,21 |
28 | 24,1 | 24,5 | 29,4 | 13,2 | 13,9 | 15,4 | 1522 | 400 | 0,4 | 340 | 0,85 | 1,25 |
29 | 22,5 | 29,2 | 32,4 | 13,7 | 14,5 | 14,6 | 1552 | 400 | 0,4 | 328 | 0,82 | 1,22 |
30 | 24,0 | 27,3 | 30,0 | 14,4 | 15,3 | 15,1 | 1562 | 400 | 0,4 | 344 | 0,86 | 1,26 |
N опыта | Кубиковая прочность, МПа | Модуль упругости·10-3, МПа | Плотность в сухом состоянии  , кг/м 3 | Расход цемента Ц, кг/м3 | r = М/(М + К) | Фактический расход воды В, кг/м3 | В/Ц | В/Ц + r |
R(28) | R(180) | R(365) | Eв(28) | Eв(180) | Eв(365) |
ОК = 18 |
1 | 18,9 | 19,6 | 22,4 | 10,7 | 11,9 | 12,4 | 1424 | 500 | 0,6 | 485 | 0,97 | 1,57 |
2 | 23,7 | 25,5 | 26,1 | 9,8 | 10,9 | 10,9 | 1202 | 500 | 0,2 | 405 | 0,81 | 1,01 |
3 | 21,1 | 22,2 | 24,3 | 8,8 | 10,5 | 11,1 | 1428 | 500 | 0,6 | 395 | 0,79 | 1,39 |
4 | 19,4 | 21 | 21,2 | 9,8 | 10,9 | 10,4 | 1415 | 500 | 0,6 | 500 | 1,00 | 1,6 |
5 | 13,5 | 14 | 16,6 | 7,7 | 8,8 | 8,4 | 1432 | 300 | 0,6 | 483 | 1,61 | 2,21 |
6 | 15 | 16,4 | 17,4 | 10 | 11,1 | 10,7 | 1194 | 300 | 0,2 | 363 | 1,21 | 1,41 |
7 | 12,3 | 12,8 | 14,7 | 6,8 | 7,7 | 8,2 | 1428 | 300 | 0,6 | 426 | 1,42 | 2,02 |
8 | 16,3 | 17,4 | 17,4 | 8,1 | 9,6 | 9,9 | 1190 | 300 | 0,2 | 375 | 1,25 | 1,45 |
9 | 15 | 15,4 | 18,3 | 7,4 | 8,1 | 8,3 | 1168 | 300 | 0,2 | 354 | 1,18 | 1,38 |
10 | 19,7 | 22,1 | 23,4 | 8,9 | 10,1 | 10,1 | 1212 | 500 | 0,2 | 395 | 0,79 | 0,99 |
11 | 28,7 | 28,3 | 29,1 | 14,6 | 15,9 | 16,8 | 1339 | 500 | 0,2 | 340 | 0,68 | 0,88 |
12 | 13,2 | 15 | 14,1 | 7,8 | 8,8 | 8,7 | 1490 | 300 | 0,6 | 401 | 1,37 | 1,97 |
13 | 27 | 28,5 | 32,5 | 10,9 | 12,3 | 12,2 | 1342 | 500 | 0,2 | 330 | 0,66 | 0,86 |
14 | 16 | 18,4 | 19,9 | 10 | 11,1 | 11,4 | 1514 | 300 | 0,6 | 369 | 1,23 | 1,83 |
15 | 23 | 24,6 | 24,9 | 10,6 | 11,6 | 12,1 | 1251 | 300 | 0,2 | 303 | 1,01 | 1,21 |
16 | 20,7 | 22,5 | 25 | 12,8 | 14,2 | 14,9 | 1587 | 500 | 0,6 | 405 | 0,81 | 1,41 |
17 | 28,5 | 30 | 30 | 14,5 | 16,1 | 16,6 | 1425 | 500 | 0,4 | 370 | 0,74 | 1,14 |
18 | 12 | 15,2 | 16 | 8,3 | 9,4 | 9,2 | 1394 | 300 | 0,4 | 348 | 1,16 | 1,56 |
19 | 16,2 | 18 | 23,4 | 10,5 | 11,7 | 12,7 | 1332 | 400 | 0,4 | 376 | 0,94 | 1,34 |
20 | 18,3 | 19,5 | 23,3 | 8,5 | 12,1 | 12,8 | 1428 | 400 | 0,4 | 368 | 0,92 | 1,32 |
21 | 19,6 | 21 | 21,9 | 8,7 | 12,3 | 12,2 | 1447 | 400 | 0,4 | 356 | 0,89 | 1,29 |
22 | 24 | 25,7 | 27,3 | 10,9 | 13 | 13,1 | 1446 | 400 | 0,4 | 336 | 0,84 | 1,24 |
23 | 16,5 | 18,6 | 21,3 | 9,8 | 11,8 | 12,1 | 1610 | 400 | 0,6 | 432 | 1,08 | 1,68 |
24 | 24,9 | 28,5 | 27,3 | 13,3 | 14,4 | 15,1 | 1473 | 400 | 0,2 | 380 | 0,95 | 1,15 |
25 | 23,9 | 29,7 | 30 | 13,7 | 16,3 | 16,5 | 1561 | 400 | 0,4 | 340 | 0,85 | 1,25 |
26 | 25,1 | 29,3 | 30 | 12,6 | 13,3 | 14 | 1554 | 400 | 0,4 | 344 | 0,86 | 1,26 |
27 | 21 | 25,9 | 28,2 | 11,1 | 12,6 | 15,3 | 1502 | 400 | 0,4 | 364 | 0,91 | 1,31 |
28 | 24 | 24,9 | 29,1 | 14 | 14,3 | 14,8 | 1481 | 400 | 0,4 | 344 | 0,86 | 1,26 |
29 | 23,1 | 28,5 | 29,2 | 13,3 | 13,8 | 14,6 | 1541 | 400 | 0,4 | 364 | 0,91 | 1,31 |
30 | 23,4 | 27,6 | 28,3 | 12,9 | 14 | 14,4 | 1528 | 400 | 0,4 | 344 | 0,86 | 1,26 |
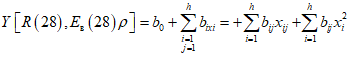
Обработка полученных результатов, проведенная по стандартной методике, позволила получить уравнения регрессии второй степени вида
| | ИС МЕГАНОРМ: примечание. Формула дана в соответствии с официальным текстом документа. | |

,
связывающие контролируемые параметры с варьируемыми факторами.
Коэффициенты уравнений регрессии приведены в табл. 5.
Таблица 5
ОК, см | Характеристики | Единица измерения | Коэффициенты уравнений регрессии | Значения статистики F |
b0 | b1 | b2 | b3 | b4 | b11 | b22 | b33 | b44 | b12 | b13 | b14 | b23 | b24 | b34 |
6 | R(28) | МПа | 24,2 | 3 | 0,02 | -0,05 | -0,6 | -4,4 | -1,8 | 1,9 | -0,9 | -0,6 | 0,84 | -0,12 | -0,4 | 0,6 | 1,1 | 1,27 | 4,56 |
| R(180) | МПа | 26,7 | 2,8 | -0,6 | -0,4 | 0,06 | -5,1 | -0,04 | 1,8 | -1,8 | -0,9 | 0,2 | -0,8 | 0,4 | 0,3 | 1,4 | 3,2 | 4,56 |
| R(365) | МПа | 30,6 | 3,8 | 0,3 | -0,6 | -1,2 | -2,4 | -0,6 | -1,1 | -1,8 | -0,9 | -0,15 | -1,1 | -0,15 | 0,05 | 0,8 | 4,1 | 4,56 |
| Eв(28)·10-3 | МПа | 13,52 | 1,02 | -0,45 | -0,04 | 0,12 | -0,6 | -0,05 | 0,42 | -2,14 | 0,21 | 0,25 | 0,29 | -0,07 | 0,15 | -0,45 | 3,06 | 4,56 |
| Eв(180)·10-3 | МПа | 14,64 | 1,13 | 0,06 | -0,06 | 0,13 | -0,8 | 0,31 | 0,04 | -1,9 | 0,29 | 0,3 | 0,30 | -0,07 | 0,21 | -0,46 | 4,44 | 4,56 |
| Eв(365)·10-3 | МПа | 14,87 | 1,13 | -0,75 | -0,15 | 0,22 | -0,95 | 0,86 | -0,16 | -2,2 | 0,14 | 0,11 | 0,25 | -0,25 | 0,18 | -0,81 | 5,03 | 4,56 |
| | кг/м3 | 1538 | 16,7 | -2 | -8,5 | 124,6 | -46,1 | -26,1 | -87,1 | 17,4 | -9,5 | -8,4 | -29,30 | -14 | -12,4 | -5 | 3,45 | 4,56 |
12 | R(28) | МПа | 23,4 | 3,9 | 0,37 | -1,1 | -1,9 | -4,8 | -0,98 | 0,15 | -2 | -0,3 | -0,38 | -0,18 | 0,46 | 0,37 | -0,45 | 1,83 | 4,56 |
| R(180) | МПа | 26 | 3,6 | 0,33 | -1,1 | -2,4 | -1,7 | -2 | -0,67 | -0,82 | -0,4 | -0,66 | 0,03 | 0,66 | 0,51 | -0,34 | 1,66 | 4,56 |
| R(365) | МПа | 29,6 | 3,9 | 0,04 | -0,6 | -2 | -2,9 | 0,6 | -1,73 | -3,2 | -0,9 | -0,2 | 0,2 | -0,11 | 0,66 | -0,65 | 3,42 | 4,56 |
| Eв(28)·10-3 | МПа | 13,24 | 1,62 | 0,12 | -0,41 | -0,06 | -0,39 | -0,87 | -0,8 | -0,88 | 0,14 | -0,48 | 0,27 | 0,19 | 0,29 | -0,32 | 3,04 | 4,56 |
| Eв(180)·10-3 | МПа | 14,5 | 1,71 | -0,07 | -0,56 | -0,34 | -0,6 | -0,44 | -0,62 | -0,98 | 0,14 | -0,55 | 0,21 | -0,06 | 0,22 | -0,36 | 1,27 | 4,56 |
| Eв(365)·10-3 | МПа | 14,68 | 1,87 | -0,25 | -0,58 | -0,51 | -0,52 | -0,53 | -0,51 | -1,09 | 0,14 | -0,49 | 0,12 | -0,05 | 0,21 | -0,5 | 1,79 | 4,56 |
| | кг/м3 | 1527 | 16,3 | 0,1 | -2,2 | 107 | -53 | -53 | -68 | 14 | -3,7 | -21,8 | -39,6 | -4,8 | -5,7 | -7,6 | 2,97 | 4,56 |
18 | R(28) | МПа | 22,1 | 4 | 0,64 | -0,3 | -2,3 | -3,3 | -3,5 | 1,1 | -3,2 | -0,5 | -0,72 | -0,45 | -0,48 | -1,1 | -1 | 3,47 | 4,56 |
| R(180) | МПа | 25,5 | 4,1 | 0,6 | 0,2 | 2,4 | -1,4 | -4 | -0,2 | 0,09 | -2,6 | -0,52 | -0,3 | -0,54 | 1,3 | -1,26 | 3,333 | 4,56 |
| R(365) | МПа | 27,3 | 4,2 | 0,9 | -0,1 | -2,1 | -2,4 | -1,5 | -0,3 | -0,6 | -1,1 | -0,1 | -0,3 | -0,40 | 0,1 | -1,4 | 4,37 | 4,56 |
| Eв(28)·10-3 | МПа | 12,1 | 0,87 | 0,35 | -0,35 | -0,52 | 0,21 | -1,67 | -1,39 | 0,35 | -0,09 | -0,25 | 0,12 | - | -0,27 | -0,05 | 2,88 | 4,56 |
| Eв(180)·10-3 | МПа | 13,69 | 1,5 | 0,21 | -0,25 | -0,45 | -0,57 | -1,37 | -0,7 | -0,26 | -0,03 | -0,34 | 0,14 | -0,06 | -0,17 | -0,13 | 1,59 | 4,56 |
| Eв(365)·10-3 | МПа | 13,99 | 1,62 | 0,36 | 0,29 | -0,5 | -0,85 | -0,97 | -1,08 | -0,08 | 0,06 | -0,45 | 0,21 | -0,05 | -0,25 | -0,28 | 1,72 | 4,56 |
| | кг/м3 | 1506 | 17,7 | -11,1 | -7 | 110,8 | -74,3 | -103,8 | 37,3 | 57,7 | -14,1 | -15,1 | -18,9 | -9,80 | -9 | -16,8 | 1,64 | 4,56 |
Анализ полученных уравнений регрессии плотности

