Главная // Актуальные документы // ПриказСПРАВКА
Источник публикации
М., 2021
Примечание к документу
Текст документа приведен в соответствии с публикацией на сайте https://minstroyrf.gov.ru/ по состоянию на 18.02.2022.
Документ
введен в действие с 21.01.2022.
Название документа
"Изменение N 2 к СП 63.13330.2018 "Бетонные и железобетонные конструкции. Основные положения"
(утв. и введено в действие Приказом Минстроя России от 20.12.2021 N 965/пр)
"Изменение N 2 к СП 63.13330.2018 "Бетонные и железобетонные конструкции. Основные положения"
(утв. и введено в действие Приказом Минстроя России от 20.12.2021 N 965/пр)
Утверждено и введено в действие
и жилищно-коммунального хозяйства
Российской Федерации
(Минстрой России)
от 20 декабря 2021 г. N 965/пр
ИЗМЕНЕНИЕ N 2 К СП 63.13330.2018
"БЕТОННЫЕ И ЖЕЛЕЗОБЕТОННЫЕ КОНСТРУКЦИИ.
ОСНОВНЫЕ ПОЛОЖЕНИЯ"
Дата введения
21 января 2022 года
Введение
Дополнить четвертым абзацем в следующей редакции:
"Изменение N 2 разработано авторским коллективом ОАО "НИЦ "Строительство" - НИИЖБ им. А.А. Гвоздева (руководитель работы - д-р техн. наук Т.А. Мухамедиев; д-р техн. наук Е.А. Чистяков, канд. техн. наук С.А. Зенин, канд. техн. наук Р.Ш. Шарипов).".
2 Нормативные ссылки
Заменить ссылку: "
ГОСТ 7566-94 Металлопродукция. Приемка, маркировка, упаковка, транспортирование и хранение" на "
ГОСТ 7566-2018 Металлопродукция. Правила приемки, маркировка, упаковка, транспортирование и хранение";
заменить ссылку: "
ГОСТ 10922-2012 Арматурные и закладные изделия, их сварные, вязаные и механические соединения для железобетонных конструкций. Общие технические условия" на "
ГОСТ Р 57997-2017 Арматурные и закладные изделия сварные, соединения сварные арматуры и закладных изделий железобетонных конструкций. Общие технические условия";
заменить ссылку: "
ГОСТ 23858-79 Соединения сварные стыковые и тавровые арматуры для железобетонных конструкций. Ультразвуковые методы контроля качества. Правила приемки" на "
ГОСТ 23858-2019 Соединения сварные стыковые арматуры железобетонных конструкций. Ультразвуковые методы контроля качества. Правила приемки";
4 Общие требования к бетонным и железобетонным конструкциям
6 Материалы для бетонных и железобетонных конструкций
6.1 Бетон
"Для предварительно напряженных железобетонных конструкций класс бетона по прочности на сжатие следует принимать:
- при армировании стержневой арматурой класса А600 - не ниже B20;
- то же, класса А800 - не ниже B25;
- то же, класса А1000 - не ниже B30;
- при армировании проволочной арматурой классов Bp и K - не ниже B35.
Для конструкций с натяжением арматуры на бетон следует принимать бетоны классов по прочности на сжатие не ниже B30.
Для конструкций без предварительно напряженной арматуры и для предварительно напряженных конструкций, рассчитываемых на воздействие многократно повторяющейся нагрузки, минимальное значение класса бетона следует увеличивать на 5 МПа по сравнению с указанными выше".
8 Железобетонные конструкции без предварительного напряжения арматуры
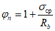
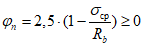
"8.1.34 Влияние сжимающих и растягивающих напряжений при расчете по полосе между наклонными сечениями и по наклонным сечениям следует учитывать с помощью коэффициента

, на который умножают правую часть условий (8.55), (8.57) или (8.61) - при сжимающих напряжениях и условий (8.57) или (8.61) - при растягивающих напряжениях. При расчете по наклонным сечениям элементов изгибаемых конструкций без предварительного напряжения арматуры значение коэффициента

принимают равным 1. Для остальных элементов значения коэффициента

принимают равными:
- при действии сжимающей продольной силы
- при действии растягивающей продольной силы
где