, кубиковой прочности и модуля упругости в возрасте t = 28 сут позволил установить следующее.
Кубиковая прочность R(28)
1. Наибольшее влияние на кубиковую прочность керамзитобетона на карбонатном песке, изготовленного из смесей с ОК = 6; 12; 18 см оказывают расход цемента Ц и агрегатно-структурный фактор r: с увеличением расхода цемента прочность возрастает, с увеличением значения r - уменьшается независимо от исходной подвижности.
2. Область применения полученных уравнений для описания изменения прочности керамзитобетона в зависимости от расхода цемента ограничена, так как в зоне эксперимента расположены точки, условно соответствующие предельной прочности керамзитобетона, достигаемой при расходах цемента, меньших заданного верхнего уровня - Ц = 500 кг/м3.
Плотность

1. Наибольшее влияние на плотность высушенного до постоянной массы керамзитобетона на карбонатном песке, независимо от исходной подвижности смеси, оказывает значение агрегатно-структурного фактора r.
2. Влияние расхода цемента на плотность сказывается в меньшей степени, чем влияние фактора r, и связано с особой ролью дополнительного количества воды, обеспечивающего требуемую подвижность смеси.
Модуль упругости

1. Наибольшее влияние на модуль упругости керамзитобетона на карбонатном песке, независимо от исходной подвижности смеси, оказывает расход цемента.
2. Влияние расхода добавки СДБ, содержания пыли в песке и агрегатно-структурного фактора r зависит от исходной подвижности смеси, т.е. связано с расходом воды, обеспечивающим эту подвижность.
Таким образом, основное влияние на прочность R(28), модуль упругости

и плотность

керамзитобетона на карбонатном песке в той или иной степени оказывают расход цемента Ц, агрегатно-структурный фактор r, а также исходная подвижность смеси, которая в присутствии химической добавки СДБ обеспечивается дополнительным расходом воды.
Учитывая это, для описания зависимости указанных характеристик керамзитобетона от основных факторов состава предложено упростить полученные уравнения регрессии второй степени, вводя в качестве параметра, характеризующего состав, обобщенный фактор состава Ф = В/Ц + r.
В качестве общей зависимости предложено уравнение регрессии первой степени вида

,
где x = В/Ц + r.
Значения обобщенного фактора состава, полученные в результате проведения эксперимента, приведены в
табл. 2.
Для установления параметров приведенной зависимости и ее оценки проводили математико-статистический анализ, который включал в себя стандартные методики логически связанных между собой корреляционного, регрессионного и дисперсионного анализов. В частности:
проверку нормальности распределения экспериментальных значений случайных величин X и Y;
установление тесноты линейной связи между X и Y - вычисление выборочного

и генерального

коэффициентов корреляции;
вычисление коэффициентов

и

, получение уравнения регрессии указанного вида с графической проверкой линейности кривой регрессии, вычисление меры индивидуального рассеяния

вокруг линии регрессии;
проверку (при необходимости) значимости полученного уравнения регрессии;
построение доверительных интервалов при заданной доверительной вероятности;
проверку гипотезы об однородности дисперсий

величин Y и получение усредненных линейных уравнений регрессии.
Для всех исследуемых характеристик керамзитобетона на карбонатном песке, изготовленного из смесей с ОК = 6; 12; 18 см, соответствующие значения R(28),

,

и Ф = В/Ц + r подчиняются закону нормального распределения.
Результаты статистических расчетов приведены в табл. 6.
Характеристики | ОК, см | Дисперсии | Коэффициенты | Мера индивидуального рассеяния  | Критерий Стьюдента для доверительного интервала при  | Дисперсия | Fрасч | Fтабл |
| | корреляции | регрессии | объясненная регрессией  | остаточная  |
rxy | a для H1:  | b0 | b1 |
R(28) | 6 | 0,09 | 1653 | -0,68 | 0,05 | 33,0 | -9,2 | 3,0 МПа | 2,048 | - | - | - | - |
12 | 0,10 | 1878 | -0,76 | 0,05 | 35,0 | -10,2 | 2,8 МПа | 2,048 | - | - | - | - |
18 | 0,10 | 2212 | -0,82 | 0,05 | 37,4 | -12,4 | 2,7 МПа | 2,048 | - | - | - | - |
усредненное | 0,10 | 1914 | -0,75 | 0,05 | 34,5 | -10,2 | 2,9 МПа | 2,048 | - | - | - | - |
Eв(28)10-3 | 6 | 0,09 | 3371584 | -0,45 | 0,05 | 15,64 | -2,75 | 1669 МПа | 2,048 | 20020758 | 2776971 | 7,2 | 4,2 |
12 | 0,10 | 5488379 | -0,54 | 0,05 | 16,88 | -4,10 | 1957 " | 2,048 | 49079297 | 3931561 | 12,4 | 4,2 |
18 | 0,10 | 3498577 | -0,59 | 0,05 | 13,83 | -3,68 | 1537 " | 2,048 | 39575871 | 2210102 | 17,9 | 4,2 |
усредненное | 0,10 | 4064256 | -0,54 | 0,05 | 15,47 | -3,53 | 1705 " | 2,048 | - | - | - | - |
| 6 | 0,09 | 16459 | 0,34 | 0,10 | 1264 | 145 | 123 кг/м3 | 2,048 | 55379 | 15069 | 3,67 | 2,9 |
12 | 0,10 | 15249 | 0,33 | 0,10 | 1261 | 126 | 119 " | 2,048 | 45970 | 14152 | 3,25 | 2,9 |
18 | 0,10 | 5605 | 0,39 | 0,05 | 1281 | 93 | 70 " | 2,048 | 25303 | 6708 | 3,77 | 2,9 |
усредненное | 0,10 | 12438 | 0,353 | 0,5 | 1263 | 127 | 106 " | 2,048 | - | - | - | |
Как видно из этой таблицы, между кубиковой прочностью

и обобщенным фактором состава Ф = В/Ц + r существует тесная линейная связь: значения выборочных коэффициентов корреляции

изменяются от минус 0,68 до минус 0,82 в зависимости от исходной подвижности смеси; проверка нулевой гипотезы о равенстве нулю генерального коэффициента корреляции

показала, что нулевая гипотеза может быть отвергнута при уровне значимости

в пользу альтернативной гипотезы

. Графическая интерпретация полученных линейных уравнений регрессии кубиковой прочности

приведена на рис. 1.
Рис. 1. Зависимость кубиковой прочности R(28)
керамзитобетона на карбонатном песке от обобщенного фактора
состава Ф = (В/Ц + r) при исходной подвижности смеси
ОК = 6 см (а), ОК = 12 см (б), ОК = 18 см (в);
---- - границы 95% доверительных интервалов
Проверка нулевой гипотезы об однородности дисперсий

и Ф = В/Ц + r

,

выполненная по G-критерию Кохрена, показала, что нулевая гипотеза может быть принята при

.
Следовательно, для описания зависимости R(28) от фактора Ф, независимо от исходной подвижности керамзитобетонной смеси, может быть использовано усредненное линейное уравнение регрессии.
R(28) = 34,5 - 10,2(В/Ц + r).
Усредненный коэффициент корреляции равен

; мера индивидуального рассеяния вокруг линии усредненной регрессии составляет

.
Теснота линейной связи между модулем упругости

и фактором Ф = В/Ц + r характеризуется значениями выборочного коэффициента корреляции

, которые изменяются от минус 0,75 до минус 0,54 в зависимости от исходной подвижности смеси.
При уровне значимости

принята альтернативная гипотеза

.
Графическая интерпретация полученных уравнений регрессии модуля упругости

в границах 95% доверительных интервалов приведена на
рис. 2.
Рис. 2. Зависимость модуля упругости

керамзитобетона
на карбонатном песке от обобщенного фактора состава
Ф = (В/Ц + r) при исходной подвижности смеси
ОК = 6 см (а), ОК = 12 см (б), ОК = 18 см (в);
---- - границы 95% доверительных интервалов
Учитывая невысокие значения коэффициентов корреляции

, а также результаты графического анализа линейности кривых регрессии, для дополнительной оценки пригодности полученных линейных уравнений регрессии при описании зависимости

от фактора Ф = В/Ц + r была проведена оценка значимости каждого из уравнений путем проверки по F-критерию нулевой гипотезы о равенстве нулю коэффициента регрессии

. Результаты соответствующих вычислений, приведенные в
табл. 6, позволили отвергнуть нулевую гипотезу в пользу альтернативной

при уровне значимости

. Следовательно, в рассматриваемых уравнениях регрессии фактор Ф = В/Ц + r вносит существенный вклад в объяснение

: уравнения регрессии

статистически значимы при

и пригодны для описания зависимости модуля упругости от фактора Ф. Нулевая гипотеза об однородности дисперсий

, выполненная по G-критерию Кохрена, принята при уровне значимости

. Таким образом, для описания зависимости

от фактора Ф, независимо от исходной подвижности керамзитобетонной смеси, может быть использовано усредненное линейное уравнение регрессии

.
Усредненный коэффициент корреляции

; мера индивидуального рассеяния вокруг линии усредненной регрессии составляет

.
Теснота линейной связи между плотностью

и фактором Ф = В/Ц + r характеризуется значениями выборочного коэффициента корреляции

, которые изменяются от 0,34 до 0,39 в зависимости от исходной подвижности смеси.
Проверка нулевой гипотезы от равенства нулю генерального коэффициента корреляции

показала, что нулевая гипотеза может быть отвергнута в пользу альтернативной при уровне значимости

- для керамзитобетона, изготовленного из смеси с ОК = 18 см, а при уровне значимости

- для керамзитобетонов, изготовленных из смесей с ОК = 6; 12 см.
Графическая интерпретация полученных линейных уравнений регрессии плотности керамзитобетона

в границах 95% доверительных интервалов приведена на рис. 3.
Рис. 3. Зависимость плотности в сухом состоянии

керамзитобетона на карбонатном песке от обобщенного
фактора состава Ф = (В/Ц + r) при исходной подвижности
смеси ОК = 6 см (а), ОК = 12 см (б), ОК = 18 см (в);
----- - границы 95% доверительных интервалов
Результаты дополнительной оценки пригодности уравнений регрессии приведены в
табл. 6 и показывают, что нулевая гипотеза о равенстве нулю коэффициента регрессии

может быть отвергнута в пользу альтернативной

при уровне значимости

.
Это свидетельствует о том, что линейные уравнения регрессии плотности керамзитобетона

статистически значимы при

и пригодны для описания зависимости

от фактора Ф = В/Ц + r.
Нулевая гипотеза об однородности дисперсии

, выполненная по G-критерию Кохрена, принята при уровне значимости

. Следовательно, для описания зависимости

от фактора Ф, независимо от исходной подвижности керамзитобетонной смеси, может быть использовано усредненное линейное уравнение регрессии

.
Усредненный коэффициент корреляции

; мера индивидуального рассеяния вокруг линии усредненной регрессии составляет

.
Полученные результаты после корректировки, учитывающей возможное применение в керамзитобетоне на карбонатном песке суперпластификаторов типа С-3, были использованы при разработке методики комплексной оптимизации керамзитобетона для основных несущих конструкций крупнопанельных жилых домов (см.
п. 5 Рекомендаций).
ЭКСПЕРИМЕНТАЛЬНОЕ УСТАНОВЛЕНИЕ ЗАВИСИМОСТЕЙ,
ХАРАКТЕРИЗУЮЩИХ ИЗМЕНЕНИЕ ВО ВРЕМЕНИ ПРОЧНОСТИ R И МОДУЛЯ
УПРУГОСТИ

КЕРАМЗИТОБЕТОНА НА КАРБОНАТНОМ ПЕСКЕ
В реальной практике проектирования конструктивных элементов несомненный интерес представляют сведения об изменении во времени основных свойств керамзитобетона - кубиковой прочности R и модуля упругости

.
Исследованиями, проведенными в Одесском инженерно-строительном институте, установлено, что на изменение R и

керамзитобетона на карбонатном песке, изготовленного из смесей с ОК = 6; 12; 18 см, влияют одни и те же факторы. В частности: условия твердения (температура и влажность среды); водоцементное отношение В/Ц; зерновой состав заполнителей; наличие химических добавок; реологические свойства смеси.
Учитывая это, были поставлены задачи:
установить характер и степень влияния возраста керамзитобетона на карбонатном песке на изменение кубиковой прочности R и модуля упругости

в зависимости от факторов состава и исходной подвижности смеси - ОК = 6; 12; 18 см;
установить статистические надежные зависимости, характеризующие изменение R и

во времени.
Решение поставленных задач проводили, используя результаты планированного эксперимента, которые приведены в
Прил. 1. Соответствующие расчеты выполняли по уравнениям регрессии второй степени, связывающим R и

с основными факторами состава в возрастах t = 28; 180; 365 сут.
Для оценки влияния факторов состава и исходной подвижности смеси определяли расчетные значения прочности R и модуля упругости

, подставляя в указанные уравнения регрессии кодированные значения факторов, которые приведены в табл. 1 (кубиковая прочность R) и в
табл. 2 (модуль упругости

).
N состава | Значение факторов | N составов, соответствующих влиянию факторов |
Ц | СДБ | карбонатной пыли | r = М/(М + К) |
1 | -1 | 0 | 0 | -1 | Влияние Ц: составы N 1, 4; 2, 5; 3, 6; влияние СДБ: составы N 5, 7, 8; влияние карбонатной пыли: составы N 9, 10, 11; влияние r = М/(М + К): составы N 1, 2, 3; 4, 5, 6 |
2 | -1 | 0 | 0 | 0 |
3 | -1 | 0 | 0 | +1 |
4 | opt | 0 | 0 | -1 |
5 | opt | 0 | 0 | 0 |
6 | opt | 0 | 0 | +1 |
7 | opt | -1 | 0 | 0 |
8 | opt | +1 | 0 | 0 |
9 | opt | 0 | -1 | +1 |
10 | opt | 0 | 0 | +1 |
11 | opt | 0 | +1 | +1 |
N состава | Значения факторов | N составов, соответствующих влиянию факторов |
Ц | СДБ | карбонатной пыли | r = М/(М + К) |
1 | -1 | 0 | 0 | -1 | Влияние Ц: составы N 1, 4, 12; 2, 5, 11; 3; 6, 13; влияние СДБ: составы N 5, 7, 8; влияние карбонатной пыли: составы N 5, 9, 10; влияние r = М/(М + К): составы N 1, 2, 3; 4, 5, 6; 11, 12, 13 |
2 | -1 | 0 | 0 | 0 |
3 | -1 | 0 | 0 | +1 |
4 | +1 | 0 | 0 | -1 |
5 | +1 | 0 | 0 | 0 |
6 | +1 | 0 | 0 | +1 |
7 | +1 | -1 | 0 | 0 |
8 | +1 | +1 | 0 | 0 |
9 | +1 | 0 | +1 | 0 |
10 | +1 | 0 | -1 | 0 |
11 | 0 | 0 | 0 | 0 |
12 | 0 | 0 | 0 | -1 |
13 | 0 | 0 | 0 | +1 |
Полученные расчетные значения R и

приведены соответственно в табл. 3 и
4.
N состава | Расчетные значения R, МПа, для керамзитобетонов, изготовленных из смесей с |
ОК = 6 см при t, сут | ОК = 12 см при t, сут | ОК = 18 см при t, сут |
28 | 180 | 365 | 28 | 180 | 365 | 28 | 180 | 365 |
1 | 17,4 | 18,8 | 22,7 | 14,6 | 23,1 | 21,7 | 14,0 | 22,4 | 22,8 |
2 | 16,8 | 18,8 | 24,4 | 14,7 | 20,7 | 22,8 | 14,8 | 20,0 | 20,7 |
3 | 16,2 | 18,8 | 21,4 | 10,8 | 18,3 | 17,7 | 9,2 | 17,6 | 18,6 |
4 | 25,3 | 27,3 | 32,5 | 24,1 | 30,3 | 29,8 | 23,5 | 30,9 | 31,3 |
5 | 24,7 | 27,1 | 32,1 | 24,2 | 27,9 | 20,9 | 23,3 | 28,5 | 29,2 |
6 | 24,1 | 27,1 | 29,0 | 20,3 | 25,5 | 25,8 | 17,7 | 26,1 | 27,1 |
7 | 24,7 | 27,3 | 32,9 | 24,2 | 25,9 | 27,7 | 23,3 | 28,4 | 27,8 |
8 | 24,7 | 26,8 | 31,5 | 24,2 | 25,9 | 30,3 | 23,3 | 21,9 | 28,2 |
9 | 25,2 | 28,5 | 18,4 <*> | 21,4 | 26,6 | 26,8 | 18,4 | 27,4 | 28,5 |
10 | 24,1 | 27,1 | 18,4 <*> | 20,3 | 25,5 | 25,8 | 17,7 | 26,1 | 27,1 |
11 | 23,0 | 26,5 | 18,4 <*> | 19,2 | 26,8 | 24,8 | 17,0 | 24,8 | 25,7 |
--------------------------------
<*> Значения R, исключенные из расчета при проверке по t-критерию Стьюдента.
N состава | Расчетные значения Eв·10-3, МПа, для керамзитобетонов, изготовленных из смесей с |
ОК = 6 см при t, сут | ОК = 12 см при t, сут | ОК = 18 см при t, сут |
28 | 180 | 365 | 28 | 180 | 365 | 28 | 180 | 365 |
1 | 9,92 | 10,94 | 10,86 | 10,65 | 12,02 | 11,79 | 12,43 | 11,65 | 11,15 |
2 | 11,90 | 12,70 | 12,80 | 11,23 | 12,24 | 12,25 | 11,44 | 11,59 | 11,52 |
3 | 9,58 | 11,20 | 10,74 | 10,02 | 10,48 | 10,53 | 11,15 | 11,01 | 10,73 |
4 | 11,38 | 12,58 | 12,60 | 13,38 | 15,02 | 15,29 | 13,93 | 14,91 | 14,95 |
5 | 13,94 | 14,96 | 15,06 | 14,47 | 15,66 | 15,99 | 13,18 | 14,59 | 14,76 |
6 | 12,2 | 13,46 | 13,52 | 13,80 | 14,32 | 14,51 | 13,13 | 13,45 | 14,39 |
7 | 14,39 | 14,92 | 16,14 | 14,33 | 15,14 | 15,54 | 11,16 | 13,02 | 13,35 |
8 | 13,49 | 15,62 | 15,13 | 14,59 | 15,30 | 15,36 | 11,86 | 13,40 | 14,21 |
9 | 14,50 | 15,23 | 14,99 | 13,58 | 13,01 | 14,40 | 11,44 | 13,29 | 13,53 |
10 | 14,58 | 14,77 | 14,81 | 15,36 | 16,15 | 16,56 | 12,15 | 14,69 | 13,85 |
11 | 13,52 | 14,64 | 14,88 | 13,24 | 14,52 | 14,64 | 12,10 | 13,66 | 13,99 |
12 | 11,25 | 12,57 | 12,68 | 12,42 | 14,09 | 14,06 | 12,99 | 13,85 | 14,39 |
13 | 11,49 | 12,83 | 13,08 | 12,30 | 12,97 | 13,04 | 11,91 | 12,95 | 13,41 |
Изменение во времени кубиковой прочности R. Предварительный анализ расчетных значений R показал, что, независимо от исходной подвижности смеси, все выбранные составы керамзитобетона можно условно разделить на две группы, соответствующие минимальному и оптимальному расходам цемента. Характер изменения кубиковой прочности в этих группах отличается, что позволяет учесть влияние расхода цемента.
Как видно из
табл. 3, характер влияния факторов состава на кубиковую прочность R изменяется с увеличением возраста керамзитобетона на карбонатном песке, изготовленного из смесей с ОК = 6; 12; 18 см. Для оценки статистической значимости этих изменений была проведена проверка нулевой гипотезы об однородности дисперсий R в возрастах t = 28; 180; 365 сут

. Проверку осуществляли по критерию Хартлея (статистика

), рассчитывая дисперсии для составов, сгруппированных по признаку влияния одного фактора (см.
табл. 1). Результаты статистических расчетов показали, что с увеличением возраста керамзитобетона, независимо от исходной подвижности смеси, характер влияния факторов состава на кубиковую прочность изменяется статистически незначимо:

. Следовательно, в структуру зависимости, характеризующей изменение R во времени, достаточно ввести прочность керамзитобетона в возрасте t = 28 сут R(28) (см.
Прил. 1).
Предлагается гиперболическая зависимость вида

.
Одним из преимуществ этой зависимости является возможность получать по ней предельные значения и прогнозировать прочность бетона в различных возрастах.
Для керамзитобетонов, изготовленных из смесей с ОК = 6; 12; 18 см, получено по две зависимости (уравнения регрессии) указанного вида - для групп составов соответственно с минимальным и оптимальным расходом цемента. Расчет проводили, используя метод линеаризации, путем замены аргумента 1/t = x. Тесноту линейной связи между R(t) и x оценивали по выборочным коэффициентам корреляции

, значения которых изменялись от минус 0,78 до минус 0,96. Нулевая гипотеза о равенстве нулю соответствующих генеральных коэффициентов корреляции

отвергнута в пользу альтернативной

при уровне значимости

, что свидетельствует о тесной линейной связи между R(t) и x.
В табл. 5 приведены коэффициенты и статистические характеристики линеаризованных уравнений регрессии.
N п/п | ОК, см | Уровень расхода цемента | rxy | Коэффициент |
регрессии | дисперсии | вариации, % |
R(28), МПа | b0 | b1 | (S2R)28 | (S2R)180 | (S2R)365 | C28VR | C180VR | C365VR |
1 | 6 | min | 0,78 | 16,8 | 1,26 | -8,35 | 1,03 | 3,84 | 8,46 | 6 | 9,6 | 13,9 |
2 | | opt | -0,94 | 24,5 | 1,21 | -6,11 | 0,7 | 3,07 | 9,58 | 3 | 6 | 10 |
3 | 12 | min | -0,96 | 13,4 | 1,62 | -17,63 | 4,94 | 5,94 | 7,31 | 17 | 12 | 13 |
4 | | opt | -0,91 | 22,2 | 1,26 | -7,5 | 4,7 | 2,69 | 4,44 | 9,9 | 6 | 7,7 |
5 | 18 | min | -0,83 | 12,7 | 1,73 | -20,43 | 4,89 | 6,13 | 4,79 | 17 | 12 | 10 |
6 | | opt | -0,94 | 20,5 | 1,46 | -13,53 | 9,47 | 5,2 | 4,13 | 15 | 8 | 7 |
Разброс расчетных значений прочности R(t) относительно кривой регрессии можно оценить значениями дисперсии

и коэффициента вариации

, которые, как видно из
табл. 5, изменяются с увеличением возраста керамзитобетона. Такой дифференцированный с учетом фактора времени подход трудоемок. Учитывая это, была проведена проверка нулевой гипотезы об однородности дисперсий в возрастах t = 28; 180; 365 сут каждого полученного уравнения регрессии

.
Проверку проводили по одному из критериев: критерий Хартлея (статистика

), критерий Кохрена (статистика

) или критерий Бартлетта (статистика

). Результаты расчетов, приведенные в табл. 6, показали, что для всех уравнений нулевая гипотеза принята при уровне значимости

. Это свидетельствует об отсутствии статистически значимого влияния возраста керамзитобетона на разброс значений R(t) относительно кривой регрессии.
Таблица 6
N п/п | ОК, см | Уровень расхода цемента | Fmax | Gmax | |
расчетное | табличное  | расчетное | табличное  | расчетное | табличное  |
1 | 6 | min | - | - | 0,63 | 0,97 | - | - |
2 | 6 | opt | - | - | - | - | 7,96 | 9,21 |
3 | 12 | min | 1,47 | 6,00 | - | - | - | - |
4 | 12 | opt | - | - | 0,40 | 0,97 | - | - |
5 | 18 | min | 1,28 | 6,00 | - | - | - | - |
6 | 18 | opt | - | - | 0,5 | 0,97 | - | - |
Учитывая вышеизложенное, были получены усредненные по возрасту статистические характеристики уравнений регрессии, включая меру индивидуального рассеяния

и индекс корреляции I как характеристику тесноты криволинейной связи между R(28) и t.
Статистические характеристики полученных уравнений и рассчитанные предельные значения прочностей

приведены в табл. 7.
Таблица 7
N п/п | ОК, см | Уровень расхода цемента | Статистические характеристики |  , МПа |
| | | l |
1 | 6 | min | 4,44 | 10 | 2,11 | 0,87 | 21,45 |
2 | 6 | opt | 4,43 | 6,3 | 2,1 | 0,957 | 31,5 |
3 | 12 | min | 6,07 | 14 | 2,46 | 0,86 | 21 |
4 | 12 | opt | 3,94 | 8 | 1,98 | 0,956 | 31 |
5 | 18 | min | 5,27 | 13 | 2,3 | 0,84 | 20,4 |
6 | 18 | opt | 6,3 | 10 | 2,51 | 0,929 | 30,2 |
Графическая интерпретация уравнений регрессии R(t) в границах 95% доверительных интервалов приведена на рис. 1,
2,
3.
Рис. 1. Изменение во времени кубиковой прочности R(t)
керамзитобетона на карбонатном песке, изготовленного
из смеси исходной подвижностью ОК = 6 см при:
1 - высоком расходе цемента; 2 - низком расходе цемента;
---- - границы 95% доверительных интервалов
Рис. 2. Изменение во времени кубиковой прочности R(t)
керамзитобетона на карбонатном песке, изготовленного
из смеси исходной подвижностью ОК = 12 см при: 1 - высоком
расходе цемента; 2 - низком расходе цемента;
---- - границы 95% доверительных интервалов
Рис. 3. Изменение во времени кубиковой прочности R(t)
керамзитобетона на карбонатном песке, изготовленного
из смеси исходной подвижностью ОК = 18 см при: 1 - высоком
расходе цемента; 2 - низком расходе цемента;
---- - границы 95% доверительных интервалов
Как видно из этих рисунков, независимо от исходной подвижности смеси с увеличением возраста наблюдается рост прочности керамзитобетона на карбонатном песке в течение всего периода наблюдений.
С наибольшей интенсивностью прочность керамзитобетона растет в возрасте t <= 180 сут. Оценку интенсивности роста проводили по величине коэффициента регрессии