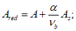
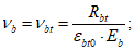
- среднее сжимающее или среднее растягивающее напряжение в бетоне от воздействия продольных сил, принимаемое положительным и определяемое расчетом на основе нелинейной деформационной модели или по формуле
здесь Ared - площадь приведенного поперечного сечения элемента, определяемая с учетом неупругих свойств бетона при сжатии и растяжении

- коэффициент упругости бетона при сжатии или растяжении.
Допускается величину
Ared определять, принимая значение коэффициента

равным
- при действии сжимающей продольной силы
- при действии растягивающей продольной силы

и

принимают по 6.1.14 для непродолжительного действия нагрузки.
Допускается величину

определять без учета арматуры при содержании продольной арматуры не более 3%.".
10 Конструктивные требования
10.3 Требования к армированию
"В сборных фундаментах при отсутствии бетонной подготовки минимальное значение защитного слоя бетона принимают равным 35 мм.".
"10.3.19 Поперечная арматура, предусмотренная для восприятия поперечных сил, крутящих моментов и для сопротивления продавливанию, должна иметь надежную анкеровку по концам, обеспечивающую равнопрочность соединений и поперечной арматуры. Анкеровка осуществляется путем приварки к продольной арматуре, охвата продольной арматуры или с помощью анкерных устройств на концах стержней.".
"

- коэффициент, учитывающий влияние вида поверхности арматуры, принимаемый равным:
для ненапрягаемой арматуры:
1,5 - для гладкой арматуры;
2,0 - для холоднодеформированной арматуры периодического профиля;
2,5 - для горячекатаной и термомеханически обработанной арматуры периодического профиля;
для напрягаемой арматуры:
1,7 - для холоднодеформированной арматуры периодического профиля класса Bp1500 диаметром 3 мм и арматурных канатов класса K7 диаметрами 6,2 и 6,9 мм (K7, K7T);
1,8 - для холоднодеформированной арматуры класса Bp диаметром 4 мм и более;
2,2 - для арматурных канатов класса K7 диаметром 9 мм и более, изготовленных из гладкой проволоки (K7);
2,4 - для арматурных канатов класса K7 диаметром 9 мм и более (K7T);
2,5 - для горячекатаной и термомеханически обработанной арматуры класса A.

- коэффициент, учитывающий влияние размера диаметра арматуры, принимаемый равным:
для ненапрягаемой арматуры:

- при диаметре арматуры
ds <= 32 мм;

- при диаметре арматуры 36 и 40 мм;
для напрягаемой арматуры:

для всех типов напрягаемой арматуры".
11 Требования к изготовлению, возведению и эксплуатации бетонных и железобетонных конструкций
13 Расчет железобетонных конструкций на выносливость
Раздел изложить в новой редакции:
"13 Расчет железобетонных конструкций на выносливость
13.1 Расчет железобетонных конструкций на выносливость выполняют на действие многократно повторяющейся (подвижной или пульсирующей) нагрузки, вызывающей значительный перепад напряжений в бетоне или растянутой арматуре, если число циклов повторений нагрузки в течение расчетного срока эксплуатации конструкции составляет более 105.
Проверку сопротивления при расчете на выносливость выполняют отдельно для бетона и растянутой арматуры. Сжатую арматуру на выносливость не рассчитывают.
Расчет на выносливость выполняют по упругой стадии с трещинами по приведенным сечениям с учетом неупругих деформаций бетона в сжатой зоне. Неупругие деформации в бетоне сжатой зоны учитывают снижением модуля упругости бетона, принимая коэффициенты приведения арматуры к бетону по таблице 13.1. Площадь бетона растянутой зоны учитывают в случае, когда для растянутого бетона соблюдается условие

(13.1)
где

- максимальное нормальное напряжение в бетоне растянутой зоны;

- коэффициент условий работы бетона, учитывающий снижение его прочности при многократном приложении нагрузки, определяемый в соответствии с 13.4.
Таблица 13.1
Бетон | Коэффициенты приведения арматуры к бетону  при классах бетона |
B20 | B25 | B30 | B35 | B40 и выше |
Тяжелый | 22,5 | 20 | 15 | 12,5 | 10 |
Легкий на кварцевом песке | 42 | 36 | 30,5 | 28,5 | 26,5 |
13.2 Расчет на выносливость выполняют по нормальным и наклонным сечениям из условия, что максимальное нормальное напряжение в сжатом бетоне и максимальное напряжение в растянутой арматуре, вычисленные от действия внешних сил и (для предварительно напряженных конструкций) усилия предварительного обжатия, не должны превышать соответственно предела выносливости бетона на сжатие и предела выносливости арматуры на растяжение.
13.3 Расчет на выносливость сечений, нормальных к продольной оси элементов, выполняют из условий:
а) для сжатого бетона