, значения которого показывают, что в указанный период наиболее интенсивно набирают прочность керамзитобетоны с минимальным расходом цемента, независимо от исходной подвижности смеси. По-видимому, это связано с тем, что бетоны с высоким расходом цемента удерживают значительное количество воды в отличие от бетонов с низким расходом цемента. Это позволяет, с одной стороны, продлить процесс гидратации цемента, т.е. эффективнее использовать цемент, а с другой стороны, удлиняет процесс твердения. Кроме того, на интенсивность роста прочности влияет исходная подвижность смеси, с увеличением которой интенсивность возрастает.
Изменение во времени модуля упругости

. При изучении изменения во времени

использовали тот же подход, что и при изучении изменения во времени R.
Приведенные в
табл. 4 расчетные значения модуля упругости

показывают, что с увеличением возраста керамзитобетона на карбонатном песке влияние факторов состава не изменяется. Проверка нулевой гипотезы об однородности дисперсий

, проведенная по критерию Кохрена (статистика

), показала, что для составов, сгруппированных по признаку влияния одного фактора, указанные дисперсии однородны:

. Следовательно, с увеличением возраста керамзитобетона, независимо от исходной подвижности смеси, характер влияния факторов состава на модуль упругости изменяется незначительно.
Учитывая это, в качестве зависимости, характеризующей изменение

во времени, предложена гиперболическая зависимость вида

.
В
табл. 8 приведены коэффициенты и статистические характеристики линеаризованных уравнений регрессии, полученных для керамзитобетонов, изготовленных из смесей с ОК = 6; 12; 18 см. Теснота линейной связи между

и x = 1/t характеризуется выборочным коэффициентом корреляции, значения которого изменялись в пределах от минус 0,56 до минус 0,89. Нулевая гипотеза о равенстве нулю соответствующих генеральных коэффициентов корреляции

отвергнута в пользу альтернативной

при уровне значимости

, что свидетельствует о тесной линейной связи между

и x.
N п/п | ОК, см | rxy | Коэффициент |
регрессии | дисперсии | вариации, % |
Eв(28)·10-3, МПа | b0 | b1 | (S2E)28 | (S2E)180 | (S2E)365 | C28VR | C180VR | C365VR |
1 | 6 | -0,89 | 12,47 | 1,112 | -3,143 | 2,95 | 2,43 | 2,88 | 13,8 | 11,4 | 12,3 |
2 | 12 | -0,86 | 13,03 | 1,090 | -2,527 | 2,63 | 2,77 | 3,16 | 12,4 | 11,9 | 12,6 |
3 | 18 | -0,56 | 12,22 | 1,105 | -2,950 | 0,75 | 1,47 | 1,92 | 7,1 | 9,1 | 10,3 |
Приведенные в
табл. 8 значения дисперсий

и коэффициентов вариации

характеризуют разброс расчетных значений

относительной кривой регрессии. Положительные результаты проверки нулевой гипотезы

, проведенной по G-критерию Кохрена (табл. 9), позволили для каждого уравнения регрессии получить усредненные по возрасту характеристики разброса, которые приведены в
табл. 10. В этой же таблице приведены предельные значения модулей упругости

для керамзитобетонов, изготовленных из смесей с ОК = 6; 12; 18 см.
Таблица 9
N п/п | ОК, см | | |
1 | 6 | 0,357 | 0,584 |
2 | 12 | 0,369 | 0,584 |
3 | 18 | 0,464 | 0,584 |
N п/п | ОК, см | Статистические характеристики |  , МПа |
|  , % |  , МПа | I |
1 | 6 | 2,75 | 12,5 | 766 | 0,988 | 13,87 |
2 | 12 | 2,85 | 12,3 | 873 | 0,992 | 14,20 |
3 | 18 | 1,38 | 8,8 | 986 | 0,998 | 13,50 |
Графическая интерпретация уравнений регрессии

в границах 95% доверительных интервалов приведена на рис. 4,
5,
6.
Рис. 4. Изменение во времени модуля упругости

керамзитобетона на карбонатном песке, изготовленного
из смеси исходной подвижностью ОК = 6 см
Рис. 5. Изменение во времени модуля упругости

керамзитобетона на карбонатном песке, изготовленного
из смеси исходной подвижностью ОК = 12 см
Рис. 6. Изменение во времени модуля упругости

керамзитобетона на карбонатном песке, изготовленного
из смеси исходной подвижностью ОК = 18 см
Как видно из этих рисунков, с наибольшей интенсивностью модуль упругости керамзитобетона растет в возрасте t <= 100 сут. В возрасте 100 < t <= 180 сут происходит стабилизация значений

, которые в последующий период наблюдений практически не меняются. Оценка интенсивности роста во времени значений

, проведенная по величине коэффициента регрессии

, показывает, что наиболее интенсивно модуль упругости растет для керамзитобетонов, изготовленных из смесей с ОК = 6 см, наименее интенсивно - для смесей с ОК = 12 см.
Полученные уравнения регрессии были использованы при разработке методики комплексной оптимизации керамзитобетона на карбонатном песке для основных несущих конструкций крупнопанельных жилых домов (см.
п. 5 Рекомендаций).
ПРОЧНОСТНАЯ ОДНОРОДНОСТЬ КОНСТРУКТИВНЫХ ЭЛЕМЕНТОВ
ИЗ КЕРАМЗИТОБЕТОНА НА КАРБОНАТНОМ ПЕСКЕ,
ИЗГОТОВЛЕННЫХ ПО КАССЕТНОЙ ТЕХНОЛОГИИ
Учет и улучшение однородности прочности конструктивных элементов является важной задачей повышения эффективности заводского производства в строительной промышленности.
Причины, вызывающие неоднородность прочности бетона, можно условно разделить на субъективные и объективные. Первые связаны со случайными факторами, которые можно оценить и учесть с помощью методов математической статистики (изменчивость свойств составляющих, точность дозирования и т.д.). Вторые связаны с факторами, действующими постоянно и направленно, т.е. систематически изменяющими прочность (например, расслоение смеси и т.п.).
При изготовлении конструктивных элементов по кассетной технологии наблюдается наибольший разброс прочности по высоте формования, что связано с превалирующим влиянием указанных выше объективных причин. Необходимость использования смесей с высоким значением показателя подвижности ОК приводит к их значительному или частичному расслоению в процессе вибрационного воздействия. Существенное влияние на формирование неоднородной структуры бетона (отрицательно влияющего на прочностную однородность) оказывают условия уплотнения, которые различны в сечениях по высоте вертикально формуемых изделий из-за их значительной высоты (до 3 м), малой толщины (до 200 мм) и армирования. Это приводит к тому, что бетонная смесь в нижней части изделий вибрируется значительно дольше и при более интенсивных режимах, так как по мере бетонирования увеличивается вибрируемая масса, а амплитуда колебаний падает. При этом, статическое давление на нижние слои растет до конца формования за счет верхних слоев.
В этом случае наименьшую прочность будет иметь верхняя часть изделия. Снижение прочности может достигнуть 30% по сравнению с прочностью контрольных образцов.
Для учета прочностной неоднородности бетона в конструкциях, изготавливаемых при бетонировании в вертикальном положении, в действующем
СНиП 2.03.01-84 введен коэффициент условий работы

. Однако использование этого коэффициента при расчете конструкций на пористых заполнителях, в частности из керамзитобетона на карбонатном песке, несколько условно, так как отсутствуют специальные исследования, а имеющиеся сведения по этому вопросу неоднозначны и даже противоречивы. Кроме того, в некоторых исследованиях показано, что длины волн и скорости распространения колебаний при вибрировании в керамзитобетонных смесях меньше, чем в обычных, а коэффициент затухания выше. Следствием этого является необходимость повышения энергозатрат при вибрировании керамзитобетонных смесей либо увеличение их исходной подвижности. В последнем случае это может привести к ухудшению технологических свойств смеси и, как следствие, снижению прочностной однородности керамзитобетона в вертикально формуемых изделиях.
Были проведены экспериментальные исследования с целью получения данных об изменении прочностной однородности керамзитобетона на карбонатном песке во фрагментах внутренних стеновых панелей, изготовленных по кассетной технологии на базе составов, оптимальных по комплексу технологических и эксплуатационных требований, а также выдачи рекомендаций по повышению прочностной однородности указанных элементов.
Рабочие составы керамзитобетона на карбонатном песке и их характеристики приведены в таблице.
| ОК, см | Кол-во фрагментов-близнецов n | Класс бетона (проектный) | Состав керамзитобетона | Фактические характеристики | Коэффициент вариации, % | Коэффициент корреляции  | |
Ц, кг/м3 | В, л/м3 | М/(М+К) | СДБ, % Ц | Карбонатная пыль Фр < 0,14, % П | R(28) МПа | Eв (28) x 10-3, МПа |  , кг/м 3 | CVR | CVE | |
1 | 6 | 3 | В15 | 332 | 335 | 0,4 | 0,25 | 30 | 21,5 | 13 | 1482 | 6 | 2,8 | 4 | 0,82 | 11,7 |
2 | | 4 | В20 | 410 | 210 | 0,36 | 0,5 | 45 | 26,4 | 13,65 | 1510 | 5,4 | 2,4 | 3,4 | 0,84 | 12,2 |
3 | 12 | 3 | В15 | 380 | 375 | 0,49 | 0,5 | 30 | 19,7 | 13,33 | 1580 | 5,8 | 3,7 | 4,3 | 0,71 | 6,1 |
4 | 18 | 4 | В15 | 428 | 377 | 0,52 | 0,5 | 45 | 20,2 | 11,8 | 1500 | 6,3 | 3,1 | 4,7 | 0,8 | 9,4 |
Опытные фрагменты внутренних стеновых панелей изготавливали на Одесском ДСК. При корректировке существующей технологии кассетного производства изделий из тяжелого бетона были учтены результаты лабораторных исследований. Откорректированный вариант изготовления изделий включал (на стадии изготовления керамзитобетонной смеси) обязательное использование бетоносмесителя принудительного действия и загружение всего количества водного раствора добавки на последнем этапе (для максимальной пластификации смеси). Контроль подвижности смеси осуществляли дважды: на бетоносмесительном узле (БСУ) и на посту формования, соблюдая требование

. Пропаривание проводили по режиму 3 + 8 + 3 ч.
Испытание опытных фрагментов осуществляли на 28-е сутки после пропарочного твердения в естественно-влажностных условиях.
Прочность керамзитобетона по высоте фрагмента определяли ультразвуковым импульсным методом. По высоте каждый фрагмент был условно разбит на пять зон прозвучивания. Скорость ультразвука в каждой зоне определяли как среднее арифметическое по результатам прозвучивания в трех точках. Схема расположения точек прозвучивания показана на рис. 1.
Рис. 1. Схема расположения зон (I - V) и точек (1 - 15)
прозвучивания при ультразвуковых испытаниях
фрагментов внутренних стеновых панелей
Для сравнения ультразвуковым испытаниям был подвергнут фрагмент внутренней стеновой панели, изготовленный по принятой на Одесском ДСК технологии из тяжелого бетона класса по прочности на осевое сжатие В15.
Прочность керамзитобетона в контрольных образцах R, по которым были построены тарировочные кривые "прочность R - скорость ультразвука

" несколько отличается от прочности керамзитобетона в изделиях

. Возникающую вследствие этого погрешность учитывали, используя для сопоставительного анализа отношение

.
На рис. 2 приведены усредненные по фрагментам-близнецам
(табл. 1) результаты ультразвуковых испытаний.
Рис. 2. Изменение прочности бетона по высоте фрагментов
внутренних стеновых панелей, изготовленных из:
1 (1') - тяжелого бетона (по данным Афанасьевой В.Ф.);
2 - тяжелого бетона класса В20; 3 - керамзитобетона
на карбонатном песке, класса В15 (ОК = 6 см);
4 - керамзитобетона на карбонатном песке, класса В20
(ОК = 6 см); 5 - керамзитобетона на карбонатном песке,
класса В15 (ОК = 12 см); 6 - керамзитобетона
на карбонатном песке, класса В15 (ОК = 18 см)
Усреднение результатов осуществляли на основании положительных результатов проверки по критериям Хартлея (статистика) и Кохрена (статистика

) нулевой гипотезы об однородности дисперсий ультразвуковой прочности

. Для каждой из пяти зон фрагментов-близнецов эта гипотеза подтвердилась при уровне значимости

.
Анализ результатов позволил установить следующее.
Прочность фрагмента, изготовленного из тяжелого бетона, превышает прочность контрольных образцов-кубов R только в нижней зоне (
рис. 2, кривая 2). Причем, постоянно уменьшаясь по высоте фрагмента, в верхней зоне она становится равной 0,8R. По имеющимся данным такое распределение прочности по высоте вертикально заформованных фрагментов из тяжелого бетона (смесь с ОК = 12 - 14 см) характерно для варианта традиционной кассетной технологии (
рис. 2, кривая 1). При использовании усовершенствованной технологии (интенсификации режимов вибрирования путем установки дополнительных вибраторов и использования более жестких смесей с ОК = 6 - 8 см формование изделий в двух слоях смесями разной подвижности) удалось значительно повысить однородность прочности бетона (
рис. 2, кривая 1'). Однако при этом значительно повышается энергоемкость (и трудоемкость) процесса производства изделий.
Как видно из
рис. 2, в наших исследованиях для всех фрагментов внутренних стеновых панелей, изготовленных на базе оптимальных составов керамзитобетона на карбонатном песке по откорректированной технологии, прочность бетона в изделии

превышает прочность контрольных образцов R приблизительно на уровне 1/2 высоты фрагмента. Причем, в этом месте

в наибольшей степени соответствует R. Дальнейшее изменение прочности по высоте фрагмента зависит от состава керамзитобетона, его прочности и исходной подвижности смеси. Наилучшую однородность прочности показали фрагменты, изготовленные из керамзитобетона класса по прочности на осевое сжатие В20 (ОК = 6 см).
В этих фрагментах прочность керамзитобетона в верхней зоне больше прочности контрольных образцов на 9% (
рис. 2, кривая 4). Прочность керамзитобетона в верхней зоне фрагментов, изготовленных из керамзитобетона класса В15, зависит от исходной подвижности смеси и составляет от прочности контрольных образцов 95% (ОК = 6 см), 101% (ОК = 12 см) и 93% (ОК = 18 см). Снижение прочности во фрагментах, изготовленных из смеси с ОК = 6 см, по-видимому, связано с влиянием количества пластифицирующей добавки СДБ, расход которой в данном случае составил 0,25% от массы цемента, что меньше соответствующих расходов СДБ для фрагментов, изготовленных из смесей с ОК = 12, 18 см (0,5% от массы цемента). Учитывая это, можно сделать вывод о том, что увеличение подвижности керамзитобетонной смеси приводит к большему снижению прочности керамзитобетона в верхней зоне вертикально формуемых изделий. С увеличением класса керамзитобетона, изготовленного из смесей с ОК = 6 см, подобное снижение прочности не наблюдается. В этом случае прочность бетона в верхней зоне фрагмента несколько выше прочности контрольных образцов.
Исследования, проведенные в Одесском инженерно-строительном институте, показали, что коэффициент призменной прочности
СНиП 2.03.01-84 для керамзитобетонов на карбонатном песке, изготовленных из смесей с ОК = 6; 12; 18 см, несколько занижен. Так, для керамзитобетонов прочностью 20 МПа (~ класс В15), 25 МПа (~ класс В20) значения

рекомендуется принимать равными соответственно 0,85 и 0,86, независимо от исходной подвижности смеси. Учитывая это, а также изложенные выше результаты исследования прочностной однородности, для керамзитобетонов на карбонатном песке, изготовленных из пластифицированных смесей с ОК = 6; 12; 18 см, коэффициент условий работы можно принимать равным

. Это приводит к снижению отпускной прочности и класса бетона по прочности на осевое сжатие В без увеличения энергоемкости производства и усложнения технологического процесса.
Полученные результаты показывают, что для повышения однородности прочности керамзитобетона на карбонатном песке в вертикально формуемых изделиях возможны: применение пластифицирующих добавок в оптимальных дозировках (для СДБ - в диапазоне 0,25 - 0,5% от массы цемента), учет и корректировка существующей кассетной технологии изготовления изделий.
ПРИМЕРЫ ПРОЕКТИРОВАНИЯ СОСТАВОВ
КОНСТРУКЦИОННОГО КЕРАМЗИТОБЕТОНА НА КАРБОНАТНОМ ПЕСКЕ
Пример 1. На стадии действующего домостроительного производства требуется запроектировать состав конструкционного керамзитобетона на карбонатном песке для внутренних несущих и звукоизолирующих стеновых межкомнатных панелей сплошного сечения, изготавливаемых в вертикальных кассетных формах.
1. Исходные данные
Класс бетона по прочности на осевое сжатие В12,5; нормативное значение индекса изоляции воздушного шума

; существующая на предприятии оснастка предполагает изготовление панелей толщиной h = 16 см; коэффициент вариации средней прочности бетона на предприятии

; срок начала эксплуатации панелей t = 60 сут; исходная подвижность смеси ОК = 6 см.
| | ИС МЕГАНОРМ: примечание. В официальном тексте документа, видимо, допущена опечатка: раздел 9 отсутствует. | |
На основании проведенной оценки пригодности исходных материалов (керамзитового гравия, карбонатного песка, цемента) в соответствии с действующими нормами и указаниями настоящих Рекомендаций (см. разд. 9) получены следующие характеристики этих материалов: цемент марки 400; керамзитовый гравий и карбонатный песок (табл. 1).
Материал | Насыпная плотность, кг/м3 | Плотность в цементном тесте, кг/м3 | Прочность в цилиндре, МПа | Водопоглощение через сутки, % | Объем межзерновых пустот, % | Модуль крупности | Влажность, % |
Керамзитовый гравий фракций: | | | | | | | |
5 - 10 | 430 | 870 | 2,8 | 18 | 34 | - | 4 |
10 - 20 | 400 | 820 | 2,0 | 26 | 44 | - | 4 |
Песок карбонатный | 1180 | 2380 | 1,6 | 5,8 | - | 2,3 | 4 |
2. Расчет и назначение исходного состава
конструкционного керамзитобетона
Расчет проводили согласно
п. 5.11 для начального уровня прочности керамзитобетона:
| | ИС МЕГАНОРМ: примечание. В официальном тексте документа, видимо, допущена опечатка: формулы (1) и (2) в пункте 5.12 отсутствуют. Возможно, имеются в виду формулы (4) и (5) соответственно. | |
R(28) = 12,5 / (1 - 1,64 x 0,105) = 15,1 МПа;

;
б) определяем коэффициент конструктивного качества (ККК) керамзитового гравия по фракциям

;
| | ИС МЕГАНОРМ: примечание. В официальном тексте документа, видимо, допущена опечатка: таблица 3 в пункте 5.10 отсутствует. Возможно, имеется в виду таблица 2 пункта 5.10. | |
в) по
п. 5.10 (табл. 3) предварительно принимаем соответствующие значения агрегатно-структурного фактора r = 0,5 и r = 0,31.
Исходя из того, что в проектируемом составе используется смесь фракций для расчета исходного состава, принимаем среднее значение r = 0,4;
г) согласно
п. 5.13 определяем расход компонентов:
по
рис. 1, а назначаем расход цемента Ц = 250 кг/м
3 = 81 л/м
3;
| | ИС МЕГАНОРМ: примечание. В официальном тексте документа, видимо, допущена опечатка. Вероятно, имеется в виду формула (8), а не формула (5). | |
по
рис. 2 определяем значение обобщенного фактора состава Ф = (В/Ц + r) = 14 и по
формуле (5) назначаем предварительный расход воды В = 250(1,4 - 0,4) = 250 л/м
3;
количество химической добавки СДБ в соответствии с указаниями
п. 5.9 предварительно принимаем равным 0,25% от массы цемента, т.е. СДБ = 0,0025 x 250 = 0,63 кг/м
3.
Указанную добавку имеем в виде 5%-го раствора с плотностью 1,015 г/см3. В 1 л такого раствора содержится 0,051 кг сухого вещества СДБ.
Таким образом, для введения в керамзитобетонную смесь найденного количества добавки в виде 5%-го раствора на 1 м3 потребуется 12,4 л.
Корректируем расход воды с учетом принятой дозировки добавки

;
| | ИС МЕГАНОРМ: примечание. В официальном тексте документа, видимо, допущена опечатка. Вероятно, имеется в виду формула (10), а не формула (6). | |
общий расход керамзитового гравия и карбонатного песка назначаем по
формуле (6) М + К = 1000 - 81 - 238 - 12,4 = 669 л/м
3;
| | ИС МЕГАНОРМ: примечание. В официальном тексте документа, видимо, допущена опечатка. Вероятно, имеется в виду формула (11), а не формула (7). | |
расход карбонатного песка определяем по
формуле (7) М = 0,4 x 669 = 268 л/м
3;
| | ИС МЕГАНОРМ: примечание. В официальном тексте документа, видимо, допущена опечатка. Вероятно, имеется в виду формула (12), а не формула (8). | |
общий расход керамзитового гравия по
формуле (8) равен К = 669 - 268 = 401 л/м
3;
согласно
п. 4 предварительно принимаем соотношение фракций керамзита по объему

и назначаем расход керамзитового гравия по фракциям

;

.
Согласно
п. 5.14 по
рис. 2 для начального уровня прочности определяем значения

,

и

.

;

;

.
| | ИС МЕГАНОРМ: примечание. В официальном тексте документа, видимо, допущена опечатка: формула (9) в пункте 5.15 отсутствует. Возможно, имеется в виду формула (13) пункта 5.15. | |
В возрасте, соответствующем началу эксплуатации панелей t = 60 сут, значение

, рассчитанное согласно
п. 5.15 (формула 9), равно

;

.
| | ИС МЕГАНОРМ: примечание. В официальном тексте документа, видимо, допущена опечатка: формула (3) в пункте 1.4 отсутствует. Возможно, имеется в виду формула (3) пункта 1.3. | |
Учитывая, что существующая на предприятии оснастка предполагает изготовление панелей толщиной h = 16 см, согласно
п. 1.4 (формула 3) рассчитываем минимально допустимое значение

, обеспечивающее нормативный уровень звукоизоляции воздушного шума

.