(13.2)
б) для растянутой арматуры

(13.3)
где

- максимальное нормальное напряжение в сжатом бетоне;

- максимальное напряжение в растянутой арматуре;

- коэффициент условий работы арматуры, учитывающий снижение ее прочности при многократном приложении нагрузки, определяемый в соответствии с 13.5.
В зоне, проверяемой по сжатому бетону, при действии многократно повторяющейся нагрузки следует избегать возникновения растягивающих напряжений.
13.4 Коэффициенты условий работы бетона

принимают по таблице 13.2 в зависимости от коэффициента асимметрии цикла


(13.4)
где

,

- соответственно наименьшее и наибольшее напряжения в бетоне в пределах цикла изменения нагрузки, определяемые согласно 13.1.
Таблица 13.2
Бетон | Состояние бетона по влажности | Базовый коэффициент условий работы бетона  при коэффициенте асимметрии цикла  , равном |
0 - 0,1 | 0,2 | 0,3 | 0,4 | 0,5 | 0,6 | 0,7 |
Тяжелый | Естественной влажности | 0,75 | 0,80 | 0,85 | 0,90 | 0,95 | 1,00 | 1,00 |
Водонасыщенный | 0,50 | 0,60 | 0,70 | 0,80 | 0,90 | 0,95 | 1,00 |
Легкий | Естественной влажности | 0,60 | 0,70 | 0,80 | 0,85 | 0,90 | 0,95 | 1,00 |
Водонасыщенный | 0,45 | 0,55 | 0,65 | 0,75 | 0,85 | 0,95 | 1,00 |
13.5 Коэффициенты условий работы арматуры

определяют как произведение частных коэффициентов условий работы

(13.5)
где

- коэффициент, учитывающий класс арматуры, профиль и технологию изготовления, определяемый по таблице 13.3;
- коэффициент, учитывающий влияние сварных соединений арматуры в зоне рассматриваемого расчетного сечения, определяемый по таблице 13.4;

- коэффициент, учитывающий влияние механических соединений арматуры в зоне рассматриваемого расчетного сечения, принимаемый равным