.
Учитывая, что

, полученный состав конструкционного керамзитобетона на карбонатном песке принимаем в качестве исходного.
Производим пересчет расхода компонентов исходного состава в единицах массы, используя данные
табл. 1.
Полученный исходный состав приведен в табл. 2.
Ц | В, л/м3 | СДБ, л/м3 | Керамзитовый гравий фракций | Карбонатный песок |
5 - 10 | 10 - 20 |
кг/м3 | л/м3 | кг/м3 | л/м3 | кг/м3 | л/м3 | кг/м3 | л/м3 |
250 | 81 | 238 | 12,4 | 139 | 160 | 198 | 241 | 638 | 268 |
| | ИС МЕГАНОРМ: примечание. Взамен ГОСТ 10181.2-81 Постановлением Госстроя России от 14.12.2000 N 18-61 с 1 июля 2001 года введен в действие ГОСТ 10181-2000. | |
Исходный состав корректируем с учетом замеренной влажности керамзитового гравия и карбонатного песка; проводим корректировку расхода воды для получения заданной подвижности смеси, контролируя ее по ГОСТ 10181.2-81; фиксируем фактическую дозировку материалов; сравниваем фактическую плотность свежеуложенной керамзитобетонной смеси с расчетной.
Полученные результаты приведены в табл. 3.
Таблица 3
| | ИС МЕГАНОРМ: примечание. Единицы измерения даны в соответствии с официальным текстом документа. | |
Ц | В, л/м3 | СДБ, л/м3 | Керамзитовый гравий фракций | Карбонатный песок | Плотность, кг/м3 | Отклонение от расчетной, % |
5 - 10 | 10 - 20 |
кг/м | л/м3 | кг/м | л/м3 | кг/м | л/м3 | кг/м3 | л/м3 |
247 | 80 | 236 | 12,3 | 138 | 158 | 196 | 239 | 632 | 265 | 1436 | 1,7 (3%) |
3. Назначение расчетного состава
На базе исходного состава проводим опытный замес, из которого изготавливаем партию контрольных образцов - 6 кубов размером 15 x 15 x 15 см и 6 призм размером 10 x 10 x 40 см.
Перед тепловлажностной обработкой по заданному режиму образцы выдерживаем на воздухе в течение 4 ч. После тепловлажностной обработки и остывания образцов в течение 4 ч проводим их испытание по
ГОСТ 12730.1-78 и
ГОСТ 24452-80, определяя кубиковую прочность при сжатии, модуль упругости и плотность в высушенном до постоянной массы (сухом) состоянии.
Результаты испытаний приведены в табл. 4. Назначенный исходный состав удовлетворяет заданным эксплуатационным требованиям по прочности, плотности и модулю упругости, обеспечивая требуемую подвижность смеси. Принимаем его в качестве расчетного состава.
Таблица 4
Образец | Марка образца | Размер, мм | Площадь, см2 | Объем, см3 | Кубиковая прочность, МПа | Модуль упругости, Eв·10-3, МПа | Плотность, кг/м3 |
после пропарки | на 28 сут | после пропарки | на 28 сут | после пропарки | в сухом состоянии |
Куб | К-1-1 | 152 x 150 x 150 | 228 | 3420 | 9,5 | - | - | - | 1456 | 1298 |
К-1-2 | 150 x 150 x 151 | 225 | 3398 | 8,6 | - | - | - | 1473 | 1312 |
К-1-3 | 148 x 152 x 150 | 225 | 3375 | 9,4 | - | - | - | 1486 | 1351 |
К-1-4 | 151 x 150 x 149 | 226 | 3367 | - | 13,8 | - | - | 1490 | 1410 |
К-1-5 | 149 x 149 x 152 | 222 | 3374 | - | 14,1 | - | - | 1464 | 1431 |
К-1-6 | 151 x 151 x 151 | 228 | 3443 | - | 13,3 | - | - | 1349 | 1245 |
Призма | П-1-1 | 102 x 101 x 402 | 103 | 4141 | - | - | 11,2 | 13,6 | 1392 | 1246 |
П-1-2 | 101 x 101 x 401 | 102 | 4090 | - | - | 12,1 | 14,1 | 1398 | 1363 |
П-1-3 | 101 x 100 x 400 | 101 | 4040 | - | - | 11,3 | 13,2 | 1463 | 1402 |
П-1-4 | 101 x 100 x 402 | 101 | 4060 | - | - | 10,8 | 12,8 | 1504 | 1391 |
П-1-5 | 102 x 99 x 399 | 101 | 4030 | - | - | 12,6 | 14,3 | 1439 | 1337 |
П-1-6 | 100 x 98 x 402 | 98 | 3940 | - | - | 10,1 | 12,9 | 1520 | 1400 |
4. Назначение рабочего состава
На базе принятого расчетного состава проводим 3 опытных замеса, изготавливая из каждого новые партии контрольных образцов - 6 кубов размером 15 x 15 x 15 см и 6 призм размером 10 x 10 x 40 см. Образцы испытываем аналогично образцам исходного состава. Результаты испытаний заносим в табл. 5, в которой проводим вычисление показателей изменчивости прочности, модуля упругости и плотности по формулам, приведенным в
п. 5.22.
Таблица 5
N партии | Образец | Марка образца | Кубиковая прочность  , МПа | Модуль упругости  , МПа | Плотность в сухом состоянии,  , кг/м 3 | | | | | | | |
I | Куб | К-П-1 | 9,4 | - | 1283 | 0,1 | 0,01 | - | - | 67 | 4489 | 6,7 |
К-П-2 | 8,9 | - | 1401 | 0,6 | 0,36 | - | - | 51 | 2601 | 30,6 |
К-П-3 | 9,2 | - | 1310 | 0,3 | 0,09 | - | - | 40 | 1600 | 12,0 |
К-П-4 | 10,0 | - | 1300 | 0,5 | 0,25 | - | - | 50 | 2500 | 25,0 |
К-П-5 | 10,2 | - | 1288 | 0,7 | 0,49 | - | - | 61 | 3721 | 42,7 |
К-П-6 | 9,2 | - | 1323 | 0,3 | 0,09 | - | - | 27 | 729 | 8,1 |
Призма | П-П-1 | - | 10,9 | 1340 | - | - | 0,6 | 0,36 | 10 | 100 | - |
П-П-2 | - | 11,4 | 1325 | - | - | 0,1 | 0,01 | 25 | 625 | - |
П-П-3 | - | 11,6 | 1405 | - | - | 0,1 | 0,01 | 55 | 3025 | - |
П-П-4 | - | 12,0 | 1297 | - | - | 0,5 | 0,25 | 53 | 2809 | - |
П-П-5 | - | 12,1 | 1320 | - | - | 0,6 | 0,36 | 30 | 900 | - |
П-П-6 | - | 10,9 | 1321 | - | - | 0,6 | 0,36 | 29 | 841 | - |
II | Куб | К-П-7 | 10,1 | - | 1310 | 0,6 | 0,36 | - | - | 40 | 1600 | 24 |
К-П-8 | 10,1 | - | 1289 | 0,6 | 0,36 | - | - | 61 | 3721 | 36,6 |
К-П-9 | 9,4 | - | 1411 | 0,1 | 0,01 | - | - | 39 | 1521 | 3,9 |
К-П-10 | 9,5 | - | 1290 | 0 | 0 | - | - | 60 | 3600 | 0 |
К-П-11 | 8,9 | - | 1428 | 0,6 | 0,36 | - | - | 76 | 5776 | 45,6 |
К-П-12 | 9,2 | - | 1289 | 0,3 | 0,09 | - | - | 61 | 3721 | 18,3 |
Призма | П-П-7 | - | 11,2 | 1311 | - | - | 0,3 | 0,09 | 39 | 1521 | - |
П-П-8 | - | 11,4 | 1315 | - | - | 0,1 | 0,01 | 35 | 1225 | - |
П-П-9 | - | 11,9 | 1283 | - | - | 0,4 | 0,16 | 67 | 4489 | - |
П-П-10 | - | 10,9 | 1437 | - | - | 0,6 | 0,36 | 87 | 7569 | - |
П-П-11 | - | 12 | 1299 | - | - | 0,5 | 0,25 | 51 | 2601 | - |
П-П-12 | - | 12,1 | 1290 | - | - | 0,6 | 0,36 | 60 | 3600 | - |
III | Кубы | К-П-13 | 9,3 | - | 1311 | 0,2 | 0,04 | - | - | 39 | 1521 | 7,8 |
К-П-14 | 9,6 | - | 1344 | 0,1 | 0,01 | - | - | 6 | 36 | 0,6 |
К-П-15 | 9,9 | - | 1400 | 0,4 | 0,16 | - | - | 50 | 2500 | 20,0 |
К-П-16 | 10,4 | - | 1420 | 0,9 | 0,81 | - | - | 30 | 900 | 27,0 |
К-П-17 | 9,1 | - | 1437 | 0,4 | 0,16 | - | - | 13 | 169 | 5,2 |
К-П-18 | 9,0 | - | 1390 | 0,5 | 0,25 | - | - | 60 | 3600 | 30,0 |
Призмы | П-П-13 | - | 12,1 | 1420 | - | - | 0,4 | 0,16 | 70 | 4900 | - |
П-П-14 | - | 12,0 | 1391 | - | - | 0,5 | 0,25 | 41 | 1681 | - |
П-П-15 | - | 11,7 | 1389 | - | - | 0,2 | 0,04 | 39 | 1521 | - |
П-П-16 | - | 10,9 | 1346 | - | - | 0,6 | 0,36 | 4 | 16 | - |
П-П-17 | - | 11,2 | 1436 | - | - | 0,3 | 0,09 | 86 | 7396 | - |
П-П-18 | - | 11,4 | 1400 | - | - | 0,1 | 0,01 | 50 | 2500 | - |
Всего | | Призм - 18 | 171,4 | 207,7 | 48550 | - | 8,9 | - | 3,49 | - | 91624 | 344,1 |
| | Кубов - 18 | | | | | | | | | | |
Примечания. 1. Средние арифметические значения: кубиковой прочности R = 9,5 МПа; модуля упругости

; плотности

.
2. Средние квадратические отклонения: кубиковой прочности

; модуль упругости

; плотности

.
3. Коэффициенты вариации: кубиковой прочности

; модуля упругости

; плотности

.
4. Выборочный коэффициент корреляции между кубиковой прочностью и плотностью

.
5. Ошибка корреляции

.
6. Отношение выборочного коэффициента корреляции к ошибке

.
Значения показателей изменчивости находятся в регламентируемых пределах. Следовательно, расчетный состав конструкционного керамзитобетона на карбонатном песке принимаем в качестве рабочего по
табл. 2.
Пример 2. На стадии действующего домостроительного производства запроектировать состав конструкционного керамзитобетона на карбонатном песке для внутренних несущих и звукоизолирующих стеновых межквартирных панелей сплошного сечения, изготавливаемых в вертикальных кассетных формах.
1. Исходные данные
Класс бетона по прочности на осевое сжатие В15; нормативное значение индекса изоляции воздушного шума

; существующая на предприятии оснастка предполагает изготовление панелей толщиной h = 18 см; коэффициент вариации средней прочности бетона на предприятии

; срок начала эксплуатации панелей t = 40 сут; исходная подвижность смеси ОК = 18 см.
На основании проведенной оценки пригодности исходных материалов получены следующие их характеристики: цемент марки 400; керамзитовый гравий и карбонатный песок (табл. 6).
Таблица 6
Материал | Насыпная плотность, кг/м3 | Плотность в цементном тесте, кг/м3 | Прочность в цилиндре, МПа | Водопоглощение через 1 сут, % | Объем межзерновых пустот, % | Модуль крупности | Влажность, % |
Керамзитовый гравий фракций: | | | | | | | |
5 - 10 | 490 | 930 | 3,1 | 18 | 39 | - | 4 |
10 - 20 | 410 | 840 | 2,3 | 26 | 51 | - | 4 |
Песок карбонатный | 1280 | 2510 | 1,7 | 5,6 | - | 2,2 | 5 |
2. Расчет и назначение исходного состава
конструкционного керамзитобетона
Расчет проводим согласно
п. 5.11 для начального уровня прочности керамзитобетона:
а) средняя кубиковая прочность R(28) и соответствующий ей начальный уровень прочности

равны:
R(28) = 15/(1 - 1,64 x 0,086) = 17,5 МПа;

;
б) коэффициенты конструктивного качества керамзитового гравия по фракциям:

;
в) значения агрегатно-структурного фактора, соответствующие вычисленным ККК, принимаем r = 0,51 и r = 0,29; для смеси фракций принимаем r = 0,4;
г) предварительный расход компонентов исходного состава:
расход цемента Ц = 350 кг/м3 = 113 л/м3; значение обобщенного фактора состава и предварительный расход воды Ф = 1,35; В = 350 (1,35 - 0,4) = 333 л/м3; количество химической добавки СДБ принимаем равным 0,5% массы цемента СДБ = 0,005 x 350 = 1,75 кг/м3.
Для введения добавки в виде 5%-го раствора с плотностью 1,015 г/см3 на 1 м3 ее потребуется 34 л.
Расход воды с учетом принятой дозировки добавки В' = 333 - (34 x 1,015 - 1,75) = 330 л/м3;
общий расход керамзитового гравия и карбонатного песка М + К = 1000 - 113 - 330 - 34 = 523 л/м3;
расход карбонатного песка М = 0,4 x 523 = 209 л/м3;
общий расход керамзитового гравия К = 523 - 209 = 314 л/м3.
Приняв соотношение фракций керамзита по объему

, назначаем расход керамзитового гравия по фракциям

;

.
По начальному уровню прочности
(рис. 2) определяем значения

;

;

.
В возрасте, соответствующем началу эксплуатации панелей t = 40 сут,

равно

,

.
Минимально допустимое значение

, обеспечивающее нормативный уровень изоляции воздушного шума

панелей толщиной h = 18 см, равно

.
Таким образом,

, следовательно, полученный состав не может быть принят в качестве исходного. В соответствии с указаниями
п. 5.18 для улучшения звукоизоляции при заданной толщине панели повышаем класс бетона по прочности на осевое сжатие, принимая его равным В20.
Значения кубиковой прочности R(28) и начального уровня прочности

с учетом принятого класса В20 равны: R(28) = 23,3 МПа;

.
По
рис. 2 определяем новые значения эксплуатационных характеристик

,

;

,

.
Учитывая, что

, состав керамзитобетона, соответствующий

, принимаем в качестве исходного и производим его расчет согласно
п. 5.13:
расход цемента Ц = 430 кг/м3 = 139 л/м3;
значение обобщенного фактора состава и предварительный расход воды Ф = 1,1, В = 430(1,1 - 0,4) = 301 л/м3;
количество химической добавки СДБ - 0,5% массы цемента СДБ = 0,005 x 430 = 2,15 кг/м3.
Для введения добавки в виде 5%-го раствора с плотностью 1,015 г/см3 на 1 м3 ее потребуется 42 л.
Расход воды с учетом принятой дозировки добавки
В = 301 - (42 x 1,015 - 2,15) = 260 л/м3;
общий расход керамзитового гравия и карбонатного песка М + К = 1000 - 139 - 260 - 42 = 559 л/м3;
расход карбонатного песка М = 0,4 x 559 = 224 л/м3;
общий расход керамзитового гравия К = 559 - 223 = 336 л/м3;
расход керамзитового гравия по фракциям при


;

.
Полученный исходный состав в объемных единицах и единицах массы приведен в табл. 7.
Таблица 7
Цемент | Вода, л/м3 | СДБ, л/м3 | Керамзитовый гравий фракций | Карбонатный песок |
кг/м3 | л/м3 | 5 - 10 | 10 - 20 |
кг/м3 | л/м3 |
кг/м3 | л/м3 | кг/м3 | л/м3 |
430 | 139 | 260 | 42 | 156 | 168 | 141 | 168 | 562 | 224 |
Исходный состав конструкционного керамзитобетона на карбонатном песке, откорректированный с учетом влажности заполнителей и фактического расхода воды, обеспечивающего заданную подвижность смеси, приведен в табл. 8.
Таблица 8
Цемент | Вода, л/м3 | СДБ, л/м3 | Керамзитовый гравий фракций | Карбонатный песок | Плотность  , кг/м 3 | Отклонение от расчетной |
кг/м3 | л/м3 |
5 - 10 | 10 - 20 | кг/м3 | л/м3 |
кг/м3 | л/м3 | кг/м3 | л/м3 |
410 | 132 | 256 | 40 | 159 | | 171 | 144 | 171 | 573 | 1553 | 2 (< 3%) |
Назначение расчетного и рабочего составов производим по результатам экспериментальных проверок, как показано в
примере 1.
Пример 3. На стадии организации индустриального домостроительного производства требуется запроектировать группу оптимальных по стоимости составов конструкционного керамзитобетона на карбонатном песке для комплексного применения его в основных несущих и звукоизолирующих конструкциях межкомнатных стеновых и межквартирных стеновых панелей и панелей перекрытий сплошного сечения, изготавливаемых в вертикальных кассетных формах.
1. Исходные данные
Класс бетона по прочности на осевое сжатие и индекс изоляции воздушного шума

, дБ, соответственно равны:
В10,

, - для межкомнатных стеновых панелей;
В20,

- для межквартирных стеновых панелей и панелей перекрытий.
Предварительный срок начала эксплуатации конструкций t = 90 сут.
Исходная подвижность смеси ОК = 14 см.
Характеристики исходных материалов: цемента марки 400, керамзитового гравия и карбонатного песка, приведены в табл. 9.
Таблица 9
Материал | Насыпная плотность, кг/м3 | Плотность в цементном тесте, кг/м3 | Прочность в цилиндре, МПа | Водопоглощение через 1 сут, % | Объем межзерновых пустот, % | Модуль крупности | Влажность, % |
Керамзитовый гравий фракций: | | | | | | | |
5 - 10 | 512 | 1010 | 3,2 | 17,4 | 28 | - | 5 |
10 - 20 | 475 | 980 | 2,5 | 21,2 | 34 | - | 5 |
Песок карбонатный | 1320 | 2620 | 1,5 | 6,6 | - | 2,4 | 5 |
2. Проектирование составов конструкционного керамзитобетона
В соответствии с
п. 5.5 для проектирования группы составов керамзитобетона, удовлетворяющего вышеуказанным эксплуатационным и технологическим требованиям при минимальной стоимости, используем методику планированного эксперимента.
| | ИС МЕГАНОРМ: примечание. В официальном тексте документа, видимо, допущена опечатка: пункт 5.31 отсутствует. | |
Подбор составов производим согласно
пп. 5.25 - 5.31.
В качестве варьируемых факторов принимаем:

- расход цемента Ц, кг/м
3;

- расход химической добавки СДБ, % массы цемента;

- расход пылевидной фракции песка (фр. < 0,14 мм), % массы песка;

- агрегатно-структурный фактор r = М/(М + К).
Контролируемыми параметрами назначаем:
кубиковую прочность пропаренного керамзитобетона в возрасте 28 сут R(28), МПа;
модуль упругости керамзитобетона

, МПа;
плотность керамзитобетона в сухом состоянии

, кг/м
3;
стоимость керамзитобетона С, кг/м3.
Исходный состав керамзитобетона назначаем согласно
пп. 5.11 -
5.13.
По заданным классам бетона по прочности на осевое сжатие В устанавливаем средние величины кубиковой прочности R(28), принимая коэффициенты вариации

, равными нормируемому значению 0,135 (1).
R(28) = 10/(1 - 1,64 x 0,135) = 12,8 МПа;
R(28) = 20/(1 - 1,64 x 0,135) = 25,7 МПа.
Коэффициенты конструктивного качества для применяемых фракций керамзита

,

.
Среднее значение агрегатно-структурного фактора r = 0,4. Учитывая рекомендуемые в
п. 5.10 значения r, диапазон изменения агрегатно-структурного фактора в эксперименте принимаем от 0,2 до 0,6. Соотношение между фракциями керамзита принимаем постоянным и равным

.
Согласно
рис. 1, б расходы цемента, соответствующие установленным средним величинам кубиковой прочности R(28) и назначенному диапазону изменения агрегатно-структурного фактора r, изменяются в пределах от 290 кг/м
3 до 480 кг/м
3. Для проведения эксперимента назначаем интервал изменения расхода цемента от 300 до 500 кг/м
3.
Для установления оптимальных дозировок химической добавки СДБ диапазон изменения ее расхода принимаем равным от 0 до 0,5% массы цемента.
Расход компонентов исходного состава керамзитобетона приведен в табл. 10.
Таблица 10
| | ИС МЕГАНОРМ: примечание. Шапка таблицы дана в соответствии с официальным текстом документа. | |
Цемент | Вода, л/м3 | СДБ | М/М+К | Керамзитовый гравий фракций | Карбонатный песок |
кг/м3 | л/м3 | % цемента | кг/м3 | л/м3 |
5 - 10 | 10 - 20 | кг/м3 | л/м3 |
| |
400 | 129 | 280 | 0,25 | 1 | 19,6 | 0,4 | 118 | 117 | 228 | 233 | 665 | 231 |
Численные значения уровней варьирования факторов, принятые в эксперименте с учетом вышеизложенного, приведены в табл. 11.
Таблица 11
Уровень и его код | Обозначения | Факторы |
X1 = Ц, кг/м3 | X2 = СДБ, % цемента | X3 = пыль (фр. < 0,14), % песка | X4 = М/М + К |
Нижний (-1) | Xmin | 300 | 0 | 15 | 0,2 |
Нулевой (0) | X0 | 400 | 0,25 | 30 | 0,4 |
Верхний (+1) | Xmax | 500 | 0,5 | 45 | 0,6 |
Интервал варьирования | | +/- 100 | +/- 0,25 | +/- 15 | +/- 0,2 |
Эксперимент проводим по плану, близкому к D-оптимальному, для четырех факторов, варьируемых на трех уровнях. Матрица планирования и рабочая матрица совмещены и приведены в табл. 12.
Таблица 12
N опыта | Планирование | Расход материалов на 1 м3 бетона |
Цемент X1 | СДБ X2 | Пыль X3 | М/М+К, X4 | Цемент, кг | Вода, л | r = М/М+К | Керамзитовый гравий | Карбонатный песок | Добавка СДБ |
фракций 5 - 10 мм, кг | фракций 10 - 20 мм, кг | фракций < 0,14, кг | фракций > 0,14, < 5, кг | кг | л |
1 | + | + | + | + | 500 | 203 | 0,6 | 79 | 154 | 414 | 508 | 2,5 | 49 |
2 | + | + | + | - | 500 | 403 | 0,2 | 104 | 203 | 91 | 112 | 2,5 | 49 |
3 | + | + | - | + | 500 | 203 | 0,6 | 79 | 154 | 138 | 784 | 2,5 | 49 |
4 | + | - | + | + | 500 | 250 | 0,6 | 80 | 154 | 417 | 509 | 0 | 0 |
5 | - | + | + | + | 300 | 122 | 0,6 | 101 | 197 | 532 | 650 | 1,5 | 29 |
6 | - | - | - | - | 300 | 270 | 0,2 | 170 | 330 | 50 | 282 | 0 | 0 |
7 | - | - | - | + | 300 | 150 | 0,6 | 101 | 197 | 178 | 1006 | 0 | 0 |
8 | - | - | + | - | 300 | 270 | 0,2 | 170 | 344 | 149 | 183 | 0 | 0 |
9 | - | + | - | - | 300 | 242 | 0,2 | 171 | 331 | 50 | 280 | 1,5 | 29 |
10 | + | - | - | - | 500 | 450 | 0,2 | 105 | 203 | 31 | 173 | 0 | 0 |
11 | + | + | - | - | 500 | 403 | 0,2 | 104 | 203 | 30 | 173 | 2,5 | 49 |
12 | - | - | + | + | 300 | 150 | 0,6 | 101 | 197 | 533 | 651 | 0 | 0 |
13 | + | - | + | - | 500 | 450 | 0,2 | 105 | 203 | 92 | 112 | 0 | 0 |
14 | - | + | - | + | 300 | 122 | 0,6 | 101 | 197 | 177 | 1005 | 1,5 | 29 |
15 | - | + | + | - | 300 | 242 | 0,2 | 171 | 331 | 149 | 181 | 1,5 | 29 |
16 | + | - | - | + | 500 | 250 | 0,6 | 80 | 154 | 138 | 788 | 0 | 0 |
17 | + | 0 | 0 | 0 | 500 | 326 | 0,4 | 99 | 191 | 153 | 358 | 125 | 25 |
18 | - | 0 | 0 | 0 | 300 | 196 | 0,4 | 115 | 224 | 180 | 419 | 0,75 | 15 |
19 | 0 | + | 0 | 0 | 400 | 242 | 0,4 | 119 | 231 | 186 | 432 | 2 | 39 |
20 | 0 | - | 0 | 0 | 400 | 280 | 0,4 | 118 | 228 | 186 | 433 | 0 | 0 |
21 | 0 | 0 | + | 0 | 400 | 261 | 0,4 | 119 | 231 | 278 | 340 | 1 | 20 |
22 | 0 | 0 | - | 0 | 400 | 261 | 0,4 | 119 | 231 | 93 | 527 | 1 | 20 |
23 | 0 | 0 | 0 | + | 400 | 181 | 0,6 | 90 | 175 | 316 | 737 | 1 | 20 |
24 | 0 | 0 | 0 | - | 400 | 341 | 0,2 | 137 | 267 | 80 | 187 | 1 | 20 |
25 | 0 | 0 | 0 | 0 | 400 | 261 | 0,4 | 119 | 231 | 185 | 433 | 1 | 20 |
26 | 0 | 0 | 0 | 0 | 400 | 261 | 0,4 | 119 | 231 | 185 | 433 | 1 | 20 |
27 | 0 | 0 | 0 | 0 | 400 | 261 | 0,4 | 119 | 231 | 185 | 433 | 1 | 20 |
28 | 0 | 0 | 0 | 0 | 400 | 261 | 0,4 | 119 | 231 | 185 | 433 | 1 | 20 |
29 | 0 | 0 | 0 | 0 | 400 | 261 | 0,4 | 119 | 231 | 185 | 433 | 1 | 20 |
30 | 0 | 0 | 0 | 0 | 400 | 261 | 0,4 | 119 | 231 | 185 | 433 | 1 | 20 |
Продолжение табл. 12
N опыта | Проектная плотность свежеуложенного керамзитобетона  , кг/м 3 | Фактическая плотность свежеуложенного керамзитобетона  , кг/м 3 | Контролируемые параметры |
R (28), МПа | Eв (28), МПа |  , кг/м 3 | C, руб./м3 |
1 | 1907 | 1892 | 22,2 | 11980 | 1454 | 11,94 |
2 | 1462 | 1568 | 24,6 | 10043 | 1247 | 15,06 |
3 | 1907 | 1780 | 22,4 | 12884 | 1443 | 12,42 |
4 | 1910 | 1845 | 16,6 | 10004 | 1372 | 11,9 |
5 | 1931 | 1813 | 15 | 8457 | 1472 | 9,33 |
6 | 1402 | 1520 | 18,1 | 11129 | 1198 | 13,25 |
7 | 1932 | 1830 | 13,5 | 7968 | 1466 | 9,68 |
8 | 1416 | 1600 | 16,2 | 8567 | 1195 | 13,26 |
9 | 1403 | 1575 | 18,1 | 6417 | 1186 | 13,15 |
10 | 1462 | 1617 | 25,6 | 10871 | 1290 | 15,74 |
11 | 1462 | 1533 | 27 | 13701 | 1377 | 16,32 |
12 | 1932 | 1800 | 12,3 | 8455 | 1563 | 9,79 |
13 | 1462 | 1574 | 25,5 | 12083 | 1363 | 16,59 |
14 | 1931 | 1810 | 16,8 | 9921 | 1512 | 9,85 |
15 | 1403 | 1550 | 18 | 10042 | 1269 | 13,87 |
16 | 1910 | 1860 | 25,5 | 14667 | 1538 | 12,85 |
17 | 1652 | 1725 | 26,1 | 13447 | 1471 | 14,66 |
18 | 1449 | 1630 | 17,7 | 10016 | 1406 | 11,92 |
19 | 1649 | 1698 | 19,4 | 10272 | 1452 | 13,30 |
20 | 1645 | 1695 | 24 | 12226 | 1428 | 13,38 |
21 | 1649 | 1728 | 22,2 | 11639 | 1442 | 13,19 |
22 | 1649 | 1625 | 23,5 | 11007 | 1406 | 13,50 |
23 | 1919 | 1793 | 18,3 | 9906 | 1604 | 11,19 |
24 | 1432 | 1582 | 23,1 | 12573 | 1408 | 15,48 |
25 | 1649 | 1885 | 24,3 | 15770 | 1609 | 13,52 |
26 | 1649 | 1850 | 25,8 | 14495 | 1561 | 13,33 |
27 | 1649 | 1835 | 23 | 14640 | 1562 | 13,45 |
28 | 1649 | 1690 | 24,1 | 13193 | 1522 | 13,36 |
29 | 1649 | 1768 | 22,5 | 13701 | 1552 | 13,4 |
30 | 1649 | 1805 | 24 | 14359 | 1562 | 13,3 |
Состав керамзитобетона для каждой строчки матрицы рассчитывали по
п. 5.13. При этом расход воды предварительно принимаем по (5) и (6) для назначенного расхода цемента и величин агрегатно-структурного фактора, используя найденное по
рис. 2 значение средней величины R(28) = (12,8 + 25,7)/2 = 19,2 МПа; значение обобщенного фактора состава Ф = 1,1.
В процессе практической реализации рабочей матрицы при изготовлении керамзитобетонной смеси корректируем расход воды, обеспечивая заданную подвижность смеси ОК = 14 см.
По фактическому расходу воды производим корректировку состава керамзитобетона.
Расчет коэффициентов при членах уравнений регрессии, вычисление расчетных значений контролируемых параметров, статистический анализ уравнений и коэффициентов проводим по специальной методике согласно
п. 5.30.
В результате проведенных вычислений получены следующие адекватные по F-критерию Фишера регрессионные модели, связывающие с 95%-й надежностью контролируемые параметры с варьируемыми факторами состава:
1. Кубиковая прочность пропаренного керамзитобетона в возрасте 28 сут, МПа