(13.6)
Таблица 13.3
Класс арматуры | Коэффициенты условий работы прямолинейной арматуры  при коэффициенте асимметрии цикла  , равном |
-1,0 | -0,5 | -0,2 | 0 | 0,2 | 0,4 | 0,6 | 0,7 | 0,8 | 0,9 | 1,00 |
A240 | 0,5 | 0,63 | 0,74 | 0,84 | 0,97 | 1,00 | 1,00 | 1,00 | 1,00 | 1,00 | 1,00 |
A400 | 0,28 | 0,34 | 0,41 | 0,46 | 0,53 | 0,62 | 0,86 | 1,00 | 1,00 | 1,00 | 1,00 |
A500 | 0,22 | 0,28 | 0,33 | 0,37 | 0,43 | 0,50 | 0,75 | 0,90 | 1,00 | 1,00 | 1,00 |
A600 | 0,19 | 0,23 | 0,27 | 0,31 | 0,36 | 0,42 | 0,63 | 0,80 | 1,00 | 1,00 | 1,00 |
A800 | | | | | | 0,31 | 0,47 | 0,63 | 0,80 | 1,00 | 1,00 |
A1000 | | | | | | 0,25 | 0,38 | 0,52 | 0,73 | 0,95 | 1,00 |
B500 | | | | 0,44 | 0,53 | 0,67 | 0,89 | 1,00 | 1,00 | 1,00 | 1,00 |
Bp500 | | | | 0,40 | 0,48 | 0,60 | 0,81 | 0,97 | 1,00 | 1,00 | 1,00 |
Bp1200, Bp1300 | | | | | | | 0,35 | 0,48 | 0,69 | 0,91 | 1,00 |
Bp1400, Bp I500 | | | | | | | 0,32 | 0,44 | 0,63 | 0,85 | 1,00 |
K1400 ... K1550 | | | | | | | 0,30 | 0,41 | 0,59 | 0,80 | 1,00 |
K1650 ... K1750 | | | | | | | 0,27 | 0,36 | 0,52 | 0,74 | 1,00 |
K1850, K1900 | | | | | | | 0,24 | 0,32 | 0,47 | 0,69 | 1,00 |
Примечания 1  , где  ,  - соответственно наименьшее и наибольшее напряжения в арматуре в пределах цикла изменения нагрузки, определяемые согласно 13.3. 2 При расчете изгибаемых элементов из тяжелого бетона с ненапрягаемой арматурой для продольной арматуры учитывают остаточные напряжения в арматуре вследствие накопления неупругих деформаций в сжатом бетоне, принимая: |
при  |  ; |
при  |  ; |
при  |  , |
где Mmin, Mmax - соответственно наименьший и наибольший изгибающие моменты в расчетном сечении элемента в пределах цикла изменения нагрузки. |
Таблица 13.4
Класс арматуры | Группа сварных соединений | Коэффициент условий работы арматуры  при многократном повторении нагрузки и коэффициенте асимметрии цикла  , равном |
0 | 0,2 | 0,4 | 0,7 | 0,8 | 0,9 | 1,0 |
A240 | 1 | 0,65 | 0,70 | 0,75 | 0,90 | 1,00 | 1,00 | 1,00 |
2 | 0,25 | 0,30 | 0,35 | 0,50 | 0,65 | 0,85 | 1,00 |
3 | 0,20 | 0,20 | 0,25 | 0,30 | 0,45 | 0,65 | 1,00 |
A400 | 1 | 0,60 | 0,65 | 0,65 | 0,70 | 0,75 | 0,85 | 1,00 |
2 | 0,20 | 0,25 | 0,30 | 0,45 | 0,60 | 0,80 | 1,00 |
3 | 0,15 | 0,20 | 0,20 | 0,30 | 0,40 | 0,60 | 1,00 |
A600 | 1 | | | 0,75 | 0,75 | 0,80 | 0,90 | 1,00 |
2 | | | 0,35 | 0,40 | 0,50 | 0,70 | 1,00 |
Примечания 1 Группы сварных соединений, приведенные в таблице, включают следующие типы сварных соединений по ГОСТ 14098, допускаемые для конструкций, рассчитываемых на выносливость: 1-я группа - крестообразное типа К1-Кт; стыковые типов С1-Ко, С5-Мф, С7-Рв, С8-Мф, С10-Рв - все соединения при отношении диаметров стержней, равном 1,0; 2-я группа - стыковые типов С14-Мп, С15-Рс, С17-Мп, С19-Рм, С21-Рн; 3-я группа - нахлесточные типов Н1-Рш, Н2-Кр; тавровые типов Т1-Мф, Т2-Рф и Т12-Рз. 2 В настоящей таблице даны значения  для арматуры диаметром до 20 мм. 3 Значения коэффициента  должны быть снижены на 5% при диаметре стержней 22 - 32 мм и на 10% при диаметре свыше 32 мм. |
13.6 Расчет на выносливость для сечений, наклонных к продольной оси элемента, выполняют по формуле (13.3) из условия, что равнодействующая главных растягивающих напряжений, действующих на уровне центра тяжести приведенного сечения по длине элемента, должна быть полностью воспринята поперечной арматурой при напряжениях в ней, равных расчетному сопротивлению
Rsw, умноженному на коэффициент условий работы

, который определяют в соответствии с 13.5

(13.7)
Для элементов без поперечной арматуры должно выполняться условие

(13.8)
где

- главное растягивающее напряжение в бетоне;

- коэффициенты условий работы бетона принимают по таблице 13.2 в зависимости от коэффициента асимметрии цикла


(13.9)
где

и

- соответственно наименьшие и наибольшие главные растягивающие напряжения в бетоне в пределах цикла изменения нагрузки, определяемые согласно 13.1 по полному приведенному сечению.
13.7 Расчет по образованию трещин при действии многократно повторяющейся нагрузки производят из условия

(13.10)
где

- максимальное нормальное растягивающее напряжение в бетоне, определяемое согласно 13.1 по полному приведенному сечению.
В местах расположения механических соединений напрягаемой арматуры образование трещин не допускается.".