.
Модуль упругости керамзитобетона, МПа

.
| | ИС МЕГАНОРМ: примечание. Нумерация пунктов дана в соответствии с официальным текстом документа. | |
3. Плотность керамзитобетона в сухом состоянии, кг/м3

.
4. Стоимость керамзитобетона, руб./м3

.
После получения уравнений регрессии целесообразно провести анализ влияния факторов состава на выбранные контролируемые параметры с целью установления характера и степени этого влияния, а также выбора основных факторов для построения изолиний контролируемых параметров.
Результаты такого анализа, проведенного по полученным уравнениям регрессии, позволили установить преимущественное влияние на все контролируемые параметры расхода цемента

и агрегатно-структурного фактора

. Учитывая это, изолинии R(28),

,

, C строим в осях [расход цемента Ц, кг/м
3 - агрегатно-структурный фактор r = М/(М + К)]. Остальные факторы фиксируем на следующих уровнях:
1. Для построения изолиний R(28) содержание карбонатной пыли в песке фиксируем на уровнях -1; 0; +1, соответствующих 15, 30, 45% массы песка; расход добавки СДБ - на нулевом (0), близком к оптимальному, уровне, соответствующем 0,25% массы цемента.
2. Для построения изолиний

содержание карбонатный пыли фиксируем на нулевом, близком к оптимальному уровне (30% массы песка); расход добавки СДБ - на уровнях 0 и +1 (соответственно 0,25 и 0,5% массы цемента).
3. Для построения изолиний

и C содержание карбонатной пыли и расход добавки СДБ фиксируем на нулевых, близких к оптимальным, уровнях (соответственно 30% массы песка и 0,25% массы цемента).
Для удобства практического использования изолинии R(28) и

,

и

совмещаем, получая соответствующие номограммы.
По номограммам

,

и изолиниям стоимости составляем комплексную номограмму
(рис. 1), пригодную для назначения составов конструкционного керамзитобетона, удовлетворяющего технологическим и эксплуатационным требованиям.
Комплексная номограмма для подбора составов
конструкционного керамзитобетона на карбонатном песке,
изготовленного из смеси исходной подвижностью ОК = 14 см:
A, A' - номограммы "R, МПа -

, кг/м
3"
----- - содержание карбонатной пыли (фр. < 0,14) 45% П;
-.- то же, 30% П; --- - то же, 15% П; B - номограмма
"

, МПа -

, кг/м
3";
____ - расход химической добавки, СДБ 0,5% Ц;
__ - то же, 0,25% Ц; C - изолинии стоимости С, руб./м3
Назначение составов производим в следующей последовательности.
1. По (3), учитывая предварительный срок начала эксплуатации конструкций, устанавливаем начальные уровни прочности

.
2. По комплексной номограмме устанавливаем, что состав керамзитобетона с прочностью R = 10 МПа не попадает в область эксперимента. Поэтому подбор составов проводим для прочностей керамзитобетона R = 12,5 и R = 20 МПа.
3. По номограмме

(
рис. 1, а) устанавливаем группу составов, соответствующую начальной прочности

и минимальной плотности

(заштрихованная зона).
Этой группе составов, согласно номограмме

(
рис. 1, в), соответствуют значения

.
Возвращаясь к номограмме

в пределах заштрихованной зоны, выбираем несколько составов (см.
рис. 1, A, B, C - точки 1, 2, 3), устанавливая для них расходы цемента Ц и значения агрегатно-структурного фактора r соответственно:
1 состав - 300 кг/м3 и 0,46;
2 " - 308 " " 0,52;
3 " - 300 " " 0,53.
Выбранным составам соответствуют следующие значения эксплуатационных характеристик:
По изолиниям C
(рис. 1) устанавливаем стоимость назначенных составов С, руб./м
3: 1 состав - 11,7, 2 состав - 10,8, 3 состав - 10,5.
В соответствии с
п. 5.17 по (3) рассчитываем минимально допустимые толщины

межкомнатных стеновых панелей, обеспечивающие нормативный уровень изоляции воздушного шума

, см:
1 состав -

2 " -

3 " -

.
Учитывая имеющиеся рекомендации, принимаем толщину несущих межкомнатных панелей h = 12 см. В этом случае в качестве исходного состава, отвечающего требованию минимальной стоимости, выбираем 3-й состав.
4. Вычисляем значение модуля упругости керамзитобетона в возрасте начала эксплуатации конструкции t = 90 сут.

.
Соответствующее значение динамической характеристики

.
| | ИС МЕГАНОРМ: примечание. В официальном тексте документа, видимо, допущена опечатка: формула (5) в пункте 5.13 отсутствует. Возможно, имеется в виду формула (5) пункта 5.12. | |
а) значение обобщенного фактора состава при R = 12,5 МПа
(рис. 2) Ф = 1,48;
б) расход воды (без учета химической добавки СДБ) при Ц = 300 кг/м3 = 97 л/м3 и r = 0,53.
В = 300(1,48 - 0,53) = 285 л/м3;
в) расход химической добавки СДБ принимаем 0,25%, согласно номограмме

(
рис. 1, в), т.е. СДБ = 0,0025 x 300 = 0,75 кг/м
3.
Учитывая, что в 1 л 5%-го раствора добавки содержится 0,051 кг сухого вещества, ее расход в объемных единицах составит 15 л;
г) расход воды с учетом принятой дозировки добавки при плотности раствора 1,015 г/см3
В' = 285 - (15 x 1,015 - 0,75) = 261 л/м3;
д) общий расход керамзитового гравия и карбонатного песка М + К = 1000 - 97 - 261 - 15 = 627 л/м3;
е) общий расход карбонатного песка М = 0,53 x 627 = 332 л/м3.
Согласно номограмме

(
рис. 1, а) содержание карбонатной пыли в песке принимаем 30% М, т.е. 100 л/м
3. Таким образом, расход карбонатного песка по фракциям:
< 0,14 = 100 л/м3 = 262 кг/м3;
> 0,14; < 5 = 332 - 100 = 232 л/м3 = 608 кг/м3;
ж) общий расход керамзитового гравия К = 627 - 332 = 295 л/м3.
Расход керамзитового гравия по фракциям при

;

.
6. Подбор составов керамзитобетона с прочностью R = 20 МПа производим аналогично.
По номограмме

(
рис. 1, A') устанавливаем группы составов, соответствующих указанной прочности и минимальной плотности

- при малых расходах,

- при больших расходах цемента (заштрихованные зоны).
Этим группам соответствуют значения

и

(
рис. 1, в).
Расход цемента Ц, значения агрегатно-структурного фактора r, эксплуатационные характеристики и стоимость для выбранных составов (
рис. 1, a, b, c - точки 4 - 9) приведены в табл. 13.
Состав | Цемент, кг/м3 | r = М/М+К |  , кг/м 3 | Eв·10-3, МПа | Eв(90)·10-3, МПа | | С, руб./м3 | hmin, см |
4 | 330 | 0,33 | 1450 | 11,7 | 12,3 | 85 | 12,8 | 19,2 |
5 | 340 | 0,32 | 1450 | 12,1 | 12,7 | 88 | 13,2 | 18,8 |
6 | 360 | 0,21 | 1400 | 12,0 | 12,6 | 90 | 14,4 | 18,7 |
7 | 500 | 0,57 | 1550 | 14,1 | 14,8 | 96 | 12,6 | 18,0 |
8 | 490 | 0,55 | 1550 | 14,0 | 14,7 | 95 | 12,9 | 18,2 |
9 | 500 | 0,46 | 1510 | 14,2 | 14,9 | 99 | 13,8 | 17,8 |
В
табл. 13 также приведены минимально допустимые толщины

межквартирных стеновых панелей и панелей перекрытий, обеспечивающие нормативный уровень изоляции воздушного шума.
Учитывая требование минимальной стоимости, а также имеющиеся рекомендации по назначению толщины указанных конструктивных элементов, в качестве исходного выбираем состав 7.
| | ИС МЕГАНОРМ: примечание. В официальном тексте документа, видимо, допущена опечатка: формула (5) в пункте 5.13 отсутствует. Возможно, имеется в виду формула (5) пункта 5.12. | |
7. Расход компонентов выбранного состава определяем согласно
п. 5.13 по (5) -
(9), как было показано выше для состава керамзитобетона начальной прочностью R = 12,5 МПа.
Расход компонентов исходных составов керамзитобетона на карбонатном песке для межкомнатных и межквартирных стеновых панелей и панелей перекрытий в объемных единицах и единицах массы приведен в табл. 14.
Таблица 14
Наименование конструктивного элемента | Толщина элемента h, см | Исходная подвижность смеси ОК, см | Характеристики керамзитобетона | Состав керамзитобетона на 1 м 3 <*> |
класс по прочности на сжатие В | | стоимость, руб./м3 | вода | | СДБ | r = М/(М+К) | Карбонатный песок | Керамзитовый гравий |
фракций |
0,14, мм | > 0,14, < 5, мм | 5 - 10 | 10 - 20 |
Межквартирные стеновые панели и панели перекрытия | 18 | 14 | 20 | 96 | 12,6 | 500 ---- 161 | 218 | 2,5 ---- 49 | 0,57 | 128 ---- 49 | 726 ---- 277 | 83 --- 82 | 161 ---- 164 |
Межквартирные стеновые панели | 12 | 14 | 12,5 | 74 | 10,5 | 300 ---- 97 | 261 | 0,75 ----- 15 | 0,53 | 262 ---- 100 | 608 ---- 232 | 99 --- 98 | 193 ---- 197 |
--------------------------------
<*> Над чертой приведены массы дозировки компонентов, под чертой - объемные дозировки.
<**> Количество воды может быть скорректировано по фактической подвижности смеси.
Рабочий состав конструкционного керамзитобетона на карбонатном песке назначаем по
пп. 5.19 -
5.24 (см.
пример 2).